Last updated: 2026-01-27
Checks: 7 0
Knit directory: Dissrt/
This reproducible R Markdown analysis was created with workflowr (version 1.7.1). The Checks tab describes the reproducibility checks that were applied when the results were created. The Past versions tab lists the development history.
Great! Since the R Markdown file has been committed to the Git repository, you know the exact version of the code that produced these results.
Great job! The global environment was empty. Objects defined in the global environment can affect the analysis in your R Markdown file in unknown ways. For reproduciblity it’s best to always run the code in an empty environment.
The command set.seed(20250926) was run prior to running
the code in the R Markdown file. Setting a seed ensures that any results
that rely on randomness, e.g. subsampling or permutations, are
reproducible.
Great job! Recording the operating system, R version, and package versions is critical for reproducibility.
Nice! There were no cached chunks for this analysis, so you can be confident that you successfully produced the results during this run.
Great job! Using relative paths to the files within your workflowr project makes it easier to run your code on other machines.
Great! You are using Git for version control. Tracking code development and connecting the code version to the results is critical for reproducibility.
The results in this page were generated with repository version f387280. See the Past versions tab to see a history of the changes made to the R Markdown and HTML files.
Note that you need to be careful to ensure that all relevant files for
the analysis have been committed to Git prior to generating the results
(you can use wflow_publish or
wflow_git_commit). workflowr only checks the R Markdown
file, but you know if there are other scripts or data files that it
depends on. Below is the status of the Git repository when the results
were generated:
Ignored files:
Ignored: .Rhistory
Ignored: .Rproj.user/
Ignored: analysis/figure/
Ignored: data/cmf/
Ignored: data/counts/
Ignored: data/de/
Ignored: data/genesets/
Ignored: data/theme/
Note that any generated files, e.g. HTML, png, CSS, etc., are not included in this status report because it is ok for generated content to have uncommitted changes.
These are the previous versions of the repository in which changes were
made to the R Markdown (analysis/CMF.Rmd) and HTML
(docs/CMF.html) files. If you’ve configured a remote Git
repository (see ?wflow_git_remote), click on the hyperlinks
in the table below to view the files as they were in that past version.
| File | Version | Author | Date | Message |
|---|---|---|---|---|
| Rmd | f387280 | Emma M. Pfortmiller | 2026-01-27 | Update Website attempt 2 01/26/26 |
| Rmd | 8a9d1ba | Emma M. Pfortmiller | 2026-01-23 | Updated analysis 01/23/26 |
| Rmd | 01ffa1c | Emma M. Pfortmiller | 2026-01-20 | updated analysis 01/20/26 |
| Rmd | 4d89bcb | Emma M. Pfortmiller | 2026-01-14 | updated analysis 01/14/26 EMP |
| html | 3d8cbde | Emma M. Pfortmiller | 2026-01-14 | Updating website |
| html | 8a4bbba | Emma M. Pfortmiller | 2026-01-13 | Build site. |
| Rmd | b01df0c | Emma M. Pfortmiller | 2026-01-13 | Updating Website 01/13/26 EMP |
| Rmd | 0a9eeb7 | Emma M. Pfortmiller | 2026-01-13 | Clean up and commit files 01/13/26 |
| Rmd | 39da095 | Emma M. Pfortmiller | 2026-01-09 | updated analysis 01/09/26 EMP |
| Rmd | 31f50a9 | Emma M. Pfortmiller | 2026-01-08 | updated analysis 01/08/26 |
editor_options: chunk_output_type: inline
# Define the custom theme
# plot_theme_custom <- function() {
# theme_minimal() +
# theme(
# #line for x and y axis
# axis.line = element_line(linewidth = 1,
# color = "black"),
#
# #axis ticks only on x and y, length standard
# axis.ticks.x = element_line(color = "black",
# linewidth = 1),
# axis.ticks.y = element_line(color = "black",
# linewidth = 1),
# axis.ticks.length = unit(0.05, "in"),
#
# #text and font
# axis.text = element_text(color = "black",
# family = "Arial",
# size = 8),
# axis.title = element_text(color = "black",
# family = "Arial",
# size = 10),
# legend.text = element_text(color = "black",
# family = "Arial",
# size = 8),
# legend.title = element_text(color = "black",
# family = "Arial",
# size = 10),
# plot.title = element_text(color = "black",
# family = "Arial",
# size = 12),
#
# #blank background and border
# panel.background = element_blank(),
# panel.border = element_blank(),
#
# #gridlines for alignment
# panel.grid.major = element_line(color = "grey80", linewidth = 0.5), #grey major grid for align in illus
# panel.grid.minor = element_line(color = "grey90", linewidth = 0.5) #grey minor grid for align in illus
# )
# }
# saveRDS(plot_theme_custom, "data/plot_theme_custom.RDS")
theme_custom <- readRDS("data/plot_theme_custom.RDS")
save_plot <- function(plot, filename,
folder = ".",
width = 8,
height = 6,
units = "in",
dpi = 300,
add_date = TRUE) {
if (missing(filename)) stop("Please provide a filename (without extension) for the plot.")
date_str <- if (add_date) paste0("_", format(Sys.Date(), "%y%m%d")) else ""
pdf_file <- file.path(folder, paste0(filename, date_str, ".pdf"))
png_file <- file.path(folder, paste0(filename, date_str, ".png"))
#add conditions for recorded plots and ggsave
if (inherits(plot, "recordedplot")) {
#pdf save
pdf(pdf_file, width = width, height = height, bg = "transparent")
replayPlot(plot)
dev.off()
#png save
png(png_file, width = width, height = height, units = units, res = dpi, bg = "transparent")
replayPlot(plot)
dev.off()
} else {
#save pdf
ggsave(filename = pdf_file, plot = plot, device = cairo_pdf,
width = width, height = height, units = units, bg = "transparent")
#save png
ggsave(filename = png_file, plot = plot, device = "png",
width = width, height = height, units = units, dpi = dpi, bg = "transparent")
message("Saved plot as PDF: ", pdf_file)
message("Saved plot as PNG: ", png_file)
}
}
output_folder <- "C:/Users/emmap/OneDrive/Desktop/Ward Lab/Experiments/Stressor Project/Full Set RNAseq/plots"
#save plot function created
#to use: just define the plot name, filename_base, width, height
save_complex_heatmap <- function(ht, filename, folder = ".", width = 6, height = 10, dpi = 300, add_date = TRUE) {
if (missing(filename)) stop("Please provide a filename (without extension) for the plot.")
date_str <- if (add_date) paste0("_", format(Sys.Date(), "%y%m%d")) else ""
pdf_file <- file.path(folder, paste0(filename, date_str, ".pdf"))
png_file <- file.path(folder, paste0(filename, date_str, ".png"))
# Save PDF
cairo_pdf(pdf_file, width = width, height = height)
draw(ht)
dev.off()
message("Saved PDF: ", pdf_file)
# Save PNG
png(png_file, width = width, height = height, units = "in", res = dpi)
draw(ht)
dev.off()
message("Saved PNG: ", png_file)
}
#each of these to be used after pairwise comparison save individual
####STIMULI####
# stim_list <- list(
# "Tunicamycin" = "TUN",
# "Thapsigargin" = "THA",
# "Doxorubicin" = "DOX",
# "Nutlin-3" = "NUTL",
# "Lipopolysaccharides" = "LPS",
# "Tumor Necrosis Factor alpha" = "TNFa",
# "Bisphenol A" = "BPA",
# "Perfluorooctanoic Acid" = "PFOA"
# )
# stimuli_vec <- unlist(lapply(names(stim_list), function(cat) {
# setNames(rep(cat, length(stim_list[[cat]])), stim_list[[cat]])
# }))
# saveRDS(stimuli_vec, "data/theme/stimuli_fullname_vector.RDS")
stim_vec <- readRDS("data/theme/stimuli_fullname_vector.RDS")
####RESPONSE CATEGORY####
# resp_list <- list(
# UPR = c("TUN", "THA"),
# DDR = c("DOX", "NUTL"),
# IMR = c("LPS", "TNFa"),
# MMR = c("BPA", "PFOA")
# )
# response_vec <- unlist(lapply(names(resp_list), function(cat) {
# setNames(rep(cat, length(resp_list[[cat]])), resp_list[[cat]])
# }))
# saveRDS(response_vec, "data/theme/response_categories_vector.RDS")
response_vec <- readRDS("data/theme/response_categories_vector.RDS")
####SPECIES####
# spec_list <- list(
# Human = "H",
# Chimp = "C"
# )
# species_vec <- unlist(lapply(names(spec_list), function(cat) {
# setNames(rep(cat, length(spec_list[[cat]])), spec_list[[cat]])
# }))
# saveRDS(species_vec, "data/theme/species_vector.RDS")
species_vec <- readRDS("data/theme/species_vector.RDS")
####TIME####
# time_list <- list(
# "2hr" = "2",
# "24hr" = "24"
# )
# time_vec <- unlist(lapply(names(time_list), function(cat) {
# setNames(rep(cat, length(time_list[[cat]])), time_list[[cat]])
# }))
# saveRDS(time_vec, "data/theme/time_vector.RDS")
time_vec <- readRDS("data/theme/time_vector.RDS")
####INDIVIDUAL####
# ind_list <- list(
# H24280 = "H1",
# H28126 = "H2",
# "84-1" = "H3",
# H21792 = "H4",
# H20682 = "H5",
# H22422 = "H6",
# "78-1" = "H7",
# C3647 = "C1",
# C8861 = "C2",
# C4020 = "C3",
# C3649 = "C4",
# C3651 = "C5",
# C40280 = "C6",
# C4955 = "C7"
# )
# ind_vec <- unlist(lapply(names(ind_list), function (cat) {
# setNames(rep(cat, length(ind_list[[cat]])), ind_list[[cat]])
# }))
# saveRDS(ind_vec, "data/theme/individual_vector.RDS")
ind_vec <- readRDS("data/theme/individual_vector.RDS")
#color schemes
# ind_col <- list(
# H1 = "#264653",
# H2 = "#2A9D8F",
# H3 = "#06D6A0",
# H4 = "#68DD94",
# H5 = "#22C75E",
# H6 = "#1DC10B",
# H7 = "#2D6910",
# C1 = "#FFB347",
# C2 = "#F97316",
# C3 = "#F44E53",
# C4 = "#C6134F",
# C5 = "#F03A6E",
# C6 = "#5D0E70",
# C7 = "#A069E0"
# )
stim_col <- readRDS("data/theme/stimulus_color_palette_all.RDS")
ind_col <- readRDS("data/theme/individual_category_color_palette.RDS")
time_col <- readRDS("data/theme/time_category_color_palette.RDS")
spec_col <- readRDS("data/theme/species_category_color_palette.RDS")
hc_cpm_matrix <- readRDS("data/counts/hc_cpm_filtered_matrix_subset.RDS")
hc_cpm_matrix_24 <- readRDS("data/counts/hc_filtered_cpm_matrix_24hr_subset.RDS")
#I want to go through my hc_cpm_matrix and add a SYMBOL column for later
# hc_cpm_mat <- hc_cpm_matrix %>%
# as.data.frame() %>%
# rownames_to_column(var = "Entrez_ID") %>%
# mutate(
# SYMBOL = mapIds(
# org.Hs.eg.db,
# keys = Entrez_ID,
# column = "SYMBOL",
# keytype = "ENTREZID",
# multiVals = "first"
# )
# ) %>%
# dplyr::select("Entrez_ID", "SYMBOL", everything())
hc_cpm_mat <- readRDS("data/counts/hc_cpm_matrix_entrezsymbol.RDS")
## Fit limma model using code as it is found in the original cormotif code. It has
## only been modified to add names to the matrix of t values, as well as the
## limma fits
limmafit.default <- function(exprs,groupid,compid) {
limmafits <- list()
compnum <- nrow(compid)
genenum <- nrow(exprs)
limmat <- matrix(0,genenum,compnum)
limmas2 <- rep(0,compnum)
limmadf <- rep(0,compnum)
limmav0 <- rep(0,compnum)
limmag1num <- rep(0,compnum)
limmag2num <- rep(0,compnum)
rownames(limmat) <- rownames(exprs)
colnames(limmat) <- rownames(compid)
names(limmas2) <- rownames(compid)
names(limmadf) <- rownames(compid)
names(limmav0) <- rownames(compid)
names(limmag1num) <- rownames(compid)
names(limmag2num) <- rownames(compid)
for(i in 1:compnum) {
selid1 <- which(groupid == compid[i,1])
selid2 <- which(groupid == compid[i,2])
eset <- new("ExpressionSet", exprs=cbind(exprs[,selid1],exprs[,selid2]))
g1num <- length(selid1)
g2num <- length(selid2)
designmat <- cbind(base=rep(1,(g1num+g2num)), delta=c(rep(0,g1num),rep(1,g2num)))
fit <- lmFit(eset,designmat)
fit <- eBayes(fit)
limmat[,i] <- fit$t[,2]
limmas2[i] <- fit$s2.prior
limmadf[i] <- fit$df.prior
limmav0[i] <- fit$var.prior[2]
limmag1num[i] <- g1num
limmag2num[i] <- g2num
limmafits[[i]] <- fit
# log odds
# w<-sqrt(1+fit$var.prior[2]/(1/g1num+1/g2num))
# log(0.99)+dt(fit$t[1,2],g1num+g2num-2+fit$df.prior,log=TRUE)-log(0.01)-dt(fit$t[1,2]/w, g1num+g2num-2+fit$df.prior, log=TRUE)+log(w)
}
names(limmafits) <- rownames(compid)
limmacompnum<-nrow(compid)
result<-list(t = limmat,
v0 = limmav0,
df0 = limmadf,
s20 = limmas2,
g1num = limmag1num,
g2num = limmag2num,
compnum = limmacompnum,
fits = limmafits)
}
limmafit.counts <-
function (exprs, groupid, compid, norm.factor.method = "TMM", voom.normalize.method = "none")
{
limmafits <- list()
compnum <- nrow(compid)
genenum <- nrow(exprs)
limmat <- matrix(NA,genenum,compnum)
limmas2 <- rep(0,compnum)
limmadf <- rep(0,compnum)
limmav0 <- rep(0,compnum)
limmag1num <- rep(0,compnum)
limmag2num <- rep(0,compnum)
rownames(limmat) <- rownames(exprs)
colnames(limmat) <- rownames(compid)
names(limmas2) <- rownames(compid)
names(limmadf) <- rownames(compid)
names(limmav0) <- rownames(compid)
names(limmag1num) <- rownames(compid)
names(limmag2num) <- rownames(compid)
for (i in 1:compnum) {
message(paste("Running limma for comparision",i,"/",compnum))
selid1 <- which(groupid == compid[i, 1])
selid2 <- which(groupid == compid[i, 2])
# make a new count data frame
counts <- cbind(exprs[, selid1], exprs[, selid2])
# remove NAs
not.nas <- which(apply(counts, 1, function(x) !any(is.na(x))) == TRUE)
# runn voom/limma
d <- DGEList(counts[not.nas,])
d <- calcNormFactors(d, method = norm.factor.method)
g1num <- length(selid1)
g2num <- length(selid2)
designmat <- cbind(base = rep(1, (g1num + g2num)), delta = c(rep(0,
g1num), rep(1, g2num)))
y <- voom(d, designmat, normalize.method = voom.normalize.method)
fit <- lmFit(y, designmat)
fit <- eBayes(fit)
limmafits[[i]] <- fit
limmat[not.nas, i] <- fit$t[, 2]
limmas2[i] <- fit$s2.prior
limmadf[i] <- fit$df.prior
limmav0[i] <- fit$var.prior[2]
limmag1num[i] <- g1num
limmag2num[i] <- g2num
}
limmacompnum <- nrow(compid)
names(limmafits) <- rownames(compid)
result <- list(t = limmat,
v0 = limmav0,
df0 = limmadf,
s20 = limmas2,
g1num = limmag1num,
g2num = limmag2num,
compnum = limmacompnum,
fits = limmafits)
}
limmafit.list <-
function (fitlist, cmp.idx=2)
{
compnum <- length(fitlist)
genes <- c()
for (i in 1:compnum) genes <- unique(c(genes, rownames(fitlist[[i]])))
genenum <- length(genes)
limmat <- matrix(NA,genenum,compnum)
limmas2 <- rep(0,compnum)
limmadf <- rep(0,compnum)
limmav0 <- rep(0,compnum)
limmag1num <- rep(0,compnum)
limmag2num <- rep(0,compnum)
rownames(limmat) <- genes
colnames(limmat) <- names(fitlist)
names(limmas2) <- names(fitlist)
names(limmadf) <- names(fitlist)
names(limmav0) <- names(fitlist)
names(limmag1num) <- names(fitlist)
names(limmag2num) <- names(fitlist)
for (i in 1:compnum) {
this.t <- fitlist[[i]]$t[,cmp.idx]
limmat[names(this.t),i] <- this.t
limmas2[i] <- fitlist[[i]]$s2.prior
limmadf[i] <- fitlist[[i]]$df.prior
limmav0[i] <- fitlist[[i]]$var.prior[cmp.idx]
limmag1num[i] <- sum(fitlist[[i]]$design[,cmp.idx]==0)
limmag2num[i] <- sum(fitlist[[i]]$design[,cmp.idx]==1)
}
limmacompnum <- compnum
result <- list(t = limmat,
v0 = limmav0,
df0 = limmadf,
s20 = limmas2,
g1num = limmag1num,
g2num = limmag2num,
compnum = limmacompnum,
fits = limmafits)
}
## Rank genes based on statistics
generank<-function(x) {
xcol<-ncol(x)
xrow<-nrow(x)
result<-matrix(0,xrow,xcol)
z<-(1:1:xrow)
for(i in 1:xcol) {
y<-sort(x[,i],decreasing=TRUE,na.last=TRUE)
result[,i]<-match(x[,i],y)
result[,i]<-order(result[,i])
}
result
}
## Log-likelihood for moderated t under H0
modt.f0.loglike<-function(x,df) {
a<-dt(x, df, log=TRUE)
result<-as.vector(a)
flag<-which(is.na(result)==TRUE)
result[flag]<-0
result
}
## Log-likelihood for moderated t under H1
## param=c(df,g1num,g2num,v0)
modt.f1.loglike<-function(x,param) {
df<-param[1]
g1num<-param[2]
g2num<-param[3]
v0<-param[4]
w<-sqrt(1+v0/(1/g1num+1/g2num))
dt(x/w, df, log=TRUE)-log(w)
a<-dt(x/w, df, log=TRUE)-log(w)
result<-as.vector(a)
flag<-which(is.na(result)==TRUE)
result[flag]<-0
result
}
## Correlation Motif Fit
cmfit.X<-function(x, type, K=1, tol=1e-3, max.iter=100) {
## initialize
xrow <- nrow(x)
xcol <- ncol(x)
loglike0 <- list()
loglike1 <- list()
p <- rep(1, K)/K
q <- matrix(runif(K * xcol), K, xcol)
q[1, ] <- rep(0.01, xcol)
for (i in 1:xcol) {
f0 <- type[[i]][[1]]
f0param <- type[[i]][[2]]
f1 <- type[[i]][[3]]
f1param <- type[[i]][[4]]
loglike0[[i]] <- f0(x[, i], f0param)
loglike1[[i]] <- f1(x[, i], f1param)
}
condlike <- list()
for (i in 1:xcol) {
condlike[[i]] <- matrix(0, xrow, K)
}
loglike.old <- -1e+10
for (i.iter in 1:max.iter) {
if ((i.iter%%50) == 0) {
print(paste("We have run the first ", i.iter, " iterations for K=",
K, sep = ""))
}
err <- tol + 1
clustlike <- matrix(0, xrow, K)
#templike <- matrix(0, xrow, 2)
templike1 <- rep(0, xrow)
templike2 <- rep(0, xrow)
for (j in 1:K) {
for (i in 1:xcol) {
templike1 <- log(q[j, i]) + loglike1[[i]]
templike2 <- log(1 - q[j, i]) + loglike0[[i]]
tempmax <- Rfast::Pmax(templike1, templike2)
templike1 <- exp(templike1 - tempmax)
templike2 <- exp(templike2 - tempmax)
tempsum <- templike1 + templike2
clustlike[, j] <- clustlike[, j] + tempmax +
log(tempsum)
condlike[[i]][, j] <- templike1/tempsum
}
clustlike[, j] <- clustlike[, j] + log(p[j])
}
#tempmax <- apply(clustlike, 1, max)
tempmax <- Rfast::rowMaxs(clustlike, value=TRUE)
for (j in 1:K) {
clustlike[, j] <- exp(clustlike[, j] - tempmax)
}
#tempsum <- apply(clustlike, 1, sum)
tempsum <- Rfast::rowsums(clustlike)
for (j in 1:K) {
clustlike[, j] <- clustlike[, j]/tempsum
}
#p.new <- (apply(clustlike, 2, sum) + 1)/(xrow + K)
p.new <- (Rfast::colsums(clustlike) + 1)/(xrow + K)
q.new <- matrix(0, K, xcol)
for (j in 1:K) {
clustpsum <- sum(clustlike[, j])
for (i in 1:xcol) {
q.new[j, i] <- (sum(clustlike[, j] * condlike[[i]][,
j]) + 1)/(clustpsum + 2)
}
}
err.p <- max(abs(p.new - p)/p)
err.q <- max(abs(q.new - q)/q)
err <- max(err.p, err.q)
loglike.new <- (sum(tempmax + log(tempsum)) + sum(log(p.new)) +
sum(log(q.new) + log(1 - q.new)))/xrow
p <- p.new
q <- q.new
loglike.old <- loglike.new
if (err < tol) {
break
}
}
clustlike <- matrix(0, xrow, K)
for (j in 1:K) {
for (i in 1:xcol) {
templike1 <- log(q[j, i]) + loglike1[[i]]
templike2 <- log(1 - q[j, i]) + loglike0[[i]]
tempmax <- Rfast::Pmax(templike1, templike2)
templike1 <- exp(templike1 - tempmax)
templike2 <- exp(templike2 - tempmax)
tempsum <- templike1 + templike2
clustlike[, j] <- clustlike[, j] + tempmax + log(tempsum)
condlike[[i]][, j] <- templike1/tempsum
}
clustlike[, j] <- clustlike[, j] + log(p[j])
}
#tempmax <- apply(clustlike, 1, max)
tempmax <- Rfast::rowMaxs(clustlike, value=TRUE)
for (j in 1:K) {
clustlike[, j] <- exp(clustlike[, j] - tempmax)
}
#tempsum <- apply(clustlike, 1, sum)
tempsum <- Rfast::rowsums(clustlike)
for (j in 1:K) {
clustlike[, j] <- clustlike[, j]/tempsum
}
p.post <- matrix(0, xrow, xcol)
for (j in 1:K) {
for (i in 1:xcol) {
p.post[, i] <- p.post[, i] + clustlike[, j] * condlike[[i]][,
j]
}
}
loglike.old <- loglike.old - (sum(log(p)) + sum(log(q) +
log(1 - q)))/xrow
loglike.old <- loglike.old * xrow
result <- list(p.post = p.post, motif.prior = p, motif.q = q,
loglike = loglike.old, clustlike=clustlike, condlike=condlike)
}
## Fit using (0,0,...,0) and (1,1,...,1)
cmfitall<-function(x, type, tol=1e-3, max.iter=100) {
## initialize
xrow<-nrow(x)
xcol<-ncol(x)
loglike0<-list()
loglike1<-list()
p<-0.01
## compute loglikelihood
L0<-matrix(0,xrow,1)
L1<-matrix(0,xrow,1)
for(i in 1:xcol) {
f0<-type[[i]][[1]]
f0param<-type[[i]][[2]]
f1<-type[[i]][[3]]
f1param<-type[[i]][[4]]
loglike0[[i]]<-f0(x[,i],f0param)
loglike1[[i]]<-f1(x[,i],f1param)
L0<-L0+loglike0[[i]]
L1<-L1+loglike1[[i]]
}
## EM algorithm to get MLE of p and q
loglike.old <- -1e10
for(i.iter in 1:max.iter) {
if((i.iter%%50) == 0) {
print(paste("We have run the first ", i.iter, " iterations",sep=""))
}
err<-tol+1
## compute posterior cluster membership
clustlike<-matrix(0,xrow,2)
clustlike[,1]<-log(1-p)+L0
clustlike[,2]<-log(p)+L1
tempmax<-apply(clustlike,1,max)
for(j in 1:2) {
clustlike[,j]<-exp(clustlike[,j]-tempmax)
}
tempsum<-apply(clustlike,1,sum)
## update motif occurrence rate
for(j in 1:2) {
clustlike[,j]<-clustlike[,j]/tempsum
}
p.new<-(sum(clustlike[,2])+1)/(xrow+2)
## evaluate convergence
err<-abs(p.new-p)/p
## evaluate whether the log.likelihood increases
loglike.new<-(sum(tempmax+log(tempsum))+log(p.new)+log(1-p.new))/xrow
loglike.old<-loglike.new
p<-p.new
if(err<tol) {
break;
}
}
## compute posterior p
clustlike<-matrix(0,xrow,2)
clustlike[,1]<-log(1-p)+L0
clustlike[,2]<-log(p)+L1
tempmax<-apply(clustlike,1,max)
for(j in 1:2) {
clustlike[,j]<-exp(clustlike[,j]-tempmax)
}
tempsum<-apply(clustlike,1,sum)
for(j in 1:2) {
clustlike[,j]<-clustlike[,j]/tempsum
}
p.post<-matrix(0,xrow,xcol)
for(i in 1:xcol) {
p.post[,i]<-clustlike[,2]
}
## return
#calculate back loglikelihood
loglike.old<-loglike.old-(log(p)+log(1-p))/xrow
loglike.old<-loglike.old*xrow
result<-list(p.post=p.post, motif.prior=p, loglike=loglike.old)
}
## Fit each dataset separately
cmfitsep<-function(x, type, tol=1e-3, max.iter=100) {
## initialize
xrow<-nrow(x)
xcol<-ncol(x)
loglike0<-list()
loglike1<-list()
p<-0.01*rep(1,xcol)
loglike.final<-rep(0,xcol)
## compute loglikelihood
for(i in 1:xcol) {
f0<-type[[i]][[1]]
f0param<-type[[i]][[2]]
f1<-type[[i]][[3]]
f1param<-type[[i]][[4]]
loglike0[[i]]<-f0(x[,i],f0param)
loglike1[[i]]<-f1(x[,i],f1param)
}
p.post<-matrix(0,xrow,xcol)
## EM algorithm to get MLE of p
for(coli in 1:xcol) {
loglike.old <- -1e10
for(i.iter in 1:max.iter) {
if((i.iter%%50) == 0) {
print(paste("We have run the first ", i.iter, " iterations",sep=""))
}
err<-tol+1
## compute posterior cluster membership
clustlike<-matrix(0,xrow,2)
clustlike[,1]<-log(1-p[coli])+loglike0[[coli]]
clustlike[,2]<-log(p[coli])+loglike1[[coli]]
tempmax<-apply(clustlike,1,max)
for(j in 1:2) {
clustlike[,j]<-exp(clustlike[,j]-tempmax)
}
tempsum<-apply(clustlike,1,sum)
## evaluate whether the log.likelihood increases
loglike.new<-sum(tempmax+log(tempsum))/xrow
## update motif occurrence rate
for(j in 1:2) {
clustlike[,j]<-clustlike[,j]/tempsum
}
p.new<-(sum(clustlike[,2]))/(xrow)
## evaluate convergence
err<-abs(p.new-p[coli])/p[coli]
loglike.old<-loglike.new
p[coli]<-p.new
if(err<tol) {
break;
}
}
## compute posterior p
clustlike<-matrix(0,xrow,2)
clustlike[,1]<-log(1-p[coli])+loglike0[[coli]]
clustlike[,2]<-log(p[coli])+loglike1[[coli]]
tempmax<-apply(clustlike,1,max)
for(j in 1:2) {
clustlike[,j]<-exp(clustlike[,j]-tempmax)
}
tempsum<-apply(clustlike,1,sum)
for(j in 1:2) {
clustlike[,j]<-clustlike[,j]/tempsum
}
p.post[,coli]<-clustlike[,2]
loglike.final[coli]<-loglike.old
}
## return
loglike.final<-loglike.final*xrow
result<-list(p.post=p.post, motif.prior=p, loglike=loglike.final)
}
## Fit the full model
cmfitfull<-function(x, type, tol=1e-3, max.iter=100) {
## initialize
xrow<-nrow(x)
xcol<-ncol(x)
loglike0<-list()
loglike1<-list()
K<-2^xcol
p<-rep(1,K)/K
pattern<-rep(0,xcol)
patid<-matrix(0,K,xcol)
## compute loglikelihood
for(i in 1:xcol) {
f0<-type[[i]][[1]]
f0param<-type[[i]][[2]]
f1<-type[[i]][[3]]
f1param<-type[[i]][[4]]
loglike0[[i]]<-f0(x[,i],f0param)
loglike1[[i]]<-f1(x[,i],f1param)
}
L<-matrix(0,xrow,K)
for(i in 1:K)
{
patid[i,]<-pattern
for(j in 1:xcol) {
if(pattern[j] < 0.5) {
L[,i]<-L[,i]+loglike0[[j]]
} else {
L[,i]<-L[,i]+loglike1[[j]]
}
}
if(i < K) {
pattern[xcol]<-pattern[xcol]+1
j<-xcol
while(pattern[j] > 1) {
pattern[j]<-0
j<-j-1
pattern[j]<-pattern[j]+1
}
}
}
## EM algorithm to get MLE of p and q
loglike.old <- -1e10
for(i.iter in 1:max.iter) {
if((i.iter%%50) == 0) {
print(paste("We have run the first ", i.iter, " iterations",sep=""))
}
err<-tol+1
## compute posterior cluster membership
clustlike<-matrix(0,xrow,K)
for(j in 1:K) {
clustlike[,j]<-log(p[j])+L[,j]
}
tempmax<-apply(clustlike,1,max)
for(j in 1:K) {
clustlike[,j]<-exp(clustlike[,j]-tempmax)
}
tempsum<-apply(clustlike,1,sum)
## update motif occurrence rate
for(j in 1:K) {
clustlike[,j]<-clustlike[,j]/tempsum
}
p.new<-(apply(clustlike,2,sum)+1)/(xrow+K)
## evaluate convergence
err<-max(abs(p.new-p)/p)
## evaluate whether the log.likelihood increases
loglike.new<-(sum(tempmax+log(tempsum))+sum(log(p.new)))/xrow
loglike.old<-loglike.new
p<-p.new
if(err<tol) {
break;
}
}
## compute posterior p
clustlike<-matrix(0,xrow,K)
for(j in 1:K) {
clustlike[,j]<-log(p[j])+L[,j]
}
tempmax<-apply(clustlike,1,max)
for(j in 1:K) {
clustlike[,j]<-exp(clustlike[,j]-tempmax)
}
tempsum<-apply(clustlike,1,sum)
for(j in 1:K) {
clustlike[,j]<-clustlike[,j]/tempsum
}
p.post<-matrix(0,xrow,xcol)
for(j in 1:K) {
for(i in 1:xcol) {
if(patid[j,i] > 0.5) {
p.post[,i]<-p.post[,i]+clustlike[,j]
}
}
}
## return
#calculate back loglikelihood
loglike.old<-loglike.old-sum(log(p))/xrow
loglike.old<-loglike.old*xrow
result<-list(p.post=p.post, motif.prior=p, loglike=loglike.old)
}
generatetype<-function(limfitted)
{
jtype<-list()
df<-limfitted$g1num+limfitted$g2num-2+limfitted$df0
for(j in 1:limfitted$compnum)
{
jtype[[j]]<-list(f0=modt.f0.loglike, f0.param=df[j], f1=modt.f1.loglike, f1.param=c(df[j],limfitted$g1num[j],limfitted$g2num[j],limfitted$v0[j]))
}
jtype
}
cormotiffit <- function(exprs, groupid=NULL, compid=NULL, K=1, tol=1e-3,
max.iter=100, BIC=TRUE, norm.factor.method="TMM",
voom.normalize.method = "none", runtype=c("logCPM","counts","limmafits"), each=3)
{
# first I want to do some typechecking. Input can be either a normalized
# matrix, a count matrix, or a list of limma fits. Dispatch the correct
# limmafit accordingly.
# todo: add some typechecking here
limfitted <- list()
if (runtype=="counts") {DOX_24T_shared_DEGs
limfitted <- limmafit.counts(exprs,groupid,compid, norm.factor.method, voom.normalize.method)
} else if (runtype=="logCPM") {
limfitted <- limmafit.default(exprs,groupid,compid)
} else if (runtype=="limmafits") {
limfitted <- limmafit.list(exprs)
} else {
stop("runtype must be one of 'logCPM', 'counts', or 'limmafits'")
}
jtype<-generatetype(limfitted)
fitresult<-list()
ks <- rep(K, each = each)
fitresult <- bplapply(1:length(ks), function(i, x, type, ks, tol, max.iter) {
cmfit.X(x, type, K = ks[i], tol = tol, max.iter = max.iter)
}, x=limfitted$t, type=jtype, ks=ks, tol=tol, max.iter=max.iter)
best.fitresults <- list()
for (i in 1:length(K)) {
w.k <- which(ks==K[i])
this.bic <- c()
for (j in w.k) this.bic[j] <- -2 * fitresult[[j]]$loglike + (K[i] - 1 + K[i] * limfitted$compnum) * log(dim(limfitted$t)[1])
w.min <- which(this.bic == min(this.bic, na.rm = TRUE))[1]
best.fitresults[[i]] <- fitresult[[w.min]]
}
fitresult <- best.fitresults
bic <- rep(0, length(K))
aic <- rep(0, length(K))
loglike <- rep(0, length(K))
for (i in 1:length(K)) loglike[i] <- fitresult[[i]]$loglike
for (i in 1:length(K)) bic[i] <- -2 * fitresult[[i]]$loglike + (K[i] - 1 + K[i] * limfitted$compnum) * log(dim(limfitted$t)[1])
for (i in 1:length(K)) aic[i] <- -2 * fitresult[[i]]$loglike + 2 * (K[i] - 1 + K[i] * limfitted$compnum)
if(BIC==TRUE) {
bestflag=which(bic==min(bic))
}
else {
bestflag=which(aic==min(aic))
}
result<-list(bestmotif=fitresult[[bestflag]],bic=cbind(K,bic),
aic=cbind(K,aic),loglike=cbind(K,loglike), allmotifs=fitresult)
}
cormotiffitall<-function(exprs,groupid,compid, tol=1e-3, max.iter=100)
{
limfitted<-limmafit(exprs,groupid,compid)
jtype<-generatetype(limfitted)
fitresult<-cmfitall(limfitted$t,type=jtype,tol=1e-3,max.iter=max.iter)
}
cormotiffitsep<-function(exprs,groupid,compid, tol=1e-3, max.iter=100)
{
limfitted<-limmafit(exprs,groupid,compid)
jtype<-generatetype(limfitted)
fitresult<-cmfitsep(limfitted$t,type=jtype,tol=1e-3,max.iter=max.iter)
}
cormotiffitfull<-function(exprs,groupid,compid, tol=1e-3, max.iter=100)
{
limfitted<-limmafit(exprs,groupid,compid)
jtype<-generatetype(limfitted)
fitresult<-cmfitfull(limfitted$t,type=jtype,tol=1e-3,max.iter=max.iter)
}
plotIC<-function(fitted_cormotif)
{
oldpar<-par(mfrow=c(1,2))
plot(fitted_cormotif$bic[,1], fitted_cormotif$bic[,2], type="b",xlab="Motif Number", ylab="BIC", main="BIC")
plot(fitted_cormotif$aic[,1], fitted_cormotif$aic[,2], type="b",xlab="Motif Number", ylab="AIC", main="AIC")
}
plotMotif<-function(fitted_cormotif,title="")
{
layout(matrix(1:2,ncol=2))
u<-1:dim(fitted_cormotif$bestmotif$motif.q)[2]
v<-1:dim(fitted_cormotif$bestmotif$motif.q)[1]
image(u,v,t(fitted_cormotif$bestmotif$motif.q),
col=gray(seq(from=1,to=0,by=-0.1)),xlab="Study",yaxt = "n",
ylab="Corr. Motifs",main=paste(title,"pattern",sep=" "))
axis(2,at=1:length(v))
for(i in 1:(length(u)+1))
{
abline(v=(i-0.5))
}
for(i in 1:(length(v)+1))
{
abline(h=(i-0.5))
}
Ng=10000
if(is.null(fitted_cormotif$bestmotif$p.post)!=TRUE)
Ng=nrow(fitted_cormotif$bestmotif$p.post)
genecount=floor(fitted_cormotif$bestmotif$motif.p*Ng)
NK=nrow(fitted_cormotif$bestmotif$motif.q)
plot(0,0.7,pch=".",xlim=c(0,1.2),ylim=c(0.75,NK+0.25),
frame.plot=FALSE,axes=FALSE,xlab="No. of genes",ylab="", main=paste(title,"frequency",sep=" "))
segments(0,0.7,fitted_cormotif$bestmotif$motif.p[1],0.7)
rect(0,1:NK-0.3,fitted_cormotif$bestmotif$motif.p,1:NK+0.3,
col="dark grey")
mtext(1:NK,at=1:NK,side=2,cex=0.8)
text(fitted_cormotif$bestmotif$motif.p+0.15,1:NK,
labels=floor(fitted_cormotif$bestmotif$motif.p*Ng))
}
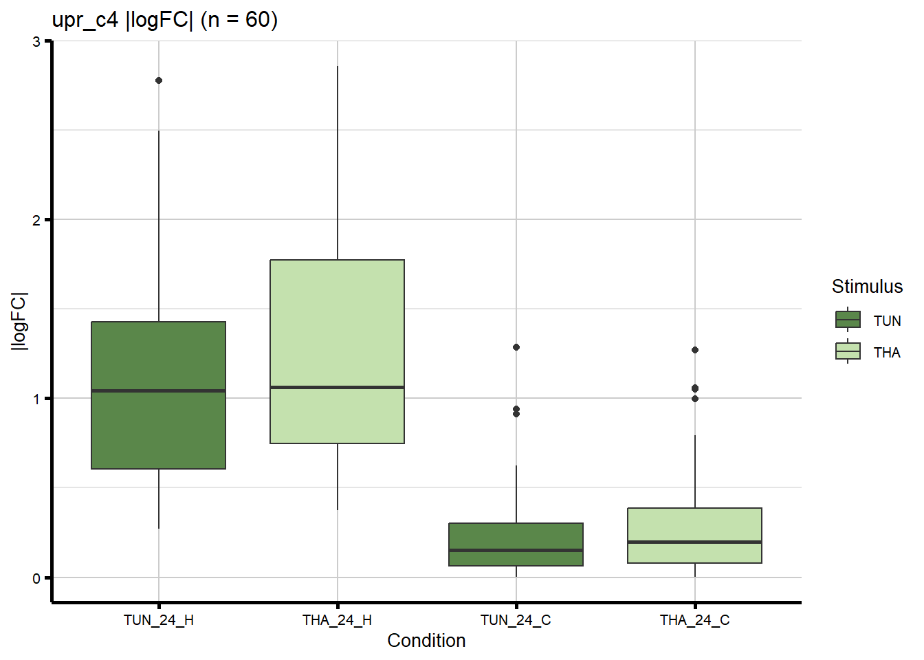
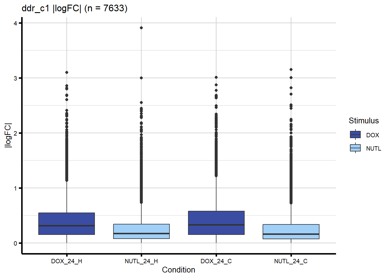
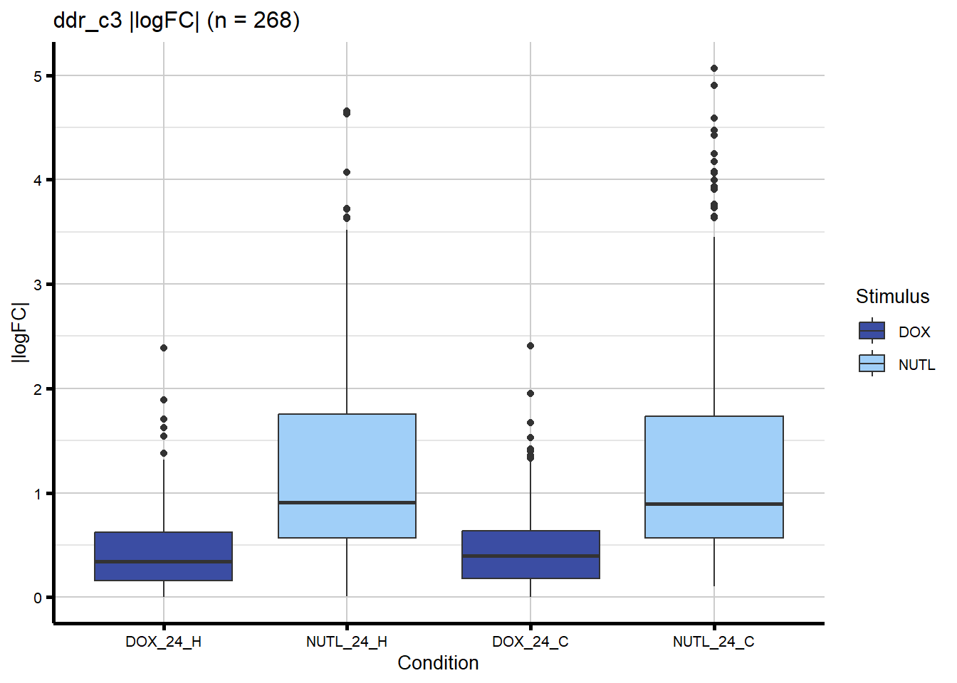
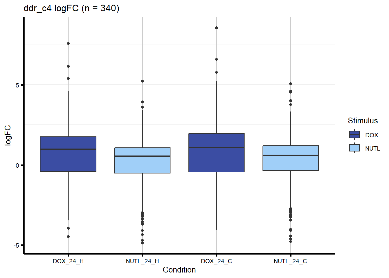
Use the Cormotif package to identify clusters of gene expression patterns across my samples.
hc_cpm_matrix
TUN_2_C1 THA_2_C1 DMSO_2_C1 TUN_24_C1 THA_24_C1
100 3.05279451 2.99891245 2.94932083 2.5874338 2.29154642
1000 11.05270288 10.75283044 11.02653900 11.1462419 11.24847505
10000 6.23231196 6.52593732 6.57158173 6.7563188 6.71956711
10001 4.99406456 4.36957558 4.75152965 4.3591863 4.36285157
10003 3.44851979 3.22383206 3.45650813 3.3546168 2.00177258
100037417 -1.17995959 -1.17995959 -1.17995959 -1.1799596 -1.17995959
100049716 2.22402662 0.94479235 2.25697091 2.0544939 2.92000195
10005 3.12119630 3.20285392 2.82864525 3.2561270 3.82385592
10006 6.16099277 6.10474420 6.15171698 6.3507205 6.32989760
10007 4.29129088 4.48702624 4.31937475 4.6090816 4.87313152
10009 5.03895857 5.36829225 5.09020874 4.9923079 5.26277934
100093630 6.20104897 6.07619046 6.26940587 5.8107153 6.68500853
1001 6.93454838 6.59800753 6.79133662 7.0543517 6.22039347
10010 5.29728381 5.28590562 5.00923139 5.3907760 5.42114431
100101267 1.51543239 2.29042668 1.75930462 1.5717702 1.63878247
100101467 3.08740075 3.36271219 3.11328930 3.6925668 3.97862079
10011 5.83417301 5.73632394 5.99931155 5.3791233 5.65337871
100113386 -1.17995959 -1.17995959 -0.74586447 -0.3605375 -0.32604702
100113397 -0.24421103 0.47034406 0.08562892 0.8410921 0.59495932
100113407 3.69283813 3.78589527 3.81523356 3.5749152 4.69603686
100125288 1.03774623 -0.49187594 0.99336987 1.4874540 2.12474931
100127983 2.55598700 2.78973502 2.69694660 1.8669923 2.53273949
100128006 0.53470674 1.30122695 2.20942898 2.3212802 1.93611587
100128016 0.31868230 0.60436346 0.74926531 0.8410921 0.75583419
100128025 0.31868230 -1.17995959 0.74926531 0.1588344 -0.69072705
100128054 1.41000900 1.37809639 1.75930462 1.9946607 1.93611587
100128071 -1.17995959 -0.49187594 -0.41262148 -0.0776049 -0.32604702
100128191 1.41000900 1.30122695 0.60974551 1.3979025 0.59495932
100128252 2.55598700 2.07644544 2.16026684 2.3691902 3.22500468
100128379 0.72255732 -0.02791639 0.60974551 0.8410921 1.15259929
100128398 3.67018614 3.38150426 3.39408774 3.8528027 4.27263530
100128494 2.34337067 3.32437738 2.82864525 3.0657205 3.16894571
100128569 0.88874221 1.65017807 1.10149973 1.0901191 1.26382673
100128640 -1.17995959 -0.49187594 -0.41262148 -0.3605375 -1.17995959
100128682 -1.17995959 -0.49187594 -1.17995959 -1.1799596 -1.17995959
100128731 6.07307059 6.13827904 6.13590987 6.2196508 6.39548920
100128766 2.02417268 2.29042668 2.69694660 2.6662560 2.57649123
100128782 0.31868230 0.72698447 0.08562892 1.3024224 0.90055607
100128822 -1.17995959 -1.17995959 -1.17995959 -1.1799596 -1.17995959
100128833 2.22402662 1.45107645 1.38439035 1.3979025 1.86732807
100128881 1.70564996 1.71087442 1.29611644 1.6514295 1.63878247
100128893 4.30605897 4.32172778 4.47824920 3.1775799 4.07328137
100129001 0.53470674 0.32258793 0.08562892 1.6514295 1.15259929
100129013 1.51543239 1.45107645 2.30299601 1.7986553 0.75583419
100129029 0.06451611 -0.02791639 0.45527425 -0.0776049 0.59495932
100129060 2.22402662 2.76131924 2.73101540 2.5040549 3.25223792
100129075 -0.24421103 1.58681555 1.10149973 0.8410921 1.03207479
100129195 1.79211206 1.98109705 2.10937014 1.2001725 1.86732807
100129203 0.53470674 0.60436346 0.74926531 0.5399233 0.20673651
100129250 2.45359207 2.02955881 1.88566896 1.3979025 1.79509555
100129259 1.29627029 1.45107645 1.38439035 0.6983523 1.26382673
100129361 5.71750272 5.39165454 5.74800472 5.5077633 5.59075124
100129398 0.31868230 0.60436346 1.10149973 0.5399233 0.59495932
100129434 -1.17995959 0.83999490 0.08562892 -0.3605375 -0.32604702
100129461 -0.24421103 1.30122695 -0.41262148 0.6983523 1.86732807
100129484 0.53470674 1.37809639 0.60974551 0.3619256 2.73932600
100129550 3.97747021 4.37895762 4.03569981 4.2224127 4.45948829
100129583 -0.24421103 -1.17995959 -1.17995959 -0.3605375 1.36708928
100129662 -1.17995959 -0.02791639 0.08562892 -0.3605375 -1.17995959
100129707 0.72255732 0.72698447 0.87647427 0.5399233 1.03207479
100129716 1.61367390 1.22003011 1.94492922 0.9709721 1.46345182
100129726 -1.17995959 0.72698447 1.10149973 0.3619256 1.55377900
100129774 2.78408098 2.73233252 3.32884401 3.2304169 3.25223792
100129781 3.18650127 1.30122695 2.00185104 2.1671939 0.90055607
100129792 0.06451611 -0.49187594 0.08562892 0.1588344 -0.69072705
100129794 1.41000900 1.52054182 1.20208727 0.5399233 1.93611587
100129842 0.06451611 0.47034406 0.60974551 0.3619256 0.90055607
100129917 0.53470674 1.65017807 1.46757307 1.3024224 3.14007763
100129924 -0.24421103 -0.79527867 1.10149973 -0.0776049 0.41386733
100129940 2.28493236 2.12185614 2.69694660 2.5040549 0.90055607
100129995 -0.24421103 -1.17995959 -0.41262148 -1.1799596 -1.17995959
10013 5.36936478 5.36357405 5.49891872 5.3132942 5.65337871
100130111 -1.17995959 -1.17995959 0.28225809 -0.0776049 0.41386733
100130197 0.06451611 -0.49187594 0.08562892 -0.7128372 0.20673651
100130335 2.60458213 2.16588099 2.66205378 2.6273831 3.08054850
100130348 3.47489961 3.40005470 3.28364911 3.0945089 3.84189501
100130357 -0.24421103 -0.49187594 -1.17995959 -1.1799596 0.20673651
100130466 3.12119630 2.81760190 3.45650813 2.9757391 2.98637941
100130476 -1.17995959 0.32258793 1.46757307 0.3619256 0.41386733
100130522 -0.24421103 -0.02791639 0.45527425 0.1588344 0.41386733
100130550 0.31868230 0.32258793 0.28225809 0.8410921 0.90055607
100130564 2.90541838 3.20285392 3.57378794 3.5749152 2.88563171
100130581 1.29627029 0.94479235 0.45527425 0.6983523 2.00177258
100130691 1.03774623 0.47034406 1.10149973 1.4874540 2.00177258
100130705 1.29627029 0.83999490 0.60974551 1.0901191 1.55377900
100130748 1.03774623 1.22003011 -0.14209281 0.9709721 -0.03519931
100130750 -1.17995959 0.15795412 -1.17995959 -1.1799596 -1.17995959
100130855 1.03774623 1.93095065 1.38439035 1.3979025 0.90055607
100130958 0.88874221 0.60436346 0.45527425 -0.3605375 0.20673651
100131017 -1.17995959 -1.17995959 -1.17995959 -1.1799596 -1.17995959
100131031 1.51543239 2.70275143 2.47368338 1.9946607 2.73932600
100131033 0.88874221 1.45107645 0.74926531 1.9322383 1.03207479
100131067 1.70564996 0.60436346 1.62080030 0.8410921 2.12474931
100131089 0.88874221 0.60436346 1.10149973 1.0901191 0.90055607
100131094 0.31868230 -0.02791639 0.45527425 0.1588344 1.03207479
100131138 1.95088969 2.25009440 2.10937014 1.9322383 2.73932600
100131187 -1.17995959 -0.02791639 -1.17995959 -0.3605375 -0.32604702
100131193 1.87368408 1.93095065 2.39086251 1.0901191 0.20673651
100131211 3.15421827 3.26489482 3.28364911 2.8463074 4.04241285
100131213 1.51543239 0.94479235 0.74926531 0.5399233 0.59495932
100131471 1.79211206 2.20860207 1.88566896 2.4604859 1.63878247
100131656 3.33789492 2.97436477 3.06067692 3.1775799 3.56617413
100131685 3.39426742 3.74294306 3.41519604 3.5122843 2.61895511
100131691 2.02417268 1.58681555 1.10149973 1.6514295 2.29154642
100131740 -0.24421103 0.32258793 0.28225809 0.1588344 1.03207479
100131801 2.74125629 2.87177104 2.66205378 2.8463074 2.77731675
100131827 -1.17995959 -1.17995959 0.08562892 -0.3605375 -0.03519931
100131828 -1.17995959 -1.17995959 -0.74586447 -0.7128372 -0.69072705
100131940 1.17279131 0.83999490 0.99336987 -0.3605375 1.63878247
100132074 -1.17995959 -1.17995959 -1.17995959 -1.1799596 -1.17995959
100132086 0.72255732 0.47034406 0.99336987 -0.0776049 0.41386733
100132116 9.39468879 9.09733608 9.25266840 9.0088343 7.27373260
100132126 -0.63751189 -0.49187594 -0.41262148 -0.3605375 0.75583419
100132215 0.06451611 0.94479235 -1.17995959 0.8410921 1.36708928
100132537 2.34337067 2.02955881 2.51337653 3.0063607 2.39291127
100132609 0.53470674 0.15795412 0.45527425 0.5399233 1.46345182
100132659 0.06451611 -0.79527867 -0.74586447 -0.7128372 0.59495932
100132891 0.06451611 -0.02791639 -0.14209281 0.5399233 1.15259929
100132972 -0.63751189 0.32258793 -0.41262148 0.1588344 0.20673651
100133234 -0.63751189 0.83999490 -1.17995959 -0.7128372 0.75583419
100133286 -0.24421103 0.47034406 0.08562892 0.1588344 0.20673651
100133315 0.06451611 0.32258793 0.08562892 0.5399233 -0.32604702
100134934 1.17279131 2.12185614 1.69171394 1.3024224 2.00177258
10014 5.29728381 5.68807778 5.40707704 5.6454539 5.96044272
100144603 1.17279131 1.37809639 1.46757307 1.5717702 1.63878247
100144748 0.72255732 1.45107645 0.45527425 1.2001725 1.26382673
10015 7.24923961 7.20009307 7.30821967 7.2996887 7.22645330
10016 5.54148267 5.20908643 5.39118517 5.3375810 5.54192939
100170229 0.53470674 1.04249012 1.10149973 1.2001725 1.03207479
100170841 3.78004862 3.89454999 3.41519604 3.4468105 3.80558842
10018 2.98098750 2.87177104 2.66205378 3.0945089 4.14768114
100188847 2.34337067 1.37809639 1.38439035 1.4874540 1.46345182
10019 4.90955747 4.74821921 4.46818491 4.5889902 5.04648586
100190938 2.82567104 2.54500057 2.82864525 2.4604859 2.61895511
1002 0.06451611 -0.02791639 -0.14209281 -0.0776049 0.41386733
10020 3.27922980 3.95852528 3.59244008 3.9346886 4.94164962
10021 7.26633131 7.23925401 7.31244488 7.0689315 6.11678330
10023 1.17279131 0.83999490 1.54621999 0.5399233 1.26382673
10024 2.55598700 2.70275143 0.87647427 2.5463466 1.15259929
10026 5.84432606 5.59453369 5.96393647 5.8492334 6.26786853
100268168 0.53470674 0.15795412 0.45527425 -0.3605375 1.26382673
100270804 1.51543239 1.52054182 0.45527425 1.4874540 0.90055607
100270827 -1.17995959 -0.49187594 -0.41262148 -1.1799596 0.20673651
100270840 3.90171170 3.52362963 3.75027179 3.1504176 3.73011359
100270854 1.03774623 2.20860207 2.76429819 2.3691902 2.18251774
100270865 3.36635649 3.34367211 3.83102703 3.2304169 3.67079779
100271271 3.78004862 3.36271219 3.00607300 3.1504176 3.62985422
100271332 2.90541838 2.51126958 2.92008500 2.7409939 3.19724746
100271415 0.31868230 0.83999490 1.75930462 1.2001725 0.75583419
100271479 -1.17995959 -1.17995959 -1.17995959 -0.3605375 -0.69072705
100271884 0.72255732 -0.02791639 0.28225809 0.9709721 0.75583419
100272147 2.09391245 1.87899826 1.82386986 2.1119441 2.88563171
100286844 -0.24421103 -0.02791639 -0.14209281 0.6983523 0.59495932
100287015 -0.24421103 -0.02791639 -0.74586447 -1.1799596 -1.17995959
100287049 -0.63751189 0.47034406 -0.41262148 0.1588344 -0.03519931
100287074 2.60458213 2.07644544 2.10937014 2.0544939 1.79509555
100287616 4.72406553 4.24170897 4.43756380 4.4399238 4.21843154
100287722 0.88874221 1.52054182 1.29611644 0.9709721 1.15259929
100287808 0.06451611 -0.24132526 0.08562892 0.6983523 -1.17995959
100287837 -0.24421103 0.72698447 -0.41262148 -0.7128372 -0.69072705
100287896 2.82567104 2.20860207 2.34759809 2.2204057 2.88563171
100287902 -0.24421103 -0.49187594 -0.41262148 0.5399233 -1.17995959
100287928 2.45359207 2.02955881 2.47368338 2.7041089 2.44104231
100287932 5.52263932 5.49881055 5.34793056 5.3009958 5.30890163
100288001 2.28493236 1.87899826 2.58962956 1.0901191 1.26382673
100288073 3.92102754 4.40674313 3.76678851 3.9024898 7.29843753
100288123 0.72255732 0.15795412 1.62080030 1.2001725 1.55377900
100288198 3.15421827 3.28499607 2.76429819 2.6273831 3.76834451
100288241 0.53470674 0.60436346 1.20208727 1.5717702 0.59495932
100288413 2.16043589 1.52054182 1.94492922 2.3212802 3.01845694
100288513 0.06451611 -0.02791639 0.99336987 0.1588344 -0.32604702
100288842 0.88874221 0.83999490 0.28225809 -0.3605375 1.15259929
100289061 -0.63751189 -0.79527867 0.28225809 0.1588344 -0.03519931
100289095 1.61367390 1.04249012 0.87647427 -0.0776049 0.90055607
100289133 2.02417268 1.45107645 1.46757307 1.2001725 0.90055607
100289178 1.79211206 2.16588099 2.05661199 1.9946607 2.18251774
100289211 0.06451611 0.15795412 0.99336987 1.0901191 1.26382673
100289259 -0.24421103 0.32258793 0.45527425 1.0901191 1.03207479
100289274 1.61367390 2.92397968 1.94492922 1.6514295 4.19054634
100289341 1.87368408 0.94479235 0.99336987 -0.0776049 1.46345182
100289373 -1.17995959 -1.17995959 -1.17995959 -1.1799596 -1.17995959
100289388 0.88874221 1.13398943 -0.14209281 1.7269196 2.12474931
100289414 -0.24421103 0.72698447 -0.14209281 -0.0776049 0.75583419
100289635 4.54889491 4.79101693 4.70942840 5.3009958 5.66355731
100289640 1.51543239 1.87899826 1.88566896 0.9709721 1.86732807
100289678 1.79211206 2.40506975 2.00185104 2.6273831 3.04983674
100293516 3.67018614 3.78589527 3.69955583 3.7659878 3.38118845
100294362 1.29627029 2.29042668 2.00185104 1.7986553 2.12474931
1003 -1.17995959 0.60436346 -0.41262148 0.1588344 -1.17995959
100302692 1.03774623 1.58681555 2.05661199 0.8410921 2.12474931
100302736 2.16043589 1.37809639 2.05661199 1.9322383 2.73932600
100303728 2.98098750 2.94939217 3.13889306 3.1227340 2.73932600
100303755 0.88874221 0.60436346 1.88566896 1.4874540 1.36708928
100312828 -1.17995959 -0.79527867 0.28225809 -0.0776049 -0.32604702
100312850 -1.17995959 -1.17995959 0.28225809 -1.1799596 0.20673651
10036 4.32067742 4.46956766 4.47824920 3.9970074 3.67079779
100379345 2.69712140 2.51126958 2.69694660 1.7269196 2.70030771
10038 4.58567193 5.00002141 4.98825638 4.9377469 5.06195917
100381270 0.72255732 0.32258793 0.87647427 1.4874540 0.20673651
10039 6.13641411 5.88200895 6.16423913 6.0790782 5.87542299
1004 6.78970592 6.65704000 6.75454413 7.5746201 5.68370159
10040 2.78408098 2.57796089 2.79683044 2.4604859 3.58771466
100418710 0.31868230 0.47034406 0.28225809 1.8669923 1.79509555
100418735 4.04944820 3.65300078 3.69955583 3.5543389 3.14007763
100418744 0.06451611 2.02955881 1.62080030 1.2001725 1.03207479
100418770 2.74125629 2.54500057 2.39086251 2.9124743 2.44104231
100418781 1.03774623 1.93095065 1.10149973 1.3024224 1.03207479
100418819 0.72255732 1.30122695 0.74926531 0.5399233 1.46345182
100418829 2.02417268 2.47673103 2.97797596 2.2204057 2.57649123
100418888 1.51543239 1.58681555 1.10149973 1.4874540 1.36708928
100418889 2.02417268 2.57796089 2.55200678 1.9946607 2.98637941
100418910 1.87368408 1.76911995 1.82386986 2.2204057 1.36708928
100418919 2.28493236 2.02955881 2.20942898 2.4155601 1.79509555
100419028 1.41000900 0.94479235 1.38439035 1.7986553 0.20673651
100419185 -0.24421103 -0.24132526 -0.41262148 0.8410921 0.41386733
100419416 1.70564996 1.76911995 0.87647427 0.6983523 0.59495932
100419515 -0.24421103 0.47034406 -0.41262148 0.5399233 0.75583419
100419645 0.31868230 0.60436346 0.45527425 0.3619256 -0.69072705
100419758 -1.17995959 -1.17995959 -0.74586447 -0.7128372 -1.17995959
100419928 1.51543239 1.30122695 1.38439035 1.0901191 2.00177258
10042 5.12476111 5.18254336 5.10976230 5.0595558 4.99098377
100420028 1.03774623 0.60436346 0.60974551 0.3619256 -0.03519931
100420050 0.53470674 0.72698447 -1.17995959 -0.3605375 -0.69072705
100420110 3.94008818 3.34367211 2.82864525 3.4014499 3.33098270
100420187 1.51543239 1.37809639 1.82386986 2.2717244 1.93611587
100420259 4.03178756 3.81383571 3.99421973 3.8013431 4.01086938
100420307 -0.24421103 0.15795412 0.45527425 -0.3605375 1.15259929
100420341 5.39030505 4.91228210 5.00227354 5.0812927 6.49858751
100420423 1.17279131 0.60436346 1.20208727 0.1588344 0.75583419
100420591 0.72255732 0.60436346 0.87647427 0.8410921 2.06457088
100420707 2.09391245 1.98109705 2.39086251 2.2204057 1.15259929
100420752 1.95088969 1.65017807 1.94492922 1.7986553 2.53273949
100420869 4.16736611 3.66838597 3.83102703 3.6349400 3.49955291
100420981 5.50354659 5.49017867 5.47900876 5.2823492 5.75683245
100421093 3.92102754 3.86814381 3.51633945 3.9346886 3.25223792
100421109 -0.24421103 0.32258793 1.20208727 0.1588344 -0.32604702
100421160 -0.24421103 1.04249012 0.08562892 0.9709721 0.20673651
100421175 1.03774623 0.32258793 0.08562892 1.5717702 1.15259929
100421246 1.41000900 1.22003011 1.38439035 1.9322383 2.29154642
100421311 2.55598700 2.25009440 0.99336987 2.5040549 2.81433269
100421372 1.51543239 1.13398943 1.38439035 1.9322383 2.34311891
100421400 2.39953372 2.07644544 1.94492922 2.0544939 2.57649123
100421415 0.06451611 -1.17995959 -0.41262148 -0.3605375 -0.32604702
100421429 0.31868230 -0.24132526 -1.17995959 -0.3605375 -0.03519931
100421465 2.28493236 1.13398943 1.62080030 2.3212802 2.12474931
100421468 2.22402662 1.98109705 0.87647427 1.7986553 1.55377900
100421506 -1.17995959 0.15795412 0.74926531 -0.7128372 -0.32604702
100421569 -0.63751189 0.72698447 0.45527425 0.1588344 0.20673651
100421595 1.41000900 2.12185614 1.62080030 1.2001725 1.79509555
100421794 2.94369767 2.64170501 2.92008500 2.8797701 3.33098270
100422106 1.41000900 1.37809639 1.29611644 1.4874540 1.26382673
100422338 2.09391245 1.65017807 1.38439035 2.7041089 1.86732807
100422546 1.03774623 0.60436346 -0.41262148 -0.3605375 0.59495932
100422561 4.26129329 3.92048152 4.45804991 4.0271855 4.45948829
10043 5.25984623 5.22997479 5.10976230 5.3315475 5.55292237
10044 2.78408098 3.04678921 2.97797596 3.6152079 1.36708928
10045 -0.24421103 -0.02791639 -1.17995959 0.5399233 2.57649123
10046 1.70564996 1.52054182 1.75930462 1.9946607 1.79509555
10048 6.44072491 6.20309709 6.42058328 6.2294183 6.87875333
10049 5.50354659 5.29584593 5.05701876 5.3907760 5.73286504
100499177 2.78408098 3.40005470 2.79683044 2.7409939 3.67079779
100499483 0.72255732 0.60436346 0.28225809 1.2001725 1.93611587
1005 1.51543239 0.72698447 0.45527425 1.3024224 1.55377900
100500719 0.31868230 -0.02791639 -0.41262148 0.5399233 0.41386733
100505385 2.69712140 3.32437738 3.03363328 2.5040549 1.63878247
100505501 1.29627029 1.22003011 1.20208727 1.2001725 1.79509555
100505538 0.31868230 -0.02791639 -0.14209281 -0.7128372 0.20673651
100505549 -1.17995959 -0.79527867 0.08562892 -1.1799596 -1.17995959
100505573 5.50993895 5.41464453 5.29197228 5.1307738 5.11484507
100505576 4.41905792 4.18934537 4.26227540 3.9186790 3.60893829
100505616 0.31868230 -0.02791639 -1.17995959 0.1588344 0.20673651
100505624 1.51543239 1.58681555 1.20208727 1.8669923 1.15259929
100505635 0.88874221 1.87899826 0.99336987 1.2001725 1.26382673
100505641 2.09391245 2.97436477 2.25697091 2.2717244 2.61895511
100505648 2.34337067 2.36785851 2.55200678 2.7769594 2.95357239
100505678 1.79211206 1.76911995 1.69171394 1.6514295 1.03207479
100505696 3.78004862 4.00773832 3.73356378 3.7479799 3.94563483
100505715 -1.17995959 -0.79527867 -1.17995959 -0.0776049 -0.32604702
100505738 2.09391245 1.04249012 0.74926531 1.3024224 1.55377900
100505741 1.51543239 1.04249012 0.74926531 1.2001725 0.90055607
100505758 3.01733771 3.04678921 2.85977358 2.9757391 3.11062008
100505761 1.03774623 1.37809639 1.75930462 1.7986553 1.93611587
100505771 2.39953372 3.32437738 3.45650813 2.8120500 2.18251774
100505783 -1.17995959 -1.17995959 -0.14209281 -1.1799596 -1.17995959
100505806 3.44851979 3.20285392 2.73101540 2.0544939 3.27896659
100505812 -1.17995959 -1.17995959 -0.41262148 -1.1799596 -1.17995959
100505832 -1.17995959 -0.79527867 -1.17995959 -0.3605375 -1.17995959
100505854 -0.24421103 -0.02791639 0.08562892 0.6983523 0.59495932
100505876 5.45136170 5.17178787 5.35886640 4.6961833 5.74249984
100505894 1.17279131 0.60436346 0.99336987 0.1588344 1.46345182
100505933 0.53470674 -1.17995959 -0.14209281 -0.0776049 1.26382673
100505994 -1.17995959 -0.49187594 -0.41262148 -0.3605375 2.00177258
100506020 0.53470674 0.32258793 0.74926531 1.3024224 0.90055607
100506033 4.13464714 4.12389222 3.71666001 3.8861168 3.71061138
100506054 0.31868230 -0.02791639 -0.74586447 0.5399233 -0.69072705
100506068 -0.24421103 -0.49187594 0.08562892 0.1588344 -1.17995959
100506070 -1.17995959 0.15795412 -0.41262148 -0.3605375 0.90055607
100506083 0.88874221 0.32258793 0.60974551 0.6983523 1.15259929
100506100 -0.24421103 1.22003011 0.08562892 0.3619256 -0.32604702
100506119 0.72255732 0.32258793 0.45527425 -0.3605375 0.59495932
100506127 1.17279131 0.32258793 1.29611644 2.2204057 2.18251774
100506142 -1.17995959 -0.24132526 -1.17995959 -1.1799596 -0.03519931
100506144 0.88874221 0.32258793 0.99336987 -0.0776049 1.15259929
100506161 0.53470674 -0.79527867 0.08562892 1.0901191 1.15259929
100506211 2.28493236 3.26489482 3.51633945 2.6662560 1.93611587
100506235 0.53470674 1.65017807 1.54621999 0.9709721 1.03207479
100506258 -0.63751189 -0.79527867 -0.41262148 -1.1799596 -1.17995959
100506282 1.03774623 0.47034406 1.62080030 1.0901191 2.12474931
100506286 -0.63751189 -0.02791639 0.08562892 -0.3605375 -0.03519931
100506302 0.53470674 0.83999490 0.60974551 0.3619256 0.90055607
100506321 0.72255732 0.72698447 0.28225809 0.3619256 0.20673651
100506325 -1.17995959 0.32258793 0.28225809 -0.3605375 0.59495932
100506343 -0.24421103 0.72698447 0.99336987 1.3024224 0.41386733
100506365 4.41905792 4.57944538 4.66606150 4.6677297 5.03868653
100506368 -1.17995959 0.32258793 -1.17995959 -0.7128372 0.41386733
100506380 1.17279131 2.29042668 2.05661199 2.1671939 2.23806178
100506392 2.55598700 3.50661102 3.61085415 3.4014499 4.05792967
100506394 -1.17995959 -0.02791639 -1.17995959 -0.3605375 1.03207479
100506411 1.70564996 -0.02791639 0.74926531 0.8410921 1.03207479
100506433 0.06451611 1.13398943 0.74926531 0.8410921 0.41386733
100506462 -0.24421103 -0.02791639 0.08562892 0.1588344 -0.03519931
100506469 1.61367390 2.02955881 1.75930462 1.2001725 2.70030771
100506495 -0.24421103 0.32258793 0.45527425 -1.1799596 0.20673651
100506504 1.29627029 1.76911995 2.00185104 2.1671939 1.36708928
100506540 1.17279131 1.22003011 1.82386986 1.0901191 0.59495932
100506581 2.50569778 2.44134528 2.76429819 2.8463074 3.67079779
100506606 -1.17995959 -0.24132526 -1.17995959 -0.7128372 -0.03519931
100506658 0.53470674 0.83999490 0.28225809 0.3619256 1.93611587
100506668 2.09391245 2.02955881 2.25697091 1.5717702 2.98637941
100506686 0.31868230 0.32258793 0.60974551 0.9709721 2.23806178
100506691 -0.24421103 0.72698447 -0.14209281 -1.1799596 0.59495932
100506696 0.72255732 -0.02791639 0.60974551 -0.0776049 0.20673651
100506697 1.29627029 0.60436346 1.20208727 1.3979025 0.59495932
100506710 3.64717281 4.11268873 3.59244008 4.1141077 5.00706058
100506713 -0.24421103 -0.49187594 -0.14209281 0.9709721 -0.03519931
100506725 3.55126281 2.70275143 2.97797596 3.0063607 1.86732807
100506731 0.06451611 0.83999490 0.74926531 0.1588344 1.79509555
100506757 0.88874221 -0.49187594 0.45527425 0.1588344 1.86732807
100506779 -0.24421103 -0.79527867 -0.74586447 -0.7128372 -0.03519931
100506804 -1.17995959 -0.02791639 0.45527425 -1.1799596 -0.69072705
100506826 1.17279131 0.47034406 0.99336987 -0.3605375 0.90055607
100506844 2.02417268 1.22003011 1.82386986 1.3024224 2.06457088
100506866 3.86228643 4.13500938 4.68356500 4.0857116 4.16211152
100506881 2.02417268 2.07644544 2.00185104 1.9322383 2.34311891
100506885 0.72255732 0.94479235 0.74926531 0.3619256 -1.17995959
100506911 0.06451611 0.60436346 -0.14209281 -1.1799596 -0.03519931
100506922 0.31868230 -0.79527867 -1.17995959 -1.1799596 -1.17995959
100506930 3.36635649 3.45431641 3.11328930 3.1504176 4.07328137
100506994 0.31868230 0.94479235 0.74926531 -0.7128372 -0.69072705
100507003 -0.63751189 -0.49187594 -0.74586447 -1.1799596 -0.32604702
100507032 -1.17995959 -1.17995959 -1.17995959 -1.1799596 -1.17995959
100507034 2.94369767 3.18156623 3.28364911 2.9124743 3.52210354
100507050 -1.17995959 0.94479235 -0.14209281 0.5399233 0.90055607
100507053 -1.17995959 -0.49187594 -1.17995959 -1.1799596 -0.03519931
100507057 -0.63751189 -0.79527867 -0.41262148 -0.3605375 -0.03519931
100507062 0.06451611 -0.49187594 0.74926531 -0.3605375 0.20673651
100507071 0.53470674 0.47034406 -0.41262148 0.1588344 0.75583419
100507156 3.80105171 4.06698393 4.37429998 3.9505225 4.44775682
100507171 2.28493236 2.07644544 2.25697091 2.2717244 3.76834451
100507173 -1.17995959 -0.02791639 -1.17995959 -0.3605375 0.41386733
100507178 -0.63751189 -0.24132526 -1.17995959 -1.1799596 0.75583419
100507244 1.41000900 1.04249012 1.20208727 1.8669923 1.63878247
100507246 3.67018614 3.71358095 3.41519604 3.6349400 3.74935568
100507250 0.06451611 0.32258793 0.74926531 -0.0776049 -0.03519931
100507254 1.51543239 2.29042668 1.38439035 1.2001725 -0.03519931
100507266 -0.24421103 -0.24132526 0.60974551 -0.3605375 1.26382673
100507290 4.36366449 4.77689162 4.27387749 4.3710006 4.75434449
100507291 -1.17995959 -0.24132526 -0.14209281 -1.1799596 0.59495932
100507303 2.65159361 2.61018498 2.43286718 2.0544939 2.70030771
100507308 1.29627029 1.87899826 0.45527425 1.4874540 0.90055607
100507316 -1.17995959 0.32258793 -0.41262148 -1.1799596 -0.32604702
100507331 1.17279131 1.30122695 1.75930462 1.7986553 2.44104231
100507347 2.28493236 2.29042668 1.75930462 1.7269196 2.81433269
100507373 1.61367390 1.22003011 2.00185104 2.3212802 2.44104231
100507392 0.88874221 1.30122695 1.20208727 1.0901191 0.20673651
100507398 -0.24421103 -0.24132526 0.99336987 -0.7128372 1.55377900
100507401 -0.24421103 0.83999490 0.87647427 0.8410921 0.59495932
100507420 -0.24421103 -0.49187594 -1.17995959 0.9709721 -0.32604702
100507433 -0.24421103 1.30122695 1.38439035 0.1588344 1.55377900
100507436 0.31868230 -0.79527867 0.60974551 0.1588344 -0.32604702
100507437 1.29627029 0.47034406 1.10149973 0.5399233 1.15259929
100507459 0.31868230 0.60436346 -0.14209281 1.0901191 0.75583419
100507463 0.06451611 -0.49187594 -0.14209281 0.3619256 0.41386733
100507487 1.03774623 1.22003011 1.10149973 0.3619256 2.95357239
100507495 3.15421827 3.57351310 3.87739583 4.0420411 3.97862079
100507516 -0.24421103 -0.02791639 0.60974551 0.1588344 -0.69072705
100507551 -0.63751189 -0.02791639 0.08562892 -0.3605375 -0.03519931
100507557 0.53470674 1.52054182 0.28225809 1.0901191 2.29154642
100507564 0.06451611 0.83999490 0.60974551 0.3619256 0.20673651
100507567 -0.24421103 0.32258793 -1.17995959 -0.0776049 0.75583419
100507588 -0.63751189 -0.02791639 0.60974551 0.5399233 1.63878247
100507599 -0.24421103 -0.49187594 0.08562892 0.1588344 -0.32604702
100507602 4.57351679 4.39754062 4.36348095 3.9346886 4.19054634
100508120 0.53470674 1.04249012 1.29611644 -0.3605375 1.03207479
10051 5.71750272 5.86207606 6.03042405 6.0862627 4.92482275
10052 1.29627029 0.83999490 1.20208727 1.3024224 0.41386733
100526737 1.79211206 2.02955881 1.69171394 1.3024224 1.79509555
100526760 1.03774623 1.13398943 1.10149973 1.3979025 1.63878247
100526820 0.31868230 0.32258793 -0.14209281 -0.3605375 -1.17995959
100526835 3.33789492 3.18156623 3.49667010 2.4604859 3.38118845
100527978 -0.63751189 -0.79527867 -0.41262148 -0.3605375 0.20673651
100529145 1.29627029 0.72698447 1.69171394 0.9709721 1.71905500
100529215 -0.63751189 -0.49187594 -1.17995959 0.8410921 1.15259929
100532746 3.42164861 3.45431641 3.49667010 3.5952022 3.76834451
100533106 -0.24421103 -0.02791639 0.60974551 -0.3605375 0.41386733
100533182 -0.24421103 -0.24132526 0.28225809 0.3619256 -1.17995959
100533619 -1.17995959 -1.17995959 -0.41262148 -0.3605375 -1.17995959
100533629 -0.63751189 0.47034406 0.45527425 -0.3605375 -0.32604702
100533695 0.88874221 0.60436346 0.08562892 0.6983523 -0.03519931
100533970 0.31868230 1.37809639 0.74926531 -0.7128372 1.63878247
100534593 0.31868230 -0.79527867 0.60974551 0.5399233 0.41386733
10054 6.17312683 5.97774045 6.10051232 6.0646010 6.34894432
10056 5.47115290 5.36829225 5.66232115 5.5395169 5.83095731
10057 6.44072491 6.38870247 6.52379402 6.4543045 7.10660337
10058 5.07389430 4.81194892 4.80048117 5.0956042 6.15335759
10059 6.68626035 6.79659760 6.85644513 6.9733558 6.72443715
1006 3.33789492 3.28499607 3.73356378 2.9124743 2.88563171
10060 2.09391245 1.71087442 1.54621999 2.2717244 1.63878247
100616256 0.31868230 -0.79527867 -0.41262148 0.5399233 0.41386733
10062 0.53470674 0.94479235 1.20208727 0.1588344 1.63878247
10063 3.08740075 3.55707618 3.61085415 3.1227340 3.49955291
100652739 0.06451611 -0.02791639 0.08562892 -0.0776049 0.41386733
100652758 1.70564996 0.60436346 1.10149973 0.3619256 2.34311891
100652846 -0.63751189 1.45107645 1.10149973 0.9709721 0.20673651
10066 6.33668705 6.31729946 6.33456288 6.0969728 6.52673981
10067 5.67262364 5.33010740 5.44861896 5.3907760 5.70849273
10068 2.74125629 2.99891245 2.94932083 2.3212802 3.47664418
10069 2.16043589 2.67255109 2.97797596 3.2561270 3.42970565
10072 4.85033772 4.89276593 4.83221645 4.8974715 4.50548289
10073 3.24897772 3.45431641 3.79926528 3.3546168 3.62985422
10075 8.31898295 8.71429944 8.70368837 8.8437816 8.81429999
10076 5.39030505 5.01814804 4.80848067 5.0595558 5.40303319
10077 0.06451611 0.15795412 -0.41262148 -0.0776049 1.15259929
100775107 0.06451611 0.83999490 0.45527425 0.3619256 1.15259929
10078 4.99406456 4.74821921 4.57520940 4.4621854 4.83761223
10079 4.76739594 4.56307629 4.93809517 5.2183939 5.35359498
1008 4.48543652 4.06698393 4.48824376 4.4058738 4.07328137
10081 4.43258022 4.39754062 4.28538703 4.3472745 4.67606528
10082 7.53276276 7.25717158 7.45685509 7.0377712 6.76754326
100820829 3.78004862 4.00773832 3.68224643 3.2304169 2.92000195
10084 5.28242515 5.13349936 5.00923139 4.7783243 4.81951917
100847074 2.22402662 1.71087442 1.54621999 2.3691902 2.23806178
10085 10.11904455 9.85745051 10.02941325 10.0480855 9.79548311
100852407 1.29627029 1.22003011 1.94492922 1.4874540 1.71905500
100861412 -0.24421103 0.32258793 0.08562892 -0.3605375 1.71905500
100861548 4.18345147 3.85475724 4.16593836 4.4949467 5.37852584
100862671 0.06451611 1.13398943 0.08562892 0.1588344 -0.03519931
10087 5.90378806 5.99919253 5.61749226 5.7621968 6.28115076
100873257 -1.17995959 -0.49187594 -0.74586447 -0.7128372 -1.17995959
100873333 1.70564996 2.70275143 2.66205378 3.1775799 1.93611587
100873790 2.22402662 2.76131924 1.94492922 2.3212802 1.79509555
100873949 -0.24421103 0.15795412 0.87647427 0.5399233 -0.03519931
100873952 -0.24421103 -0.49187594 0.08562892 0.1588344 0.59495932
100873965 1.87368408 1.22003011 1.38439035 1.4874540 1.46345182
100874006 1.61367390 2.40506975 1.88566896 1.7986553 2.53273949
100874008 1.70564996 1.37809639 0.99336987 0.6983523 1.26382673
100874014 1.41000900 1.13398943 1.46757307 1.9322383 0.90055607
100874058 1.03774623 1.52054182 0.45527425 0.6983523 1.86732807
100874080 1.17279131 1.22003011 1.10149973 1.4874540 1.03207479
100874097 1.29627029 1.04249012 1.46757307 1.8669923 2.00177258
100874201 0.53470674 0.60436346 0.28225809 0.1588344 -0.32604702
100874212 1.03774623 1.13398943 0.99336987 1.2001725 1.15259929
100874217 0.53470674 0.47034406 0.45527425 0.5399233 1.15259929
100874235 -0.24421103 -0.49187594 -0.41262148 0.3619256 0.41386733
100874261 1.17279131 0.32258793 1.69171394 1.3024224 2.00177258
100874291 0.72255732 0.60436346 0.28225809 -1.1799596 -0.32604702
100874362 0.31868230 1.30122695 1.10149973 1.0901191 2.06457088
100874523 1.51543239 1.13398943 2.05661199 1.8669923 1.26382673
100885775 2.22402662 2.54500057 2.82864525 2.2717244 2.06457088
100885776 0.72255732 0.72698447 0.45527425 -0.0776049 1.03207479
100885848 4.62153469 4.72633463 4.93809517 4.7514602 3.80558842
1009 10.66334939 10.50733101 10.59666756 10.6701566 9.71028698
10090 4.79906052 4.35062646 4.44784322 4.8974715 5.06195917
10092 7.87860240 7.65484755 7.84982416 7.7646102 7.64128605
10093 7.47512355 7.30224880 7.36220514 7.3257221 6.97588759
10094 3.73710226 3.68360882 3.83102703 3.7112753 4.08847144
10095 6.22066758 6.04999979 6.20420141 6.3114089 6.14611654
10097 8.85858662 8.81968269 8.77889884 8.9014324 8.40808209
10098 6.40344309 6.49822401 6.27518998 6.5431361 6.31383097
10099 7.76561265 7.54557409 7.58346195 7.5212828 7.85510410
100996246 2.09391245 1.58681555 1.94492922 2.4604859 1.63878247
100996251 -0.24421103 -1.17995959 0.28225809 -0.0776049 1.36708928
100996307 1.51543239 0.47034406 1.54621999 2.1119441 1.71905500
100996384 0.72255732 0.60436346 0.74926531 0.3619256 0.59495932
100996419 0.53470674 0.32258793 0.28225809 -0.7128372 -0.03519931
100996485 2.34337067 1.71087442 1.46757307 1.7269196 1.93611587
100996539 -0.24421103 -0.02791639 0.28225809 -1.1799596 0.20673651
100996579 -1.17995959 -0.02791639 -1.17995959 -1.1799596 -0.32604702
100996696 2.45359207 3.20285392 2.76429819 2.8120500 3.19724746
100996842 1.79211206 1.93095065 2.10937014 0.8410921 2.06457088
100996851 -0.63751189 -0.02791639 0.60974551 0.6983523 -0.03519931
100996939 0.88874221 0.83999490 1.38439035 0.9709721 1.79509555
101 0.31868230 0.47034406 0.08562892 -0.7128372 1.26382673
1010 1.03774623 1.22003011 0.60974551 0.5399233 0.75583419
10100 5.07389430 4.61163670 4.74320712 4.3231518 3.08054850
10101 4.62153469 4.71896538 4.27387749 4.3472745 4.82859406
10102 4.79906052 4.61957353 4.50802755 4.2986187 4.67606528
10103 -0.24421103 -0.49187594 0.08562892 -0.0776049 1.79509555
10105 6.11560710 6.06169883 5.98526543 5.6503095 6.02107296
10106 7.25305530 7.19346164 7.15979293 7.0851597 7.74797342
101060200 1.79211206 2.73233252 2.66205378 2.0544939 3.30520906
101060691 1.51543239 0.15795412 0.45527425 1.6514295 2.48761931
10109 8.89322993 8.71984779 8.83626807 8.8953098 8.57645267
10112 4.39162705 4.23138719 4.26227540 4.5889902 1.93611587
10113 6.06874713 6.35106108 6.21928151 6.3144712 6.88093600
10114 7.23387511 7.29483306 7.27973087 7.2365144 7.42947231
101154753 0.06451611 0.47034406 -0.41262148 -0.3605375 0.41386733
10116 7.62398840 7.79898250 7.63047256 7.5999397 7.69685516
10117 0.53470674 0.72698447 0.99336987 -1.1799596 0.20673651
1012 8.73920084 8.48535044 8.64849491 8.8148798 9.11755185
10121 6.11560710 6.01130916 6.16735276 6.2196508 6.02896784
10123 7.00638625 7.02888934 6.92978498 6.6512414 7.06112919
DOX_24_C1 NUTL_24_C1 DMSO_24_C1 LPS_24_C1 TNFa_24_C1
100 2.74826350 3.08315735 2.2512235 3.60425323 2.47567487
1000 10.90445741 10.93865628 11.0110334 10.93508398 11.02710880
10000 5.73045433 6.35954434 6.7348328 6.51282348 6.79320291
10001 4.26862223 4.74869377 4.4619780 4.40442961 4.50804205
10003 4.67537699 3.08315735 3.4276290 2.83042671 2.09830050
100037417 -1.17995959 -1.17995959 -1.1799596 -1.17995959 -1.17995959
100049716 0.72805590 1.92165536 1.6234261 2.01705598 1.75172008
10005 2.74826350 3.80710444 3.3950899 3.00259388 3.08551111
10006 4.84761291 6.09923446 6.3196211 6.13013065 6.33175954
10007 4.47975527 5.19342662 4.6391472 4.62075905 4.49639921
10009 2.98807034 5.11895267 5.7080594 4.70295815 5.39712543
100093630 5.04635927 6.19791589 6.1641652 6.10389555 6.55582945
1001 7.22582419 7.20343551 6.7118980 6.91968515 6.32848004
10010 4.51851212 5.30145505 5.1778073 5.09421030 6.06637336
100101267 -1.17995959 2.31036894 1.2394847 1.81008890 1.67116141
100101467 2.74826350 3.05438145 3.5210617 3.37273349 2.95548951
10011 4.91694874 6.43961341 5.4072340 5.65498873 5.95594458
100113386 0.53992662 0.35407598 0.4867173 0.60712969 0.62171366
100113397 1.04363804 0.35407598 1.0848599 -0.02577209 1.06168687
100113407 5.36265429 3.84119730 3.7441465 3.68737143 3.74701452
100125288 2.95076956 2.26085023 1.7316311 1.16637279 0.78374281
100127983 1.04363804 1.71654911 2.0979208 1.88242756 2.88580290
100128006 0.89445882 1.08063686 1.0848599 1.38133181 2.15863958
100128016 0.32353335 0.68964609 0.4867173 0.21736109 -0.01445173
100128025 2.23082080 -0.08398883 -0.1182440 -0.31835381 -1.17995959
100128054 0.06885607 0.35407598 0.2157166 1.95131159 0.92939797
100128071 1.30242625 0.96170402 0.2157166 1.04555240 -0.30910349
100128191 2.51261736 0.83207853 0.9116512 0.91368123 0.92939797
100128252 0.89445882 2.20957126 2.1766074 2.54860255 2.15863958
100128379 0.06885607 0.96170402 0.4867173 -0.68576948 0.62171366
100128398 2.29175576 3.73640218 3.7697545 3.62548601 3.74701452
100128494 2.35022098 2.72981480 3.1827502 3.09682305 3.39235794
100128569 1.41626698 0.83207853 1.5064426 1.56837658 1.29463549
100128640 1.71213837 -0.36571344 -1.1799596 -1.17995959 -1.17995959
100128682 -1.17995959 -1.17995959 -1.1799596 -1.17995959 -1.17995959
100128731 7.44117889 6.50753190 6.0642292 6.33412929 6.52177616
100128766 3.19363966 2.44947706 2.7399868 3.06609212 2.42744112
100128782 1.30242625 0.15160703 0.4867173 0.60712969 -0.30910349
100128822 -1.17995959 -1.17995959 -1.1799596 -1.17995959 -1.17995959
100128833 0.72805590 1.56158145 1.2394847 1.81008890 2.69526393
100128881 1.79865940 2.31036894 2.3221694 2.07993448 1.96947924
100128893 4.50570851 3.36676102 3.9818150 3.82221483 3.70716585
100129001 1.52177801 -0.08398883 0.9116512 1.16637279 0.23010767
100129013 0.32353335 1.71654911 1.6234261 1.38133181 1.49514733
100129029 0.32353335 0.15160703 1.0848599 0.76853240 -0.67979605
100129060 0.89445882 2.76576074 2.6872107 3.12691301 2.42744112
100129075 2.70411326 0.15160703 1.2394847 0.91368123 0.78374281
100129195 2.23082080 2.40458170 1.5064426 2.40864175 2.09830050
100129203 4.12531608 0.35407598 1.2394847 -0.31835381 1.06168687
100129250 2.91247872 1.98401898 -1.1799596 2.19802284 2.09830050
100129259 0.06885607 0.96170402 0.2157166 1.04555240 1.82801733
100129361 3.28639077 5.76815325 5.3742263 5.43212109 5.69580893
100129398 1.04363804 -0.71613884 0.9116512 0.60712969 1.18285779
100129434 0.06885607 0.53159580 -1.1799596 -0.31835381 0.23010767
100129461 1.04363804 0.53159580 1.0848599 1.38133181 1.96947924
100129484 2.23082080 2.31036894 1.0848599 0.91368123 0.23010767
100129550 4.50570851 4.90997388 4.4140644 4.05912082 3.80479685
100129583 0.32353335 -1.17995959 -1.1799596 0.42536838 -0.30910349
100129662 0.89445882 -1.17995959 -0.1182440 -1.17995959 0.62171366
100129707 -1.17995959 0.68964609 0.4867173 0.76853240 0.92939797
100129716 0.53992662 1.38794214 -0.1182440 0.76853240 0.92939797
100129726 2.46049027 0.83207853 0.9116512 0.42536838 -0.30910349
100129774 2.95076956 2.83507243 3.4905848 2.45681988 3.26090585
100129781 1.30242625 2.35824423 2.0146936 1.88242756 1.58583700
100129792 1.04363804 -0.71613884 -0.1182440 0.42536838 -0.30910349
100129794 -1.17995959 1.71654911 -0.1182440 0.21736109 0.78374281
100129842 -0.24062641 1.08063686 0.2157166 0.42536838 1.39837211
100129917 -0.24062641 1.71654911 0.2157166 2.01705598 1.06168687
100129924 0.53992662 -0.36571344 0.9116512 -0.31835381 1.29463549
100129940 -1.17995959 0.83207853 -0.5535614 0.42536838 0.78374281
100129995 -1.17995959 -0.36571344 -0.1182440 -1.17995959 -1.17995959
10013 5.37678604 4.90192028 5.6333054 5.45602237 5.31996214
100130111 -0.24062641 -1.17995959 -1.1799596 -0.68576948 -0.01445173
100130197 -0.24062641 0.35407598 0.7147731 -0.68576948 0.78374281
100130335 2.95076956 2.86851827 2.8876342 2.90177739 3.23311451
100130348 1.30242625 3.45747339 3.5801493 3.12691301 3.11626466
100130357 -1.17995959 -0.08398883 1.2394847 -0.68576948 -1.17995959
100130466 3.34506945 3.13904246 3.1441104 3.39763057 3.02196458
100130476 1.17882701 1.08063686 -0.1182440 -0.68576948 0.43915729
100130522 2.03086178 -0.36571344 -0.1182440 0.76853240 -0.30910349
100130550 0.32353335 0.15160703 0.9116512 0.42536838 1.29463549
100130564 3.12831789 2.53528207 3.2570572 2.75536284 2.84965527
100130581 1.71213837 1.56158145 1.2394847 1.73393072 0.78374281
100130691 1.52177801 0.96170402 1.3791296 0.60712969 2.15863958
100130705 2.79110264 0.53159580 0.7147731 1.04555240 1.29463549
100130748 -0.24062641 0.68964609 0.2157166 -0.31835381 1.18285779
100130750 -0.24062641 -1.17995959 -1.1799596 -1.17995959 -1.17995959
100130855 1.71213837 1.47737257 1.8322836 0.60712969 1.49514733
100130958 1.52177801 0.53159580 1.2394847 1.27785216 0.43915729
100131017 -1.17995959 -1.17995959 -1.1799596 -1.17995959 -1.17995959
100131031 0.72805590 1.92165536 1.9263696 2.45681988 2.77452391
100131033 1.17882701 1.78820710 2.0979208 2.30717242 2.09830050
100131067 0.72805590 1.78820710 1.6234261 2.25362962 1.29463549
100131089 0.72805590 0.35407598 0.4867173 0.60712969 0.62171366
100131094 -1.17995959 0.83207853 1.5064426 0.91368123 0.23010767
100131138 2.29175576 1.98401898 2.1766074 1.88242756 1.18285779
100131187 0.72805590 0.15160703 1.0848599 1.16637279 -0.30910349
100131193 1.04363804 -0.08398883 1.3791296 1.38133181 0.92939797
100131211 3.31602842 3.24470965 3.4905848 3.66703650 3.51282649
100131213 3.19363966 0.96170402 0.7147731 1.04555240 0.78374281
100131471 1.17882701 2.40458170 1.3791296 2.07993448 1.82801733
100131656 3.98476171 3.02501990 2.8876342 2.79338292 3.68682101
100131685 2.83270633 2.96444090 3.7949158 3.51605199 3.60244521
100131691 2.29175576 1.98401898 1.3791296 1.04555240 1.67116141
100131740 0.53992662 1.08063686 -0.5535614 0.42536838 0.62171366
100131801 4.03908681 3.08315735 2.9782878 3.37273349 2.42744112
100131827 1.04363804 -0.36571344 -0.1182440 -1.17995959 0.23010767
100131828 -0.24062641 -0.08398883 -0.5535614 -0.31835381 -0.67979605
100131940 0.32353335 0.15160703 1.2394847 0.42536838 1.06168687
100132074 -1.17995959 -0.08398883 -1.1799596 -0.68576948 -1.17995959
100132086 -1.17995959 0.83207853 1.0848599 0.91368123 0.43915729
100132116 8.76023329 8.09931228 9.1070016 9.16900103 8.81255713
100132126 -1.17995959 0.35407598 0.4867173 -0.02577209 0.43915729
100132215 1.71213837 0.35407598 1.3791296 1.27785216 0.43915729
100132537 2.10063988 2.10119852 2.5162051 2.45681988 2.15863958
100132609 0.06885607 0.83207853 0.2157166 -0.31835381 1.29463549
100132659 -0.63515687 0.15160703 0.2157166 -0.68576948 0.23010767
100132891 -1.17995959 2.10119852 0.4867173 -0.31835381 1.29463549
100132972 -1.17995959 0.53159580 -0.1182440 -0.68576948 1.06168687
100133234 1.17882701 -0.71613884 1.0848599 -0.31835381 0.78374281
100133286 -0.24062641 0.15160703 1.0848599 0.42536838 0.43915729
100133315 0.32353335 0.53159580 1.5064426 -1.17995959 0.62171366
100134934 0.89445882 1.98401898 0.7147731 1.65352709 2.21655604
10014 5.31207374 5.52765834 5.8647971 5.82981120 5.12959249
100144603 -0.24062641 1.78820710 1.2394847 2.01705598 1.75172008
100144748 5.74686870 2.57634375 1.2394847 0.60712969 0.23010767
10015 5.98688923 7.42192899 7.4641862 7.21057880 7.49216569
10016 4.85772439 5.63358726 5.5095738 5.25271146 5.41578821
100170229 1.62009562 1.08063686 0.4867173 1.04555240 0.23010767
100170841 6.42797149 3.19284326 4.3475990 3.85853481 4.01523655
10018 5.78974867 4.34747227 1.9263696 3.24136411 3.60244521
100188847 1.52177801 1.92165536 1.9263696 1.47788336 1.39837211
10019 5.49162516 4.86924865 5.1092528 4.57783380 5.36547408
100190938 1.52177801 1.19050744 2.3221694 2.83042671 2.88580290
1002 0.32353335 -0.71613884 -0.1182440 0.42536838 0.23010767
10020 2.03086178 3.80710444 3.2203821 3.91135585 3.60244521
10021 6.13973071 6.62715994 7.1278936 6.66925007 6.60001846
10023 2.91247872 1.78820710 -1.1799596 1.38133181 1.06168687
10024 2.16719819 -1.17995959 3.1441104 1.73393072 2.52234804
10026 6.95620891 5.89529397 5.7916840 5.77385827 5.71602829
100268168 1.17882701 -0.08398883 0.4867173 -0.02577209 0.62171366
100270804 0.72805590 0.53159580 -0.1182440 -1.17995959 1.18285779
100270827 -0.24062641 -0.08398883 0.2157166 -1.17995959 -0.30910349
100270840 3.42884156 3.80710444 3.6088097 3.87635757 3.70716585
100270854 2.79110264 2.10119852 2.3897894 1.88242756 2.47567487
100270865 3.96618905 3.54281788 3.2570572 3.56082654 3.80479685
100271271 3.42884156 3.36676102 2.3221694 3.44617168 3.02196458
100271332 1.52177801 2.53528207 2.1766074 2.79338292 3.08551111
100271415 0.72805590 0.83207853 1.0848599 0.76853240 1.29463549
100271479 -0.63515687 -0.36571344 -0.1182440 -1.17995959 -0.30910349
100271884 0.72805590 -0.08398883 -0.5535614 -0.68576948 1.06168687
100272147 2.61154025 1.92165536 2.4543815 1.16637279 2.42744112
100286844 0.06885607 -0.08398883 -0.5535614 -1.17995959 -0.01445173
100287015 -1.17995959 0.53159580 0.2157166 0.91368123 -0.30910349
100287049 0.53992662 0.15160703 0.7147731 -0.31835381 0.78374281
100287074 2.16719819 2.61626900 1.9263696 2.45681988 2.88580290
100287616 2.74826350 3.52195039 4.4302131 4.69293576 5.36547408
100287722 0.53992662 0.53159580 0.4867173 1.04555240 0.78374281
100287808 3.45571843 -0.08398883 -0.1182440 0.21736109 -1.17995959
100287837 0.53992662 -0.71613884 -0.5535614 -0.31835381 -0.30910349
100287896 -1.17995959 2.96444090 2.2512235 1.88242756 2.37753883
100287902 1.04363804 -1.17995959 0.4867173 -0.31835381 -1.17995959
100287928 2.46049027 2.44947706 0.9116512 2.50344098 2.47567487
100287932 3.98476171 5.26424410 5.2882439 5.29969849 4.87469514
100288001 1.41626698 2.15640225 1.7316311 2.19802284 0.78374281
100288073 2.40640889 3.90705726 4.2779231 3.80370610 3.80479685
100288123 0.32353335 0.96170402 0.9116512 0.21736109 0.23010767
100288198 2.03086178 3.08315735 2.6324305 2.40864175 2.92106693
100288241 0.53992662 1.08063686 0.7147731 0.91368123 1.06168687
100288413 2.10063988 2.15640225 1.6234261 1.16637279 2.15863958
100288513 0.53992662 0.53159580 -0.1182440 0.42536838 0.23010767
100288842 -1.17995959 1.29259956 0.7147731 0.21736109 0.92939797
100289061 2.10063988 -0.08398883 0.4867173 0.60712969 -1.17995959
100289095 1.71213837 1.08063686 1.2394847 1.88242756 1.18285779
100289133 0.89445882 -0.36571344 1.7316311 1.27785216 1.67116141
100289178 2.61154025 2.15640225 1.6234261 2.14018655 0.92939797
100289211 -1.17995959 0.68964609 -0.5535614 0.21736109 0.62171366
100289259 0.32353335 0.68964609 0.2157166 0.91368123 0.78374281
100289274 3.40145447 2.31036894 2.1766074 1.27785216 2.61139506
100289341 3.37353740 1.56158145 1.3791296 1.65352709 0.92939797
100289373 1.88028387 -0.36571344 -1.1799596 0.21736109 -1.17995959
100289388 1.41626698 2.04379812 1.0848599 1.27785216 0.62171366
100289414 1.04363804 -0.71613884 -0.1182440 -0.31835381 -0.30910349
100289635 3.02443096 5.16678787 5.1488248 4.97520532 5.22439049
100289640 1.52177801 1.38794214 1.9263696 0.42536838 1.58583700
100289678 1.71213837 2.35824423 1.9263696 2.50344098 2.32584840
100293516 1.17882701 3.69970777 4.0249873 3.91135585 4.03146259
100294362 1.04363804 1.29259956 1.9263696 1.95131159 1.96947924
1003 1.30242625 0.83207853 -0.1182440 1.73393072 2.15863958
100302692 0.32353335 1.08063686 1.9263696 1.16637279 1.75172008
100302736 1.62009562 1.08063686 1.2394847 1.56837658 1.75172008
100303728 2.29175576 3.24470965 2.5162051 2.96976499 3.05408770
100303755 -1.17995959 1.47737257 1.3791296 1.27785216 1.29463549
100312828 -1.17995959 0.15160703 0.7147731 0.60712969 0.23010767
100312850 -0.24062641 -1.17995959 -0.1182440 -1.17995959 0.23010767
10036 2.83270633 3.45747339 4.0874160 3.92854167 3.68682101
100379345 0.32353335 2.26085023 2.1766074 2.19802284 2.61139506
10038 2.95076956 4.71231462 4.7844112 4.73261421 4.73306059
100381270 -0.24062641 0.68964609 0.2157166 0.60712969 1.58583700
10039 5.67435045 5.79449357 6.0796680 6.19547999 6.05847710
1004 6.18460446 8.12721428 7.2374868 7.04513585 7.04172634
10040 2.83270633 3.13904246 2.4543815 2.25362962 3.08551111
100418710 2.56292651 1.71654911 1.9263696 2.01705598 2.32584840
100418735 4.07419936 3.66205564 3.6369118 3.24136411 3.08551111
100418744 1.17882701 2.31036894 1.2394847 1.73393072 1.06168687
100418770 1.17882701 1.08063686 2.1766074 2.19802284 1.96947924
100418781 0.06885607 0.96170402 1.0848599 1.65352709 0.62171366
100418819 -0.24062641 0.53159580 -0.1182440 0.91368123 1.29463549
100418829 0.53992662 1.98401898 2.6324305 2.67617797 1.18285779
100418888 1.71213837 1.56158145 1.7316311 0.91368123 0.43915729
100418889 0.72805590 2.10119852 2.1766074 1.65352709 2.09830050
100418910 0.72805590 2.26085023 0.7147731 1.56837658 1.58583700
100418919 2.03086178 1.85647367 2.7909001 1.73393072 2.15863958
100419028 -1.17995959 0.53159580 1.3791296 0.91368123 0.78374281
100419185 0.53992662 0.83207853 -1.1799596 0.60712969 1.67116141
100419416 -0.24062641 1.08063686 0.4867173 0.76853240 1.49514733
100419515 -1.17995959 -0.36571344 0.2157166 0.60712969 -0.30910349
100419645 0.06885607 -0.71613884 -0.1182440 -0.68576948 0.92939797
100419758 -0.63515687 -1.17995959 -1.1799596 -0.31835381 0.43915729
100419928 -1.17995959 0.53159580 0.7147731 1.27785216 1.82801733
10042 3.09451334 5.27675470 5.0266958 5.20414245 5.28655152
100420028 1.62009562 0.15160703 0.9116512 0.21736109 0.23010767
100420050 -0.63515687 0.15160703 0.4867173 -0.31835381 -0.30910349
100420110 2.29175576 3.62339446 3.0215642 3.34739920 3.51282649
100420187 1.04363804 1.64114502 1.6234261 2.01705598 0.92939797
100420259 2.79110264 3.80710444 3.3950899 3.74671106 4.21314815
100420307 0.06885607 1.47737257 0.2157166 1.04555240 -0.01445173
100420341 4.79596435 4.48320941 4.9944769 4.86347770 4.99541146
100420423 0.89445882 0.15160703 1.5064426 0.76853240 0.92939797
100420591 0.72805590 0.53159580 2.1766074 1.16637279 0.62171366
100420707 1.71213837 2.35824423 2.2512235 2.01705598 2.73543815
100420752 1.30242625 1.98401898 1.0848599 1.81008890 1.49514733
100420869 3.60724347 3.62339446 3.7949158 4.24893892 3.39235794
100420981 5.73045433 5.46890361 5.3058552 5.36427446 5.87733110
100421093 3.37353740 3.64285455 3.6369118 3.32161207 3.76653357
100421109 0.06885607 0.15160703 1.0848599 0.42536838 0.43915729
100421160 -1.17995959 0.53159580 0.4867173 -0.02577209 0.92939797
100421175 1.71213837 -0.36571344 1.8322836 1.38133181 1.18285779
100421246 1.17882701 1.92165536 1.5064426 1.81008890 1.58583700
100421311 2.74826350 2.20957126 2.0979208 1.56837658 1.90048145
100421372 1.52177801 0.53159580 2.2512235 1.04555240 0.78374281
100421400 1.52177801 1.47737257 2.4543815 1.73393072 2.47567487
100421415 -1.17995959 -0.36571344 0.4867173 -0.02577209 -1.17995959
100421429 -0.24062641 -0.08398883 -0.5535614 1.16637279 0.23010767
100421465 0.89445882 1.56158145 1.9263696 2.19802284 2.09830050
100421468 -0.24062641 0.35407598 1.6234261 1.38133181 1.90048145
100421506 -0.63515687 -0.71613884 0.2157166 -0.31835381 -1.17995959
100421569 0.32353335 -1.17995959 0.4867173 0.60712969 0.62171366
100421595 -1.17995959 1.08063686 0.7147731 1.16637279 0.78374281
100421794 2.95076956 2.96444090 3.1044071 3.09682305 2.61139506
100422106 0.72805590 1.29259956 1.3791296 1.88242756 1.58583700
100422338 1.88028387 1.98401898 2.1766074 1.88242756 2.42744112
100422546 0.72805590 0.68964609 0.4867173 0.42536838 1.06168687
100422561 2.98807034 4.53620217 4.0249873 4.42879020 4.53104959
10043 4.20668085 5.06947686 5.0372775 5.06342307 4.84745882
10044 2.74826350 0.15160703 3.7180758 2.79338292 3.11626466
10045 -0.63515687 -0.36571344 0.2157166 1.27785216 -0.01445173
10046 0.53992662 0.83207853 2.7909001 1.81008890 0.62171366
10048 6.15621038 6.30867012 6.1250175 5.93134325 6.40831079
10049 6.11886282 5.53808861 5.5396562 5.42608338 5.51143985
100499177 1.52177801 2.96444090 2.9336729 1.95131159 2.84965527
100499483 1.79865940 0.15160703 0.7147731 0.91368123 0.92939797
1005 1.88028387 0.15160703 2.0146936 1.65352709 -0.30910349
100500719 0.72805590 0.53159580 0.4867173 -1.17995959 1.06168687
100505385 2.35022098 3.60366828 2.8876342 2.54860255 2.61139506
100505501 2.65856914 0.15160703 -0.1182440 0.21736109 1.75172008
100505538 2.79110264 1.47737257 0.2157166 1.38133181 0.23010767
100505549 -1.17995959 0.53159580 -1.1799596 -1.17995959 -1.17995959
100505573 5.34119369 6.44516612 5.4553713 5.43212109 5.35905962
100505576 4.28370078 3.60366828 4.3304930 3.76596067 3.66618516
100505616 0.53992662 0.35407598 0.4867173 -1.17995959 -1.17995959
100505624 1.04363804 0.83207853 1.2394847 1.47788336 1.06168687
100505635 -1.17995959 -0.08398883 1.2394847 2.14018655 1.18285779
100505641 2.61154025 2.69295029 3.1044071 2.30717242 2.95548951
100505648 0.72805590 2.40458170 2.3221694 2.67617797 2.03532723
100505678 1.17882701 1.56158145 2.2512235 1.81008890 2.03532723
100505696 2.23082080 3.84119730 4.1275832 3.37273349 3.28817194
100505715 -0.24062641 -0.71613884 -0.1182440 -1.17995959 -1.17995959
100505738 1.62009562 1.64114502 1.2394847 1.47788336 0.92939797
100505741 1.71213837 1.19050744 1.3791296 0.21736109 1.67116141
100505758 2.56292651 2.40458170 2.9336729 2.96976499 2.95548951
100505761 1.95753646 1.78820710 0.9116512 1.88242756 0.43915729
100505771 2.35022098 3.58366864 3.1044071 2.90177739 2.92106693
100505783 0.72805590 0.15160703 -1.1799596 -1.17995959 -1.17995959
100505806 1.95753646 2.72981480 2.7909001 2.35879898 2.65393886
100505812 -1.17995959 -1.17995959 -0.1182440 -0.31835381 -1.17995959
100505832 -0.24062641 -1.17995959 -1.1799596 -1.17995959 -1.17995959
100505854 2.51261736 0.15160703 1.2394847 0.21736109 -0.30910349
100505876 4.65232648 5.81179035 4.7590643 5.06342307 5.30669060
100505894 -1.17995959 1.38794214 0.7147731 1.16637279 -0.30910349
100505933 0.72805590 -0.36571344 -0.5535614 -0.02577209 -0.67979605
100505994 -1.17995959 -0.71613884 -0.1182440 -0.31835381 -1.17995959
100506020 -1.17995959 1.71654911 0.7147731 0.42536838 0.62171366
100506033 3.55848225 4.00053156 3.6088097 3.92854167 4.15509193
100506054 0.72805590 0.96170402 -1.1799596 -1.17995959 -0.01445173
100506068 1.17882701 -1.17995959 0.4867173 -0.31835381 -0.30910349
100506070 0.06885607 -0.36571344 0.2157166 0.91368123 -0.30910349
100506083 0.32353335 0.83207853 0.4867173 -0.31835381 1.06168687
100506100 0.32353335 0.15160703 -0.1182440 -0.31835381 -1.17995959
100506119 1.30242625 1.08063686 -0.1182440 0.21736109 -0.30910349
100506127 1.17882701 1.92165536 2.0979208 0.60712969 1.18285779
100506142 -1.17995959 -0.36571344 -1.1799596 -0.68576948 -0.01445173
100506144 1.04363804 1.78820710 -0.1182440 1.16637279 1.06168687
100506161 0.32353335 1.08063686 0.9116512 -0.68576948 0.78374281
100506211 -1.17995959 2.44947706 3.2203821 4.07464253 3.72722776
100506235 -0.24062641 -0.08398883 0.7147731 -0.31835381 1.58583700
100506258 -0.24062641 -0.36571344 -0.1182440 -1.17995959 -0.01445173
100506282 1.30242625 1.19050744 2.0146936 1.16637279 1.06168687
100506286 3.22522390 -1.17995959 -1.1799596 0.21736109 -1.17995959
100506302 0.32353335 1.29259956 0.2157166 1.27785216 0.43915729
100506321 0.06885607 0.68964609 -0.1182440 -0.02577209 0.62171366
100506325 1.04363804 -0.36571344 -0.1182440 0.76853240 -0.01445173
100506343 0.72805590 0.53159580 0.2157166 -0.02577209 0.43915729
100506365 3.31602842 4.51523806 4.6110890 4.02756725 4.86567338
100506368 -0.63515687 -0.36571344 -1.1799596 -1.17995959 -0.67979605
100506380 -0.24062641 2.20957126 1.5064426 1.38133181 1.90048145
100506392 1.62009562 2.61626900 3.3618000 3.44617168 3.26090585
100506394 0.72805590 0.35407598 -1.1799596 -1.17995959 -0.01445173
100506411 1.71213837 -0.08398883 -1.1799596 0.21736109 0.78374281
100506433 -0.24062641 0.53159580 0.4867173 -0.31835381 -0.30910349
100506462 0.53992662 0.68964609 -0.5535614 0.21736109 0.23010767
100506469 2.65856914 1.64114502 1.3791296 1.95131159 1.90048145
100506495 1.04363804 0.83207853 -0.1182440 -0.02577209 0.23010767
100506504 0.32353335 1.64114502 2.2512235 1.27785216 1.49514733
100506540 1.71213837 0.35407598 1.2394847 0.76853240 0.92939797
100506581 2.40640889 3.08315735 2.8876342 2.63489373 3.28817194
100506606 0.72805590 0.15160703 -1.1799596 0.21736109 -0.30910349
100506658 2.16719819 -1.17995959 0.4867173 0.21736109 0.23010767
100506668 2.51261736 3.02501990 1.5064426 2.90177739 2.56755847
100506686 0.32353335 1.29259956 0.9116512 0.91368123 0.43915729
100506691 -1.17995959 -1.17995959 -1.1799596 -0.02577209 -0.30910349
100506696 3.12831789 -0.71613884 -0.1182440 0.21736109 0.62171366
100506697 0.72805590 0.15160703 1.0848599 0.76853240 1.49514733
100506710 3.28639077 4.54657108 4.1472550 3.85853481 4.15509193
100506713 0.89445882 0.35407598 0.2157166 0.21736109 1.18285779
100506725 2.29175576 1.47737257 2.3221694 2.71631361 2.42744112
100506731 3.58306886 0.68964609 0.2157166 1.27785216 1.82801733
100506757 1.17882701 -0.08398883 1.3791296 1.27785216 0.62171366
100506779 0.53992662 -0.36571344 -1.1799596 0.42536838 0.43915729
100506804 0.72805590 -0.36571344 -1.1799596 -1.17995959 -0.30910349
100506826 0.53992662 0.35407598 -0.1182440 0.60712969 0.78374281
100506844 1.95753646 1.71654911 1.8322836 0.91368123 0.43915729
100506866 4.07419936 3.50077663 4.3645046 3.58270328 3.82355454
100506881 4.22241729 2.69295029 1.6234261 1.95131159 2.15863958
100506885 -0.24062641 -0.71613884 1.0848599 1.27785216 -0.01445173
100506911 -0.24062641 0.35407598 0.2157166 0.21736109 0.78374281
100506922 1.71213837 -1.17995959 -0.5535614 -0.31835381 -0.30910349
100506930 2.16719819 2.90120626 2.6324305 3.24136411 3.68682101
100506994 1.62009562 0.53159580 0.7147731 -0.31835381 0.62171366
100507003 -1.17995959 -0.71613884 -1.1799596 0.21736109 -1.17995959
100507032 -1.17995959 -1.17995959 -1.1799596 -1.17995959 -1.17995959
100507034 3.86956050 2.93317001 3.1827502 3.06609212 3.05408770
100507050 2.83270633 0.35407598 -0.1182440 1.16637279 1.18285779
100507053 -0.24062641 -1.17995959 -1.1799596 -0.02577209 -0.67979605
100507057 0.06885607 -1.17995959 -1.1799596 0.42536838 -0.67979605
100507062 1.71213837 -1.17995959 0.2157166 -0.68576948 -0.30910349
100507071 -0.24062641 0.83207853 0.7147731 0.60712969 1.18285779
100507156 4.28370078 4.14400573 3.9597345 4.12023016 4.34882277
100507171 1.71213837 2.40458170 2.8400778 2.01705598 3.31493226
100507173 0.06885607 0.15160703 -0.5535614 0.42536838 -1.17995959
100507178 -0.24062641 0.53159580 0.4867173 -0.02577209 -0.01445173
100507244 1.79865940 2.10119852 1.0848599 1.16637279 1.18285779
100507246 1.95753646 3.47928747 3.3618000 3.29535561 3.66618516
100507250 -0.63515687 -0.08398883 0.2157166 0.21736109 -0.67979605
100507254 -0.24062641 -0.36571344 1.5064426 0.91368123 0.78374281
100507266 -0.24062641 -0.36571344 -0.1182440 -0.31835381 0.23010767
100507290 3.16134844 4.18440596 4.6802371 4.56689992 3.80479685
100507291 0.06885607 -1.17995959 1.2394847 -0.68576948 -1.17995959
100507303 2.10063988 1.56158145 2.0979208 1.04555240 1.82801733
100507308 1.41626698 -1.17995959 1.0848599 0.76853240 -0.01445173
100507316 0.53992662 0.15160703 -1.1799596 -1.17995959 -1.17995959
100507331 1.95753646 2.35824423 0.2157166 1.47788336 1.67116141
100507347 0.53992662 2.15640225 1.7316311 1.81008890 1.82801733
100507373 1.79865940 2.04379812 2.6324305 1.65352709 1.29463549
100507392 1.30242625 1.78820710 0.2157166 1.47788336 0.92939797
100507398 1.30242625 0.35407598 0.9116512 1.16637279 0.78374281
100507401 1.52177801 -0.36571344 0.7147731 1.27785216 1.29463549
100507420 0.06885607 0.15160703 -1.1799596 0.21736109 0.78374281
100507433 2.65856914 1.85647367 1.5064426 0.60712969 0.23010767
100507436 0.53992662 1.29259956 -1.1799596 -0.31835381 -0.01445173
100507437 -0.24062641 0.35407598 0.2157166 0.42536838 -0.01445173
100507459 0.32353335 -0.36571344 1.2394847 1.16637279 0.43915729
100507463 0.72805590 0.68964609 -0.5535614 1.16637279 1.67116141
100507487 1.62009562 1.78820710 1.9263696 1.56837658 1.18285779
100507495 3.37353740 3.52195039 3.9145330 3.68737143 3.94844345
100507516 -0.24062641 -0.36571344 1.3791296 0.21736109 0.62171366
100507551 0.72805590 0.35407598 -0.1182440 0.42536838 0.43915729
100507557 2.03086178 1.64114502 1.3791296 0.91368123 0.78374281
100507564 0.06885607 1.56158145 -0.1182440 0.91368123 0.92939797
100507567 -0.63515687 -0.08398883 0.7147731 -0.31835381 -0.30910349
100507588 -1.17995959 -0.08398883 0.7147731 -0.02577209 0.78374281
100507599 0.32353335 0.15160703 -0.1182440 0.21736109 -0.30910349
100507602 4.32801330 3.98536706 4.1275832 4.23519203 4.46089607
100508120 0.06885607 0.53159580 -0.1182440 0.60712969 0.62171366
10051 5.25200892 5.26424410 6.2302170 5.76431811 5.97284740
10052 0.53992662 0.68964609 0.2157166 0.91368123 1.06168687
100526737 0.53992662 1.71654911 1.3791296 0.91368123 1.58583700
100526760 1.17882701 1.29259956 0.7147731 1.56837658 1.96947924
100526820 -0.24062641 0.15160703 -1.1799596 0.42536838 -0.30910349
100526835 1.52177801 3.24470965 2.4543815 2.35879898 2.81257861
100527978 -1.17995959 -0.71613884 -1.1799596 0.76853240 -1.17995959
100529145 0.72805590 2.44947706 1.6234261 2.07993448 1.39837211
100529215 0.32353335 0.15160703 0.2157166 -0.68576948 0.43915729
100532746 3.82902102 4.21072431 3.3950899 3.51605199 3.48952412
100533106 0.32353335 0.15160703 -1.1799596 -0.31835381 -0.67979605
100533182 1.30242625 0.35407598 -0.1182440 -0.02577209 -0.67979605
100533619 3.42884156 -0.36571344 -1.1799596 -1.17995959 0.23010767
100533629 0.06885607 -0.36571344 -0.5535614 -0.68576948 -0.30910349
100533695 0.53992662 -0.71613884 -0.1182440 -0.02577209 -0.30910349
100533970 1.17882701 0.15160703 1.6234261 0.60712969 0.92939797
100534593 1.04363804 0.35407598 -0.5535614 -0.02577209 -0.01445173
10054 5.12381283 5.96652582 5.7979203 6.21311932 6.28853330
10056 4.23798394 5.41898552 5.8408354 5.23209606 5.64925187
10057 6.85636726 6.75784423 6.5513709 6.61189422 6.56700424
10058 5.57978319 6.20774942 4.9048670 5.35794539 5.06799966
10059 5.76846799 6.71711537 6.9404863 6.50138363 6.88088779
1006 3.31602842 6.00463035 3.0635802 3.18527321 3.66618516
10060 2.87314382 2.31036894 2.6872107 1.88242756 2.32584840
100616256 -0.24062641 -0.71613884 -0.1182440 0.21736109 -0.67979605
10062 1.62009562 1.71654911 1.0848599 0.91368123 1.06168687
10063 4.03908681 3.13904246 3.4594503 3.87635757 3.58055702
100652739 1.95753646 0.96170402 1.3791296 0.21736109 -0.30910349
100652758 3.28639077 0.35407598 0.7147731 0.91368123 1.29463549
100652846 1.17882701 0.53159580 1.2394847 0.91368123 0.92939797
10066 5.32670718 6.63932158 6.3832163 6.11144010 6.31196977
10067 5.31207374 5.88307240 5.6122273 5.53668985 5.81308105
10068 3.60724347 3.38997942 2.6324305 2.75536284 2.69526393
10069 3.78730937 2.65511905 3.2570572 3.06609212 3.23311451
10072 5.07264187 5.02567521 4.9277966 5.30628772 5.19587967
10073 1.95753646 3.89087198 3.4276290 3.87635757 3.82355454
10075 7.90327665 8.58382388 8.8303211 8.70126111 8.72360490
10076 4.66389777 6.42844347 4.7462219 5.35158844 5.01186073
10077 0.32353335 -1.17995959 -1.1799596 -0.02577209 -0.30910349
100775107 0.32353335 -0.08398883 0.2157166 0.42536838 1.18285779
10078 3.63101967 4.76654503 4.7462219 4.78072525 4.43673245
10079 5.26726119 4.77538850 4.9391262 4.82728352 4.87469514
1008 4.12531608 7.09104541 4.3304930 4.36709965 4.79139331
10081 5.32670718 4.32355380 4.7590643 4.37965060 4.49639921
10082 7.89593579 6.96529511 7.0065958 6.91968515 7.08512408
100820829 2.79110264 3.29477592 3.5509079 2.86654310 3.14637630
10084 3.63101967 4.77538850 4.9391262 5.05562250 5.27977553
100847074 2.70411326 1.38794214 1.5064426 1.56837658 2.03532723
10085 10.87955141 10.14034273 10.0749932 9.64893669 9.70715429
100852407 1.41626698 1.08063686 1.3791296 1.27785216 1.90048145
100861412 -1.17995959 -0.36571344 0.4867173 1.04555240 1.06168687
100861548 5.19731917 4.73061886 4.3645046 4.04343030 4.25520678
100862671 0.32353335 -0.08398883 0.2157166 1.04555240 0.43915729
10087 5.86686716 6.14088988 6.0486233 5.67549298 6.03452566
100873257 0.06885607 -1.17995959 -1.1799596 -0.31835381 -0.67979605
100873333 3.48210374 2.99504834 2.5754879 2.54860255 3.11626466
100873790 2.46049027 2.10119852 2.1766074 2.75536284 2.47567487
100873949 -0.24062641 0.83207853 0.4867173 -0.31835381 0.62171366
100873952 -0.63515687 0.35407598 -0.5535614 -0.02577209 -0.30910349
100873965 -0.24062641 1.98401898 0.7147731 1.95131159 1.67116141
100874006 0.72805590 1.19050744 2.3221694 1.65352709 1.90048145
100874008 1.79865940 0.68964609 1.0848599 0.91368123 0.62171366
100874014 0.32353335 1.19050744 1.3791296 0.60712969 1.49514733
100874058 -0.24062641 1.29259956 1.6234261 2.25362962 1.29463549
100874080 1.62009562 0.53159580 1.0848599 1.56837658 0.92939797
100874097 1.62009562 1.38794214 2.0979208 1.47788336 2.09830050
100874201 0.06885607 -0.08398883 -0.5535614 -0.68576948 -0.01445173
100874212 0.32353335 0.83207853 0.9116512 0.76853240 0.43915729
100874217 -0.24062641 -0.71613884 0.4867173 1.38133181 1.06168687
100874235 0.06885607 0.15160703 0.2157166 -0.31835381 -0.30910349
100874261 -1.17995959 1.08063686 1.6234261 2.19802284 1.39837211
100874291 -1.17995959 0.53159580 -0.1182440 1.47788336 -1.17995959
100874362 1.88028387 2.10119852 0.2157166 1.27785216 -0.67979605
100874523 0.06885607 1.47737257 0.7147731 2.14018655 1.96947924
100885775 3.16134844 2.31036894 1.2394847 1.88242756 2.61139506
100885776 0.32353335 1.19050744 0.4867173 -0.02577209 -0.67979605
100885848 4.85772439 4.00053156 4.4930587 4.63129373 4.94490747
1009 8.87606397 9.93294158 10.5894856 10.43778075 10.18938371
10090 4.80644304 4.78417809 4.5384591 4.76167293 5.15202833
10092 5.81072001 7.78914201 7.9533394 7.76749315 8.05922926
10093 7.37231684 7.37760690 7.5827008 7.60730203 7.65941551
10094 2.29175576 3.84119730 3.8196459 3.96231108 3.72722776
10095 6.21638496 6.60748554 6.3790627 6.31138095 6.20873194
10097 8.88597867 8.70390983 8.9666598 8.62226692 8.95281013
10098 5.01055400 6.67992069 6.5697102 6.63039233 6.66386338
10099 8.35530736 7.62515903 7.7236743 7.64157670 7.69423023
100996246 2.35022098 2.44947706 2.3897894 2.67617797 2.77452391
100996251 0.32353335 -0.36571344 1.0848599 1.04555240 -1.17995959
100996307 0.32353335 1.08063686 1.0848599 1.27785216 1.06168687
100996384 1.79865940 0.35407598 -0.1182440 0.76853240 -0.30910349
100996419 0.89445882 0.35407598 0.7147731 -0.02577209 0.23010767
100996485 2.40640889 1.78820710 1.7316311 1.88242756 2.03532723
100996539 0.89445882 -0.36571344 -0.5535614 -0.31835381 -0.30910349
100996579 -1.17995959 -1.17995959 -1.1799596 -0.31835381 -0.30910349
100996696 2.98807034 3.05438145 2.6324305 2.59239320 2.61139506
100996842 1.88028387 0.53159580 1.8322836 1.88242756 2.32584840
100996851 -1.17995959 0.83207853 0.4867173 -0.31835381 -0.30910349
100996939 -0.63515687 0.83207853 0.7147731 1.38133181 1.18285779
101 1.41626698 0.68964609 -0.1182440 1.27785216 0.43915729
1010 0.72805590 0.15160703 0.4867173 0.91368123 -0.30910349
10100 4.37100523 3.75440522 4.2779231 4.63129373 4.85659485
10101 4.76406372 4.62694403 4.4619780 4.48795065 4.07907365
10102 3.19363966 4.57723803 4.5968526 4.84549411 4.44886485
10103 -0.24062641 1.08063686 -0.1182440 0.60712969 -0.30910349
10105 5.66286303 5.54327561 5.9456612 5.96087763 6.36735043
10106 6.45486442 6.98829783 7.1278936 7.47025838 7.48334555
101060200 2.65856914 3.08315735 2.7399868 2.83042671 2.73543815
101060691 -0.63515687 1.56158145 0.7147731 1.04555240 1.06168687
10109 8.83506981 9.33153830 8.8386633 8.96393634 9.02600077
10112 3.92831067 0.35407598 4.9163774 4.22131289 4.18441205
10113 4.45332658 6.21101243 6.2621425 6.44577003 6.10904675
10114 7.73794809 7.51858597 7.2759707 7.11435717 7.45505398
101154753 0.32353335 -0.08398883 0.2157166 -1.17995959 0.23010767
10116 6.35489560 7.69323812 7.7350941 7.18040871 7.52834663
10117 2.46049027 -1.17995959 0.4867173 -1.17995959 -0.30910349
1012 9.10817880 9.29587351 8.8234596 8.84112348 8.99116639
10121 5.88675441 6.48344794 6.3453965 6.28493591 6.30197215
10123 4.90724532 6.76007358 6.6885928 6.62513131 6.03049481
H2O_24_C1 BPA_24_C1 PFOA_24_C1 EtOH_24_C1 TUN_2_C2
100 2.18145263 2.13711861 2.30691719 2.687217945 1.66143013
1000 10.97739031 11.18569433 11.07792700 11.135833141 11.01308720
10000 6.79235778 6.88846296 6.85225105 6.914272776 6.06885963
10001 4.80746269 3.94587878 4.60659069 4.797705314 4.09129116
10003 3.02828052 3.58130590 2.66333979 2.644599897 3.27738149
100037417 -1.17995959 -1.17995959 -1.17995959 -1.179959587 -1.17995959
100049716 0.62647930 2.01959484 0.56697445 1.932057985 2.80198828
10005 3.30608084 3.09226701 3.18720473 3.426630590 3.23630146
10006 6.13035203 6.22775829 6.17402270 6.133063482 6.81835597
10007 4.37556479 4.57543401 4.52204156 4.900896587 4.30502980
10009 5.44604408 5.24607453 5.50811752 5.209446765 5.21674563
100093630 6.39888845 5.74902666 5.96573033 5.948299490 5.81355145
1001 6.80053400 7.17622945 6.90745649 6.864075446 5.37651930
10010 5.14584518 5.04270477 5.04568706 5.047135478 5.34787859
100101267 1.96574405 1.59565526 1.83249024 1.211733070 1.23064496
100101467 2.97147695 2.52990460 3.39165468 2.919450291 3.69624621
10011 5.17128992 5.35319290 5.51360209 5.575498459 5.77821056
100113386 -0.40288629 -0.06257334 -1.17995959 -1.179959587 0.61366186
100113397 1.48733814 0.86225102 1.00103722 0.810417669 0.61366186
100113407 3.77299550 3.70066224 3.43854049 3.781611023 4.15880165
100125288 0.89435038 1.11236630 0.87034246 0.810417669 1.99272497
100127983 2.36906442 2.01959484 1.76050683 1.211733070 2.62232799
100128006 1.64094095 1.42125853 2.08911825 2.067277380 2.48878271
100128016 0.09939399 -0.70503539 0.56697445 -0.292788880 -1.17995959
100128025 -1.17995959 -0.70503539 -0.70203275 -1.179959587 -0.02070486
100128054 0.76662302 0.71879685 0.38744189 1.324025028 0.61366186
100128071 0.29726565 -0.34833331 -0.70203275 -1.179959587 1.23064496
100128191 0.89435038 0.86225102 1.00103722 1.324025028 1.99272497
100128252 1.96574405 2.13711861 2.53976777 1.702016330 2.48878271
100128379 0.09939399 0.17583522 1.00103722 0.252513915 0.33106831
100128398 3.77299550 3.66196367 3.10239272 3.913104884 3.89410205
100128494 3.18639072 3.06286231 2.91616517 2.768853505 2.80198828
100128569 1.01168355 1.51109048 0.72661778 1.089957541 2.74455201
100128640 -1.17995959 0.17583522 -1.17995959 -1.179959587 0.61366186
100128682 -1.17995959 -1.17995959 -1.17995959 -1.179959587 -1.17995959
100128731 6.59731017 6.25726462 6.23505575 6.041585686 6.12620310
100128766 2.49531901 2.57225873 2.08911825 2.728613071 2.62232799
100128782 0.62647930 1.11236630 0.72661778 0.647305082 2.26197026
100128822 -1.17995959 -1.17995959 -1.17995959 -1.179959587 -1.17995959
100128833 0.89435038 1.67553646 2.30691719 1.782841701 2.34160278
100128881 1.84445047 1.75122578 1.52011871 2.067277380 1.89051928
100128893 3.94513027 3.33298347 3.71097741 3.781611023 5.88838216
100129001 0.76662302 0.38037678 0.87034246 0.956947576 1.23064496
100129013 1.31541101 2.13711861 2.08911825 1.859378142 0.84986451
100129029 0.09939399 0.38037678 0.38744189 0.005474457 0.33106831
100129060 2.07762612 2.44127303 2.62331374 2.687217945 2.85722518
100129075 0.47124272 -0.70503539 -0.05680823 0.647305082 1.53162144
100129195 2.32439881 2.13711861 1.83249024 1.859378142 2.68473395
100129203 1.01168355 0.86225102 0.18234948 0.252513915 0.61366186
100129250 1.22109899 1.42125853 1.33426120 1.211733070 1.78051714
100129259 1.77975200 1.82314131 1.33426120 1.428204401 1.38896776
100129361 5.35460242 5.15146653 5.39974168 5.535237939 5.57903055
100129398 0.89435038 1.11236630 -0.70203275 0.252513915 2.08816659
100129434 0.09939399 -0.70503539 -0.70203275 0.252513915 -0.02070486
100129461 1.64094095 1.82314131 1.00103722 1.616392659 1.05278119
100129484 1.01168355 1.22284365 0.18234948 1.702016330 1.38896776
100129550 3.90018402 3.97773991 3.74867430 4.248065418 4.65598016
100129583 -0.40288629 -0.34833331 -1.17995959 0.252513915 0.61366186
100129662 -0.40288629 -1.17995959 -1.17995959 -0.292788880 1.66143013
100129707 0.76662302 0.17583522 1.23150715 0.956947576 1.38896776
100129716 0.62647930 0.55948726 0.56697445 0.956947576 2.17768414
100129726 0.47124272 0.17583522 -0.34364625 0.647305082 -0.02070486
100129774 2.75295381 3.17704759 2.74020701 2.989236495 3.86744470
100129781 1.96574405 1.11236630 0.38744189 2.001251316 1.23064496
100129792 0.09939399 -0.70503539 -0.70203275 -0.669227813 -0.48689857
100129794 0.89435038 1.11236630 1.33426120 1.211733070 1.78051714
100129842 -0.40288629 1.32545943 0.18234948 0.810417669 -1.17995959
100129917 1.22109899 -0.70503539 1.00103722 0.956947576 2.34160278
100129924 0.29726565 0.71879685 -0.05680823 -0.669227813 1.23064496
100129940 1.01168355 0.86225102 -1.17995959 1.525364818 1.23064496
100129995 -1.17995959 -0.34833331 -1.17995959 -1.179959587 -1.17995959
10013 5.29218809 5.00454915 5.52450909 5.642005572 5.51176829
100130111 0.09939399 -0.34833331 -0.05680823 0.005474457 -0.02070486
100130197 0.29726565 0.55948726 0.38744189 0.252513915 -0.02070486
100130335 2.53506246 2.34683793 2.74020701 2.358493824 3.35619057
100130348 2.88184437 2.87261349 2.84833488 2.919450291 3.39403739
100130357 -1.17995959 -1.17995959 0.18234948 -1.179959587 0.84986451
100130466 3.28292404 2.76717093 3.24109697 3.119431517 4.04446265
100130476 0.29726565 -0.34833331 -0.34364625 -0.292788880 -0.02070486
100130522 -0.12999679 0.86225102 -0.70203275 0.252513915 1.99272497
100130550 1.12018767 0.71879685 0.18234948 -0.292788880 0.84986451
100130564 3.30608084 3.33298347 3.18720473 3.375424239 3.39403739
100130581 1.22109899 0.71879685 1.33426120 1.089957541 1.89051928
100130691 0.62647930 1.22284365 2.08911825 1.324025028 1.53162144
100130705 1.56618283 0.55948726 1.23150715 1.702016330 1.89051928
100130748 -0.12999679 0.99272209 0.87034246 0.463371818 1.05278119
100130750 -1.17995959 -1.17995959 -0.34364625 -1.179959587 -1.17995959
100130855 1.77975200 1.42125853 0.87034246 1.932057985 1.66143013
100130958 -0.40288629 0.99272209 0.18234948 0.463371818 1.38896776
100131017 -1.17995959 -1.17995959 -1.17995959 -1.179959587 -1.17995959
100131031 1.96574405 2.01959484 2.02911282 2.460298399 3.46687670
100131033 1.77975200 1.22284365 1.76050683 0.810417669 2.62232799
100131067 0.89435038 0.86225102 1.00103722 0.810417669 1.78051714
100131089 0.62647930 0.17583522 0.18234948 0.005474457 1.78051714
100131094 0.47124272 0.55948726 -0.05680823 -0.669227813 -0.02070486
100131138 2.23069196 1.51109048 1.96650289 2.190902056 2.48878271
100131187 -1.17995959 -1.17995959 -0.34364625 -1.179959587 1.38896776
100131193 1.01168355 0.55948726 1.00103722 0.252513915 2.26197026
100131211 3.23546463 3.23092081 3.31833893 3.965986345 4.36342953
100131213 1.12018767 1.51109048 1.33426120 1.211733070 0.33106831
100131471 2.23069196 2.19247504 1.68474233 2.304764360 1.89051928
100131656 2.97147695 2.76717093 2.66333979 2.989236495 3.31732409
100131685 3.66965882 3.94587878 3.83882001 3.658499362 1.53162144
100131691 1.56618283 1.32545943 2.35659106 2.001251316 2.26197026
100131740 0.29726565 1.11236630 1.00103722 -1.179959587 0.84986451
100131801 2.78627196 2.73023839 2.49610754 3.087967612 3.46687670
100131827 0.76662302 0.55948726 -1.17995959 0.252513915 -0.48689857
100131828 -1.17995959 -1.17995959 -1.17995959 -0.669227813 -0.48689857
100131940 -0.12999679 -0.06257334 0.38744189 0.463371818 1.05278119
100132074 -1.17995959 -1.17995959 -1.17995959 -1.179959587 -0.02070486
100132086 0.29726565 1.22284365 1.23150715 0.647305082 0.33106831
100132116 9.17048679 8.96263449 9.13549096 8.988536648 8.53169420
100132126 0.09939399 -0.34833331 -0.34364625 0.252513915 0.61366186
100132215 0.29726565 0.99272209 1.00103722 0.956947576 1.66143013
100132537 2.61140832 2.69233550 2.40461137 2.248956216 2.41706880
100132609 0.62647930 0.71879685 -0.05680823 1.089957541 0.33106831
100132659 -0.40288629 -0.34833331 -0.34364625 -0.669227813 1.05278119
100132891 0.47124272 0.71879685 -0.34364625 1.089957541 -1.17995959
100132972 -0.40288629 -0.06257334 1.23150715 0.463371818 1.23064496
100133234 -0.12999679 -0.34833331 1.23150715 1.089957541 1.23064496
100133286 1.12018767 0.38037678 0.56697445 0.463371818 -0.02070486
100133315 0.47124272 -0.34833331 0.87034246 0.252513915 1.23064496
100134934 1.56618283 2.01959484 1.23150715 0.647305082 1.05278119
10014 5.77130142 5.56201822 5.68380308 5.731266129 6.37357882
100144603 1.77975200 1.42125853 2.14672724 0.956947576 2.48878271
100144748 1.12018767 1.82314131 1.33426120 1.211733070 0.61366186
10015 7.27555587 7.38369487 7.42958456 7.294497552 7.49474605
10016 5.45643061 5.01226143 5.16201073 5.355329824 5.27875257
100170229 0.89435038 1.22284365 0.87034246 0.810417669 1.38896776
100170841 4.49120830 3.47369677 3.83882001 3.679761438 4.74653522
10018 2.81883800 2.29719639 2.94892070 3.119431517 3.01127798
100188847 1.84445047 2.07955310 1.60477736 1.089957541 1.66143013
10019 4.45022061 4.95738910 4.71530391 4.643922807 4.41955694
100190938 2.23069196 1.82314131 2.40461137 2.508627610 2.26197026
1002 -0.12999679 0.38037678 -0.34364625 -1.179959587 3.01127798
10020 3.66965882 3.66196367 3.71097741 3.401254589 3.86744470
10021 6.98761343 7.41603162 7.06889747 7.177922157 8.18424007
10023 1.31541101 0.71879685 0.18234948 0.956947576 0.61366186
10024 2.53506246 2.24578569 2.77715744 2.304764360 3.72622754
10026 5.91001367 5.93903544 5.81840849 5.642005572 6.28066563
100268168 -0.12999679 0.38037678 0.38744189 0.647305082 0.61366186
100270804 0.09939399 -0.34833331 -0.34364625 -0.669227813 2.26197026
100270827 -0.40288629 -1.17995959 -0.70203275 0.252513915 -1.17995959
100270840 3.35130832 3.45117712 3.65251827 2.989236495 3.19401733
100270854 2.45444961 1.75122578 2.14672724 2.555390169 2.34160278
100270865 3.72225218 3.14933730 3.39165468 3.547218191 3.10553906
100271271 3.70493323 2.90611531 3.15948437 3.267213726 2.74455201
100271332 2.49531901 2.73023839 2.74020701 2.460298399 2.62232799
100271415 2.13047318 1.51109048 1.12086948 1.089957541 1.66143013
100271479 -1.17995959 -1.17995959 -0.05680823 -0.669227813 -1.17995959
100271884 0.29726565 0.55948726 0.18234948 1.089957541 -0.02070486
100272147 2.13047318 2.07955310 2.20212387 1.782841701 2.62232799
100286844 1.22109899 0.17583522 0.18234948 1.428204401 0.61366186
100287015 -0.40288629 0.38037678 -1.17995959 -1.179959587 -1.17995959
100287049 -1.17995959 -0.34833331 -0.05680823 0.005474457 1.38896776
100287074 2.49531901 2.29719639 2.70228528 2.460298399 1.89051928
100287616 4.59826602 4.43330563 4.68645794 4.945467867 2.17768414
100287722 0.89435038 1.22284365 0.72661778 1.932057985 1.23064496
100287808 0.62647930 0.38037678 -0.34364625 -0.292788880 0.61366186
100287837 -0.12999679 -1.17995959 -0.34364625 -1.179959587 -1.17995959
100287896 2.49531901 2.24578569 2.25547181 2.001251316 3.19401733
100287902 -0.73972442 -1.17995959 -1.17995959 -0.669227813 -0.02070486
100287928 1.90637159 2.34683793 2.49610754 2.555390169 3.63434704
100287932 5.26880540 4.97328102 5.28896919 5.361921873 5.51176829
100288001 1.77975200 1.42125853 1.52011871 2.067277380 2.26197026
100288073 3.97433488 4.43330563 4.00379194 3.636919238 4.22329374
100288123 0.47124272 0.17583522 0.56697445 0.252513915 1.05278119
100288198 2.02276939 2.01959484 2.20212387 1.702016330 3.94598308
100288241 1.64094095 0.86225102 1.60477736 1.702016330 1.05278119
100288413 1.40393415 1.75122578 1.43018081 2.130413490 4.28502580
100288513 -0.40288629 0.55948726 1.00103722 0.463371818 -1.17995959
100288842 0.76662302 1.59565526 1.12086948 0.463371818 1.89051928
100289061 0.09939399 0.55948726 0.18234948 0.252513915 1.66143013
100289095 1.12018767 1.11236630 1.23150715 0.810417669 1.53162144
100289133 1.71201532 0.99272209 1.68474233 0.463371818 0.33106831
100289178 1.96574405 2.24578569 1.83249024 1.525364818 2.26197026
100289211 -0.40288629 0.71879685 0.72661778 -0.292788880 -1.17995959
100289259 0.89435038 0.71879685 0.87034246 1.089957541 1.05278119
100289274 1.40393415 1.75122578 2.08911825 2.358493824 3.01127798
100289341 1.77975200 0.17583522 1.68474233 1.616392659 1.05278119
100289373 -0.40288629 -1.17995959 -1.17995959 -1.179959587 -1.17995959
100289388 1.96574405 1.67553646 1.12086948 2.130413490 2.62232799
100289414 -0.73972442 0.55948726 0.18234948 0.252513915 -0.48689857
100289635 5.35460242 5.35319290 5.30803204 5.231212296 5.27875257
100289640 1.77975200 1.11236630 1.83249024 1.089957541 1.66143013
100289678 2.27830607 2.97087166 2.35659106 2.687217945 0.61366186
100293516 3.75627859 3.68144271 4.00379194 3.570171717 4.34422442
100294362 1.77975200 1.75122578 0.87034246 1.932057985 1.66143013
1003 0.09939399 0.38037678 0.87034246 1.211733070 -1.17995959
100302692 1.56618283 1.75122578 1.33426120 1.428204401 1.38896776
100302736 1.22109899 1.32545943 1.96650289 1.525364818 1.99272497
100303728 2.85068511 2.61340483 2.49610754 2.508627610 3.31732409
100303755 1.56618283 0.86225102 1.43018081 1.702016330 1.89051928
100312828 -0.40288629 0.38037678 -0.34364625 0.252513915 0.61366186
100312850 -1.17995959 -0.70503539 -1.17995959 -1.179959587 -0.02070486
10036 4.05856075 4.06930725 4.07970386 4.098202508 5.23771213
100379345 3.02828052 2.01959484 1.60477736 1.932057985 2.68473395
10038 4.87870085 4.61649092 4.96791428 5.079492563 5.38594123
100381270 1.12018767 0.86225102 0.72661778 0.810417669 0.84986451
10039 6.03655106 5.83416211 6.12111217 5.862575212 5.84804727
1004 7.28869390 7.94741141 7.24737630 7.437105320 5.86161792
10040 3.10950052 1.95703626 3.01228171 3.523893559 3.81260519
100418710 0.62647930 0.99272209 0.87034246 1.324025028 1.66143013
100418735 3.66965882 3.51770819 3.21440248 4.066266994 3.75559848
100418744 1.22109899 1.11236630 1.68474233 0.005474457 -0.02070486
100418770 2.41238861 2.01959484 2.30691719 2.358493824 1.05278119
100418781 1.40393415 1.32545943 0.72661778 0.647305082 -0.48689857
100418819 1.84445047 1.59565526 1.52011871 1.211733070 1.38896776
100418829 2.27830607 2.48626934 2.70228528 2.358493824 1.66143013
100418888 1.31541101 1.11236630 1.43018081 1.702016330 0.61366186
100418889 2.64811777 2.52990460 2.25547181 2.600684464 2.55710003
100418910 1.71201532 1.75122578 2.30691719 1.211733070 1.05278119
100418919 2.18145263 2.52990460 2.25547181 2.304764360 1.23064496
100419028 1.12018767 1.22284365 1.68474233 1.089957541 1.05278119
100419185 -0.40288629 -1.17995959 -0.05680823 0.463371818 1.05278119
100419416 0.89435038 1.11236630 1.52011871 2.001251316 -0.48689857
100419515 -0.40288629 0.17583522 -0.05680823 -0.292788880 -0.48689857
100419645 0.29726565 -0.06257334 0.56697445 -0.292788880 -0.02070486
100419758 -0.40288629 0.55948726 -0.34364625 -1.179959587 -0.02070486
100419928 1.01168355 1.32545943 1.60477736 1.211733070 1.05278119
10042 5.43032273 4.93321808 5.16201073 5.223993543 5.56250669
100420028 -0.40288629 -0.34833331 1.23150715 0.956947576 -1.17995959
100420050 -0.12999679 0.55948726 0.56697445 0.647305082 -0.02070486
100420110 3.37340125 3.09226701 3.48395041 3.349122971 3.15045637
100420187 1.12018767 1.51109048 1.76050683 1.932057985 1.89051928
100420259 4.00296002 3.71962909 4.01929724 3.839438968 4.38238233
100420307 1.48733814 0.86225102 0.87034246 0.647305082 -0.02070486
100420341 4.75793811 5.15843389 4.78952048 5.149746964 5.00071290
100420423 0.47124272 1.22284365 0.87034246 -0.292788880 -0.02070486
100420591 1.31541101 1.11236630 -0.05680823 0.810417669 1.38896776
100420707 2.02276939 1.67553646 2.70228528 2.555390169 3.53621454
100420752 1.48733814 1.51109048 1.52011871 1.702016330 2.08816659
100420869 3.82201452 3.58130590 3.90708868 3.839438968 4.02046577
100420981 5.68560614 5.03515395 5.63933997 5.581159331 6.15404216
100421093 3.55834537 4.09858220 3.67226903 3.839438968 3.50196213
100421109 1.01168355 0.71879685 0.72661778 0.647305082 -0.02070486
100421160 0.29726565 0.71879685 0.18234948 0.956947576 0.84986451
100421175 1.01168355 -0.70503539 0.56697445 1.089957541 0.84986451
100421246 1.56618283 1.32545943 1.60477736 0.810417669 1.89051928
100421311 2.36906442 1.22284365 2.25547181 2.555390169 2.68473395
100421372 1.77975200 1.22284365 1.00103722 1.525364818 -0.02070486
100421400 1.84445047 2.52990460 2.66333979 1.702016330 2.62232799
100421415 0.09939399 0.17583522 -1.17995959 -0.292788880 -1.17995959
100421429 0.09939399 -0.70503539 0.38744189 0.956947576 -0.02070486
100421465 2.27830607 1.59565526 2.08911825 1.932057985 2.62232799
100421468 1.64094095 1.11236630 1.33426120 1.324025028 1.78051714
100421506 -0.40288629 -1.17995959 -0.70203275 -1.179959587 -0.48689857
100421569 0.47124272 -0.70503539 0.38744189 0.252513915 -0.48689857
100421595 1.48733814 1.59565526 1.43018081 1.324025028 1.99272497
100421794 2.94221384 2.69233550 3.63249337 2.989236495 3.10553906
100422106 1.48733814 1.22284365 1.60477736 0.956947576 1.89051928
100422338 2.18145263 1.32545943 2.30691719 1.859378142 1.38896776
100422546 0.76662302 0.38037678 0.18234948 0.810417669 -0.48689857
100422561 4.41869710 4.09858220 4.01929724 4.113909022 3.81260519
10043 5.17128992 5.01993270 4.86010519 5.209446765 5.74198215
10044 3.65169284 3.64221803 2.94892070 3.055802178 1.38896776
10045 0.47124272 -0.70503539 0.87034246 0.956947576 -0.48689857
10046 1.90637159 2.29719639 1.96650289 1.525364818 2.26197026
10048 6.35515071 6.23766094 6.33756613 6.330827846 6.32542377
10049 5.72480009 5.25260065 5.53533424 5.546856046 5.69727192
100499177 2.71884796 2.69233550 2.62331374 3.087967612 3.19401733
100499483 0.29726565 0.71879685 0.38744189 1.324025028 -1.17995959
1005 1.71201532 1.67553646 0.72661778 0.647305082 -0.02070486
100500719 0.76662302 -1.17995959 0.18234948 -0.292788880 -0.02070486
100505385 2.88184437 2.65340989 2.40461137 3.022903219 2.41706880
100505501 0.62647930 1.22284365 1.43018081 1.211733070 2.08816659
100505538 0.09939399 -0.34833331 -1.17995959 0.810417669 1.99272497
100505549 -1.17995959 -0.34833331 -1.17995959 -1.179959587 -0.02070486
100505573 5.46159596 4.83226863 5.34541834 5.179905645 5.03704818
100505576 4.11209794 4.11299988 4.58591338 4.434730077 4.20211510
100505616 -1.17995959 -0.06257334 -1.17995959 -0.669227813 -0.48689857
100505624 1.48733814 1.22284365 0.72661778 1.782841701 0.33106831
100505635 0.47124272 1.11236630 1.23150715 0.956947576 -0.48689857
100505641 3.02828052 2.69233550 2.49610754 2.460298399 2.55710003
100505648 2.13047318 2.24578569 2.25547181 1.782841701 3.27738149
100505678 1.77975200 2.24578569 1.68474233 2.067277380 1.99272497
100505696 3.43771985 3.62219839 3.52797453 3.741729803 4.28502580
100505715 -0.40288629 -1.17995959 -0.70203275 0.252513915 -1.17995959
100505738 0.09939399 0.55948726 1.76050683 2.001251316 2.48878271
100505741 0.29726565 0.86225102 1.00103722 1.525364818 1.05278119
100505758 2.49531901 3.28285450 3.10239272 3.087967612 3.23630146
100505761 1.56618283 1.95703626 2.08911825 1.211733070 1.78051714
100505771 2.45444961 2.83831517 2.53976777 3.087967612 3.10553906
100505783 -1.17995959 -0.70503539 -1.17995959 -0.669227813 -0.48689857
100505806 2.71884796 2.24578569 2.40461137 2.555390169 3.23630146
100505812 -1.17995959 -0.34833331 -1.17995959 -1.179959587 0.33106831
100505832 -1.17995959 -1.17995959 -0.34364625 -1.179959587 0.61366186
100505854 -0.40288629 0.55948726 0.87034246 -0.292788880 1.05278119
100505876 5.19629365 5.02756340 5.20332268 5.111139828 5.95319790
100505894 0.89435038 0.71879685 0.87034246 1.089957541 3.39403739
100505933 -0.12999679 -0.34833331 1.00103722 0.463371818 0.84986451
100505994 -0.12999679 -0.06257334 -1.17995959 -0.292788880 -0.48689857
100506020 0.89435038 0.38037678 0.72661778 0.647305082 -1.17995959
100506033 3.80585920 4.21008020 3.97227229 4.248065418 5.42302542
100506054 -0.12999679 -0.34833331 -0.34364625 0.647305082 1.05278119
100506068 -1.17995959 -0.34833331 -0.70203275 -0.292788880 -0.02070486
100506070 0.47124272 -0.06257334 0.72661778 -0.292788880 -0.02070486
100506083 0.62647930 0.17583522 -0.05680823 0.463371818 -1.17995959
100506100 0.09939399 -0.34833331 -0.34364625 -0.292788880 -0.48689857
100506119 1.12018767 0.71879685 0.72661778 0.252513915 0.84986451
100506127 1.31541101 0.99272209 1.96650289 0.956947576 2.26197026
100506142 0.29726565 -1.17995959 -0.05680823 0.252513915 -0.02070486
100506144 0.29726565 1.22284365 0.38744189 1.211733070 0.33106831
100506161 1.12018767 0.55948726 -0.05680823 0.956947576 1.38896776
100506211 3.70493323 2.01959484 3.10239272 2.989236495 5.25837828
100506235 0.62647930 0.71879685 1.00103722 1.211733070 1.99272497
100506258 -0.40288629 -0.70503539 -0.05680823 -0.292788880 0.33106831
100506282 1.31541101 1.75122578 0.87034246 1.428204401 2.85722518
100506286 0.76662302 -1.17995959 -0.05680823 -0.292788880 -1.17995959
100506302 0.62647930 0.38037678 0.18234948 -0.292788880 1.23064496
100506321 0.29726565 0.99272209 0.72661778 0.463371818 -0.02070486
100506325 -0.73972442 0.86225102 0.18234948 -0.292788880 -0.02070486
100506343 1.31541101 -0.34833331 1.00103722 1.525364818 0.84986451
100506365 4.46057722 4.46736916 4.58591338 5.030680660 5.47692341
100506368 -0.12999679 0.17583522 -1.17995959 -0.669227813 0.33106831
100506380 2.45444961 1.51109048 2.25547181 1.932057985 1.38896776
100506392 2.71884796 3.06286231 3.26730650 3.401254589 4.18062092
100506394 -0.40288629 -0.06257334 -1.17995959 0.647305082 1.38896776
100506411 1.22109899 0.38037678 0.18234948 1.324025028 1.23064496
100506433 -0.40288629 0.38037678 0.56697445 -1.179959587 2.91042497
100506462 0.62647930 0.86225102 0.87034246 0.810417669 0.61366186
100506469 1.40393415 0.99272209 1.43018081 1.782841701 3.53621454
100506495 -0.40288629 -0.34833331 0.56697445 -0.292788880 -0.02070486
100506504 1.64094095 1.22284365 -0.34364625 2.001251316 -0.02070486
100506540 1.01168355 0.99272209 0.38744189 1.211733070 1.38896776
100506581 3.02828052 2.29719639 2.66333979 3.295036732 2.34160278
100506606 -1.17995959 0.17583522 -0.34364625 -0.669227813 0.61366186
100506658 -0.40288629 1.67553646 1.00103722 0.252513915 -0.48689857
100506668 1.90637159 2.24578569 2.53976777 2.728613071 2.74455201
100506686 1.22109899 1.32545943 0.38744189 0.252513915 1.38896776
100506691 0.29726565 0.55948726 0.18234948 0.463371818 -0.02070486
100506696 -0.40288629 -1.17995959 -0.05680823 0.956947576 -0.48689857
100506697 0.29726565 1.11236630 1.68474233 1.616392659 -1.17995959
100506710 3.88488529 4.23665846 4.33644823 3.930948279 4.87252743
100506713 0.29726565 0.38037678 0.56697445 0.005474457 -0.48689857
100506725 2.27830607 2.39482803 2.98094902 2.304764360 4.09129116
100506731 -0.12999679 0.71879685 1.00103722 0.810417669 1.99272497
100506757 0.09939399 -1.17995959 1.12086948 0.005474457 1.38896776
100506779 -0.40288629 -1.17995959 -0.70203275 -1.179959587 0.84986451
100506804 -0.12999679 -0.34833331 -1.17995959 -1.179959587 0.33106831
100506826 0.76662302 0.17583522 0.38744189 0.252513915 1.66143013
100506844 1.56618283 1.32545943 1.12086948 1.324025028 2.74455201
100506866 4.26173079 4.03942593 4.10898443 4.383815518 6.69112274
100506881 2.13047318 1.82314131 2.30691719 1.616392659 2.08816659
100506885 -0.12999679 1.75122578 -0.70203275 0.810417669 0.84986451
100506911 -0.73972442 0.17583522 -0.34364625 -1.179959587 0.61366186
100506922 -0.73972442 -1.17995959 -1.17995959 -0.669227813 0.84986451
100506930 3.55834537 3.60189702 3.65251827 3.679761438 3.84028550
100506994 0.62647930 1.11236630 0.56697445 0.005474457 -0.48689857
100507003 -0.40288629 0.17583522 -1.17995959 -1.179959587 -1.17995959
100507032 -1.17995959 -1.17995959 -1.17995959 -1.179959587 -1.17995959
100507034 2.75295381 3.30813670 3.18720473 2.555390169 2.96173257
100507050 1.56618283 0.55948726 0.18234948 0.810417669 1.38896776
100507053 -1.17995959 -1.17995959 -1.17995959 -1.179959587 -0.48689857
100507057 -1.17995959 -0.70503539 -0.34364625 0.956947576 -1.17995959
100507062 0.09939399 -1.17995959 -1.17995959 -0.292788880 0.61366186
100507071 0.76662302 0.17583522 -0.34364625 -0.292788880 1.53162144
100507156 4.01706238 3.73834982 3.90708868 3.930948279 2.68473395
100507171 2.85068511 2.83831517 2.62331374 2.508627610 2.55710003
100507173 -0.12999679 -0.06257334 0.18234948 -1.179959587 -1.17995959
100507178 -0.40288629 0.17583522 -0.05680823 0.647305082 -0.48689857
100507244 1.56618283 2.01959484 1.43018081 1.702016330 0.84986451
100507246 2.78627196 3.62219839 3.61218661 3.615011406 3.99606299
100507250 1.01168355 -0.34833331 -0.70203275 0.005474457 1.38896776
100507254 2.02276939 2.29719639 2.14672724 2.304764360 2.68473395
100507266 0.09939399 -1.17995959 -1.17995959 0.810417669 0.84986451
100507290 4.55058583 4.22343054 4.34877416 4.219312406 4.83174048
100507291 0.09939399 -0.34833331 -0.05680823 0.463371818 0.84986451
100507303 1.31541101 2.39482803 2.45108467 2.600684464 0.61366186
100507308 0.47124272 0.55948726 1.23150715 1.211733070 1.38896776
100507316 0.09939399 -1.17995959 -1.17995959 -1.179959587 -1.17995959
100507331 1.64094095 1.22284365 1.68474233 1.859378142 1.89051928
100507347 2.07762612 1.75122578 2.30691719 1.616392659 0.84986451
100507373 1.90637159 2.29719639 1.33426120 2.001251316 3.05917822
100507392 0.76662302 -0.34833331 1.33426120 1.211733070 -1.17995959
100507398 0.09939399 -1.17995959 -0.70203275 0.463371818 1.38896776
100507401 -0.12999679 -0.70503539 -0.34364625 0.463371818 1.38896776
100507420 0.47124272 -1.17995959 0.18234948 0.647305082 -1.17995959
100507433 0.62647930 0.55948726 1.33426120 0.810417669 2.55710003
100507436 0.62647930 -0.34833331 0.18234948 -0.292788880 -1.17995959
100507437 1.01168355 -0.06257334 1.23150715 -0.669227813 -0.48689857
100507459 0.62647930 0.38037678 1.12086948 0.647305082 1.23064496
100507463 -0.73972442 -0.06257334 -0.70203275 0.005474457 -0.48689857
100507487 1.01168355 1.89164156 -0.34364625 0.647305082 1.38896776
100507495 3.75627859 3.70066224 3.50613039 3.679761438 4.30502980
100507516 0.62647930 0.71879685 1.00103722 1.211733070 1.23064496
100507551 -0.73972442 -0.06257334 -0.70203275 -1.179959587 -0.02070486
100507557 2.18145263 0.86225102 1.00103722 1.324025028 1.99272497
100507564 1.56618283 -0.34833331 1.00103722 0.463371818 0.61366186
100507567 -0.73972442 -0.70503539 -0.34364625 -0.292788880 -0.48689857
100507588 0.89435038 0.55948726 1.33426120 -0.669227813 0.61366186
100507599 -1.17995959 -0.34833331 -0.34364625 0.252513915 0.61366186
100507602 4.45022061 4.19660517 4.24708571 4.248065418 3.92027576
100508120 -0.12999679 0.17583522 1.12086948 1.089957541 -0.02070486
10051 6.15606905 5.85575553 6.04740395 6.279524087 7.24066346
10052 0.89435038 0.86225102 0.18234948 1.324025028 0.84986451
100526737 1.71201532 0.99272209 1.96650289 1.324025028 1.78051714
100526760 1.56618283 0.86225102 1.33426120 1.616392659 1.66143013
100526820 0.76662302 0.55948726 -0.34364625 0.005474457 1.99272497
100526835 2.68391628 2.61340483 2.58214543 2.919450291 5.22726697
100527978 -0.40288629 -0.06257334 0.38744189 0.005474457 1.05278119
100529145 1.22109899 1.42125853 1.68474233 2.190902056 1.53162144
100529215 -0.12999679 -0.70503539 0.18234948 0.463371818 -1.17995959
100532746 4.00296002 3.49587030 3.72994898 3.721368004 3.89410205
100533106 -0.40288629 -0.70503539 -0.34364625 0.252513915 0.61366186
100533182 -0.12999679 -0.34833331 0.38744189 -1.179959587 0.33106831
100533619 -0.40288629 -1.17995959 -1.17995959 -0.292788880 -1.17995959
100533629 -0.73972442 -1.17995959 0.18234948 0.252513915 0.84986451
100533695 -0.12999679 -0.34833331 -0.05680823 -0.669227813 -0.48689857
100533970 0.76662302 0.86225102 1.23150715 0.463371818 0.84986451
100534593 -0.12999679 0.17583522 -0.34364625 0.647305082 0.84986451
10054 5.99796488 6.00622962 6.21162651 6.049774599 6.05711227
10056 5.63163411 5.37728202 5.73634935 5.609135223 5.98454550
10057 6.24263153 6.59432319 6.43037668 6.720138643 7.12445502
10058 5.01844760 5.18597166 4.70575253 4.954219234 6.50044247
10059 6.78413496 6.71265021 6.89700283 6.994945566 7.20650725
1006 3.18639072 3.14933730 3.61218661 3.119431517 3.15045637
10060 2.49531901 3.00219148 2.70228528 2.190902056 2.80198828
100616256 -0.73972442 -0.34833331 -0.34364625 0.005474457 0.84986451
10062 0.89435038 1.75122578 1.60477736 1.089957541 1.05278119
10063 3.86942259 3.09226701 3.48395041 3.476081574 4.62448641
100652739 0.29726565 -0.34833331 -0.70203275 0.252513915 -0.48689857
100652758 1.40393415 0.71879685 0.87034246 0.647305082 1.38896776
100652846 0.62647930 0.55948726 0.72661778 1.428204401 1.38896776
10066 6.28695268 6.28299526 6.21499693 6.251397347 6.26543227
10067 5.41974584 5.50302932 5.39380578 5.231212296 5.73462601
10068 2.32439881 2.83831517 2.66333979 2.728613071 2.80198828
10069 3.05586504 3.30813670 3.01228171 2.989236495 3.01127798
10072 5.01844760 5.00454915 4.88570884 4.980159256 4.36342953
10073 3.90018402 3.64221803 3.67226903 3.570171717 3.72622754
10075 8.50062522 8.79168697 8.63064433 8.802975560 8.52744354
10076 4.75793811 4.83226863 4.96791428 4.665399198 4.45579768
10077 0.29726565 0.38037678 -0.34364625 0.810417669 1.38896776
100775107 1.12018767 0.38037678 0.56697445 0.463371818 -0.02070486
10078 4.90168608 4.32600602 4.53288517 4.845527222 4.06806689
10079 4.83955912 5.25909738 5.03809575 5.216738489 3.86744470
1008 4.56984741 4.81473499 4.65702341 4.643922807 3.01127798
10081 4.61690546 4.64653457 4.72479248 4.409497391 5.12969292
10082 7.06939881 6.94193535 7.07261793 6.984303886 7.33367200
100820829 3.63350029 3.84584267 3.83882001 3.761808216 6.21874265
10084 4.64442070 4.72372043 5.02279225 4.707416028 4.73183195
100847074 2.45444961 2.19247504 1.96650289 1.859378142 2.26197026
10085 9.99995499 10.02696424 10.04971968 10.016915667 8.71387324
100852407 1.31541101 1.32545943 1.43018081 1.859378142 0.61366186
100861412 0.29726565 0.55948726 0.38744189 0.252513915 -0.48689857
100861548 4.01706238 4.14141006 3.83882001 3.761808216 4.15880165
100862671 -0.40288629 -0.34833331 -0.05680823 -0.292788880 1.89051928
10087 6.07075576 5.91866181 6.12828004 6.086060158 6.69491810
100873257 -0.40288629 -1.17995959 -1.17995959 -1.179959587 0.33106831
100873333 2.94221384 2.13711861 2.91616517 2.687217945 2.34160278
100873790 2.81883800 2.24578569 2.25547181 2.190902056 3.89410205
100873949 0.29726565 0.38037678 0.72661778 0.252513915 -0.48689857
100873952 -0.40288629 -0.70503539 0.18234948 -0.292788880 -0.02070486
100873965 1.31541101 1.95703626 2.02911282 1.428204401 1.66143013
100874006 2.02276939 1.51109048 1.68474233 2.067277380 1.38896776
100874008 -0.12999679 1.42125853 1.23150715 0.005474457 0.33106831
100874014 1.01168355 0.17583522 1.00103722 1.089957541 2.85722518
100874058 1.48733814 -0.34833331 0.18234948 1.525364818 0.33106831
100874080 1.12018767 0.86225102 1.43018081 2.001251316 1.05278119
100874097 1.77975200 1.11236630 1.43018081 1.859378142 1.89051928
100874201 -1.17995959 0.38037678 0.18234948 0.463371818 0.33106831
100874212 1.01168355 0.86225102 0.87034246 0.956947576 0.61366186
100874217 0.47124272 0.99272209 1.00103722 0.647305082 -0.02070486
100874235 -0.40288629 0.55948726 0.56697445 0.252513915 1.23064496
100874261 1.22109899 1.42125853 1.68474233 1.702016330 -0.02070486
100874291 -0.40288629 -1.17995959 0.56697445 1.211733070 1.05278119
100874362 1.40393415 1.32545943 1.43018081 0.956947576 0.61366186
100874523 2.27830607 1.22284365 1.52011871 1.616392659 1.38896776
100885775 1.84445047 1.89164156 2.14672724 2.600684464 1.89051928
100885776 -0.40288629 0.38037678 -0.34364625 0.005474457 1.05278119
100885848 4.76631117 4.59610851 4.61681926 4.787947725 5.57903055
1009 10.55201566 10.66184564 10.62722706 10.637431547 9.33192758
10090 4.79114267 4.72372043 4.56493541 4.370801083 3.15045637
10092 7.89824495 7.75283490 7.99676655 7.980716800 7.21710324
10093 7.57983703 7.45899068 7.57044086 7.405547471 7.02242882
10094 3.78952093 3.58130590 3.92366276 3.679761438 3.46687670
10095 6.16242731 6.31764188 6.34065511 6.133063482 4.95079696
10097 8.92148458 8.92839766 8.99306771 8.976237175 7.98165171
10098 6.73378883 6.61219546 6.58424991 6.768076960 5.58722205
10099 7.68073364 7.64410949 7.69875978 7.680667394 7.95499598
100996246 2.45444961 2.19247504 2.14672724 2.508627610 -0.02070486
100996251 1.01168355 0.17583522 0.87034246 0.005474457 1.23064496
100996307 0.89435038 0.55948726 0.18234948 0.252513915 2.26197026
100996384 1.22109899 0.17583522 0.87034246 -0.669227813 2.55710003
100996419 -1.17995959 0.17583522 -0.34364625 -0.292788880 0.84986451
100996485 1.56618283 1.89164156 1.33426120 1.702016330 2.17768414
100996539 -0.12999679 -0.34833331 0.56697445 0.005474457 0.84986451
100996579 -1.17995959 -1.17995959 -1.17995959 -1.179959587 0.84986451
100996696 2.78627196 2.83831517 2.98094902 2.644599897 3.60237217
100996842 1.48733814 1.67553646 0.72661778 0.463371818 2.68473395
100996851 0.47124272 0.17583522 0.38744189 1.211733070 -0.48689857
100996939 1.22109899 0.99272209 1.23150715 0.463371818 0.84986451
101 0.47124272 1.32545943 0.56697445 0.647305082 1.05278119
1010 0.09939399 1.32545943 0.56697445 1.324025028 2.80198828
10100 4.56984741 4.14141006 4.65702341 4.554669879 6.01522644
10101 4.52120252 4.46736916 4.42059689 4.447182832 4.96343879
10102 4.35350522 4.61649092 4.36099568 4.422168898 4.34422442
10103 -1.17995959 0.17583522 -0.34364625 0.647305082 0.61366186
10105 6.10416824 5.84283830 6.00908780 5.741413340 6.93527206
10106 7.33023161 7.06383336 7.29910605 7.122709344 7.25615920
101060200 2.18145263 2.44127303 2.40461137 3.119431517 3.01127798
101060691 1.40393415 0.17583522 1.52011871 1.211733070 2.74455201
10109 9.00699449 8.76168947 8.98667331 8.845343172 8.22155478
10112 4.64442070 4.18300310 4.61681926 4.599986441 5.86835567
10113 6.21537019 6.24749608 6.19806553 6.229936483 6.18675508
10114 7.29738658 7.19159440 7.30227839 7.418253567 8.24245201
101154753 -0.40288629 -0.34833331 -0.34364625 0.005474457 -0.48689857
10116 7.58457961 7.46180964 7.52499983 7.610433236 8.15008769
10117 -1.17995959 0.17583522 0.18234948 -1.179959587 -0.48689857
1012 8.79266140 8.99315776 8.88137058 8.768038121 6.96386503
10121 6.39078799 6.09968532 6.32825932 6.125335172 5.95952214
10123 6.65706692 6.70553240 6.62535905 6.852419204 6.09207124
THA_2_C2 DMSO_2_C2 TUN_24_C2 THA_24_C2 DOX_24_C2
100 1.93597151 2.1177338 2.47044399 2.89065389 6.02660543
1000 10.77031460 10.8435167 11.06714802 11.45258188 9.32754411
10000 5.78455694 6.1168752 6.37188901 6.59612849 6.28164945
10001 4.47985317 4.6327666 4.36383284 4.30421319 4.78968842
10003 3.88386407 4.2073537 3.06135660 3.21627933 2.55702637
100037417 -1.17995959 -1.1799596 -1.17995959 -1.17995959 -1.17995959
100049716 2.35847434 2.5365873 3.30419058 2.39780381 3.99209448
10005 3.75066743 3.7911187 4.39913829 3.76404810 3.17576018
10006 6.65749172 6.5807053 6.61649427 6.88516568 6.67049594
10007 4.02899284 4.2449205 4.71151140 5.05175525 6.41840871
10009 5.02097359 4.8310487 4.69739912 4.89149001 4.86253748
100093630 6.24207591 5.9161108 6.75919375 6.60807979 6.28695269
1001 5.43109990 5.2280304 5.38396953 5.47364512 7.22326130
10010 5.72898032 5.6621430 5.16558158 5.26805864 5.87286862
100101267 2.20398709 2.2712645 2.59746470 1.97405731 3.85599429
100101467 3.66441642 3.3488337 4.15250905 3.67595362 3.38805092
10011 6.21198681 5.9675775 5.59659797 5.49953997 6.22751643
100113386 0.56842154 -1.1799596 0.27080491 -1.17995959 -1.17995959
100113397 1.17890742 0.2294402 0.77951919 1.51383609 1.45069323
100113407 4.75491642 4.6883626 4.34585075 4.22364573 4.37734090
100125288 2.20398709 2.3423080 3.74935740 2.99142307 4.78968842
100127983 2.12006166 2.7606121 2.33115063 2.94191811 0.90603046
100128006 3.04489882 2.1965405 2.65701343 2.15873446 0.37948236
100128016 0.28985351 0.2294402 1.15486614 -0.03227164 0.66664639
100128025 1.72490730 0.5018743 1.15486614 0.59874137 -1.17995959
100128054 1.72490730 1.2574574 1.45244497 1.51383609 -1.17995959
100128071 -1.17995959 0.2294402 0.54746930 -0.49487818 0.90603046
100128191 1.72490730 0.9285758 2.33115063 2.72493219 1.29094919
100128252 2.56301893 1.8516393 3.44598639 2.06934890 2.40923535
100128379 0.28985351 -0.1067031 0.77951919 1.37151746 1.45069323
100128398 4.26220902 4.8433468 4.65421461 5.28800700 4.29551094
100128494 2.99864730 2.6529437 2.87330452 2.15873446 2.62560675
100128569 2.03095087 2.4746896 0.97936518 1.97405731 2.48502251
100128640 -0.05569319 -1.1799596 -0.52200603 -1.17995959 1.72526173
100128682 0.56842154 -0.5457485 -1.17995959 -0.49487818 0.02058583
100128731 6.14985792 6.3673508 6.64250752 6.41296453 7.29870782
100128766 2.56301893 2.7606121 3.34096733 2.32243162 2.69107448
100128782 1.17890742 2.3423080 1.45244497 1.64336731 0.37948236
100128822 -1.17995959 -1.1799596 -1.17995959 -1.17995959 -1.17995959
100128833 2.35847434 2.5365873 2.87330452 2.53767343 3.12927836
100128881 1.47758444 2.6529437 2.40247777 2.15873446 2.55702637
100128893 5.79812289 5.7819865 5.99878371 5.75019522 6.49372783
100129001 1.83429577 1.6423579 0.77951919 0.59874137 1.45069323
100129013 1.47758444 -0.5457485 0.77951919 0.83402553 -0.45825209
100129029 0.80180789 0.2294402 0.97936518 0.83402553 1.84515070
100129060 3.60391091 3.6300902 3.77646095 3.54944601 3.64091241
100129075 1.33596144 2.4746896 2.76920852 2.06934890 3.93918494
100129195 2.62522697 3.2037583 2.82219518 2.06934890 3.42700239
100129203 -0.05569319 0.7309434 0.97936518 0.59874137 4.29551094
100129250 1.83429577 1.6423579 2.09320465 2.06934890 2.24455820
100129259 1.00264378 2.4100167 1.80810965 0.83402553 2.24455820
100129361 5.66378561 5.4850943 5.11339152 5.37451084 5.80794954
100129398 1.17890742 0.7309434 0.77951919 -0.03227164 0.66664639
100129434 -0.05569319 -1.1799596 -0.07181269 -0.49487818 0.37948236
100129461 0.80180789 1.2574574 0.97936518 0.83402553 0.66664639
100129484 1.93597151 0.9285758 3.01659132 0.83402553 4.52826860
100129550 4.54566967 4.7153773 4.95633735 4.58784769 5.79311759
100129583 1.33596144 1.3974811 1.80810965 1.64336731 2.48502251
100129662 0.80180789 0.5018743 -0.07181269 1.76222079 2.98010951
100129707 1.00264378 1.1023680 0.77951919 1.03626438 0.37948236
100129716 1.72490730 0.5018743 2.25611282 1.51383609 2.24455820
100129726 0.80180789 1.1023680 0.97936518 1.37151746 3.17576018
100129774 3.80543039 3.6014139 4.02270335 3.58212801 3.64091241
100129781 1.72490730 0.5018743 1.80810965 1.03626438 0.37948236
100129792 1.17890742 0.9285758 -0.07181269 -0.49487818 -0.45825209
100129794 1.93597151 2.4100167 2.40247777 2.06934890 0.66664639
100129842 0.28985351 -0.5457485 -1.17995959 -0.03227164 0.02058583
100129917 3.88386407 3.0424463 3.77646095 3.48177339 2.69107448
100129924 -0.05569319 0.5018743 0.27080491 1.51383609 1.72526173
100129940 1.33596144 1.1023680 1.31131454 0.83402553 2.75369988
100129995 -0.05569319 -1.1799596 -1.17995959 -0.49487818 1.72526173
10013 5.67853005 5.5540585 5.96972316 6.03033025 5.89387498
100130111 0.80180789 0.7309434 0.54746930 1.21360734 1.29094919
100130197 -0.51097514 -0.5457485 0.97936518 1.03626438 0.90603046
100130335 2.99864730 3.7128500 3.14692395 3.21627933 3.50188561
100130348 3.40549461 3.6014139 4.30919986 3.95082271 3.70570454
100130357 -0.05569319 0.7309434 0.54746930 -0.49487818 1.29094919
100130466 3.29501637 3.6014139 3.22769914 3.25733155 4.61516180
100130476 -0.05569319 -1.1799596 -1.17995959 -1.17995959 -0.45825209
100130522 1.60653925 -0.1067031 0.54746930 -0.03227164 1.95583670
100130550 1.47758444 0.5018743 -1.17995959 1.03626438 -1.17995959
100130564 3.36960040 3.5721560 2.65701343 2.60283129 3.50188561
100130581 2.03095087 1.5251088 2.17695695 2.15873446 2.24455820
100130691 0.28985351 1.1023680 2.09320465 2.46943301 1.59449951
100130705 1.47758444 2.8608002 1.31131454 1.87202366 2.05863244
100130748 1.33596144 1.3974811 0.27080491 1.37151746 1.11128922
100130750 -1.17995959 -1.1799596 -0.07181269 -1.17995959 -1.17995959
100130855 1.83429577 1.1023680 2.40247777 1.37151746 2.24455820
100130958 1.93597151 0.5018743 1.69901518 1.51383609 3.82716279
100131017 -1.17995959 -1.1799596 -1.17995959 -1.17995959 -1.17995959
100131031 2.62522697 2.3423080 2.17695695 2.78231410 1.11128922
100131033 2.12006166 2.2712645 2.17695695 0.83402553 3.08124895
100131067 1.83429577 2.4746896 2.17695695 2.24290356 2.92675035
100131089 2.12006166 2.2712645 2.09320465 2.24290356 0.66664639
100131094 0.28985351 0.9285758 0.54746930 1.21360734 1.29094919
100131138 1.47758444 1.7507902 2.71420134 2.53767343 0.37948236
100131187 1.47758444 0.7309434 2.00428902 1.37151746 1.45069323
100131193 3.08971351 2.9544802 2.47044399 -1.17995959 0.02058583
100131211 4.13969164 4.4193474 4.13166970 4.20278068 4.77466655
100131213 -0.05569319 0.7309434 0.77951919 1.21360734 0.90603046
100131471 2.12006166 2.1965405 1.45244497 2.15873446 2.48502251
100131656 3.66441642 3.7128500 1.90953136 2.78231410 3.85599429
100131685 2.68486316 2.0343723 1.80810965 0.83402553 0.66664639
100131691 2.68486316 2.7606121 2.71420134 3.29724787 4.25278695
100131740 0.80180789 0.7309434 0.54746930 -0.03227164 1.45069323
100131801 3.40549461 3.4488034 3.90482943 3.33608945 4.69711741
100131827 -0.51097514 -1.1799596 -1.17995959 -1.17995959 0.02058583
100131828 -0.05569319 0.5018743 -0.52200603 -1.17995959 -0.45825209
100131940 -1.17995959 0.5018743 -0.07181269 1.37151746 1.45069323
100132074 -1.17995959 -0.1067031 -1.17995959 -0.49487818 0.37948236
100132086 -0.51097514 0.9285758 1.45244497 -0.03227164 1.45069323
100132116 8.32279809 8.7026340 7.45028763 7.28071821 5.55013007
100132126 0.56842154 -0.1067031 -0.07181269 0.83402553 0.02058583
100132215 1.72490730 1.3974811 2.09320465 0.83402553 -0.45825209
100132537 2.28329758 2.1177338 1.80810965 2.39780381 2.24455820
100132609 -0.05569319 0.5018743 2.40247777 1.37151746 1.72526173
100132659 -0.05569319 -0.5457485 1.45244497 0.83402553 1.11128922
100132891 -1.17995959 -1.1799596 -0.07181269 -1.17995959 -1.17995959
100132972 1.00264378 0.7309434 0.77951919 1.64336731 0.02058583
100133234 -0.51097514 1.7507902 1.15486614 0.59874137 1.45069323
100133286 0.56842154 0.5018743 0.54746930 -0.49487818 0.66664639
100133315 1.17890742 0.2294402 1.15486614 0.31746277 1.45069323
100134934 1.00264378 1.7507902 2.53535182 2.32243162 -0.45825209
10014 6.64252956 6.2475421 6.60897494 6.43101847 6.80225536
100144603 1.00264378 1.2574574 1.69901518 2.46943301 1.59449951
100144748 1.33596144 1.2574574 2.53535182 1.37151746 6.22751643
10015 7.47381070 7.5229849 7.55378290 7.72126114 8.33430926
10016 5.17448570 5.3450859 5.36623822 4.96767602 6.40871120
100170229 0.80180789 0.9285758 0.27080491 0.83402553 0.02058583
100170841 5.42236659 4.4356840 5.31169800 4.53874123 4.47350422
10018 3.63448083 3.7128500 3.47935998 3.70592013 6.43283383
100188847 1.72490730 1.3974811 1.58099133 1.51383609 2.15458837
10019 4.71256216 4.3691973 4.50014899 4.00002818 4.91827892
100190938 2.85026942 2.8115756 3.88005326 3.87371713 0.66664639
1002 1.47758444 2.0343723 0.27080491 -1.17995959 0.02058583
10020 4.37513142 3.3488337 4.29051924 4.36181706 2.75369988
10021 8.24692502 8.0098792 7.43548479 7.57873206 8.00324067
10023 2.20398709 1.3974811 1.15486614 2.60283129 2.62560675
10024 4.22251481 4.2815338 2.33115063 1.64336731 2.40923535
10026 5.69312533 5.9562981 6.09880625 6.50957675 5.35185403
100268168 1.47758444 0.2294402 0.27080491 1.21360734 0.66664639
100270804 0.56842154 2.1965405 1.58099133 1.64336731 1.11128922
100270827 -0.05569319 0.5018743 -0.52200603 -1.17995959 0.66664639
100270840 2.99864730 3.2037583 3.44598639 3.08561092 3.26445880
100270854 2.12006166 2.0343723 2.53535182 2.39780381 2.62560675
100270865 2.85026942 3.0424463 3.90482943 3.08561092 3.38805092
100271271 3.04489882 2.8608002 2.97039241 3.29724787 3.53791836
100271332 2.95086374 1.8516393 2.53535182 2.89065389 2.48502251
100271415 1.47758444 1.8516393 2.09320465 1.87202366 2.62560675
100271479 -0.51097514 0.5018743 -0.52200603 0.31746277 0.02058583
100271884 -0.05569319 0.5018743 1.15486614 -0.03227164 1.84515070
100272147 2.90144316 3.5422925 3.54387672 2.94191811 3.79774334
100286844 2.90144316 2.1177338 2.59746470 1.87202366 2.32924514
100287015 -1.17995959 0.5018743 -0.07181269 -0.03227164 0.66664639
100287049 0.56842154 1.5251088 1.31131454 1.03626438 1.59449951
100287074 1.83429577 2.1965405 2.33115063 1.76222079 2.55702637
100287616 2.42992699 2.3423080 2.82219518 2.94191811 2.48502251
100287722 2.20398709 1.9458970 1.90953136 2.06934890 1.72526173
100287808 0.56842154 -0.1067031 -0.07181269 -0.49487818 1.11128922
100287837 1.33596144 -0.1067031 -0.52200603 -1.17995959 0.02058583
100287896 3.50811114 2.6529437 3.18787679 2.66517309 1.95583670
100287902 -0.05569319 -0.1067031 -1.17995959 0.31746277 1.59449951
100287928 3.36960040 3.3829325 3.44598639 2.94191811 4.01783895
100287932 5.62625143 5.6270069 5.72039756 5.59870757 5.86579797
100288001 1.00264378 1.3974811 2.00428902 2.06934890 1.45069323
100288073 5.96977587 3.8892802 7.44818222 7.31028038 2.62560675
100288123 0.28985351 0.7309434 1.15486614 1.64336731 2.40923535
100288198 3.50811114 2.8608002 3.37682984 3.51600645 4.11645487
100288241 1.83429577 1.3974811 0.27080491 -0.49487818 1.29094919
100288413 4.26220902 4.3172409 5.29304990 5.77160637 6.48913385
100288513 -1.17995959 -0.5457485 -1.17995959 -0.49487818 0.02058583
100288842 0.56842154 -0.1067031 0.97936518 0.83402553 1.11128922
100289061 1.47758444 1.2574574 1.31131454 1.03626438 1.29094919
100289095 1.33596144 0.9285758 1.90953136 -0.03227164 -1.17995959
100289133 -0.05569319 1.2574574 0.77951919 0.83402553 1.59449951
100289178 1.83429577 2.5365873 1.69901518 1.51383609 1.72526173
100289211 1.47758444 1.5251088 1.15486614 1.37151746 -0.45825209
100289259 1.00264378 -0.5457485 1.31131454 0.83402553 1.29094919
100289274 4.72681885 3.2414176 5.03700053 4.69631932 3.76771146
100289341 1.00264378 1.3974811 2.33115063 1.64336731 3.67367217
100289373 -1.17995959 -0.1067031 -1.17995959 -1.17995959 0.37948236
100289388 2.42992699 2.5959382 1.90953136 2.06934890 3.76771146
100289414 0.28985351 0.9285758 0.77951919 -0.03227164 1.11128922
100289635 5.73604562 5.5982686 5.58897394 5.61459248 5.01092646
100289640 1.60653925 1.7507902 1.90953136 1.76222079 1.72526173
100289678 1.93597151 2.1965405 2.65701343 2.24290356 1.84515070
100293516 4.65408334 3.7128500 3.82918671 4.22364573 3.88426088
100294362 0.56842154 1.8516393 1.45244497 1.51383609 1.72526173
1003 -1.17995959 -1.1799596 -1.17995959 -0.03227164 -1.17995959
100302692 1.72490730 2.4100167 1.80810965 1.37151746 1.84515070
100302736 1.83429577 0.9285758 2.59746470 2.60283129 1.11128922
100303728 3.29501637 3.2414176 3.01659132 2.60283129 4.23094092
100303755 1.00264378 0.7309434 1.69901518 1.21360734 0.37948236
100312828 -0.51097514 0.5018743 -0.52200603 -1.17995959 0.37948236
100312850 0.28985351 -1.1799596 -1.17995959 -1.17995959 0.37948236
10036 5.13226623 5.0162468 3.74935740 3.44670824 4.14009043
100379345 2.12006166 2.0343723 2.17695695 2.24290356 1.72526173
10038 5.43109990 5.4533525 5.81493226 5.24783058 4.18623070
100381270 1.00264378 0.2294402 -0.07181269 -0.49487818 0.66664639
10039 5.85114596 6.0494743 6.13066326 6.16587018 5.37195592
1004 5.49079613 5.5540585 5.93405970 6.85873259 4.63192961
10040 4.00579604 3.5422925 4.53230648 3.97563521 2.87134160
100418710 1.47758444 0.9285758 0.54746930 1.76222079 2.40923535
100418735 3.40549461 4.0250329 2.87330452 3.44670824 3.30684355
100418744 0.56842154 -0.5457485 0.27080491 -0.03227164 1.84515070
100418770 1.00264378 0.9285758 0.97936518 1.76222079 -1.17995959
100418781 -0.05569319 0.5018743 -0.52200603 0.59874137 1.29094919
100418819 1.33596144 1.3974811 -0.52200603 2.15873446 1.45069323
100418829 1.72490730 2.5365873 2.59746470 2.72493219 2.24455820
100418888 0.56842154 1.1023680 0.97936518 1.76222079 1.59449951
100418889 2.35847434 2.6529437 3.18787679 2.46943301 2.98010951
100418910 1.00264378 0.9285758 -1.17995959 -0.49487818 0.02058583
100418919 2.42992699 2.1177338 1.69901518 1.37151746 2.48502251
100419028 -0.05569319 0.5018743 1.15486614 2.06934890 1.84515070
100419185 0.80180789 -1.1799596 0.54746930 0.83402553 -0.45825209
100419416 -0.51097514 -0.5457485 0.97936518 -0.49487818 2.15458837
100419515 -1.17995959 0.5018743 0.77951919 0.59874137 0.66664639
100419645 0.56842154 0.5018743 0.27080491 0.31746277 0.90603046
100419758 -0.05569319 -1.1799596 -1.17995959 -1.17995959 1.95583670
100419928 1.00264378 1.3974811 1.15486614 1.51383609 1.95583670
10042 5.79135586 5.5007071 5.37513112 5.07490455 5.44967446
100420028 -1.17995959 0.5018743 -0.07181269 -1.17995959 0.66664639
100420050 -0.51097514 0.2294402 -0.52200603 -0.49487818 0.37948236
100420110 2.90144316 2.7606121 3.34096733 3.25733155 3.17576018
100420187 1.60653925 2.5365873 1.80810965 0.59874137 2.55702637
100420259 3.90908884 3.9587527 3.10477457 3.41076954 3.57307304
100420307 -0.05569319 -0.5457485 -0.07181269 -1.17995959 1.11128922
100420341 5.17448570 5.1108414 6.55129492 6.42652612 4.77466655
100420423 1.17890742 -0.1067031 1.15486614 1.03626438 1.11128922
100420591 1.72490730 1.5251088 0.27080491 2.06934890 1.45069323
100420707 3.25622675 2.5365873 2.59746470 2.99142307 2.81371951
100420752 1.17890742 0.9285758 2.47044399 1.97405731 0.66664639
100420869 4.02899284 4.2262594 4.21327966 3.73527685 4.20875900
100420981 5.91479662 6.1519046 6.07171062 6.31428679 6.30274644
100421093 3.93388013 3.4488034 3.54387672 3.17402467 3.85599429
100421109 -0.05569319 1.2574574 0.54746930 -1.17995959 1.45069323
100421160 0.80180789 0.7309434 -0.07181269 0.59874137 -1.17995959
100421175 0.28985351 1.7507902 1.15486614 0.83402553 2.05863244
100421246 0.80180789 1.2574574 1.58099133 0.83402553 2.75369988
100421311 0.56842154 1.1023680 2.00428902 3.08561092 1.95583670
100421372 2.56301893 0.9285758 1.45244497 1.03626438 -0.45825209
100421400 2.74213173 1.8516393 1.31131454 0.83402553 1.84515070
100421415 1.00264378 0.2294402 0.54746930 0.59874137 -1.17995959
100421429 -0.51097514 0.2294402 1.45244497 0.59874137 1.45069323
100421465 2.28329758 2.3423080 0.77951919 1.76222079 2.75369988
100421468 0.56842154 1.3974811 1.15486614 0.31746277 0.90603046
100421506 0.28985351 -0.1067031 -0.07181269 -1.17995959 0.66664639
100421569 0.80180789 1.5251088 0.97936518 -1.17995959 1.11128922
100421595 1.17890742 0.5018743 0.77951919 1.51383609 0.90603046
100421794 3.60391091 3.3488337 3.51197897 2.89065389 4.23094092
100422106 1.47758444 1.7507902 1.90953136 1.37151746 2.87134160
100422338 1.72490730 1.5251088 1.45244497 1.87202366 2.32924514
100422546 -0.05569319 -0.5457485 -0.07181269 0.83402553 1.29094919
100422561 3.21636530 4.1491032 4.63952766 3.73527685 3.53791836
10043 5.92719658 5.8627400 6.06072825 5.42041793 6.12464377
10044 2.03095087 1.5251088 1.58099133 -0.03227164 1.95583670
10045 0.80180789 -1.1799596 1.80810965 1.87202366 1.95583670
10046 2.03095087 1.3974811 1.45244497 1.03626438 1.59449951
10048 6.63876464 6.6970831 6.57464438 6.68155554 7.24249603
10049 5.47399062 5.8135827 5.61172620 5.66122401 5.12191930
100499177 2.95086374 2.9544802 3.47935998 3.25733155 1.72526173
100499483 1.33596144 0.7309434 1.45244497 -0.03227164 0.02058583
1005 -1.17995959 -0.1067031 1.58099133 0.59874137 1.11128922
100500719 1.17890742 -0.1067031 1.31131454 0.59874137 2.15458837
100505385 2.79721352 2.1965405 2.00428902 0.83402553 3.38805092
100505501 2.20398709 1.2574574 2.33115063 2.06934890 2.05863244
100505538 0.80180789 1.1023680 1.90953136 1.64336731 2.75369988
100505549 -1.17995959 -0.1067031 -1.17995959 0.59874137 -1.17995959
100505573 5.57200695 5.2466687 5.79518979 5.48232848 7.04381005
100505576 4.37513142 4.5451366 4.60969745 4.13831145 3.34801854
100505616 0.80180789 -0.5457485 -0.52200603 -1.17995959 -0.45825209
100505624 1.93597151 1.8516393 2.09320465 1.64336731 2.15458837
100505635 -0.05569319 -1.1799596 0.97936518 0.59874137 -1.17995959
100505641 2.28329758 1.8516393 2.65701343 0.59874137 1.59449951
100505648 3.66441642 3.4162439 4.21327966 3.92557598 3.53791836
100505678 2.56301893 2.6529437 2.25611282 2.53767343 1.11128922
100505696 4.72681885 4.3520856 4.43360034 3.92557598 4.35731441
100505715 -0.05569319 -0.1067031 -0.07181269 -0.49487818 -1.17995959
100505738 1.83429577 2.6529437 2.00428902 2.39780381 2.32924514
100505741 0.56842154 1.8516393 1.31131454 1.03626438 2.32924514
100505758 3.17537113 3.6300902 3.54387672 3.44670824 3.30684355
100505761 2.20398709 2.9084004 3.41182246 2.78231410 2.24455820
100505771 2.74213173 3.3139095 3.14692395 2.39780381 4.01783895
100505783 -0.05569319 -1.1799596 -1.17995959 -1.17995959 0.02058583
100505806 2.90144316 3.3139095 2.87330452 3.37391266 1.95583670
100505812 1.00264378 0.5018743 -1.17995959 -0.49487818 0.02058583
100505832 1.33596144 0.2294402 0.77951919 0.59874137 1.45069323
100505854 1.00264378 1.2574574 1.58099133 -0.03227164 2.69107448
100505876 5.81156247 5.7496829 5.70637235 6.05382310 7.37040413
100505894 3.83205156 3.3829325 2.82219518 2.72493219 2.62560675
100505933 1.00264378 -0.5457485 0.77951919 1.03626438 -1.17995959
100505994 0.28985351 -0.5457485 1.31131454 2.24290356 2.87134160
100506020 -0.05569319 -0.1067031 0.54746930 -0.03227164 0.90603046
100506033 5.57200695 5.3708013 4.80661134 4.81105536 5.19143760
100506054 1.17890742 0.9285758 0.77951919 1.03626438 0.37948236
100506068 -1.17995959 -0.5457485 0.54746930 -1.17995959 1.45069323
100506070 1.93597151 0.7309434 1.15486614 0.31746277 1.29094919
100506083 -0.51097514 -0.5457485 1.69901518 -0.03227164 0.37948236
100506100 -0.05569319 -0.1067031 -0.52200603 -0.49487818 0.02058583
100506119 -1.17995959 -1.1799596 -1.17995959 -1.17995959 4.06798936
100506127 2.03095087 2.9084004 2.40247777 2.39780381 1.45069323
100506142 -0.51097514 0.5018743 0.77951919 0.59874137 0.90603046
100506144 -0.05569319 -0.5457485 0.27080491 0.83402553 1.11128922
100506161 -0.05569319 0.5018743 1.15486614 0.59874137 0.02058583
100506211 5.36882653 5.3792723 5.84724762 5.79966907 4.75948662
100506235 1.47758444 1.9458970 1.31131454 1.64336731 2.40923535
100506258 -1.17995959 -0.5457485 0.77951919 0.31746277 0.37948236
100506282 2.79721352 2.4100167 2.25611282 2.06934890 2.87134160
100506286 -1.17995959 0.9285758 1.15486614 -0.03227164 1.29094919
100506302 1.00264378 2.1177338 2.17695695 1.87202366 1.95583670
100506321 0.28985351 1.2574574 -0.52200603 0.59874137 1.29094919
100506325 -0.05569319 0.9285758 1.45244497 0.83402553 0.02058583
100506343 -0.51097514 -0.5457485 0.97936518 -0.03227164 2.05863244
100506365 5.54006907 5.3537087 5.28363468 5.24783058 4.66489167
100506368 -1.17995959 0.9285758 0.54746930 -1.17995959 0.66664639
100506380 2.12006166 2.0343723 2.25611282 1.87202366 1.95583670
100506392 4.37513142 4.4836125 4.46725835 4.41720897 3.82716279
100506394 1.00264378 1.1023680 1.31131454 1.51383609 2.15458837
100506411 2.12006166 2.1177338 0.27080491 1.03626438 1.11128922
100506433 2.90144316 2.6529437 2.76920852 2.53767343 1.45069323
100506462 0.28985351 0.7309434 0.97936518 0.31746277 1.45069323
100506469 3.47471010 3.6582076 3.60563138 3.33608945 2.87134160
100506495 1.47758444 0.9285758 0.54746930 0.59874137 1.29094919
100506504 1.60653925 1.5251088 2.00428902 1.87202366 1.84515070
100506540 1.17890742 1.9458970 1.58099133 1.64336731 1.11128922
100506581 2.49800717 2.9084004 3.60563138 2.89065389 3.08124895
100506606 1.17890742 0.7309434 -0.52200603 1.21360734 1.11128922
100506658 1.00264378 -0.5457485 2.00428902 1.76222079 1.45069323
100506668 2.99864730 2.3423080 3.63554491 2.99142307 1.72526173
100506686 1.83429577 1.2574574 2.71420134 2.78231410 1.45069323
100506691 -1.17995959 -0.5457485 -1.17995959 -0.03227164 -1.17995959
100506696 1.00264378 -0.1067031 0.27080491 1.21360734 1.45069323
100506697 1.60653925 -1.1799596 0.54746930 -1.17995959 1.29094919
100506710 5.19514097 4.8555409 5.34828627 5.32709482 5.16863502
100506713 0.28985351 0.2294402 0.27080491 -1.17995959 -0.45825209
100506725 4.09642597 2.9084004 3.54387672 3.08561092 1.72526173
100506731 2.42992699 2.1177338 2.09320465 1.64336731 4.18623070
100506757 1.00264378 1.3974811 2.47044399 2.06934890 1.59449951
100506779 -0.05569319 0.9285758 -0.52200603 -0.03227164 0.90603046
100506804 -1.17995959 -0.1067031 -0.52200603 -0.03227164 1.11128922
100506826 1.47758444 2.5365873 1.45244497 1.21360734 1.72526173
100506844 3.25622675 3.0424463 4.25241630 3.70592013 3.34801854
100506866 6.69423201 6.8297083 6.53947693 6.51381816 5.09798165
100506881 2.03095087 2.0343723 2.65701343 2.46943301 3.46492980
100506885 1.33596144 1.2574574 0.54746930 -0.03227164 2.87134160
100506911 -0.51097514 0.9285758 0.27080491 -1.17995959 -1.17995959
100506922 0.28985351 0.2294402 -0.52200603 0.31746277 1.95583670
100506930 3.83205156 4.1089204 4.50014899 4.22364573 3.34801854
100506994 0.28985351 1.3974811 0.54746930 -0.03227164 1.29094919
100507003 -0.51097514 -1.1799596 -0.07181269 -1.17995959 -1.17995959
100507032 -1.17995959 -1.1799596 -1.17995959 -1.17995959 -1.17995959
100507034 2.95086374 2.7606121 3.22769914 3.21627933 5.30033864
100507050 0.28985351 -0.5457485 0.77951919 1.03626438 3.53791836
100507053 -1.17995959 -1.1799596 0.54746930 -0.03227164 1.45069323
100507057 1.00264378 -1.1799596 -0.07181269 -0.03227164 2.92675035
100507062 1.83429577 0.7309434 -0.07181269 0.83402553 0.90603046
100507071 0.56842154 1.3974811 0.27080491 -0.03227164 -1.17995959
100507156 2.68486316 2.5365873 2.87330452 2.83750073 1.59449951
100507171 3.29501637 2.0343723 3.14692395 3.13049498 0.02058583
100507173 -1.17995959 -0.1067031 -1.17995959 -0.03227164 -1.17995959
100507178 0.28985351 -1.1799596 0.27080491 1.21360734 0.66664639
100507244 1.00264378 1.3974811 1.58099133 0.59874137 1.72526173
100507246 4.24249843 3.4488034 4.27159356 3.84707150 3.57307304
100507250 0.80180789 1.2574574 1.45244497 0.59874137 0.37948236
100507254 2.03095087 2.1965405 -0.07181269 -1.17995959 -1.17995959
100507266 0.56842154 1.3974811 2.00428902 -0.49487818 -1.17995959
100507290 5.32264010 4.9381304 5.12398166 4.58784769 4.63192961
100507291 -0.05569319 0.2294402 -0.52200603 -1.17995959 -0.45825209
100507303 2.28329758 2.5959382 3.18787679 2.53767343 2.32924514
100507308 1.33596144 1.1023680 -0.07181269 1.64336731 0.37948236
100507316 0.56842154 1.3974811 -0.07181269 -1.17995959 1.45069323
100507331 1.83429577 2.3423080 2.47044399 2.78231410 2.40923535
100507347 1.93597151 2.0343723 2.25611282 2.39780381 3.99209448
100507373 2.68486316 2.1177338 2.53535182 2.53767343 1.84515070
100507392 -1.17995959 -0.5457485 0.97936518 -0.03227164 1.11128922
100507398 0.56842154 1.1023680 0.97936518 0.83402553 3.26445880
100507401 0.80180789 0.5018743 -0.07181269 0.59874137 -0.45825209
100507420 -1.17995959 -0.1067031 -1.17995959 -1.17995959 1.45069323
100507433 3.75066743 3.3488337 3.14692395 3.64535143 2.98010951
100507436 0.28985351 -0.1067031 1.15486614 -1.17995959 0.37948236
100507437 1.17890742 1.5251088 1.80810965 1.21360734 2.32924514
100507459 1.33596144 0.5018743 2.09320465 2.24290356 2.05863244
100507463 -1.17995959 0.5018743 0.27080491 -0.49487818 1.72526173
100507487 0.80180789 0.5018743 1.58099133 2.60283129 3.88426088
100507495 4.44578360 4.6041439 4.43360034 4.89149001 3.96588225
100507516 0.56842154 -0.1067031 0.54746930 -0.03227164 1.45069323
100507551 0.56842154 -0.1067031 0.77951919 -1.17995959 1.29094919
100507557 1.47758444 1.1023680 2.25611282 2.15873446 0.90603046
100507564 1.60653925 0.9285758 1.80810965 1.76222079 0.37948236
100507567 0.28985351 -0.1067031 -0.52200603 0.31746277 0.90603046
100507588 -1.17995959 0.5018743 1.69901518 -0.03227164 2.24455820
100507599 0.56842154 1.5251088 0.54746930 1.03626438 0.66664639
100507602 3.98222016 3.5721560 4.66875355 4.65082633 3.99209448
100508120 1.00264378 1.7507902 2.00428902 1.87202366 0.02058583
10051 7.28439075 7.2617885 5.88509419 5.52497821 6.19403402
10052 1.93597151 2.4746896 1.45244497 0.59874137 1.11128922
100526737 2.12006166 2.1965405 2.17695695 2.66517309 2.98010951
100526760 1.60653925 -0.1067031 2.00428902 1.64336731 1.11128922
100526820 -0.05569319 0.9285758 0.54746930 1.21360734 2.05863244
100526835 5.11068395 4.8796243 4.48379740 4.66615061 3.57307304
100527978 -0.51097514 -0.1067031 -0.52200603 0.59874137 -1.17995959
100529145 1.72490730 1.8516393 2.25611282 1.51383609 0.02058583
100529215 -0.51097514 -1.1799596 -0.07181269 0.31746277 -0.45825209
100532746 3.50811114 3.6857875 4.25241630 3.58212801 4.01783895
100533106 0.56842154 0.9285758 0.97936518 0.59874137 0.37948236
100533182 -0.05569319 -0.1067031 -0.07181269 -0.03227164 0.02058583
100533619 -0.05569319 0.5018743 0.54746930 -0.03227164 0.02058583
100533629 -1.17995959 0.5018743 1.15486614 -1.17995959 0.66664639
100533695 -0.51097514 -0.1067031 -0.52200603 -0.49487818 0.37948236
100533970 1.33596144 1.6423579 0.27080491 0.83402553 2.32924514
100534593 0.28985351 0.5018743 0.97936518 1.21360734 2.40923535
10054 6.35652389 6.0441568 6.25149069 6.33840096 6.17127277
10056 5.91479662 5.9219209 6.15668373 6.12208997 5.39178158
10057 7.38445726 7.4034901 7.48766898 7.23520717 7.55536601
10058 6.31466259 6.2930838 7.82925367 7.25307690 8.09377621
10059 7.26008990 7.3354670 6.73521852 6.58810559 6.65006317
1006 3.54075635 3.5721560 2.87330452 3.48177339 4.35731441
10060 3.21636530 3.2037583 3.66485078 3.51600645 2.81371951
100616256 0.28985351 0.5018743 0.54746930 0.59874137 0.37948236
10062 1.47758444 0.7309434 0.54746930 1.87202366 1.29094919
10063 4.46291895 4.5299998 4.72548697 4.83836823 4.47350422
100652739 1.33596144 -0.1067031 1.45244497 -1.17995959 1.11128922
100652758 1.83429577 1.7507902 2.33115063 2.46943301 3.38805092
100652846 2.35847434 1.8516393 1.31131454 1.51383609 0.90603046
10066 6.60828632 6.4257656 6.90140469 6.88188791 6.43761033
10067 5.95168126 6.0861579 6.49529671 6.23942726 6.21087235
10068 3.50811114 3.4488034 3.85484416 3.73527685 3.64091241
10069 2.68486316 2.5365873 2.47044399 3.37391266 4.01783895
10072 4.26220902 4.2815338 3.26645175 3.64535143 3.82716279
10073 3.60391091 3.3829325 3.82918671 3.89987956 3.60739144
10075 8.61492711 8.5260290 8.52137445 8.45995309 8.47802326
10076 4.35691419 3.4806443 4.39913829 4.76909135 7.18684469
10077 0.80180789 1.2574574 0.77951919 0.31746277 0.02058583
100775107 1.72490730 1.1023680 0.97936518 1.37151746 1.59449951
10078 4.84916011 4.7286973 4.97984782 4.52199382 4.89067739
10079 3.60391091 3.9811862 4.57923741 5.04003979 4.06798936
1008 2.62522697 2.6529437 3.10477457 3.41076954 4.41657870
10081 5.32264010 5.1209790 5.47777786 5.18538691 5.96838274
10082 7.02072729 7.2033539 6.51554649 6.70028504 5.32116605
100820829 6.19157303 6.0861579 5.26461787 4.43521019 4.39709319
10084 4.90037253 5.1006320 4.99146093 4.53874123 4.71296431
100847074 1.83429577 1.9458970 2.25611282 1.64336731 1.59449951
10085 8.12842485 8.7252379 8.75648085 9.00229083 8.32273720
100852407 1.33596144 0.7309434 0.97936518 0.59874137 -1.17995959
100861412 -1.17995959 0.7309434 0.97936518 -1.17995959 -1.17995959
100861548 3.50811114 3.8410342 4.90813482 5.24783058 4.91827892
100862671 2.20398709 0.7309434 1.45244497 0.59874137 -1.17995959
10087 6.36566372 6.4660882 6.51151921 6.78694962 6.62933685
100873257 1.33596144 0.5018743 0.54746930 1.21360734 1.59449951
100873333 2.35847434 2.4100167 1.69901518 2.24290356 2.55702637
100873790 3.29501637 3.6014139 3.22769914 2.60283129 4.23094092
100873949 1.00264378 1.1023680 0.77951919 -1.17995959 0.37948236
100873952 0.28985351 -0.1067031 0.27080491 1.03626438 0.90603046
100873965 1.72490730 2.0343723 1.80810965 0.59874137 2.48502251
100874006 1.47758444 0.9285758 0.97936518 1.87202366 0.90603046
100874008 1.47758444 1.1023680 0.97936518 0.59874137 -1.17995959
100874014 2.49800717 2.1965405 3.18787679 2.15873446 4.54607097
100874058 1.60653925 1.1023680 2.00428902 2.39780381 1.84515070
100874080 1.60653925 1.3974811 1.31131454 1.64336731 0.02058583
100874097 1.93597151 1.6423579 1.31131454 2.39780381 2.75369988
100874201 0.80180789 0.2294402 -0.52200603 0.59874137 -0.45825209
100874212 -0.05569319 0.9285758 -0.07181269 0.59874137 0.66664639
100874217 0.56842154 1.1023680 -0.07181269 1.51383609 -1.17995959
100874235 -0.51097514 0.7309434 -0.52200603 -0.03227164 -1.17995959
100874261 1.72490730 -0.5457485 0.54746930 0.83402553 -0.45825209
100874291 0.28985351 0.5018743 0.54746930 -0.03227164 1.84515070
100874362 -0.05569319 0.2294402 2.00428902 2.66517309 2.69107448
100874523 1.72490730 1.5251088 0.54746930 0.83402553 2.48502251
100885775 2.12006166 1.9458970 1.15486614 0.59874137 2.40923535
100885776 1.33596144 0.2294402 2.53535182 1.64336731 0.66664639
100885848 5.85114596 5.7691517 5.10272306 5.20650320 4.33700602
1009 9.15654458 9.3552288 8.35716224 9.26007750 7.55096446
10090 3.13317795 3.2037583 4.83266981 3.64535143 4.54607097
10092 7.25271911 7.2845153 7.01386466 6.89820280 6.48452519
10093 6.60828632 6.8961465 6.89523576 6.91433525 7.18115964
10094 3.72248618 3.5117977 3.82918671 4.00002818 3.96588225
10095 4.37513142 4.7807805 4.90813482 5.41135263 5.20270514
10097 7.68569080 7.7971855 7.97090903 7.95444791 8.11927041
10098 5.44840950 5.6481910 5.85997378 5.91960459 6.13644307
10099 7.74467972 8.0907637 8.46417918 8.38436928 8.41644834
100996246 1.60653925 1.6423579 2.97039241 1.97405731 1.95583670
100996251 1.83429577 -0.5457485 0.27080491 2.24290356 1.29094919
100996307 1.83429577 1.9458970 2.17695695 1.51383609 1.95583670
100996384 2.20398709 2.4746896 1.80810965 1.76222079 1.59449951
100996419 1.00264378 2.1965405 1.31131454 1.03626438 0.02058583
100996485 1.93597151 1.9458970 0.54746930 1.51383609 2.81371951
100996539 1.17890742 0.5018743 0.27080491 -1.17995959 1.84515070
100996579 -0.05569319 -0.1067031 0.97936518 0.83402553 1.72526173
100996696 3.83205156 3.6300902 3.26645175 3.25733155 2.98010951
100996842 2.20398709 1.8516393 1.69901518 2.53767343 2.24455820
100996851 0.56842154 -0.5457485 -1.17995959 0.31746277 0.66664639
100996939 1.00264378 0.2294402 1.45244497 0.83402553 1.29094919
101 1.47758444 2.2712645 1.90953136 1.21360734 3.60739144
1010 3.04489882 3.4488034 3.10477457 2.94191811 1.29094919
10100 5.68584615 5.7691517 5.04816431 4.66615061 4.23094092
10101 5.16404610 5.2280304 5.98722964 5.09768826 5.92821986
10102 4.57748515 4.6468677 5.09197512 4.78321541 4.77466655
10103 -1.17995959 -1.1799596 -0.52200603 1.03626438 1.45069323
10105 6.91574573 7.1449384 6.83849527 6.56376567 7.66533232
10106 7.11316844 7.0258988 7.71481832 7.77348977 7.39025097
101060200 3.13317795 3.5422925 3.14692395 2.39780381 4.09242562
101060691 2.79721352 2.5365873 2.82219518 1.64336731 1.29094919
10109 8.02694087 8.2505072 8.19712397 8.08702887 8.84277089
10112 6.25688835 5.8383707 3.47935998 1.03626438 3.50188561
10113 6.27155026 6.3800689 7.50802536 6.35267834 6.35922112
10114 8.27023051 8.1389505 7.87385708 8.04807940 8.71581039
101154753 -0.51097514 0.2294402 -0.07181269 0.59874137 -0.45825209
10116 8.21441066 8.0660529 7.77317033 8.10962340 7.68555147
10117 -0.05569319 -0.1067031 -0.07181269 -0.03227164 -1.17995959
1012 6.62741059 6.9931592 7.60759734 7.82560053 6.87096113
10121 6.05699363 5.6270069 5.74804543 5.98216476 6.15975604
10123 5.82487801 5.5084506 5.25501463 6.67399513 8.00645903
NUTL_24_C2 DMSO_24_C2 LPS_24_C2 TNFa_24_C2 H2O_24_C2
100 3.49222261 2.90755888 2.3969061 2.88436556 2.60654978
1000 11.11111337 11.02624335 10.9341646 10.91311787 10.99926203
10000 6.45593620 6.29733277 6.3186522 6.09304732 6.24178249
10001 4.92197396 4.34482131 4.4852179 4.42865975 4.50975586
10003 4.24296445 3.67068949 3.7772731 3.40436050 3.70303737
100037417 -1.17995959 -1.17995959 -1.1799596 -1.17995959 -1.17995959
100049716 2.86189404 2.63126184 2.5233765 2.46327989 2.34009128
10005 3.72731899 3.70002106 3.8271730 4.37397318 3.98622646
10006 6.22302516 6.74006608 6.4518561 6.51981300 6.79920329
10007 5.06371626 4.76130923 4.8292639 5.00972378 5.06891043
10009 4.53620551 4.66046847 5.2870382 4.37397318 4.90548082
100093630 6.01661764 6.07469038 5.8485451 6.09867949 5.86969689
1001 6.24483904 5.64027796 5.7613953 5.31080870 5.72311718
10010 5.35199218 5.42001175 5.2417605 5.94458438 5.05783137
100101267 2.74430401 2.36441497 2.5233765 1.75640544 1.81667579
100101467 4.28568164 3.98853786 3.6990299 4.08715979 4.28116773
10011 6.18967316 5.55455770 5.7485042 5.90655864 5.60630622
100113386 0.01491387 -0.05217198 0.4920440 -1.17995959 -0.51841030
100113397 1.58591750 1.00771355 0.4920440 1.20819520 0.98697503
100113407 3.56339112 4.14602807 3.6990299 3.63890065 4.20286760
100125288 2.86189404 2.50399927 1.3855836 2.65895222 2.60654978
100127983 1.58591750 3.13935052 2.0216164 2.98510783 3.02585600
100128006 3.49222261 2.28920835 2.9856231 2.15270965 2.54440556
100128016 0.65939339 0.80666409 1.0910161 -1.17995959 -0.51841030
100128025 0.89834924 0.57298912 0.2205380 1.03101893 0.98697503
100128054 1.10329327 1.00771355 0.2205380 0.59400634 2.41145975
100128071 0.89834924 1.73054007 0.2205380 1.03101893 0.27702581
100128191 0.65939339 1.18414161 0.9176014 1.36597318 0.55431494
100128252 1.58591750 2.36441497 2.1048910 1.86614444 2.10199163
100128379 -1.17995959 1.00771355 0.9176014 -1.17995959 0.98697503
100128398 5.08805559 4.69000646 4.4537954 4.04110233 4.78971399
100128494 3.29723745 2.69091682 2.6396482 2.31633577 3.07063756
100128569 1.44226565 2.36441497 1.8390923 2.23684122 0.98697503
100128640 -1.17995959 -1.17995959 -0.1141915 -1.17995959 -0.06655198
100128682 0.01491387 -0.05217198 -1.1799596 -0.03593674 0.27702581
100128731 6.55530002 6.20316340 6.5064763 6.57338156 6.27564799
100128766 2.04964507 2.95699236 2.9856231 2.77605687 2.83138302
100128782 1.28271217 0.80666409 0.2205380 1.63762680 1.31937427
100128822 -1.17995959 -1.17995959 -1.1799596 -1.17995959 -1.17995959
100128833 1.58591750 2.63126184 1.3855836 1.96812293 2.10199163
100128881 1.58591750 2.56903336 2.4615267 2.46327989 2.10199163
100128893 5.91143336 6.11335789 5.9250114 5.75787181 6.39049285
100129001 1.28271217 1.18414161 0.4920440 1.50818448 0.98697503
100129013 1.44226565 0.80666409 0.2205380 1.36597318 0.98697503
100129029 0.65939339 -0.50856034 -0.1141915 0.59400634 -0.06655198
100129060 3.81742046 3.72876815 3.5285331 3.99352588 3.23703634
100129075 1.83633371 2.20986462 1.7383703 2.71869241 2.26500771
100129195 3.11973118 2.74820272 2.8473694 3.07927218 2.88251357
100129203 1.58591750 0.57298912 -0.1141915 0.59400634 -0.06655198
100129250 -0.46220201 2.43589460 2.1836201 2.53149564 2.26500771
100129259 1.71655206 1.34132613 1.6300850 1.75640544 0.55431494
100129361 5.94513465 5.48042503 5.4709321 5.50992598 5.45406556
100129398 1.28271217 1.48305520 1.6300850 0.59400634 1.46066672
100129434 -1.17995959 -0.05217198 -1.1799596 -1.17995959 -0.51841030
100129461 1.83633371 0.57298912 1.5130077 0.59400634 1.46066672
100129484 2.04964507 1.34132613 0.9176014 1.50818448 0.78680375
100129550 5.14716586 4.64546954 4.4537954 4.31713171 4.33722436
100129583 -0.46220201 -1.17995959 -0.1141915 1.03101893 -1.17995959
100129662 0.89834924 -1.17995959 0.4920440 0.59400634 0.78680375
100129707 -1.17995959 0.29400943 -0.5508202 1.20819520 0.98697503
100129716 1.71655206 1.61209794 1.3855836 1.75640544 2.01301176
100129726 -1.17995959 2.03674921 1.2458049 1.75640544 -0.06655198
100129774 3.37842019 3.81172448 3.8754045 3.72881179 3.58452013
100129781 1.10329327 1.00771355 -0.1141915 1.36597318 0.78680375
100129792 -0.46220201 -0.05217198 -0.1141915 0.31314764 -0.06655198
100129794 2.04964507 1.73054007 2.1048910 3.03295813 0.98697503
100129842 0.01491387 -0.05217198 -1.1799596 -1.17995959 -1.17995959
100129917 2.74430401 2.20986462 2.1836201 1.96812293 1.70748457
100129924 0.89834924 1.00771355 1.2458049 0.59400634 0.78680375
100129940 1.83633371 1.61209794 1.8390923 1.63762680 0.55431494
100129995 -1.17995959 -1.17995959 -1.1799596 -1.17995959 -0.06655198
10013 5.34190698 5.79100382 5.7993916 6.15382393 5.70902266
100130111 0.37284598 -1.17995959 -1.1799596 0.59400634 -1.17995959
100130197 0.37284598 0.29400943 -0.5508202 0.31314764 -0.51841030
100130335 2.32007504 3.33900504 3.0289123 3.07927218 2.97963976
100130348 3.45527700 2.90755888 2.6944490 3.25095372 3.61507464
100130357 0.37284598 0.80666409 1.0910161 1.03101893 0.55431494
100130466 3.56339112 3.18155310 3.0289123 3.32969518 2.93189387
100130476 -1.17995959 -1.17995959 -1.1799596 0.31314764 -1.17995959
100130522 1.58591750 1.18414161 1.5130077 -0.03593674 1.46066672
100130550 1.10329327 -0.05217198 -1.1799596 0.82899691 1.70748457
100130564 3.59770072 3.30122356 3.6444062 1.96812293 3.11407084
100130581 2.14553226 2.12590197 1.9332389 1.20819520 1.70748457
100130691 1.58591750 1.73054007 2.2582743 1.36597318 0.27702581
100130705 1.71655206 1.48305520 2.2582743 1.50818448 0.98697503
100130748 1.71655206 1.34132613 1.7383703 1.63762680 1.46066672
100130750 -1.17995959 -1.17995959 -1.1799596 -1.17995959 -0.06655198
100130855 1.58591750 2.12590197 0.7204572 2.23684122 2.47946350
100130958 1.71655206 0.80666409 0.7204572 0.82899691 -0.06655198
100131017 -1.17995959 -1.17995959 -1.1799596 -1.17995959 -1.17995959
100131031 1.44226565 2.56903336 2.7472441 3.12414557 2.18580093
100131033 1.28271217 1.83999179 1.7383703 2.31633577 1.91818111
100131067 1.10329327 1.34132613 0.9176014 -1.17995959 2.10199163
100131089 0.37284598 2.90755888 2.9856231 2.88436556 1.58934745
100131094 -1.17995959 1.00771355 1.0910161 -0.49740248 -0.51841030
100131138 1.71655206 2.56903336 2.5826834 1.96812293 2.01301176
100131187 1.83633371 0.57298912 0.9176014 1.36597318 1.31937427
100131193 1.83633371 2.69091682 1.9332389 2.46327989 2.47946350
100131211 3.98231825 4.16718624 4.1152103 4.06431485 4.07682250
100131213 0.65939339 -0.05217198 -0.1141915 -0.03593674 0.78680375
100131471 1.83633371 1.83999179 0.4920440 1.96812293 0.78680375
100131656 2.91727986 3.05105081 2.5233765 2.31633577 2.88251357
100131685 2.14553226 1.00771355 2.3969061 1.75640544 2.60654978
100131691 3.56339112 2.43589460 2.5826834 3.03295813 1.81667579
100131740 1.58591750 0.57298912 0.7204572 0.59400634 0.27702581
100131801 3.84624575 3.30122356 3.4025342 3.40436050 3.02585600
100131827 -1.17995959 -1.17995959 -1.1799596 -1.17995959 -1.17995959
100131828 0.37284598 -1.17995959 -0.5508202 -0.49740248 -1.17995959
100131940 1.28271217 0.80666409 0.7204572 -0.03593674 0.55431494
100132074 -1.17995959 -0.05217198 0.4920440 -1.17995959 -0.51841030
100132086 0.65939339 1.18414161 0.7204572 1.20819520 1.16272671
100132116 8.09278579 8.76451328 8.5951139 8.44887133 8.78822078
100132126 1.44226565 1.00771355 -1.1799596 1.03101893 0.98697503
100132215 1.94692823 1.34132613 1.2458049 1.63762680 1.70748457
100132537 1.71655206 2.28920835 2.3292547 1.75640544 1.91818111
100132609 0.89834924 -0.05217198 0.4920440 0.82899691 0.78680375
100132659 1.28271217 0.29400943 0.2205380 0.31314764 0.55431494
100132891 -1.17995959 -1.17995959 -0.1141915 1.20819520 0.55431494
100132972 0.89834924 0.57298912 0.4920440 0.59400634 1.16272671
100133234 0.01491387 1.34132613 0.2205380 -1.17995959 0.78680375
100133286 0.37284598 -0.50856034 0.7204572 0.59400634 0.27702581
100133315 0.01491387 1.00771355 0.2205380 0.82899691 0.98697503
100134934 1.10329327 1.00771355 1.9332389 2.15270965 1.46066672
10014 6.35424519 6.82239342 6.4676740 6.30763678 6.75186640
100144603 1.28271217 1.48305520 1.2458049 3.03295813 1.58934745
100144748 3.56339112 2.50399927 1.6300850 1.63762680 0.98697503
10015 7.52986932 7.62685783 7.6609423 7.61788600 7.57136917
10016 5.34190698 5.11709992 5.1368461 4.77663566 4.90548082
100170229 1.28271217 -0.05217198 -0.1141915 -0.49740248 0.27702581
100170841 3.72731899 5.00405566 4.5159705 4.64425691 5.02407438
10018 3.75798232 4.01211667 3.2277844 3.25095372 3.11407084
100188847 1.28271217 2.50399927 1.8390923 2.15270965 1.31937427
10019 3.56339112 3.83834940 4.2309512 4.19625414 3.42121480
100190938 2.14553226 2.95699236 3.3002435 3.25095372 3.52139847
1002 1.44226565 0.80666409 1.3855836 1.03101893 2.47946350
10020 3.78800747 4.50296294 3.7772731 3.50957784 3.78594374
10021 8.75599933 8.22216403 8.3674357 7.95400022 8.17265233
10023 1.28271217 1.61209794 1.5130077 1.03101893 0.55431494
10024 -1.17995959 3.44675257 2.8949414 3.12414557 3.02585600
10026 6.45593620 6.33053372 6.2052918 5.96938924 5.93169948
100268168 0.01491387 -0.50856034 -1.1799596 0.82899691 0.78680375
100270804 0.65939339 1.48305520 1.5130077 1.63762680 1.81667579
100270827 0.37284598 -1.17995959 0.2205380 0.82899691 0.98697503
100270840 3.07171900 3.75695361 3.5285331 3.66949788 3.38621224
100270854 1.28271217 2.95699236 2.5233765 2.71869241 2.01301176
100270865 3.33839978 3.44675257 3.3351525 3.20991043 3.58452013
100271271 3.11973118 3.41172330 3.5285331 3.32969518 2.60654978
100271332 2.23544165 2.12590197 2.0216164 2.23684122 2.41145975
100271415 2.32007504 2.12590197 1.7383703 1.75640544 2.10199163
100271479 -1.17995959 -1.17995959 0.2205380 1.03101893 0.27702581
100271884 0.65939339 1.00771355 -0.1141915 1.36597318 0.55431494
100272147 2.54772690 2.95699236 2.6944490 2.98510783 3.78594374
100286844 2.97061777 1.48305520 2.0216164 1.50818448 1.81667579
100287015 -1.17995959 0.29400943 0.4920440 0.31314764 0.78680375
100287049 0.37284598 0.29400943 -0.1141915 -0.49740248 0.98697503
100287074 2.04964507 1.48305520 2.4615267 2.06336642 2.72334180
100287616 1.94692823 2.50399927 3.3692367 3.20991043 2.60654978
100287722 0.65939339 2.43589460 2.1048910 2.15270965 2.01301176
100287808 0.01491387 0.57298912 0.7204572 -0.03593674 -0.06655198
100287837 -1.17995959 -1.17995959 -1.1799596 -0.49740248 -1.17995959
100287896 2.68170789 3.44675257 3.4350805 3.20991043 3.48877084
100287902 -0.46220201 0.29400943 -0.1141915 -1.17995959 -0.06655198
100287928 2.91727986 3.33900504 3.2277844 3.16766522 3.35033928
100287932 5.38183155 5.14935529 5.4865433 5.42280809 5.52818493
100288001 2.32007504 2.12590197 1.7383703 1.75640544 2.18580093
100288073 4.60528742 3.89016900 3.6162987 3.72881179 3.67430827
100288123 1.44226565 1.34132613 1.2458049 1.20819520 0.27702581
100288198 3.41736033 2.56903336 3.0289123 3.29086159 2.10199163
100288241 1.58591750 1.61209794 1.3855836 2.15270965 0.55431494
100288413 4.36749908 4.71895180 4.6328171 4.49849280 4.55773346
100288513 0.01491387 -1.17995959 -0.1141915 -1.17995959 0.27702581
100288842 0.01491387 1.00771355 0.7204572 1.03101893 1.16272671
100289061 0.37284598 1.34132613 0.2205380 2.15270965 2.01301176
100289095 0.65939339 0.80666409 0.4920440 1.63762680 -0.06655198
100289133 0.01491387 1.34132613 0.2205380 -0.03593674 0.27702581
100289178 3.02205382 2.69091682 2.8473694 2.77605687 2.34009128
100289211 1.10329327 1.73054007 0.7204572 1.03101893 1.16272671
100289259 0.37284598 -0.05217198 1.5130077 0.31314764 0.78680375
100289274 2.97061777 3.09587610 2.1048910 2.77605687 2.60654978
100289341 1.58591750 0.80666409 0.9176014 1.50818448 1.16272671
100289373 0.01491387 -1.17995959 -1.1799596 -1.17995959 -1.17995959
100289388 2.74430401 1.83999179 2.0216164 2.15270965 1.58934745
100289414 -0.46220201 0.29400943 0.9176014 0.82899691 0.55431494
100289635 5.50444616 5.56256436 5.6686407 5.41379983 5.33062192
100289640 1.71655206 1.83999179 0.7204572 1.50818448 0.55431494
100289678 1.71655206 1.18414161 1.7383703 2.23684122 2.18580093
100293516 4.48213278 3.78459894 3.9220755 4.33632878 3.61507464
100294362 0.89834924 1.61209794 2.4615267 1.50818448 0.55431494
1003 -1.17995959 -1.17995959 -0.1141915 2.06336642 -1.17995959
100302692 2.23544165 1.83999179 1.6300850 -0.03593674 1.58934745
100302736 0.89834924 1.18414161 1.7383703 1.63762680 1.46066672
100303728 2.80429675 3.61017431 3.1901429 3.63890065 3.15623465
100303755 1.83633371 1.73054007 1.0910161 1.75640544 1.31937427
100312828 -1.17995959 -0.50856034 -0.1141915 -0.03593674 -1.17995959
100312850 -1.17995959 -0.50856034 0.2205380 -1.17995959 -1.17995959
10036 2.14553226 4.48622371 4.3552004 4.37397318 4.73512138
100379345 2.40001747 2.20986462 2.5233765 3.36751081 2.83138302
10038 5.25858211 5.48042503 5.4149227 5.45828898 5.63640753
100381270 0.65939339 1.00771355 -1.1799596 0.59400634 0.55431494
10039 5.99747089 6.12421804 6.1718868 6.59346658 6.41240415
1004 7.44289937 7.13851661 7.2725052 7.16553590 7.51779900
10040 4.08263059 4.03531632 3.5583855 3.40436050 3.83868079
100418710 0.89834924 0.57298912 0.4920440 1.36597318 0.78680375
100418735 3.84624575 3.83834940 3.4980499 3.84058987 3.31355155
100418744 0.65939339 0.57298912 -0.5508202 0.82899691 1.16272671
100418770 0.65939339 1.18414161 0.7204572 1.36597318 1.16272671
100418781 -1.17995959 -0.05217198 0.7204572 0.59400634 -1.17995959
100418819 0.37284598 1.48305520 1.0910161 0.31314764 1.31937427
100418829 0.89834924 1.18414161 1.5130077 2.46327989 1.58934745
100418888 -0.46220201 2.63126184 1.3855836 1.03101893 1.46066672
100418889 2.32007504 1.73054007 2.5826834 2.59663101 3.02585600
100418910 0.37284598 1.00771355 1.5130077 1.03101893 -0.06655198
100418919 1.28271217 2.20986462 1.6300850 1.63762680 2.10199163
100419028 0.89834924 1.83999179 0.4920440 1.63762680 1.31937427
100419185 1.71655206 0.57298912 -0.1141915 0.31314764 -1.17995959
100419416 0.65939339 1.18414161 0.4920440 -0.03593674 0.27702581
100419515 0.37284598 -1.17995959 -0.1141915 0.59400634 0.98697503
100419645 0.01491387 -0.05217198 0.9176014 1.03101893 0.55431494
100419758 0.65939339 0.29400943 0.2205380 0.59400634 0.55431494
100419928 1.28271217 2.03674921 1.2458049 1.36597318 1.70748457
10042 5.14716586 5.48885263 5.3309381 5.46702451 5.35797780
100420028 0.65939339 -0.05217198 -0.1141915 -1.17995959 -1.17995959
100420050 0.37284598 -1.17995959 -0.1141915 -0.03593674 -0.06655198
100420110 2.86189404 3.30122356 2.8473694 3.03295813 2.66612732
100420187 1.83633371 1.34132613 2.1836201 1.75640544 2.01301176
100420259 3.45527700 3.51435838 4.0536608 3.57568782 3.75883423
100420307 1.28271217 0.80666409 0.4920440 1.03101893 0.27702581
100420341 5.02641960 5.03890859 5.3566508 4.91074568 4.92999226
100420423 0.65939339 1.34132613 -0.5508202 0.59400634 1.31937427
100420591 1.10329327 2.20986462 1.3855836 1.03101893 1.46066672
100420707 3.25486611 2.95699236 2.7981752 2.23684122 2.88251357
100420752 1.28271217 2.20986462 0.9176014 0.82899691 1.70748457
100420869 4.24296445 4.08062553 3.6444062 4.39243332 3.67430827
100420981 5.74538290 6.17210170 6.1227823 6.61720522 6.04824123
100421093 3.52824567 3.75695361 3.5583855 3.69945964 3.11407084
100421109 0.37284598 0.29400943 -1.1799596 -0.49740248 0.55431494
100421160 0.01491387 0.57298912 -0.5508202 -0.03593674 0.55431494
100421175 1.10329327 2.56903336 0.4920440 1.03101893 1.70748457
100421246 0.37284598 -0.05217198 1.8390923 2.65895222 0.98697503
100421311 1.94692823 2.20986462 1.7383703 2.59663101 1.81667579
100421372 1.28271217 1.18414161 1.0910161 0.31314764 1.91818111
100421400 2.54772690 2.28920835 2.7472441 3.12414557 2.18580093
100421415 -1.17995959 1.00771355 0.4920440 -1.17995959 -1.17995959
100421429 -1.17995959 0.80666409 -1.1799596 -0.49740248 -0.06655198
100421465 1.28271217 2.50399927 1.6300850 2.65895222 1.91818111
100421468 -1.17995959 0.80666409 0.4920440 1.20819520 0.27702581
100421506 -1.17995959 0.57298912 -0.1141915 -1.17995959 -0.06655198
100421569 0.65939339 1.00771355 -1.1799596 0.59400634 0.55431494
100421595 1.83633371 1.94172217 0.9176014 0.59400634 1.91818111
100421794 2.97061777 3.22255616 3.1901429 3.25095372 3.19720111
100422106 1.58591750 1.34132613 1.0910161 1.50818448 2.18580093
100422338 0.37284598 2.12590197 2.0216164 1.20819520 0.78680375
100422546 -1.17995959 1.00771355 0.2205380 0.31314764 -1.17995959
100422561 3.59770072 3.75695361 3.9893678 3.66949788 3.55330449
10043 5.67482190 6.00589226 5.9811918 5.88063967 5.79159543
10044 0.65939339 2.12590197 1.7383703 1.86614444 0.78680375
10045 -1.17995959 -0.05217198 -0.1141915 1.36597318 0.78680375
10046 1.28271217 1.00771355 0.7204572 1.75640544 1.70748457
10048 6.17838225 6.48596148 6.3700556 6.56526861 6.58053093
10049 5.99747089 5.60969300 5.5985351 5.34911608 5.52818493
100499177 3.63121330 3.30122356 3.2644688 3.03295813 3.67430827
100499483 0.65939339 0.29400943 1.3855836 0.31314764 0.27702581
1005 0.01491387 0.57298912 0.4920440 1.36597318 0.98697503
100500719 -0.46220201 -0.05217198 0.4920440 -1.17995959 0.55431494
100505385 2.74430401 1.73054007 2.7472441 2.23684122 2.34009128
100505501 0.65939339 1.48305520 1.5130077 1.03101893 0.98697503
100505538 2.14553226 1.18414161 1.3855836 1.03101893 2.01301176
100505549 0.01491387 -0.50856034 -1.1799596 -1.17995959 -1.17995959
100505573 6.60252811 5.72832483 5.7549642 5.93202017 6.05939389
100505576 4.30657509 4.08062553 4.2675561 3.96913607 4.31877978
100505616 0.37284598 -0.50856034 0.2205380 -1.17995959 0.55431494
100505624 2.14553226 1.00771355 1.5130077 0.82899691 0.98697503
100505635 -0.46220201 0.29400943 0.9176014 -0.03593674 0.78680375
100505641 2.14553226 1.94172217 1.6300850 1.50818448 2.01301176
100505648 4.19894375 3.75695361 3.3692367 2.93561586 3.15623465
100505678 2.74430401 2.56903336 2.5826834 1.75640544 2.72334180
100505696 4.67121202 3.94019166 3.5285331 3.44029235 4.39118411
100505715 -0.46220201 -1.17995959 -1.1799596 -0.03593674 -1.17995959
100505738 2.91727986 2.20986462 2.5826834 2.06336642 2.01301176
100505741 1.44226565 0.57298912 2.1048910 1.75640544 1.16272671
100505758 2.97061777 3.33900504 2.9409946 3.44029235 3.11407084
100505761 2.68170789 2.95699236 2.7472441 2.15270965 3.15623465
100505771 2.68170789 2.56903336 3.4980499 3.36751081 2.97963976
100505783 -1.17995959 -1.17995959 -1.1799596 -1.17995959 -0.06655198
100505806 2.54772690 2.56903336 2.7472441 2.39167788 3.19720111
100505812 0.01491387 -1.17995959 0.4920440 -1.17995959 -0.06655198
100505832 0.01491387 1.00771355 0.2205380 2.06336642 0.27702581
100505854 2.32007504 0.80666409 0.7204572 -0.03593674 0.55431494
100505876 6.51995446 5.69228935 5.8960789 5.75787181 6.08690409
100505894 2.40001747 3.18155310 2.6396482 2.77605687 2.97963976
100505933 0.37284598 0.57298912 0.2205380 0.59400634 0.55431494
100505994 -0.46220201 0.57298912 -1.1799596 -0.49740248 -0.06655198
100506020 1.94692823 1.00771355 0.9176014 0.59400634 0.55431494
100506033 4.98813309 4.80245842 4.6743048 4.94866265 4.84231588
100506054 0.37284598 1.48305520 0.2205380 -0.49740248 -0.51841030
100506068 0.01491387 -0.05217198 -1.1799596 -0.03593674 -0.06655198
100506070 1.10329327 0.57298912 1.2458049 1.50818448 1.46066672
100506083 0.01491387 0.80666409 1.3855836 0.82899691 0.27702581
100506100 1.71655206 1.00771355 1.2458049 1.03101893 0.98697503
100506119 -1.17995959 -0.50856034 -0.1141915 -1.17995959 1.31937427
100506127 2.40001747 2.90755888 1.8390923 1.36597318 2.97963976
100506142 1.10329327 0.57298912 -0.1141915 -0.03593674 0.55431494
100506144 0.01491387 0.57298912 0.4920440 1.63762680 -0.06655198
100506161 1.71655206 -0.05217198 2.0216164 0.82899691 0.27702581
100506211 3.92941916 6.38121033 6.3909446 6.75197610 6.39490181
100506235 2.23544165 0.80666409 1.6300850 1.36597318 1.81667579
100506258 0.37284598 -1.17995959 -1.1799596 -1.17995959 0.78680375
100506282 2.68170789 2.63126184 2.1836201 2.53149564 2.77837355
100506286 1.10329327 0.57298912 1.2458049 -1.17995959 0.98697503
100506302 2.14553226 1.94172217 1.2458049 1.63762680 2.01301176
100506321 0.37284598 0.29400943 0.9176014 0.59400634 -0.06655198
100506325 -1.17995959 -0.05217198 -0.1141915 0.82899691 -0.06655198
100506343 1.28271217 1.61209794 0.4920440 1.03101893 0.98697503
100506365 4.79465876 5.08410687 5.1169231 5.29126670 5.11239495
100506368 1.10329327 0.57298912 0.9176014 0.82899691 -0.06655198
100506380 1.44226565 1.00771355 0.7204572 1.63762680 1.58934745
100506392 3.92941916 3.89016900 4.4053400 4.27795381 4.37342084
100506394 1.10329327 -1.17995959 0.9176014 0.82899691 0.78680375
100506411 0.89834924 1.73054007 0.9176014 1.86614444 1.70748457
100506433 3.25486611 2.69091682 2.5826834 3.36751081 3.27580114
100506462 0.37284598 -0.05217198 0.4920440 0.31314764 0.55431494
100506469 3.07171900 3.54700922 2.3969061 3.36751081 2.47946350
100506495 0.37284598 -0.05217198 0.2205380 1.20819520 -1.17995959
100506504 2.23544165 1.73054007 1.9332389 2.06336642 2.34009128
100506540 1.10329327 1.18414161 1.0910161 0.59400634 0.98697503
100506581 2.23544165 2.63126184 3.1117788 2.53149564 2.01301176
100506606 0.01491387 -0.05217198 -0.1141915 -1.17995959 0.55431494
100506658 0.89834924 1.00771355 0.4920440 -1.17995959 -0.06655198
100506668 3.21121260 2.43589460 3.1117788 2.71869241 2.60654978
100506686 -1.17995959 1.73054007 1.8390923 2.59663101 2.88251357
100506691 -1.17995959 -0.05217198 -0.1141915 -1.17995959 0.55431494
100506696 -1.17995959 -0.50856034 -0.1141915 -0.49740248 0.98697503
100506697 0.01491387 -1.17995959 0.2205380 -1.17995959 -1.17995959
100506710 5.32152258 5.36613587 4.9691815 5.44950023 5.18547488
100506713 1.28271217 -0.50856034 0.4920440 -0.03593674 -1.17995959
100506725 3.98231825 3.13935052 4.0536608 3.86723175 4.07682250
100506731 2.04964507 1.61209794 2.2582743 2.06336642 0.98697503
100506757 0.37284598 2.12590197 1.2458049 1.75640544 2.01301176
100506779 -0.46220201 -0.05217198 -0.1141915 -0.03593674 -1.17995959
100506804 -1.17995959 0.57298912 -0.5508202 -1.17995959 -0.06655198
100506826 2.47576175 0.57298912 1.9332389 2.23684122 1.46066672
100506844 2.86189404 3.09587610 3.3351525 1.03101893 2.34009128
100506866 6.60674589 6.90657958 6.6726405 6.46417843 6.59209664
100506881 2.14553226 1.61209794 2.0216164 1.96812293 2.34009128
100506885 0.65939339 0.80666409 1.5130077 0.82899691 0.27702581
100506911 -1.17995959 0.29400943 -0.5508202 -0.03593674 -0.51841030
100506922 0.01491387 -0.05217198 -1.1799596 0.59400634 -0.51841030
100506930 3.87450637 3.67068949 3.7772731 3.54301148 3.61507464
100506994 0.89834924 0.80666409 0.4920440 0.82899691 -0.06655198
100507003 -1.17995959 -1.17995959 -1.1799596 0.31314764 -1.17995959
100507032 -1.17995959 -1.17995959 -1.1799596 -1.17995959 -1.17995959
100507034 2.54772690 2.85637130 2.5826834 3.20991043 3.55330449
100507050 -1.17995959 1.00771355 2.7472441 3.60764042 1.58934745
100507053 -1.17995959 -1.17995959 -1.1799596 -0.03593674 -0.51841030
100507057 -1.17995959 -1.17995959 -0.1141915 -0.49740248 -1.17995959
100507062 1.71655206 1.00771355 -0.1141915 -0.03593674 0.55431494
100507071 0.37284598 0.29400943 0.2205380 0.31314764 0.78680375
100507156 3.02205382 3.05105081 2.4615267 3.16766522 3.11407084
100507171 1.83633371 1.61209794 2.1836201 2.71869241 2.54440556
100507173 0.01491387 0.29400943 -1.1799596 -1.17995959 -0.06655198
100507178 0.65939339 -0.50856034 -0.1141915 0.31314764 0.27702581
100507244 1.71655206 1.61209794 0.9176014 1.03101893 0.78680375
100507246 3.33839978 3.37582228 3.8989287 3.91908347 3.31355155
100507250 0.37284598 1.00771355 0.7204572 0.59400634 1.16272671
100507254 -1.17995959 1.61209794 1.7383703 -0.03593674 0.98697503
100507266 0.89834924 0.57298912 0.4920440 -1.17995959 0.78680375
100507290 4.74959495 5.08410687 5.0343602 5.24122125 5.21569607
100507291 0.01491387 -0.50856034 -1.1799596 -0.03593674 -1.17995959
100507303 2.54772690 1.94172217 2.1048910 2.23684122 1.16272671
100507308 0.37284598 0.57298912 -0.5508202 1.03101893 1.70748457
100507316 0.01491387 1.00771355 -1.1799596 -1.17995959 0.55431494
100507331 2.47576175 2.12590197 2.1836201 2.31633577 1.58934745
100507347 2.61627216 1.94172217 1.8390923 2.23684122 1.46066672
100507373 2.74430401 2.50399927 2.1048910 1.96812293 2.10199163
100507392 0.37284598 -0.05217198 -0.1141915 0.59400634 0.55431494
100507398 1.10329327 1.48305520 1.2458049 -0.49740248 0.98697503
100507401 0.01491387 2.12590197 1.6300850 1.86614444 -0.06655198
100507420 0.01491387 -1.17995959 -1.1799596 -0.03593674 -0.06655198
100507433 3.75798232 3.37582228 3.1514928 3.12414557 3.38621224
100507436 -0.46220201 0.80666409 0.2205380 0.59400634 -1.17995959
100507437 0.37284598 1.73054007 0.9176014 0.82899691 0.98697503
100507459 0.01491387 0.57298912 1.3855836 1.03101893 0.27702581
100507463 0.65939339 -0.50856034 1.3855836 1.96812293 -1.17995959
100507487 2.47576175 1.73054007 1.3855836 1.36597318 2.10199163
100507495 4.19894375 4.30719385 3.7516606 4.48134887 3.61507464
100507516 0.37284598 -1.17995959 -1.1799596 -0.03593674 -1.17995959
100507551 0.65939339 -0.50856034 -0.1141915 1.03101893 0.98697503
100507557 0.65939339 1.18414161 0.9176014 1.63762680 1.58934745
100507564 1.71655206 1.73054007 1.2458049 -0.49740248 0.78680375
100507567 -0.46220201 -0.05217198 -1.1799596 -0.49740248 -1.17995959
100507588 0.01491387 1.18414161 1.3855836 0.82899691 0.27702581
100507599 1.10329327 0.57298912 -1.1799596 1.03101893 0.55431494
100507602 4.19894375 3.67068949 4.3207789 4.42865975 4.18261006
100508120 2.32007504 1.00771355 1.0910161 2.06336642 1.91818111
10051 5.72224391 6.46047807 6.7130143 6.44661932 6.63745402
10052 1.83633371 1.83999179 1.7383703 1.03101893 0.78680375
100526737 2.47576175 1.83999179 1.5130077 1.03101893 2.34009128
100526760 1.83633371 1.73054007 1.7383703 1.75640544 1.46066672
100526820 0.89834924 0.80666409 1.8390923 0.82899691 1.16272671
100526835 4.85263446 4.38149230 4.1933932 4.19625414 4.26198748
100527978 0.65939339 -0.50856034 -0.5508202 -1.17995959 -0.51841030
100529145 1.28271217 1.94172217 2.1836201 1.03101893 2.01301176
100529215 1.10329327 0.29400943 -0.5508202 -0.49740248 0.27702581
100532746 3.63121330 4.10275745 3.8754045 4.31713171 3.88955785
100533106 1.10329327 0.29400943 0.2205380 1.36597318 0.27702581
100533182 0.65939339 -0.50856034 -1.1799596 -0.03593674 -0.51841030
100533619 -1.17995959 -0.05217198 0.4920440 -0.03593674 -1.17995959
100533629 1.10329327 -0.50856034 0.9176014 0.59400634 0.27702581
100533695 0.37284598 -1.17995959 0.2205380 -0.03593674 0.27702581
100533970 -0.46220201 0.57298912 0.4920440 1.20819520 1.16272671
100534593 0.37284598 1.18414161 1.0910161 0.31314764 0.78680375
10054 5.58361355 5.87055240 5.9477467 5.99980734 6.08690409
10056 6.08472537 5.84452054 6.2286877 5.88716320 5.99114682
10057 8.01874970 7.49082118 7.3036839 7.31816864 7.35083199
10058 6.93661098 6.64145988 6.5367838 6.58144915 6.48450750
10059 6.82519127 7.35681426 7.0383694 7.09402624 7.17485742
1006 6.01661764 3.89016900 3.9448568 4.17508526 3.73120553
10060 4.44492450 3.70002106 3.8989287 2.88436556 3.35033928
100616256 -0.46220201 0.29400943 0.7204572 -0.49740248 0.27702581
10062 2.47576175 0.80666409 1.0910161 0.31314764 1.58934745
10063 3.92941916 5.02738425 4.9802512 4.76251266 4.50975586
100652739 1.10329327 -0.50856034 0.7204572 0.31314764 -0.51841030
100652758 0.89834924 1.18414161 2.4615267 1.20819520 -0.51841030
100652846 2.68170789 2.28920835 2.2582743 2.39167788 1.91818111
10066 6.53773548 6.80224782 6.5102997 6.54890452 6.55711757
10067 6.42760561 6.08027816 6.0030654 6.36484623 6.05939389
10068 3.11973118 4.05814879 3.2644688 3.47535099 3.11407084
10069 3.16619687 2.20986462 2.9856231 2.39167788 2.54440556
10072 3.92941916 4.36327332 4.6328171 4.71929467 4.18261006
10073 3.59770072 3.61017431 3.9448568 3.81344673 3.70303737
10075 8.80546103 8.39577874 8.5136483 8.33657413 8.41874367
10076 5.05139087 4.55204593 4.5006761 4.37397318 3.96265975
10077 -1.17995959 0.80666409 -0.5508202 -0.03593674 0.55431494
100775107 1.71655206 1.00771355 1.0910161 -0.49740248 0.78680375
10078 4.76477316 4.64546954 4.6467793 4.97339808 4.50975586
10079 4.30657509 4.38149230 4.5006761 4.17508526 4.40873134
1008 6.31353888 3.70002106 3.8514903 3.94432682 3.88955785
10081 4.92197396 4.93171737 4.7667074 4.92349572 4.98950857
10082 6.89583030 6.61090024 6.8670632 6.77326287 6.83857711
100820829 5.54016902 5.79780298 5.9756712 5.54335163 5.99695902
10084 4.77979334 4.41725422 4.7409050 4.91074568 4.64915206
100847074 1.58591750 2.12590197 1.9332389 1.96812293 2.01301176
10085 9.25370235 8.86180931 8.7751217 8.49444580 8.84168384
100852407 1.10329327 1.00771355 -0.1141915 1.03101893 0.78680375
100861412 1.10329327 0.29400943 -1.1799596 0.31314764 -0.06655198
100861548 4.22112199 4.05814879 3.7516606 4.15360115 3.38621224
100862671 1.71655206 0.80666409 0.4920440 1.50818448 0.55431494
10087 6.85386324 6.66767866 6.7715324 6.76265874 6.65593999
100873257 1.28271217 -0.05217198 -0.5508202 1.20819520 1.81667579
100873333 2.40001747 2.50399927 2.9856231 1.75640544 2.54440556
100873790 3.29723745 3.37582228 3.1514928 3.81344673 3.38621224
100873949 1.83633371 1.34132613 0.2205380 0.31314764 0.55431494
100873952 1.10329327 -0.05217198 1.2458049 0.82899691 0.55431494
100873965 1.71655206 1.34132613 2.2582743 2.23684122 2.18580093
100874006 0.01491387 1.18414161 1.8390923 1.75640544 1.16272671
100874008 1.28271217 1.00771355 1.2458049 0.59400634 0.98697503
100874014 2.80429675 3.41172330 2.8949414 2.71869241 3.02585600
100874058 1.10329327 0.57298912 1.6300850 1.03101893 1.70748457
100874080 1.10329327 1.00771355 -0.5508202 1.50818448 0.55431494
100874097 1.71655206 1.94172217 1.5130077 1.75640544 0.78680375
100874201 -0.46220201 -0.50856034 0.2205380 -0.49740248 -0.06655198
100874212 0.01491387 1.00771355 0.7204572 0.59400634 1.31937427
100874217 0.01491387 0.29400943 1.2458049 0.31314764 1.16272671
100874235 1.28271217 1.18414161 -0.5508202 0.59400634 0.27702581
100874261 0.01491387 -0.50856034 0.4920440 0.59400634 -0.06655198
100874291 -1.17995959 1.61209794 1.5130077 1.63762680 -1.17995959
100874362 1.10329327 0.29400943 0.9176014 0.82899691 0.27702581
100874523 1.58591750 1.00771355 1.0910161 1.03101893 0.78680375
100885775 0.65939339 1.94172217 3.1901429 3.81344673 2.26500771
100885776 1.44226565 0.29400943 -1.1799596 1.03101893 0.55431494
100885848 5.69080306 5.83793851 6.2608173 6.13201843 5.86969689
1009 9.21278275 9.55239255 9.5070478 9.32901532 9.65132590
10090 3.87450637 3.33900504 3.6719765 3.32969518 3.15623465
10092 7.10110816 7.31476978 7.3449482 7.34210826 7.29058728
10093 6.87149811 6.61860106 6.9816619 7.12195098 6.89569351
10094 3.59770072 3.64074917 4.0536608 3.86723175 3.52139847
10095 5.02641960 4.94402845 4.8045658 5.35853608 4.61931825
10097 8.11664359 8.03054529 8.2094276 8.12104781 8.14935581
10098 6.19528564 5.69228935 5.8424917 5.63921894 5.77815734
10099 8.14736993 7.99844151 8.0596218 8.03847600 7.95553949
100996246 1.83633371 2.74820272 2.3292547 3.20991043 2.10199163
100996251 2.14553226 2.03674921 1.8390923 0.82899691 1.46066672
100996307 1.83633371 1.34132613 2.1836201 2.15270965 2.41145975
100996384 1.71655206 2.12590197 2.1836201 2.15270965 1.81667579
100996419 -0.46220201 0.57298912 0.7204572 0.82899691 0.55431494
100996485 2.47576175 1.48305520 1.6300850 2.53149564 2.01301176
100996539 1.10329327 1.48305520 -0.5508202 0.82899691 0.27702581
100996579 -1.17995959 -0.50856034 0.9176014 0.31314764 -0.06655198
100996696 3.25486611 3.91539712 3.5285331 4.19625414 3.61507464
100996842 1.58591750 2.36441497 0.9176014 2.65895222 2.34009128
100996851 -1.17995959 0.29400943 -0.5508202 -0.49740248 0.27702581
100996939 0.89834924 0.57298912 0.2205380 1.75640544 1.16272671
101 2.14553226 0.57298912 1.2458049 2.06336642 1.70748457
1010 2.54772690 3.33900504 3.0709404 3.07927218 2.01301176
10100 5.02641960 5.78417245 6.1621987 5.97552438 6.09776295
10101 4.92197396 5.31964951 5.1068574 5.27145635 4.95409421
10102 4.96203237 4.84246642 4.6044806 5.06830514 4.61931825
10103 2.04964507 -0.05217198 0.4920440 -0.03593674 -0.06655198
10105 5.92500849 6.71872865 6.9111113 7.10246056 6.76214159
10106 7.08608156 7.07835999 7.2814824 7.06842332 7.06571569
101060200 3.11973118 3.37582228 3.4350805 2.59663101 2.97963976
101060691 2.23544165 1.83999179 1.6300850 2.39167788 1.81667579
10109 8.50121102 8.30801389 8.3213881 8.49871207 8.30504420
10112 0.01491387 4.90677549 4.9467841 4.89788195 4.69277698
10113 5.90459759 6.25842900 6.1077190 6.52818489 6.08690409
10114 8.27211024 8.10232985 8.1952467 8.03994044 8.03112716
101154753 0.01491387 -1.17995959 -0.5508202 -0.49740248 -0.51841030
10116 7.63065546 7.71210806 7.7379642 7.76327424 7.80133246
10117 0.01491387 -0.05217198 -1.1799596 -1.17995959 -1.17995959
1012 7.63272517 7.48240511 7.7215666 7.84596759 7.41084008
10121 6.24483904 5.98221065 5.9866914 5.88063967 5.90721727
10123 5.98456374 5.82468368 6.3826253 5.93831595 5.59868172
BPA_24_C2 PFOA_24_C2 EtOH_24_C2 TUN_2_C3 THA_2_C3
100 1.99683251 2.3136554 2.524840414 1.55158356 1.6457063
1000 11.08443407 10.9593061 10.969873360 11.15359367 10.8445421
10000 6.35464020 6.5383783 6.209348603 5.62192943 5.5352966
10001 4.12350041 4.4370319 4.709898377 4.43339767 4.6365963
10003 3.50392321 3.8588118 3.187631591 3.96629262 3.2074707
100037417 -1.17995959 -1.1799596 -1.179959587 -1.17995959 -1.1799596
100049716 2.52761069 2.8313144 2.213010288 2.06225953 3.2074707
10005 3.96855760 3.6554623 3.764034337 3.34375673 3.6051713
10006 6.33664792 6.5420742 6.667920169 6.57080068 6.4857867
10007 4.92417796 5.0899677 4.725233590 4.56062823 3.9165963
10009 4.64598101 4.5441159 4.196941927 5.34978077 5.5123118
100093630 6.12233529 6.0235690 6.041860421 6.38126853 6.5053195
1001 5.88917356 5.6585059 5.592904522 4.41667495 4.4231660
10010 5.24673085 5.1100262 5.099356570 5.34978077 5.7338142
100101267 1.69177642 1.2318945 2.123251228 2.56545468 2.2000645
100101467 4.12350041 3.9727359 3.958244570 4.39975612 4.4874347
10011 5.52614606 5.3140166 5.559072262 6.12748917 6.3583976
100113386 -1.17995959 -1.1799596 0.001015679 0.95261529 -0.5443604
100113397 0.54162447 0.7079502 0.356565808 -0.53456626 -0.1046558
100113407 3.89669617 4.1766982 3.958244570 4.27541994 4.3559004
100125288 2.39479835 1.8241038 1.564815017 -0.53456626 -0.1046558
100127983 2.96248476 2.5668408 2.027535016 2.84085132 2.5995529
100128006 2.32350676 2.4457951 2.377334035 4.07685990 3.8200693
100128016 0.26549561 0.2099330 0.001015679 0.24898515 0.2318726
100128025 0.77329784 -1.1799596 -0.471860680 1.12722400 0.9315716
100128054 -0.07629974 0.9045073 1.421546732 1.28296315 1.2606373
100128071 1.30442772 0.9045073 0.356565808 -0.53456626 0.2318726
100128191 1.80078773 1.7235351 0.001015679 2.56545468 1.1054663
100128252 1.80078773 1.8241038 2.123251228 0.24898515 0.9315716
100128379 0.26549561 1.0774677 1.262466393 1.66920350 2.3458681
100128398 4.22479704 3.9054664 3.958244570 5.02514689 4.3730131
100128494 2.70638564 3.0127326 2.297510468 2.78981785 3.3525640
100128569 2.16939619 2.5668408 0.879482182 1.28296315 2.0378517
100128640 -0.07629974 -0.5568445 -1.179959587 -1.17995959 0.2318726
100128682 -1.17995959 0.9045073 0.001015679 -0.09023682 1.1054663
100128731 6.53508588 6.4584936 6.417196064 5.99857825 6.1408706
100128766 2.70638564 3.3187948 3.096228059 2.43866828 3.0881929
100128782 2.52761069 1.9181165 2.297510468 1.97357329 2.5401900
100128822 -1.17995959 -1.1799596 -1.179959587 -1.17995959 -1.1799596
100128833 2.32350676 1.9181165 2.998639489 1.97357329 1.5284106
100128881 2.52761069 2.1681812 1.083645731 2.37083616 1.9493498
100128893 6.29997588 6.0445654 6.159419184 6.03738171 6.3280062
100129001 1.14815036 1.0774677 0.879482182 1.28296315 0.7338066
100129013 0.54162447 1.6154270 1.083645731 1.42351627 0.9315716
100129029 0.54162447 0.9045073 1.083645731 0.52343471 0.5045591
100129060 3.96855760 3.6279034 3.314718374 3.15501140 3.0028176
100129075 1.80078773 2.2427511 1.564815017 2.43866828 2.8644625
100129195 2.81433872 2.8788522 2.893967681 2.62490045 2.4135923
100129203 1.69177642 -0.1231025 1.083645731 0.75392586 1.4007276
100129250 1.57384988 1.9181165 1.083645731 2.93780230 2.4135923
100129259 1.30442772 1.4985569 1.421546732 1.55158356 0.5045591
100129361 5.74656318 5.4142144 5.795361585 5.86935099 5.9992682
100129398 1.69177642 1.2318945 1.421546732 0.52343471 0.7338066
100129434 -0.52506967 -1.1799596 -0.471860680 -1.17995959 -1.1799596
100129461 1.57384988 0.9045073 -1.179959587 -0.53456626 0.5045591
100129484 1.80078773 1.0774677 1.564815017 1.12722400 1.2606373
100129550 4.68916118 4.6019174 4.401695904 4.86178830 4.8348873
100129583 -0.07629974 -0.1231025 0.641587334 1.66920350 1.6457063
100129662 0.97286465 0.2099330 -0.471860680 -0.53456626 -0.1046558
100129707 -0.07629974 0.9045073 1.421546732 0.52343471 1.4007276
100129716 0.77329784 0.7079502 0.879482182 1.28296315 1.7541784
100129726 0.77329784 -0.1231025 0.356565808 2.14580828 2.6565694
100129774 3.50392321 3.9727359 3.905371532 4.05541397 3.3525640
100129781 -0.07629974 -0.1231025 1.262466393 1.66920350 1.4007276
100129792 0.26549561 0.2099330 0.001015679 1.55158356 1.1054663
100129794 2.16939619 2.3136554 2.027535016 3.07200951 2.7642574
100129842 -1.17995959 -1.1799596 -1.179959587 0.52343471 0.5045591
100129917 2.24850828 2.0895458 1.925014355 2.43866828 3.1290578
100129924 0.77329784 1.0774677 1.695132333 1.87907612 2.0378517
100129940 1.57384988 0.4803251 0.001015679 1.66920350 -0.1046558
100129995 0.97286465 -0.1231025 -1.179959587 0.95261529 -0.5443604
10013 5.96726032 5.6585059 5.816993962 6.00977186 6.0744238
100130111 0.54162447 0.4803251 1.083645731 -0.09023682 -1.1799596
100130197 0.97286465 0.2099330 -1.179959587 0.95261529 0.2318726
100130335 3.00866875 2.6785119 3.187631591 2.37083616 2.9581574
100130348 2.70638564 3.0955471 3.431510814 2.98393922 3.7948936
100130357 1.69177642 0.9045073 -0.471860680 -0.09023682 -0.1046558
100130466 2.64922057 3.5711542 3.504429930 3.23349667 2.9581574
100130476 0.54162447 -1.1799596 -1.179959587 -0.09023682 -1.1799596
100130522 0.77329784 1.8241038 0.641587334 0.52343471 0.7338066
100130550 0.26549561 -0.1231025 0.001015679 0.75392586 0.9315716
100130564 3.36880601 3.7607169 3.672069172 3.84654294 3.3176357
100130581 1.57384988 1.6154270 0.641587334 2.29965670 2.3458681
100130691 1.14815036 1.3713781 2.123251228 2.22478231 1.5284106
100130705 1.57384988 1.6154270 2.213010288 0.95261529 1.7541784
100130748 1.69177642 1.8241038 1.421546732 1.42351627 1.5284106
100130750 -1.17995959 -1.1799596 -1.179959587 -1.17995959 0.2318726
100130855 2.08569290 2.0063759 1.925014355 2.06225953 1.7541784
100130958 2.39479835 0.4803251 0.001015679 1.42351627 0.2318726
100131017 -1.17995959 -1.1799596 -1.179959587 -1.17995959 -1.1799596
100131031 3.00866875 2.6237566 2.893967681 3.30793159 2.8152298
100131033 1.44541898 1.7235351 2.377334035 1.77795279 2.1212367
100131067 1.14815036 1.3713781 2.123251228 2.50345381 2.7114180
100131089 2.46273229 2.1681812 1.925014355 1.97357329 2.2000645
100131094 1.14815036 0.2099330 0.356565808 -0.09023682 -0.5443604
100131138 2.24850828 1.7235351 2.658654354 3.98909438 4.1920017
100131187 1.99683251 1.2318945 0.879482182 -0.09023682 1.5284106
100131193 3.05342003 2.3812376 2.998639489 1.77795279 1.5284106
100131211 4.40826501 3.9054664 3.764034337 3.74302861 3.2451348
100131213 -0.07629974 -0.1231025 0.641587334 -1.17995959 0.5045591
100131471 1.44541898 2.5075871 2.213010288 0.75392586 2.4782793
100131656 3.36880601 1.9181165 3.504429930 3.34375673 3.0028176
100131685 1.69177642 2.6237566 2.452971602 2.29965670 2.6565694
100131691 2.39479835 2.2427511 2.998639489 2.43866828 1.7541784
100131740 0.54162447 1.6154270 0.356565808 0.24898515 0.9315716
100131801 3.92104987 3.5419200 3.607331768 3.02864630 3.0461367
100131827 -1.17995959 0.2099330 -1.179959587 0.75392586 1.2606373
100131828 -0.07629974 -1.1799596 0.356565808 -0.53456626 -1.1799596
100131940 1.44541898 0.7079502 0.001015679 0.52343471 1.4007276
100132074 -1.17995959 -0.1231025 0.001015679 -0.09023682 -0.5443604
100132086 0.77329784 1.0774677 0.001015679 0.24898515 1.4007276
100132116 8.98816857 9.0049711 8.832966325 6.60071980 6.3497795
100132126 -0.52506967 0.9045073 0.356565808 0.75392586 -0.1046558
100132215 1.57384988 1.7235351 2.213010288 1.97357329 1.1054663
100132537 1.30442772 1.4985569 2.658654354 1.55158356 0.9315716
100132609 1.14815036 0.9045073 1.083645731 0.52343471 0.7338066
100132659 0.54162447 -0.1231025 0.356565808 1.12722400 1.4007276
100132891 -1.17995959 -1.1799596 -1.179959587 -1.17995959 -1.1799596
100132972 1.44541898 0.7079502 1.262466393 0.24898515 1.4007276
100133234 1.57384988 -0.5568445 -0.471860680 -0.09023682 1.4007276
100133286 1.14815036 0.7079502 1.262466393 0.24898515 0.7338066
100133315 0.54162447 1.6154270 -0.471860680 1.55158356 0.9315716
100134934 0.97286465 1.8241038 2.123251228 2.29965670 1.8550620
10014 6.78109755 6.6725638 6.468216358 6.65163014 6.7410609
100144603 1.90213758 2.4457951 2.027535016 1.55158356 2.4135923
100144748 1.80078773 1.0774677 2.027535016 1.28296315 1.2606373
10015 7.44403024 7.4331396 7.715577776 7.53875624 7.4822299
10016 4.81144985 5.0593472 5.134240195 4.95738772 5.0416569
100170229 1.14815036 0.4803251 0.641587334 0.24898515 -0.1046558
100170841 5.19773509 4.7877275 4.694398404 4.49841504 4.8099711
10018 2.96248476 3.4504854 3.539552398 3.98909438 4.4066414
100188847 1.57384988 1.8241038 1.262466393 1.28296315 1.9493498
10019 4.18512772 3.5711542 3.734025969 4.07685990 4.1529053
100190938 3.43794585 3.3528615 3.573840090 0.95261529 0.9315716
1002 2.08569290 1.9181165 0.641587334 2.84085132 2.6565694
10020 3.59755519 3.7607169 3.703380138 3.60222807 4.0070679
10021 8.55543191 8.1698256 7.997182795 8.27705614 8.2205303
10023 0.54162447 1.8241038 -1.179959587 1.87907612 2.7114180
10024 3.43794585 2.9694717 2.838638933 4.01154136 4.5934444
10026 6.32756693 6.0907190 6.017153825 6.58209319 5.9315783
100268168 -1.17995959 -1.1799596 0.001015679 -1.17995959 0.5045591
100270804 0.97286465 1.2318945 1.925014355 2.06225953 2.8644625
100270827 -0.52506967 0.9045073 -1.179959587 0.52343471 -0.5443604
100270840 3.40379007 3.3528615 3.539552398 2.89014106 3.2074707
100270854 1.69177642 2.6785119 2.593298279 1.87907612 1.5284106
100270865 2.76137167 3.7607169 3.504429930 3.23349667 3.6051713
100271271 3.00866875 3.0547340 3.822241047 3.02864630 3.0461367
100271332 1.14815036 2.0895458 2.213010288 1.97357329 2.5995529
100271415 1.14815036 1.8241038 1.421546732 2.73691271 1.6457063
100271479 -1.17995959 0.2099330 -1.179959587 -1.17995959 -0.5443604
100271884 0.77329784 1.3713781 0.001015679 0.52343471 1.2606373
100272147 3.13896180 3.7351143 3.273587573 2.68199340 2.5995529
100286844 2.39479835 2.5668408 1.814647243 2.29965670 2.0378517
100287015 0.26549561 -0.1231025 -1.179959587 1.12722400 -1.1799596
100287049 0.26549561 0.7079502 0.879482182 0.24898515 1.5284106
100287074 2.32350676 1.9181165 2.027535016 1.97357329 2.8152298
100287616 2.52761069 3.3187948 2.781103358 1.77795279 2.2000645
100287722 2.16939619 2.5668408 2.027535016 1.42351627 1.4007276
100287808 0.54162447 -0.1231025 0.879482182 1.77795279 0.9315716
100287837 -0.07629974 0.2099330 -1.179959587 -1.17995959 -0.1046558
100287896 3.43794585 3.5711542 3.187631591 3.07200951 3.0461367
100287902 -1.17995959 -1.1799596 1.083645731 0.52343471 -0.1046558
100287928 3.47131165 3.6279034 3.793431222 3.30793159 3.5460439
100287932 5.42759703 5.3312070 5.658278039 5.72739928 5.4967826
100288001 1.44541898 1.7235351 1.695132333 1.77795279 1.2606373
100288073 3.68547896 3.5998078 3.607331768 3.47877310 5.2780370
100288123 0.77329784 1.2318945 1.421546732 2.50345381 2.1212367
100288198 2.96248476 3.5711542 2.947252658 3.47877310 3.7431845
100288241 1.30442772 1.4985569 1.262466393 0.52343471 0.5045591
100288413 4.63129557 4.5876827 4.580969173 2.89014106 2.1212367
100288513 -1.17995959 -1.1799596 -1.179959587 -0.53456626 -1.1799596
100288842 1.80078773 2.2427511 0.641587334 0.52343471 2.0378517
100289061 0.97286465 -0.5568445 1.083645731 2.06225953 1.1054663
100289095 1.69177642 1.3713781 0.356565808 0.52343471 1.2606373
100289133 -0.07629974 0.2099330 0.356565808 1.12722400 1.1054663
100289178 2.70638564 1.9181165 2.658654354 3.02864630 2.1212367
100289211 0.54162447 0.7079502 2.027535016 1.66920350 2.0378517
100289259 0.54162447 1.0774677 -0.471860680 1.77795279 1.1054663
100289274 0.26549561 2.2427511 2.593298279 3.76961178 5.1348958
100289341 0.97286465 0.9045073 0.001015679 1.55158356 1.9493498
100289373 -1.17995959 -1.1799596 -1.179959587 -1.17995959 -0.5443604
100289388 1.90213758 2.5075871 1.083645731 2.78981785 2.9581574
100289414 -0.52506967 0.4803251 0.879482182 0.24898515 0.9315716
100289635 5.30341048 5.4302578 5.443294170 5.76090936 5.7922292
100289640 0.77329784 0.2099330 0.001015679 2.29965670 1.9493498
100289678 1.30442772 1.8241038 1.814647243 1.87907612 2.1212367
100293516 3.99173740 3.9727359 3.878190150 4.56062823 5.1248286
100294362 1.99683251 1.6154270 1.564815017 1.12722400 2.1212367
1003 -1.17995959 -0.1231025 -1.179959587 -0.09023682 0.5045591
100302692 1.57384988 0.4803251 1.564815017 2.78981785 2.0378517
100302736 0.54162447 1.3713781 1.262466393 1.42351627 1.8550620
100303728 3.65676233 3.7090492 3.048258768 3.19478769 3.9849763
100303755 0.97286465 1.8241038 2.123251228 2.06225953 1.2606373
100312828 -0.52506967 0.9045073 -1.179959587 0.95261529 -0.1046558
100312850 0.54162447 -0.1231025 -1.179959587 -0.53456626 0.5045591
10036 4.71724628 4.0370080 4.740407510 5.14166540 5.6866866
100379345 1.99683251 2.4457951 1.421546732 3.02864630 3.4199818
10038 5.50213270 5.5671439 5.497886827 5.90575818 5.9658202
100381270 1.14815036 0.4803251 0.641587334 1.12722400 0.9315716
10039 6.38121476 6.3059912 6.029560011 6.14789737 6.0426925
1004 7.34175204 7.3257422 7.335670822 7.50948264 7.4259465
10040 3.40379007 3.9727359 3.539552398 3.11410729 4.1529053
100418710 1.14815036 0.9045073 1.814647243 1.28296315 2.5401900
100418735 4.26340470 3.6279034 4.382479712 3.34375673 3.5759105
100418744 -0.07629974 0.4803251 0.001015679 1.28296315 1.1054663
100418770 -0.52506967 0.7079502 1.421546732 1.66920350 1.8550620
100418781 -0.52506967 0.4803251 0.879482182 1.28296315 0.9315716
100418819 0.77329784 1.2318945 1.083645731 1.77795279 1.8550620
100418829 1.90213758 2.2427511 1.421546732 1.77795279 1.9493498
100418888 1.44541898 1.7235351 1.814647243 1.87907612 1.4007276
100418889 2.39479835 2.9694717 1.925014355 1.66920350 2.9581574
100418910 0.77329784 1.0774677 0.356565808 -0.09023682 1.2606373
100418919 0.97286465 1.4985569 0.001015679 2.43866828 0.7338066
100419028 1.69177642 1.7235351 1.695132333 1.77795279 2.2000645
100419185 -1.17995959 -0.5568445 -1.179959587 -0.53456626 0.5045591
100419416 0.77329784 1.2318945 0.356565808 1.12722400 0.2318726
100419515 -0.07629974 0.4803251 1.083645731 0.95261529 0.9315716
100419645 0.54162447 0.4803251 0.001015679 -0.53456626 -1.1799596
100419758 -1.17995959 -0.1231025 -1.179959587 1.55158356 0.9315716
100419928 1.44541898 2.0063759 1.695132333 1.12722400 1.9493498
10042 5.42759703 5.5525601 5.533167013 5.17187526 6.0744238
100420028 -1.17995959 -1.1799596 -1.179959587 0.52343471 -0.1046558
100420050 -0.52506967 0.2099330 1.262466393 -0.53456626 0.2318726
100420110 2.70638564 3.1352373 2.452971602 3.44618503 3.4843893
100420187 2.24850828 1.3713781 1.262466393 1.28296315 2.2000645
100420259 3.47131165 3.6554623 3.734025969 3.82135230 3.6338504
100420307 -0.52506967 0.4803251 1.083645731 -1.17995959 0.5045591
100420341 5.02873260 5.5229427 5.122705785 5.53936966 5.1146906
100420423 0.97286465 0.2099330 1.262466393 -0.53456626 -0.1046558
100420591 1.99683251 1.8241038 1.083645731 -0.09023682 1.8550620
100420707 2.16939619 2.7312649 2.452971602 3.23349667 3.6338504
100420752 0.97286465 1.2318945 1.421546732 1.97357329 0.7338066
100420869 4.18512772 4.4839015 4.511909479 4.36531133 3.8930632
100420981 5.71208700 6.0445654 6.324583294 5.79365872 5.9488009
100421093 3.62746246 3.6825045 4.034089377 4.48243333 4.2671528
100421109 -0.52506967 -1.1799596 0.641587334 0.24898515 1.1054663
100421160 0.97286465 1.0774677 1.083645731 -1.17995959 0.5045591
100421175 1.44541898 1.2318945 0.356565808 2.43866828 0.9315716
100421246 1.14815036 1.0774677 0.641587334 1.55158356 2.1212367
100421311 1.99683251 1.8241038 0.641587334 2.22478231 2.5995529
100421372 1.14815036 -0.5568445 1.421546732 1.77795279 2.2000645
100421400 2.39479835 2.4457951 2.781103358 2.89014106 1.7541784
100421415 0.54162447 1.0774677 0.001015679 0.95261529 0.2318726
100421429 -0.07629974 0.7079502 0.641587334 -0.53456626 1.5284106
100421465 2.24850828 1.3713781 1.695132333 1.77795279 1.6457063
100421468 -0.07629974 -0.5568445 1.083645731 1.12722400 1.4007276
100421506 -0.07629974 -0.5568445 -1.179959587 -1.17995959 -1.1799596
100421569 0.77329784 0.2099330 0.879482182 1.28296315 0.5045591
100421595 1.14815036 1.2318945 0.641587334 1.66920350 1.1054663
100421794 2.86542980 3.5711542 3.354708980 3.27119413 3.5460439
100422106 1.80078773 1.0774677 2.893967681 1.66920350 2.8152298
100422338 1.57384988 1.8241038 1.814647243 2.14580828 2.1212367
100422546 -0.07629974 0.4803251 -0.471860680 -0.09023682 -0.1046558
100422561 3.87192429 3.9282399 4.009248185 4.09799169 4.0070679
10043 6.15863263 6.0022626 5.743587725 5.79365872 5.7922292
10044 1.80078773 0.9045073 2.297510468 0.95261529 0.7338066
10045 0.54162447 -0.1231025 0.001015679 1.87907612 1.4007276
10046 2.64922057 1.4985569 1.083645731 0.52343471 -0.1046558
10048 6.34116707 6.2528556 6.569398303 6.43207700 6.7864726
10049 5.58829371 5.6170565 5.396167155 5.45998148 5.1248286
100499177 3.00866875 3.2481490 3.607331768 3.91957862 3.5759105
100499483 1.57384988 1.3713781 1.564815017 0.95261529 0.2318726
1005 -0.07629974 1.7235351 1.083645731 1.28296315 0.9315716
100500719 0.54162447 -0.1231025 0.356565808 0.52343471 0.9315716
100505385 2.39479835 2.2427511 2.297510468 1.28296315 3.1687969
100505501 1.80078773 0.7079502 2.123251228 0.52343471 1.5284106
100505538 0.54162447 1.2318945 1.564815017 1.28296315 1.5284106
100505549 -0.52506967 0.2099330 0.001015679 -1.17995959 -1.1799596
100505573 6.12233529 5.7635466 6.176255054 6.24582025 6.3192041
100505576 4.39093318 4.2326590 4.564011687 2.62490045 3.2451348
100505616 0.26549561 -0.1231025 0.641587334 -0.09023682 -0.1046558
100505624 1.30442772 1.8241038 0.879482182 1.55158356 1.4007276
100505635 -0.52506967 -0.1231025 0.356565808 -0.09023682 -0.1046558
100505641 1.99683251 1.4985569 1.695132333 1.97357329 2.5995529
100505648 3.25845630 3.4186725 2.893967681 3.63150898 3.3866667
100505678 2.32350676 2.0063759 2.721177576 3.41284380 2.9120705
100505696 3.99173740 3.8105979 4.009248185 4.11881842 3.9625412
100505715 -0.07629974 -0.5568445 0.001015679 -0.09023682 -1.1799596
100505738 2.24850828 1.2318945 1.925014355 -1.17995959 -1.1799596
100505741 1.14815036 0.4803251 1.083645731 0.24898515 0.7338066
100505758 3.40379007 3.4504854 3.703380138 3.34375673 3.7431845
100505761 3.33295249 3.5711542 3.640063556 3.57234054 3.1290578
100505771 2.86542980 3.3528615 3.231249646 3.74302861 2.9120705
100505783 -0.07629974 -1.1799596 -1.179959587 -0.09023682 0.2318726
100505806 2.70638564 2.9694717 2.947252658 3.34375673 3.7692707
100505812 -0.07629974 -1.1799596 -1.179959587 0.95261529 -1.1799596
100505832 0.26549561 0.4803251 0.879482182 0.24898515 1.5284106
100505854 0.97286465 1.8241038 1.925014355 1.42351627 1.2606373
100505876 5.64055999 5.9251098 5.907157869 5.95870220 6.0744238
100505894 2.64922057 2.9694717 2.593298279 3.11410729 2.5995529
100505933 1.30442772 1.6154270 0.001015679 0.75392586 0.9315716
100505994 -0.07629974 -1.1799596 -1.179959587 -0.09023682 0.2318726
100506020 0.54162447 0.7079502 0.001015679 -0.09023682 0.7338066
100506033 4.88757196 4.9633817 5.297027095 4.75940163 4.5030642
100506054 0.97286465 0.2099330 0.356565808 -1.17995959 -0.1046558
100506068 0.77329784 0.7079502 0.641587334 -0.09023682 -1.1799596
100506070 1.90213758 0.9045073 1.814647243 1.66920350 1.1054663
100506083 0.26549561 0.2099330 1.564815017 0.24898515 0.7338066
100506100 1.57384988 -1.1799596 0.879482182 0.75392586 0.9315716
100506119 -0.07629974 0.7079502 0.641587334 0.75392586 0.5045591
100506127 2.08569290 2.8313144 2.593298279 2.84085132 2.5995529
100506142 0.54162447 0.4803251 -0.471860680 0.24898515 -0.5443604
100506144 -0.52506967 1.7235351 0.641587334 -1.17995959 0.2318726
100506161 0.97286465 1.4985569 2.027535016 1.55158356 2.0378517
100506211 6.46227662 6.5272334 6.655966645 4.95738772 5.4572123
100506235 1.30442772 1.3713781 1.695132333 1.55158356 1.9493498
100506258 -0.52506967 0.4803251 -0.471860680 1.12722400 2.2000645
100506282 2.64922057 3.3528615 2.297510468 3.02864630 2.5401900
100506286 1.30442772 1.9181165 1.695132333 -0.09023682 1.2606373
100506302 2.08569290 1.9181165 2.297510468 2.50345381 2.4135923
100506321 -0.07629974 1.3713781 -0.471860680 0.52343471 0.9315716
100506325 -1.17995959 1.2318945 -0.471860680 0.75392586 0.9315716
100506343 0.97286465 1.0774677 1.083645731 -0.09023682 0.9315716
100506365 4.82441907 5.3140166 5.443294170 5.45998148 5.6237398
100506368 0.54162447 -0.1231025 0.356565808 0.52343471 0.5045591
100506380 1.57384988 1.6154270 1.421546732 2.68199340 2.9120705
100506392 3.87192429 4.2326590 4.476099052 4.60558846 4.5787688
100506394 1.57384988 0.2099330 0.641587334 0.95261529 1.6457063
100506411 0.26549561 2.0895458 1.421546732 1.97357329 2.2000645
100506433 3.13896180 3.0955471 2.893967681 2.68199340 2.7642574
100506462 0.26549561 -0.5568445 0.879482182 1.12722400 0.9315716
100506469 3.00866875 2.7821568 2.721177576 3.84654294 4.1127198
100506495 0.77329784 0.9045073 0.641587334 1.12722400 1.1054663
100506504 1.80078773 2.0063759 2.377334035 2.29965670 2.5995529
100506540 1.30442772 1.6154270 0.641587334 2.06225953 1.5284106
100506581 2.81433872 2.9248733 2.524840414 2.43866828 3.1687969
100506606 -1.17995959 -1.1799596 -1.179959587 0.75392586 -0.5443604
100506658 -0.07629974 1.0774677 -1.179959587 0.95261529 0.5045591
100506668 3.29618518 2.6237566 2.838638933 3.30793159 3.3176357
100506686 2.08569290 2.0895458 1.083645731 1.28296315 1.7541784
100506691 -0.07629974 -1.1799596 0.001015679 -0.09023682 0.9315716
100506696 -0.07629974 0.2099330 -1.179959587 -0.09023682 -0.1046558
100506697 -0.52506967 -1.1799596 0.001015679 -0.09023682 -1.1799596
100506710 4.95987808 4.8723665 5.190568234 5.01407240 4.7325314
100506713 -0.52506967 -0.5568445 0.356565808 -0.09023682 -0.5443604
100506725 3.82106677 3.8588118 4.511909479 5.37596905 5.6093707
100506731 1.14815036 1.6154270 0.356565808 1.55158356 2.0378517
100506757 1.57384988 2.2427511 2.658654354 1.77795279 0.7338066
100506779 0.77329784 0.4803251 -1.179959587 0.24898515 -0.5443604
100506804 -0.07629974 -0.5568445 -0.471860680 1.42351627 1.5284106
100506826 1.99683251 1.9181165 1.695132333 2.29965670 1.5284106
100506844 2.91477328 3.3861422 2.027535016 2.22478231 2.1212367
100506866 6.49509073 6.8380418 6.811335439 7.45729066 6.9321372
100506881 2.39479835 1.4985569 1.421546732 1.28296315 2.2000645
100506885 0.97286465 -0.5568445 2.027535016 0.52343471 0.7338066
100506911 0.77329784 1.7235351 0.356565808 -0.53456626 0.2318726
100506922 -0.07629974 -0.5568445 0.356565808 0.24898515 0.5045591
100506930 3.99173740 3.5120811 3.672069172 -1.17995959 -1.1799596
100506994 1.30442772 1.6154270 -1.179959587 1.12722400 0.2318726
100507003 -1.17995959 -1.1799596 0.001015679 -0.09023682 -0.5443604
100507032 -1.17995959 -1.1799596 -1.179959587 -1.17995959 -1.1799596
100507034 3.29618518 2.8313144 2.781103358 3.19478769 3.2818406
100507050 1.80078773 1.2318945 1.083645731 -0.09023682 -1.1799596
100507053 -1.17995959 -1.1799596 -0.471860680 -0.09023682 -1.1799596
100507057 -1.17995959 -0.1231025 0.001015679 -1.17995959 -0.1046558
100507062 -0.52506967 -0.5568445 0.001015679 1.42351627 1.5284106
100507071 1.30442772 1.4985569 0.356565808 1.12722400 1.4007276
100507156 2.91477328 2.6237566 2.781103358 2.93780230 2.8644625
100507171 2.16939619 1.9181165 2.947252658 2.73691271 3.7166179
100507173 -0.52506967 -0.5568445 0.001015679 -0.53456626 0.2318726
100507178 0.26549561 -0.5568445 2.027535016 -1.17995959 -0.1046558
100507244 0.26549561 1.6154270 0.879482182 1.28296315 0.7338066
100507246 3.59755519 3.2839043 3.905371532 4.43339767 4.4066414
100507250 0.97286465 0.9045073 0.356565808 1.55158356 0.5045591
100507254 -0.07629974 0.4803251 1.083645731 -1.17995959 0.5045591
100507266 1.44541898 0.9045073 1.262466393 1.66920350 -0.1046558
100507290 5.22733176 5.0798329 4.725233590 4.49841504 4.9533955
100507291 -1.17995959 -0.1231025 0.001015679 0.75392586 1.8550620
100507303 2.86542980 2.6237566 1.925014355 1.77795279 2.5401900
100507308 1.69177642 1.2318945 0.641587334 -1.17995959 -0.1046558
100507316 -0.52506967 -0.1231025 0.356565808 -0.09023682 -0.1046558
100507331 1.14815036 2.3136554 2.524840414 0.95261529 1.2606373
100507347 0.77329784 2.2427511 0.879482182 2.56545468 1.2606373
100507373 2.08569290 2.5668408 2.377334035 2.22478231 1.6457063
100507392 -1.17995959 -1.1799596 0.001015679 -0.09023682 1.1054663
100507398 1.69177642 1.4985569 1.083645731 1.66920350 0.7338066
100507401 1.14815036 1.3713781 1.421546732 0.95261529 0.7338066
100507420 -0.07629974 -0.5568445 0.001015679 0.52343471 -1.1799596
100507433 2.81433872 3.2481490 2.947252658 2.98393922 2.9120705
100507436 -0.52506967 -1.1799596 0.001015679 0.24898515 0.5045591
100507437 0.97286465 1.7235351 1.695132333 1.28296315 1.6457063
100507459 1.30442772 1.3713781 1.814647243 1.12722400 0.9315716
100507463 -0.07629974 -0.1231025 0.001015679 0.24898515 -0.1046558
100507487 2.76137167 2.4457951 2.123251228 1.66920350 1.6457063
100507495 3.76835072 4.1575517 4.152257767 4.21866762 4.3899252
100507516 0.54162447 0.4803251 0.641587334 2.29965670 1.4007276
100507551 -1.17995959 0.7079502 -1.179959587 -0.53456626 0.7338066
100507557 0.77329784 2.1681812 1.925014355 1.42351627 2.0378517
100507564 1.69177642 1.2318945 1.083645731 0.52343471 1.2606373
100507567 -0.07629974 -1.1799596 -1.179959587 -0.53456626 -0.5443604
100507588 1.44541898 1.3713781 1.083645731 0.75392586 0.9315716
100507599 0.54162447 -0.1231025 0.001015679 1.28296315 0.9315716
100507602 4.31944552 4.4049176 4.457854896 4.96890423 4.5185263
100508120 0.97286465 0.7079502 1.262466393 2.06225953 1.2606373
10051 6.62677930 6.5309580 6.594666673 7.34687614 7.5095690
10052 1.90213758 1.6154270 1.083645731 1.55158356 2.4135923
100526737 2.39479835 1.8241038 2.027535016 1.97357329 1.7541784
100526760 1.69177642 1.3713781 1.695132333 1.87907612 2.4135923
100526820 1.30442772 1.4985569 1.083645731 -0.09023682 1.5284106
100526835 4.20509872 3.9282399 4.439377068 6.31513339 6.2091636
100527978 -1.17995959 -0.1231025 -1.179959587 0.24898515 0.2318726
100529145 1.90213758 1.2318945 1.925014355 1.12722400 1.4007276
100529215 -1.17995959 -1.1799596 1.083645731 0.24898515 -0.1046558
100532746 4.05912264 3.8588118 3.573840090 4.03364443 3.5460439
100533106 0.26549561 0.2099330 1.695132333 1.55158356 1.1054663
100533182 -0.07629974 -0.1231025 -0.471860680 -0.53456626 -1.1799596
100533619 -1.17995959 0.4803251 0.001015679 0.52343471 1.2606373
100533629 -1.17995959 -0.1231025 0.356565808 1.42351627 0.9315716
100533695 -1.17995959 -1.1799596 -1.179959587 0.24898515 0.2318726
100533970 1.30442772 1.4985569 1.695132333 2.14580828 0.7338066
100534593 0.54162447 -0.1231025 1.695132333 1.66920350 2.1212367
10054 6.06338485 6.2116788 6.209348603 6.06983083 6.1899789
10056 5.97309552 6.0652606 5.880010440 6.21229805 5.9141477
10057 7.44403024 7.3491372 7.199559958 7.64666844 7.3990493
10058 6.64882016 6.6384440 6.615390752 6.41533888 5.8298986
10059 7.03649448 7.1933437 7.177431373 7.60483627 7.4703526
1006 3.92104987 3.9727359 3.958244570 1.55158356 1.4007276
10060 3.74125231 3.2481490 3.850486801 4.48243333 4.7192108
100616256 0.77329784 0.7079502 0.356565808 -0.09023682 0.2318726
10062 1.30442772 1.9181165 2.213010288 0.24898515 1.1054663
10063 4.28232788 4.7110051 4.476099052 4.74607687 4.8471859
100652739 0.26549561 -0.5568445 0.001015679 0.52343471 1.4007276
100652758 1.80078773 1.2318945 1.814647243 1.12722400 1.8550620
100652846 2.24850828 1.6154270 2.452971602 2.78981785 3.0028176
10066 6.67411599 6.4545770 6.590485892 6.47713000 6.4579887
10067 6.39432070 6.0549501 6.095950207 5.83200121 5.7003094
10068 2.81433872 3.3528615 3.573840090 3.23349667 3.8691399
10069 2.76137167 2.5668408 2.781103358 3.23349667 2.9581574
10072 4.61645910 4.5292963 3.932050254 3.94312469 4.2853444
10073 4.01455066 3.6554623 3.703380138 3.57234054 4.0713828
10075 8.42101135 8.4092063 8.154139417 8.84970125 8.8878647
10076 4.53989801 3.9944796 4.106145261 4.38263652 4.7717708
10077 -1.17995959 -0.5568445 1.925014355 0.95261529 0.9315716
100775107 1.90213758 0.9045073 1.083645731 0.52343471 1.1054663
10078 4.68916118 4.8723665 4.439377068 3.87130127 4.9071537
10079 4.37339061 4.0159005 3.764034337 4.51422165 4.4874347
1008 3.74125231 3.5120811 3.734025969 3.23349667 2.2000645
10081 4.73108642 5.0174818 5.001986689 4.81150306 5.3489426
10082 6.79763327 6.9255310 6.611269683 7.28832928 7.0324797
100820829 6.04133672 5.8965238 5.946944578 6.53250756 6.1947991
10084 4.77182763 4.6574921 4.709898377 4.95738772 5.0309151
100847074 2.46273229 2.0063759 1.925014355 2.14580828 2.1212367
10085 8.71888820 8.8740040 8.946088245 7.22730563 6.9000310
100852407 1.14815036 1.3713781 0.001015679 1.55158356 1.9493498
100861412 -0.07629974 0.2099330 1.083645731 1.28296315 1.7541784
100861548 3.99173740 3.3187948 3.354708980 4.31205131 3.8930632
100862671 0.54162447 0.7079502 0.879482182 1.55158356 0.5045591
10087 6.64516999 6.6453328 6.745175208 6.15799421 6.3147828
100873257 -0.07629974 1.2318945 1.564815017 1.66920350 0.7338066
100873333 2.32350676 2.5075871 2.123251228 2.89014106 2.5995529
100873790 3.79494952 3.3528615 3.504429930 4.21866762 3.5155460
100873949 0.77329784 0.4803251 0.641587334 0.75392586 1.6457063
100873952 0.77329784 -0.1231025 0.879482182 0.75392586 -0.1046558
100873965 1.14815036 1.3713781 1.925014355 1.28296315 1.2606373
100874006 1.30442772 1.9181165 0.356565808 0.24898515 0.7338066
100874008 1.80078773 0.7079502 -1.179959587 -0.09023682 0.7338066
100874014 3.43794585 3.1352373 2.838638933 3.41284380 3.3525640
100874058 0.97286465 0.9045073 0.879482182 1.12722400 1.6457063
100874080 0.77329784 1.2318945 1.083645731 0.95261529 0.5045591
100874097 0.77329784 2.0063759 2.123251228 1.28296315 0.9315716
100874201 -0.52506967 -0.5568445 -1.179959587 0.24898515 -0.1046558
100874212 -0.52506967 0.2099330 0.001015679 0.95261529 1.1054663
100874217 0.26549561 -0.1231025 1.262466393 1.42351627 1.1054663
100874235 1.57384988 0.7079502 0.001015679 0.95261529 1.6457063
100874261 -0.07629974 0.4803251 0.641587334 0.24898515 -0.1046558
100874291 1.30442772 2.0895458 2.658654354 1.87907612 1.8550620
100874362 0.97286465 1.7235351 1.925014355 -1.17995959 0.5045591
100874523 1.90213758 1.6154270 0.356565808 1.77795279 1.9493498
100885775 -0.07629974 2.4457951 2.297510468 3.98909438 3.7692707
100885776 1.14815036 0.2099330 0.641587334 1.12722400 0.5045591
100885848 6.08510110 6.1500464 6.268116183 5.97592707 6.1458573
1009 9.61414557 9.5640718 9.556035049 8.35702162 8.2919994
10090 3.87192429 3.2839043 3.539552398 3.79571398 3.3866667
10092 7.22434552 7.3041398 7.370223423 7.48763141 7.5382972
10093 6.95037910 7.1767975 6.843311517 6.49715260 6.5772220
10094 4.03700877 3.7351143 3.932050254 3.47877310 3.3866667
10095 5.20766826 5.1298096 4.883966041 4.60558846 3.8930632
10097 8.22954600 8.3248294 8.216508786 7.74036343 7.6995987
10098 5.85165673 5.8010455 5.913865652 5.23999807 5.2318835
10099 8.01863332 8.1781625 8.131297440 7.96544785 7.6548234
100996246 2.24850828 2.5668408 2.893967681 2.43866828 1.6457063
100996251 1.44541898 2.3136554 0.001015679 2.37083616 1.8550620
100996307 1.90213758 2.3812376 2.593298279 2.98393922 1.9493498
100996384 2.64922057 2.5668408 2.123251228 2.14580828 2.4782793
100996419 -0.07629974 0.9045073 1.083645731 1.12722400 -0.5443604
100996485 1.90213758 0.9045073 2.123251228 1.55158356 1.4007276
100996539 -0.52506967 0.7079502 0.001015679 0.24898515 1.1054663
100996579 0.97286465 0.9045073 -0.471860680 0.95261529 0.2318726
100996696 3.71363514 4.0783185 3.703380138 4.01154136 3.6895529
100996842 1.90213758 1.3713781 2.297510468 2.73691271 3.4843893
100996851 0.26549561 -0.5568445 -1.179959587 0.24898515 -1.1799596
100996939 0.77329784 1.0774677 0.356565808 0.24898515 0.9315716
101 1.57384988 1.4985569 1.695132333 1.28296315 2.8152298
1010 2.52761069 3.4816119 3.314718374 2.14580828 1.9493498
10100 5.81313818 5.9697010 6.148085121 5.81295734 5.7271752
10101 5.39319241 5.2156238 4.755423493 4.59075685 5.3575657
10102 4.94807592 4.6844967 4.580969173 4.48243333 4.7588092
10103 -1.17995959 0.9045073 -1.179959587 -0.09023682 0.9315716
10105 6.68482274 6.8320162 6.807738395 6.97657606 7.2748101
10106 7.15673507 7.0860400 7.194059550 6.87617880 7.1363517
101060200 3.43794585 3.5120811 2.781103358 3.71594641 3.3176357
101060691 1.69177642 1.6154270 1.814647243 2.84085132 2.2000645
10109 8.35103503 8.4233026 8.467379337 7.93934216 7.9208264
10112 4.75837466 4.6437978 4.828244858 5.91769257 6.2467841
10113 6.51522690 6.1305405 6.153763283 6.00977186 6.1899789
10114 8.04102846 8.1840880 8.138474484 8.38737764 8.6435796
101154753 -0.52506967 -1.1799596 -1.179959587 -0.53456626 -0.5443604
10116 7.47725723 7.7610854 7.858032546 7.93934216 8.3665168
10117 -0.07629974 -1.1799596 0.641587334 0.52343471 -1.1799596
1012 7.47520282 7.4529069 7.473724183 6.25525668 5.9601694
10121 6.01329410 6.0288469 5.674168823 5.98729711 6.2233865
10123 6.00761957 5.9475777 5.859309285 4.98032954 5.3315402
DMSO_2_C3 TUN_24_C3 THA_24_C3 DOX_24_C3 NUTL_24_C3
100 1.34476119 2.14114442 1.40229684 2.6354796 2.74853911
1000 11.20002798 11.32781103 11.67041929 9.7943443 11.55199067
10000 5.42664360 6.37525242 6.35111294 6.2380846 5.61775705
10001 4.53762344 4.37985910 4.41677240 5.6190148 4.30754586
10003 3.28315121 2.76404266 1.67522194 3.7473210 2.95733194
100037417 -1.17995959 -1.17995959 -1.17995959 -1.1799596 -1.17995959
100049716 3.23802418 2.76404266 3.12073789 3.4467768 2.90789775
10005 3.14330107 4.26540197 4.06005235 3.0031898 3.61052134
10006 6.59056608 6.93287021 6.85160388 6.5248010 6.60739278
10007 4.48064675 5.02077104 4.30068096 6.5360623 4.85591416
10009 5.42664360 5.48019927 5.23257237 5.2870526 5.23235788
100093630 6.29803677 6.99105526 6.97982450 5.6295668 6.46511493
1001 4.57439499 4.60050110 4.96658544 7.2814760 5.52243577
10010 5.26732865 5.53886448 5.48393606 5.7697217 5.57088352
100101267 2.38900934 2.30463334 2.10252819 2.7169020 2.43622528
100101467 4.15616047 4.87224987 5.11145469 3.8228259 4.88174946
10011 6.38340544 5.97496133 6.19727310 5.9986094 7.03333727
100113386 1.16355880 0.30487866 -0.01183807 1.7344777 1.34162346
100113397 1.50572315 -0.50223099 1.54520369 -1.1799596 1.73085223
100113407 4.57439499 4.70666548 4.41677240 7.0730799 4.12490591
100125288 0.95628348 2.87229125 3.07435037 4.0281809 2.21019031
100127983 3.28315121 1.95673234 2.10252819 -0.3180702 0.29423987
100128006 3.60087690 2.76404266 2.27651970 0.6075777 3.18189563
100128016 0.42301719 0.58492886 1.40229684 1.1668795 0.80693329
100128025 1.34476119 0.58492886 -0.01183807 3.6260942 0.57324235
100128054 1.16355880 1.85486034 -0.01183807 1.3818557 1.00799456
100128071 0.05788737 0.81935371 1.40229684 3.1858733 0.80693329
100128191 1.78209240 1.85486034 1.54520369 4.8370385 1.34162346
100128252 1.16355880 1.85486034 1.54520369 -1.1799596 0.80693329
100128379 1.65051550 2.05188293 1.90463785 0.9141642 2.03707053
100128398 4.51888013 4.91083800 5.62739312 4.4172790 4.88174946
100128494 3.09350038 2.87229125 2.69965600 3.9629239 2.69125225
100128569 1.16355880 2.37991731 2.00697337 2.5491857 2.21019031
100128640 -1.17995959 -0.04295545 -0.01183807 4.2358080 0.29423987
100128682 0.71415037 -1.17995959 -1.17995959 0.2177524 -0.05197669
100128731 6.02005397 6.28510438 6.58001985 6.7781716 6.25384938
100128766 3.14330107 2.58472683 2.81699573 2.6354796 2.21019031
100128782 2.68641728 1.62661050 2.35623101 2.8671356 1.61240600
100128822 -1.17995959 -1.17995959 -1.17995959 -1.1799596 -1.17995959
100128833 2.46930353 2.70671189 2.27651970 2.1407541 1.18443172
100128881 2.98842470 2.22520350 1.90463785 2.7169020 3.13969252
100128893 6.15969327 5.32692944 5.58666016 6.5527911 5.74987893
100129001 1.16355880 0.58492886 0.62507616 0.2177524 1.48335840
100129013 0.05788737 1.19781249 -0.01183807 2.0176179 1.18443172
100129029 -0.43215846 0.30487866 0.86197468 1.5689134 0.57324235
100129060 3.45074305 3.31741613 3.74171207 2.2542020 3.26276947
100129075 3.19143989 2.51963491 3.12073789 4.6630637 3.48129726
100129195 2.68641728 1.95673234 2.00697337 3.3982349 2.36474415
100129203 0.71415037 1.62661050 0.62507616 6.8385396 1.34162346
100129250 2.01393481 2.45146682 1.90463785 2.8671356 2.50433130
100129259 1.50572315 1.95673234 1.40229684 1.1668795 0.57324235
100129361 5.74157165 5.58731746 5.65129206 4.0906134 5.90909751
100129398 1.65051550 -0.50223099 0.86197468 1.1668795 1.34162346
100129434 -1.17995959 -1.17995959 -1.17995959 0.2177524 -1.17995959
100129461 1.16355880 1.49733975 0.34148501 1.5689134 0.80693329
100129484 1.34476119 3.06710046 2.27651970 3.0031898 1.34162346
100129550 4.88366102 5.64186297 4.52421388 5.7013455 5.13903896
100129583 0.42301719 1.19781249 2.10252819 1.7344777 1.34162346
100129662 1.50572315 -1.17995959 0.62507616 1.8829828 1.00799456
100129707 1.34476119 0.30487866 1.67522194 1.3818557 1.00799456
100129716 2.01393481 2.30463334 2.35623101 1.8829828 0.29423987
100129726 2.11723321 0.58492886 1.06540441 4.2631723 2.21019031
100129774 4.20387911 3.98103800 3.77109372 3.4937386 4.39983657
100129781 0.05788737 1.02095771 0.86197468 -1.1799596 0.80693329
100129792 0.42301719 1.02095771 0.62507616 1.1668795 -0.50842636
100129794 2.68641728 2.92351465 2.87227052 -1.1799596 2.56936662
100129842 -0.43215846 1.49733975 1.40229684 2.3593754 1.84030745
100129917 2.11723321 4.07464945 3.61780906 2.8671356 2.90789775
100129924 1.65051550 1.95673234 1.67522194 3.7080331 2.63159624
100129940 1.50572315 -0.04295545 -1.17995959 1.8829828 1.48335840
100129995 -1.17995959 -1.17995959 -0.01183807 -1.1799596 -1.17995959
10013 5.96572723 5.91294511 6.00663935 6.4009256 6.00624982
100130111 0.05788737 0.30487866 -1.17995959 0.9141642 -1.17995959
100130197 0.42301719 0.58492886 -0.01183807 1.5689134 -0.50842636
100130335 3.32690939 2.05188293 3.12073789 2.3593754 2.36474415
100130348 3.09350038 4.16255512 4.23893312 3.6260942 3.61052134
100130357 -0.43215846 0.81935371 -0.01183807 0.9141642 1.00799456
100130466 3.09350038 3.06710046 2.92550546 3.5833107 2.80363781
100130476 -1.17995959 0.58492886 -0.01183807 2.9367660 -1.17995959
100130522 1.16355880 0.58492886 1.67522194 4.0281809 -1.17995959
100130550 0.42301719 0.30487866 2.00697337 0.2177524 0.80693329
100130564 3.70403860 2.51963491 3.25157110 3.5833107 3.09621755
100130581 2.61761358 2.51963491 2.35623101 3.5833107 1.94204085
100130691 1.65051550 3.02080838 1.90463785 1.3818557 1.18443172
100130705 2.21362697 1.19781249 1.54520369 3.5392197 2.74853911
100130748 0.42301719 -0.04295545 -0.01183807 2.1407541 2.12622561
100130750 -1.17995959 -0.04295545 -1.17995959 -1.1799596 -1.17995959
100130855 1.65051550 1.95673234 1.40229684 1.7344777 1.84030745
100130958 0.42301719 -0.04295545 0.86197468 2.1407541 -0.50842636
100131017 -1.17995959 -1.17995959 -1.17995959 -1.1799596 -1.17995959
100131031 3.36937932 2.87229125 3.12073789 -0.3180702 2.50433130
100131033 2.30398158 1.74524467 2.35623101 2.7169020 1.61240600
100131067 2.87509064 1.49733975 2.27651970 3.0666896 2.12622561
100131089 2.01393481 2.37991731 1.79448528 2.6354796 -0.05197669
100131094 0.71415037 0.30487866 0.34148501 1.1668795 1.34162346
100131138 4.51888013 4.28511992 4.45348250 3.0031898 3.37616702
100131187 2.01393481 1.02095771 0.86197468 2.3593754 2.03707053
100131193 2.21362697 0.81935371 0.34148501 3.2419654 2.12622561
100131211 4.00273421 3.80100637 3.79988891 2.1407541 3.54735566
100131213 -0.43215846 0.30487866 -1.17995959 3.6676453 -0.05197669
100131471 2.21362697 2.51963491 2.00697337 0.9141642 1.61240600
100131656 3.36937932 3.19768039 2.97684575 4.6000753 2.50433130
100131685 1.78209240 1.95673234 1.54520369 2.2542020 1.94204085
100131691 1.50572315 1.95673234 2.97684575 5.2188102 2.90789775
100131740 1.50572315 0.58492886 1.90463785 1.5689134 0.29423987
100131801 3.48976645 2.81918198 3.12073789 4.9922733 3.83869833
100131827 0.05788737 1.62661050 1.40229684 0.2177524 1.00799456
100131828 0.05788737 -0.50223099 0.34148501 -0.3180702 -0.50842636
100131940 0.95628348 0.58492886 -0.01183807 1.7344777 -0.05197669
100132074 0.05788737 -1.17995959 -1.17995959 -1.1799596 -1.17995959
100132086 0.42301719 0.81935371 0.62507616 -0.3180702 0.80693329
100132116 6.48829419 4.53613304 5.05284985 5.3134707 6.41291442
100132126 -1.17995959 -1.17995959 -0.01183807 -1.1799596 0.57324235
100132215 3.23802418 1.49733975 1.54520369 2.6354796 2.50433130
100132537 1.34476119 0.30487866 -0.01183807 2.0176179 0.29423987
100132609 0.71415037 1.19781249 -0.48076819 -1.1799596 -0.50842636
100132659 0.95628348 1.19781249 1.24366209 1.1668795 0.57324235
100132891 -1.17995959 -0.04295545 1.40229684 -1.1799596 -0.05197669
100132972 1.16355880 2.14114442 1.67522194 0.2177524 0.29423987
100133234 0.05788737 0.58492886 1.40229684 1.5689134 1.48335840
100133286 -0.43215846 0.30487866 0.34148501 -0.3180702 -0.50842636
100133315 0.05788737 -0.04295545 -0.48076819 2.3593754 -1.17995959
100134934 2.21362697 0.58492886 1.24366209 1.1668795 1.18443172
10014 5.97950191 6.27527899 6.47233937 6.3823278 6.50721741
100144603 3.19143989 2.30463334 1.67522194 2.2542020 2.56936662
100144748 1.78209240 1.49733975 2.19214532 6.9224606 2.12622561
10015 7.62718382 7.58731116 7.57043467 6.4962571 7.79125700
10016 5.24469275 5.15541946 5.38288088 6.2654061 5.42915501
100170229 0.71415037 0.81935371 0.34148501 -0.3180702 1.34162346
100170841 3.76893022 4.45141142 4.25981076 7.4984943 2.63159624
10018 4.35946323 4.09713309 3.98680784 7.0259318 4.26891046
100188847 1.65051550 1.85486034 1.54520369 2.0176179 1.34162346
10019 3.91943423 4.69196912 4.76228912 5.9234187 3.70036887
100190938 1.78209240 1.19781249 0.86197468 2.6354796 0.29423987
1002 3.48976645 1.62661050 1.24366209 2.4573999 2.85670940
10020 3.36937932 4.80555012 4.47149309 3.8228259 3.41206841
10021 8.02932659 7.09525209 7.70402000 7.4155619 8.17107075
10023 0.05788737 2.58472683 2.00697337 5.1471788 2.12622561
10024 4.00273421 2.14114442 3.16568025 4.1208449 2.90789775
10026 6.79912631 6.60833645 6.96400891 7.0378641 7.30561683
100268168 -0.43215846 -1.17995959 1.67522194 2.2542020 -1.17995959
100270804 2.61761358 1.85486034 2.35623101 2.0176179 1.84030745
100270827 1.34476119 1.35533555 -0.48076819 0.9141642 1.00799456
100270840 3.91943423 3.39205289 2.57192086 2.2542020 2.56936662
100270854 1.90266576 2.64700826 2.35623101 2.8671356 2.12622561
100270865 3.70403860 2.92351465 3.29267208 3.1858733 3.54735566
100271271 3.32690939 3.56332001 3.02642164 2.7939735 3.09621755
100271332 1.65051550 2.58472683 2.63720166 0.9141642 1.34162346
100271415 2.68641728 2.05188293 2.92550546 3.6260942 1.61240600
100271479 -0.43215846 1.19781249 -1.17995959 0.6075777 -0.50842636
100271884 1.34476119 -1.17995959 -0.48076819 0.9141642 0.29423987
100272147 3.23802418 2.81918198 3.20926477 3.7855673 2.74853911
100286844 2.61761358 2.64700826 2.75951849 1.7344777 2.56936662
100287015 0.05788737 0.30487866 -1.17995959 0.6075777 0.80693329
100287049 2.01393481 1.19781249 0.34148501 1.5689134 -0.50842636
100287074 2.38900934 1.95673234 2.10252819 2.0176179 2.80363781
100287616 1.65051550 2.81918198 2.35623101 2.0176179 2.36474415
100287722 2.01393481 1.19781249 1.06540441 2.2542020 1.18443172
100287808 0.71415037 -1.17995959 -0.01183807 4.9423615 -0.05197669
100287837 -1.17995959 -1.17995959 -1.17995959 0.6075777 -1.17995959
100287896 3.36937932 3.31741613 3.68109030 0.9141642 3.64109647
100287902 0.95628348 -0.50223099 -1.17995959 2.0176179 -0.50842636
100287928 3.70403860 3.59526215 3.16568025 3.8591463 3.78494745
100287932 5.76562083 5.78722280 5.55322495 5.4387579 5.55491436
100288001 1.65051550 1.95673234 1.40229684 3.4937386 2.50433130
100288073 3.86110288 7.81630601 7.72293829 2.2542020 4.46964084
100288123 0.95628348 1.35533555 1.06540441 1.3818557 0.57324235
100288198 3.09350038 3.42797152 3.16568025 3.4937386 2.74853911
100288241 -0.43215846 0.81935371 1.06540441 0.6075777 1.34162346
100288413 2.98842470 3.77335059 4.28039058 3.9959213 2.80363781
100288513 -1.17995959 -1.17995959 -1.17995959 -1.1799596 -1.17995959
100288842 2.01393481 2.45146682 1.67522194 0.9141642 2.28953588
100289061 -1.17995959 0.81935371 0.34148501 2.7939735 -0.50842636
100289095 0.71415037 -1.17995959 0.86197468 2.1407541 0.57324235
100289133 1.34476119 0.30487866 -0.48076819 1.1668795 1.34162346
100289178 2.61761358 1.74524467 1.90463785 2.7939735 3.13969252
100289211 2.54536352 0.58492886 0.86197468 -0.3180702 1.73085223
100289259 0.42301719 1.85486034 1.24366209 0.6075777 0.57324235
100289274 3.76893022 5.84814283 5.56165668 5.0871974 3.81207320
100289341 1.78209240 1.95673234 1.90463785 4.2358080 -0.05197669
100289373 -1.17995959 -1.17995959 -1.17995959 3.3480026 -1.17995959
100289388 2.98842470 2.14114442 2.81699573 2.3593754 2.63159624
100289414 -0.43215846 0.30487866 0.34148501 0.6075777 0.57324235
100289635 5.74157165 6.08028538 6.06117780 3.3480026 5.69264632
100289640 1.78209240 2.76404266 2.10252819 3.6676453 1.73085223
100289678 1.16355880 2.64700826 2.35623101 3.0031898 1.94204085
100293516 4.59243517 4.02860286 4.19624900 2.2542020 4.82960776
100294362 0.05788737 1.19781249 2.19214532 1.7344777 1.48335840
1003 -1.17995959 -1.17995959 -0.01183807 0.6075777 0.57324235
100302692 1.90266576 2.58472683 3.64979662 1.5689134 2.12622561
100302736 1.65051550 2.87229125 3.25157110 1.8829828 1.48335840
100303728 3.60087690 3.15545347 2.57192086 2.7939735 3.57928417
100303755 0.95628348 1.19781249 1.24366209 -1.1799596 1.61240600
100312828 0.71415037 -1.17995959 0.62507616 -1.1799596 -0.05197669
100312850 -1.17995959 1.02095771 1.06540441 -1.1799596 -0.05197669
10036 4.57439499 3.85477657 3.79988891 4.8906609 4.28835749
100379345 3.04191895 2.58472683 2.43176777 -0.3180702 2.43622528
10038 5.80483283 6.42052884 5.87751281 3.3480026 5.79136098
100381270 -0.43215846 -0.50223099 0.34148501 -0.3180702 0.57324235
10039 6.05949727 5.99305801 5.75050977 5.3134707 6.06380711
1004 7.34807824 5.94428643 6.69944935 6.2586241 7.92306638
10040 3.52776205 4.14107573 4.54136787 2.6354796 3.96491713
100418710 1.90266576 0.81935371 2.00697337 2.2542020 2.21019031
100418735 3.83102826 3.15545347 3.16568025 4.0281809 3.37616702
100418744 1.90266576 1.02095771 1.06540441 2.3593754 -0.05197669
100418770 1.34476119 1.95673234 2.10252819 0.2177524 1.34162346
100418781 1.16355880 0.81935371 0.86197468 -0.3180702 0.29423987
100418819 0.71415037 2.30463334 1.24366209 1.5689134 1.48335840
100418829 2.01393481 2.51963491 2.35623101 -1.1799596 1.34162346
100418888 1.65051550 0.58492886 1.67522194 -0.3180702 1.48335840
100418889 2.68641728 2.30463334 2.81699573 1.8829828 2.69125225
100418910 0.42301719 0.30487866 -0.01183807 -0.3180702 1.48335840
100418919 1.50572315 2.30463334 2.10252819 2.7939735 2.43622528
100419028 2.30398158 2.05188293 1.67522194 0.9141642 1.61240600
100419185 0.95628348 1.35533555 1.54520369 0.2177524 1.34162346
100419416 1.16355880 0.58492886 1.54520369 2.1407541 0.80693329
100419515 1.50572315 -0.50223099 -0.01183807 -1.1799596 1.00799456
100419645 0.42301719 0.81935371 -0.01183807 -1.1799596 -0.05197669
100419758 1.16355880 1.62661050 1.24366209 2.0176179 1.34162346
100419928 1.34476119 2.58472683 2.19214532 1.7344777 1.94204085
10042 5.53321957 4.92347471 4.86123591 4.4885689 5.21213574
100420028 -1.17995959 -0.04295545 -0.01183807 1.3818557 -0.05197669
100420050 -0.43215846 0.58492886 -0.01183807 1.1668795 -0.05197669
100420110 3.45074305 3.62651237 3.90964494 3.5392197 3.26276947
100420187 1.34476119 2.45146682 1.24366209 2.5491857 1.61240600
100420259 3.73684923 3.53065460 3.98680784 3.2419654 4.24919771
100420307 1.16355880 0.30487866 1.24366209 0.9141642 -0.05197669
100420341 5.49536933 7.06134915 6.84471098 4.9253330 5.32942347
100420423 -1.17995959 -0.04295545 0.34148501 0.6075777 1.34162346
100420591 2.11723321 1.49733975 1.24366209 1.1668795 0.57324235
100420707 3.41063469 2.51963491 3.07435037 3.0666896 3.00512822
100420752 1.65051550 2.51963491 2.35623101 1.5689134 1.18443172
100420869 4.76141915 3.88092836 4.01163815 4.7622934 4.51986328
100420981 5.96572723 5.73082392 5.91747855 5.4743165 5.69992580
100421093 4.15616047 3.77335059 4.12975727 4.3422823 3.54735566
100421109 0.42301719 1.02095771 -0.01183807 1.3818557 0.57324235
100421160 0.05788737 0.58492886 0.34148501 0.6075777 0.57324235
100421175 1.78209240 1.85486034 1.67522194 4.0597348 0.80693329
100421246 2.11723321 2.05188293 1.06540441 1.5689134 0.80693329
100421311 2.61761358 2.45146682 1.67522194 1.5689134 2.63159624
100421372 1.34476119 0.81935371 1.54520369 2.4573999 1.84030745
100421400 2.11723321 2.45146682 1.79448528 0.9141642 2.21019031
100421415 1.90266576 1.19781249 1.40229684 -1.1799596 1.61240600
100421429 0.71415037 0.81935371 1.40229684 0.2177524 0.57324235
100421465 0.71415037 1.19781249 1.79448528 0.2177524 -0.50842636
100421468 1.50572315 0.30487866 0.62507616 0.6075777 0.29423987
100421506 -0.43215846 0.30487866 -0.01183807 0.2177524 -1.17995959
100421569 0.42301719 -0.04295545 0.34148501 1.3818557 1.18443172
100421595 1.16355880 1.62661050 0.86197468 2.0176179 1.48335840
100421794 2.93287028 3.88092836 3.20926477 3.5392197 2.36474415
100422106 2.01393481 1.85486034 1.90463785 1.1668795 1.48335840
100422338 2.01393481 2.22520350 1.79448528 0.6075777 1.94204085
100422546 1.16355880 1.19781249 -0.01183807 1.5689134 -1.17995959
100422561 3.83102826 4.09713309 4.08366351 2.0176179 3.57928417
10043 5.85799853 5.53886448 5.57003941 5.3003221 5.85142996
10044 0.05788737 1.49733975 -0.01183807 2.2542020 1.34162346
10045 0.42301719 2.22520350 2.63720166 1.8829828 0.57324235
10046 0.71415037 0.30487866 -1.17995959 1.1668795 0.29423987
10048 6.20729710 6.75340907 6.70326496 7.2814760 6.46511493
10049 4.86893534 5.31738573 5.59489928 6.8294151 5.61775705
100499177 3.36937932 3.82814196 3.33263450 2.4573999 3.78494745
100499483 1.34476119 1.02095771 1.67522194 2.3593754 2.03707053
1005 0.71415037 1.02095771 0.62507616 1.7344777 0.57324235
100500719 0.05788737 0.81935371 1.24366209 1.8829828 1.00799456
100505385 1.34476119 1.74524467 1.40229684 3.4937386 3.18189563
100505501 0.05788737 2.81918198 2.10252819 3.3480026 1.34162346
100505538 1.34476119 2.22520350 1.67522194 4.0597348 1.18443172
100505549 -0.43215846 -1.17995959 0.34148501 -1.1799596 -1.17995959
100505573 6.20143181 6.06895530 6.03113354 7.1074566 6.81941392
100505576 2.98842470 3.27859799 3.07435037 1.8829828 3.00512822
100505616 0.05788737 -0.04295545 0.62507616 0.9141642 0.29423987
100505624 1.50572315 0.81935371 2.00697337 0.2177524 0.80693329
100505635 -0.43215846 -1.17995959 -1.17995959 -1.1799596 -1.17995959
100505641 2.46930353 2.37991731 2.63720166 2.0176179 2.56936662
100505648 3.45074305 3.71639590 3.68109030 3.1858733 3.64109647
100505678 3.41063469 2.37991731 2.00697337 1.1668795 2.63159624
100505696 4.27262214 4.14107573 3.98680784 2.0176179 4.43516085
100505715 0.42301719 0.58492886 0.86197468 -1.1799596 1.00799456
100505738 -1.17995959 -0.04295545 -1.17995959 -1.1799596 -1.17995959
100505741 0.95628348 1.19781249 1.90463785 3.2419654 0.80693329
100505758 3.36937932 3.95665428 3.40938433 3.1275119 3.30156748
100505761 3.52776205 3.53065460 3.07435037 4.0281809 3.48129726
100505771 3.60087690 3.39205289 3.77109372 2.3593754 3.86484098
100505783 -1.17995959 -1.17995959 -0.48076819 3.1275119 -1.17995959
100505806 3.14330107 4.05180985 3.90964494 1.8829828 2.43622528
100505812 -1.17995959 -0.50223099 -0.01183807 0.2177524 0.57324235
100505832 1.50572315 -0.04295545 -0.01183807 1.3818557 -1.17995959
100505854 2.54536352 1.49733975 0.34148501 3.8945748 0.57324235
100505876 5.90205993 5.82138433 6.16443385 5.5429076 5.72868187
100505894 3.14330107 1.95673234 2.10252819 1.3818557 2.74853911
100505933 0.42301719 1.35533555 0.34148501 2.0176179 1.61240600
100505994 0.05788737 1.95673234 3.02642164 -1.1799596 0.29423987
100506020 0.05788737 0.30487866 0.62507616 -0.3180702 0.80693329
100506033 4.83902526 5.19764737 5.05284985 4.8001499 5.35731382
100506054 0.95628348 -0.50223099 0.34148501 1.3818557 0.80693329
100506068 0.05788737 -0.04295545 -0.01183807 1.5689134 -1.17995959
100506070 2.11723321 1.62661050 -0.01183807 0.2177524 1.18443172
100506083 0.71415037 1.19781249 0.86197468 0.2177524 1.18443172
100506100 0.42301719 0.81935371 0.62507616 0.9141642 0.80693329
100506119 0.42301719 -0.04295545 -0.48076819 1.8829828 -0.50842636
100506127 2.93287028 1.74524467 2.10252819 2.8671356 3.05139167
100506142 1.16355880 1.02095771 0.34148501 0.6075777 1.00799456
100506144 -0.43215846 1.19781249 0.86197468 0.2177524 0.29423987
100506161 1.65051550 2.05188293 1.67522194 0.9141642 1.61240600
100506211 5.31156206 2.05188293 2.81699573 0.9141642 4.39983657
100506235 0.95628348 1.74524467 2.00697337 3.5392197 2.03707053
100506258 0.95628348 1.62661050 -0.48076819 1.8829828 2.28953588
100506282 2.98842470 1.95673234 2.87227052 2.8671356 2.90789775
100506286 1.78209240 0.58492886 -0.48076819 4.5565014 2.74853911
100506302 2.38900934 1.74524467 2.81699573 2.1407541 1.84030745
100506321 0.42301719 1.49733975 0.34148501 1.5689134 0.57324235
100506325 0.71415037 1.35533555 1.24366209 1.1668795 1.34162346
100506343 -1.17995959 0.81935371 0.34148501 1.8829828 1.00799456
100506365 5.27851480 5.50563415 5.60309161 5.1617924 5.13903896
100506368 0.71415037 -0.04295545 -0.01183807 0.2177524 1.48335840
100506380 2.68641728 3.19768039 3.74171207 2.0176179 2.63159624
100506392 4.69618103 4.66211952 4.35989408 2.8671356 4.18838990
100506394 1.16355880 -1.17995959 0.86197468 3.4937386 1.34162346
100506411 1.50572315 0.30487866 1.40229684 3.3480026 0.80693329
100506433 2.30398158 1.02095771 2.19214532 -1.1799596 2.90789775
100506462 0.71415037 -0.50223099 -0.01183807 3.8228259 1.48335840
100506469 4.18021707 3.93185134 4.32068992 4.3927108 3.48129726
100506495 0.05788737 -0.04295545 0.86197468 3.5833107 1.48335840
100506504 1.34476119 2.37991731 2.69965600 0.2177524 2.43622528
100506540 1.50572315 1.02095771 0.34148501 2.1407541 1.34162346
100506581 2.98842470 3.56332001 3.93582716 2.6354796 2.85670940
100506606 0.71415037 0.58492886 0.62507616 2.0176179 0.29423987
100506658 0.71415037 2.64700826 2.57192086 4.3422823 0.29423987
100506668 2.75208848 3.15545347 2.97684575 2.8671356 3.05139167
100506686 0.95628348 2.76404266 2.27651970 0.2177524 2.12622561
100506691 -0.43215846 0.30487866 -0.01183807 -0.3180702 -0.05197669
100506696 -1.17995959 -1.17995959 -1.17995959 3.4467768 -1.17995959
100506697 -1.17995959 0.58492886 -0.48076819 -1.1799596 -1.17995959
100506710 4.76141915 5.70177555 5.27421040 5.4743165 5.11745538
100506713 0.05788737 0.30487866 -1.17995959 -1.1799596 0.80693329
100506725 5.28961488 4.39808261 4.35989408 2.9367660 4.86888964
100506731 0.95628348 2.05188293 0.86197468 4.9423615 1.73085223
100506757 2.46930353 2.51963491 2.97684575 2.0176179 1.84030745
100506779 0.71415037 -1.17995959 -0.48076819 0.9141642 0.80693329
100506804 0.05788737 -0.04295545 0.34148501 3.0666896 0.57324235
100506826 1.50572315 1.19781249 1.79448528 1.7344777 2.12622561
100506844 3.09350038 4.30457201 3.58509616 3.3982349 3.44709804
100506866 7.17032498 6.65454759 6.19727310 5.4625607 6.28806274
100506881 2.75208848 2.37991731 2.43176777 5.3648984 1.94204085
100506885 -1.17995959 -0.04295545 0.62507616 1.5689134 0.29423987
100506911 0.05788737 0.81935371 -0.01183807 0.9141642 -0.50842636
100506922 0.05788737 0.58492886 0.86197468 3.6676453 -0.05197669
100506930 0.05788737 -1.17995959 -1.17995959 0.6075777 -0.05197669
100506994 0.95628348 -0.50223099 1.54520369 2.2542020 0.80693329
100507003 -1.17995959 -1.17995959 -1.17995959 -1.1799596 -1.17995959
100507032 -1.17995959 -1.17995959 -1.17995959 -1.1799596 -1.17995959
100507034 2.68641728 3.35521712 3.44628051 4.9922733 3.37616702
100507050 1.50572315 -1.17995959 -1.17995959 2.8671356 0.57324235
100507053 -1.17995959 -1.17995959 -1.17995959 0.2177524 -1.17995959
100507057 0.05788737 -0.04295545 -1.17995959 -0.3180702 -0.05197669
100507062 -0.43215846 -0.04295545 0.34148501 3.7080331 -0.05197669
100507071 1.34476119 -0.04295545 0.34148501 1.3818557 0.80693329
100507156 3.32690939 1.74524467 1.24366209 3.4467768 2.74853911
100507171 2.38900934 3.93185134 3.37151973 1.5689134 2.63159624
100507173 -1.17995959 0.81935371 0.34148501 -0.3180702 0.57324235
100507178 0.42301719 0.58492886 0.86197468 0.6075777 0.29423987
100507244 -1.17995959 1.02095771 1.06540441 1.3818557 1.84030745
100507246 3.86110288 3.71639590 4.10689447 2.9367660 3.98888789
100507250 1.90266576 1.74524467 0.86197468 1.5689134 0.57324235
100507254 0.71415037 -0.04295545 -0.01183807 -1.1799596 -1.17995959
100507266 1.16355880 0.58492886 0.34148501 0.6075777 -0.50842636
100507290 5.06255650 4.87224987 4.43524421 4.2631723 4.89449566
100507291 1.34476119 1.35533555 1.54520369 0.2177524 1.34162346
100507303 2.61761358 3.65710000 2.50354557 2.5491857 2.69125225
100507308 -1.17995959 -0.04295545 0.62507616 -1.1799596 -1.17995959
100507316 0.05788737 0.58492886 -0.01183807 0.2177524 -0.05197669
100507331 0.71415037 2.30463334 1.67522194 3.7080331 2.43622528
100507347 1.65051550 2.70671189 2.92550546 4.3163913 2.43622528
100507373 1.65051550 1.85486034 2.00697337 3.7473210 1.00799456
100507392 -1.17995959 -1.17995959 -0.01183807 0.2177524 -1.17995959
100507398 1.78209240 0.58492886 1.24366209 2.0176179 2.03707053
100507401 1.16355880 0.58492886 1.06540441 2.2542020 1.00799456
100507420 -1.17995959 -1.17995959 -0.01183807 -1.1799596 -1.17995959
100507433 2.75208848 2.45146682 2.19214532 3.9291541 3.18189563
100507436 0.42301719 1.02095771 0.62507616 1.8829828 1.34162346
100507437 1.78209240 1.85486034 1.67522194 1.1668795 2.74853911
100507459 1.50572315 1.19781249 1.54520369 3.6260942 2.21019031
100507463 -0.43215846 1.02095771 -1.17995959 1.5689134 -0.05197669
100507487 2.46930353 3.11195322 2.10252819 2.5491857 2.95733194
100507495 4.80848192 4.56867603 4.12975727 3.8228259 4.05849929
100507516 1.16355880 0.81935371 0.62507616 -1.1799596 1.94204085
100507551 -1.17995959 1.02095771 1.24366209 0.2177524 -0.05197669
100507557 2.54536352 2.51963491 2.00697337 2.6354796 1.18443172
100507564 2.54536352 1.49733975 2.19214532 0.9141642 1.94204085
100507567 -1.17995959 -1.17995959 -1.17995959 1.8829828 -0.50842636
100507588 0.95628348 1.19781249 1.06540441 0.6075777 0.29423987
100507599 0.05788737 -0.04295545 -0.01183807 2.0176179 1.61240600
100507602 4.59243517 4.55249629 5.20053575 4.0906134 4.28835749
100508120 2.11723321 2.51963491 1.54520369 0.2177524 2.50433130
10051 7.30769958 6.26041428 5.80833992 6.7201121 6.58003762
10052 1.90266576 1.62661050 1.79448528 2.2542020 2.12622561
100526737 2.46930353 2.22520350 2.27651970 1.5689134 2.43622528
100526760 1.65051550 2.45146682 2.50354557 1.3818557 2.43622528
100526820 1.16355880 -1.17995959 1.06540441 1.5689134 1.18443172
100526835 6.36777887 4.45141142 4.94096045 1.5689134 5.32000557
100527978 -1.17995959 0.30487866 1.06540441 0.9141642 1.00799456
100529145 1.65051550 0.30487866 2.10252819 1.1668795 1.94204085
100529215 0.71415037 0.58492886 0.34148501 1.5689134 -1.17995959
100532746 3.45074305 4.11927171 4.25981076 4.1208449 4.05849929
100533106 1.78209240 0.58492886 0.86197468 0.2177524 0.29423987
100533182 0.05788737 1.02095771 0.62507616 2.7939735 0.57324235
100533619 0.05788737 -0.04295545 0.62507616 4.6000753 1.00799456
100533629 1.34476119 0.81935371 -0.01183807 1.3818557 0.29423987
100533695 0.95628348 -0.04295545 0.34148501 0.6075777 -0.05197669
100533970 0.71415037 1.74524467 1.40229684 2.8671356 1.34162346
100534593 1.78209240 1.49733975 2.19214532 3.8591463 3.05139167
10054 6.14142892 6.34738844 6.31665637 6.1455374 6.01210999
10056 6.13528906 6.39806824 6.22938145 4.4651949 5.98852513
10057 7.70593774 7.39201681 7.49099275 8.0134502 8.24881912
10058 6.43929692 7.54704735 7.19563900 6.8294151 6.37248593
10059 7.59622694 6.54022826 6.46786039 6.6596179 7.38227674
1006 2.01393481 0.58492886 -1.17995959 1.3818557 1.61240600
10060 4.83902526 4.26540197 4.57507581 4.6213784 4.03566666
100616256 -1.17995959 -0.04295545 -0.48076819 0.2177524 0.57324235
10062 -0.43215846 1.02095771 1.90463785 1.5689134 2.36474415
10063 4.85405781 4.18371940 4.67171709 4.3422823 4.14637913
100652739 0.05788737 1.19781249 1.67522194 0.2177524 0.29423987
100652758 1.65051550 1.02095771 1.54520369 4.4172790 1.18443172
100652846 2.81490004 1.35533555 1.24366209 1.5689134 3.09621755
10066 6.71517209 7.25875051 7.20643356 6.0700747 6.95944087
10067 6.16573036 6.43383925 6.60878401 5.9319694 6.42174673
10068 2.98842470 1.95673234 2.87227052 4.8187121 3.18189563
10069 3.23802418 3.77335059 3.48225657 5.2464957 3.30156748
10072 4.40099908 2.92351465 4.12975727 4.7234166 4.32648237
10073 3.28315121 3.62651237 3.44628051 3.2959580 3.81207320
10075 8.59793326 8.78490994 8.82662429 8.9959985 8.84339201
10076 4.25006980 4.84593884 4.67171709 5.5976764 4.85591416
10077 2.21362697 1.35533555 2.19214532 1.3818557 -0.05197669
100775107 1.34476119 1.74524467 1.06540441 0.9141642 0.57324235
10078 4.38038063 4.92347471 5.06476282 5.4387579 4.38184471
10079 4.95511580 4.73561654 4.83365102 4.8730073 5.11745538
1008 2.68641728 2.30463334 2.57192086 0.9141642 4.36362563
10081 4.86893534 5.48872748 5.42969424 6.7923285 5.32000557
10082 7.16128875 7.11741937 7.12343415 7.0998878 7.50371311
100820829 6.31443293 4.67712152 4.68721282 3.9291541 6.34023911
10084 5.15042106 4.79183197 5.04083769 5.0562448 4.82960776
100847074 2.01393481 2.45146682 2.00697337 2.4573999 1.18443172
10085 7.08050918 7.28836211 7.37139002 7.6251704 7.56877569
100852407 0.05788737 1.85486034 1.24366209 0.6075777 -0.05197669
100861412 -1.17995959 1.19781249 0.86197468 0.9141642 -0.50842636
100861548 3.97549848 5.37372333 5.43887735 5.5090196 4.74768193
100862671 0.95628348 1.95673234 1.24366209 1.1668795 1.48335840
10087 6.43929692 6.42941608 6.92532876 7.7294047 6.67912953
100873257 1.50572315 1.74524467 0.86197468 2.0176179 1.73085223
100873333 2.93287028 2.51963491 2.50354557 2.8671356 2.56936662
100873790 4.10680935 3.46301756 3.12073789 4.3422823 3.61052134
100873949 1.34476119 0.81935371 1.24366209 0.6075777 1.48335840
100873952 0.05788737 0.58492886 -1.17995959 0.2177524 1.18443172
100873965 2.01393481 1.85486034 1.24366209 1.3818557 2.03707053
100874006 1.34476119 1.95673234 1.40229684 -0.3180702 1.34162346
100874008 0.95628348 1.02095771 1.79448528 3.0031898 -0.50842636
100874014 3.56478260 3.23870643 3.55162426 0.2177524 3.48129726
100874058 1.65051550 2.76404266 0.86197468 -1.1799596 2.21019031
100874080 1.34476119 1.02095771 -1.17995959 1.7344777 -0.05197669
100874097 0.95628348 1.02095771 1.90463785 1.3818557 1.18443172
100874201 0.05788737 0.58492886 0.86197468 -1.1799596 -0.50842636
100874212 0.95628348 1.35533555 0.62507616 -0.3180702 -1.17995959
100874217 0.95628348 0.30487866 0.86197468 0.2177524 0.80693329
100874235 2.01393481 0.30487866 0.62507616 0.2177524 1.84030745
100874261 -1.17995959 -1.17995959 -0.01183807 -1.1799596 0.29423987
100874291 1.34476119 0.81935371 1.40229684 -1.1799596 -0.05197669
100874362 0.05788737 1.35533555 0.62507616 1.5689134 -1.17995959
100874523 1.50572315 1.35533555 1.06540441 0.6075777 2.36474415
100885775 3.63609016 0.30487866 1.54520369 2.5491857 2.21019031
100885776 1.65051550 2.81918198 1.67522194 0.6075777 1.61240600
100885848 5.87283569 4.41607880 4.21774891 4.7035782 5.49758781
1009 8.11294047 7.38746333 7.67516913 6.8833164 8.67630811
10090 2.98842470 4.61615419 4.12975727 5.7601498 3.70036887
10092 7.25487543 7.33167020 7.33003553 6.5304426 7.23220468
10093 6.23052265 6.22512249 6.31665637 6.3054422 6.61125866
10094 3.45074305 3.46301756 3.71171958 3.6676453 3.13969252
10095 3.73684923 4.77798214 5.49278135 5.0405159 4.43516085
10097 7.64889612 7.49719888 7.73417133 8.0707135 7.95839869
10098 5.49536933 5.63419589 5.80123666 5.8621014 5.81836753
10099 8.03593331 8.26165492 8.37306338 7.6198880 7.96898248
100996246 2.11723321 2.22520350 1.40229684 0.9141642 1.84030745
100996251 2.30398158 1.49733975 1.24366209 1.5689134 1.00799456
100996307 1.50572315 1.35533555 1.54520369 1.1668795 1.61240600
100996384 2.75208848 1.49733975 1.54520369 3.1858733 2.56936662
100996419 0.95628348 1.02095771 1.24366209 2.6354796 1.00799456
100996485 2.11723321 1.49733975 1.24366209 1.8829828 2.03707053
100996539 1.16355880 1.35533555 -0.48076819 2.4573999 1.00799456
100996579 0.42301719 1.49733975 1.40229684 0.2177524 1.34162346
100996696 3.56478260 3.68705257 3.37151973 2.9367660 3.83869833
100996842 1.78209240 2.30463334 2.57192086 2.2542020 2.36474415
100996851 -1.17995959 -0.04295545 1.06540441 -0.3180702 -0.05197669
100996939 0.42301719 1.02095771 1.06540441 0.2177524 1.34162346
101 1.16355880 1.62661050 2.10252819 3.5833107 2.85670940
1010 2.21362697 1.62661050 1.54520369 -1.1799596 -0.05197669
10100 5.96572723 4.18371940 3.96154268 4.1794712 5.00441075
10101 5.07544098 5.48872748 5.47503620 6.4434103 5.05069685
10102 4.61025255 5.06706430 5.04083769 4.2079146 5.23235788
10103 0.71415037 1.02095771 1.06540441 2.2542020 1.84030745
10105 6.95366237 6.06325672 6.18094691 5.9986094 6.52781668
10106 6.80687292 7.58333497 7.66346527 7.9025354 7.20432256
101060200 3.41063469 3.82814196 3.74171207 3.4467768 3.44709804
101060691 1.16355880 2.14114442 1.40229684 1.3818557 1.18443172
10109 8.00090550 7.65896038 7.80157340 7.8197179 8.07075729
10112 5.34386924 3.85477657 3.37151973 5.1762595 4.55239919
10113 6.11671112 7.54295847 7.01094486 5.8350033 6.32619530
10114 8.35935290 7.94737852 8.15218791 9.0302487 8.10406175
101154753 0.95628348 0.30487866 0.34148501 0.2177524 -0.05197669
10116 8.02435161 7.94892454 7.96463915 6.8964828 7.31275670
10117 0.05788737 1.02095771 1.40229684 2.8671356 0.57324235
1012 6.07240898 6.37984454 6.49892512 6.7348475 6.88155411
10121 5.74963267 5.80098463 6.08477070 5.5650652 6.24889485
10123 4.85405781 4.51958207 5.41115078 5.9573215 5.18126091
DMSO_24_C3 LPS_24_C3 TNFa_24_C3 H2O_24_C3 BPA_24_C3 PFOA_24_C3
100 2.60150296 1.63577771 2.0534609 0.5109200 2.62025401 2.3233325
1000 11.24149521 11.31790461 11.3171949 11.3061837 11.32723515 11.2435452
10000 5.39796961 5.75652521 5.5569462 5.6705163 5.60965622 5.6205518
10001 4.41954890 4.16347432 4.3998115 4.3534026 3.98422859 4.2246105
10003 3.74884470 2.97222156 3.5969635 4.0449837 3.59740513 3.5813779
100037417 -1.17995959 -1.17995959 -1.1799596 -1.1799596 -1.17995959 -1.1799596
100049716 3.47441255 3.02568088 2.5212649 3.1106951 3.15025467 2.4555544
10005 3.82983172 3.61953991 3.9583699 3.3613910 3.37392137 3.9385497
10006 6.34290132 6.56447902 6.6900180 6.6781755 6.61412635 6.5303210
10007 4.74598525 4.82212844 4.8869670 4.8232338 4.62988586 5.0172941
10009 5.50047943 5.56217363 5.3286758 5.1900816 5.51105172 5.3671170
100093630 6.49342937 6.31893987 6.5744377 6.2636708 6.30110462 6.4923369
1001 4.52058889 4.48306381 5.4296911 4.8885650 4.47752717 4.9627795
10010 5.63614085 5.37917494 5.6887797 5.2658004 5.36234080 5.6553445
100101267 2.04563778 1.49124116 2.5863628 2.4220547 1.77359278 1.8334012
100101467 4.99455894 4.64555913 4.6486946 4.9662766 4.65851775 4.8945207
10011 7.08431040 6.65632070 7.0254588 6.7101508 6.67144357 6.7840549
100113386 0.28405821 -1.17995959 -0.0419923 1.6155496 1.27886712 1.2405219
100113397 0.03358485 0.70162498 0.3060138 0.8096807 0.75023235 1.6245190
100113407 4.48352319 3.39418807 3.8298529 4.0733583 4.58584354 3.6100392
100125288 2.64691112 2.19810589 1.4988296 2.5885809 2.36625878 1.8334012
100127983 2.23595552 1.49124116 2.5863628 1.6155496 2.14130309 2.3233325
100128006 3.42313351 3.12700026 3.2403897 2.4220547 3.10935770 2.9348749
100128016 0.28405821 -1.17995959 1.4988296 2.0171658 0.94875309 0.7157058
100128025 0.28405821 0.70162498 -0.0419923 1.2681669 0.51996830 0.2165075
100128054 0.84783949 1.76714337 2.1427336 2.2337677 1.66489399 1.2405219
100128071 -0.26970437 -0.43907615 -0.0419923 0.5109200 -1.17995959 0.4875912
100128191 1.82634265 0.70162498 0.3060138 1.0570609 0.24584096 1.7327373
100128252 1.82634265 2.10182551 0.5861753 0.5109200 1.27886712 0.9126276
100128379 1.46994728 1.63577771 0.5861753 1.6155496 2.22025050 2.0990649
100128398 4.80726652 5.20473719 4.9501614 5.2534534 4.80657672 4.6123416
100128494 2.60150296 3.02568088 2.1427336 2.6651499 2.05778415 2.5766691
100128569 2.35017800 2.28836087 1.3567969 1.8953076 1.54733313 2.3233325
100128640 -0.65420242 1.49124116 -1.1799596 0.1336867 -0.53636953 -0.1175793
100128682 0.99556876 -1.17995959 -1.1799596 -1.1799596 -0.53636953 0.4875912
100128731 6.41685459 5.91366581 6.2011300 5.7605193 6.11220252 6.0288163
100128766 3.42313351 2.60169165 2.8208374 2.6651499 3.50583029 2.5766691
100128782 3.00176872 1.63577771 2.0534609 2.2337677 2.83615502 2.3233325
100128822 -1.17995959 -1.17995959 -1.1799596 -1.1799596 -1.17995959 -1.1799596
100128833 2.35017800 2.60169165 2.2268027 2.0171658 2.43407126 2.2523809
100128881 2.45601684 1.63577771 1.6281240 2.1295279 2.67733304 3.0227706
100128893 6.54830588 6.05535918 6.0592897 6.0375246 6.62504822 6.4374210
100129001 0.99556876 1.33059533 1.6281240 1.0570609 0.75023235 1.7327373
100129013 0.03358485 1.33059533 1.4988296 0.1336867 -0.53636953 0.4875912
100129029 0.03358485 1.14979357 0.5861753 -1.1799596 -0.09288813 1.0858702
100129060 3.57180667 3.35295347 3.2403897 3.7255334 3.22872678 3.0647885
100129075 3.34262655 2.73605614 2.9746481 3.7255334 3.37392137 2.7411782
100129195 2.69093358 2.45351591 3.0224782 1.4522887 2.05778415 2.2523809
100129203 0.99556876 -1.17995959 0.5861753 1.2681669 1.66489399 0.9126276
100129250 1.36516333 2.28836087 2.1427336 1.2681669 2.56082333 2.2523809
100129259 1.36516333 1.33059533 0.5861753 0.5109200 1.41933587 2.0990649
100129361 6.10331880 5.70009659 5.8891251 5.3837852 5.52666726 5.8660631
100129398 0.28405821 1.14979357 1.4988296 1.6155496 0.75023235 1.7327373
100129434 -0.26970437 -1.17995959 -1.1799596 -1.1799596 0.24584096 -1.1799596
100129461 0.68323902 0.04802649 0.3060138 1.2681669 1.66489399 1.6245190
100129484 2.29419688 0.70162498 1.9582975 2.0171658 1.12323157 1.3801889
100129550 5.32999333 5.13347256 4.8998293 5.0255659 4.99797611 4.9403835
100129583 -1.17995959 -1.17995959 -1.1799596 0.1336867 -0.09288813 -1.1799596
100129662 0.68323902 -0.43907615 1.0223396 0.8096807 -0.53636953 -1.1799596
100129707 1.12956609 0.41152675 0.5861753 1.4522887 1.77359278 1.3801889
100129716 1.36516333 1.76714337 1.6281240 1.7621991 1.41933587 1.9274972
100129726 1.36516333 0.70162498 1.1992387 1.7621991 1.41933587 1.3801889
100129774 4.35260560 4.01276881 3.8826413 3.8290062 4.05054192 3.9157713
100129781 0.28405821 1.14979357 1.0223396 0.5109200 1.66489399 1.2405219
100129792 0.49741102 -1.17995959 -0.5015688 0.8096807 1.12323157 0.2165075
100129794 2.73365242 2.73605614 3.1136289 3.3146162 1.96913149 3.0647885
100129842 0.03358485 1.14979357 1.6281240 1.4522887 1.27886712 1.3801889
100129917 2.55461902 2.19810589 2.0534609 3.0548696 1.66489399 1.6245190
100129924 2.29419688 0.70162498 2.4530902 2.5885809 2.36625878 1.5075202
100129940 0.68323902 1.49124116 1.1992387 0.8096807 1.12323157 0.9126276
100129995 -1.17995959 0.04802649 -0.0419923 0.1336867 -0.09288813 -1.1799596
10013 6.15923270 5.92777611 6.4705018 5.9407361 5.74930517 5.9070619
100130111 -0.65420242 -1.17995959 1.3567969 0.1336867 0.51996830 1.0858702
100130197 0.03358485 -0.43907615 0.8206781 -0.3785154 -0.53636953 0.2165075
100130335 3.52393132 2.85896592 2.7083584 2.5077191 2.78513266 3.7453802
100130348 3.34262655 2.37330041 3.2403897 3.6893249 3.33896954 3.3289434
100130357 0.49741102 1.14979357 0.5861753 2.4220547 0.75023235 -1.1799596
100130466 3.10299439 3.07722983 3.1993613 2.4220547 3.15025467 2.3909577
100130476 0.03358485 0.04802649 -1.1799596 0.8096807 -1.17995959 -1.1799596
100130522 0.28405821 0.94304252 0.3060138 1.8953076 0.94875309 0.2165075
100130550 0.99556876 0.70162498 0.8206781 0.5109200 0.51996830 0.4875912
100130564 3.03630581 3.12700026 2.5212649 3.1106951 3.15025467 3.3963121
100130581 3.10299439 2.10182551 2.3815335 2.4220547 2.05778415 2.3233325
100130691 2.85470636 2.85896592 2.0534609 2.8070791 2.67733304 2.4555544
100130705 1.90320483 1.49124116 2.5863628 1.8953076 0.94875309 2.5766691
100130748 1.36516333 0.70162498 0.8206781 0.8096807 1.12323157 0.4875912
100130750 -0.26970437 -1.17995959 -0.0419923 0.5109200 -1.17995959 -1.1799596
100130855 1.90320483 2.19810589 1.6281240 2.1295279 1.77359278 1.7327373
100130958 0.49741102 -0.43907615 1.0223396 -0.3785154 0.24584096 0.4875912
100131017 -1.17995959 -1.17995959 -1.1799596 -1.1799596 -1.17995959 -1.1799596
100131031 2.45601684 2.79881954 3.1136289 3.3613910 2.78513266 3.0227706
100131033 1.74515392 1.99865732 1.8564108 2.6651499 0.94875309 1.5075202
100131067 2.64691112 2.52950530 1.9582975 1.8953076 2.49883887 1.7327373
100131089 1.36516333 2.19810589 1.1992387 2.1295279 2.14130309 1.2405219
100131094 0.28405821 -0.43907615 -0.5015688 1.0570609 -0.09288813 -1.1799596
100131138 4.08208121 3.81440057 4.1427974 3.6893249 3.86644733 3.8451956
100131187 1.12956609 1.33059533 2.3815335 1.6155496 2.49883887 1.8334012
100131193 1.56763332 1.14979357 1.6281240 1.6155496 1.77359278 0.7157058
100131211 3.97932359 3.39418807 3.1571319 3.7255334 3.91471970 3.4918104
100131213 -1.17995959 0.04802649 -1.1799596 -0.3785154 -1.17995959 -1.1799596
100131471 2.11190611 2.10182551 2.3815335 1.7621991 2.97921376 1.3801889
100131656 2.77514263 3.26677076 2.8739507 3.0548696 2.56082333 2.6336154
100131685 1.36516333 1.99865732 1.1992387 2.0171658 0.94875309 2.0990649
100131691 1.90320483 1.99865732 2.3062415 1.4522887 3.19002420 2.8412748
100131740 1.25216861 1.14979357 1.0223396 -0.3785154 1.27886712 1.3801889
100131801 3.22778013 3.39418807 3.4296650 3.3613910 2.97921376 3.6657082
100131827 1.65912234 1.76714337 1.1992387 1.6155496 0.51996830 1.3801889
100131828 -0.26970437 0.04802649 -0.0419923 -0.3785154 0.75023235 -0.5531120
100131940 0.49741102 0.04802649 0.5861753 1.0570609 1.12323157 1.0858702
100132074 -1.17995959 -0.43907615 -1.1799596 -1.1799596 -1.17995959 -0.1175793
100132086 1.12956609 0.04802649 0.3060138 0.1336867 0.51996830 0.9126276
100132116 6.74905205 6.78203170 6.2471504 6.8561119 6.79264261 6.9861654
100132126 0.84783949 0.70162498 1.3567969 0.8096807 0.24584096 0.2165075
100132215 1.36516333 1.88753935 1.7467781 1.4522887 1.77359278 2.5173824
100132537 0.49741102 0.94304252 1.0223396 1.0570609 -0.09288813 -0.5531120
100132609 0.28405821 0.70162498 -1.1799596 0.5109200 1.27886712 1.3801889
100132659 0.03358485 0.04802649 0.8206781 0.8096807 0.51996830 -0.1175793
100132891 -0.26970437 0.04802649 -0.5015688 -1.1799596 -1.17995959 -1.1799596
100132972 0.68323902 1.14979357 1.1992387 2.3309807 0.94875309 1.2405219
100133234 0.68323902 0.94304252 0.5861753 0.8096807 2.36625878 0.2165075
100133286 0.68323902 0.04802649 1.0223396 1.0570609 0.75023235 -0.1175793
100133315 1.12956609 0.70162498 0.8206781 -0.3785154 0.51996830 0.9126276
100134934 1.56763332 1.33059533 2.5212649 0.1336867 1.54733313 1.2405219
10014 6.65772438 6.43709549 6.6061757 6.4751642 6.70271116 6.6524622
100144603 2.85470636 2.91670482 2.3815335 1.7621991 2.62025401 2.8412748
100144748 2.29419688 1.14979357 1.8564108 1.2681669 0.94875309 1.2405219
10015 7.67114615 7.60787007 7.8146764 7.8118625 7.63268308 7.6371607
10016 5.16030699 4.59340148 5.5969868 5.0964073 4.95245380 5.1598103
100170229 -0.26970437 0.94304252 -0.0419923 1.0570609 0.75023235 0.9126276
100170841 4.16245318 3.58434179 3.9827545 3.2162556 3.93826340 3.9157713
10018 4.14673300 3.81440057 4.1427974 3.7953332 4.32512888 3.9609739
100188847 0.99556876 1.49124116 2.3815335 1.6155496 1.77359278 1.7327373
10019 3.44900085 3.72025765 4.1642774 3.9255518 3.53700558 3.2940414
100190938 1.36516333 1.49124116 1.3567969 0.8096807 1.41933587 1.8334012
1002 3.00176872 2.19810589 1.8564108 2.3309807 3.19002420 2.4555544
10020 3.74884470 3.72025765 2.9746481 3.4066967 3.53700558 3.9157713
10021 8.07471145 8.26373417 7.8987728 8.0695027 8.08828278 8.0373979
10023 2.11190611 0.70162498 1.9582975 0.8096807 0.94875309 1.3801889
10024 4.47095327 3.98604646 4.0988534 4.1552800 3.93826340 4.1288266
10026 6.92754838 6.78591002 6.5784433 7.0144922 6.84028383 6.8456077
100268168 0.68323902 -1.17995959 1.4988296 -0.3785154 -0.53636953 0.4875912
100270804 2.64691112 2.45351591 1.6281240 2.3309807 2.83615502 2.0990649
100270827 0.03358485 -0.43907615 1.1992387 1.0570609 0.75023235 -1.1799596
100270840 3.49938438 2.52950530 3.3937445 3.1106951 2.73223948 2.7920944
100270854 2.50616015 2.79881954 2.6486497 1.7621991 2.29510095 2.1777586
100270865 3.74884470 3.02568088 4.0763690 2.9362878 3.59740513 3.1839639
100271271 3.34262655 2.79881954 3.5969635 2.5885809 3.19002420 2.9794920
100271332 2.45601684 2.19810589 3.1571319 2.5077191 1.87467245 2.0990649
100271415 2.23595552 2.85896592 1.6281240 2.1295279 1.12323157 2.3233325
100271479 -0.26970437 0.04802649 0.5861753 -0.3785154 0.94875309 0.2165075
100271884 0.28405821 -1.17995959 0.8206781 1.2681669 0.75023235 -0.1175793
100272147 3.03630581 2.79881954 3.0687733 3.5749051 3.15025467 2.1777586
100286844 2.04563778 2.79881954 2.3815335 2.1295279 2.36625878 2.2523809
100287015 0.28405821 -1.17995959 -0.0419923 -1.1799596 -1.17995959 0.4875912
100287049 0.03358485 1.76714337 0.5861753 1.0570609 0.94875309 0.2165075
100287074 2.29419688 2.10182551 2.1427336 2.8070791 1.77359278 2.1777586
100287616 0.84783949 2.73605614 2.3815335 2.5885809 2.36625878 2.6336154
100287722 1.90320483 0.04802649 1.3567969 2.5077191 2.14130309 2.0990649
100287808 1.56763332 0.94304252 -1.1799596 0.1336867 0.51996830 0.4875912
100287837 -0.26970437 -1.17995959 -1.1799596 -1.1799596 -1.17995959 -1.1799596
100287896 3.94337762 3.22166859 3.6887579 4.2074192 3.71110966 3.5222883
100287902 0.28405821 -0.43907615 -0.0419923 -0.3785154 0.51996830 -0.5531120
100287928 3.66303960 3.72025765 3.4989292 3.7608554 3.73818873 3.2940414
100287932 5.90733896 5.84096687 5.7680822 5.6039973 5.66714782 5.5184167
100288001 2.45601684 2.19810589 2.4530902 2.2337677 1.96913149 2.0990649
100288073 4.03161709 4.25585332 4.1209927 4.3300749 4.39485580 3.9609739
100288123 1.82634265 0.94304252 1.0223396 1.0570609 1.27886712 0.9126276
100288198 3.22778013 3.31050556 3.0687733 3.6140620 3.50583029 3.6657082
100288241 1.12956609 1.14979357 1.6281240 1.0570609 0.75023235 0.7157058
100288413 2.50616015 1.99865732 3.7181024 3.4506228 2.97921376 2.8888338
100288513 -1.17995959 0.04802649 -1.1799596 -1.1799596 -1.17995959 0.2165075
100288842 1.65912234 0.70162498 2.3815335 1.2681669 1.66489399 2.0990649
100289061 0.68323902 0.70162498 0.8206781 -0.3785154 0.51996830 1.2405219
100289095 0.68323902 0.04802649 1.0223396 1.8953076 0.24584096 0.4875912
100289133 1.56763332 0.04802649 1.0223396 0.5109200 1.27886712 0.7157058
100289178 2.77514263 2.85896592 3.3191038 2.4220547 2.67733304 2.8888338
100289211 1.12956609 1.33059533 2.0534609 1.6155496 1.96913149 2.0158300
100289259 1.36516333 0.41152675 1.0223396 -1.1799596 1.54733313 0.2165075
100289274 3.68497404 3.58434179 3.8564885 3.7953332 3.73818873 3.5222883
100289341 1.36516333 1.49124116 0.8206781 1.2681669 1.41933587 1.6245190
100289373 -0.65420242 0.04802649 -0.0419923 -1.1799596 -1.17995959 -1.1799596
100289388 2.17526369 1.63577771 1.9582975 3.1644406 2.97921376 2.6336154
100289414 0.49741102 -0.43907615 -0.0419923 -1.1799596 0.51996830 1.2405219
100289635 5.65293125 5.78780610 5.8761666 5.9936583 5.76913374 5.7803954
100289640 1.82634265 2.19810589 1.1992387 3.4506228 1.87467245 2.5173824
100289678 1.25216861 2.60169165 1.6281240 2.7378592 2.49883887 2.0990649
100293516 4.86605048 4.59340148 4.3998115 4.7193309 4.49350780 4.6404002
100294362 1.46994728 2.37330041 1.4988296 2.2337677 1.77359278 2.2523809
1003 0.68323902 2.37330041 2.3815335 -1.1799596 0.94875309 1.2405219
100302692 2.29419688 2.67043757 2.5212649 2.6651499 2.43407126 1.5075202
100302736 1.25216861 0.04802649 1.4988296 1.6155496 1.12323157 1.3801889
100303728 3.82983172 3.47328160 3.1571319 2.9967967 3.33896954 2.7920944
100303755 0.84783949 1.49124116 2.2268027 1.4522887 1.12323157 1.6245190
100312828 0.49741102 1.33059533 0.5861753 -0.3785154 1.12323157 0.9126276
100312850 0.28405821 -1.17995959 -0.0419923 0.1336867 -0.09288813 -1.1799596
10036 5.11255087 4.82212844 5.0107035 4.6829644 5.05293055 4.8828235
100379345 3.00176872 3.22166859 3.2802835 3.6140620 2.83615502 2.4555544
10038 5.96225758 5.82597691 5.5157625 5.8857984 5.71563966 5.7991858
100381270 -0.65420242 -1.17995959 -0.0419923 0.1336867 0.24584096 -0.5531120
10039 6.11951654 6.13657481 6.3724020 5.8369843 6.04872566 6.3208897
1004 7.62224955 8.10048403 8.1682891 7.7842338 7.87610947 7.9795391
10040 3.96146256 4.23330718 3.6282151 3.9563494 4.02877440 3.6100392
100418710 1.25216861 1.88753935 1.8564108 0.8096807 1.77359278 1.0858702
100418735 3.47441255 3.43427679 3.0687733 3.8290062 3.10935770 3.2940414
100418744 0.49741102 -0.43907615 -0.0419923 0.5109200 0.51996830 -0.5531120
100418770 1.82634265 1.99865732 1.8564108 2.0171658 1.41933587 1.3801889
100418781 -0.65420242 1.49124116 1.1992387 1.2681669 0.24584096 1.3801889
100418819 0.99556876 1.14979357 1.7467781 1.4522887 0.75023235 1.2405219
100418829 1.25216861 2.37330041 1.8564108 1.0570609 1.54733313 2.0990649
100418888 0.99556876 2.19810589 0.8206781 0.8096807 1.27886712 0.7157058
100418889 2.60150296 1.49124116 2.0534609 2.5885809 2.05778415 2.5173824
100418910 0.99556876 0.70162498 1.1992387 0.8096807 1.12323157 1.2405219
100418919 2.64691112 1.88753935 3.1571319 1.8953076 2.36625878 2.1777586
100419028 1.90320483 1.88753935 0.5861753 2.0171658 1.12323157 0.4875912
100419185 2.04563778 0.94304252 1.7467781 2.0171658 0.51996830 1.7327373
100419416 0.03358485 0.70162498 0.5861753 1.2681669 0.51996830 -0.1175793
100419515 0.99556876 1.33059533 -0.0419923 2.0171658 0.24584096 1.6245190
100419645 0.99556876 -0.43907615 0.8206781 1.2681669 0.94875309 -0.1175793
100419758 1.46994728 0.70162498 1.4988296 2.2337677 1.27886712 0.7157058
100419928 2.40406777 1.33059533 1.9582975 1.0570609 2.22025050 1.9274972
10042 5.56103597 5.32689383 5.3937713 5.4502060 5.50318011 5.4166317
100420028 -1.17995959 0.04802649 -1.1799596 0.1336867 -0.09288813 -1.1799596
100420050 1.36516333 0.70162498 0.3060138 -1.1799596 0.24584096 0.4875912
100420110 3.19758091 2.45351591 3.3569068 2.8070791 2.62025401 3.2215973
100420187 1.97617834 1.88753935 -0.5015688 -0.3785154 1.12323157 0.7157058
100420259 3.19758091 3.90277473 3.2403897 3.7608554 3.53700558 3.9157713
100420307 -0.26970437 0.41152675 0.8206781 -1.1799596 1.54733313 -1.1799596
100420341 5.43726927 5.39956819 5.0801519 5.0255659 5.43861152 4.9516250
100420423 1.12956609 1.49124116 1.9582975 -0.3785154 0.24584096 -0.5531120
100420591 0.28405821 1.49124116 1.1992387 1.4522887 1.87467245 1.3801889
100420707 2.85470636 2.45351591 3.1993613 3.3146162 3.06726748 3.1839639
100420752 0.68323902 1.76714337 2.3062415 2.0171658 1.54733313 1.0858702
100420869 4.63768439 4.82212844 4.2268629 4.6829644 4.52494760 4.9848332
100420981 5.70216089 5.86316377 6.2114844 5.5745227 5.87662148 5.6415280
100421093 3.66303960 3.75232608 3.5650199 3.4066967 2.88543439 3.2582740
100421109 1.12956609 -0.43907615 0.3060138 0.8096807 0.75023235 -0.5531120
100421160 0.03358485 0.41152675 1.0223396 0.5109200 0.24584096 0.7157058
100421175 0.84783949 1.33059533 1.0223396 2.1295279 1.27886712 1.7327373
100421246 1.12956609 2.10182551 1.3567969 -0.3785154 0.75023235 1.0858702
100421311 1.97617834 2.45351591 2.3062415 1.4522887 2.43407126 2.9348749
100421372 1.25216861 1.14979357 1.4988296 1.0570609 1.54733313 0.7157058
100421400 2.81547291 2.19810589 3.1571319 2.5885809 2.36625878 2.0990649
100421415 1.25216861 1.99865732 0.3060138 1.2681669 1.27886712 1.0858702
100421429 0.03358485 1.88753935 0.3060138 1.0570609 -0.09288813 0.7157058
100421465 1.74515392 2.45351591 2.3062415 2.2337677 2.36625878 2.2523809
100421468 1.74515392 0.94304252 1.8564108 1.2681669 1.77359278 1.0858702
100421506 -1.17995959 0.04802649 -1.1799596 -1.1799596 0.94875309 0.9126276
100421569 -1.17995959 0.04802649 0.3060138 0.8096807 0.51996830 -1.1799596
100421595 0.99556876 0.04802649 -0.0419923 -1.1799596 1.12323157 0.9126276
100421794 3.03630581 3.39418807 3.3937445 3.5346556 2.83615502 3.2215973
100422106 2.04563778 2.19810589 1.6281240 1.8953076 0.94875309 2.0990649
100422338 2.17526369 2.73605614 2.2268027 1.2681669 2.83615502 2.1777586
100422546 0.28405821 -1.17995959 -1.1799596 1.2681669 -0.53636953 0.2165075
100422561 3.86868181 3.84446415 3.9827545 3.8290062 3.68351258 3.7193087
10043 5.64735613 5.21627975 5.2605039 5.1770662 5.37101719 5.6893178
10044 1.56763332 1.76714337 -1.1799596 0.8096807 2.29510095 1.5075202
10045 0.84783949 -0.43907615 0.8206781 1.7621991 0.24584096 1.5075202
10046 0.28405821 2.28836087 2.0534609 0.1336867 -0.53636953 1.2405219
10048 6.62689486 6.32428339 6.4178213 6.6264513 6.44364334 6.2360895
10049 5.47552671 5.22773069 5.2200516 5.1506778 5.40521019 5.4084963
100499177 3.47441255 3.39418807 4.0303209 4.1011856 3.50583029 3.3289434
100499483 1.36516333 -1.17995959 1.3567969 1.2681669 1.12323157 0.4875912
1005 0.28405821 0.70162498 1.0223396 0.1336867 1.27886712 1.7327373
100500719 1.12956609 0.04802649 1.3567969 -1.1799596 0.94875309 0.4875912
100505385 2.11190611 2.45351591 2.3815335 1.8953076 2.43407126 2.8412748
100505501 1.12956609 0.41152675 -1.1799596 1.6155496 1.87467245 0.4875912
100505538 0.99556876 1.14979357 1.0223396 2.0171658 1.96913149 1.2405219
100505549 -1.17995959 0.94304252 -1.1799596 -1.1799596 -0.09288813 -1.1799596
100505573 6.59249382 6.20189587 6.4043450 6.4374580 6.62504822 6.5303210
100505576 3.22778013 2.85896592 3.3937445 2.4220547 3.59740513 3.7453802
100505616 0.84783949 -1.17995959 -1.1799596 -1.1799596 -0.09288813 -1.1799596
100505624 2.04563778 1.76714337 0.3060138 1.0570609 1.12323157 1.5075202
100505635 -0.26970437 -1.17995959 -1.1799596 -1.1799596 0.24584096 0.2165075
100505641 2.04563778 1.76714337 2.4530902 2.5077191 2.29510095 2.2523809
100505648 3.86868181 3.43427679 3.8564885 3.6893249 3.33896954 3.7453802
100505678 3.03630581 3.39418807 3.2403897 3.4932510 2.73223948 2.7920944
100505696 3.81000718 3.78369716 3.5650199 3.9865033 4.11394064 4.0473400
100505715 0.99556876 0.04802649 0.3060138 0.1336867 0.24584096 0.7157058
100505738 -1.17995959 -1.17995959 -0.0419923 -1.1799596 -1.17995959 -0.5531120
100505741 0.84783949 1.63577771 1.6281240 1.4522887 0.75023235 1.5075202
100505758 4.04863535 3.07722983 3.3569068 3.5346556 3.26641818 3.2582740
100505761 3.59516146 3.78369716 3.5323530 4.0160398 3.56752141 4.1679065
100505771 3.70657997 4.21040310 4.0067337 3.5346556 4.00667342 3.7709889
100505783 0.03358485 0.04802649 -0.0419923 -1.1799596 -1.17995959 -1.1799596
100505806 3.49938438 3.47328160 3.0224782 2.7378592 3.84169161 3.1839639
100505812 0.49741102 1.14979357 -0.0419923 -1.1799596 0.51996830 -1.1799596
100505832 1.36516333 0.94304252 -1.1799596 1.7621991 1.12323157 1.2405219
100505854 0.84783949 0.04802649 1.1992387 1.2681669 0.51996830 -0.5531120
100505876 6.27221436 6.00300835 5.9583880 5.9862158 6.27360456 5.9012758
100505894 2.73365242 3.26677076 2.5212649 2.5885809 2.43407126 1.6245190
100505933 1.25216861 -0.43907615 1.4988296 -1.1799596 1.12323157 2.0158300
100505994 0.49741102 0.41152675 1.6281240 0.8096807 0.51996830 1.0858702
100506020 1.56763332 -0.43907615 0.5861753 0.5109200 -0.09288813 1.7327373
100506033 4.92253271 4.79159080 4.6638546 4.6829644 5.17686207 4.7730485
100506054 0.49741102 -0.43907615 0.5861753 -1.1799596 -0.09288813 -0.1175793
100506068 0.03358485 0.04802649 -0.5015688 0.5109200 -0.09288813 -1.1799596
100506070 1.46994728 -0.43907615 1.3567969 -1.1799596 2.43407126 1.9274972
100506083 0.84783949 0.70162498 1.0223396 -1.1799596 0.24584096 0.9126276
100506100 0.49741102 0.70162498 -0.5015688 -1.1799596 1.54733313 0.9126276
100506119 -0.26970437 0.04802649 0.5861753 0.5109200 -0.53636953 -1.1799596
100506127 2.55461902 2.73605614 2.4530902 2.8070791 2.43407126 2.0990649
100506142 0.28405821 0.04802649 1.4988296 1.4522887 0.75023235 0.7157058
100506144 0.68323902 0.94304252 0.3060138 0.8096807 0.51996830 -0.1175793
100506161 1.65912234 1.63577771 1.3567969 1.4522887 0.51996830 1.2405219
100506211 5.03781509 4.57558798 5.8095685 5.1101675 4.17467021 5.0490408
100506235 0.84783949 1.88753935 1.3567969 1.7621991 0.75023235 0.7157058
100506258 0.68323902 1.76714337 1.8564108 2.1295279 2.05778415 1.7327373
100506282 3.25736015 3.43427679 3.3569068 2.4220547 3.06726748 2.9348749
100506286 1.12956609 1.14979357 0.5861753 0.8096807 -0.09288813 -0.1175793
100506302 2.73365242 1.99865732 2.0534609 1.2681669 1.27886712 2.7411782
100506321 0.99556876 0.94304252 -1.1799596 -0.3785154 0.24584096 0.4875912
100506325 0.49741102 0.94304252 0.8206781 -0.3785154 0.51996830 1.5075202
100506343 0.68323902 -1.17995959 -0.5015688 1.2681669 0.24584096 0.4875912
100506365 5.78065174 5.76440925 5.5569462 5.4716837 5.23505148 5.6553445
100506368 0.28405821 0.41152675 0.5861753 0.1336867 -0.09288813 0.4875912
100506380 3.25736015 2.79881954 2.7083584 3.1644406 3.37392137 3.1453224
100506392 4.52058889 4.95207192 5.1355764 5.0255659 4.64427283 4.8350627
100506394 2.04563778 1.49124116 0.8206781 0.5109200 -0.09288813 0.4875912
100506411 1.97617834 1.76714337 1.4988296 0.8096807 1.77359278 2.1777586
100506433 3.07003540 1.76714337 3.3569068 3.7255334 2.67733304 2.4555544
100506462 0.99556876 -1.17995959 0.3060138 0.5109200 -1.17995959 0.2165075
100506469 3.74884470 3.26677076 3.9583699 4.0160398 3.50583029 3.7961509
100506495 1.25216861 0.41152675 0.8206781 1.2681669 1.87467245 0.2165075
100506504 2.04563778 1.63577771 2.0534609 2.0171658 1.96913149 2.3909577
100506540 1.97617834 1.88753935 2.1427336 1.7621991 1.54733313 1.7327373
100506581 3.47441255 2.97222156 2.6486497 1.8953076 3.50583029 3.3630209
100506606 0.03358485 0.04802649 -0.0419923 -1.1799596 -0.53636953 0.2165075
100506658 1.65912234 1.14979357 0.8206781 1.2681669 0.94875309 0.9126276
100506668 2.11190611 2.37330041 2.7083584 2.7378592 2.93308593 3.2582740
100506686 2.64691112 0.94304252 1.3567969 1.7621991 1.77359278 2.5766691
100506691 0.03358485 0.41152675 0.3060138 0.5109200 -0.09288813 0.2165075
100506696 0.28405821 0.94304252 -1.1799596 -0.3785154 -0.09288813 -0.1175793
100506697 0.03358485 -1.17995959 -0.0419923 -1.1799596 -0.53636953 0.2165075
100506710 5.29476512 5.21627975 5.2605039 5.4716837 5.23505148 5.1402927
100506713 0.28405821 0.04802649 -0.0419923 0.1336867 -0.53636953 0.4875912
100506725 5.13662652 5.47837521 5.2097587 5.4173778 5.40521019 5.4723295
100506731 1.25216861 0.41152675 0.5861753 0.8096807 -0.09288813 1.5075202
100506757 1.97617834 -1.17995959 2.4530902 2.3309807 1.87467245 2.0158300
100506779 0.03358485 0.04802649 -0.5015688 0.1336867 0.24584096 -0.5531120
100506804 -0.26970437 0.94304252 1.0223396 -0.3785154 0.51996830 0.4875912
100506826 3.07003540 2.19810589 2.2268027 2.5077191 2.22025050 2.3233325
100506844 3.34262655 3.12700026 3.1993613 3.2662740 2.49883887 3.5222883
100506866 6.83983746 6.91547302 6.9094107 7.2718166 6.90742946 6.7809072
100506881 1.36516333 0.04802649 1.4988296 2.2337677 1.41933587 2.0990649
100506885 0.49741102 -1.17995959 -0.0419923 0.1336867 0.51996830 0.4875912
100506911 -0.65420242 0.41152675 0.8206781 1.0570609 -0.09288813 0.7157058
100506922 0.84783949 0.94304252 0.5861753 0.1336867 0.24584096 0.7157058
100506930 0.28405821 -1.17995959 -0.0419923 0.5109200 -1.17995959 0.2165075
100506994 1.12956609 0.41152675 0.3060138 0.8096807 1.41933587 0.2165075
100507003 0.28405821 -1.17995959 -1.1799596 0.1336867 -0.53636953 -1.1799596
100507032 -1.17995959 -1.17995959 -1.1799596 -1.1799596 -1.17995959 -1.1799596
100507034 2.96638451 2.91670482 2.5212649 3.0548696 3.37392137 3.2215973
100507050 0.28405821 -1.17995959 0.5861753 0.1336867 -1.17995959 -0.1175793
100507053 -1.17995959 0.04802649 -0.0419923 0.1336867 -1.17995959 -0.1175793
100507057 -0.65420242 -1.17995959 -1.1799596 -1.1799596 -1.17995959 -1.1799596
100507062 0.28405821 0.94304252 1.6281240 1.6155496 -0.09288813 0.4875912
100507071 0.84783949 0.70162498 1.6281240 0.1336867 0.51996830 1.0858702
100507156 2.55461902 2.60169165 3.2802835 1.7621991 2.88543439 2.7411782
100507171 2.60150296 1.88753935 2.7656938 2.8070791 2.14130309 3.1453224
100507173 -0.26970437 -1.17995959 -0.0419923 0.1336867 -0.09288813 -0.5531120
100507178 0.99556876 0.94304252 1.3567969 0.8096807 -0.53636953 1.3801889
100507244 0.49741102 1.88753935 1.0223396 0.5109200 1.66489399 1.3801889
100507246 3.34262655 3.68746017 4.0303209 4.5479376 4.34287908 3.7193087
100507250 1.56763332 0.04802649 0.3060138 -0.3785154 1.27886712 0.9126276
100507254 0.49741102 0.04802649 1.0223396 0.1336867 0.94875309 1.0858702
100507266 1.65912234 0.04802649 -0.0419923 -1.1799596 0.24584096 0.7157058
100507290 4.43257272 4.50204945 4.5542289 4.4212043 4.84445196 4.8828235
100507291 1.12956609 0.41152675 -0.5015688 1.2681669 0.51996830 0.7157058
100507303 3.34262655 2.45351591 1.8564108 2.1295279 2.93308593 2.5173824
100507308 -0.26970437 0.94304252 -1.1799596 1.2681669 -0.09288813 0.4875912
100507316 1.12956609 -1.17995959 -1.1799596 -1.1799596 1.27886712 0.4875912
100507331 2.73365242 1.49124116 1.6281240 0.5109200 2.36625878 2.3233325
100507347 2.69093358 2.85896592 2.4530902 2.8070791 2.49883887 1.3801889
100507373 2.40406777 1.76714337 2.5863628 1.2681669 2.62025401 1.9274972
100507392 -0.26970437 -1.17995959 -0.5015688 -1.1799596 -0.53636953 -1.1799596
100507398 1.12956609 0.04802649 -0.0419923 0.8096807 1.87467245 1.5075202
100507401 0.84783949 0.04802649 0.3060138 -0.3785154 0.75023235 1.2405219
100507420 -1.17995959 0.04802649 -1.1799596 -1.1799596 -0.09288813 -1.1799596
100507433 2.69093358 3.02568088 3.4296650 2.5885809 2.67733304 2.5766691
100507436 0.68323902 1.14979357 0.5861753 0.1336867 0.75023235 0.9126276
100507437 0.99556876 1.99865732 1.0223396 1.2681669 2.05778415 1.8334012
100507459 1.25216861 2.37330041 1.8564108 1.6155496 1.96913149 1.2405219
100507463 0.99556876 1.33059533 1.4988296 0.5109200 -0.09288813 -0.1175793
100507487 1.74515392 2.10182551 1.4988296 1.6155496 2.43407126 2.7411782
100507495 4.66000473 4.36358344 4.5045705 4.1815851 4.50931334 3.8691065
100507516 1.65912234 0.41152675 0.8206781 1.0570609 1.96913149 0.4875912
100507551 0.68323902 0.41152675 0.3060138 1.0570609 1.12323157 0.2165075
100507557 1.82634265 1.88753935 1.9582975 -0.3785154 1.27886712 0.2165075
100507564 2.50616015 1.14979357 1.3567969 1.2681669 1.54733313 0.7157058
100507567 -1.17995959 -1.17995959 -0.0419923 0.1336867 -1.17995959 -0.5531120
100507588 0.68323902 1.33059533 0.8206781 -1.1799596 -1.17995959 0.7157058
100507599 1.25216861 0.04802649 -0.0419923 0.8096807 0.51996830 1.5075202
100507602 5.08806660 4.82212844 4.8343396 4.9044458 4.76768025 4.5545322
100508120 1.74515392 0.70162498 2.0534609 1.2681669 1.41933587 1.9274972
10051 7.18201914 7.14719721 7.0942172 7.0962741 7.16609404 7.1944964
10052 2.64691112 2.19810589 2.1427336 1.6155496 2.49883887 2.7411782
100526737 2.11190611 2.10182551 2.2268027 2.4220547 1.41933587 1.8334012
100526760 1.97617834 1.99865732 2.2268027 1.6155496 1.96913149 2.6336154
100526820 1.46994728 1.88753935 -1.1799596 2.0171658 0.51996830 1.5075202
100526835 5.13662652 5.08392879 5.3569343 5.3493917 5.16693150 5.3417075
100527978 0.49741102 0.70162498 0.5861753 0.1336867 0.75023235 -0.1175793
100529145 2.17526369 0.94304252 2.2268027 0.8096807 0.94875309 1.7327373
100529215 0.49741102 -0.43907615 0.3060138 0.8096807 0.94875309 0.4875912
100532746 3.99696621 3.51125958 3.6588041 4.1284864 4.28895955 3.9385497
100533106 0.68323902 0.94304252 1.1992387 0.5109200 1.12323157 -0.1175793
100533182 1.12956609 0.94304252 1.4988296 1.6155496 0.24584096 -0.1175793
100533619 0.28405821 0.04802649 -0.0419923 1.4522887 0.51996830 1.3801889
100533629 1.46994728 0.04802649 -0.0419923 0.8096807 1.41933587 0.7157058
100533695 0.03358485 0.04802649 0.5861753 0.1336867 -0.09288813 0.4875912
100533970 1.36516333 1.14979357 1.0223396 1.7621991 1.96913149 1.6245190
100534593 2.29419688 1.88753935 2.4530902 2.5077191 2.36625878 2.0158300
10054 6.18254796 5.98961834 5.9522270 5.9017095 6.27822446 6.2498148
10056 6.10331880 6.34546174 6.1099818 6.3120989 6.13784849 6.0020332
10057 7.89701276 7.72562238 7.7468882 7.9368063 7.84530711 7.7167347
10058 6.39705854 6.16067150 6.6638657 6.4374580 6.37628993 6.4009809
10059 7.53134330 7.47484873 7.4883549 7.6208242 7.46855907 7.4457181
1006 1.46994728 1.14979357 1.3567969 0.8096807 0.75023235 -0.1175793
10060 4.64888773 5.01950624 4.4355830 5.0109705 4.86916076 5.0903113
100616256 0.28405821 0.41152675 -0.0419923 0.5109200 -0.09288813 0.4875912
10062 0.68323902 1.49124116 1.0223396 1.0570609 1.27886712 0.9126276
10063 4.79723204 4.40451958 4.6937048 4.6644315 4.75447818 4.8591407
100652739 0.84783949 1.14979357 0.3060138 0.1336867 0.75023235 0.7157058
100652758 2.04563778 1.76714337 1.6281240 0.5109200 2.43407126 1.9274972
100652846 2.93011059 3.26677076 3.1136289 3.2662740 3.15025467 2.8888338
10066 6.87126605 6.65207735 6.7047521 7.0398767 6.90145282 6.9501887
10067 6.39705854 6.09341218 6.0419886 6.2575014 6.50405326 6.4009809
10068 3.00176872 3.22166859 3.6282151 2.9967967 3.53700558 2.8888338
10069 3.44900085 3.31050556 3.5323530 3.4932510 3.30314988 3.2215973
10072 4.36624507 4.23330718 4.9252148 3.7255334 4.61535397 3.7193087
10073 3.86868181 3.87391402 3.3937445 4.2577396 3.59740513 3.5521356
10075 8.51362311 8.63662236 8.6410686 8.7302954 8.51257108 8.5014369
10076 4.71433999 4.66253423 4.8739891 4.7012622 4.42849494 4.8105759
10077 1.97617834 -1.17995959 1.8564108 1.6155496 0.51996830 -0.1175793
100775107 0.68323902 1.49124116 1.8564108 0.8096807 0.75023235 0.7157058
10078 4.54478067 4.23330718 4.3254922 4.4431148 4.50931334 4.3657530
10079 4.19338882 4.71229306 4.6486946 4.1815851 4.65851775 4.2059557
1008 2.50616015 3.12700026 3.3937445 3.4066967 3.06726748 3.0647885
10081 5.21409515 4.69589673 5.3846498 5.0825146 4.86916076 5.2445122
10082 7.16065338 7.38565652 7.4407415 7.7538760 7.47057886 7.3059942
100820829 6.42012768 6.36633368 5.8432518 6.2325564 6.61412635 6.4846186
10084 4.89456799 4.88133038 4.7516139 4.3534026 5.17686207 5.0490408
100847074 1.56763332 1.88753935 1.8564108 1.8953076 2.22025050 2.2523809
10085 7.20876215 7.32564317 7.2071816 7.5392589 7.32188630 7.5022376
100852407 0.03358485 1.14979357 0.3060138 1.0570609 -0.09288813 0.9126276
100861412 0.84783949 0.04802649 0.5861753 -0.3785154 -0.09288813 0.4875912
100861548 3.90651308 4.38419670 3.7750594 4.4431148 4.30715756 3.8451956
100862671 1.25216861 0.41152675 1.6281240 0.8096807 1.12323157 1.0858702
10087 6.73597873 6.54630251 6.3397357 6.6312309 6.42709748 6.4132302
100873257 0.99556876 1.14979357 1.0223396 2.4220547 -0.09288813 1.8334012
100873333 2.77514263 2.28836087 2.8208374 2.8731295 2.36625878 2.5173824
100873790 3.57180667 3.78369716 4.0763690 4.1815851 4.05054192 3.8208816
100873949 2.11190611 1.14979357 2.3062415 1.8953076 0.51996830 0.7157058
100873952 0.28405821 1.33059533 0.5861753 0.5109200 -0.09288813 0.2165075
100873965 2.11190611 1.99865732 1.4988296 0.5109200 1.87467245 2.1777586
100874006 1.12956609 1.49124116 1.7467781 1.2681669 1.54733313 1.0858702
100874008 0.49741102 0.94304252 -0.0419923 -0.3785154 -0.09288813 0.4875912
100874014 3.19758091 3.51125958 3.1136289 3.6521842 3.26641818 3.1453224
100874058 2.23595552 2.19810589 2.2268027 2.8070791 1.54733313 1.9274972
100874080 -0.26970437 -0.43907615 -0.0419923 1.4522887 0.24584096 1.0858702
100874097 1.65912234 1.33059533 1.8564108 0.8096807 2.14130309 1.6245190
100874201 0.03358485 0.04802649 -0.5015688 -1.1799596 -1.17995959 0.2165075
100874212 -0.26970437 -0.43907615 -0.0419923 0.1336867 -0.09288813 -0.1175793
100874217 0.03358485 0.94304252 -0.0419923 0.5109200 0.24584096 0.4875912
100874235 1.90320483 1.76714337 1.6281240 1.7621991 0.75023235 1.8334012
100874261 0.03358485 0.41152675 -0.0419923 0.5109200 0.94875309 0.2165075
100874291 1.65912234 0.04802649 0.5861753 1.2681669 1.54733313 0.9126276
100874362 -0.26970437 0.41152675 1.0223396 -1.1799596 0.51996830 0.4875912
100874523 1.74515392 1.63577771 2.1427336 2.0171658 1.87467245 2.1777586
100885775 3.42313351 3.22166859 4.0303209 3.5346556 2.93308593 3.7193087
100885776 0.68323902 1.14979357 1.1992387 0.1336867 1.54733313 1.3801889
100885848 6.02809052 6.13048722 5.8298727 5.9862158 5.87051556 5.9299771
1009 8.47794700 8.61061719 8.7692569 8.6501471 8.63648541 8.7061226
10090 3.86868181 4.01276881 4.1209927 3.6521842 3.44138290 3.5222883
10092 7.30573744 7.54518202 7.6009362 7.4255492 7.52017598 7.5911795
10093 6.72278585 6.45181750 7.0047711 6.3357167 6.88640199 6.6763746
10094 2.93011059 3.35295347 3.7468620 3.4066967 3.79086817 3.6381422
10095 4.70363542 4.13942478 4.9125779 4.0733583 4.58584354 4.5247350
10097 7.99134948 8.10669927 8.0390891 8.0356537 8.05097348 8.1768381
10098 5.87431033 5.86316377 5.8432518 5.8857984 5.98232685 6.0341138
10099 8.15646531 7.89498866 7.9131176 8.1990856 8.05367066 8.1732413
100996246 1.65912234 1.76714337 1.1992387 1.2681669 1.27886712 1.2405219
100996251 1.56763332 1.99865732 1.8564108 2.9967967 2.05778415 1.5075202
100996307 2.23595552 0.70162498 1.7467781 1.7621991 1.41933587 0.9126276
100996384 2.50616015 1.99865732 2.1427336 2.3309807 2.14130309 2.5173824
100996419 1.90320483 1.14979357 1.0223396 1.4522887 1.41933587 -0.1175793
100996485 1.82634265 1.14979357 2.1427336 1.8953076 1.12323157 1.9274972
100996539 0.68323902 1.14979357 -0.0419923 -1.1799596 0.75023235 -0.1175793
100996579 1.56763332 0.70162498 -0.0419923 1.8953076 0.94875309 1.9274972
100996696 3.88772144 3.43427679 3.7181024 3.4506228 3.79086817 4.1288266
100996842 2.23595552 2.19810589 2.5212649 2.7378592 2.29510095 2.0158300
100996851 0.28405821 -1.17995959 -1.1799596 -1.1799596 -1.17995959 -0.1175793
100996939 1.65912234 0.70162498 1.1992387 0.8096807 0.94875309 1.3801889
101 2.29419688 2.52950530 1.8564108 2.0171658 2.62025401 2.7411782
1010 0.84783949 2.52950530 1.1992387 2.5077191 1.66489399 1.5075202
10100 5.77554980 5.84840385 5.7820440 6.1682391 5.80158750 6.0706611
10101 5.39796961 5.03262294 5.2605039 4.8398460 4.71413124 5.0903113
10102 5.03781509 4.99290954 4.8072881 4.8064280 5.24452556 5.2716760
10103 1.12956609 1.14979357 1.6281240 0.1336867 1.41933587 0.4875912
10105 7.08637206 6.87599283 7.0602476 6.7892594 6.85272687 7.0292472
10106 6.76972604 6.96420678 6.5744377 6.7236405 6.57335684 6.7295875
101060200 3.66303960 3.17511079 3.8826413 4.2577396 3.84169161 3.7453802
101060691 1.82634265 2.19810589 2.5212649 1.7621991 2.22025050 2.2523809
10109 8.18464433 7.99218946 8.2370535 8.0553472 8.09091117 8.0053912
10112 5.88855815 5.59791008 5.7539841 5.7071940 5.69505669 5.7485237
10113 6.43314630 6.13048722 6.4876429 6.0660448 6.20246974 6.2268662
10114 8.12572154 8.21134348 8.1196391 8.3179826 8.18371045 8.1144395
101154753 -0.65420242 0.04802649 -0.5015688 -0.3785154 0.51996830 -0.5531120
10116 7.55237696 7.74766429 7.7271781 7.6911739 7.82176593 7.6510189
10117 0.84783949 0.70162498 -0.5015688 0.1336867 -1.17995959 -0.5531120
1012 6.57791437 6.63497803 6.8837430 6.5925435 6.73331544 6.4807439
10121 6.02379389 5.96929739 5.8498951 5.9787347 5.98797830 5.9966165
10123 4.98574987 5.00626918 5.1993919 4.9356924 5.10586828 5.3502272
EtOH_24_C3 TUN_2_C4 THA_2_C4 DMSO_2_C4 TUN_24_C4
100 2.6510944 2.22134782 1.32447593 2.21937650 2.07620352
1000 11.2660138 11.08503851 10.66594400 10.96156483 11.19814979
10000 5.8547123 7.38628661 7.48463712 7.47065344 8.05909028
10001 4.7044731 4.95012539 5.02790703 5.08427412 4.90638613
10003 4.0864641 4.48985111 3.97342499 4.60938969 4.24724659
100037417 -1.1799596 -1.17995959 -1.17995959 -1.17995959 -1.17995959
100049716 3.3922165 1.67572258 2.93773170 2.58058227 2.99865716
10005 3.9108808 3.54085101 4.01083198 3.74946665 3.83091440
10006 6.5276377 6.59983780 6.72042717 6.64456241 6.68934468
10007 4.8736792 3.80992361 3.91543056 4.06189464 4.88249841
10009 5.4778830 5.95694371 5.66618589 5.77509882 5.75372066
100093630 6.1985387 5.81363242 5.93298675 5.93701088 6.24079104
1001 4.3841615 5.37709747 4.93366556 5.19277465 5.41932682
10010 5.2385169 5.42719511 5.58790310 5.56359361 5.38573373
100101267 2.7237517 2.33067681 2.85787069 2.21937650 1.05861272
100101467 5.2872776 3.44683790 3.63309211 3.57089897 4.23472188
10011 6.7656295 5.35785308 6.12005556 5.51881646 5.12574214
100113386 1.6026239 -0.30670212 -1.17995959 -0.11537574 -0.37767568
100113397 1.0451676 1.59035353 1.43867848 -0.31707195 1.76391235
100113407 4.0302776 5.52820535 5.93785022 5.48429732 5.36289574
100125288 1.7490622 1.83265397 2.05480092 2.49069265 2.73969825
100127983 2.4081930 1.83265397 2.89835372 2.89280770 2.66698228
100128006 2.9220512 2.48054917 2.58775205 2.32718572 1.76391235
100128016 0.7983887 0.93346654 0.55865107 1.44880018 0.33587852
100128025 1.2558358 0.78768118 0.55865107 0.36117920 -1.17995959
100128054 1.8819967 1.18712381 3.45456348 1.38369867 2.18436704
100128071 1.2558358 -0.01151564 0.74777143 0.06154998 -0.72375291
100128191 1.2558358 1.83265397 1.43867848 2.39482794 1.95926857
100128252 1.0451676 2.22134782 2.58775205 2.29213689 2.50953571
100128379 1.7490622 -0.01151564 0.91494901 0.60915388 0.33587852
100128398 5.3459985 4.27413086 4.70172908 4.47520281 4.96821809
100128494 3.0963589 3.58565571 2.81621880 3.48038459 3.24335903
100128569 1.8819967 1.75632103 0.74777143 1.38369867 1.36479471
100128640 -1.1799596 -1.17995959 0.34094493 -1.17995959 0.81115441
100128682 -1.1799596 -0.67824314 -0.62667057 -0.83185000 -1.17995959
100128731 5.9024458 6.29379711 6.33439321 6.40313251 6.19949473
100128766 2.8589321 2.61630702 2.05480092 2.69233541 2.87498021
100128782 2.7237517 1.75632103 0.08444584 1.31552005 1.69243714
100128822 -1.1799596 -1.17995959 -1.17995959 -1.17995959 -1.17995959
100128833 2.4937854 2.52723570 2.72912401 2.18157228 2.46733467
100128881 2.2200803 1.18712381 2.77332854 2.52128240 2.01892046
100128893 6.0859056 4.58118821 4.23285676 4.44360930 4.88249841
100129001 0.7983887 0.93346654 1.20045002 1.62814031 1.45394059
100129013 1.2558358 2.70019745 1.82209645 1.83710394 1.61723542
100129029 0.5005055 0.93346654 0.55865107 1.08921801 0.51227961
100129060 3.3922165 2.92605263 3.42715551 3.06879130 3.19245488
100129075 3.5994973 1.40278077 1.20045002 1.24395895 0.33587852
100129195 1.6026239 2.27704770 1.43867848 2.71897162 2.13129871
100129203 1.2558358 1.06586282 -0.22773446 -0.11537574 0.51227961
100129250 2.3172005 1.18712381 2.31617039 1.83710394 2.42386189
100129259 1.0451676 1.75632103 1.90390672 1.16866214 1.89704343
100129361 5.7714698 5.79467454 6.15388950 5.85832506 5.44129538
100129398 1.2558358 0.23341162 0.74777143 1.08921801 -0.09876353
100129434 -1.1799596 0.44272980 0.08444584 0.82069229 0.66944273
100129461 1.4396247 1.59035353 1.73536664 1.16866214 1.83201300
100129484 -0.3849372 1.18712381 0.08444584 1.78763152 0.81115441
100129550 5.0394108 4.05266076 2.68352212 3.84929131 4.42313307
100129583 0.1246732 -0.30670212 1.06475040 -0.55162156 0.66944273
100129662 1.0451676 -0.67824314 -0.22773446 -0.11537574 -1.17995959
100129707 1.6026239 0.78768118 1.32447593 1.00514293 0.33587852
100129716 1.7490622 -0.67824314 0.74777143 0.06154998 1.36479471
100129726 0.7983887 1.67572258 1.32447593 1.16866214 1.45394059
100129774 4.0013419 3.44683790 3.37072623 3.24408045 3.72743707
100129781 -1.1799596 0.93346654 1.32447593 -0.55162156 0.81115441
100129792 0.7983887 -0.67824314 -1.17995959 0.06154998 0.13486409
100129794 2.6510944 0.78768118 2.37473086 0.91586339 2.73969825
100129842 2.1159472 0.62549085 0.91494901 0.06154998 1.05861272
100129917 2.5745829 1.67572258 2.31617039 2.36140323 3.83091440
100129924 2.4937854 -0.30670212 0.08444584 0.36117920 -0.09876353
100129940 1.4396247 1.40278077 0.55865107 0.49048782 0.66944273
100129995 -1.1799596 -0.67824314 -1.17995959 -0.11537574 -1.17995959
10013 5.8627784 5.85081681 5.45172284 5.92275952 5.87570335
100130111 -1.1799596 -0.67824314 1.06475040 -0.11537574 0.94018273
100130197 0.7983887 -0.01151564 0.34094493 -0.11537574 -0.09876353
100130335 3.4361238 2.52723570 2.43100674 2.77081261 2.80892433
100130348 3.0963589 3.34626873 3.48146046 3.33298337 3.57680149
100130357 1.2558358 -1.17995959 -0.62667057 0.21912929 -0.72375291
100130466 2.8589321 3.42234519 3.79194136 4.05145273 3.63514833
100130476 -1.1799596 -0.01151564 -0.22773446 -0.83185000 -1.17995959
100130522 0.7983887 -1.17995959 1.73536664 0.82069229 0.13486409
100130550 2.0037090 2.10304941 1.64308754 1.16866214 0.94018273
100130564 3.7109280 3.58565571 3.04980033 3.58544761 3.31649822
100130581 2.7237517 1.49961343 0.74777143 1.31552005 0.94018273
100130691 1.7490622 2.10304941 2.77332854 1.73640218 2.77472647
100130705 2.1159472 0.78768118 1.64308754 1.31552005 0.81115441
100130748 1.2558358 1.67572258 1.82209645 1.73640218 1.26977549
100130750 -1.1799596 -0.30670212 -0.22773446 -1.17995959 -1.17995959
100130855 1.2558358 1.97417726 2.19139654 1.83710394 1.36479471
100130958 0.1246732 0.62549085 0.55865107 1.08921801 0.51227961
100131017 -1.1799596 -1.17995959 -1.17995959 -1.17995959 -1.17995959
100131031 3.2018647 1.59035353 1.54450022 2.66519815 2.99865716
100131033 2.0037090 2.33067681 1.90390672 1.83710394 2.13129871
100131067 2.0037090 1.06586282 2.05480092 1.73640218 1.53789714
100131089 1.6026239 1.06586282 0.34094493 0.91586339 1.53789714
100131094 0.7983887 0.78768118 1.43867848 0.71879678 0.13486409
100131138 3.5603554 1.29897815 1.73536664 2.14275072 3.29252813
100131187 1.7490622 0.62549085 -0.62667057 0.71879678 1.16805406
100131193 1.4396247 1.97417726 1.64308754 2.21937650 1.53789714
100131211 3.7462377 3.84720249 4.30990971 4.36145923 4.71226093
100131213 -1.1799596 0.78768118 1.43867848 0.21912929 1.36479471
100131471 1.8819967 2.38238362 2.72912401 2.14275072 1.76391235
100131656 1.4396247 3.20981796 3.04980033 3.35012496 3.57680149
100131685 -0.3849372 3.67129509 2.93773170 3.31563567 2.96871763
100131691 2.9220512 1.59035353 1.54450022 1.38369867 2.01892046
100131740 0.5005055 0.44272980 0.34094493 1.31552005 1.05861272
100131801 2.7929246 3.58565571 2.58775205 3.38380895 3.49514314
100131827 1.2558358 1.06586282 0.34094493 0.71879678 1.05861272
100131828 -1.1799596 0.23341162 -1.17995959 -0.11537574 -0.09876353
100131940 -1.1799596 0.44272980 1.90390672 0.91586339 0.13486409
100132074 -1.1799596 -0.30670212 -1.17995959 -0.83185000 0.13486409
100132086 0.1246732 0.62549085 1.73536664 1.83710394 0.33587852
100132116 7.1421274 9.33832125 9.16171854 9.38358501 9.19916408
100132126 1.0451676 0.23341162 0.08444584 0.36117920 0.66944273
100132215 2.0037090 0.93346654 0.74777143 1.57080210 1.16805406
100132537 1.0451676 2.81754026 2.77332854 2.91601591 3.02798799
100132609 0.1246732 0.44272980 1.06475040 0.21912929 0.51227961
100132659 -0.3849372 -0.30670212 -1.17995959 0.06154998 0.66944273
100132891 0.1246732 -1.17995959 -1.17995959 -0.55162156 0.13486409
100132972 1.6026239 0.44272980 1.64308754 0.82069229 1.89704343
100133234 0.5005055 0.62549085 1.20045002 1.24395895 0.13486409
100133286 -1.1799596 -0.01151564 0.74777143 0.91586339 0.81115441
100133315 0.5005055 0.44272980 1.98132571 0.71879678 0.81115441
100134934 1.7490622 1.90515029 2.25513195 1.83710394 1.89704343
10014 6.5969732 6.34681843 6.54347800 6.33803728 6.79122085
100144603 2.4937854 1.18712381 2.12471475 2.18157228 2.28498371
100144748 1.2558358 1.40278077 2.05480092 1.24395895 1.89704343
10015 7.7648542 7.56053105 7.61788321 7.59269709 7.36711076
10016 5.3110535 5.67537744 5.53752881 5.66639201 5.55648383
100170229 0.1246732 0.93346654 0.91494901 1.51109040 1.45394059
100170841 3.4361238 4.58118821 4.84324114 4.69237993 4.70319810
10018 4.2674889 3.20981796 3.39921675 3.77507780 4.33200103
100188847 0.7983887 0.93346654 0.55865107 1.16866214 1.61723542
10019 3.5994973 4.50158952 4.76877082 4.18163571 4.68489984
100190938 1.0451676 3.12128933 2.43100674 2.71897162 3.43071556
1002 1.6026239 0.62549085 -1.17995959 -1.17995959 0.81115441
10020 3.3922165 3.47092173 4.13460877 4.09277444 4.65700979
10021 8.1062941 7.84020870 7.51261508 7.79558310 6.80822672
10023 0.7983887 1.83265397 2.43100674 1.38369867 2.87498021
10024 3.9108808 5.25758123 5.37490595 5.35440685 4.44504418
10026 6.8121912 6.36620959 6.05439544 6.36569371 6.46645064
100268168 -1.1799596 -0.30670212 0.55865107 0.36117920 0.94018273
100270804 2.0037090 0.62549085 0.34094493 0.49048782 0.51227961
100270827 0.7983887 1.06586282 0.55865107 0.06154998 -0.72375291
100270840 3.3469310 3.29322683 3.31199962 3.68337613 4.00326218
100270854 1.7490622 2.57245865 1.90390672 2.49069265 1.89704343
100270865 3.6376052 3.34626873 3.34166172 3.65606821 3.65408442
100271271 3.0963589 3.15140653 2.89835372 3.36706526 3.67277518
100271332 2.2200803 2.52723570 2.48516960 2.69233541 2.50953571
100271415 2.1159472 1.90515029 2.43100674 1.62814031 2.37903833
100271479 -1.1799596 -0.67824314 -0.22773446 0.49048782 0.13486409
100271884 0.1246732 0.44272980 0.34094493 0.91586339 0.33587852
100272147 3.1500760 1.75632103 1.43867848 1.24395895 2.42386189
100286844 1.2558358 1.06586282 1.20045002 1.78763152 1.76391235
100287015 0.1246732 0.93346654 -0.22773446 0.60915388 1.05861272
100287049 1.6026239 -0.01151564 0.55865107 1.31552005 0.66944273
100287074 1.6026239 2.16341081 2.72912401 2.66519815 1.95926857
100287616 1.0451676 3.73234530 3.68028997 3.82497520 4.52950514
100287722 2.2200803 0.78768118 1.98132571 2.29213689 1.69243714
100287808 0.7983887 -0.30670212 -0.22773446 0.21912929 1.61723542
100287837 -0.3849372 0.23341162 0.74777143 0.36117920 0.51227961
100287896 3.5201219 1.90515029 3.31199962 2.49069265 3.79723993
100287902 -0.3849372 0.23341162 -1.17995959 -0.31707195 -0.09876353
100287928 3.2518585 2.38238362 1.90390672 2.89280770 2.37903833
100287932 5.7012349 5.56782608 5.75153043 5.56726305 5.36289574
100288001 1.7490622 2.10304941 2.58775205 2.39482794 2.01892046
100288073 4.1926699 4.74815453 5.85285520 4.30103765 7.05079821
100288123 0.5005055 0.93346654 0.34094493 1.57080210 0.94018273
100288198 2.4937854 2.65886191 3.68028997 2.79605088 3.11256381
100288241 1.0451676 1.59035353 0.74777143 2.01959475 1.45394059
100288413 2.7929246 3.67129509 2.72912401 3.38380895 3.91181441
100288513 -1.1799596 2.16341081 1.06475040 1.31552005 0.13486409
100288842 1.8819967 1.29897815 1.90390672 1.24395895 1.76391235
100289061 0.1246732 -0.30670212 0.74777143 -0.31707195 0.66944273
100289095 0.1246732 2.22134782 1.98132571 2.21937650 1.26977549
100289133 1.2558358 0.23341162 0.08444584 0.82069229 1.16805406
100289178 2.7237517 2.04005183 1.82209645 1.16866214 1.89704343
100289211 1.7490622 0.62549085 0.91494901 0.21912929 0.51227961
100289259 1.2558358 0.44272980 0.34094493 1.16866214 0.51227961
100289274 3.6747324 3.62911076 4.93366556 3.24408045 5.47363344
100289341 1.0451676 1.75632103 1.20045002 1.68328652 2.07620352
100289373 -1.1799596 -0.67824314 -1.17995959 -0.31707195 -1.17995959
100289388 1.8819967 1.59035353 2.43100674 2.36140323 3.08491914
100289414 1.2558358 1.29897815 0.91494901 0.06154998 0.51227961
100289635 6.0439558 5.38978591 5.54392263 5.21633596 5.74049246
100289640 1.4396247 2.65886191 2.63643162 2.21937650 1.83201300
100289678 2.1159472 2.10304941 2.48516960 1.62814031 2.18436704
100293516 4.7915554 4.17499054 5.18342786 4.10292255 4.19648185
100294362 1.7490622 1.83265397 1.82209645 0.82069229 0.94018273
1003 1.2558358 0.93346654 1.06475040 1.38369867 0.13486409
100302692 2.7929246 1.59035353 1.43867848 0.91586339 2.23555235
100302736 1.2558358 1.97417726 2.31617039 2.14275072 2.99865716
100303728 3.2518585 2.77947668 2.25513195 3.00528630 3.08491914
100303755 1.4396247 1.06586282 1.43867848 1.08921801 1.16805406
100312828 0.5005055 -0.01151564 -1.17995959 1.31552005 0.51227961
100312850 0.1246732 -0.01151564 -1.17995959 -0.31707195 0.33587852
10036 4.9361701 5.64923189 5.98560390 6.07743421 4.96821809
100379345 2.1159472 2.74038156 3.15378747 2.98348120 2.55053731
10038 6.0650832 5.72127757 5.91829719 5.62121337 5.64906202
100381270 0.5005055 1.06586282 0.55865107 1.16866214 0.51227961
10039 5.9257331 6.07556428 5.70093185 5.81577038 6.03226153
1004 7.9042425 7.15871515 6.79736871 6.45555121 4.54986977
10040 4.2674889 4.36689425 4.74676793 4.22873617 5.09142147
100418710 1.4396247 1.67572258 1.06475040 1.68328652 1.95926857
100418735 4.3615696 4.67747173 4.24860009 4.30982578 4.17041353
100418744 2.0037090 0.44272980 1.73536664 -0.31707195 1.16805406
100418770 2.4081930 1.59035353 1.54450022 1.24395895 1.26977549
100418781 -0.3849372 0.78768118 0.08444584 -0.31707195 0.51227961
100418819 1.2558358 1.90515029 1.43867848 1.73640218 0.66944273
100418829 1.4396247 1.40278077 1.82209645 1.57080210 1.45394059
100418888 1.0451676 1.83265397 1.82209645 1.38369867 1.89704343
100418889 2.4081930 2.33067681 2.43100674 2.69233541 2.13129871
100418910 1.0451676 2.22134782 2.05480092 2.36140323 2.28498371
100418919 1.2558358 2.38238362 1.98132571 2.63754064 2.33277736
100419028 1.4396247 1.49961343 1.90390672 1.62814031 1.36479471
100419185 1.8819967 -0.30670212 0.34094493 -0.31707195 -0.37767568
100419416 0.1246732 1.06586282 0.91494901 1.00514293 0.66944273
100419515 -1.1799596 -0.30670212 0.55865107 0.60915388 -1.17995959
100419645 0.1246732 0.23341162 0.55865107 1.00514293 0.94018273
100419758 1.4396247 -0.01151564 -1.17995959 -1.17995959 -1.17995959
100419928 2.3172005 1.29897815 2.05480092 1.78763152 1.61723542
10042 5.3688336 6.00309316 6.37440603 5.99809651 5.82229281
100420028 -1.1799596 0.23341162 0.91494901 0.82069229 0.13486409
100420050 0.1246732 0.44272980 1.06475040 0.21912929 -0.72375291
100420110 3.1500760 3.29322683 3.74831213 2.91601591 3.63514833
100420187 0.7983887 1.06586282 2.12471475 1.88493597 2.33277736
100420259 3.8143657 4.51323320 4.29482483 4.18163571 4.01795540
100420307 0.1246732 1.40278077 0.74777143 1.31552005 0.81115441
100420341 5.3688336 5.35785308 5.27851223 5.04796683 6.56978631
100420423 0.7983887 1.29897815 0.74777143 0.21912929 1.26977549
100420591 0.5005055 1.90515029 1.90390672 0.91586339 1.26977549
100420707 3.2518585 2.33067681 2.12471475 2.36140323 3.02798799
100420752 1.6026239 2.22134782 1.54450022 2.29213689 2.18436704
100420869 4.1668424 4.42968219 4.16810704 4.42754926 4.28418123
100420981 5.7102035 5.50506661 5.57547347 5.61058350 5.93883575
100421093 3.6376052 4.63547027 4.20084512 3.99807850 3.57680149
100421109 0.7983887 1.40278077 0.55865107 0.60915388 0.51227961
100421160 1.0451676 0.62549085 1.32447593 0.60915388 0.33587852
100421175 1.6026239 1.97417726 2.37473086 2.36140323 2.23555235
100421246 1.7490622 1.40278077 2.31617039 2.18157228 2.13129871
100421311 1.8819967 2.70019745 2.25513195 2.91601591 2.84233029
100421372 0.7983887 1.90515029 2.53737239 1.62814031 2.01892046
100421400 1.8819967 2.52723570 2.58775205 2.74512496 2.37903833
100421415 1.7490622 0.23341162 -0.62667057 -1.17995959 0.81115441
100421429 0.7983887 1.59035353 0.74777143 1.24395895 1.05861272
100421465 0.7983887 2.77947668 2.63643162 2.63754064 2.07620352
100421468 0.5005055 1.59035353 1.32447593 2.25621534 1.69243714
100421506 -1.1799596 0.44272980 -1.17995959 -0.11537574 0.33587852
100421569 0.1246732 1.06586282 -0.22773446 -0.31707195 0.13486409
100421595 1.4396247 1.67572258 1.20045002 1.83710394 1.45394059
100421794 3.3469310 3.95358602 3.42715551 3.74946665 3.79723993
100422106 1.4396247 1.75632103 1.43867848 2.14275072 2.01892046
100422338 2.0037090 2.81754026 2.25513195 2.79605088 1.69243714
100422546 0.1246732 1.49961343 -1.17995959 0.49048782 0.33587852
100422561 3.5603554 4.09975826 4.43901345 4.42754926 4.10310433
10043 5.0251068 4.88887548 5.40331485 5.09955897 5.13250937
10044 0.1246732 4.72831032 5.15864427 4.31856071 4.28418123
10045 -0.3849372 0.44272980 1.20045002 0.21912929 2.46733467
10046 0.5005055 3.15140653 3.11995111 3.04793203 2.28498371
10048 6.3893021 6.69236615 6.93020876 6.90740447 6.83128723
10049 5.4778830 5.62260375 5.61244565 5.72669950 5.63005945
100499177 3.7807038 3.26595619 3.45456348 3.20692639 3.55681611
100499483 1.0451676 0.93346654 1.43867848 1.51109040 0.94018273
1005 0.1246732 -1.17995959 -0.22773446 0.21912929 0.81115441
100500719 1.4396247 0.23341162 0.08444584 -0.55162156 0.51227961
100505385 2.1159472 3.23816011 3.11995111 3.06879130 2.59040577
100505501 0.7983887 2.38238362 2.68352212 2.18157228 3.13968871
100505538 1.7490622 0.62549085 0.55865107 1.38369867 1.26977549
100505549 0.5005055 -0.30670212 -1.17995959 -1.17995959 -0.37767568
100505573 6.6445346 5.78029083 5.67203530 5.85232213 5.51046725
100505576 4.1137574 4.63547027 5.26309368 5.01610207 5.11894301
100505616 0.7983887 0.62549085 -0.62667057 -0.31707195 0.66944273
100505624 1.7490622 1.83265397 1.90390672 1.88493597 1.45394059
100505635 -1.1799596 1.59035353 1.06475040 1.44880018 0.94018273
100505641 2.4081930 2.99410977 3.04980033 3.22562302 2.70379835
100505648 3.4361238 2.89078098 2.81621880 2.45944022 3.51599511
100505678 3.5994973 1.83265397 0.34094493 1.83710394 1.26977549
100505696 3.8472601 3.56342728 3.83428982 3.90834680 3.65408442
100505715 -0.3849372 1.83265397 1.64308754 1.88493597 0.51227961
100505738 0.1246732 -1.17995959 -1.17995959 -1.17995959 -1.17995959
100505741 1.4396247 0.93346654 0.08444584 0.21912929 0.33587852
100505758 3.1500760 2.89078098 3.65688405 3.36706526 3.11256381
100505761 3.3922165 2.38238362 1.82209645 2.63754064 3.11256381
100505771 3.7462377 3.15140653 3.21916864 3.46473095 4.42313307
100505783 -1.1799596 -1.17995959 -1.17995959 -0.31707195 -0.37767568
100505806 3.6376052 2.57245865 3.34166172 3.02676673 3.26815304
100505812 -0.3849372 -0.67824314 -0.22773446 -0.31707195 -0.09876353
100505832 1.2558358 0.23341162 -0.22773446 -0.55162156 -1.17995959
100505854 0.1246732 1.06586282 1.32447593 0.21912929 0.51227961
100505876 5.9637288 5.57894926 5.43117512 5.66296652 5.89970291
100505894 3.0405640 1.75632103 0.91494901 1.57080210 1.45394059
100505933 1.2558358 -0.67824314 -0.22773446 -0.83185000 0.81115441
100505994 -1.1799596 -1.17995959 0.34094493 0.06154998 0.66944273
100506020 0.1246732 0.93346654 0.74777143 0.60915388 -0.37767568
100506033 5.0251068 5.28500914 5.40331485 5.21633596 5.56150734
100506054 1.2558358 0.62549085 0.91494901 0.21912929 0.94018273
100506068 -1.1799596 0.93346654 -0.22773446 0.49048782 -0.37767568
100506070 1.8819967 1.18712381 -0.22773446 0.71879678 1.61723542
100506083 0.5005055 1.40278077 0.55865107 1.31552005 1.16805406
100506100 -1.1799596 0.62549085 0.55865107 -0.11537574 -0.37767568
100506119 0.7983887 0.23341162 -0.22773446 -0.11537574 0.13486409
100506127 2.5745829 2.04005183 2.05480092 1.38369867 1.61723542
100506142 1.2558358 -0.67824314 -0.22773446 0.36117920 -0.72375291
100506144 -1.1799596 0.78768118 1.20045002 1.08921801 1.26977549
100506161 0.7983887 1.40278077 1.32447593 1.24395895 1.69243714
100506211 4.6117950 2.33067681 2.25513195 2.36140323 2.46733467
100506235 1.8819967 1.29897815 1.73536664 0.36117920 1.45394059
100506258 1.2558358 -1.17995959 -0.62667057 -0.11537574 -0.37767568
100506282 3.4361238 1.67572258 1.20045002 1.97609021 1.83201300
100506286 0.1246732 -0.01151564 -1.17995959 -0.11537574 -0.37767568
100506302 2.3172005 1.18712381 0.91494901 1.38369867 1.16805406
100506321 0.1246732 0.78768118 1.32447593 1.31552005 0.66944273
100506325 -0.3849372 -0.30670212 0.08444584 0.71879678 0.13486409
100506343 0.5005055 -0.67824314 -0.22773446 0.60915388 -0.09876353
100506365 5.4987375 4.79660273 5.23965242 5.04270467 5.38005803
100506368 -1.1799596 -0.01151564 1.06475040 0.49048782 -0.09876353
100506380 2.7237517 2.57245865 2.37473086 2.29213689 2.28498371
100506392 4.2674889 4.03661361 4.45267034 4.05145273 3.92746394
100506394 0.7983887 -1.17995959 -1.17995959 -1.17995959 0.13486409
100506411 2.3172005 1.29897815 1.54450022 0.60915388 0.94018273
100506433 3.0963589 1.18712381 1.43867848 1.16866214 2.37903833
100506462 -0.3849372 0.78768118 1.32447593 -0.11537574 0.51227961
100506469 3.4787341 2.38238362 2.48516960 2.77081261 2.59040577
100506495 1.8819967 -1.17995959 -1.17995959 -0.55162156 0.51227961
100506504 1.2558358 1.75632103 1.98132571 2.06182572 2.23555235
100506540 0.7983887 1.29897815 0.91494901 1.00514293 0.81115441
100506581 2.1159472 1.67572258 2.68352212 2.32718572 2.80892433
100506606 0.1246732 -0.67824314 -0.62667057 0.49048782 0.33587852
100506658 2.1159472 2.77947668 2.68352212 2.86922002 3.45251268
100506668 2.1159472 2.38238362 2.31617039 2.29213689 2.59040577
100506686 1.4396247 0.62549085 1.90390672 1.44880018 2.33277736
100506691 0.1246732 -0.30670212 -0.22773446 0.06154998 -1.17995959
100506696 -1.1799596 0.44272980 1.06475040 0.36117920 1.16805406
100506697 -1.1799596 1.06586282 0.74777143 1.51109040 1.26977549
100506710 5.2992145 4.40489395 5.40331485 4.65148148 4.99073852
100506713 1.0451676 0.93346654 1.20045002 0.36117920 0.33587852
100506725 5.6274049 3.62911076 3.81327097 3.12961838 4.32019385
100506731 1.0451676 0.93346654 0.55865107 0.49048782 1.61723542
100506757 2.4081930 -0.30670212 0.34094493 0.71879678 1.76391235
100506779 0.1246732 -0.01151564 -0.62667057 -0.11537574 -0.09876353
100506804 0.1246732 0.23341162 -1.17995959 0.21912929 -1.17995959
100506826 2.7929246 1.40278077 1.43867848 1.83710394 1.36479471
100506844 2.9220512 2.16341081 2.53737239 2.01959475 2.84233029
100506866 7.1052072 4.23247349 4.21693972 4.70575910 4.14386549
100506881 2.4081930 2.10304941 1.73536664 1.44880018 2.46733467
100506885 0.5005055 0.23341162 -0.22773446 0.06154998 1.36479471
100506911 -0.3849372 -1.17995959 -0.22773446 0.06154998 0.94018273
100506922 -0.3849372 -0.30670212 -0.22773446 -0.31707195 0.13486409
100506930 -1.1799596 -0.30670212 -0.22773446 -0.11537574 -0.37767568
100506994 1.0451676 0.62549085 1.06475040 0.82069229 0.94018273
100507003 -1.1799596 -1.17995959 -0.22773446 -0.11537574 0.13486409
100507032 -1.1799596 -1.17995959 -1.17995959 -1.17995959 -1.17995959
100507034 3.2018647 3.12128933 3.21916864 3.12961838 3.05673437
100507050 -1.1799596 -1.17995959 -1.17995959 -0.31707195 0.13486409
100507053 -1.1799596 -1.17995959 -0.22773446 0.06154998 -1.17995959
100507057 -1.1799596 -0.67824314 -1.17995959 -1.17995959 0.33587852
100507062 0.7983887 -0.30670212 0.74777143 0.21912929 0.33587852
100507071 0.1246732 0.23341162 0.74777143 0.60915388 0.81115441
100507156 2.7929246 2.96048247 3.55926749 3.44890560 2.37903833
100507171 2.4081930 2.96048247 2.89835372 2.63754064 3.63514833
100507173 0.1246732 0.62549085 1.32447593 0.82069229 1.36479471
100507178 -1.1799596 -0.67824314 -0.22773446 -0.83185000 -0.72375291
100507244 1.0451676 1.18712381 1.32447593 0.36117920 1.45394059
100507246 4.0013419 4.21831605 4.06518446 3.91987326 3.97341905
100507250 0.5005055 0.44272980 1.43867848 0.82069229 1.53789714
100507254 0.7983887 1.83265397 3.08530206 2.01959475 1.45394059
100507266 0.7983887 0.23341162 0.91494901 1.08921801 0.33587852
100507290 4.8895575 4.82490946 5.38918032 4.36145923 4.55994529
100507291 1.2558358 0.44272980 -1.17995959 0.21912929 0.13486409
100507303 1.8819967 2.10304941 1.20045002 2.60934253 2.59040577
100507308 1.8819967 -0.30670212 -0.22773446 -0.11537574 1.16805406
100507316 -1.1799596 -0.30670212 0.34094493 -1.17995959 0.51227961
100507331 1.8819967 1.97417726 0.08444584 1.68328652 1.83201300
100507347 1.7490622 1.40278077 1.64308754 1.38369867 2.01892046
100507373 1.7490622 1.67572258 0.91494901 1.88493597 2.37903833
100507392 -1.1799596 1.40278077 2.05480092 1.38369867 0.33587852
100507398 1.2558358 0.23341162 0.08444584 0.71879678 1.16805406
100507401 0.7983887 -0.01151564 1.20045002 0.49048782 0.66944273
100507420 -1.1799596 -0.30670212 -1.17995959 0.71879678 0.33587852
100507433 2.4937854 1.83265397 1.54450022 1.83710394 1.76391235
100507436 -1.1799596 1.06586282 0.74777143 0.21912929 0.81115441
100507437 -0.3849372 1.18712381 0.34094493 0.82069229 2.01892046
100507459 0.5005055 -0.67824314 0.34094493 1.24395895 1.76391235
100507463 -0.3849372 -0.01151564 -1.17995959 0.06154998 0.13486409
100507487 1.6026239 1.75632103 -0.22773446 1.08921801 1.95926857
100507495 4.0864641 4.57008234 4.38305515 4.30103765 4.49840884
100507516 1.0451676 0.62549085 1.43867848 0.49048782 0.51227961
100507551 0.7983887 0.23341162 0.08444584 0.21912929 -0.72375291
100507557 2.6510944 0.62549085 1.98132571 1.44880018 2.77472647
100507564 0.7983887 0.78768118 1.43867848 0.82069229 0.51227961
100507567 -0.3849372 -0.01151564 -0.22773446 -0.31707195 0.13486409
100507588 0.7983887 -1.17995959 1.43867848 0.49048782 0.94018273
100507599 1.6026239 0.23341162 0.74777143 -0.11537574 -0.37767568
100507602 4.7573506 4.35400195 4.60720028 4.65148148 4.72126718
100508120 1.0451676 0.62549085 0.55865107 -0.11537574 1.83201300
10051 7.2659008 8.07633634 8.01878314 8.01499329 6.73229942
10052 2.7929246 0.78768118 1.20045002 2.14275072 1.36479471
100526737 1.7490622 2.43230117 2.25513195 2.21937650 1.89704343
100526760 1.6026239 1.97417726 0.74777143 1.83710394 1.76391235
100526820 0.5005055 0.44272980 1.06475040 0.49048782 0.51227961
100526835 5.5294648 3.09052999 3.97342499 3.49587021 3.70944558
100527978 0.5005055 0.78768118 0.74777143 -0.55162156 0.66944273
100529145 1.6026239 1.75632103 1.32447593 1.62814031 2.46733467
100529215 1.0451676 0.23341162 0.91494901 1.08921801 -0.37767568
100532746 3.2518585 3.88354230 3.37072623 3.41672440 3.83091440
100533106 0.1246732 -0.67824314 -0.62667057 0.36117920 0.51227961
100533182 0.1246732 -0.30670212 1.06475040 -0.55162156 -1.17995959
100533619 0.1246732 -1.17995959 -0.22773446 0.21912929 -1.17995959
100533629 0.5005055 -0.30670212 0.34094493 -0.31707195 -0.09876353
100533695 0.1246732 0.78768118 0.91494901 -0.11537574 -0.72375291
100533970 1.7490622 1.67572258 1.32447593 1.08921801 1.16805406
100534593 2.6510944 0.44272980 0.34094493 0.21912929 1.05861272
10054 6.0225144 6.67950563 7.07630850 6.71241342 6.74560260
10056 6.0927802 6.39166558 6.51772291 6.38661287 6.10631844
10057 7.7712961 6.64022157 6.31583211 6.68396570 6.96240721
10058 6.2424768 5.27820089 5.00954480 4.94454820 6.21232765
10059 7.5317911 7.43607160 7.31930377 7.22333767 6.99247664
1006 0.7983887 1.18712381 1.54450022 1.83710394 1.45394059
10060 4.5925229 3.80992361 4.18456894 3.71017673 4.40088404
100616256 0.5005055 -0.01151564 0.34094493 -0.83185000 -0.72375291
10062 1.2558358 1.97417726 1.64308754 1.00514293 1.95926857
10063 4.5729898 4.26037829 3.81327097 4.13294550 3.83091440
100652739 -1.1799596 0.23341162 -0.62667057 0.36117920 -0.37767568
100652758 0.1246732 1.40278077 0.08444584 1.38369867 2.18436704
100652846 3.3469310 1.18712381 1.43867848 1.00514293 0.33587852
10066 6.8204978 6.96670656 6.92286852 6.83314975 6.86011373
10067 6.2486459 5.54531907 5.71799599 5.87322400 5.72714186
10068 3.1500760 3.58565571 3.70332222 3.54135403 3.49514314
10069 3.0405640 3.20981796 3.42715551 3.24408045 3.47398537
10072 4.2674889 4.84347669 4.58256756 4.93321798 4.41205144
10073 3.9108808 4.09975826 3.87543056 4.06189464 4.08925728
10075 8.6456091 8.57421079 8.43979319 8.62004296 8.61151745
10076 4.7223152 3.15140653 3.04980033 3.41672440 4.25966349
10077 -1.1799596 -1.17995959 -0.22773446 0.06154998 0.66944273
100775107 1.7490622 0.23341162 0.55865107 0.60915388 0.66944273
10078 4.7044731 4.94153301 5.17521388 5.05320986 4.92988475
10079 4.8413884 5.26448725 5.06394489 5.34160801 5.67246857
1008 2.9220512 0.93346654 0.34094493 1.62814031 1.45394059
10081 5.2752411 5.09663144 5.58170167 5.36287677 5.32203812
10082 7.5543783 6.44431273 6.31583211 6.32941983 7.01645483
100820829 6.6351470 3.05910052 3.45456348 3.57089897 2.73969825
10084 5.0394108 5.11202818 4.97210399 5.27136105 4.85820850
100847074 1.7490622 2.48054917 2.48516960 2.82085521 2.28498371
10085 7.5741633 9.36386780 8.97737471 9.24955456 9.99924451
100852407 0.7983887 1.29897815 1.20045002 0.60915388 1.76391235
100861412 -0.3849372 1.49961343 1.98132571 -0.11537574 1.05861272
100861548 4.0864641 4.20401829 3.97342499 4.21008011 5.04195813
100862671 0.7983887 1.29897815 1.20045002 1.08921801 0.81115441
10087 6.6951026 6.18516834 5.96669168 6.24258679 6.36379127
100873257 1.4396247 0.23341162 -0.62667057 0.06154998 -1.17995959
100873333 2.4937854 2.61630702 2.81621880 2.63754064 2.50953571
100873790 4.3152960 2.99410977 3.08530206 3.10962629 2.42386189
100873949 -0.3849372 1.18712381 1.06475040 0.91586339 0.66944273
100873952 1.0451676 -0.01151564 0.55865107 0.49048782 -0.37767568
100873965 1.4396247 1.49961343 1.98132571 2.45944022 1.45394059
100874006 0.1246732 2.10304941 1.82209645 1.83710394 2.07620352
100874008 0.7983887 1.18712381 0.34094493 1.16866214 1.36479471
100874014 3.3469310 1.49961343 1.20045002 1.44880018 1.76391235
100874058 0.7983887 1.49961343 1.43867848 1.62814031 2.23555235
100874080 0.5005055 1.90515029 1.54450022 1.24395895 0.81115441
100874097 1.4396247 2.16341081 1.82209645 1.57080210 2.18436704
100874201 -1.1799596 0.78768118 -0.22773446 0.21912929 0.51227961
100874212 0.7983887 0.78768118 0.34094493 1.24395895 0.94018273
100874217 0.1246732 0.78768118 1.32447593 -0.55162156 0.33587852
100874235 1.8819967 0.62549085 -0.62667057 0.71879678 -0.09876353
100874261 -0.3849372 -0.30670212 0.34094493 0.21912929 -0.37767568
100874291 0.7983887 1.40278077 1.73536664 0.71879678 1.16805406
100874362 0.7983887 1.49961343 1.20045002 0.91586339 0.81115441
100874523 2.2200803 1.83265397 2.05480092 2.10285556 0.94018273
100885775 2.7929246 2.43230117 2.25513195 2.84524028 1.36479471
100885776 0.7983887 1.06586282 1.73536664 0.91586339 1.53789714
100885848 6.0296970 5.33178794 5.17521388 5.33301193 4.81679381
1009 8.7207569 10.05901017 9.74388258 9.76635291 9.20559627
10090 4.1405441 3.98737258 4.24860009 3.98716254 4.75674028
10092 7.6057461 8.25945682 8.16282989 8.27211939 7.98437394
10093 6.7439579 7.64101193 7.47630398 7.81577549 7.15749795
10094 3.3001778 4.45405170 4.64337826 4.69908503 4.32019385
10095 4.3841615 6.15946455 5.71799599 5.79714126 5.41378201
10097 8.1645517 8.76098984 8.66840005 8.77285560 8.40415233
10098 5.8136914 6.52991316 6.49810031 6.35724037 5.71366655
10099 8.2469812 7.81338129 7.63445503 8.03831504 8.45700199
100996246 0.7983887 2.89078098 2.93773170 3.00528630 3.31649822
100996251 1.6026239 -0.67824314 1.06475040 1.51109040 0.66944273
100996307 1.2558358 2.61630702 2.89835372 2.32718572 2.46733467
100996384 2.6510944 0.93346654 0.55865107 0.82069229 1.16805406
100996419 1.0451676 0.23341162 -1.17995959 0.06154998 -0.09876353
100996485 1.7490622 2.65886191 2.77332854 2.49069265 1.53789714
100996539 0.7983887 -1.17995959 0.55865107 0.06154998 -0.09876353
100996579 -0.3849372 0.44272980 0.34094493 -0.31707195 0.66944273
100996696 3.6747324 3.65035710 3.72599254 3.55620213 2.50953571
100996842 2.5745829 2.33067681 1.98132571 2.32718572 2.37903833
100996851 1.0451676 0.44272980 0.55865107 -0.11537574 0.51227961
100996939 0.5005055 -0.30670212 1.20045002 1.16866214 1.83201300
101 0.7983887 0.62549085 0.91494901 -0.11537574 0.94018273
1010 2.7929246 0.23341162 0.08444584 0.71879678 -1.17995959
10100 5.8466009 4.60314672 4.29482483 4.52133253 4.34371235
10101 4.9207993 4.95866691 4.99094585 5.28924605 5.19202711
10102 5.2260648 4.95012539 4.89417490 5.07399351 4.85002012
10103 -1.1799596 -1.17995959 -0.22773446 -1.17995959 0.51227961
10105 6.9127372 6.24923467 6.29702909 6.52889189 6.03948064
10106 6.7351973 7.66600216 7.66703829 7.63264715 8.52929350
101060200 4.0013419 2.99410977 2.81621880 3.18798428 3.51599511
101060691 2.2200803 1.59035353 1.20045002 2.18157228 1.69243714
10109 8.0366995 9.08640484 8.95775512 8.99515355 8.55218695
10112 5.7885070 7.15314421 6.90062102 7.17244846 5.57150220
10113 5.8136914 6.52128980 6.82912764 6.46738207 6.97563977
10114 8.1823858 7.38628661 7.46287002 7.43695483 7.57515048
101154753 0.1246732 0.23341162 0.55865107 0.06154998 -0.09876353
10116 7.5766174 7.70332960 8.11960819 7.69015097 7.68855428
10117 0.1246732 1.18712381 0.74777143 2.01959475 1.26977549
1012 6.7699250 7.91782163 7.72164122 7.86803179 8.59752352
10121 6.0080411 6.38850804 6.27028624 6.41743364 6.18002875
10123 4.9207993 5.61721864 5.76253757 5.65264097 5.06336469
THA_24_C4 DOX_24_C4 NUTL_24_C4 DMSO_24_C4 LPS_24_C4
100 1.84525287 3.73123283 1.679668403 1.5208572 1.7703968
1000 11.50710042 9.65990236 11.219067916 11.1570971 11.0867736
10000 7.35309604 6.38129209 7.679668504 7.7531920 7.7096999
10001 4.54500524 5.61307787 4.866315946 5.0094807 4.9511463
10003 3.60976284 4.19167610 4.552101850 4.3979055 3.8968451
100037417 -1.17995959 -1.17995959 -1.179959587 -1.1799596 -1.1799596
100049716 2.96265138 3.78820737 2.663119809 2.0996637 2.9937925
10005 3.68239640 3.47775602 3.869925742 3.2853519 3.6461427
10006 6.64743278 6.60919591 6.579609729 6.7398441 6.5066977
10007 4.63315498 5.59189838 4.494338661 4.5046415 4.1907766
10009 5.60166007 5.24369639 5.760534644 6.0664318 5.6705373
100093630 6.30041679 6.52789200 5.978441856 5.8303111 5.8790588
1001 4.72771387 5.95745815 5.154336640 4.9912394 4.8358454
10010 5.29695316 6.16530210 5.400617954 5.3036250 5.4595311
100101267 2.61225707 3.14117742 2.225492542 2.2907657 1.7703968
100101467 4.65738205 3.94675942 3.654773780 3.4277980 4.0426425
10011 5.77774489 5.57580719 5.679915290 5.2585796 5.2946520
100113386 0.57721110 0.90144016 -0.304621820 0.3228291 0.5174287
100113397 0.93523471 0.59577885 0.936987347 1.6191637 1.6841321
100113407 5.26577548 4.59443037 5.544170979 5.8405365 5.1889842
100125288 3.17891717 2.98747268 1.909188979 1.7111968 1.6841321
100127983 1.84525287 2.18356295 1.836664900 1.6191637 2.8023203
100128006 1.56696132 1.46442432 2.576696834 2.4054114 2.8427017
100128016 1.56696132 1.55476274 0.628760121 0.7272578 0.7043491
100128025 0.35821916 1.15352725 0.236272171 -0.2411470 0.7043491
100128054 2.00482446 3.38229716 1.978241120 1.8793262 2.1380004
100128071 -0.21490441 1.03298272 0.236272171 -0.2411470 0.3026340
100128191 0.57721110 4.74592742 1.978241120 2.2298350 2.2014843
100128252 3.00102265 1.72005758 2.334853107 2.4054114 2.7179997
100128379 1.22184064 0.75668940 -0.676897119 1.3015329 -0.2560473
100128398 5.37937225 5.15261128 3.958033153 4.1573534 3.9896800
100128494 2.92323161 3.67191542 3.185262732 3.6299703 3.3977689
100128569 1.56696132 1.93714012 0.936987347 2.5116134 1.3892625
100128640 -0.61819934 3.01955164 -0.304621820 -1.1799596 -0.2560473
100128682 -1.17995959 -1.17995959 -1.179959587 -1.1799596 -1.1799596
100128731 6.24153922 6.65841510 6.502593993 6.4703387 6.6557985
100128766 2.56180900 1.86834581 2.576696834 3.0934814 3.2554574
100128782 2.14849098 2.18356295 1.503477243 1.7111968 0.8698059
100128822 -1.17995959 -1.17995959 -1.179959587 -1.1799596 -1.1799596
100128833 2.27913767 3.08164585 2.531463076 2.5619197 1.7703968
100128881 2.21529270 2.88672032 1.836664900 2.2907657 2.5329574
100128893 4.50551314 6.86232540 3.958033153 4.2975596 4.3810165
100129001 1.46083715 1.03298272 0.236272171 1.0427829 1.7703968
100129013 1.75832004 1.36804899 2.386574032 1.6191637 2.0019825
100129029 0.35821916 1.26477174 0.236272171 -0.2411470 1.1527884
100129060 3.85990827 4.26040515 3.426734353 2.8721212 3.0637907
100129075 1.75832004 4.19167610 0.791089597 1.5208572 1.1527884
100129195 2.07844531 3.14117742 2.704464367 2.5116134 2.5814902
100129203 1.34628226 4.61557299 1.836664900 0.3228291 0.0501696
100129250 1.66581108 2.81541781 2.386574032 1.1779511 1.3892625
100129259 1.66581108 2.00280276 1.679668403 1.5208572 1.5923793
100129361 5.65075683 5.97801117 5.780004717 5.6443800 5.5658763
100129398 1.56696132 1.15352725 1.302735478 1.7977093 0.8698059
100129434 -1.17995959 1.79610609 0.628760121 -1.1799596 0.7043491
100129461 2.07844531 1.26477174 2.167537799 1.4153588 1.3892625
100129484 0.93523471 3.25334204 1.679668403 -0.6354990 -1.1799596
100129550 4.86926744 4.95942379 4.149830058 3.8685052 4.0769006
100129583 0.76730055 1.93714012 0.236272171 -0.2411470 -1.1799596
100129662 0.93523471 1.03298272 -1.179959587 -0.2411470 -0.6452738
100129707 1.34628226 1.15352725 1.069476299 1.5208572 1.2758651
100129716 1.66581108 2.06560650 1.406595039 0.5391689 0.7043491
100129726 2.34027658 3.38229716 0.236272171 -0.2411470 0.3026340
100129774 3.42454978 3.05093279 3.155756821 3.3724956 3.2252295
100129781 -0.61819934 1.93714012 0.628760121 0.8936291 -0.2560473
100129792 -0.61819934 -0.69039400 -0.676897119 -0.6354990 -1.1799596
100129794 1.75832004 0.59577885 1.406595039 2.1662170 1.3892625
100129842 1.56696132 1.46442432 -1.179959587 -0.2411470 0.0501696
100129917 3.83887752 3.08164585 1.760301176 2.3492270 2.0715938
100129924 0.76730055 1.26477174 -0.676897119 0.0682259 0.0501696
100129940 -0.21490441 2.70138686 0.236272171 2.5116134 1.2758651
100129995 0.35821916 -1.17995959 -1.179959587 -1.1799596 -1.1799596
10013 5.99293587 6.05741463 5.695378583 5.7512197 5.8196046
100130111 0.76730055 -1.17995959 -0.676897119 -1.1799596 -1.1799596
100130197 0.35821916 0.20745159 -0.008972974 0.8936291 0.5174287
100130335 2.88270441 3.25334204 1.909188979 2.9497435 2.9574772
100130348 3.60976284 3.43081598 2.964800641 3.3149885 3.2252295
100130357 0.35821916 0.75668940 0.236272171 -1.1799596 -1.1799596
100130466 3.77388079 3.89582056 4.072988477 4.1074173 3.5760146
100130476 -1.17995959 1.55476274 -0.008972974 -0.6354990 -1.1799596
100130522 -0.21490441 0.59577885 0.236272171 1.0427829 1.2758651
100130550 1.56696132 1.03298272 1.406595039 1.4153588 0.8698059
100130564 2.79806593 2.88672032 3.499008473 3.6763773 3.4509824
100130581 1.56696132 2.18356295 0.936987347 1.7977093 1.0182244
100130691 2.61225707 2.29259982 2.334853107 2.8316856 2.2622921
100130705 1.08564315 0.59577885 0.936987347 0.8936291 0.5174287
100130748 0.35821916 1.93714012 2.044138615 1.5208572 1.4943925
100130750 -1.17995959 -1.17995959 -1.179959587 -0.2411470 -0.6452738
100130855 2.00482446 1.26477174 1.679668403 1.3015329 0.8698059
100130958 1.66581108 3.50066548 -1.179959587 1.6191637 0.3026340
100131017 -1.17995959 -1.17995959 -1.179959587 -1.1799596 -1.1799596
100131031 2.56180900 2.23911124 2.386574032 2.2907657 2.0019825
100131033 2.21529270 2.62002969 2.620555358 2.2298350 2.0019825
100131067 2.00482446 3.35741181 1.503477243 1.0427829 1.4943925
100131089 1.66581108 2.06560650 0.236272171 -0.2411470 1.3892625
100131094 1.22184064 0.75668940 -0.008972974 0.5391689 0.8698059
100131138 1.46083715 -0.32552973 0.936987347 0.0682259 1.0182244
100131187 -0.21490441 1.86834581 1.302735478 0.3228291 0.3026340
100131193 1.34628226 0.75668940 1.503477243 1.8793262 2.4827350
100131211 4.09092282 5.09355941 4.517722190 3.9651316 3.9158962
100131213 0.76730055 2.98747268 1.978241120 2.1662170 1.7703968
100131471 2.56180900 2.39397175 2.576696834 2.0298912 2.2014843
100131656 3.55922592 4.70705808 2.964800641 2.7900839 3.1305492
100131685 2.07844531 2.12578992 3.756562081 3.5820208 3.4509824
100131691 2.92323161 4.32600833 1.909188979 1.8793262 2.3767199
100131740 1.08564315 1.55476274 0.936987347 1.0427829 0.3026340
100131801 3.07483288 4.57297329 3.270323812 3.7213379 3.5023028
100131827 0.76730055 1.63977617 0.628760121 -0.2411470 0.7043491
100131828 -0.61819934 -0.32552973 -0.676897119 -0.6354990 -0.2560473
100131940 2.14849098 1.55476274 0.445822325 -0.2411470 -0.2560473
100132074 -1.17995959 -0.03456507 -0.008972974 -1.1799596 -0.6452738
100132086 -0.21490441 1.26477174 1.190815016 1.3015329 1.5923793
100132116 7.62595452 5.93240168 9.573075228 9.5164027 9.5162465
100132126 0.57721110 -0.32552973 0.628760121 0.7272578 0.0501696
100132215 1.56696132 1.46442432 0.936987347 1.5208572 0.0501696
100132537 3.36695013 1.93714012 3.125634835 3.6299703 3.2252295
100132609 0.57721110 1.03298272 1.069476299 0.3228291 0.8698059
100132659 0.57721110 0.20745159 0.791089597 0.7272578 -0.6452738
100132891 -0.21490441 -1.17995959 -1.179959587 -1.1799596 -1.1799596
100132972 1.34628226 1.55476274 -0.008972974 1.0427829 0.5174287
100133234 -0.61819934 -0.03456507 -0.008972974 1.1779511 0.0501696
100133286 0.09993199 1.26477174 0.445822325 0.8936291 1.0182244
100133315 -0.21490441 1.55476274 0.236272171 0.5391689 0.0501696
100134934 2.27913767 1.55476274 2.436504745 1.7111968 1.3892625
10014 6.22542408 6.95232552 6.232744183 6.2540688 6.2419212
100144603 1.08564315 2.44210598 1.978241120 1.8793262 1.8517931
100144748 1.92724375 5.05538562 1.594260852 1.3015329 1.5923793
10015 7.30789634 7.97859741 7.577668489 7.6435868 7.4272202
10016 5.67469254 6.55276786 5.437867393 5.4510520 5.3234739
100170229 0.93523471 -0.69039400 1.594260852 1.3015329 0.8698059
100170841 4.27442092 6.12900370 5.053946477 4.9634376 5.0579105
10018 4.09092282 6.58260048 3.696354787 3.7862560 3.7130194
100188847 1.46083715 0.75668940 1.190815016 1.1779511 1.5923793
10019 5.10771942 4.92596366 4.041068021 4.0731397 4.4215713
100190938 2.84100577 3.14117742 2.167537799 2.6105307 2.8427017
1002 -0.21490441 -0.69039400 -0.304621820 0.7272578 -0.6452738
10020 4.68120900 3.69196010 4.104217935 3.9079357 3.6910698
10021 6.75238100 7.28976073 7.848239979 8.0046374 7.9248164
10023 1.92724375 4.08959914 1.594260852 1.0427829 1.4943925
10024 4.21036216 6.08799146 5.176544137 5.1721560 5.1652979
10026 6.40427917 6.53067726 6.766899032 6.4769086 6.1280877
100268168 0.93523471 0.59577885 0.445822325 0.7272578 0.3026340
100270804 1.66581108 1.55476274 1.406595039 -0.2411470 1.0182244
100270827 0.93523471 -0.32552973 -0.304621820 -0.2411470 -0.2560473
100270840 3.53327771 3.92997885 4.008425297 3.4004118 3.5272942
100270854 2.66100053 1.03298272 2.620555358 2.0298912 2.4827350
100270865 3.47993778 3.43081598 3.297598380 3.3440286 3.4509824
100271271 3.53327771 3.89582056 2.895086319 3.0234018 3.1943547
100271332 1.84525287 2.29259982 2.895086319 2.8316856 2.4827350
100271415 1.66581108 2.62002969 1.909188979 1.8793262 1.5923793
100271479 0.35821916 -0.69039400 -1.179959587 -0.2411470 -1.1799596
100271884 0.09993199 0.90144016 1.406595039 0.8936291 1.9288413
100272147 2.34027658 3.28007170 1.679668403 2.2907657 2.1380004
100286844 2.27913767 2.95466419 1.679668403 1.1779511 1.4943925
100287015 -0.21490441 1.46442432 0.791089597 -1.1799596 -1.1799596
100287049 0.57721110 1.93714012 0.236272171 0.5391689 0.0501696
100287074 2.14849098 2.44210598 2.281208808 2.5116134 2.3767199
100287616 4.39458916 3.11171868 4.149830058 4.3839906 4.5119880
100287722 1.46083715 2.53380895 1.069476299 0.8936291 1.4943925
100287808 0.57721110 3.11171868 0.628760121 1.3015329 -0.2560473
100287837 -0.21490441 0.59577885 -0.304621820 -1.1799596 0.8698059
100287896 3.53327771 2.23911124 3.063435815 2.7472468 2.7607759
100287902 0.09993199 0.75668940 -0.304621820 -0.2411470 -0.6452738
100287928 2.14849098 2.70138686 1.978241120 2.0996637 2.3206402
100287932 5.50484212 5.59189838 5.674723807 5.6029342 5.6422181
100288001 1.92724375 2.66128169 2.663119809 2.3492270 1.6841321
100288073 7.81011501 3.22610778 4.371373808 4.5675517 4.2669428
100288123 0.93523471 1.63977617 0.236272171 0.3228291 0.7043491
100288198 2.70815079 4.23330515 2.436504745 2.7900839 2.5329574
100288241 2.07844531 2.34417597 1.836664900 1.3015329 2.1380004
100288413 3.88063684 4.84771435 3.031300921 3.9079357 3.7976231
100288513 0.57721110 2.18356295 1.406595039 0.7272578 0.8698059
100288842 0.93523471 1.36804899 0.791089597 1.0427829 1.7703968
100289061 0.35821916 0.75668940 0.236272171 0.7272578 0.5174287
100289095 1.92724375 1.72005758 1.836664900 0.8936291 1.6841321
100289133 -1.17995959 1.26477174 0.445822325 1.1779511 0.3026340
100289178 1.34628226 1.63977617 1.760301176 2.0298912 1.3892625
100289211 1.34628226 0.75668940 0.628760121 1.5208572 1.6841321
100289259 0.76730055 0.20745159 1.069476299 0.8936291 0.3026340
100289274 5.53784199 5.02410224 3.185262732 2.9870427 2.9937925
100289341 1.66581108 3.01955164 1.679668403 1.6191637 0.5174287
100289373 -1.17995959 0.59577885 -0.304621820 -1.1799596 -1.1799596
100289388 2.79806593 3.22610778 2.895086319 2.3492270 2.6284433
100289414 0.93523471 1.15352725 -0.676897119 1.3015329 0.7043491
100289635 6.48771518 5.53199869 5.679915290 5.5289909 5.6927990
100289640 2.50953273 2.57756333 2.620555358 2.3492270 2.2622921
100289678 2.45529078 2.81541781 2.281208808 1.7111968 2.4307011
100293516 3.96069534 4.28700546 4.319095025 4.5919673 4.3946618
100294362 2.50953273 2.06560650 1.406595039 0.8936291 2.0715938
1003 -0.21490441 -1.17995959 1.069476299 0.0682259 2.7607759
100302692 2.92323161 2.29259982 2.225492542 2.0996637 1.4943925
100302736 3.27599488 2.00280276 2.167537799 2.4054114 1.8517931
100303728 2.75380874 3.30631512 2.895086319 2.6575571 3.4509824
100303755 2.00482446 2.44210598 2.225492542 1.5208572 2.2014843
100312828 -0.21490441 0.90144016 0.628760121 -0.2411470 -0.2560473
100312850 -0.61819934 1.15352725 -0.304621820 -0.2411470 -1.1799596
10036 4.42312990 6.66603532 5.940012898 5.5848006 5.6817111
100379345 3.21200755 3.28007170 3.155756821 3.3724956 3.0637907
10038 6.00714504 5.34211124 5.549853197 5.4970264 5.8496380
100381270 1.22184064 0.41464162 0.628760121 0.7272578 0.8698059
10039 5.96409068 4.58374172 5.760534644 5.6846683 6.0908526
1004 4.62088714 5.85894976 7.029365408 6.2113688 6.5035527
10040 4.75041598 3.40676052 4.639966436 4.4786886 4.1907766
100418710 1.34628226 2.66128169 2.107157155 2.0298912 2.1380004
100418735 3.65858922 3.58882991 4.517722190 4.4253389 4.6320528
100418744 0.09993199 0.90144016 -0.008972974 0.7272578 -1.1799596
100418770 1.22184064 1.55476274 1.406595039 1.1779511 0.0501696
100418781 -1.17995959 1.03298272 -0.676897119 0.7272578 0.0501696
100418819 1.08564315 0.41464162 1.978241120 1.1779511 2.1380004
100418829 2.14849098 1.79610609 0.936987347 1.4153588 1.6841321
100418888 1.34628226 1.55476274 1.760301176 -0.2411470 2.0019825
100418889 2.96265138 2.95466419 2.531463076 2.4594894 1.9288413
100418910 0.93523471 1.03298272 1.909188979 1.5208572 1.9288413
100418919 2.00482446 3.17004665 2.744657013 2.9497435 2.8023203
100419028 -0.61819934 2.29259982 -0.008972974 1.9565720 1.0182244
100419185 -1.17995959 0.20745159 -0.676897119 -1.1799596 -0.2560473
100419416 1.08564315 0.41464162 0.236272171 0.7272578 1.2758651
100419515 0.93523471 0.75668940 0.628760121 1.3015329 0.3026340
100419645 0.35821916 0.20745159 -1.179959587 -0.6354990 0.3026340
100419758 -1.17995959 1.63977617 0.628760121 0.0682259 0.3026340
100419928 2.14849098 2.18356295 1.679668403 1.7977093 0.5174287
10042 5.26577548 5.82758316 5.944333682 6.1303384 5.4979661
100420028 -0.21490441 -0.32552973 0.791089597 0.3228291 0.3026340
100420050 0.57721110 0.90144016 0.445822325 -0.2411470 0.0501696
100420110 4.07302326 3.65158831 3.350647712 3.5324227 3.3977689
100420187 2.61225707 3.01955164 1.760301176 2.3492270 2.3206402
100420259 3.88063684 3.17004665 4.104217935 4.2056187 4.4215713
100420307 0.93523471 0.75668940 1.679668403 1.0427829 1.5923793
100420341 6.97352748 4.90893801 5.146857521 5.1227384 5.2577956
100420423 1.08564315 -0.69039400 1.069476299 1.3015329 2.2014843
100420591 2.21529270 1.36804899 1.069476299 1.7111968 1.0182244
100420707 2.21529270 3.33208967 2.044138615 1.0427829 2.8819836
100420752 2.50953273 2.00280276 2.386574032 2.3492270 2.2622921
100420869 4.30541431 4.91747595 4.517722190 4.5551872 4.2963179
100420981 5.76665147 6.42086423 5.503756197 5.6385316 5.8446756
100421093 3.42454978 3.92997885 4.024838980 3.9079357 3.6461427
100421109 -0.21490441 0.90144016 1.406595039 0.5391689 0.7043491
100421160 0.76730055 0.20745159 1.190815016 0.8936291 1.0182244
100421175 1.92724375 3.19834951 2.044138615 2.0996637 2.6284433
100421246 1.92724375 2.06560650 2.225492542 1.7977093 1.9288413
100421311 3.21200755 2.66128169 2.620555358 2.4594894 2.4827350
100421372 0.57721110 2.66128169 1.978241120 1.7977093 1.8517931
100421400 2.84100577 1.55476274 2.531463076 2.2907657 2.8427017
100421415 0.57721110 -1.17995959 0.445822325 0.0682259 -0.2560473
100421429 0.09993199 0.90144016 0.445822325 1.0427829 0.7043491
100421465 1.84525287 3.01955164 2.858923777 2.9870427 2.6739163
100421468 1.75832004 2.39397175 1.503477243 2.8316856 2.0715938
100421506 -1.17995959 0.20745159 -0.676897119 -0.2411470 -1.1799596
100421569 -0.21490441 1.55476274 -0.676897119 0.8936291 0.7043491
100421595 1.46083715 2.48868596 1.594260852 0.7272578 1.1527884
100421794 3.65858922 4.19167610 3.633525052 3.2550936 3.4768708
100422106 1.84525287 2.23911124 1.069476299 1.4153588 1.2758651
100422338 1.75832004 3.08164585 2.484765041 2.4054114 2.3767199
100422546 -1.17995959 0.59577885 0.628760121 0.7272578 1.4943925
100422561 4.53196096 3.19834951 4.470569873 3.8883552 4.1430688
10043 5.49142787 5.53754806 5.255166339 5.3036250 5.1330987
10044 2.00482446 3.91300080 4.820041151 4.6278329 4.6320528
10045 3.85990827 1.72005758 -0.304621820 -0.2411470 0.3026340
10046 1.75832004 2.66128169 2.964800641 3.2241871 3.0292161
10048 6.82636745 7.18757733 6.805411901 6.7288767 6.6242929
10049 5.44347075 5.26392377 6.007639031 5.7939406 5.9361596
100499177 3.99911798 3.30631512 2.930364534 2.9497435 2.8023203
100499483 1.34628226 -1.17995959 0.445822325 0.3228291 1.0182244
1005 -0.21490441 -0.32552973 0.236272171 -1.1799596 -1.1799596
100500719 -0.21490441 1.63977617 -0.304621820 0.7272578 -1.1799596
100505385 2.27913767 2.39397175 3.125634835 2.5619197 2.1380004
100505501 2.50953273 3.97974612 2.386574032 2.4594894 2.0019825
100505538 1.92724375 3.01955164 1.190815016 1.0427829 -0.6452738
100505549 -0.21490441 -0.32552973 -0.676897119 0.5391689 -0.2560473
100505573 5.31990207 6.25224295 6.068282922 5.9198305 5.6364870
100505576 4.78381305 3.84301712 5.069853146 4.6969953 4.8946474
100505616 1.75832004 1.36804899 -0.304621820 0.0682259 -1.1799596
100505624 1.75832004 1.63977617 1.760301176 2.0298912 1.4943925
100505635 -1.17995959 0.20745159 2.334853107 2.1662170 2.2622921
100505641 2.21529270 3.58882991 2.620555358 2.4594894 3.2554574
100505648 3.27599488 3.33208967 2.576696834 2.1662170 2.2014843
100505678 0.76730055 1.86834581 1.190815016 1.4153588 1.1527884
100505696 3.77388079 3.84301712 3.851639653 4.0020401 3.6461427
100505715 1.56696132 1.36804899 1.503477243 1.6191637 1.4943925
100505738 -1.17995959 -1.17995959 -1.179959587 -1.1799596 -1.1799596
100505741 1.22184064 2.34417597 1.503477243 0.8936291 -0.6452738
100505758 3.58471565 3.54542106 3.499008473 3.6763773 3.2850649
100505761 3.07483288 2.00280276 2.386574032 1.7111968 1.8517931
100505771 3.92122135 4.41311265 3.350647712 3.4546741 2.8427017
100505783 -1.17995959 0.90144016 -1.179959587 -0.6354990 -1.1799596
100505806 3.17891717 2.39397175 2.281208808 3.1603140 3.1305492
100505812 0.35821916 1.03298272 -1.179959587 0.3228291 -0.2560473
100505832 -0.21490441 -1.17995959 -0.008972974 -0.2411470 -1.1799596
100505854 0.35821916 2.66128169 0.936987347 0.5391689 -0.2560473
100505876 5.69823761 5.97392392 5.605477384 5.6208427 5.4200440
100505894 1.46083715 2.77839997 1.302735478 2.2907657 1.5923793
100505933 0.35821916 0.20745159 -0.676897119 0.0682259 -0.2560473
100505994 2.70815079 2.81541781 0.628760121 -1.1799596 0.0501696
100506020 0.93523471 0.90144016 1.069476299 1.0427829 1.0182244
100506033 5.45042015 5.67481234 5.387984642 5.0802234 5.4660084
100506054 -1.17995959 1.46442432 0.936987347 0.5391689 0.7043491
100506068 0.09993199 0.41464162 0.236272171 0.8936291 0.7043491
100506070 1.34628226 1.26477174 -1.179959587 -0.6354990 0.7043491
100506083 0.76730055 1.15352725 1.503477243 1.4153588 1.7703968
100506100 0.35821916 0.59577885 1.190815016 -1.1799596 0.0501696
100506119 0.09993199 2.98747268 -0.008972974 -0.2411470 -0.2560473
100506127 2.00482446 2.06560650 1.909188979 1.1779511 2.0715938
100506142 -0.61819934 -0.32552973 -1.179959587 -0.2411470 -0.2560473
100506144 1.56696132 0.41464162 1.069476299 1.1779511 1.0182244
100506161 1.56696132 1.79610609 1.069476299 -0.6354990 0.3026340
100506211 2.70815079 -1.17995959 1.978241120 4.6743076 4.9876193
100506235 1.46083715 2.85150952 0.445822325 1.0427829 0.7043491
100506258 0.35821916 0.90144016 -0.676897119 -1.1799596 -1.1799596
100506282 2.14849098 3.08164585 1.909188979 2.0996637 1.7703968
100506286 -0.21490441 0.20745159 -0.676897119 0.3228291 0.3026340
100506302 1.22184064 2.29259982 1.594260852 1.6191637 2.0715938
100506321 0.76730055 0.41464162 -0.008972974 0.8936291 0.8698059
100506325 -0.21490441 0.41464162 0.236272171 0.3228291 1.2758651
100506343 -1.17995959 1.26477174 1.406595039 0.0682259 0.7043491
100506365 5.24993028 5.10107444 5.116547181 5.0274943 4.8557135
100506368 -0.61819934 1.79610609 -0.008972974 -1.1799596 -1.1799596
100506380 2.84100577 2.44210598 2.663119809 2.8316856 1.8517931
100506392 4.79477578 3.65158831 3.991822723 3.5324227 3.0975560
100506394 -1.17995959 -0.32552973 -1.179959587 -0.6354990 -0.2560473
100506411 0.93523471 1.63977617 0.791089597 2.0996637 0.8698059
100506433 2.66100053 2.53380895 1.190815016 1.0427829 1.1527884
100506462 0.35821916 0.90144016 -0.676897119 -1.1799596 0.8698059
100506469 3.11036856 3.25334204 2.484765041 2.2298350 2.9937925
100506495 -1.17995959 0.41464162 -0.304621820 0.3228291 -0.2560473
100506504 2.56180900 1.63977617 2.107157155 2.6575571 1.5923793
100506540 1.84525287 1.72005758 1.190815016 0.7272578 1.2758651
100506581 2.79806593 2.48868596 2.704464367 2.0996637 3.0637907
100506606 0.57721110 0.59577885 -1.179959587 -1.1799596 -1.1799596
100506658 3.65858922 2.92109220 2.998433909 3.1926040 3.0637907
100506668 1.92724375 1.86834581 2.386574032 2.5116134 2.6284433
100506686 2.07844531 2.00280276 1.909188979 1.8793262 1.4943925
100506691 -0.21490441 0.20745159 -1.179959587 1.0427829 0.0501696
100506696 0.35821916 1.03298272 0.236272171 -1.1799596 0.7043491
100506697 -1.17995959 2.39397175 0.936987347 0.3228291 0.3026340
100506710 5.58280930 5.54858316 4.506077801 4.4522604 4.4479880
100506713 0.35821916 -0.03456507 0.445822325 0.0682259 0.5174287
100506725 2.21529270 3.14117742 2.484765041 3.0934814 2.8427017
100506731 -0.21490441 3.50066548 0.628760121 0.3228291 0.3026340
100506757 1.08564315 2.00280276 0.445822325 -1.1799596 1.4943925
100506779 -0.21490441 1.03298272 0.236272171 -0.2411470 -0.6452738
100506804 0.09993199 1.63977617 0.236272171 0.0682259 -0.2560473
100506826 1.22184064 2.29259982 1.503477243 0.3228291 0.8698059
100506844 3.36695013 3.08164585 1.909188979 1.1779511 2.0019825
100506866 4.43719130 3.58882991 3.991822723 4.9446009 4.8946474
100506881 2.70815079 3.17004665 2.167537799 1.8793262 2.2014843
100506885 -0.21490441 2.66128169 1.069476299 0.5391689 0.3026340
100506911 -0.61819934 0.59577885 0.236272171 -0.6354990 -0.2560473
100506922 -0.61819934 1.15352725 -0.304621820 0.0682259 -0.2560473
100506930 1.08564315 -1.17995959 -0.304621820 -0.2411470 -0.2560473
100506994 -0.21490441 1.63977617 0.936987347 0.8936291 0.7043491
100507003 0.93523471 -0.32552973 -0.304621820 -0.2411470 -0.2560473
100507032 -1.17995959 -1.17995959 -1.179959587 -1.1799596 -1.1799596
100507034 3.21200755 5.29701834 3.242523658 3.2853519 2.8023203
100507050 -1.17995959 2.29259982 -1.179959587 0.0682259 0.0501696
100507053 -0.21490441 1.55476274 -1.179959587 -0.6354990 0.0501696
100507057 -1.17995959 2.29259982 -0.304621820 -1.1799596 -0.2560473
100507062 -0.21490441 -0.69039400 -0.676897119 -0.2411470 -0.6452738
100507071 1.46083715 0.75668940 -0.008972974 0.5391689 0.5174287
100507156 2.79806593 3.87843327 3.094870498 3.2550936 3.6687811
100507171 3.90107180 0.41464162 2.484765041 2.4054114 3.2850649
100507173 0.93523471 -0.32552973 -0.008972974 0.7272578 0.7043491
100507178 1.34628226 0.59577885 -0.304621820 -1.1799596 0.0501696
100507244 1.84525287 2.70138686 0.936987347 1.4153588 1.9288413
100507246 3.83887752 3.30631512 3.155756821 3.9651316 3.9346989
100507250 0.35821916 1.36804899 1.503477243 0.7272578 0.5174287
100507254 0.76730055 -0.03456507 2.484765041 2.4054114 2.9202241
100507266 0.93523471 -0.32552973 0.791089597 0.8936291 -0.2560473
100507290 4.64531937 4.35143651 4.222785003 4.8865685 4.5612193
100507291 0.35821916 0.75668940 -0.676897119 0.5391689 -0.2560473
100507303 2.92323161 3.25334204 2.281208808 1.9565720 2.3206402
100507308 0.09993199 1.15352725 0.445822325 0.0682259 -0.2560473
100507316 -1.17995959 0.59577885 -1.179959587 -0.2411470 -0.2560473
100507331 2.27913767 2.12578992 0.936987347 1.3015329 1.6841321
100507347 2.39892952 5.52642790 1.594260852 2.5619197 2.0019825
100507373 2.50953273 3.19834951 1.760301176 1.7111968 2.5329574
100507392 1.22184064 2.92109220 1.069476299 1.5208572 1.2758651
100507398 1.66581108 2.39397175 1.190815016 0.3228291 0.8698059
100507401 0.35821916 1.15352725 -0.304621820 0.8936291 0.5174287
100507420 -1.17995959 2.12578992 0.936987347 -0.2411470 0.3026340
100507433 1.34628226 2.66128169 1.406595039 -0.6354990 1.3892625
100507436 1.22184064 0.59577885 -0.304621820 0.3228291 0.7043491
100507437 1.75832004 1.15352725 1.760301176 0.3228291 1.3892625
100507459 1.75832004 3.54542106 -0.304621820 1.5208572 0.7043491
100507463 1.46083715 1.26477174 -0.008972974 -0.6354990 -0.2560473
100507487 2.34027658 3.52321681 1.760301176 1.3015329 1.5923793
100507495 4.64531937 4.40098656 4.358480639 4.5427158 4.5244542
100507516 0.35821916 2.74040724 -0.304621820 -1.1799596 0.3026340
100507551 0.35821916 0.59577885 -1.179959587 0.0682259 1.0182244
100507557 2.39892952 2.70138686 0.936987347 0.8936291 1.3892625
100507564 0.93523471 0.59577885 0.936987347 -0.2411470 0.3026340
100507567 -0.21490441 0.75668940 -0.008972974 -0.2411470 -0.6452738
100507588 0.09993199 1.93714012 -0.676897119 0.3228291 0.8698059
100507599 0.76730055 2.66128169 0.628760121 0.3228291 0.3026340
100507602 4.64531937 3.40676052 4.801107478 4.1573534 4.3672409
100508120 2.34027658 0.20745159 1.594260852 1.7977093 0.5174287
10051 6.53424698 7.93616139 7.986644887 7.9143428 7.8047500
10052 1.66581108 1.15352725 1.836664900 1.8793262 1.4943925
100526737 2.07844531 2.81541781 1.836664900 2.1662170 2.3206402
100526760 1.56696132 1.46442432 1.594260852 0.8936291 1.6841321
100526820 0.57721110 1.79610609 1.594260852 1.3015329 1.1527884
100526835 3.21200755 3.19834951 2.821831430 2.6575571 2.7607759
100527978 -0.21490441 -0.32552973 0.236272171 0.0682259 0.0501696
100529145 2.34027658 1.86834581 1.594260852 1.4153588 1.6841321
100529215 1.08564315 -0.69039400 -0.304621820 0.0682259 -0.6452738
100532746 3.88063684 4.05905673 3.522317043 3.7649396 3.7130194
100533106 0.35821916 0.20745159 -0.304621820 -1.1799596 -0.2560473
100533182 0.57721110 1.03298272 0.236272171 -0.6354990 0.3026340
100533619 -0.21490441 1.03298272 -1.179959587 -1.1799596 -0.2560473
100533629 -1.17995959 -0.32552973 0.791089597 -0.6354990 0.0501696
100533695 -0.61819934 0.59577885 -0.676897119 -0.2411470 0.0501696
100533970 1.08564315 1.79610609 1.978241120 1.1779511 0.8698059
100534593 1.22184064 1.63977617 -0.008972974 0.0682259 -0.2560473
10054 6.31952053 6.74730417 6.663244682 6.6612620 6.7675161
10056 5.76665147 5.49824663 6.399369585 6.3960229 6.4781429
10057 7.19657429 7.74313738 6.699482406 6.6113754 6.4717199
10058 6.39710336 6.86232540 5.303056072 5.3473064 5.6479266
10059 6.60757683 6.89078724 7.172515816 7.1278751 7.2658236
1006 -0.21490441 2.62002969 3.696354787 0.7272578 1.2758651
10060 3.65858922 4.37642425 3.499008473 3.7213379 3.7130194
100616256 -0.21490441 1.26477174 1.069476299 -0.2411470 -0.2560473
10062 1.46083715 2.00280276 0.445822325 1.9565720 2.0715938
10063 3.58471565 3.84301712 4.292227625 4.3414223 3.8381344
100652739 0.09993199 1.26477174 -0.008972974 1.0427829 0.3026340
100652758 1.92724375 3.35741181 1.406595039 -1.1799596 1.3892625
100652846 1.08564315 0.20745159 1.594260852 1.6191637 0.8698059
10066 7.13751703 6.71583343 7.185349686 6.9193937 6.8240765
10067 6.32331111 5.87218659 6.091844265 5.8607723 5.7147225
10068 3.70581708 3.82497758 3.063435815 3.2853519 3.3140770
10069 3.90107180 5.07841089 2.663119809 3.0234018 3.3425172
10072 3.92122135 5.02410224 4.506077801 4.6856961 4.9042189
10073 4.03654381 4.70705808 3.795348197 3.6533604 4.3810165
10075 8.82081304 8.76430987 8.552135566 8.6964908 8.7136320
10076 3.53327771 4.95942379 3.242523658 2.8721212 3.1628046
10077 0.57721110 0.20745159 -0.304621820 -0.2411470 0.8698059
100775107 0.93523471 1.79610609 0.445822325 1.0427829 0.3026340
10078 5.19306011 5.32937073 4.996850011 4.9820316 5.1811319
10079 5.60788932 4.40098656 5.486082880 5.3966507 5.5718943
1008 1.08564315 3.11171868 4.134785680 1.8793262 1.4943925
10081 5.22583132 5.70964069 5.248193308 4.9446009 4.6320528
10082 6.56978310 4.30012392 6.757108002 6.6321263 6.5712064
100820829 1.66581108 3.52321681 3.499008473 3.6763773 3.2850649
10084 4.97906859 5.55406922 4.801107478 4.8363587 4.9965953
100847074 2.14849098 1.79610609 2.225492542 2.2907657 2.6739163
10085 9.46614583 8.77198074 9.774266366 9.6235405 9.4754956
100852407 2.00482446 0.75668940 0.236272171 1.3015329 1.1527884
100861412 2.39892952 1.03298272 0.445822325 1.5208572 0.5174287
100861548 5.40105639 5.31651670 4.596702942 4.2675590 4.4479880
100862671 0.76730055 1.03298272 1.069476299 -0.2411470 1.1527884
10087 6.51780023 7.15906025 6.418130642 6.2692880 6.2419212
100873257 0.57721110 0.90144016 -1.179959587 1.1779511 -0.2560473
100873333 2.34027658 2.23911124 3.125634835 2.6575571 2.3767199
100873790 2.61225707 4.21956184 2.821831430 2.6575571 2.6739163
100873949 0.93523471 0.20745159 0.791089597 0.0682259 0.7043491
100873952 0.35821916 0.90144016 -0.676897119 0.3228291 0.0501696
100873965 0.76730055 1.72005758 1.836664900 1.9565720 1.5923793
100874006 2.39892952 1.15352725 1.302735478 2.0298912 2.1380004
100874008 1.34628226 -0.03456507 0.628760121 2.1662170 2.2014843
100874014 1.22184064 2.66128169 2.436504745 1.7111968 1.6841321
100874058 2.66100053 1.79610609 1.503477243 1.5208572 1.4943925
100874080 -0.21490441 0.41464162 1.594260852 0.0682259 1.7703968
100874097 2.45529078 1.72005758 1.594260852 1.7111968 2.1380004
100874201 0.76730055 0.20745159 0.236272171 -0.6354990 0.5174287
100874212 0.57721110 1.46442432 1.302735478 1.4153588 1.1527884
100874217 0.57721110 0.75668940 1.069476299 0.5391689 0.8698059
100874235 -0.21490441 -0.03456507 -0.676897119 -0.2411470 -0.6452738
100874261 1.34628226 0.59577885 -0.676897119 -0.2411470 0.3026340
100874291 1.08564315 2.00280276 0.236272171 0.8936291 1.2758651
100874362 2.27913767 2.95466419 1.679668403 1.1779511 1.5923793
100874523 1.22184064 1.03298272 2.281208808 2.0298912 1.6841321
100885775 0.57721110 1.93714012 1.679668403 2.1662170 2.7179997
100885776 2.27913767 1.36804899 0.791089597 0.7272578 0.0501696
100885848 3.75154778 3.75047543 4.671583373 4.8157751 5.4267007
1009 8.75918224 8.06663161 10.187452297 10.1825894 10.1610377
10090 4.35069063 4.17752846 4.088687706 4.4786886 4.0426425
10092 7.50767397 7.44693768 8.147065807 8.2468375 8.1775812
10093 6.76915345 7.34302211 7.653517721 7.5915617 7.7014889
10094 4.40893011 4.64671708 4.681970229 4.7843382 4.5852190
10095 5.68061493 6.40577235 6.064318348 5.8096404 6.2229245
10097 8.04516760 8.56203765 8.812407441 8.7021093 8.8179578
10098 5.85833316 5.87657202 6.448866888 6.6869903 6.5831734
10099 8.18297359 8.69337243 8.178583208 8.1859876 8.0443366
100996246 2.70815079 2.48868596 2.998433909 2.9497435 3.0975560
100996251 0.57721110 1.15352725 0.628760121 1.1779511 1.3892625
100996307 3.11036856 2.77839997 2.998433909 2.9114544 2.1380004
100996384 -0.61819934 0.59577885 -0.304621820 0.3228291 0.0501696
100996419 1.46083715 0.75668940 -0.304621820 0.3228291 -0.2560473
100996485 2.84100577 2.81541781 2.386574032 1.3015329 2.2622921
100996539 0.93523471 1.79610609 -0.676897119 0.5391689 -1.1799596
100996579 -0.21490441 0.59577885 -0.304621820 -1.1799596 -0.2560473
100996696 2.70815079 3.50066548 3.401815354 3.2550936 2.7607759
100996842 2.34027658 3.35741181 1.594260852 1.7977093 1.5923793
100996851 -0.21490441 1.26477174 0.445822325 1.5208572 1.1527884
100996939 0.93523471 1.03298272 1.594260852 1.0427829 0.0501696
101 0.35821916 2.77839997 0.236272171 -1.1799596 -1.1799596
1010 -0.21490441 0.20745159 -0.304621820 0.3228291 -0.2560473
10100 2.75380874 3.61005416 4.194044198 4.8964041 4.7745444
10101 5.39386450 5.74844143 5.183871315 4.8566528 4.9603514
10102 4.42312990 5.15982567 5.021597123 4.8261036 4.8946474
10103 -1.17995959 -1.17995959 0.236272171 1.0427829 0.7043491
10105 5.78325977 6.57452530 6.122672516 6.1995006 6.3717770
10106 8.29434479 7.97553431 7.671872921 7.7409620 7.7042311
101060200 3.17891717 4.46062281 3.155756821 2.4054114 2.5329574
101060691 2.27913767 1.15352725 1.406595039 1.0427829 0.7043491
10109 8.36776105 8.73804006 9.143125755 9.0679187 9.1379567
10112 5.05398172 7.32227446 6.943477415 6.9072840 6.7249422
10113 7.36417812 6.46521512 6.439714575 6.4703387 6.5098358
10114 7.52093869 7.96115321 7.294297754 7.4129419 7.3953353
101154753 -0.21490441 0.41464162 -0.304621820 -0.2411470 0.7043491
10116 7.88126951 6.95440141 7.420618708 7.6036196 7.5813414
10117 0.76730055 2.62002969 -1.179959587 0.7272578 0.7043491
1012 8.86828957 7.69180247 8.149874617 7.9909319 8.2581659
10121 5.71564762 5.57580719 6.156584663 6.3960229 6.2494503
10123 4.91016854 6.38129209 5.462176550 5.3328924 5.3091349
TNFa_24_C4 H2O_24_C4 BPA_24_C4 PFOA_24_C4 EtOH_24_C4 TUN_2_C5
100 2.10125178 2.2293213 1.90362835 1.65363763 1.2382132 2.20782050
1000 11.01040976 11.0837440 11.09629892 11.02673247 10.9513902 11.04079455
10000 7.78164429 7.8748104 7.85228799 7.87648288 7.8261849 6.47796051
10001 5.11768723 4.9385623 4.86918772 4.71869471 4.9300417 4.56147986
10003 3.88159867 4.3941511 4.49989780 4.33259768 4.6406950 2.57271039
100037417 -1.17995959 -1.1799596 -1.17995959 -1.17995959 -1.1799596 -1.17995959
100049716 1.97239888 2.5441796 2.73877023 2.16951047 2.2974826 2.61804788
10005 3.20791001 3.5093841 3.44518242 3.33652693 3.4993125 3.67656641
10006 6.64880757 6.7628286 6.59264940 6.67884050 6.5930450 6.59596001
10007 4.62280829 4.3941511 4.69632664 4.76042886 4.1629932 4.69441476
10009 5.77347678 5.8849216 5.88982218 5.76410376 5.5381071 6.45002593
100093630 5.65251302 5.8154696 5.88982218 5.95592514 5.7471390 6.14393477
1001 4.41537913 4.9231076 4.99063464 4.80098960 5.0462391 5.85771703
10010 6.17221712 5.5088429 5.45593711 5.33753902 5.1451101 5.82425606
100101267 2.16160475 2.1251161 2.21978585 2.54872143 2.2335552 2.01791688
100101467 3.91704411 3.1859107 3.95190984 3.49325614 3.4993125 2.78636594
10011 5.46766381 5.5597007 5.53792804 5.61851718 5.6586281 5.57692433
100113386 0.62406075 0.1307554 -0.30748533 -0.27268504 -0.2050328 -0.28416142
100113397 0.62406075 1.1625305 1.49815751 0.99060528 1.3629688 0.97143037
100113407 5.70415256 5.6932458 5.73454766 5.51259861 5.5643301 3.93127713
100125288 1.40111182 1.8909832 1.97264582 2.23017658 2.4738453 1.22690221
100127983 2.73851039 2.6973883 2.16185554 2.16951047 2.1666631 1.71820861
100128006 2.81566219 1.9531738 2.92442752 2.10618092 2.7726648 1.79917166
100128016 1.18550881 1.7579310 0.78639714 0.99060528 0.5914416 0.97143037
100128025 -1.17995959 0.8060104 -0.01247312 -0.27268504 0.1118279 0.66077232
100128054 2.21953398 1.6113499 2.38080439 2.54872143 1.7758721 1.79917166
100128071 -0.01262748 -0.1023861 -0.67874972 -1.17995959 0.1118279 -0.66362214
100128191 2.43046152 2.0127940 2.27547955 2.28839426 1.7758721 2.08403479
100128252 3.02507605 2.1781593 2.65725720 1.73961753 2.6309779 1.33946016
100128379 1.06428189 0.3314101 -0.01247312 0.84302841 1.2382132 1.22690221
100128398 4.08227788 4.0825591 4.45236111 4.85013768 4.3704245 4.05182444
100128494 3.26404459 3.3335000 3.44518242 3.16067244 3.3565567 2.52590178
100128569 1.40111182 1.4481738 0.93214009 0.67861716 0.9507720 1.79917166
100128640 -0.30761158 -1.1799596 -0.01247312 0.27999558 -0.6116641 -1.17995959
100128682 -0.67883138 -0.3806051 -1.17995959 -1.17995959 -1.1799596 -0.28416142
100128731 6.59237244 6.6755966 6.53961418 6.55683823 6.5411755 6.19344822
100128766 3.05720310 2.9622293 2.47896033 2.54872143 2.9016726 2.37560965
100128782 0.62406075 0.9348906 1.06450140 1.35988036 0.9507720 0.66077232
100128822 -1.17995959 -1.1799596 -1.17995959 -1.17995959 -1.1799596 -1.17995959
100128833 2.52538561 2.5840339 2.47896033 2.59559002 2.3586972 2.14725487
100128881 1.67399595 1.9531738 1.40134356 1.46458765 2.2974826 1.87583154
100128893 4.06658052 3.8733264 4.14368442 4.64262249 4.4286811 4.17828592
100129001 1.18550881 1.4481738 1.29756243 1.24697479 1.8629580 0.66077232
100129013 1.49792275 2.0700479 2.03851174 1.56220705 2.0965181 2.70466021
100129029 1.06428189 1.0531957 0.62425931 0.84302841 1.3629688 0.01599174
100129060 2.65699844 2.6228168 3.17926650 3.22170355 2.9816842 2.97242346
100129075 1.49792275 1.6113499 1.58888119 1.56220705 0.3714741 1.22690221
100129195 2.43046152 1.8909832 2.16185554 2.72769882 3.0200853 2.78636594
100129203 -0.01262748 0.5075342 -1.17995959 1.35988036 0.9507720 0.97143037
100129250 2.16160475 2.0127940 1.75482120 2.03994325 2.0965181 2.01791688
100129259 1.90338294 1.8909832 0.62425931 2.10618092 2.2335552 1.22690221
100129361 5.81634531 5.8070746 5.65278881 5.49416407 5.7866563 5.58835966
100129398 1.49792275 1.0531957 0.23233427 0.67861716 1.3629688 1.10481377
100129434 0.78619011 0.6644775 0.62425931 1.35988036 -0.2050328 -0.66362214
100129461 1.40111182 2.5840339 1.75482120 1.46458765 1.9450850 0.26432476
100129484 1.18550881 1.2641598 1.18573306 0.99060528 1.5841420 1.22690221
100129550 4.05071049 3.6661368 4.25869269 4.04242813 3.7710585 4.23758888
100129583 -0.30761158 -1.1799596 -0.30748533 -1.17995959 -1.1799596 0.97143037
100129662 -0.30761158 0.5075342 -0.01247312 -0.65614721 0.5914416 -0.28416142
100129707 1.18550881 1.7579310 0.62425931 1.12447722 1.3629688 0.97143037
100129716 -1.17995959 0.5075342 -0.30748533 0.84302841 0.3714741 0.82444706
100129726 0.78619011 0.1307554 0.23233427 -0.27268504 0.7822652 1.10481377
100129774 3.05720310 3.0214840 3.11965154 3.22170355 3.1981080 3.89490040
100129781 1.18550881 1.3590987 0.23233427 1.56220705 0.7822652 1.44386842
100129792 -0.67883138 -1.1799596 -0.67874972 -0.65614721 -0.2050328 -0.28416142
100129794 1.06428189 1.8909832 1.49815751 1.24697479 2.1666631 0.97143037
100129842 -0.30761158 -0.1023861 -1.17995959 0.49303036 0.3714741 0.97143037
100129917 1.18550881 1.4481738 2.43071698 1.97051750 1.8629580 1.10481377
100129924 -0.01262748 0.3314101 0.23233427 0.99060528 0.3714741 0.82444706
100129940 1.67399595 1.0531957 1.18573306 1.89758117 1.2382132 1.94862268
100129995 -1.17995959 -1.1799596 -1.17995959 -0.27268504 -1.1799596 -0.28416142
10013 5.80692845 5.9125753 5.73950696 5.93329661 5.7123835 5.44476316
100130111 -1.17995959 0.5075342 -1.17995959 -0.27268504 1.1016395 -0.66362214
100130197 0.78619011 0.1307554 0.78639714 -0.65614721 -0.2050328 0.97143037
100130335 3.29131351 2.6228168 2.92442752 2.50027896 2.7269647 2.57271039
100130348 3.08863028 3.2368033 3.08889408 3.28025728 3.5786430 3.00691966
100130357 -0.30761158 -0.3806051 0.44156495 -1.17995959 -0.2050328 -1.17995959
100130466 3.75019654 3.8571528 3.82701172 3.82365241 3.9606849 3.13720393
100130476 -0.30761158 -0.1023861 1.29756243 0.27999558 0.5914416 -1.17995959
100130522 0.44137714 -1.1799596 -0.30748533 0.67861716 -1.1799596 0.26432476
100130550 0.62406075 1.4481738 1.49815751 2.10618092 0.5914416 0.47612371
100130564 3.29131351 3.7905818 3.84553007 4.14051458 3.7018749 3.75983330
100130581 0.23216057 0.8060104 0.93214009 0.49303036 1.6831898 0.66077232
100130691 1.67399595 2.1781593 2.47896033 1.97051750 2.0227875 0.26432476
100130705 1.40111182 0.6644775 1.97264582 0.49303036 0.9507720 0.82444706
100130748 1.75457936 1.6865013 1.83114252 0.67861716 1.3629688 0.47612371
100130750 -1.17995959 -0.1023861 -0.30748533 -1.17995959 -1.1799596 -1.17995959
100130855 1.29733416 1.9531738 2.03851174 1.12447722 0.5914416 0.97143037
100130958 0.23216057 -0.7256140 -0.30748533 0.02996074 -0.2050328 0.66077232
100131017 -1.17995959 -1.1799596 -1.17995959 -1.17995959 -1.1799596 -1.17995959
100131031 2.21953398 1.8909832 1.75482120 2.39822298 0.9507720 2.78636594
100131033 1.83089880 2.5441796 1.83114252 1.97051750 1.8629580 1.79917166
100131067 0.44137714 0.8060104 1.06450140 1.24697479 1.1016395 1.33946016
100131089 1.18550881 1.0531957 1.18573306 0.27999558 0.7822652 0.97143037
100131094 -0.01262748 -0.1023861 0.23233427 -0.27268504 0.1118279 0.47612371
100131138 1.58864378 1.6865013 2.03851174 1.73961753 1.1016395 2.26594565
100131187 0.44137714 1.0531957 0.93214009 -0.27268504 -1.1799596 -1.17995959
100131193 1.83089880 1.8909832 1.18573306 1.56220705 1.5841420 1.44386842
100131211 4.11316932 4.0112663 4.23078867 3.97312477 4.0561723 3.69783800
100131213 1.58864378 2.1251161 2.27547955 0.99060528 1.7758721 1.33946016
100131471 2.03826340 2.6973883 2.77786229 2.50027896 2.6797695 1.22690221
100131656 3.20791001 3.2115814 3.46926510 3.22170355 3.4718691 3.54189701
100131685 3.42042413 3.5898884 3.44518242 3.65688461 3.2952493 3.44458425
100131691 0.93192622 1.5320676 2.38080439 1.46458765 2.6797695 1.63243040
100131740 -0.01262748 0.3314101 0.93214009 0.49303036 0.9507720 0.97143037
100131801 3.29131351 3.6661368 3.42069090 3.72170233 4.0745341 3.28507816
100131827 -0.30761158 1.0531957 0.44156495 0.49303036 -0.6116641 0.01599174
100131828 -0.30761158 -1.1799596 -0.01247312 -1.17995959 -0.2050328 -1.17995959
100131940 0.44137714 2.1251161 -0.01247312 1.24697479 1.1016395 1.44386842
100132074 -1.17995959 0.1307554 -1.17995959 0.02996074 -1.1799596 0.01599174
100132086 0.78619011 0.8060104 1.06450140 1.82076024 0.7822652 0.82444706
100132116 9.12190996 9.8614169 9.77914848 9.81534868 9.7613518 9.19706285
100132126 -0.30761158 0.3314101 -0.01247312 0.27999558 -1.1799596 0.66077232
100132215 1.06428189 1.8259904 1.83114252 1.65363763 1.6831898 1.22690221
100132537 3.14950253 3.4885360 2.32910292 3.41701880 3.1642176 3.67656641
100132609 1.06428189 1.3590987 0.93214009 1.24697479 1.2382132 0.26432476
100132659 -0.67883138 0.3314101 0.23233427 0.67861716 1.1016395 -0.28416142
100132891 -1.17995959 -1.1799596 -1.17995959 -1.17995959 -1.1799596 0.82444706
100132972 -0.01262748 0.5075342 -0.30748533 -0.27268504 0.3714741 0.66077232
100133234 0.44137714 1.1625305 1.06450140 0.67861716 0.7822652 -0.66362214
100133286 -0.01262748 0.3314101 0.23233427 0.99060528 0.9507720 -0.28416142
100133315 0.23216057 1.3590987 1.06450140 1.65363763 1.6831898 0.82444706
100134934 1.29733416 2.1251161 2.27547955 0.99060528 1.8629580 1.44386842
10014 6.15376373 6.3454028 6.53676811 6.55979588 6.4976138 6.05194189
100144603 1.58864378 1.8259904 2.73877023 1.24697479 1.8629580 1.79917166
100144748 1.06428189 0.8060104 0.93214009 1.56220705 -0.2050328 0.97143037
10015 7.71272093 7.4944001 7.64722889 7.58863181 7.6181851 7.44323430
10016 5.38780343 5.4721446 5.50335803 5.52475873 5.5964525 5.27823437
100170229 1.29733416 0.9348906 1.06450140 0.99060528 1.2382132 0.82444706
100170841 5.18466024 5.2486026 4.98229087 5.10625472 5.1188102 3.56523309
10018 3.75019654 3.1331570 3.31834247 3.63461500 3.1981080 3.39335031
100188847 1.18550881 1.6113499 1.67423570 1.73961753 2.2974826 1.33946016
10019 4.45208849 4.0258095 4.25869269 3.44288147 3.9002038 4.56147986
100190938 3.05720310 2.6973883 2.61470593 2.92410301 2.9016726 1.63243040
1002 -0.67883138 -0.1023861 -1.17995959 -0.65614721 -1.1799596 2.26594565
10020 3.95163955 4.1101182 4.08254887 3.80383062 3.8584268 3.04061024
10021 7.87809935 7.6373949 7.69396383 7.61446450 7.7568159 7.98216638
10023 0.62406075 1.2641598 0.93214009 1.24697479 1.1016395 0.82444706
10024 4.98201652 5.1524735 5.24196398 4.87884243 5.2857129 2.93708218
10026 6.26110131 6.3626911 6.49632206 6.41378294 6.3659063 6.17839351
100268168 -0.30761158 -0.1023861 -0.30748533 1.24697479 -0.6116641 -1.17995959
100270804 0.44137714 0.5075342 0.62425931 0.67861716 1.3629688 2.01791688
100270827 -0.30761158 -1.1799596 0.78639714 0.49303036 -1.1799596 -0.28416142
100270840 3.64842399 3.4885360 4.18789382 3.09694501 3.9606849 3.25669106
100270854 1.90338294 2.2787309 1.58888119 2.54872143 2.5281468 1.87583154
100270865 3.58372583 3.4885360 3.34461830 3.51779887 3.3262286 3.04061024
100271271 3.08863028 3.0502230 3.49295235 3.28025728 3.8794665 2.93708218
100271332 2.47870413 2.8358775 2.65725720 2.80949593 1.6831898 2.42746625
100271415 0.93192622 2.1251161 1.18573306 1.97051750 1.6831898 2.01791688
100271479 -0.30761158 -1.1799596 -1.17995959 -1.17995959 -0.2050328 -0.28416142
100271884 0.62406075 1.5320676 1.67423570 1.35988036 0.3714741 0.82444706
100272147 1.97239888 1.6865013 2.38080439 1.97051750 2.0965181 1.44386842
100286844 0.23216057 0.8060104 2.32910292 0.99060528 1.4777896 0.82444706
100287015 -0.30761158 0.1307554 0.23233427 -0.65614721 -0.2050328 0.26432476
100287049 0.44137714 0.1307554 -0.30748533 0.02996074 0.1118279 0.01599174
100287074 2.57060383 2.9921608 2.32910292 2.34435349 2.8169617 2.42746625
100287616 4.64411758 4.4273940 4.61230766 4.37351462 4.1105712 2.82554662
100287722 1.40111182 0.9348906 -0.01247312 1.24697479 1.1016395 1.44386842
100287808 0.78619011 1.1625305 -0.30748533 0.27999558 1.1016395 -0.28416142
100287837 0.23216057 0.1307554 -0.30748533 -1.17995959 -1.1799596 0.97143037
100287896 2.95859257 2.2293213 1.97264582 2.28839426 2.6797695 2.70466021
100287902 0.44137714 0.5075342 -0.30748533 -0.65614721 -0.2050328 0.26432476
100287928 2.32884912 2.1781593 2.21978585 2.34435349 2.9016726 3.00691966
100287932 5.41285000 5.7203224 5.73454766 5.75380921 5.4494328 5.43212581
100288001 2.69833001 2.4175518 2.32910292 2.23017658 2.0227875 2.08403479
100288073 4.09780628 4.0685796 4.39064919 4.34636600 3.9206472 4.34934750
100288123 0.62406075 0.6644775 0.62425931 1.24697479 -0.6116641 1.22690221
100288198 2.92416546 2.3727462 3.17926650 2.96036774 2.8599388 2.78636594
100288241 1.40111182 2.2293213 2.38080439 1.56220705 2.0965181 1.44386842
100288413 3.82674214 3.3795218 3.51625697 3.63461500 3.6780563 2.26594565
100288513 0.62406075 0.8060104 1.67423570 1.46458765 1.6831898 0.66077232
100288842 1.29733416 1.1625305 1.49815751 1.24697479 1.5841420 0.26432476
100289061 -0.30761158 -1.1799596 0.23233427 0.49303036 0.9507720 0.01599174
100289095 1.40111182 1.4481738 1.58888119 2.23017658 2.0965181 0.97143037
100289133 0.62406075 0.5075342 0.23233427 0.49303036 1.3629688 0.47612371
100289178 1.97239888 1.8909832 2.21978585 1.97051750 2.0965181 2.01791688
100289211 1.29733416 1.1625305 1.18573306 1.35988036 0.9507720 1.54122788
100289259 1.06428189 1.0531957 0.78639714 0.49303036 -1.1799596 1.22690221
100289274 2.81566219 3.0502230 2.69858933 3.54193106 3.1642176 2.97242346
100289341 2.10125178 1.3590987 0.78639714 1.65363763 1.7758721 1.33946016
100289373 -1.17995959 -1.1799596 -0.30748533 -1.17995959 -1.1799596 -1.17995959
100289388 2.21953398 0.9348906 2.52564251 1.97051750 2.7726648 2.20782050
100289414 0.23216057 0.3314101 -1.17995959 -1.17995959 1.3629688 0.26432476
100289635 5.66298986 5.7858707 5.68399386 5.49416407 5.4773022 4.91933901
100289640 2.27522668 1.1625305 2.92442752 1.82076024 2.4738453 1.54122788
100289678 2.10125178 2.1251161 1.90362835 2.68499272 2.0965181 2.14725487
100293516 4.63350228 4.7055001 4.53454984 4.71869471 4.3554852 3.85758266
100294362 2.43046152 1.8909832 0.44156495 1.12447722 1.4777896 1.44386842
1003 2.99221724 0.9348906 -0.30748533 0.99060528 1.3629688 0.26432476
100302692 1.06428189 1.0531957 2.03851174 1.24697479 1.3629688 1.79917166
100302736 1.97239888 1.6865013 1.67423570 2.10618092 1.5841420 2.01791688
100303728 2.77760197 3.0214840 2.81592298 2.99574320 3.3862603 2.70466021
100303755 1.75457936 1.1625305 1.49815751 1.56220705 1.2382132 1.33946016
100312828 -0.30761158 -0.3806051 0.23233427 0.49303036 0.7822652 0.66077232
100312850 -1.17995959 -0.3806051 -0.30748533 0.27999558 -1.1799596 -1.17995959
10036 5.49723944 5.7943897 5.76405092 5.73299708 5.9596276 4.58450382
100379345 2.88889670 3.3099267 3.60588399 2.96036774 3.4718691 2.74609141
10038 5.52047102 5.5036571 5.58827781 5.59564260 5.8678583 5.16823292
100381270 1.18550881 -1.1799596 1.06450140 0.27999558 2.0227875 1.54122788
10039 6.03779358 5.9047282 5.91195613 5.87749459 5.9596276 5.78503984
1004 7.20232406 6.4887704 6.41806028 6.52086524 6.4596977 7.77259852
10040 4.61203445 4.3601241 4.33930566 4.15623303 4.8146245 3.51817725
100418710 2.03826340 1.8909832 1.67423570 2.16951047 2.0227875 1.63243040
100418735 4.43995553 4.5329773 4.57949469 3.90032351 4.1969121 4.17828592
100418744 1.06428189 0.6644775 0.93214009 0.67861716 0.7822652 1.79917166
100418770 1.58864378 1.5320676 1.40134356 0.49303036 0.9507720 2.14725487
100418781 0.44137714 -0.3806051 -0.30748533 0.02996074 0.1118279 0.82444706
100418819 1.40111182 0.8060104 2.10150140 0.67861716 0.7822652 0.82444706
100418829 2.10125178 1.7579310 0.78639714 0.99060528 1.3629688 2.37560965
100418888 1.83089880 1.8909832 1.49815751 1.82076024 1.1016395 0.47612371
100418889 2.77760197 1.9531738 2.21978585 2.39822298 2.3586972 2.14725487
100418910 2.38054974 2.8024815 2.10150140 2.64098379 2.1666631 1.22690221
100418919 3.14950253 2.4175518 2.99248005 2.54872143 2.4738453 2.01791688
100419028 1.49792275 1.4481738 1.97264582 1.46458765 1.6831898 0.97143037
100419185 0.23216057 -0.3806051 -1.17995959 -1.17995959 0.3714741 0.66077232
100419416 0.62406075 0.3314101 1.18573306 -0.27268504 0.9507720 0.97143037
100419515 1.40111182 0.9348906 0.62425931 0.84302841 -1.1799596 0.82444706
100419645 0.44137714 0.3314101 -0.67874972 0.27999558 -0.2050328 0.97143037
100419758 -0.67883138 -0.3806051 -1.17995959 0.02996074 0.5914416 -0.28416142
100419928 1.29733416 1.2641598 1.40134356 1.46458765 2.0227875 1.87583154
10042 5.97190711 5.9813424 5.84450872 6.05567502 5.7065086 5.08187643
100420028 0.44137714 -0.3806051 -0.30748533 0.67861716 -0.2050328 0.66077232
100420050 0.23216057 0.6644775 -0.67874972 -1.17995959 1.2382132 0.26432476
100420110 3.80798311 3.6285163 3.39577642 3.30866643 3.1295119 3.22773418
100420187 1.90338294 1.6865013 2.38080439 1.12447722 2.2974826 2.01791688
100420259 4.23051698 4.4273940 4.51154121 4.02541189 4.3403896 3.65497648
100420307 0.78619011 1.8909832 0.62425931 1.46458765 1.2382132 1.22690221
100420341 5.03943409 5.1852334 5.26278172 5.09813985 5.3398479 5.40003947
100420423 1.40111182 1.2641598 0.93214009 0.84302841 1.7758721 0.66077232
100420591 1.06428189 1.8909832 1.67423570 0.99060528 1.4777896 0.66077232
100420707 3.20791001 2.1251161 2.61470593 2.84871863 2.2335552 2.37560965
100420752 2.27522668 2.6605843 2.32910292 2.28839426 2.5804784 2.26594565
100420869 4.20206271 4.5830058 4.64439090 4.09230478 4.0745341 3.87636219
100420981 5.82570110 5.5036571 5.77857934 5.56652971 5.6525298 5.82908398
100421093 4.21635999 4.3828977 3.80825258 4.05924600 3.8154040 3.77992020
100421109 0.44137714 0.6644775 0.44156495 1.24697479 0.7822652 1.10481377
100421160 1.06428189 0.8060104 1.67423570 0.99060528 1.7758721 0.47612371
100421175 2.21953398 1.6113499 1.83114252 2.39822298 1.9450850 0.01599174
100421246 1.90338294 1.4481738 2.21978585 2.03994325 1.7758721 2.01791688
100421311 2.81566219 2.7682940 2.57086139 2.50027896 2.7269647 2.01791688
100421372 1.97239888 1.6113499 2.03851174 1.65363763 1.3629688 2.01791688
100421400 1.40111182 2.5441796 2.16185554 2.54872143 2.6797695 2.26594565
100421415 -1.17995959 -1.1799596 -0.30748533 0.27999558 -0.6116641 0.26432476
100421429 1.18550881 0.1307554 1.49815751 0.49303036 -0.6116641 0.01599174
100421465 2.43046152 2.9004362 2.27547955 2.28839426 2.1666631 1.94862268
100421468 2.03826340 2.2293213 2.16185554 1.56220705 2.1666631 1.44386842
100421506 -1.17995959 0.5075342 -1.17995959 -1.17995959 -0.2050328 -0.28416142
100421569 -0.01262748 0.5075342 0.44156495 0.27999558 0.3714741 0.01599174
100421595 1.40111182 1.3590987 1.58888119 0.67861716 1.5841420 1.44386842
100421794 3.37015774 3.5701795 4.15857192 3.54193106 3.4718691 2.86369131
100422106 2.47870413 1.0531957 1.58888119 1.97051750 2.0227875 1.10481377
100422338 2.27522668 2.3727462 2.88915836 1.89758117 2.2335552 2.26594565
100422546 0.23216057 0.9348906 -1.17995959 1.24697479 0.3714741 0.26432476
100422561 4.28579529 4.4383069 4.15857192 4.40016179 4.2463404 3.79973126
10043 5.04745319 4.9913862 5.36258958 5.30265328 5.2935719 5.66596530
10044 4.60117954 4.9764900 4.89608650 4.92544985 4.9097319 1.63243040
10045 0.93192622 0.1307554 -0.67874972 0.99060528 0.1118279 -0.28416142
10046 3.51598947 2.9622293 3.17926650 3.67881568 3.3862603 1.63243040
10048 6.68266861 6.7276768 6.79437597 6.76593771 6.6584109 6.50837746
10049 5.78311381 5.8444736 5.89871655 6.00449277 5.5381071 5.35388488
100499177 3.17900183 3.1597749 3.20817496 2.80949593 3.1295119 2.97242346
100499483 0.44137714 0.1307554 0.44156495 -0.65614721 0.5914416 0.82444706
1005 -0.30761158 -1.1799596 0.23233427 -1.17995959 -1.1799596 0.26432476
100500719 -0.30761158 0.6644775 0.23233427 -0.27268504 -0.6116641 0.97143037
100505385 2.43046152 2.3265042 2.47896033 3.03027196 3.3565567 3.10571919
100505501 2.27522668 2.0700479 2.43071698 2.34435349 2.4174198 0.82444706
100505538 1.06428189 1.1625305 0.62425931 0.99060528 0.9507720 -0.28416142
100505549 -0.30761158 -1.1799596 -0.67874972 0.27999558 -1.1799596 0.47612371
100505573 5.14035877 5.7729971 5.74444927 5.89633610 5.8939408 5.48202429
100505576 4.61203445 5.1324544 5.05570251 5.27412430 5.0462391 4.44050319
100505616 -0.01262748 -1.1799596 -1.17995959 -1.17995959 -0.2050328 -1.17995959
100505624 2.10125178 1.8259904 1.90362835 1.12447722 1.8629580 1.44386842
100505635 1.49792275 1.8909832 1.97264582 1.82076024 2.0965181 0.01599174
100505641 2.85274409 2.9004362 3.08889408 2.34435349 3.1295119 1.63243040
100505648 2.10125178 2.2293213 2.32910292 1.97051750 2.7269647 2.78636594
100505678 1.83089880 2.2293213 1.40134356 2.16951047 1.2382132 0.47612371
100505696 3.44491546 3.2859617 3.71061369 3.88153434 3.4153647 3.94912723
100505715 1.18550881 1.6865013 -0.30748533 1.46458765 1.3629688 -1.17995959
100505738 -1.17995959 -1.1799596 -1.17995959 -1.17995959 -1.1799596 2.70466021
100505741 -0.67883138 1.1625305 1.49815751 0.67861716 1.3629688 1.33946016
100505758 3.20791001 3.3099267 3.42069090 2.99574320 3.0939506 3.19818417
100505761 2.27522668 1.7579310 2.69858933 2.10618092 2.7269647 1.44386842
100505771 3.84526038 3.4459136 3.69026715 3.72170233 3.4993125 3.28507816
100505783 -1.17995959 -0.7256140 -1.17995959 -1.17995959 -1.1799596 -0.28416142
100505806 2.43046152 2.4175518 2.47896033 2.68499272 2.8599388 1.87583154
100505812 -1.17995959 0.1307554 -1.17995959 -0.27268504 -0.2050328 -0.28416142
100505832 -0.67883138 -0.3806051 -0.01247312 0.27999558 -0.2050328 -1.17995959
100505854 -0.01262748 0.5075342 0.62425931 0.99060528 -0.2050328 -1.17995959
100505876 5.56584114 5.5395722 5.59376528 5.50647990 5.4281716 5.53617145
100505894 1.58864378 1.0531957 0.93214009 1.97051750 0.5914416 1.44386842
100505933 -0.30761158 -0.3806051 0.44156495 -0.65614721 -1.1799596 0.47612371
100505994 0.62406075 -0.1023861 -0.01247312 -0.27268504 0.7822652 -0.66362214
100506020 0.78619011 -0.1023861 1.49815751 0.49303036 0.7822652 0.26432476
100506033 5.03943409 5.1852334 5.06363347 5.13826535 5.0647269 4.70495898
100506054 0.78619011 0.9348906 1.29756243 -0.65614721 0.7822652 -1.17995959
100506068 -0.30761158 0.6644775 0.78639714 0.84302841 0.1118279 0.01599174
100506070 -0.01262748 0.3314101 -0.30748533 1.56220705 0.1118279 0.26432476
100506083 1.29733416 1.5320676 1.49815751 0.49303036 1.1016395 0.66077232
100506100 -0.67883138 0.3314101 0.44156495 0.02996074 0.3714741 -1.17995959
100506119 0.23216057 1.5320676 0.44156495 -0.27268504 -0.2050328 1.10481377
100506127 2.21953398 1.5320676 1.83114252 2.28839426 1.7758721 1.44386842
100506142 -0.30761158 -0.1023861 -0.01247312 -0.65614721 -0.2050328 -0.66362214
100506144 1.49792275 0.5075342 0.23233427 1.35988036 1.2382132 0.66077232
100506161 -0.01262748 0.8060104 0.78639714 0.84302841 -0.6116641 0.66077232
100506211 4.80412819 4.2652550 4.12864169 4.77067645 4.3852107 2.14725487
100506235 1.18550881 0.5075342 1.18573306 1.56220705 1.3629688 0.97143037
100506258 -0.67883138 -1.1799596 -0.30748533 -0.27268504 0.1118279 -1.17995959
100506282 0.44137714 2.1251161 2.10150140 1.82076024 1.5841420 2.26594565
100506286 -0.30761158 0.8060104 -1.17995959 0.67861716 -0.2050328 -1.17995959
100506302 0.78619011 1.6865013 1.83114252 2.34435349 1.3629688 1.33946016
100506321 0.44137714 1.4481738 0.78639714 0.27999558 1.3629688 0.26432476
100506325 0.62406075 -0.7256140 -0.30748533 0.49303036 -0.2050328 0.01599174
100506343 1.29733416 0.1307554 -0.30748533 0.27999558 0.1118279 0.26432476
100506365 4.95669177 5.0636438 5.13311584 5.27412430 4.8891322 5.04914672
100506368 -1.17995959 -1.1799596 0.23233427 -1.17995959 -0.6116641 0.26432476
100506380 0.93192622 2.5441796 2.03851174 2.28839426 2.2974826 1.44386842
100506392 4.03466394 4.0402075 4.12864169 3.86249723 4.0375737 3.69783800
100506394 -1.17995959 -1.1799596 0.23233427 -1.17995959 -0.2050328 -1.17995959
100506411 0.23216057 1.9531738 1.75482120 0.27999558 0.3714741 1.44386842
100506433 0.93192622 1.2641598 1.75482120 1.56220705 1.7758721 1.22690221
100506462 0.23216057 0.1307554 -0.67874972 0.27999558 -0.2050328 -0.28416142
100506469 2.61444774 2.1251161 3.05746659 2.34435349 2.5281468 1.94862268
100506495 -1.17995959 -1.1799596 -0.30748533 -1.17995959 -1.1799596 0.26432476
100506504 2.10125178 2.1781593 2.10150140 2.03994325 2.4738453 1.22690221
100506540 1.06428189 0.8060104 1.06450140 0.27999558 -0.2050328 0.97143037
100506581 2.10125178 2.4610078 2.21978585 2.72769882 3.1642176 2.78636594
100506606 -0.67883138 -0.7256140 -0.01247312 -0.27268504 -0.2050328 0.47612371
100506658 2.69833001 2.9004362 2.65725720 2.99574320 2.7269647 1.33946016
100506668 2.57060383 2.1251161 1.18573306 2.76917701 2.4174198 2.26594565
100506686 1.83089880 1.5320676 1.58888119 2.10618092 0.9507720 1.10481377
100506691 0.78619011 0.1307554 0.44156495 -1.17995959 0.3714741 0.26432476
100506696 -0.01262748 -0.1023861 0.62425931 0.27999558 0.3714741 -1.17995959
100506697 0.23216057 1.3590987 1.06450140 1.24697479 1.1016395 0.47612371
100506710 4.72634011 4.4811513 4.42799219 4.56231466 4.4708800 4.46552370
100506713 0.93192622 0.8060104 0.62425931 0.67861716 0.3714741 -0.66362214
100506725 3.17900183 3.5501977 3.66962954 3.46828866 3.4718691 4.19334175
100506731 1.75457936 0.8060104 -0.01247312 1.35988036 1.5841420 0.26432476
100506757 0.62406075 0.5075342 -0.01247312 0.02996074 0.7822652 1.22690221
100506779 0.23216057 -0.7256140 -0.67874972 0.99060528 1.2382132 0.01599174
100506804 0.23216057 -1.1799596 -1.17995959 -1.17995959 -0.2050328 -0.28416142
100506826 0.23216057 0.9348906 0.62425931 0.02996074 1.3629688 0.82444706
100506844 1.75457936 2.4175518 1.67423570 2.34435349 1.5841420 1.79917166
100506866 4.89581239 4.1637056 4.73656973 4.77067645 4.5777245 5.21324488
100506881 1.75457936 2.0127940 1.83114252 1.12447722 2.1666631 1.94862268
100506885 0.93192622 1.0531957 0.62425931 0.99060528 0.1118279 0.47612371
100506911 -0.67883138 0.5075342 0.44156495 -0.27268504 0.7822652 -0.66362214
100506922 -0.30761158 -1.1799596 -0.30748533 -0.27268504 -1.1799596 0.26432476
100506930 0.93192622 -1.1799596 1.40134356 -0.27268504 0.3714741 1.94862268
100506994 0.44137714 0.6644775 0.62425931 0.49303036 0.3714741 -0.66362214
100507003 0.62406075 -1.1799596 -0.67874972 0.27999558 0.5914416 0.26432476
100507032 -1.17995959 -0.3806051 -1.17995959 -1.17995959 -1.1799596 -1.17995959
100507034 2.99221724 3.0214840 2.21978585 3.36385959 3.1295119 2.82554662
100507050 0.78619011 -0.3806051 -1.17995959 -1.17995959 -1.1799596 -0.28416142
100507053 -0.67883138 -0.3806051 -0.67874972 0.27999558 -0.2050328 -0.28416142
100507057 -1.17995959 -0.3806051 -0.01247312 -0.27268504 -0.2050328 -1.17995959
100507062 0.62406075 0.1307554 0.23233427 -1.17995959 0.5914416 0.01599174
100507071 1.06428189 0.5075342 0.23233427 0.67861716 0.7822652 0.26432476
100507156 3.51598947 3.0784007 3.02533920 3.16067244 3.4153647 3.10571919
100507171 2.61444774 2.9921608 2.65725720 3.25127746 2.6309779 2.20782050
100507173 -0.01262748 0.9348906 -0.67874972 -0.27268504 1.5841420 -0.28416142
100507178 -0.30761158 -1.1799596 -0.01247312 0.49303036 -0.2050328 0.47612371
100507244 1.06428189 1.9531738 2.03851174 2.50027896 0.9507720 1.63243040
100507246 4.03466394 3.9362664 3.73067727 3.61199623 3.5262436 3.51817725
100507250 -0.01262748 0.9348906 0.78639714 0.84302841 1.2382132 0.47612371
100507254 3.23625030 3.7561078 3.31834247 3.49325614 3.1981080 2.20782050
100507266 -0.01262748 -0.1023861 -0.01247312 0.02996074 -0.6116641 -0.28416142
100507290 4.60117954 4.6873186 4.66539008 4.50208543 4.5252911 4.22299010
100507291 -0.30761158 0.1307554 0.23233427 0.27999558 0.7822652 0.01599174
100507303 1.90338294 2.5840339 2.57086139 2.59559002 1.8629580 2.47752339
100507308 -0.01262748 0.8060104 -0.67874972 1.24697479 -1.1799596 0.82444706
100507316 -0.30761158 -0.7256140 -1.17995959 -0.27268504 -1.1799596 0.47612371
100507331 1.18550881 1.7579310 1.67423570 1.46458765 1.6831898 0.82444706
100507347 2.32884912 1.9531738 2.61470593 1.46458765 1.6831898 2.26594565
100507373 2.21953398 1.6865013 1.83114252 2.03994325 2.2974826 1.79917166
100507392 2.47870413 2.0127940 1.97264582 2.39822298 1.9450850 0.97143037
100507398 1.18550881 -0.1023861 0.78639714 0.84302841 0.9507720 -1.17995959
100507401 -0.30761158 0.9348906 -0.01247312 0.49303036 1.3629688 0.47612371
100507420 0.93192622 0.1307554 0.23233427 -0.27268504 -0.2050328 -0.28416142
100507433 1.18550881 0.6644775 1.75482120 0.49303036 1.4777896 1.33946016
100507436 -0.01262748 1.0531957 -0.30748533 1.12447722 0.3714741 -1.17995959
100507437 0.62406075 1.3590987 1.18573306 1.24697479 1.9450850 0.66077232
100507459 1.58864378 0.9348906 0.93214009 1.46458765 1.8629580 0.66077232
100507463 1.18550881 -1.1799596 -0.01247312 0.02996074 0.1118279 0.01599174
100507487 0.23216057 1.1625305 0.93214009 1.12447722 1.4777896 2.42746625
100507495 4.23051698 4.0112663 4.01870756 4.05924600 4.3097161 3.83855546
100507516 0.93192622 0.5075342 1.06450140 0.49303036 1.3629688 -1.17995959
100507551 -1.17995959 -0.7256140 0.23233427 -0.27268504 -1.1799596 0.26432476
100507557 1.75457936 1.6113499 1.29756243 1.46458765 0.7822652 0.47612371
100507564 0.23216057 1.4481738 1.18573306 0.27999558 -0.2050328 -0.28416142
100507567 -1.17995959 -0.7256140 -0.67874972 -1.17995959 -0.6116641 0.66077232
100507588 1.58864378 0.6644775 -0.01247312 1.12447722 -0.2050328 -0.28416142
100507599 0.62406075 0.1307554 0.62425931 0.27999558 0.7822652 0.26432476
100507602 4.62280829 4.7760178 4.61230766 4.51433411 4.7360583 4.05182444
100508120 0.93192622 0.6644775 0.23233427 0.84302841 1.3629688 0.47612371
10051 7.69240824 7.7707274 7.70160790 8.02298548 7.8248297 6.77925433
10052 0.78619011 1.5320676 2.21978585 0.84302841 1.5841420 1.33946016
100526737 1.67399595 2.2293213 2.27547955 2.39822298 1.8629580 2.26594565
100526760 1.58864378 1.4481738 0.23233427 1.56220705 1.4777896 1.54122788
100526820 0.78619011 0.5075342 0.93214009 0.27999558 1.1016395 0.97143037
100526835 3.17900183 3.3566944 2.85300533 2.96036774 2.6797695 4.46552370
100527978 -0.30761158 0.9348906 0.62425931 0.27999558 -0.6116641 -0.66362214
100529145 2.27522668 1.1625305 1.75482120 2.39822298 2.4174198 -0.28416142
100529215 0.23216057 0.8060104 0.44156495 0.49303036 0.1118279 -0.66362214
100532746 4.08227788 3.8571528 3.84553007 3.72170233 3.8794665 3.31291746
100533106 -0.30761158 0.1307554 -0.67874972 0.02996074 0.7822652 0.01599174
100533182 -0.30761158 -1.1799596 -1.17995959 -0.27268504 0.1118279 0.26432476
100533619 -0.67883138 -0.3806051 -0.01247312 -1.17995959 -1.1799596 0.82444706
100533629 -0.30761158 -0.7256140 -0.30748533 -0.27268504 0.3714741 0.66077232
100533695 -1.17995959 -0.1023861 1.06450140 -0.65614721 -1.1799596 0.97143037
100533970 1.97239888 0.8060104 1.58888119 1.24697479 2.0227875 1.44386842
100534593 -0.01262748 0.5075342 0.44156495 0.27999558 0.3714741 0.26432476
10054 6.72578217 6.8795239 6.55657372 6.77868730 6.6307588 6.03532672
10056 6.29517631 6.4622837 6.27168522 6.36050213 6.2655907 5.83389579
10057 6.37381537 6.4133466 6.62516787 6.55387450 6.4596977 6.85695170
10058 5.53765245 4.9764900 5.39438127 5.40487742 5.1963138 5.08187643
10059 7.16411234 7.3674071 7.26584090 7.21746539 6.9815124 7.03882378
1006 1.75457936 2.5031930 2.16185554 0.99060528 1.1016395 4.33584204
10060 3.80798311 3.6093316 3.66962954 3.78373268 3.5526812 3.07353198
100616256 -0.67883138 0.5075342 -0.01247312 -0.65614721 0.1118279 0.01599174
10062 1.40111182 0.8060104 1.40134356 1.35988036 1.4777896 1.33946016
10063 4.12837048 4.1371607 4.49989780 4.23235471 4.5385792 3.71880050
100652739 0.23216057 -0.3806051 -0.30748533 -0.27268504 -0.2050328 0.66077232
100652758 0.23216057 0.8060104 1.18573306 0.99060528 1.4777896 0.97143037
100652846 -0.01262748 1.3590987 0.93214009 0.84302841 1.1016395 1.33946016
10066 6.96471004 7.0041033 7.11181353 6.99078519 6.9815124 6.70240496
10067 5.97190711 5.8279714 5.88535435 5.98702041 5.9841163 5.82908398
10068 3.11938743 3.2115814 3.02533920 3.30866643 3.3262286 2.47752339
10069 3.31807655 3.0784007 3.14976693 3.49325614 2.6797695 2.86369131
10072 4.80412819 4.7145056 4.88717585 4.78085177 4.9500695 5.06560439
10073 4.24453639 4.0685796 3.96890145 4.00819255 3.8794665 3.34022970
10075 8.78978908 8.5192162 8.66987190 8.58697686 8.7388883 8.54627243
10076 3.08863028 2.8358775 3.51625697 3.12916057 3.3262286 4.10055568
10077 -0.30761158 0.6644775 -0.30748533 0.27999558 -1.1799596 -1.17995959
100775107 0.93192622 0.5075342 1.06450140 1.12447722 0.9507720 0.97143037
10078 4.51126836 4.5124697 4.77572067 4.78085177 5.0555126 4.70495898
10079 5.18466024 5.3732542 5.16295435 5.30969824 5.3168955 5.20583973
1008 1.97239888 1.0531957 1.58888119 1.65363763 2.2974826 4.83545069
10081 4.95669177 4.8595780 5.14063353 4.85013768 4.3554852 5.04914672
10082 6.47241366 6.7321179 6.53105906 6.60344807 6.5178828 6.46561187
100820829 2.38054974 3.4885360 3.37042410 3.65688461 3.8370758 4.74638173
10084 5.20631105 5.1722186 4.89608650 4.90698717 5.2212499 4.96391865
100847074 2.43046152 2.4175518 2.77786229 2.34435349 2.7726648 2.47752339
10085 9.36146356 9.6825228 9.66941484 9.66036167 9.5252024 9.87157235
100852407 1.49792275 0.5075342 1.18573306 0.27999558 1.2382132 1.54122788
100861412 0.93192622 1.1625305 1.06450140 0.67861716 1.2382132 0.01599174
100861548 4.27217301 4.0402075 4.11344046 4.31869669 4.0926652 3.94912723
100862671 0.93192622 0.6644775 0.23233427 0.84302841 0.9507720 -0.66362214
10087 6.28164273 6.2433184 6.19433062 6.42355768 6.1051596 6.17460515
100873257 0.23216057 -0.3806051 -0.67874972 0.99060528 -0.6116641 0.47612371
100873333 2.61444774 2.6605843 1.97264582 3.19151070 3.1642176 2.66200392
100873790 2.21953398 2.1781593 2.32910292 2.64098379 3.1295119 2.93708218
100873949 0.44137714 0.9348906 0.78639714 1.56220705 1.2382132 0.47612371
100873952 0.44137714 0.1307554 -0.01247312 0.02996074 -0.6116641 -0.66362214
100873965 2.32884912 2.2293213 1.83114252 1.89758117 2.2974826 1.94862268
100874006 1.75457936 1.7579310 1.75482120 2.03994325 1.4777896 1.71820861
100874008 1.06428189 1.0531957 1.75482120 0.49303036 1.2382132 0.66077232
100874014 1.90338294 1.0531957 1.29756243 1.73961753 1.1016395 2.08403479
100874058 1.67399595 1.8909832 1.97264582 1.56220705 1.7758721 1.63243040
100874080 1.75457936 1.0531957 1.49815751 1.24697479 1.1016395 0.26432476
100874097 1.18550881 2.3727462 2.16185554 1.73961753 2.4174198 1.63243040
100874201 -0.01262748 -0.1023861 -0.67874972 0.02996074 -1.1799596 -0.28416142
100874212 1.40111182 1.0531957 1.67423570 0.99060528 0.1118279 0.97143037
100874217 1.06428189 1.1625305 0.62425931 0.27999558 -0.6116641 0.82444706
100874235 -0.67883138 0.5075342 0.23233427 0.49303036 0.1118279 0.26432476
100874261 -1.17995959 -0.3806051 0.44156495 0.27999558 -0.2050328 0.82444706
100874291 0.62406075 0.5075342 0.44156495 1.56220705 0.3714741 0.82444706
100874362 0.78619011 1.6865013 1.75482120 1.73961753 0.9507720 0.66077232
100874523 1.58864378 2.0127940 1.97264582 1.82076024 0.7822652 2.14725487
100885775 2.16160475 1.7579310 1.75482120 2.10618092 2.2335552 3.00691966
100885776 -0.01262748 0.8060104 -0.01247312 1.24697479 1.1016395 -0.66362214
100885848 5.00690438 5.1590852 5.43162902 5.24501976 5.2457623 4.57303777
1009 10.26774146 10.2111652 10.00881593 10.07692394 9.9880353 10.37135817
10090 4.48788690 4.6218160 4.14368442 4.30466045 4.2624473 3.54189701
10092 8.37363730 8.3618999 8.31367227 8.40817071 8.3619742 7.80848757
10093 7.74882418 7.6897058 7.68756270 7.65513476 7.7582365 7.31832216
10094 4.61203445 4.7234553 4.62308155 5.04002053 4.6651333 3.89490040
10095 5.76863402 5.8968382 5.88535435 5.66869626 5.8519794 6.17839351
10097 8.92542231 8.8475925 8.85947700 8.95985401 8.7222437 9.01467337
10098 6.44838860 6.4161093 6.57888069 6.56274748 6.4171657 6.10066923
10099 7.89819280 8.1053992 8.05783703 8.00139244 8.0491439 7.97238037
100996246 3.26404459 2.9316636 2.85300533 2.68499272 2.8599388 2.20782050
100996251 1.29733416 1.0531957 1.06450140 0.02996074 0.1118279 0.82444706
100996307 2.03826340 2.8358775 2.65725720 2.16951047 2.6797695 1.71820861
100996384 -0.01262748 0.3314101 0.44156495 0.84302841 1.2382132 1.44386842
100996419 0.23216057 0.6644775 0.23233427 0.02996074 1.2382132 0.66077232
100996485 1.75457936 2.2787309 1.75482120 2.64098379 2.3586972 1.71820861
100996539 -0.01262748 0.6644775 0.23233427 -0.65614721 1.3629688 0.47612371
100996579 -1.17995959 0.3314101 -1.17995959 0.27999558 -1.1799596 0.26432476
100996696 3.34435215 3.1060386 3.53919112 2.92410301 3.1642176 2.90085338
100996842 2.16160475 1.6865013 1.97264582 2.16951047 1.4777896 0.66077232
100996851 -0.01262748 1.1625305 1.29756243 1.12447722 -1.1799596 0.01599174
100996939 0.62406075 1.3590987 0.62425931 0.49303036 0.7822652 1.10481377
101 0.62406075 0.5075342 -1.17995959 0.67861716 -1.1799596 1.10481377
1010 0.23216057 0.9348906 -0.30748533 0.27999558 -0.2050328 1.44386842
10100 4.68581452 4.8015979 4.85097247 4.97059859 4.6771989 4.32220895
10101 4.68581452 4.8514365 4.84177787 5.14615825 4.9795994 4.36272770
10102 4.85069849 4.5531973 4.99063464 5.14615825 4.9300417 4.69441476
10103 -0.30761158 -0.3806051 -0.30748533 0.02996074 -1.1799596 -1.17995959
10105 6.35455380 6.0505407 6.29208147 6.20294171 6.3357762 6.25573400
10106 7.73150779 7.8381996 7.79269816 7.71738295 7.8070954 6.89198028
101060200 2.65699844 2.6973883 3.14976693 2.64098379 2.9816842 2.20782050
101060691 0.62406075 1.7579310 1.58888119 2.16951047 1.8629580 2.14725487
10109 9.23067490 9.1846167 9.12171324 9.24443799 9.2087990 8.79477957
10112 6.81068424 6.7971443 6.90224282 6.87682019 6.9692979 5.08994414
10113 6.28164273 6.3131593 6.32214515 6.49018701 6.5345587 6.16318003
10114 7.55993431 7.4206542 7.42052143 7.21371464 7.2574339 7.59124479
101154753 -0.01262748 0.1307554 0.93214009 0.02996074 -1.1799596 -0.66362214
10116 7.58631968 7.4329826 7.45861330 7.55937566 7.4170373 7.74476408
10117 0.23216057 0.8060104 0.23233427 0.27999558 1.5841420 1.10481377
1012 8.30839780 8.1224153 8.15939576 8.01222936 8.0664485 8.71225658
10121 6.50189307 6.3826023 6.45470931 6.47146198 6.5178828 6.18969925
10123 5.19913015 5.2913611 5.43774455 5.59564260 5.2778108 7.43058349
DMSO_2_C5 TUN_24_C5 THA_24_C5 DOX_24_C5 NUTL_24_C5
100 2.59892017 2.4298464 2.43725013 3.87088751 2.78188362
1000 11.07021123 11.0996334 11.41470218 10.53711554 10.77295978
10000 6.56569089 6.8041154 6.52798287 6.07716475 6.72030966
10001 4.16141048 4.5562668 4.52474950 4.38002543 4.26289125
10003 2.59892017 1.9027920 2.02741464 3.20362507 2.48291807
100037417 -1.17995959 -1.1799596 -1.17995959 -1.17995959 -1.17995959
100049716 2.01873054 2.0536714 2.21746106 2.55064409 2.10535752
10005 3.68694103 4.0816254 3.37723541 2.34625229 3.54332569
10006 6.40421948 6.5675234 6.74682127 5.83787038 6.59418399
10007 4.72901623 5.3076139 4.67278174 5.03073102 5.44199836
10009 6.19892477 5.7223862 6.27704607 5.70861431 6.24481224
100093630 6.03204984 6.3945152 6.21150851 5.42653898 5.97223108
1001 5.90740329 5.3373396 5.28169000 6.98406421 6.33958234
10010 5.59052945 5.0082983 5.66024515 5.28097426 5.38600061
100101267 2.44797908 2.0536714 2.43725013 2.61280979 3.02940407
100101467 3.59413145 3.0486039 4.39955299 3.24346913 3.37453846
10011 5.78677365 5.6996788 5.70326462 5.20228599 6.45294125
100113386 -1.17995959 -1.1799596 0.27107354 0.28131946 0.62732759
100113397 0.71808712 1.5434277 2.15685190 0.55903805 0.93544468
100113407 4.27040348 3.6318733 4.52474950 5.95649218 4.30376347
100125288 0.53046387 2.3150186 2.83554063 4.10518419 3.06153657
100127983 2.73555420 2.4298464 2.58257773 1.92414268 1.59254896
100128006 2.50006730 1.3234349 1.72743900 1.32493109 2.66125444
100128016 -0.63942267 2.1902549 0.83245388 0.99222306 0.44446720
100128025 1.03295516 0.7468399 0.48340648 2.67240707 -0.30553358
100128054 1.70037177 2.6352576 1.88520945 -0.51592472 1.06789305
100128071 0.06099042 1.0637533 0.02200559 1.82258002 -0.01008727
100128191 1.40491900 1.5434277 0.97969393 3.52788764 0.93544468
100128252 1.51027082 3.0486039 2.53574314 0.79182841 1.40492388
100128379 0.71808712 0.3401216 1.34826255 -0.51592472 0.44446720
100128398 4.07818715 4.9517670 5.05135974 3.35679588 4.48053765
100128494 2.97522359 3.2495755 3.01699179 3.12047558 2.81995150
100128569 1.16788280 1.7342704 1.34826255 2.61280979 1.75855740
100128640 -1.17995959 -1.1799596 -1.17995959 3.12047558 -1.17995959
100128682 -0.24712173 -1.1799596 -1.17995959 -1.17995959 -1.17995959
100128731 6.36262041 5.8203660 6.07895318 7.14260550 6.44077680
100128766 1.86831491 2.6352576 1.80847984 2.83771345 2.57484010
100128782 1.16788280 2.4298464 1.45280023 1.82258002 1.40492388
100128822 -1.17995959 -1.1799596 -1.17995959 -1.17995959 -1.17995959
100128833 2.01873054 2.4298464 1.80847984 2.01902336 2.10535752
100128881 2.01873054 2.0536714 2.94712539 3.20362507 2.52961107
100128893 4.46641861 4.0096028 4.35977275 5.32806045 3.84969582
100129001 0.31474014 0.3401216 0.02200559 -0.06291901 1.97646070
100129013 2.08843900 0.7468399 1.55027222 0.79182841 1.75855740
100129029 0.06099042 0.7468399 -0.27922310 1.16814686 0.78959614
100129060 3.21226193 3.3695164 3.32310103 2.27113736 2.85704067
100129075 1.51027082 1.7342704 0.83245388 3.59102038 1.40492388
100129195 2.64591741 2.8971648 2.15685190 3.68082347 2.96290890
100129203 1.29126359 0.3401216 -1.17995959 4.59547892 0.62732759
100129250 2.08843900 1.9027920 1.64157347 2.98601098 1.75855740
100129259 1.40491900 1.3234349 1.80847984 0.79182841 1.75855740
100129361 5.61435649 4.7231816 5.28169000 3.87088751 5.89408774
100129398 0.88409413 1.0637533 0.27107354 0.99222306 1.40492388
100129434 -1.17995959 -1.1799596 0.27107354 0.55903805 -0.01008727
100129461 1.51027082 1.5434277 1.55027222 -1.17995959 1.06789305
100129484 1.94548213 2.3150186 2.33153705 3.35679588 2.38473821
100129550 4.28532288 5.2925182 4.77713847 5.64309576 5.11456753
100129583 -0.24712173 1.0637533 -1.17995959 0.99222306 0.62732759
100129662 0.53046387 1.3234349 1.11328869 3.42768536 0.44446720
100129707 0.06099042 1.0637533 -0.27922310 -0.51592472 -0.67748714
100129716 1.40491900 0.3401216 1.64157347 1.71332244 1.75855740
100129726 0.31474014 2.9748705 1.80847984 4.51637339 1.75855740
100129774 3.95296800 4.4239882 3.64333598 3.32000061 3.73483210
100129781 1.29126359 2.0536714 -0.27922310 1.16814686 0.62732759
100129792 -0.63942267 0.3401216 0.02200559 -1.17995959 -0.67748714
100129794 2.27938049 2.0536714 2.09358441 0.55903805 0.78959614
100129842 0.31474014 2.5362047 1.34826255 0.99222306 1.67793965
100129917 1.70037177 3.8120469 4.01175199 2.67240707 1.67793965
100129924 1.40491900 1.3234349 2.02741464 3.46186527 1.97646070
100129940 0.88409413 0.3401216 0.02200559 -0.06291901 1.59254896
100129995 -1.17995959 -1.1799596 -0.27922310 0.28131946 -1.17995959
10013 5.46510785 5.9121127 5.83965669 6.01521544 5.37964232
100130111 0.71808712 1.3234349 0.83245388 0.79182841 -1.17995959
100130197 0.53046387 0.3401216 0.02200559 0.55903805 0.44446720
100130335 2.50006730 2.6352576 2.21746106 3.35679588 2.61869418
100130348 3.04701400 4.1502227 3.66525961 3.20362507 3.61002593
100130357 -0.63942267 -0.2283449 -1.17995959 -1.17995959 0.93544468
100130466 3.08161253 3.3107920 3.37723541 3.94525585 3.39989396
100130476 -1.17995959 0.3401216 -0.27922310 2.19189567 0.44446720
100130522 0.06099042 -1.1799596 0.02200559 2.55064409 0.23501864
100130550 0.88409413 1.5434277 0.97969393 -0.06291901 1.40492388
100130564 3.36051242 3.2495755 3.26685589 4.22943345 3.32245010
100130581 0.88409413 2.0536714 0.66846066 2.55064409 1.18919774
100130691 1.86831491 2.0536714 1.45280023 1.59510763 0.44446720
100130705 0.53046387 0.7468399 0.97969393 2.67240707 1.97646070
100130748 1.03295516 0.7468399 0.97969393 0.99222306 1.06789305
100130750 -1.17995959 -1.1799596 -1.17995959 -1.17995959 -1.17995959
100130855 1.16788280 -1.1799596 0.83245388 2.10804729 1.40492388
100130958 1.70037177 0.3401216 1.34826255 2.61280979 1.18919774
100131017 -1.17995959 -1.1799596 -1.17995959 -1.17995959 -1.17995959
100131031 3.11540072 2.1902549 2.62793960 0.99222306 2.70259505
100131033 1.51027082 1.9027920 1.11328869 1.82258002 1.18919774
100131067 1.94548213 2.7279444 2.43725013 2.10804729 2.78188362
100131089 0.71808712 -0.2283449 1.23555416 1.32493109 0.62732759
100131094 0.53046387 1.5434277 1.23555416 1.16814686 0.44446720
100131138 1.51027082 2.1902549 1.23555416 0.28131946 1.18919774
100131187 -1.17995959 -1.1799596 -0.66040820 -1.17995959 -1.17995959
100131193 1.29126359 1.7342704 1.45280023 1.82258002 1.50178439
100131211 3.01156530 3.3107920 3.47976679 2.67240707 3.29568327
100131213 1.03295516 1.3234349 1.23555416 3.16264928 1.30108925
100131471 2.01873054 2.1902549 2.27562628 1.92414268 2.22367672
100131656 3.44266122 3.6318733 3.32310103 4.75560188 3.15385101
100131685 2.93794272 2.5362047 2.38536163 2.19189567 2.74278397
100131691 1.86831491 2.6352576 1.34826255 3.92088989 2.48291807
100131740 0.53046387 1.5434277 0.02200559 0.55903805 0.93544468
100131801 3.08161253 2.4298464 3.26685589 4.28776286 3.69441792
100131827 0.31474014 1.0637533 0.97969393 1.16814686 -0.30553358
100131828 -0.63942267 -1.1799596 -0.66040820 -0.51592472 0.23501864
100131940 -0.63942267 1.0637533 0.83245388 -0.06291901 1.40492388
100132074 -0.24712173 -1.1799596 -1.17995959 0.79182841 -1.17995959
100132086 1.51027082 1.5434277 0.66846066 0.55903805 0.44446720
100132116 9.22846253 7.8224384 7.26038649 8.46814691 8.11953536
100132126 0.31474014 -0.2283449 -0.66040820 -1.17995959 0.23501864
100132215 0.88409413 2.5362047 1.11328869 0.79182841 1.50178439
100132537 3.30302710 3.5830805 3.64333598 2.27113736 3.29568327
100132609 0.71808712 1.3234349 0.48340648 1.16814686 0.23501864
100132659 0.31474014 -0.2283449 0.27107354 -1.17995959 0.44446720
100132891 1.70037177 3.1187515 2.94712539 -0.06291901 1.67793965
100132972 0.31474014 1.0637533 0.27107354 -0.06291901 -1.17995959
100133234 0.06099042 0.3401216 0.27107354 1.71332244 -0.30553358
100133286 0.31474014 -0.2283449 0.02200559 -0.06291901 -0.01008727
100133315 -0.24712173 0.3401216 0.48340648 1.82258002 1.18919774
100134934 1.86831491 1.5434277 1.88520945 1.59510763 2.43466316
10014 6.15085722 6.1897715 6.02062200 5.93231684 6.40365568
100144603 2.21849864 2.3150186 1.64157347 1.92414268 2.33302346
100144748 1.51027082 2.1902549 1.95806347 6.40161446 3.37453846
10015 7.39874149 7.3180435 7.39275675 6.82574616 7.64622943
10016 5.68918388 5.2618444 5.45531071 5.74376758 6.00564762
100170229 1.29126359 -1.1799596 0.66846066 -0.06291901 0.78959614
100170841 3.81583847 3.8537816 3.35042212 7.12937479 2.85704067
10018 3.11540072 3.8120469 3.68685506 6.39278280 3.65283892
100188847 0.71808712 0.7468399 1.80847984 1.82258002 2.16572974
10019 4.34350386 4.4514320 4.23339431 5.66526753 3.67377820
100190938 2.08843900 1.0637533 2.15685190 1.82258002 1.30108925
1002 1.78678573 2.5362047 2.02741464 1.16814686 2.16572974
10020 3.27340203 4.4514320 4.01175199 2.88885855 3.47339158
10021 7.87127245 7.0572962 7.14029683 7.39563506 7.85772147
10023 0.31474014 2.0536714 1.45280023 3.92088989 1.40492388
10024 3.38841833 2.8971648 1.23555416 2.83771345 -1.17995959
10026 6.32340465 6.2140095 6.24100446 6.87414046 6.10919661
100268168 0.88409413 0.7468399 1.88520945 2.48567857 -0.30553358
100270804 1.51027082 0.3401216 1.88520945 1.16814686 2.33302346
100270827 -1.17995959 0.3401216 -0.27922310 -0.06291901 -1.17995959
100270840 3.49493836 3.0486039 2.75604798 3.07703181 2.96290890
100270854 2.01873054 2.5362047 1.34826255 1.46633471 1.59254896
100270865 2.97522359 2.0536714 3.17814996 3.28224229 2.89320019
100271271 3.38841833 2.9748705 3.11582992 3.68082347 3.32245010
100271332 1.78678573 1.7342704 1.95806347 1.46633471 2.10535752
100271415 2.59892017 0.7468399 0.97969393 2.19189567 2.61869418
100271479 -1.17995959 -1.1799596 -1.17995959 -0.06291901 -1.17995959
100271884 0.31474014 0.3401216 -0.27922310 -1.17995959 0.62732759
100272147 2.21849864 2.0536714 2.09358441 3.32000061 2.99653955
100286844 1.29126359 1.9027920 1.64157347 -0.51592472 1.40492388
100287015 -0.24712173 -0.2283449 0.48340648 0.99222306 0.44446720
100287049 0.06099042 -1.1799596 1.34826255 2.34625229 1.40492388
100287074 2.50006730 2.8971648 2.02741464 2.72963976 2.38473821
100287616 3.44266122 3.4802466 3.57549234 3.12047558 3.49708163
100287722 1.60845018 0.3401216 0.66846066 1.16814686 1.06789305
100287808 -0.63942267 0.3401216 0.83245388 3.94525585 -0.30553358
100287837 0.31474014 1.0637533 0.83245388 0.79182841 0.44446720
100287896 2.50006730 3.3695164 3.14732642 0.55903805 2.96290890
100287902 -0.63942267 -1.1799596 -0.27922310 2.01902336 -0.01008727
100287928 2.55034024 2.9748705 2.38536163 2.98601098 3.09296897
100287932 5.41850086 5.0978569 5.41058364 4.99616299 5.34089261
100288001 1.86831491 0.7468399 1.95806347 1.71332244 1.50178439
100288073 3.95296800 7.7689070 7.70469404 2.67240707 4.29026765
100288123 0.71808712 -0.2283449 1.55027222 1.59510763 1.50178439
100288198 2.86036010 2.4298464 3.11582992 2.78468836 2.89320019
100288241 -0.63942267 0.7468399 1.34826255 2.19189567 1.59254896
100288413 2.77836709 2.4298464 3.55214980 3.28224229 1.75855740
100288513 1.40491900 -0.2283449 0.66846066 0.99222306 0.93544468
100288842 -1.17995959 1.5434277 1.23555416 -1.17995959 0.93544468
100289061 -1.17995959 0.3401216 0.02200559 1.92414268 1.06789305
100289095 1.16788280 1.0637533 1.34826255 1.82258002 0.23501864
100289133 1.51027082 -0.2283449 -0.27922310 1.32493109 -0.01008727
100289178 2.21849864 1.7342704 1.72743900 1.92414268 2.04234816
100289211 1.60845018 -1.1799596 0.02200559 -1.17995959 0.93544468
100289259 0.06099042 0.7468399 0.66846066 -0.06291901 0.78959614
100289274 3.18069196 5.3076139 5.05135974 4.67047150 2.43466316
100289341 1.03295516 2.7279444 2.09358441 4.16864600 0.62732759
100289373 -0.24712173 -1.1799596 -1.17995959 1.16814686 -0.01008727
100289388 1.03295516 2.5362047 1.95806347 2.19189567 2.74278397
100289414 1.03295516 0.7468399 -0.27922310 1.32493109 1.18919774
100289635 4.95109658 5.9510882 5.53486647 3.49525410 5.37325588
100289640 1.70037177 2.5362047 1.11328869 2.61280979 1.67793965
100289678 1.29126359 2.8150342 3.20832870 2.61280979 2.22367672
100293516 4.16141048 3.5325796 3.29525254 2.01902336 3.88603759
100294362 1.78678573 2.1902549 2.09358441 1.16814686 1.40492388
1003 0.71808712 -1.1799596 -0.27922310 -1.17995959 -0.30553358
100302692 0.53046387 1.5434277 1.64157347 -1.17995959 1.90741957
100302736 1.94548213 3.1187515 2.83554063 1.46633471 1.97646070
100303728 2.93794272 2.7279444 2.43725013 3.55979932 3.26841042
100303755 1.40491900 1.5434277 1.11328869 -0.51592472 0.93544468
100312828 0.31474014 -1.1799596 -1.17995959 -1.17995959 0.23501864
100312850 -0.24712173 -1.1799596 0.27107354 0.55903805 0.23501864
10036 4.39942919 3.3695164 3.32310103 3.35679588 3.18335491
100379345 3.14841567 1.9027920 2.87370257 0.55903805 2.89320019
10038 5.19971309 5.7667562 5.64377627 2.67240707 5.01141740
100381270 1.03295516 -0.2283449 1.64157347 0.28131946 1.06789305
10039 5.79722044 5.9983720 5.71907186 4.99616299 6.01798193
1004 7.54072831 6.1230726 7.46952188 6.25824870 8.62461452
10040 3.36051242 3.1187515 3.88669824 2.98601098 3.71476652
100418710 1.51027082 1.0637533 0.97969393 1.82258002 1.18919774
100418735 4.25532818 4.3674829 3.84888303 4.64094059 4.11762853
100418744 0.71808712 2.0536714 1.72743900 1.46633471 1.67793965
100418770 2.39393955 1.5434277 0.48340648 -0.06291901 0.78959614
100418781 -0.24712173 -0.2283449 -0.27922310 -0.06291901 0.78959614
100418819 1.51027082 -0.2283449 0.66846066 0.79182841 1.18919774
100418829 2.55034024 1.3234349 2.21746106 1.59510763 1.06789305
100418888 1.51027082 2.3150186 1.34826255 2.34625229 2.27938581
100418889 2.08843900 2.7279444 2.58257773 1.82258002 2.38473821
100418910 1.16788280 -1.1799596 0.27107354 0.28131946 1.18919774
100418919 2.64591741 2.7279444 2.98248148 3.28224229 2.27938581
100419028 0.31474014 0.3401216 1.11328869 1.46633471 1.30108925
100419185 -0.63942267 0.3401216 0.02200559 0.79182841 -0.01008727
100419416 0.06099042 1.5434277 0.48340648 0.79182841 1.50178439
100419515 -0.24712173 0.3401216 1.55027222 -1.17995959 -0.30553358
100419645 1.03295516 1.3234349 -0.27922310 0.55903805 -0.30553358
100419758 -1.17995959 1.0637533 -1.17995959 1.82258002 -0.30553358
100419928 1.03295516 1.5434277 0.27107354 1.59510763 0.93544468
10042 5.40490326 4.6774292 5.02616751 4.41533940 5.16719899
100420028 -1.17995959 0.3401216 0.48340648 0.99222306 0.62732759
100420050 -0.63942267 0.3401216 -1.17995959 -0.51592472 -0.67748714
100420110 3.85636619 3.4802466 3.37723541 3.03223910 3.26841042
100420187 1.70037177 2.4298464 1.45280023 1.92414268 0.93544468
100420259 4.12869496 3.8943429 4.04557723 3.24346913 3.79340680
100420307 -0.63942267 0.7468399 0.02200559 0.99222306 1.40492388
100420341 5.41171808 6.8460769 6.73391247 4.64094059 4.80863175
100420423 0.53046387 1.0637533 0.48340648 0.28131946 -0.67748714
100420591 1.03295516 0.3401216 0.97969393 0.55903805 1.18919774
100420707 2.86036010 1.9027920 2.33153705 1.32493109 2.70259505
100420752 1.51027082 2.5362047 2.43725013 1.16814686 1.59254896
100420869 4.24009370 3.0486039 3.52842336 4.36203891 4.07103592
100420981 5.49107964 5.5038761 5.32365072 5.51872275 5.35392517
100421093 3.75282881 3.3107920 3.77014251 4.46674066 3.77414494
100421109 1.03295516 1.3234349 0.02200559 1.16814686 1.30108925
100421160 0.88409413 -0.2283449 -0.27922310 -0.06291901 1.06789305
100421175 1.03295516 -1.1799596 1.45280023 2.34625229 1.30108925
100421246 2.27938049 2.1902549 1.64157347 1.59510763 1.50178439
100421311 2.55034024 1.7342704 1.88520945 1.82258002 2.33302346
100421372 1.51027082 1.5434277 1.23555416 0.79182841 1.40492388
100421400 1.86831491 2.5362047 2.09358441 1.71332244 1.50178439
100421415 -1.17995959 -1.1799596 -0.27922310 0.55903805 0.93544468
100421429 -0.24712173 0.3401216 0.02200559 -0.51592472 1.06789305
100421465 1.40491900 2.5362047 1.64157347 1.71332244 1.59254896
100421468 1.60845018 2.4298464 0.66846066 1.16814686 0.93544468
100421506 -0.24712173 -1.1799596 -1.17995959 -1.17995959 -0.30553358
100421569 -0.24712173 -1.1799596 -0.27922310 1.32493109 1.06789305
100421595 1.94548213 1.5434277 1.72743900 0.99222306 1.40492388
100421794 2.97522359 3.5325796 2.43725013 3.12047558 3.02940407
100422106 1.40491900 1.7342704 1.11328869 1.59510763 1.18919774
100422338 2.21849864 1.9027920 2.09358441 1.92414268 1.50178439
100422546 0.88409413 1.9027920 -1.17995959 1.59510763 0.78959614
100422561 4.00796928 4.2473656 4.06219704 3.03223910 3.77414494
10043 5.51025619 5.7336073 5.53486647 4.41533940 6.00151263
10044 2.59892017 1.7342704 -0.27922310 2.61280979 0.93544468
10045 0.88409413 2.3150186 2.43725013 2.01902336 -0.01008727
10046 2.21849864 1.7342704 1.64157347 1.71332244 0.78959614
10048 6.30887589 6.4836111 6.56926394 6.90552436 6.37517428
10049 5.39117629 5.6531627 5.59321068 6.54003384 5.76831357
100499177 2.69143185 3.8537816 3.40355945 1.59510763 3.61002593
100499483 1.16788280 0.3401216 1.34826255 1.32493109 0.62732759
1005 0.31474014 0.3401216 2.09358441 0.99222306 0.62732759
100500719 1.40491900 0.3401216 1.23555416 -1.17995959 0.23501864
100505385 1.70037177 2.3150186 2.94712539 2.72963976 2.96290890
100505501 1.40491900 2.1902549 1.95806347 2.10804729 1.50178439
100505538 0.31474014 2.4298464 1.55027222 2.98601098 1.90741957
100505549 -1.17995959 1.0637533 -0.27922310 -1.17995959 -1.17995959
100505573 6.00976496 5.5426708 5.42350492 6.93927597 7.03951779
100505576 4.35768974 4.6301782 3.97711459 3.79247627 4.08673458
100505616 0.88409413 -1.1799596 0.02200559 1.71332244 0.44446720
100505624 1.16788280 2.4298464 1.72743900 -0.51592472 1.50178439
100505635 0.31474014 -1.1799596 -0.66040820 -0.51592472 -1.17995959
100505641 2.81994601 2.9748705 2.43725013 2.83771345 2.52961107
100505648 1.78678573 3.5830805 3.55214980 2.10804729 3.09296897
100505678 2.08843900 1.0637533 1.55027222 0.79182841 -0.01008727
100505696 3.85636619 4.1833358 3.70813201 3.24346913 3.97307800
100505715 -0.24712173 -0.2283449 1.23555416 -0.06291901 0.78959614
100505738 3.18069196 3.1187515 2.79634175 3.96921712 3.09296897
100505741 1.03295516 1.0637533 0.97969393 2.93825240 1.30108925
100505758 2.77836709 3.2495755 3.14732642 2.72963976 2.81995150
100505761 2.15493394 3.6790697 2.98248148 1.71332244 2.61869418
100505771 3.52038330 3.6790697 3.35042212 2.93825240 3.95608496
100505783 -1.17995959 -0.2283449 -1.17995959 1.82258002 -1.17995959
100505806 3.41579469 2.8150342 2.94712539 1.71332244 2.38473821
100505812 0.06099042 0.3401216 0.02200559 -1.17995959 0.23501864
100505832 -0.24712173 -1.1799596 -0.27922310 -1.17995959 -1.17995959
100505854 0.31474014 1.5434277 0.27107354 2.48567857 0.93544468
100505876 5.62025226 5.4640093 5.71382200 5.32806045 6.62407702
100505894 0.88409413 2.8150342 1.45280023 1.46633471 -0.01008727
100505933 -1.17995959 -0.2283449 1.23555416 -1.17995959 0.23501864
100505994 -0.24712173 1.9027920 3.52842336 -0.51592472 1.30108925
100506020 0.31474014 2.0536714 -0.27922310 -0.51592472 1.18919774
100506033 4.75067870 4.7004867 4.75686228 4.38002543 4.76050543
100506054 -1.17995959 0.3401216 -0.27922310 0.55903805 1.30108925
100506068 -0.24712173 -1.1799596 -1.17995959 1.82258002 -0.30553358
100506070 -1.17995959 0.3401216 0.48340648 0.28131946 -0.30553358
100506083 -0.63942267 1.9027920 0.02200559 0.55903805 0.62732759
100506100 0.31474014 0.3401216 0.27107354 -0.06291901 0.62732759
100506119 0.53046387 1.5434277 0.66846066 0.99222306 0.44446720
100506127 1.51027082 2.4298464 2.21746106 2.34625229 1.40492388
100506142 -0.24712173 -0.2283449 0.66846066 -0.51592472 0.23501864
100506144 1.60845018 0.7468399 0.02200559 0.79182841 1.06789305
100506161 0.53046387 2.5362047 0.66846066 -0.06291901 1.40492388
100506211 3.01156530 1.0637533 2.02741464 0.99222306 2.70259505
100506235 1.16788280 1.0637533 1.23555416 2.41764909 1.83490765
100506258 -1.17995959 -1.1799596 0.02200559 -1.17995959 -0.30553358
100506282 2.21849864 2.4298464 1.95806347 2.41764909 2.10535752
100506286 -0.24712173 -1.1799596 -0.27922310 3.07703181 0.93544468
100506302 1.16788280 1.5434277 1.45280023 1.32493109 1.67793965
100506321 1.29126359 0.3401216 1.34826255 1.59510763 0.44446720
100506325 0.31474014 1.7342704 0.02200559 0.55903805 0.23501864
100506343 0.88409413 -0.2283449 0.27107354 2.10804729 0.93544468
100506365 4.69590016 5.0626978 4.85550825 3.62158008 4.90032039
100506368 0.71808712 0.3401216 0.27107354 -1.17995959 -0.01008727
100506380 1.03295516 2.0536714 1.80847984 0.55903805 2.66125444
100506392 3.44266122 3.5830805 3.90524052 1.46633471 2.70259505
100506394 0.06099042 1.0637533 0.97969393 3.35679588 1.83490765
100506411 2.01873054 0.3401216 1.11328869 1.32493109 -0.30553358
100506433 1.51027082 2.3150186 1.45280023 -1.17995959 1.97646070
100506462 0.31474014 0.3401216 0.27107354 1.92414268 0.23501864
100506469 2.81994601 1.9027920 3.05069583 3.55979932 3.18335491
100506495 0.31474014 1.0637533 0.27107354 1.92414268 1.06789305
100506504 1.03295516 2.4298464 2.33153705 1.59510763 1.97646070
100506540 0.71808712 0.3401216 1.80847984 1.46633471 0.78959614
100506581 2.33779681 3.8120469 2.62793960 1.92414268 2.66125444
100506606 0.71808712 -1.1799596 0.02200559 0.55903805 -0.67748714
100506658 0.88409413 2.8150342 1.80847984 3.35679588 1.30108925
100506668 2.44797908 3.1187515 2.98248148 1.59510763 2.89320019
100506686 0.88409413 1.9027920 2.09358441 0.28131946 1.83490765
100506691 -0.63942267 0.3401216 -1.17995959 -1.17995959 -0.67748714
100506696 0.88409413 1.5434277 0.97969393 3.12047558 0.23501864
100506697 1.16788280 -0.2283449 -0.27922310 -0.06291901 1.40492388
100506710 4.41307823 5.6766082 5.48643040 4.69941005 5.11456753
100506713 -0.24712173 -0.2283449 0.48340648 -0.06291901 0.23501864
100506725 4.22469662 4.3086740 3.35042212 1.92414268 4.24900574
100506731 0.31474014 -0.2283449 0.02200559 4.03880185 1.06789305
100506757 1.29126359 1.3234349 1.88520945 0.99222306 0.23501864
100506779 -1.17995959 0.7468399 -1.17995959 1.46633471 -0.30553358
100506804 -1.17995959 -0.2283449 -0.66040820 0.99222306 -1.17995959
100506826 0.53046387 1.0637533 1.45280023 0.28131946 1.83490765
100506844 2.21849864 3.2495755 1.80847984 1.59510763 2.04234816
100506866 5.24620564 5.3225533 4.61762898 4.30669344 4.93542416
100506881 2.27938049 2.6352576 2.02741464 4.22943345 1.97646070
100506885 0.53046387 -1.1799596 0.83245388 1.59510763 1.67793965
100506911 0.06099042 0.3401216 0.48340648 0.79182841 0.62732759
100506922 -0.24712173 -1.1799596 0.66846066 2.27113736 -1.17995959
100506930 2.59892017 2.8150342 2.94712539 1.82258002 2.48291807
100506994 1.03295516 -1.1799596 0.48340648 1.59510763 0.62732759
100507003 -0.24712173 -1.1799596 -0.27922310 -1.17995959 -1.17995959
100507032 -1.17995959 -1.1799596 -1.17995959 -1.17995959 -1.17995959
100507034 2.93794272 2.5362047 3.45480896 4.76931440 2.61869418
100507050 -0.24712173 -1.1799596 0.66846066 3.16264928 -0.01008727
100507053 -1.17995959 -1.1799596 -1.17995959 -0.06291901 0.23501864
100507057 0.06099042 -1.1799596 -0.27922310 -0.06291901 -0.67748714
100507062 0.53046387 -0.2283449 -1.17995959 1.82258002 0.62732759
100507071 0.71808712 -1.1799596 0.02200559 0.79182841 1.18919774
100507156 3.66429235 3.7690688 3.35042212 3.81908970 3.32245010
100507171 2.21849864 3.5830805 3.32310103 1.92414268 2.38473821
100507173 0.06099042 1.0637533 -0.66040820 -0.06291901 0.23501864
100507178 -0.63942267 1.5434277 1.55027222 1.16814686 0.23501864
100507244 2.15493394 1.7342704 1.72743900 1.92414268 1.67793965
100507246 3.27340203 3.6790697 3.47976679 1.92414268 3.67377820
100507250 -0.63942267 -0.2283449 0.48340648 0.28131946 0.23501864
100507254 1.94548213 0.7468399 0.27107354 -1.17995959 0.23501864
100507266 0.88409413 0.3401216 0.48340648 -0.06291901 -0.30553358
100507290 4.16141048 4.3960122 4.57193655 3.94525585 4.63799678
100507291 0.31474014 1.0637533 -0.27922310 0.55903805 -0.01008727
100507303 2.55034024 2.3150186 2.67191856 1.59510763 1.67793965
100507308 2.01873054 2.1902549 2.58257773 -0.51592472 1.83490765
100507316 -1.17995959 -1.1799596 -0.27922310 0.55903805 -1.17995959
100507331 1.94548213 1.9027920 2.48733699 2.72963976 2.52961107
100507347 2.01873054 2.3150186 2.98248148 2.48567857 2.78188362
100507373 1.70037177 2.4298464 2.43725013 3.12047558 2.04234816
100507392 0.88409413 0.3401216 -1.17995959 1.32493109 -1.17995959
100507398 0.31474014 2.3150186 1.11328869 2.01902336 0.23501864
100507401 -1.17995959 -0.2283449 0.48340648 0.28131946 0.23501864
100507420 0.53046387 -1.1799596 -1.17995959 -0.06291901 -0.30553358
100507433 1.16788280 2.1902549 2.48733699 2.78468836 2.10535752
100507436 -1.17995959 -0.2283449 1.11328869 1.32493109 0.23501864
100507437 0.06099042 0.3401216 1.34826255 -0.51592472 0.23501864
100507459 -0.24712173 1.0637533 0.66846066 2.93825240 0.93544468
100507463 0.53046387 0.3401216 -0.27922310 2.10804729 -0.30553358
100507487 0.71808712 3.0486039 3.26685589 2.41764909 2.70259505
100507495 4.07818715 4.4783635 3.84888303 2.27113736 3.92148636
100507516 -1.17995959 0.3401216 0.27107354 -1.17995959 0.78959614
100507551 0.31474014 1.0637533 1.11328869 0.28131946 0.93544468
100507557 1.16788280 1.0637533 1.23555416 2.61280979 0.78959614
100507564 -1.17995959 1.5434277 1.45280023 -0.06291901 0.93544468
100507567 0.31474014 -0.2283449 1.23555416 -0.51592472 -0.01008727
100507588 -0.24712173 -0.2283449 1.23555416 1.46633471 0.93544468
100507599 0.31474014 0.3401216 -1.17995959 0.79182841 -0.30553358
100507602 4.22469662 3.7690688 4.46350888 3.89610532 4.20652889
100508120 1.03295516 1.0637533 0.66846066 -1.17995959 0.62732759
10051 6.69980182 5.0082983 5.60460163 5.52681822 5.35392517
10052 1.60845018 0.3401216 0.97969393 1.59510763 1.30108925
100526737 1.78678573 1.7342704 2.02741464 0.79182841 1.75855740
100526760 1.03295516 2.3150186 1.55027222 0.55903805 0.78959614
100526820 1.51027082 0.7468399 1.23555416 0.79182841 0.62732759
100526835 4.25532818 4.0460635 4.18868223 0.55903805 4.30376347
100527978 -1.17995959 0.3401216 -0.27922310 -0.51592472 -1.17995959
100529145 0.88409413 2.0536714 2.27562628 1.82258002 1.59254896
100529215 0.31474014 0.7468399 0.97969393 -0.51592472 -0.01008727
100532746 3.30302710 3.5830805 3.92354751 3.92088989 3.79340680
100533106 -0.24712173 0.7468399 -0.27922310 0.55903805 -0.30553358
100533182 -0.24712173 0.3401216 -0.66040820 1.82258002 -0.30553358
100533619 -0.24712173 0.3401216 -0.27922310 2.88885855 -0.30553358
100533629 0.06099042 0.3401216 0.27107354 -1.17995959 -0.01008727
100533695 0.53046387 0.3401216 0.02200559 -0.06291901 0.23501864
100533970 0.88409413 1.5434277 0.66846066 1.82258002 1.18919774
100534593 0.88409413 1.0637533 1.55027222 3.16264928 1.75855740
10054 6.18705719 6.2690297 6.00351340 5.58224910 5.75854580
10056 6.09691067 5.3808104 5.65477638 4.48347534 5.66752580
10057 6.75175210 7.0302509 7.15780059 7.30439744 7.58537003
10058 5.03293479 6.7387921 6.35667628 6.73432240 6.47696669
10059 6.95669821 6.5923905 6.67839771 5.87639404 6.75265285
1006 4.55526684 4.2473656 3.81004990 4.26858057 6.68979683
10060 2.81994601 4.1502227 3.45480896 2.67240707 3.26841042
100616256 0.06099042 -1.1799596 0.27107354 -0.51592472 0.44446720
10062 0.71808712 1.9027920 1.55027222 2.34625229 0.62732759
10063 3.77413927 3.6318733 3.86791453 3.73772973 4.31713421
100652739 0.06099042 0.7468399 0.48340648 2.27113736 0.78959614
100652758 1.29126359 1.3234349 0.66846066 3.89610532 1.59254896
100652846 1.40491900 1.5434277 -0.27922310 1.16814686 2.33302346
10066 6.82249944 6.9698531 7.03056524 6.53602870 6.84785193
10067 6.07989757 6.2612969 6.17376978 5.87639404 6.08204104
10068 3.21226193 3.7247709 3.66525961 3.39267599 3.69441792
10069 2.73555420 3.6790697 2.87370257 3.49525410 3.47339158
10072 4.91317867 4.2157059 4.18868223 5.17163503 4.77025998
10073 3.21226193 3.9337949 3.35042212 2.34625229 3.83117577
10075 8.38824148 8.8393253 8.76918786 8.31995861 8.65125292
10076 4.34350386 4.9324200 4.72590347 5.72277857 5.51922973
10077 1.16788280 0.7468399 0.02200559 -0.06291901 -0.30553358
100775107 0.71808712 -0.2283449 1.34826255 1.32493109 0.23501864
10078 4.42659935 5.0447916 4.47596674 4.74175777 4.65915102
10079 4.97889501 5.4774210 5.54080823 4.96074631 4.96120258
1008 4.83421540 4.8727719 4.56028369 5.07556986 7.23004382
10081 5.00616791 4.8105509 5.09239321 6.39278280 4.90917673
10082 6.45458629 6.3220284 6.09519504 6.66265849 6.11303459
100820829 4.89383932 3.7247709 3.45480896 3.32000061 4.07103592
10084 5.25381079 4.8727719 4.71543445 4.46674066 5.05994307
100847074 1.94548213 2.0536714 1.95806347 2.01902336 1.83490765
10085 9.94840283 9.7124536 9.88339200 10.20543030 9.85250798
100852407 1.16788280 2.5362047 1.88520945 1.71332244 1.50178439
100861412 0.06099042 0.3401216 1.23555416 -0.51592472 -0.01008727
100861548 4.46641861 4.5562668 5.21636791 5.28097426 4.73083968
100862671 0.88409413 1.0637533 0.27107354 0.79182841 0.78959614
10087 6.34492710 6.2299448 6.74682127 6.86459060 6.72282350
100873257 -0.63942267 -1.1799596 -1.17995959 -0.06291901 -1.17995959
100873333 2.08843900 1.9027920 1.88520945 2.93825240 2.52961107
100873790 2.44797908 2.4298464 2.48733699 1.59510763 2.81995150
100873949 -0.24712173 0.7468399 0.27107354 -0.06291901 0.78959614
100873952 -0.63942267 -0.2283449 0.02200559 0.28131946 0.23501864
100873965 0.88409413 1.5434277 0.83245388 1.32493109 1.97646070
100874006 1.40491900 2.4298464 1.80847984 1.46633471 1.50178439
100874008 0.53046387 1.5434277 1.64157347 1.16814686 -0.30553358
100874014 2.21849864 2.5362047 2.33153705 -1.17995959 2.96290890
100874058 1.86831491 2.6352576 2.27562628 0.99222306 2.27938581
100874080 1.03295516 1.0637533 0.48340648 0.79182841 0.62732759
100874097 1.78678573 2.0536714 2.02741464 2.19189567 1.97646070
100874201 0.53046387 0.7468399 0.02200559 -1.17995959 0.44446720
100874212 0.88409413 0.7468399 1.23555416 -0.06291901 1.40492388
100874217 0.06099042 -1.1799596 0.66846066 -0.51592472 -0.30553358
100874235 -0.63942267 -1.1799596 0.27107354 -0.06291901 0.62732759
100874261 -0.24712173 1.9027920 1.34826255 -0.06291901 0.93544468
100874291 1.51027082 -1.1799596 -0.27922310 -1.17995959 -0.30553358
100874362 1.16788280 1.0637533 1.55027222 2.93825240 2.52961107
100874523 0.88409413 1.3234349 1.34826255 -0.51592472 2.16572974
100885775 2.97522359 0.3401216 1.80847984 1.59510763 1.75855740
100885776 0.06099042 1.3234349 0.83245388 0.79182841 0.23501864
100885848 4.88407156 4.0816254 3.74976706 3.59102038 4.64861267
1009 10.31819968 8.8815509 9.49960770 8.49830792 9.50067142
10090 3.83624464 4.5813270 4.41257300 5.08656516 4.46860464
10092 7.90667928 7.4048329 7.52602713 6.56776277 7.76928615
10093 7.38841436 6.8818180 6.95693207 7.17901871 7.51023485
10094 3.85636619 2.9748705 4.04557723 3.68082347 3.90387085
10095 6.06700477 6.1978962 6.22264028 6.44070123 6.40990925
10097 8.90293553 8.3565297 8.30531437 8.82153005 8.83791395
10098 6.08416969 6.0351141 6.24464941 5.49416019 6.45898522
10099 8.00458986 8.0967833 7.96324316 8.52583311 7.83582537
100996246 2.69143185 2.7279444 2.62793960 1.59510763 2.70259505
100996251 1.03295516 0.7468399 1.11328869 0.55903805 0.62732759
100996307 1.94548213 1.9027920 2.09358441 -1.17995959 0.23501864
100996384 1.51027082 0.3401216 1.34826255 2.48567857 0.93544468
100996419 0.88409413 0.7468399 0.66846066 1.59510763 1.06789305
100996485 1.94548213 1.3234349 0.97969393 2.27113736 1.67793965
100996539 -0.63942267 0.3401216 -0.27922310 0.28131946 1.40492388
100996579 0.71808712 -1.1799596 0.83245388 0.55903805 1.40492388
100996696 3.04701400 2.4298464 3.08363042 2.78468836 2.81995150
100996842 2.08843900 2.1902549 1.72743900 0.28131946 1.67793965
100996851 -0.24712173 -1.1799596 0.48340648 0.28131946 0.23501864
100996939 0.88409413 0.7468399 0.02200559 -0.06291901 1.30108925
101 1.16788280 1.5434277 0.97969393 2.67240707 1.30108925
1010 1.03295516 1.0637533 1.34826255 0.55903805 1.06789305
10100 4.49236703 3.5325796 3.40355945 3.94525585 3.75462243
10101 4.47945116 5.2462595 4.89315243 5.58224910 4.61652773
10102 4.77202071 4.7891995 4.90241198 3.89610532 4.40741255
10103 0.71808712 -1.1799596 0.66846066 -1.17995959 0.93544468
10105 6.51911827 5.8516011 5.93297492 6.10986662 5.99320694
10106 6.83522843 7.7217894 7.52002407 7.28543651 6.96290386
101060200 2.55034024 3.1187515 3.40355945 3.65150585 2.52961107
101060691 1.60845018 2.1902549 1.45280023 -0.06291901 2.38473821
10109 8.84117219 8.4849201 8.56130611 8.56959335 9.20409981
10112 5.41171808 3.1187515 2.33153705 3.79247627 0.62732759
10113 6.28309307 7.3584710 6.93454019 6.04933528 6.24130970
10114 7.51564279 7.4767138 7.51701314 8.35788983 7.68928257
101154753 -0.24712173 -1.1799596 0.27107354 0.28131946 -0.30553358
10116 7.82479876 7.7330152 7.86128046 6.89618067 7.79579373
10117 0.71808712 1.5434277 0.97969393 1.82258002 0.62732759
1012 8.82976843 9.0243100 9.15105750 9.11459050 8.94460551
10121 6.19497975 5.6996788 5.61026356 5.72980889 6.45898522
10123 7.18268086 6.7608968 7.34940462 6.19868849 7.36651879
DMSO_24_C5 LPS_24_C5 TNFa_24_C5 H2O_24_C5 BPA_24_C5
100 2.81190142 2.35172197 2.93592409 2.78158010 1.06803609
1000 11.10148580 11.04961627 10.97766945 11.07379102 11.04076957
10000 6.70393666 6.75344880 6.25660241 6.82824247 6.78266097
10001 4.10619982 4.57023225 4.69936684 4.38649135 4.98566069
10003 2.94113780 2.16867995 1.78491782 2.78158010 2.48900495
100037417 -1.17995959 -1.17995959 -1.17995959 -1.17995959 -1.17995959
100049716 2.74266552 2.10211402 1.16616175 2.43659404 2.68739957
10005 3.74827949 3.65599595 3.24111366 3.73451852 4.03322864
10006 6.47228749 6.58696834 6.46232065 6.65901775 6.54762141
10007 4.84491315 4.50731974 4.61343498 4.44578121 5.05912736
10009 6.10947510 6.24526355 6.27910376 6.25715507 6.34955684
100093630 6.05339787 6.06478230 6.13234347 5.98472148 6.34221735
1001 5.80011045 5.69304100 5.37867527 5.84488988 5.83100380
10010 5.25854023 5.19894256 6.37100249 5.46014427 5.64667448
100101267 2.42677783 1.88173012 2.30693314 1.61999306 2.31996500
100101467 3.16933398 3.40302902 3.63921616 3.66968051 3.66090166
10011 6.18970439 5.87847586 6.16895138 5.83752951 6.34221735
100113386 -0.37631965 -0.23983989 1.16616175 -0.44644366 0.34365868
100113397 0.81353290 0.54107115 0.71652007 0.68823126 1.06803609
100113407 4.00635182 3.96778582 3.41374125 4.16916407 4.15551497
100125288 2.81190142 2.40791531 2.30693314 1.98228825 1.98502405
100127983 2.51246671 2.10211402 2.68943622 1.98228825 2.77722323
100128006 1.76667686 2.61306480 2.75511730 1.87133392 2.73301035
100128016 1.06111710 1.30377550 0.05975502 1.13506091 1.54803417
100128025 -0.09708724 0.54107115 -1.17995959 0.39924888 0.56156792
100128054 1.45660621 1.71356028 0.71652007 2.08531539 1.98502405
100128071 -1.17995959 -0.23983989 0.05975502 0.03750221 0.75084144
100128191 1.36742773 0.32459718 0.42519201 0.68823126 0.91813867
100128252 2.42677783 2.29325087 2.01682192 2.51250688 1.44216454
100128379 0.33794533 1.30377550 0.71652007 0.92887632 -0.62534318
100128398 4.46974112 4.53281489 4.15932126 4.46501512 4.64746793
100128494 3.14270677 3.16291057 1.78491782 2.43659404 2.25891064
100128569 1.83479653 1.95899297 1.78491782 1.13506091 1.44216454
100128640 -1.17995959 -1.17995959 -1.17995959 -1.17995959 -0.22572150
100128682 -1.17995959 -0.23983989 -1.17995959 -1.17995959 -1.17995959
100128731 6.21548574 6.17008083 6.16291421 6.26266136 6.68160105
100128766 2.38194603 2.16867995 2.87813680 3.00827053 2.64029960
100128782 1.36742773 1.52316871 1.16616175 1.13506091 2.05852234
100128822 -1.17995959 -1.17995959 -1.17995959 -1.17995959 -1.17995959
100128833 2.28787327 2.10211402 2.62062168 1.75113004 2.48900495
100128881 2.33567629 2.23230952 1.65330124 2.08531539 2.05852234
100128893 4.41516264 3.98635907 3.73998298 4.34556632 4.37279401
100129001 -0.09708724 0.72926140 1.34743945 1.13506091 1.32790621
100129013 1.89984430 1.41763853 2.12014477 1.87133392 1.32790621
100129029 0.33794533 0.32459718 0.71652007 1.13506091 0.34365868
100129060 3.22115792 3.25769876 3.14638027 3.45560350 3.37471193
100129075 1.36742773 1.18014996 -0.43084666 -0.44644366 2.05852234
100129195 2.81190142 2.29325087 2.47228642 2.58462416 2.31996500
100129203 0.33794533 -0.23983989 0.71652007 -0.44644366 1.32790621
100129250 2.23843189 2.35172197 1.50846082 1.47573335 2.05852234
100129259 0.51447424 0.89571200 1.50846082 0.92887632 1.06803609
100129361 5.58951367 5.67597940 5.62692802 5.55294870 5.69357013
100129398 1.06111710 1.52316871 0.42519201 1.13506091 0.34365868
100129434 -0.37631965 -1.17995959 0.05975502 0.39924888 0.08687741
100129461 1.17060759 1.88173012 1.65330124 2.18147290 2.43482955
100129484 1.76667686 1.80009418 0.42519201 2.18147290 2.19515786
100129550 4.46974112 4.46821180 4.55930656 3.99486104 4.28364917
100129583 -1.17995959 -1.17995959 -1.17995959 0.03750221 -1.17995959
100129662 0.67173878 0.72926140 1.65330124 0.03750221 1.32790621
100129707 0.81353290 0.32459718 0.42519201 0.39924888 -0.22572150
100129716 0.51447424 0.54107115 1.16616175 1.13506091 1.20381450
100129726 1.76667686 0.89571200 1.78491782 1.75113004 1.32790621
100129774 3.45556171 3.58465152 2.87813680 3.45560350 3.95839610
100129781 1.45660621 1.30377550 1.16616175 1.31542948 0.75084144
100129792 -0.09708724 0.32459718 -0.43084666 0.03750221 0.08687741
100129794 1.36742773 1.62150295 0.05975502 1.31542948 2.25891064
100129842 0.81353290 0.54107115 1.34743945 0.39924888 1.06803609
100129917 1.96208532 0.89571200 2.47228642 2.08531539 2.05852234
100129924 1.76667686 1.71356028 2.01682192 1.61999306 1.64666307
100129940 1.45660621 1.18014996 1.16616175 1.13506091 -0.22572150
100129995 -0.37631965 -1.17995959 -1.17995959 -1.17995959 -0.22572150
10013 5.61878987 5.51260219 5.60036954 5.76953974 5.50268165
100130111 0.51447424 0.06980802 0.95878782 0.92887632 1.06803609
100130197 0.94262955 0.06980802 0.05975502 0.68823126 -0.22572150
100130335 2.87796625 1.95899297 3.19452440 2.08531539 3.28568925
100130348 3.22115792 2.91402559 3.37248198 3.20413074 2.86178066
100130357 0.33794533 0.32459718 -1.17995959 0.03750221 0.56156792
100130466 3.16933398 3.22678954 3.28624535 2.78158010 2.64029960
100130476 -0.37631965 -0.23983989 0.05975502 -1.17995959 -0.22572150
100130522 0.13676485 1.04492954 -1.17995959 0.68823126 0.34365868
100130550 1.27237147 0.54107115 0.71652007 1.47573335 0.34365868
100130564 3.49819591 3.34664126 2.99148557 3.29291538 3.31597795
100130581 0.67173878 0.89571200 0.42519201 0.68823126 0.75084144
100130691 2.59335017 1.88173012 1.50846082 1.75113004 1.54803417
100130705 1.83479653 0.06980802 0.71652007 1.13506091 1.06803609
100130748 1.27237147 1.30377550 1.34743945 1.13506091 1.54803417
100130750 -1.17995959 -1.17995959 -1.17995959 -1.17995959 -1.17995959
100130855 1.36742773 -0.23983989 1.16616175 0.68823126 1.44216454
100130958 1.36742773 -0.23983989 0.05975502 0.39924888 1.54803417
100131017 -1.17995959 -1.17995959 -1.17995959 -1.17995959 -1.17995959
100131031 2.47025836 2.16867995 2.21655982 2.89937322 1.98502405
100131033 1.89984430 2.23230952 0.42519201 1.98228825 2.19515786
100131067 1.89984430 1.52316871 2.47228642 0.68823126 1.73897857
100131089 0.81353290 1.04492954 1.16616175 1.31542948 0.91813867
100131094 -0.37631965 0.54107115 -1.17995959 -0.44644366 0.34365868
100131138 0.94262955 1.95899297 1.50846082 0.39924888 1.44216454
100131187 -1.17995959 -1.17995959 -1.17995959 -1.17995959 -1.17995959
100131193 2.02175180 0.32459718 1.50846082 0.68823126 1.20381450
100131211 3.55987407 4.02280328 3.04498638 3.20413074 3.83832426
100131213 1.17060759 -1.17995959 0.71652007 1.13506091 0.56156792
100131471 2.02175180 2.16867995 2.87813680 1.87133392 1.54803417
100131656 3.34311522 2.79264107 4.00588600 3.05978426 3.25475098
100131685 3.49819591 3.12987814 2.87813680 3.66968051 2.43482955
100131691 1.96208532 0.72926140 2.39197746 2.51250688 2.86178066
100131740 -0.09708724 0.32459718 0.05975502 1.13506091 1.32790621
100131801 3.24638811 3.02598502 3.49288018 3.20413074 3.68430993
100131827 -0.37631965 -0.23983989 0.05975502 1.13506091 1.06803609
100131828 -0.72289094 -1.17995959 -1.17995959 -0.44644366 -1.17995959
100131940 0.51447424 0.89571200 1.90552450 0.03750221 -0.22572150
100132074 -0.37631965 -0.63463987 -1.17995959 -1.17995959 -1.17995959
100132086 1.06111710 0.72926140 2.21655982 0.92887632 1.06803609
100132116 9.06373410 8.97041941 8.30892502 9.04142838 8.73763860
100132126 -0.37631965 0.06980802 -0.43084666 0.03750221 0.75084144
100132215 1.61995578 0.54107115 0.05975502 1.13506091 1.20381450
100132537 3.69429544 2.98962212 2.99148557 3.79656746 2.31996500
100132609 1.27237147 1.30377550 0.95878782 1.47573335 -0.62534318
100132659 0.51447424 0.72926140 -0.43084666 0.39924888 0.75084144
100132891 1.76667686 2.16867995 2.54835966 0.68823126 1.64666307
100132972 0.51447424 -0.23983989 -1.17995959 -0.44644366 0.56156792
100133234 0.51447424 0.06980802 0.05975502 0.92887632 0.08687741
100133286 0.33794533 0.72926140 0.71652007 0.03750221 0.34365868
100133315 0.94262955 0.54107115 -1.17995959 0.03750221 0.75084144
100134934 1.36742773 1.95899297 1.90552450 1.98228825 1.90757943
10014 6.14680147 5.97927811 5.80804819 6.13037435 6.28211721
100144603 1.69518069 1.80009418 2.75511730 1.87133392 2.25891064
100144748 1.61995578 1.04492954 0.05975502 -0.44644366 2.05852234
10015 7.59191676 7.31456054 7.53781395 7.62413213 7.47039296
10016 5.59443448 5.47363913 5.65300641 5.43109749 5.66443946
100170229 1.06111710 1.41763853 1.65330124 1.31542948 0.75084144
100170841 3.03099325 3.83061316 3.73998298 2.95484911 3.63710731
10018 3.16933398 2.16867995 3.45385329 2.65330743 3.53779989
100188847 1.45660621 0.06980802 0.95878782 1.98228825 1.06803609
10019 4.16029905 4.37261334 4.88685354 4.50273035 4.45674963
100190938 2.42677783 2.35172197 1.65330124 3.00827053 2.12845706
1002 2.33567629 2.51413349 1.90552450 1.13506091 2.19515786
10020 3.36631661 3.65599595 3.19452440 3.82661905 3.37471193
10021 7.90677013 8.02206614 7.87345402 7.86398510 8.00910172
10023 1.06111710 0.32459718 0.05975502 0.03750221 0.08687741
10024 3.55987407 2.40791531 2.12014477 3.05978426 3.25475098
10026 6.43711013 6.12887901 5.93392143 6.29526492 6.27827651
100268168 0.81353290 0.89571200 0.05975502 0.03750221 0.56156792
100270804 2.28787327 1.04492954 1.34743945 1.47573335 0.75084144
100270827 0.94262955 -0.23983989 0.05975502 0.03750221 0.34365868
100270840 2.94113780 3.56006387 3.67359308 2.18147290 3.28568925
100270854 2.42677783 2.23230952 2.62062168 2.18147290 2.05852234
100270865 2.87796625 2.40791531 3.41374125 2.95484911 3.43114801
100271271 2.97171568 3.22678954 3.24111366 2.43659404 3.61291393
100271332 1.69518069 2.35172197 1.90552450 2.27161992 2.82012135
100271415 1.89984430 0.54107115 0.71652007 2.27161992 1.06803609
100271479 -0.37631965 -0.23983989 0.05975502 -1.17995959 -0.22572150
100271884 0.13676485 1.18014996 0.42519201 0.39924888 0.75084144
100272147 2.38194603 2.56444699 2.62062168 2.27161992 2.54121939
100286844 1.69518069 0.32459718 0.42519201 1.47573335 1.20381450
100287015 -0.37631965 1.30377550 0.05975502 -1.17995959 0.56156792
100287049 0.81353290 0.54107115 0.71652007 1.47573335 1.06803609
100287074 1.96208532 2.35172197 2.54835966 2.27161992 2.68739957
100287616 3.49819591 3.83061316 3.70716989 3.56660914 3.83832426
100287722 0.94262955 0.72926140 1.50846082 0.92887632 1.54803417
100287808 0.33794533 -0.63463987 -1.17995959 0.92887632 1.32790621
100287837 0.33794533 0.32459718 -1.17995959 -0.44644366 -1.17995959
100287896 2.90989776 2.87468803 2.99148557 2.18147290 2.59160990
100287902 0.13676485 -0.63463987 0.05975502 0.39924888 0.75084144
100287928 2.07904832 2.03232754 2.54835966 2.35646382 2.73301035
100287932 5.28921317 5.54428639 5.46952399 5.40145386 5.54804639
100288001 2.42677783 1.88173012 2.54835966 1.75113004 2.64029960
100288073 4.16029905 4.74401396 3.63921616 4.12147444 4.10437028
100288123 1.45660621 0.89571200 0.05975502 0.03750221 0.56156792
100288198 2.55347520 2.70564517 2.39197746 3.15760168 2.48900495
100288241 1.45660621 0.89571200 0.42519201 1.47573335 0.91813867
100288413 2.18723584 2.66009749 1.50846082 1.47573335 1.82574055
100288513 1.54059167 1.30377550 1.16616175 1.31542948 1.20381450
100288842 0.81353290 -0.23983989 0.71652007 1.13506091 0.34365868
100289061 0.51447424 0.32459718 -1.17995959 -0.44644366 -0.22572150
100289095 -0.72289094 0.32459718 0.71652007 0.92887632 0.34365868
100289133 0.67173878 1.41763853 1.65330124 0.03750221 0.56156792
100289178 2.38194603 1.80009418 2.47228642 2.27161992 2.19515786
100289211 0.94262955 1.04492954 1.50846082 1.47573335 1.54803417
100289259 0.13676485 0.06980802 0.42519201 1.13506091 1.06803609
100289274 2.97171568 2.83424773 2.75511730 3.05978426 3.22313469
100289341 0.81353290 1.30377550 0.05975502 2.35646382 1.73897857
100289373 -1.17995959 -1.17995959 0.71652007 -0.44644366 -1.17995959
100289388 2.02175180 2.35172197 2.39197746 1.98228825 2.05852234
100289414 0.94262955 0.89571200 0.05975502 0.39924888 -1.17995959
100289635 5.22085058 5.11703162 5.28171891 5.25444383 5.11187193
100289640 1.06111710 0.54107115 1.16616175 1.87133392 1.73897857
100289678 2.18723584 2.29325087 2.99148557 3.29291538 2.64029960
100293516 3.78317831 3.76758228 3.92258072 3.99486104 3.97747127
100294362 1.89984430 1.52316871 2.87813680 1.87133392 1.06803609
1003 0.13676485 1.04492954 1.78491782 0.03750221 1.32790621
100302692 2.33567629 1.88173012 2.75511730 2.51250688 0.56156792
100302736 2.02175180 2.16867995 1.50846082 1.75113004 1.64666307
100303728 3.14270677 3.58465152 3.04498638 2.18147290 3.63710731
100303755 1.27237147 1.41763853 2.12014477 1.47573335 1.32790621
100312828 -0.09708724 0.32459718 0.42519201 -1.17995959 -1.17995959
100312850 -1.17995959 -0.23983989 -1.17995959 -1.17995959 -1.17995959
10036 4.67878512 4.52012364 3.60400005 4.21532760 4.49696367
100379345 3.19547864 2.79264107 2.93592409 2.78158010 3.31597795
10038 5.55963105 5.43359451 5.34707499 5.40145386 5.09450379
100381270 1.17060759 1.04492954 -0.43084666 -1.17995959 1.06803609
10039 5.95735083 6.14962700 6.06271677 6.22930392 6.16636291
1004 8.09908350 7.98790922 8.18928067 8.43163157 9.10755049
10040 3.27118463 3.19520358 3.49288018 2.95484911 3.68430993
100418710 0.13676485 2.10211402 1.34743945 1.31542948 1.54803417
100418735 4.11991600 4.50731974 4.13485534 4.04684723 4.17216806
100418744 1.96208532 0.72926140 1.78491782 1.47573335 1.32790621
100418770 1.61995578 2.29325087 1.78491782 1.98228825 1.54803417
100418781 0.94262955 0.32459718 0.05975502 0.39924888 0.08687741
100418819 1.27237147 1.88173012 0.42519201 0.68823126 0.75084144
100418829 1.83479653 2.03232754 1.50846082 1.61999306 1.73897857
100418888 -0.09708724 1.52316871 1.50846082 0.03750221 0.91813867
100418889 2.90989776 2.66009749 1.90552450 2.95484911 2.59160990
100418910 1.27237147 1.80009418 0.42519201 1.98228825 1.64666307
100418919 1.83479653 2.16867995 2.12014477 2.58462416 2.77722323
100419028 1.36742773 1.52316871 0.71652007 1.47573335 0.91813867
100419185 -1.17995959 -0.63463987 0.05975502 0.39924888 1.44216454
100419416 0.51447424 1.18014996 0.05975502 0.68823126 1.54803417
100419515 0.13676485 0.89571200 1.50846082 1.31542948 -0.22572150
100419645 0.13676485 1.04492954 1.50846082 0.03750221 0.75084144
100419758 -1.17995959 -1.17995959 -1.17995959 -1.17995959 -0.22572150
100419928 1.96208532 0.32459718 0.71652007 1.87133392 1.06803609
10042 5.14238225 5.38542613 5.43987222 5.38134755 5.46938207
100420028 1.17060759 1.30377550 0.71652007 0.39924888 0.34365868
100420050 -0.09708724 -1.17995959 0.05975502 0.03750221 0.56156792
100420110 3.19547864 3.06145389 3.92258072 3.49356235 3.61291393
100420187 2.18723584 1.71356028 1.65330124 1.31542948 1.20381450
100420259 3.93054887 4.05834950 3.95088700 3.96814816 3.93906534
100420307 0.13676485 -0.23983989 0.42519201 -1.17995959 0.75084144
100420341 5.26472721 5.34281895 5.40959821 5.34027424 5.19570822
100420423 1.17060759 1.04492954 1.34743945 1.31542948 -0.22572150
100420591 0.51447424 0.54107115 0.05975502 0.39924888 1.20381450
100420707 2.42677783 2.79264107 2.99148557 2.51250688 2.64029960
100420752 1.36742773 1.71356028 1.90552450 1.87133392 1.06803609
100420869 3.80031616 4.16001720 4.20704250 3.99486104 4.12162075
100420981 5.30730871 5.51899494 5.83107421 5.27638488 5.50268165
100421093 3.36631661 4.02280328 3.41374125 4.30344638 3.91947204
100421109 0.51447424 0.89571200 -0.43084666 1.47573335 0.56156792
100421160 1.17060759 -0.23983989 0.71652007 0.68823126 1.20381450
100421175 -0.72289094 1.30377550 1.16616175 1.47573335 0.56156792
100421246 1.27237147 1.88173012 1.50846082 1.47573335 2.31996500
100421311 2.02175180 2.79264107 2.01682192 2.65330743 2.59160990
100421372 1.17060759 0.72926140 0.05975502 1.47573335 1.98502405
100421400 2.13415596 1.62150295 1.65330124 2.18147290 1.32790621
100421415 -1.17995959 0.32459718 -1.17995959 -0.44644366 0.34365868
100421429 0.81353290 -0.63463987 1.50846082 -1.17995959 -0.22572150
100421465 2.23843189 2.35172197 2.54835966 1.31542948 2.25891064
100421468 1.54059167 0.89571200 1.65330124 1.31542948 1.06803609
100421506 -1.17995959 -0.63463987 -1.17995959 0.03750221 -0.22572150
100421569 1.27237147 0.54107115 -1.17995959 0.03750221 -1.17995959
100421595 0.33794533 1.30377550 0.95878782 1.47573335 0.75084144
100421794 2.74266552 3.06145389 3.09657390 2.51250688 2.37854013
100422106 1.83479653 1.41763853 2.21655982 1.61999306 1.06803609
100422338 2.07904832 1.52316871 2.21655982 2.08531539 1.32790621
100422546 0.13676485 -1.17995959 0.71652007 0.39924888 0.91813867
100422561 3.89907617 4.07579948 4.38355295 3.66968051 4.13866740
10043 5.58457602 5.48020649 5.60927680 5.83013140 5.68779086
10044 2.42677783 2.03232754 2.21655982 1.98228825 2.64029960
10045 -0.72289094 0.32459718 1.16616175 -0.44644366 -0.62534318
10046 1.61995578 1.52316871 0.71652007 1.98228825 1.73897857
10048 6.38694209 6.51523618 6.40208856 6.35318921 6.61616597
10049 5.44988052 5.67024707 5.58238832 5.83752951 5.85182729
100499177 3.03099325 3.09607163 3.41374125 3.24920594 3.25475098
100499483 2.07904832 1.62150295 1.65330124 2.27161992 0.91813867
1005 0.81353290 0.32459718 -1.17995959 0.03750221 0.75084144
100500719 1.27237147 0.06980802 0.71652007 -1.17995959 -0.22572150
100505385 1.96208532 3.06145389 2.12014477 2.43659404 2.54121939
100505501 1.06111710 1.71356028 1.16616175 -0.44644366 1.20381450
100505538 0.81353290 1.71356028 -0.43084666 1.31542948 0.34365868
100505549 0.13676485 -1.17995959 -1.17995959 -1.17995959 -0.22572150
100505573 5.74364325 5.72657055 5.96894529 5.90949606 5.86212740
100505576 4.77728082 4.42801414 4.10996734 4.52122455 4.81589255
100505616 -0.09708724 -0.63463987 0.71652007 0.39924888 0.34365868
100505624 1.54059167 1.88173012 1.65330124 1.87133392 1.06803609
100505635 0.51447424 0.89571200 -0.43084666 0.39924888 0.34365868
100505641 2.47025836 2.10211402 1.50846082 2.08531539 1.44216454
100505648 2.55347520 2.61306480 2.93592409 3.29291538 3.01733874
100505678 1.54059167 2.10211402 1.65330124 2.18147290 0.75084144
100505696 4.18660647 3.98635907 3.63921616 4.09702513 3.68430993
100505715 -1.17995959 0.89571200 0.05975502 1.61999306 -1.17995959
100505738 2.28787327 2.29325087 2.81793790 2.51250688 2.97999326
100505741 0.67173878 0.54107115 0.95878782 1.98228825 1.20381450
100505758 3.08793104 2.61306480 3.28624535 2.95484911 3.25475098
100505761 2.84531196 1.95899297 1.50846082 2.35646382 1.98502405
100505771 3.19547864 3.63260431 3.24111366 3.41661886 3.79597197
100505783 -1.17995959 -0.63463987 0.05975502 0.03750221 -1.17995959
100505806 2.77769877 2.29325087 3.14638027 3.15760168 2.19515786
100505812 0.13676485 0.72926140 0.05975502 -1.17995959 -0.22572150
100505832 -1.17995959 0.32459718 -0.43084666 -1.17995959 -0.22572150
100505854 -0.09708724 1.04492954 -1.17995959 0.03750221 -0.22572150
100505876 5.51879966 5.71548039 5.78464870 5.62312015 6.16636291
100505894 2.13415596 1.71356028 1.65330124 2.51250688 1.20381450
100505933 -0.37631965 0.54107115 0.95878782 0.39924888 0.91813867
100505994 1.17060759 2.23230952 2.12014477 -1.17995959 0.56156792
100506020 0.13676485 0.89571200 0.42519201 1.31542948 0.75084144
100506033 5.00869257 4.63051554 4.84221626 4.53948468 4.85767239
100506054 1.36742773 1.52316871 1.34743945 0.68823126 -0.62534318
100506068 -0.72289094 -0.23983989 0.42519201 -1.17995959 0.34365868
100506070 1.17060759 0.72926140 0.42519201 0.03750221 0.56156792
100506083 -0.72289094 0.54107115 -0.43084666 0.39924888 0.56156792
100506100 -0.37631965 -1.17995959 0.71652007 1.13506091 -0.22572150
100506119 -0.37631965 1.62150295 0.05975502 0.03750221 0.08687741
100506127 1.61995578 1.95899297 1.16616175 1.87133392 1.98502405
100506142 0.33794533 0.06980802 -0.43084666 0.03750221 -0.22572150
100506144 1.17060759 1.41763853 0.95878782 1.87133392 1.44216454
100506161 1.06111710 0.89571200 0.71652007 0.68823126 0.08687741
100506211 3.29556216 3.02598502 2.87813680 3.05978426 2.73301035
100506235 1.61995578 0.54107115 1.16616175 1.31542948 1.54803417
100506258 -0.37631965 -0.63463987 0.42519201 -0.44644366 0.75084144
100506282 2.42677783 1.95899297 1.78491782 1.87133392 2.12845706
100506286 -0.37631965 0.32459718 1.16616175 0.03750221 1.32790621
100506302 1.27237147 1.18014996 0.71652007 1.75113004 0.56156792
100506321 0.67173878 -0.23983989 1.34743945 0.03750221 0.08687741
100506325 -0.09708724 0.54107115 0.71652007 0.39924888 0.08687741
100506343 0.13676485 0.72926140 0.42519201 0.03750221 -0.62534318
100506365 5.18214984 4.69968022 5.21326105 5.06575554 5.14599325
100506368 -0.09708724 0.32459718 0.71652007 0.39924888 0.75084144
100506380 1.54059167 1.52316871 1.78491782 0.92887632 1.20381450
100506392 3.16933398 3.22678954 3.41374125 3.15760168 3.45855920
100506394 0.13676485 0.54107115 -1.17995959 -1.17995959 0.34365868
100506411 -0.37631965 1.62150295 1.34743945 0.92887632 1.73897857
100506433 2.33567629 -0.23983989 2.12014477 1.98228825 1.20381450
100506462 0.33794533 0.32459718 -0.43084666 0.92887632 0.08687741
100506469 2.42677783 2.40791531 2.47228642 2.18147290 1.90757943
100506495 -1.17995959 0.89571200 -0.43084666 -1.17995959 -0.22572150
100506504 1.54059167 2.46200172 1.78491782 2.27161992 1.98502405
100506540 1.61995578 1.41763853 1.50846082 0.92887632 1.20381450
100506581 2.70676034 2.29325087 3.09657390 1.13506091 2.77722323
100506606 0.33794533 0.06980802 0.71652007 0.39924888 -1.17995959
100506658 2.13415596 0.89571200 1.78491782 0.68823126 1.20381450
100506668 2.07904832 2.61306480 2.68943622 2.65330743 2.54121939
100506686 1.36742773 0.72926140 0.95878782 1.47573335 2.31996500
100506691 0.13676485 -0.63463987 -1.17995959 -1.17995959 -1.17995959
100506696 -1.17995959 -0.23983989 0.05975502 -1.17995959 0.34365868
100506697 1.69518069 1.04492954 0.05975502 0.68823126 0.34365868
100506710 4.58300609 4.49440120 4.40417238 4.92005077 4.47027924
100506713 0.33794533 0.06980802 0.05975502 0.39924888 0.75084144
100506725 4.27507893 3.89100514 3.37248198 4.40652660 3.97747127
100506731 0.81353290 0.06980802 0.05975502 0.92887632 0.08687741
100506757 1.17060759 0.89571200 1.16616175 0.03750221 1.73897857
100506779 0.51447424 -0.23983989 -0.43084666 -0.44644366 -0.62534318
100506804 -0.72289094 -0.63463987 0.71652007 -1.17995959 -0.22572150
100506826 1.76667686 1.62150295 1.50846082 0.68823126 0.75084144
100506844 1.89984430 2.10211402 2.21655982 1.47573335 2.19515786
100506866 5.30730871 5.27645170 4.94429958 5.44084488 5.02286162
100506881 1.76667686 2.03232754 1.50846082 1.47573335 1.98502405
100506885 0.67173878 1.80009418 1.50846082 1.61999306 1.73897857
100506911 0.33794533 -0.23983989 -1.17995959 1.13506091 0.56156792
100506922 -0.72289094 0.06980802 1.50846082 0.03750221 -0.22572150
100506930 2.90989776 2.40791531 3.33000792 2.18147290 2.68739957
100506994 1.27237147 0.72926140 1.34743945 1.31542948 1.44216454
100507003 0.13676485 -0.23983989 -1.17995959 -1.17995959 0.08687741
100507032 -1.17995959 -1.17995959 -1.17995959 -1.17995959 -1.17995959
100507034 2.84531196 3.53504990 3.67359308 3.41661886 2.94165531
100507050 0.13676485 0.72926140 0.42519201 0.03750221 -0.22572150
100507053 0.13676485 -1.17995959 -1.17995959 -1.17995959 -1.17995959
100507057 -0.72289094 -0.63463987 -1.17995959 -1.17995959 -1.17995959
100507062 -0.72289094 0.32459718 0.42519201 -1.17995959 0.08687741
100507071 0.51447424 -0.23983989 0.05975502 0.68823126 0.34365868
100507156 3.51904966 3.37511061 3.97864857 3.49356235 3.51186693
100507171 2.77769877 2.51413349 2.87813680 2.08531539 2.90227069
100507173 0.33794533 -0.23983989 0.05975502 -1.17995959 -1.17995959
100507178 0.51447424 0.72926140 1.34743945 0.39924888 0.56156792
100507244 1.06111710 1.30377550 2.21655982 0.92887632 1.98502405
100507246 3.65715014 3.67901436 4.03261871 3.45560350 3.40320591
100507250 -0.37631965 -0.63463987 0.42519201 -0.44644366 0.75084144
100507254 1.61995578 2.16867995 1.34743945 2.89937322 2.64029960
100507266 1.36742773 0.54107115 -1.17995959 0.92887632 0.34365868
100507290 4.42624476 4.59464866 4.27578914 4.36617394 4.01488125
100507291 -0.09708724 -1.17995959 0.71652007 0.03750221 -0.62534318
100507303 1.89984430 2.16867995 1.78491782 2.43659404 2.37854013
100507308 1.54059167 1.18014996 1.34743945 1.87133392 1.98502405
100507316 0.33794533 -1.17995959 0.71652007 0.68823126 -0.62534318
100507331 2.47025836 1.71356028 2.12014477 1.61999306 2.68739957
100507347 2.38194603 2.40791531 2.01682192 2.78158010 2.05852234
100507373 2.23843189 2.16867995 2.21655982 2.08531539 2.05852234
100507392 0.81353290 0.32459718 1.34743945 -0.44644366 1.44216454
100507398 1.36742773 0.32459718 1.34743945 0.92887632 0.34365868
100507401 0.67173878 -0.23983989 -0.43084666 0.92887632 -0.22572150
100507420 -0.37631965 0.72926140 1.16616175 -1.17995959 -0.22572150
100507433 0.94262955 0.72926140 2.54835966 0.92887632 2.31996500
100507436 0.33794533 0.06980802 -0.43084666 -1.17995959 -0.22572150
100507437 -0.37631965 0.89571200 0.71652007 0.92887632 0.75084144
100507459 0.33794533 -0.23983989 0.71652007 0.92887632 -0.22572150
100507463 -0.72289094 0.89571200 2.47228642 0.68823126 0.56156792
100507487 2.28787327 1.88173012 1.34743945 1.98228825 1.82574055
100507495 3.93054887 3.40302902 4.10996734 3.91319113 3.95839610
100507516 -0.37631965 1.04492954 0.71652007 0.03750221 -0.22572150
100507551 -0.09708724 0.54107115 0.05975502 1.13506091 0.56156792
100507557 1.45660621 1.52316871 1.78491782 1.98228825 0.34365868
100507564 0.81353290 -1.17995959 1.78491782 -1.17995959 1.73897857
100507567 -0.72289094 -0.23983989 -0.43084666 -1.17995959 0.08687741
100507588 0.51447424 1.04492954 0.42519201 0.68823126 0.08687741
100507599 -0.37631965 0.72926140 0.71652007 -1.17995959 1.06803609
100507602 3.81725282 4.49440120 4.00588600 4.42628741 4.37279401
100508120 0.51447424 -0.23983989 0.71652007 1.87133392 0.75084144
10051 6.61955582 6.20221551 6.25660241 6.22366858 6.36412474
10052 1.69518069 1.88173012 1.16616175 1.98228825 1.06803609
100526737 2.02175180 1.88173012 2.01682192 0.92887632 2.31996500
100526760 1.36742773 1.18014996 2.12014477 1.47573335 1.90757943
100526820 0.33794533 1.30377550 0.71652007 0.03750221 0.75084144
100526835 3.27118463 3.09607163 3.83416878 3.85605742 3.53779989
100527978 -0.09708724 -0.63463987 -1.17995959 -0.44644366 -0.62534318
100529145 2.23843189 1.95899297 2.01682192 1.13506091 1.73897857
100529215 0.81353290 -0.23983989 0.05975502 -0.44644366 0.56156792
100532746 3.61902313 3.83061316 3.97864857 3.96814816 3.81730353
100533106 -0.72289094 -0.63463987 -0.43084666 -0.44644366 0.56156792
100533182 0.81353290 -0.23983989 0.42519201 0.39924888 0.08687741
100533619 0.81353290 -0.23983989 0.05975502 -1.17995959 -0.22572150
100533629 0.51447424 -1.17995959 -1.17995959 0.92887632 -1.17995959
100533695 0.33794533 0.06980802 0.95878782 1.13506091 0.34365868
100533970 1.61995578 1.04492954 1.50846082 0.68823126 0.75084144
100534593 0.94262955 0.32459718 1.16616175 1.31542948 0.91813867
10054 5.85034241 6.08215512 6.30674573 5.86674832 6.26669266
10056 5.92646366 5.80190258 6.06271677 5.51654013 5.93711980
10057 7.18370443 7.18989416 7.02170934 6.92169788 7.34748134
10058 5.36603869 5.47363913 5.12905816 4.97475199 5.43529568
10059 7.12029246 7.08177296 7.01836952 7.02898371 7.25475473
1006 4.39273968 4.53281489 4.81167185 4.61029818 4.32891001
10060 3.47703629 3.53504990 3.49288018 3.33533940 3.79597197
100616256 0.13676485 0.06980802 0.42519201 0.39924888 0.75084144
10062 1.76667686 1.30377550 0.42519201 0.92887632 1.82574055
10063 3.81725282 4.16001720 3.92258072 4.30344638 4.47027924
100652739 0.33794533 0.89571200 0.42519201 0.92887632 -0.22572150
100652758 0.67173878 1.41763853 0.71652007 1.61999306 1.44216454
100652846 2.02175180 1.80009418 2.12014477 0.39924888 1.90757943
10066 6.72876529 6.90269034 6.91440119 6.73228554 7.07382625
10067 5.93036092 6.07349486 6.18095046 6.03706776 6.10263550
10068 3.76583442 3.76758228 4.08464246 3.56660914 3.28568925
10069 2.97171568 3.02598502 2.81793790 2.27161992 3.45855920
10072 4.88562791 5.01217466 4.97218698 4.78881820 4.83693370
10073 4.07836993 3.91058679 4.29799550 3.85605742 4.03322864
10075 8.59211189 8.60771222 8.68886517 8.67197977 8.46268608
10076 4.13350300 4.41436211 3.37248198 4.09702513 4.10437028
10077 0.33794533 0.72926140 -1.17995959 -1.17995959 1.06803609
100775107 1.36742773 1.18014996 0.42519201 1.13506091 1.06803609
10078 4.79448845 4.81846360 4.79615367 4.75796021 4.75086267
10079 5.49794227 5.26888551 5.20152879 5.25444383 5.35004434
1008 4.86947963 4.90886431 5.36821856 4.77347170 5.04110844
10081 4.79448845 5.06555557 4.87212737 4.38649135 4.80525576
10082 5.86670511 6.22975793 5.94099455 6.20662928 6.07633487
100820829 4.16029905 4.40057965 4.40417238 4.19243047 5.05014603
10084 5.31924753 5.27645170 5.50813485 4.84862201 5.32792044
100847074 2.02175180 1.71356028 2.39197746 1.98228825 1.54803417
10085 9.86001845 9.74077420 9.27401360 9.89421906 9.49028500
100852407 0.94262955 1.30377550 -0.43084666 1.98228825 1.82574055
100861412 0.67173878 0.32459718 0.05975502 0.03750221 0.08687741
100861548 4.28728632 4.30022967 4.63103570 4.04684723 4.34368683
100862671 0.51447424 0.89571200 -1.17995959 0.68823126 1.32790621
10087 6.44530445 6.31672159 6.32308021 6.36859130 6.27056429
100873257 -1.17995959 -0.23983989 -0.43084666 -1.17995959 -1.17995959
100873333 2.42677783 2.74979876 2.81793790 3.10952183 2.31996500
100873790 2.77769877 3.67901436 3.45385329 3.10952183 2.97999326
100873949 0.81353290 -0.23983989 0.95878782 0.92887632 0.34365868
100873952 0.13676485 -0.63463987 0.05975502 -1.17995959 0.34365868
100873965 1.83479653 1.80009418 2.12014477 1.61999306 1.90757943
100874006 2.18723584 1.62150295 1.78491782 1.87133392 1.90757943
100874008 1.45660621 0.89571200 0.95878782 0.92887632 0.75084144
100874014 1.27237147 2.35172197 2.30693314 2.08531539 2.59160990
100874058 1.36742773 1.18014996 1.16616175 1.13506091 1.73897857
100874080 1.54059167 0.72926140 0.71652007 0.03750221 1.20381450
100874097 2.38194603 1.18014996 1.78491782 1.47573335 1.32790621
100874201 0.13676485 0.32459718 0.05975502 0.39924888 -1.17995959
100874212 0.51447424 0.89571200 0.95878782 0.92887632 0.75084144
100874217 0.33794533 0.72926140 1.16616175 0.92887632 0.56156792
100874235 0.13676485 0.06980802 -0.43084666 0.68823126 -0.62534318
100874261 0.13676485 0.89571200 1.34743945 0.68823126 0.75084144
100874291 0.51447424 0.06980802 1.34743945 0.03750221 0.34365868
100874362 0.13676485 1.52316871 0.71652007 2.08531539 1.32790621
100874523 1.89984430 1.04492954 1.78491782 1.75113004 1.98502405
100885775 1.76667686 2.23230952 2.54835966 2.78158010 1.90757943
100885776 -1.17995959 0.32459718 -0.43084666 0.03750221 0.75084144
100885848 4.16029905 4.78702585 4.69936684 4.38649135 4.89827628
1009 10.21743250 10.13522445 9.87880158 10.29471571 9.97557744
10090 3.83399296 4.07579948 4.00588600 4.36617394 4.15551497
10092 7.93904472 7.96116339 7.91714952 8.00206334 8.30834336
10093 7.35005456 7.73547633 7.83979137 7.55401110 7.83440864
10094 3.73050831 4.38666426 3.56790277 4.38649135 4.15551497
10095 6.48559210 6.55621769 6.62486978 6.44806889 6.49233065
10097 8.89001644 9.03373376 8.96783532 9.13821145 9.14388516
10098 6.38694209 6.54059303 6.39695384 6.64643636 6.80151530
10099 8.03084287 8.07291813 7.96130076 7.87481201 8.10870435
100996246 3.16933398 2.66009749 3.19452440 2.71886892 3.31597795
100996251 0.13676485 -0.23983989 -0.43084666 1.31542948 1.44216454
100996307 2.18723584 1.04492954 0.05975502 0.92887632 0.56156792
100996384 0.13676485 0.54107115 1.34743945 1.31542948 1.54803417
100996419 0.67173878 -1.17995959 0.71652007 -1.17995959 0.91813867
100996485 2.18723584 1.41763853 2.39197746 2.08531539 2.31996500
100996539 -1.17995959 -1.17995959 0.05975502 0.39924888 -0.22572150
100996579 0.67173878 -0.23983989 -1.17995959 1.13506091 0.34365868
100996696 2.94113780 2.79264107 3.28624535 3.29291538 3.28568925
100996842 1.27237147 1.71356028 1.78491782 1.75113004 2.48900495
100996851 1.17060759 0.06980802 -0.43084666 0.68823126 0.91813867
100996939 1.06111710 0.72926140 0.95878782 1.13506091 0.08687741
101 0.51447424 0.89571200 1.50846082 1.75113004 -0.22572150
1010 1.27237147 1.30377550 0.71652007 0.03750221 1.54803417
10100 4.29939129 4.71089203 4.76460739 4.64444276 4.34368683
10101 4.94847205 4.83904786 5.05275369 4.86319348 4.57417752
10102 5.00130105 4.75488775 4.50306786 4.46501512 4.77286660
10103 0.13676485 -0.23983989 0.71652007 -1.17995959 -0.22572150
10105 5.99876902 6.39179010 6.71839941 5.99798719 6.43828236
10106 7.01044565 6.98349783 7.00830344 7.04504920 7.24100781
101060200 3.22115792 2.51413349 2.12014477 2.08531539 2.86178066
101060691 1.96208532 2.03232754 0.95878782 1.98228825 2.12845706
10109 8.97784172 9.00270901 9.15663701 8.90107984 9.29741064
10112 5.12887901 5.09152317 4.52205873 5.01445842 4.91815757
10113 6.41224417 6.57474662 6.27351123 6.43837036 6.45198544
10114 7.29217177 7.51014776 7.52610311 7.43956435 7.62506423
101154753 -0.37631965 -0.23983989 0.71652007 0.68823126 -0.22572150
10116 7.56709949 7.67235483 7.71330876 7.64957307 7.58520541
10117 -0.37631965 1.04492954 0.71652007 1.13506091 0.75084144
1012 8.78147176 8.86458823 9.09930801 8.70975926 8.71010586
10121 6.22185973 6.36365121 6.48669363 6.27361128 6.53480117
10123 7.19832345 7.39843304 6.93225793 7.10144726 7.34931302
PFOA_24_C5 EtOH_24_C5 TUN_2_C6 THA_2_C6 DMSO_2_C6 TUN_24_C6
100 2.0360840 2.8595633 2.1074408 2.14030931 2.5380165 2.6437397
1000 11.0027024 10.9759874 10.9164007 10.64400786 10.9398437 11.1355131
10000 6.9895412 6.8092282 5.4579625 5.52261217 5.9820010 6.3532387
10001 4.6834144 4.6729249 4.5034618 4.80853237 4.2383472 4.7263080
10003 2.2730075 1.8155036 4.6215084 4.04431411 4.1462976 3.8287115
100037417 -1.1799596 -1.1799596 -1.1799596 -1.17995959 -1.1799596 -1.1799596
100049716 2.0360840 1.9029283 2.3318465 1.86904545 2.0616401 2.8728436
10005 3.5591479 3.7457620 3.5611201 3.92378474 3.6524178 4.3689266
10006 6.7505759 6.4332663 6.4861474 6.68150599 6.5935383 6.6781612
10007 4.7633560 5.1547685 4.1770127 4.35517746 4.0479720 4.3986581
10009 6.5168656 6.6540808 5.4420056 5.46207138 5.4073643 4.6418111
100093630 5.8826544 6.3847373 6.2315120 6.42342114 6.4622578 6.7833324
1001 5.4712099 5.3771517 7.2865509 7.02486854 7.0825543 6.7577496
10010 5.7118408 5.5428238 5.3250740 5.55775355 5.3589720 4.9931443
100101267 2.5683434 1.6229513 2.8008361 2.61088779 2.8955340 2.6437397
100101467 3.6460680 3.5429708 3.5312655 3.66911723 3.8286006 4.7263080
10011 5.9439782 6.2029026 5.4258702 5.81660012 5.6344044 5.4977876
100113386 0.2306366 0.4015476 1.0932690 0.65521448 0.6852693 0.7924887
100113397 -0.3087191 0.8161526 1.0932690 0.96545465 0.8807480 1.4893578
100113407 4.1410321 4.3227632 4.5187568 4.78894837 4.3079791 4.1591252
100125288 2.0360840 1.7224375 1.8415831 2.31478603 1.4723008 2.9946563
100127983 2.5683434 1.9029283 2.5259996 2.89359431 2.4788611 2.3099909
100128006 2.2730075 1.6229513 2.4641403 3.22038244 3.0660037 2.4864949
100128016 -0.3087191 0.6236929 -0.1127069 1.94179085 0.8807480 2.0350381
100128025 1.7524570 0.4015476 1.3879451 -1.17995959 0.1907372 0.6011676
100128054 1.3990782 0.6236929 1.5154098 2.81831204 1.6965706 1.8750344
100128071 0.2306366 -1.1799596 -0.1127069 -1.17995959 0.1907372 0.1199694
100128191 1.5865604 0.4015476 1.5154098 1.86904545 1.5887892 1.4893578
100128252 1.3990782 1.9029283 2.9436725 2.77914462 2.8955340 3.2766978
100128379 2.0360840 0.9859334 0.7225377 -0.28772542 1.0528731 0.6011676
100128398 4.5768247 4.3068229 4.5928899 4.34179880 4.2204012 5.0504579
100128494 2.0360840 2.4591261 3.1144749 2.20084327 2.5380165 3.3393630
100128569 1.3990782 2.3388680 2.3318465 1.86904545 2.2852806 2.3712565
100128640 -1.1799596 -0.1825503 -1.1799596 0.47086032 -1.1799596 -0.1982688
100128682 -0.3087191 -1.1799596 -1.1799596 -0.66593927 -1.1799596 -1.1799596
100128731 6.4759280 6.6382445 5.8812565 6.17827120 6.2037149 6.0548912
100128766 2.4764556 2.5701266 2.3995092 2.14030931 2.5380165 2.5932054
100128782 1.9012292 1.1378211 1.8415831 2.47042018 1.9786637 2.1790548
100128822 -1.1799596 -1.1799596 -1.1799596 -1.17995959 -1.1799596 -1.1799596
100128833 1.3990782 3.3069383 2.1861854 2.96514227 1.7968566 2.1790548
100128881 2.1594038 2.4591261 2.5853153 2.42038468 1.6965706 1.8750344
100128893 4.3366447 3.9647478 4.7174260 4.96506417 4.5135424 4.7724590
100129001 0.9300495 0.9859334 0.2223035 0.81865788 1.0528731 -0.1982688
100129013 1.9012292 2.1373019 1.9357519 1.62581519 0.6852693 -0.1982688
100129029 0.2306366 0.1388591 0.9197791 0.47086032 0.1907372 1.2493893
100129060 3.4666533 3.0630553 3.3029573 3.19083997 3.1056498 3.3697036
100129075 1.5865604 -1.1799596 0.9197791 1.79243632 1.7968566 2.7855178
100129195 2.8866003 2.8151790 1.9357519 1.94179085 3.1442355 2.9551839
100129203 1.7524570 0.4015476 1.6325213 0.81865788 -0.1392054 0.6011676
100129250 0.6223185 2.2747582 1.8415831 2.36855130 1.6965706 1.7878451
100129259 0.6223185 0.4015476 1.0932690 2.07712374 2.4171759 0.9613831
100129361 5.4350520 5.6350793 5.6985729 6.00662162 5.7639440 5.2674194
100129398 -1.1799596 -0.1825503 1.2481176 1.09868443 1.3455739 0.6011676
100129434 -1.1799596 -0.1825503 -1.1799596 -0.66593927 -1.1799596 -0.6071774
100129461 -1.1799596 1.1378211 1.2481176 1.43740687 1.3455739 1.1125612
100129484 1.7524570 1.2752303 1.2481176 2.01104359 1.2066339 2.3099909
100129550 4.4854929 4.3695537 4.6633991 4.24450440 4.6268736 5.0597926
100129583 -1.1799596 0.4015476 -1.1799596 -0.28772542 0.1907372 1.5958643
100129662 0.6223185 1.4006825 -1.1799596 -1.17995959 -1.1799596 1.3743572
100129707 0.9300495 -0.1825503 0.2223035 0.81865788 1.0528731 0.3805386
100129716 0.9300495 1.2752303 1.5154098 2.01104359 -0.1392054 0.6011676
100129726 -0.3087191 1.4006825 0.7225377 0.65521448 0.6852693 0.3805386
100129774 3.5591479 3.5699343 4.4880030 3.92378474 4.3248744 3.9135358
100129781 0.9300495 0.4015476 0.9197791 0.81865788 1.4723008 1.3743572
100129792 -0.3087191 0.1388591 0.4939940 0.01164872 0.6852693 0.6011676
100129794 1.7524570 1.6229513 2.3995092 2.25893925 1.4723008 3.1772805
100129842 0.6223185 0.8161526 0.2223035 -0.66593927 0.4590900 -0.1982688
100129917 1.5865604 2.1373019 2.1861854 3.75236915 2.7021882 3.7616511
100129924 2.1594038 2.3388680 1.2481176 1.79243632 2.0616401 1.6950458
100129940 0.2306366 0.8161526 1.0932690 1.53468449 1.8906221 0.1199694
100129995 -1.1799596 -1.1799596 -1.1799596 0.25944886 -0.1392054 -1.1799596
10013 5.7710545 5.3462920 5.4658753 5.67441585 5.6876239 5.8333169
100130111 0.9300495 1.2752303 -0.1127069 -0.28772542 0.1907372 0.6011676
100130197 1.1835410 1.1378211 -0.5498155 0.47086032 0.4590900 0.1199694
100130335 2.2730075 3.2745221 2.5853153 2.47042018 2.4788611 2.1790548
100130348 3.3678200 3.3069383 2.7498985 2.81831204 3.4821300 3.9936485
100130357 -1.1799596 -1.1799596 -1.1799596 -0.66593927 -0.5677001 0.1199694
100130466 3.6460680 3.2745221 3.2671795 3.38595905 3.4821300 3.1069799
100130476 0.2306366 0.6236929 -0.1127069 -0.66593927 -1.1799596 -0.1982688
100130522 1.1835410 -1.1799596 0.2223035 0.47086032 0.6852693 0.7924887
100130550 1.7524570 1.1378211 1.5154098 1.09868443 0.8807480 1.2493893
100130564 3.1471821 3.3696643 3.8542445 3.53447396 3.0660037 2.3712565
100130581 -0.3087191 0.6236929 1.3879451 2.36855130 1.4723008 2.9946563
100130691 1.9012292 1.2752303 1.8415831 1.43740687 1.0528731 1.9572533
100130705 0.6223185 0.4015476 0.7225377 1.43740687 1.0528731 1.7878451
100130748 0.2306366 1.1378211 0.2223035 0.01164872 -0.1392054 1.1125612
100130750 -1.1799596 -1.1799596 -1.1799596 -1.17995959 -1.1799596 -1.1799596
100130855 0.6223185 1.8155036 2.1074408 2.20084327 1.7968566 1.3743572
100130958 1.1835410 0.8161526 -0.1127069 0.01164872 -0.1392054 0.1199694
100131017 -1.1799596 -1.1799596 -1.1799596 -1.17995959 -1.1799596 -1.1799596
100131031 2.4764556 2.9026228 3.1928466 2.31478603 2.8495721 2.6925636
100131033 1.9012292 1.8155036 1.8415831 2.01104359 1.7968566 0.9613831
100131067 1.7524570 1.1378211 2.5853153 2.42038468 2.2852806 2.3099909
100131089 1.3990782 0.4015476 0.9197791 0.65521448 1.4723008 2.1088427
100131094 0.2306366 0.6236929 0.7225377 0.47086032 0.1907372 1.3743572
100131138 0.6223185 1.6229513 3.2671795 3.83107792 2.7021882 3.3697036
100131187 -1.1799596 -1.1799596 1.6325213 0.81865788 1.5887892 1.2493893
100131193 1.3990782 0.1388591 2.3318465 2.01104359 2.2852806 1.9572533
100131211 3.8428934 3.0245885 3.0315999 3.16067988 3.1818160 2.7855178
100131213 0.9300495 0.8161526 -1.1799596 -1.17995959 -1.1799596 0.6011676
100131471 2.8133734 2.2747582 2.1074408 2.07712374 2.1401026 1.7878451
100131656 3.4666533 3.7219181 2.6970965 2.96514227 3.4205875 2.9551839
100131685 2.4764556 2.5156937 2.3318465 2.25893925 2.5948417 1.5958643
100131691 2.3783148 2.4002497 2.8008361 2.01104359 2.8020976 3.6173858
100131740 1.3990782 1.2752303 -0.1127069 0.25944886 0.8807480 0.1199694
100131801 3.5136417 3.7922992 3.2304917 2.89359431 3.1442355 3.4285352
100131827 0.9300495 0.4015476 0.7225377 0.65521448 0.4590900 1.1125612
100131828 -1.1799596 -1.1799596 -0.5498155 -0.66593927 -0.1392054 0.3805386
100131940 -0.3087191 0.8161526 1.3879451 1.22064417 1.4723008 1.3743572
100132074 -1.1799596 -1.1799596 -1.1799596 -1.17995959 -1.1799596 -1.1799596
100132086 0.2306366 0.8161526 1.6325213 0.01164872 -0.1392054 0.3805386
100132116 9.1237355 8.8316676 8.1717174 7.60470394 8.1833920 6.3069514
100132126 -1.1799596 0.4015476 -0.5498155 -0.66593927 0.4590900 0.1199694
100132215 1.3990782 1.2752303 0.9197791 0.01164872 0.8807480 2.1790548
100132537 3.6032624 3.4874834 2.0241488 2.01104359 1.5887892 2.6437397
100132609 0.2306366 1.2752303 0.7225377 0.81865788 1.7968566 0.1199694
100132659 0.9300495 0.6236929 0.9197791 0.25944886 0.1907372 0.9613831
100132891 0.9300495 1.9029283 -1.1799596 -1.17995959 -1.1799596 0.1199694
100132972 0.2306366 -0.1825503 -1.1799596 -0.28772542 0.4590900 -0.6071774
100133234 0.6223185 0.1388591 0.7225377 1.09868443 1.3455739 2.1088427
100133286 0.9300495 0.4015476 -0.1127069 0.81865788 -0.1392054 0.3805386
100133315 0.2306366 -1.1799596 0.4939940 1.09868443 0.8807480 -0.1982688
100134934 2.6547274 1.1378211 0.9197791 2.07712374 1.0528731 2.5408365
10014 5.9525297 6.0145620 6.1004115 6.34512511 6.1667079 6.4272294
100144603 2.0360840 2.5156937 1.7408358 2.01104359 2.2852806 2.0350381
100144748 1.7524570 1.9853565 1.5154098 1.94179085 0.4590900 1.9572533
10015 7.6057342 7.6572160 7.5640972 7.48961597 7.4354938 7.4071627
10016 6.0272949 5.8428002 5.3075681 5.25641580 5.1473275 5.4488902
100170229 1.1835410 0.9859334 0.7225377 0.65521448 0.6852693 0.1199694
100170841 3.6460680 3.1005230 4.2521449 5.51667114 4.3248744 4.9130028
10018 2.9562893 3.1370422 3.1541929 3.88741372 3.6253960 3.5918741
100188847 1.3990782 1.8155036 1.6325213 0.81865788 0.4590900 1.3743572
10019 4.2834086 4.4873816 4.4565793 5.25641580 4.3905436 4.4563437
100190938 1.1835410 2.2747582 1.3879451 1.86904545 1.3455739 1.3743572
1002 2.0360840 1.8155036 0.9197791 0.96545465 1.5887892 2.0350381
10020 3.8792298 3.5154939 3.9476165 4.10892104 4.1077677 4.5118112
10021 7.6719602 7.6728465 8.8990594 8.95738426 8.8281268 8.4378689
10023 0.2306366 1.6229513 1.0932690 0.65521448 1.2066339 1.6950458
10024 2.6547274 2.9850679 3.1928466 2.96514227 3.3563023 1.3743572
10026 6.5397473 6.3885288 6.3345012 5.58071442 6.3797713 6.2951438
100268168 0.9300495 -0.5967237 0.2223035 -0.66593927 0.6852693 0.7924887
100270804 0.2306366 1.4006825 2.6422882 2.36855130 2.2852806 1.9572533
100270827 0.9300495 -0.1825503 -0.5498155 -0.28772542 0.1907372 -0.1982688
100270840 2.9562893 3.0245885 3.1541929 2.92981178 2.9400767 3.3083706
100270854 2.0360840 2.9444342 1.2481176 1.86904545 2.5948417 2.0350381
100270865 3.2055847 3.5699343 2.3995092 2.92981178 2.3527350 2.8298413
100271271 2.3783148 2.9850679 2.6422882 2.69746772 3.1056498 3.0705018
100271332 2.6547274 2.8595633 2.0241488 2.31478603 2.7021882 3.3393630
100271415 2.5683434 1.1378211 1.5154098 2.07712374 1.0528731 2.0350381
100271479 -1.1799596 -1.1799596 -1.1799596 -0.28772542 0.4590900 0.3805386
100271884 -0.3087191 0.8161526 -1.1799596 0.81865788 -0.5677001 -1.1799596
100272147 2.5683434 2.7693858 2.5259996 2.25893925 2.2852806 2.3099909
100286844 2.1594038 -1.1799596 1.7408358 0.96545465 1.4723008 1.4893578
100287015 -1.1799596 -1.1799596 0.4939940 -1.17995959 -0.1392054 0.7924887
100287049 0.9300495 0.1388591 1.3879451 0.65521448 0.1907372 1.4893578
100287074 2.8133734 2.4002497 2.8500364 2.31478603 2.4788611 2.5408365
100287616 3.0227665 3.5154939 2.7498985 2.01104359 1.6965706 3.9541481
100287722 1.5865604 0.9859334 1.5154098 1.33309273 1.2066339 2.1790548
100287808 0.9300495 -0.1825503 -1.1799596 0.65521448 -0.1392054 0.3805386
100287837 0.6223185 -0.5967237 -0.1127069 0.01164872 -1.1799596 -1.1799596
100287896 2.6547274 2.2747582 2.6970965 3.19083997 2.4788611 3.0705018
100287902 -1.1799596 -0.5967237 -0.1127069 0.25944886 -1.1799596 0.1199694
100287928 3.2617148 2.9850679 3.3378693 2.69746772 3.1056498 3.2111865
100287932 5.3208008 5.7036414 5.4737449 5.41812860 5.5861704 5.3982773
100288001 2.4764556 1.8155036 1.3879451 2.56556805 2.2852806 2.3099909
100288073 4.2281324 4.2243675 4.3748885 5.34625217 4.1838251 7.3474347
100288123 -1.1799596 -0.5967237 1.6325213 0.47086032 0.8807480 0.1199694
100288198 2.8133734 1.7224375 3.5007800 3.79226023 2.8020976 3.6424542
100288241 1.3990782 2.0633286 1.0932690 0.47086032 1.5887892 0.7924887
100288413 0.6223185 1.4006825 2.1074408 1.86904545 2.3527350 3.7385866
100288513 1.1835410 1.2752303 -0.5498155 0.65521448 0.6852693 -1.1799596
100288842 -1.1799596 0.8161526 0.9197791 2.20084327 1.2066339 0.7924887
100289061 -1.1799596 0.1388591 1.6325213 0.65521448 1.9786637 1.7878451
100289095 0.9300495 0.4015476 0.7225377 0.47086032 1.5887892 0.3805386
100289133 0.9300495 1.2752303 0.2223035 0.65521448 1.4723008 0.9613831
100289178 2.0360840 1.9029283 3.3719564 2.61088779 3.3563023 2.0350381
100289211 1.1835410 1.1378211 2.3995092 0.96545465 2.2145170 0.7924887
100289259 0.9300495 0.8161526 1.5154098 -0.66593927 -1.1799596 1.3743572
100289274 2.8133734 3.2745221 3.3719564 4.48255341 2.8020976 5.0316052
100289341 2.5683434 1.7224375 0.4939940 1.71152986 1.7968566 1.4893578
100289373 -1.1799596 -1.1799596 -0.5498155 -0.66593927 -1.1799596 -0.1982688
100289388 1.3990782 1.9029283 2.6970965 2.56556805 1.9786637 2.1088427
100289414 -0.3087191 0.1388591 0.4939940 1.09868443 0.6852693 0.1199694
100289635 4.9796086 5.1724697 5.4177344 5.69560613 5.1473275 5.5844213
100289640 2.1594038 0.1388591 2.0241488 2.73888410 2.3527350 2.3099909
100289678 2.2730075 1.4006825 2.5853153 2.69746772 2.5380165 2.7855178
100293516 4.5318814 3.8810986 4.4244559 4.79877360 4.1271613 3.9541481
100294362 1.3990782 1.1378211 1.7408358 1.62581519 1.9786637 2.6437397
1003 0.9300495 -1.1799596 1.0932690 -0.28772542 1.4723008 0.3805386
100302692 0.6223185 1.7224375 1.3879451 1.43740687 0.6852693 1.4893578
100302736 1.7524570 1.6229513 1.3879451 2.25893925 1.4723008 2.8728436
100303728 2.5683434 3.1370422 3.3719564 2.92981178 3.0252372 2.9551839
100303755 1.7524570 1.1378211 2.1861854 2.01104359 1.4723008 1.8750344
100312828 0.2306366 -1.1799596 -1.1799596 1.22064417 -0.1392054 0.3805386
100312850 -1.1799596 -1.1799596 0.9197791 0.25944886 -0.1392054 1.3743572
10036 4.4854929 4.5153940 4.6215084 5.01649150 4.7939322 3.9541481
100379345 3.2055847 3.4000333 2.6970965 3.06622135 2.8020976 2.4300260
10038 5.4104333 5.3618044 5.4815718 5.60891099 5.1088255 5.6476931
100381270 1.1835410 0.8161526 1.5154098 1.43740687 1.3455739 0.7924887
10039 6.2448149 5.9898160 5.3075681 5.21298757 5.3424736 5.2913914
1004 8.7250761 9.1345305 8.3468973 8.09399167 8.4635221 6.8760805
10040 3.1471821 3.1370422 3.5312655 3.83107792 3.3888029 3.8287115
100418710 1.7524570 2.4002497 1.2481176 1.71152986 2.0616401 0.3805386
100418735 4.2834086 3.7457620 2.2608534 2.65482715 2.2852806 2.0350381
100418744 0.6223185 0.8161526 1.5154098 2.61088779 1.4723008 0.9613831
100418770 0.9300495 2.3388680 1.9357519 0.96545465 1.4723008 1.5958643
100418781 -0.3087191 0.1388591 0.2223035 -0.28772542 0.4590900 -1.1799596
100418819 -1.1799596 1.6229513 1.7408358 2.01104359 1.5887892 0.9613831
100418829 1.9012292 2.0633286 0.7225377 1.22064417 1.7968566 1.3743572
100418888 2.1594038 1.9029283 0.9197791 0.96545465 1.2066339 1.4893578
100418889 2.5683434 2.7693858 2.1861854 2.73888410 3.1818160 1.9572533
100418910 1.5865604 1.6229513 1.0932690 1.79243632 1.2066339 0.3805386
100418919 1.9012292 2.5701266 1.5154098 2.81831204 2.5948417 2.4300260
100419028 0.2306366 -0.1825503 1.5154098 0.25944886 1.4723008 1.8750344
100419185 -0.3087191 0.4015476 -0.1127069 0.47086032 0.4590900 0.6011676
100419416 -1.1799596 1.5160931 0.9197791 1.09868443 1.3455739 0.7924887
100419515 -1.1799596 0.4015476 -0.5498155 -1.17995959 0.4590900 -0.1982688
100419645 0.9300495 0.6236929 0.9197791 0.47086032 -0.1392054 1.3743572
100419758 -1.1799596 -0.5967237 -0.1127069 0.01164872 0.8807480 0.3805386
100419928 1.5865604 1.7224375 1.2481176 0.81865788 1.2066339 1.9572533
10042 5.5745447 5.3540690 5.4013237 5.63107806 5.2481976 5.0597926
100420028 0.2306366 1.5160931 1.0932690 0.01164872 0.6852693 -0.1982688
100420050 -1.1799596 -0.5967237 0.2223035 -0.28772542 -0.5677001 -0.1982688
100420110 3.6460680 3.4874834 3.3378693 3.58076540 3.5697850 3.4285352
100420187 1.3990782 2.3388680 1.7408358 1.43740687 1.9786637 2.6925636
100420259 4.1996793 4.3227632 3.1541929 3.62561755 3.5978584 3.6670945
100420307 -1.1799596 0.6236929 0.7225377 0.25944886 1.2066339 1.1125612
100420341 5.2806139 5.1278026 5.3337480 5.09035048 5.2032198 6.7433384
100420423 0.2306366 0.9859334 1.2481176 0.25944886 0.1907372 -1.1799596
100420591 1.3990782 0.9859334 1.6325213 1.09868443 0.6852693 1.7878451
100420707 3.1471821 2.8151790 2.5259996 3.09839962 2.6495131 2.4300260
100420752 2.1594038 1.8155036 1.7408358 2.07712374 2.1401026 2.4300260
100420869 3.9492672 4.2579173 4.6072701 4.23005368 4.3079791 4.3538279
100420981 5.5064836 5.6350793 5.5869106 5.39240413 5.5861704 5.5450818
100421093 4.0483335 3.8594059 4.0353110 4.15554570 3.9424519 3.2443140
100421109 0.6223185 0.1388591 0.4939940 0.01164872 0.4590900 0.6011676
100421160 1.3990782 1.1378211 0.4939940 -0.28772542 0.4590900 0.6011676
100421175 2.2730075 1.2752303 1.2481176 1.62581519 1.2066339 2.1790548
100421246 1.5865604 1.5160931 0.9197791 1.79243632 1.2066339 0.1199694
100421311 2.8866003 2.6225803 2.7498985 2.61088779 2.3527350 2.4300260
100421372 1.7524570 2.2747582 1.3879451 2.07712374 0.4590900 1.4893578
100421400 0.2306366 1.9853565 2.5853153 2.65482715 1.6965706 1.7878451
100421415 -1.1799596 0.4015476 1.3879451 0.25944886 0.4590900 0.1199694
100421429 0.2306366 1.4006825 0.2223035 1.09868443 0.4590900 0.1199694
100421465 2.0360840 1.8155036 1.2481176 1.79243632 1.8906221 0.7924887
100421468 1.5865604 1.7224375 0.4939940 0.96545465 1.4723008 1.3743572
100421506 -0.3087191 -0.1825503 0.2223035 -1.17995959 -1.1799596 -1.1799596
100421569 -1.1799596 0.1388591 -0.5498155 0.25944886 0.1907372 0.3805386
100421595 0.9300495 1.2752303 1.5154098 1.71152986 1.6965706 1.6950458
100421794 2.3783148 3.1726598 3.3378693 2.89359431 2.3527350 2.5408365
100422106 1.5865604 1.5160931 1.7408358 2.01104359 0.6852693 1.5958643
100422338 2.1594038 1.8155036 2.5853153 2.14030931 2.0616401 1.7878451
100422546 0.6223185 1.5160931 0.7225377 -0.28772542 1.4723008 -1.1799596
100422561 4.3366447 3.9849237 3.0315999 3.97667776 3.6789428 4.1239580
10043 5.5745447 5.7806802 5.9392444 6.07694306 5.8006415 5.8814911
10044 3.2055847 1.9853565 1.5154098 1.43740687 -1.1799596 0.9613831
10045 -1.1799596 1.4006825 -1.1799596 -0.66593927 -1.1799596 2.0350381
10046 1.3990782 1.6229513 1.6325213 1.43740687 -1.1799596 0.7924887
10048 6.4759280 6.5697659 6.2771959 6.65470608 6.4469054 6.5180715
10049 5.6915503 6.0194607 5.4579625 5.48659339 5.5216869 5.8113786
100499177 3.3157427 2.9444342 2.9436725 3.75236915 2.9400767 3.3083706
100499483 0.9300495 0.8161526 0.7225377 0.25944886 -0.1392054 0.3805386
1005 1.7524570 0.4015476 0.9197791 0.25944886 0.4590900 2.4864949
100500719 0.2306366 0.9859334 0.9197791 0.25944886 0.4590900 0.3805386
100505385 2.2730075 3.1726598 2.8976140 3.03330897 3.4516869 1.7878451
100505501 0.9300495 1.6229513 0.9197791 2.01104359 1.4723008 2.4864949
100505538 2.0360840 1.5160931 0.7225377 0.81865788 1.2066339 1.3743572
100505549 0.2306366 0.4015476 -1.1799596 -1.17995959 -1.1799596 -1.1799596
100505573 5.5295293 5.8317027 5.6368295 5.72681917 5.7006276 5.7434883
100505576 4.4129876 4.5014557 3.9248339 3.24933208 3.1056498 3.3393630
100505616 0.2306366 -0.5967237 0.2223035 0.47086032 -0.5677001 0.6011676
100505624 0.9300495 1.2752303 1.5154098 1.43740687 1.9786637 1.7878451
100505635 -0.3087191 0.4015476 -0.5498155 0.01164872 0.1907372 -1.1799596
100505641 2.2730075 2.0633286 2.5259996 2.89359431 2.0616401 2.3099909
100505648 3.3157427 1.4006825 2.9883059 3.35964920 3.2184424 3.8503897
100505678 1.7524570 1.9029283 2.3995092 2.42038468 2.1401026 2.4300260
100505696 3.9146735 3.6223948 4.0977519 4.10892104 4.1462976 4.0320961
100505715 1.3990782 0.6236929 1.0932690 1.86904545 1.2066339 0.1199694
100505738 2.8133734 3.2074191 2.3318465 1.71152986 1.5887892 1.8750344
100505741 0.2306366 1.5160931 0.2223035 0.81865788 0.8807480 0.1199694
100505758 2.6547274 3.0630553 3.7544086 3.51075905 3.3563023 3.7843527
100505761 2.8133734 1.9853565 2.1074408 2.36855130 2.4788611 3.3083706
100505771 4.2281324 3.7922992 3.5611201 3.41179767 2.9400767 2.6925636
100505783 -1.1799596 -1.1799596 -1.1799596 -1.17995959 -1.1799596 -1.1799596
100505806 2.3783148 2.8595633 3.1144749 2.73888410 3.1818160 2.6925636
100505812 -1.1799596 -0.5967237 -1.1799596 -0.66593927 1.2066339 -0.6071774
100505832 -1.1799596 -0.1825503 1.0932690 1.09868443 1.0528731 -0.1982688
100505854 -1.1799596 1.2752303 0.2223035 1.33309273 1.3455739 0.7924887
100505876 5.7218801 5.8261219 5.5276618 5.48659339 5.6612596 5.7492695
100505894 2.0360840 1.1378211 2.5259996 1.71152986 3.1442355 2.3712565
100505933 0.6223185 0.8161526 0.4939940 0.25944886 -0.5677001 1.4893578
100505994 0.6223185 -0.1825503 0.7225377 0.81865788 0.6852693 2.2460077
100506020 -1.1799596 0.4015476 1.0932690 0.47086032 0.1907372 0.3805386
100506033 4.7826679 4.8261621 4.5928899 4.97376371 4.7319468 4.7026667
100506054 0.2306366 -0.5967237 -0.1127069 -1.17995959 0.1907372 -0.6071774
100506068 0.6223185 -0.1825503 -0.1127069 -0.28772542 -0.5677001 -0.1982688
100506070 0.2306366 -0.1825503 0.4939940 0.96545465 1.2066339 0.9613831
100506083 0.2306366 0.9859334 0.7225377 1.71152986 1.2066339 0.9613831
100506100 0.2306366 -0.1825503 -1.1799596 0.25944886 -1.1799596 0.1199694
100506119 0.6223185 0.4015476 0.4939940 -0.28772542 0.1907372 0.7924887
100506127 -0.3087191 1.2752303 2.8008361 3.03330897 2.5948417 2.1790548
100506142 0.6223185 0.4015476 -1.1799596 -0.66593927 -0.1392054 -0.1982688
100506144 1.1835410 1.5160931 0.2223035 1.43740687 0.1907372 0.7924887
100506161 1.7524570 0.4015476 1.7408358 1.94179085 0.1907372 1.5958643
100506211 3.1471821 1.9029283 2.6422882 3.66911723 3.1442355 1.4893578
100506235 0.9300495 1.5160931 2.0241488 1.62581519 1.7968566 1.9572533
100506258 -1.1799596 -1.1799596 1.2481176 1.09868443 -0.5677001 1.4893578
100506282 2.5683434 1.6229513 2.9883059 1.86904545 2.6495131 2.4300260
100506286 0.2306366 0.4015476 -0.1127069 0.96545465 0.4590900 1.3743572
100506302 1.3990782 1.8155036 1.8415831 0.47086032 1.6965706 1.1125612
100506321 1.1835410 0.1388591 0.7225377 1.94179085 0.8807480 1.4893578
100506325 -1.1799596 -0.5967237 0.2223035 0.65521448 1.2066339 1.6950458
100506343 1.1835410 -0.1825503 1.5154098 1.53468449 1.3455739 1.2493893
100506365 4.9962477 5.4442634 5.5048008 5.60891099 5.1282049 5.5714269
100506368 -1.1799596 1.5160931 0.4939940 0.25944886 -0.1392054 -1.1799596
100506380 2.6547274 1.4006825 3.1144749 3.69038491 2.8955340 3.3393630
100506392 3.6032624 3.4000333 4.2521449 4.56546502 4.2022290 4.6293257
100506394 -1.1799596 0.4015476 -1.1799596 1.33309273 1.4723008 1.1125612
100506411 1.1835410 1.6229513 2.2608534 1.22064417 1.8906221 -0.6071774
100506433 0.2306366 1.9853565 2.1861854 2.47042018 2.0616401 3.2766978
100506462 -0.3087191 0.6236929 -0.1127069 -1.17995959 -0.5677001 0.9613831
100506469 2.9562893 2.5156937 3.6471470 3.73200221 3.7804193 3.7385866
100506495 0.2306366 0.8161526 0.4939940 0.01164872 -0.1392054 1.3743572
100506504 1.3990782 2.1373019 1.9357519 2.31478603 1.6965706 2.7855178
100506540 1.3990782 -0.1825503 1.7408358 1.62581519 1.5887892 1.6950458
100506581 2.9562893 2.5701266 2.5853153 2.51877837 2.2852806 3.1772805
100506606 -0.3087191 -0.5967237 0.7225377 1.62581519 -1.1799596 0.6011676
100506658 1.3990782 0.9859334 2.2608534 1.53468449 0.4590900 2.7397892
100506668 2.6547274 2.5701266 1.9357519 3.55780534 2.7021882 3.3083706
100506686 1.5865604 1.6229513 0.2223035 1.43740687 0.1907372 2.0350381
100506691 -0.3087191 -1.1799596 0.2223035 -1.17995959 -0.1392054 -1.1799596
100506696 0.6223185 0.4015476 0.7225377 -0.28772542 1.2066339 0.6011676
100506697 0.9300495 1.4006825 0.4939940 0.65521448 -0.1392054 0.3805386
100506710 4.2560352 4.7338035 4.4723767 5.09035048 3.9203891 5.0504579
100506713 -1.1799596 0.8161526 0.2223035 -0.28772542 0.1907372 0.3805386
100506725 4.4854929 4.1187666 4.1961658 4.81822557 3.8752247 4.2434664
100506731 0.6223185 1.4006825 0.2223035 0.96545465 0.8807480 0.7924887
100506757 1.1835410 1.2752303 1.2481176 1.09868443 -0.5677001 1.9572533
100506779 -0.3087191 -1.1799596 -0.1127069 -0.28772542 -0.5677001 -0.1982688
100506804 -1.1799596 -0.5967237 0.2223035 0.01164872 0.4590900 0.6011676
100506826 0.9300495 1.5160931 2.0241488 1.71152986 1.8906221 1.9572533
100506844 1.7524570 1.6229513 0.9197791 2.42038468 1.6965706 3.1069799
100506866 4.6204100 4.6604347 6.5320938 6.12459564 6.5257420 6.4487064
100506881 2.1594038 1.5160931 1.0932690 1.86904545 1.8906221 2.2460077
100506885 0.9300495 1.4006825 -1.1799596 -1.17995959 0.4590900 0.1199694
100506911 -0.3087191 1.2752303 -0.1127069 0.47086032 1.0528731 -1.1799596
100506922 -1.1799596 -1.1799596 -0.1127069 -0.66593927 -0.5677001 -0.1982688
100506930 2.9562893 2.8595633 2.5259996 3.71134362 3.8521010 3.3393630
100506994 0.2306366 1.5160931 1.0932690 0.65521448 0.6852693 0.1199694
100507003 0.2306366 0.4015476 -1.1799596 -0.28772542 -1.1799596 -0.1982688
100507032 -1.1799596 -1.1799596 -1.1799596 -1.17995959 -1.1799596 -1.1799596
100507034 3.6876400 3.1005230 3.0736324 3.41179767 3.2184424 2.7397892
100507050 0.6223185 -1.1799596 -0.1127069 -0.28772542 -0.1392054 -1.1799596
100507053 -1.1799596 -1.1799596 -1.1799596 -1.17995959 -1.1799596 -0.1982688
100507057 -1.1799596 0.4015476 -0.1127069 -1.17995959 -0.1392054 -1.1799596
100507062 -1.1799596 -0.1825503 -0.1127069 0.25944886 -0.1392054 0.1199694
100507071 0.2306366 -0.5967237 1.0932690 0.47086032 0.8807480 1.4893578
100507156 2.9562893 3.5964030 3.5312655 3.19083997 3.5697850 2.7397892
100507171 1.7524570 1.6229513 2.9883059 3.27771222 2.1401026 3.5918741
100507173 0.2306366 -0.5967237 -1.1799596 0.81865788 -1.1799596 1.6950458
100507178 1.5865604 0.4015476 -0.5498155 0.65521448 -0.1392054 0.7924887
100507244 2.1594038 1.6229513 1.2481176 1.79243632 1.0528731 1.9572533
100507246 3.8428934 3.8594059 3.8299257 4.70784047 4.0681806 3.8927926
100507250 0.2306366 -0.5967237 0.2223035 -0.28772542 1.0528731 -0.6071774
100507254 2.9562893 2.2747582 0.9197791 1.53468449 0.6852693 -0.1982688
100507266 -1.1799596 0.1388591 1.8415831 1.22064417 1.2066339 1.2493893
100507290 4.1706537 4.3695537 4.2882929 5.27764933 4.6404339 4.7949925
100507291 -1.1799596 -0.5967237 -1.1799596 0.96545465 0.8807480 -0.6071774
100507303 2.0360840 2.0633286 2.1074408 2.31478603 2.2145170 2.7397892
100507308 2.4764556 2.2747582 0.9197791 0.65521448 1.2066339 1.3743572
100507316 -1.1799596 -0.1825503 0.4939940 -0.66593927 -0.1392054 0.3805386
100507331 1.9012292 2.2747582 1.9357519 2.31478603 2.3527350 1.5958643
100507347 2.4764556 1.9853565 1.7408358 2.07712374 1.2066339 1.3743572
100507373 1.9012292 2.2076665 2.1861854 1.94179085 2.1401026 2.6925636
100507392 1.3990782 1.5160931 -1.1799596 -0.28772542 -0.5677001 -0.6071774
100507398 0.2306366 0.8161526 -1.1799596 0.25944886 0.1907372 1.2493893
100507401 -0.3087191 0.4015476 1.0932690 1.43740687 0.8807480 1.2493893
100507420 0.2306366 0.4015476 -1.1799596 -0.28772542 -1.1799596 -0.1982688
100507433 1.1835410 1.9853565 2.1861854 2.65482715 1.3455739 2.3712565
100507436 -0.3087191 -1.1799596 -0.1127069 0.81865788 0.1907372 0.3805386
100507437 0.2306366 0.4015476 1.8415831 1.33309273 2.0616401 0.7924887
100507459 0.6223185 0.4015476 0.9197791 0.81865788 1.6965706 2.0350381
100507463 0.6223185 0.4015476 -0.5498155 -0.28772542 -0.5677001 -0.6071774
100507487 0.6223185 1.5160931 1.3879451 1.53468449 -0.1392054 2.6437397
100507495 4.3366447 3.5699343 3.8781601 4.17075831 4.0066854 4.7263080
100507516 -1.1799596 -0.1825503 -0.5498155 0.01164872 0.4590900 0.3805386
100507551 1.1835410 -0.1825503 0.7225377 0.65521448 0.4590900 0.3805386
100507557 1.9012292 1.7224375 -0.1127069 0.65521448 0.6852693 1.9572533
100507564 0.9300495 0.9859334 1.2481176 1.86904545 0.8807480 2.8728436
100507567 -0.3087191 -0.1825503 -0.5498155 -1.17995959 0.1907372 -0.1982688
100507588 0.2306366 0.9859334 0.2223035 0.01164872 0.1907372 0.3805386
100507599 -1.1799596 0.4015476 0.9197791 1.22064417 -0.1392054 0.3805386
100507602 4.5318814 4.4731687 4.0977519 4.44550737 4.0881099 4.6418111
100508120 0.2306366 1.2752303 1.2481176 1.09868443 0.4590900 2.0350381
10051 6.5168656 6.2242758 6.9482372 6.83739742 6.8189693 5.2992944
10052 1.9012292 1.6229513 1.3879451 2.25893925 1.9786637 1.9572533
100526737 2.0360840 1.5160931 1.9357519 2.01104359 1.4723008 1.5958643
100526760 1.9012292 0.4015476 2.0241488 2.20084327 1.6965706 1.8750344
100526820 0.9300495 0.6236929 0.4939940 0.01164872 0.6852693 0.3805386
100526835 3.6876400 3.5429708 5.1495110 5.27060615 4.5570915 4.4563437
100527978 -0.3087191 -0.5967237 0.2223035 -0.28772542 -0.5677001 -0.6071774
100529145 1.9012292 2.4591261 0.7225377 1.22064417 0.6852693 2.5408365
100529215 -0.3087191 1.1378211 0.2223035 1.22064417 1.0528731 0.6011676
100532746 3.9492672 3.8810986 3.8781601 3.53447396 3.8752247 3.8503897
100533106 -0.3087191 -0.1825503 0.4939940 0.01164872 -0.1392054 0.6011676
100533182 -1.1799596 0.4015476 0.4939940 -0.66593927 -0.1392054 0.9613831
100533619 -1.1799596 -1.1799596 -1.1799596 -0.28772542 -1.1799596 -1.1799596
100533629 1.1835410 -0.1825503 0.9197791 0.25944886 0.1907372 0.1199694
100533695 -0.3087191 0.9859334 0.2223035 0.47086032 1.2066339 0.3805386
100533970 1.1835410 0.4015476 0.4939940 1.09868443 1.5887892 1.8750344
100534593 0.6223185 1.1378211 -0.5498155 -0.28772542 0.8807480 1.6950458
10054 6.4337948 6.3305826 5.7642133 6.01928298 5.7945897 6.0408184
10056 6.0983757 6.1322995 5.7769904 5.74725889 5.8364287 5.8549265
10057 7.0545373 7.0816578 7.5077219 7.49566922 7.5566602 7.7213720
10058 5.1822479 5.3306110 5.1593036 5.17577125 5.4694615 6.6382162
10059 7.1505717 7.1435454 7.2663046 7.33108332 7.4040395 6.4163698
1006 4.6834144 4.1003898 4.4244559 4.02769997 4.5135424 4.1934556
10060 3.5136417 3.5964030 4.6072701 4.63292642 4.2560728 4.7837697
100616256 -0.3087191 -1.1799596 -0.1127069 0.01164872 0.4590900 0.6011676
10062 1.1835410 1.1378211 0.4939940 0.96545465 1.0528731 1.9572533
10063 4.6417187 4.2907045 3.8781601 4.17075831 4.2735833 4.6541893
100652739 0.6223185 -0.5967237 -1.1799596 0.65521448 0.6852693 0.3805386
100652758 0.2306366 0.8161526 1.5154098 0.25944886 1.7968566 0.3805386
100652846 0.2306366 0.6236929 2.6970965 2.65482715 2.2852806 1.7878451
10066 7.0305056 6.8233031 6.5692955 6.47947498 6.8039845 6.8386094
10067 6.0983757 5.9848154 5.8392319 5.91473715 6.0496255 6.1409662
10068 3.8792298 3.5964030 3.1144749 2.47042018 3.5697850 3.4850613
10069 2.6547274 3.4297762 3.3378693 3.94163208 3.0660037 3.9339849
10072 4.9962477 5.1368474 4.6633991 4.73879273 4.9436381 3.8717469
10073 4.0798995 3.9647478 3.7017744 3.60336577 3.7557114 3.9541481
10075 8.4585951 8.5187641 8.7992537 8.91397218 8.8968261 8.9099245
10076 3.9830508 4.0438116 3.6747193 3.81179963 3.9203891 4.2269880
10077 -1.1799596 -0.1825503 0.7225377 0.01164872 1.2066339 2.4300260
100775107 1.1835410 0.8161526 1.7408358 0.81865788 0.6852693 0.7924887
10078 4.4375632 5.1187009 4.5488687 4.77905577 4.5570915 4.5253512
10079 5.2806139 5.1095413 4.9037173 4.78894837 5.1088255 5.3534351
1008 4.5768247 4.9023936 4.4565793 4.20071061 4.2735833 4.1934556
10081 4.7826679 5.0533279 5.0790361 5.34625217 5.1848286 5.1673379
10082 6.2448149 6.3345189 6.9197147 6.41386338 6.7857949 6.6598624
100820829 4.5987819 5.0910458 5.4893564 5.60331559 5.2213795 4.4421371
10084 5.4350520 5.1278026 4.6072701 4.93864630 5.1185478 4.4421371
100847074 1.7524570 2.2747582 2.1074408 2.07712374 1.6965706 2.4300260
10085 9.7243235 9.6161614 8.6343914 8.14205861 8.6197252 8.7366932
100852407 0.6223185 0.8161526 1.2481176 1.94179085 1.3455739 1.7878451
100861412 -0.3087191 0.8161526 -0.1127069 0.81865788 -0.1392054 1.4893578
100861548 4.1996793 4.5291988 4.0772371 3.77245256 4.3744044 4.9026647
100862671 0.2306366 0.1388591 0.7225377 0.25944886 0.8807480 0.3805386
10087 6.4580214 6.2906170 6.4783454 6.40102040 6.1806970 6.5044627
100873257 -1.1799596 -0.5967237 4.4880030 4.07697920 4.2022290 3.9339849
100873333 2.6547274 2.5156937 2.9883059 2.65482715 2.6495131 2.1790548
100873790 2.8133734 3.5699343 3.4696364 3.16067988 3.5697850 2.7855178
100873949 0.6223185 1.4006825 0.7225377 0.47086032 0.4590900 0.7924887
100873952 -1.1799596 -0.1825503 0.2223035 0.47086032 -0.1392054 -1.1799596
100873965 1.3990782 1.4006825 1.5154098 2.20084327 1.4723008 1.3743572
100874006 1.9012292 0.9859334 0.7225377 1.09868443 1.6965706 1.7878451
100874008 0.2306366 0.8161526 1.2481176 1.33309273 1.2066339 1.1125612
100874014 2.1594038 2.1373019 2.6422882 2.73888410 1.5887892 3.2111865
100874058 2.0360840 1.6229513 0.7225377 1.09868443 1.4723008 2.1790548
100874080 0.2306366 0.4015476 1.8415831 1.43740687 1.2066339 0.6011676
100874097 1.1835410 2.5701266 0.9197791 1.79243632 1.6965706 1.3743572
100874201 0.2306366 -0.5967237 0.7225377 -0.28772542 -0.1392054 0.3805386
100874212 1.1835410 -0.5967237 0.9197791 0.81865788 0.6852693 0.3805386
100874217 0.9300495 0.6236929 1.2481176 1.09868443 1.3455739 0.9613831
100874235 0.6223185 0.8161526 1.6325213 1.09868443 1.2066339 1.1125612
100874261 1.3990782 -0.1825503 1.6325213 1.22064417 0.8807480 1.9572533
100874291 0.2306366 -1.1799596 1.6325213 1.22064417 1.2066339 -1.1799596
100874362 1.5865604 1.1378211 0.2223035 1.43740687 1.3455739 2.1088427
100874523 2.3783148 1.9029283 2.0241488 2.07712374 1.3455739 1.3743572
100885775 2.3783148 1.7224375 4.7041077 4.93864630 4.2560728 3.9339849
100885776 1.1835410 -0.5967237 0.4939940 0.65521448 0.4590900 1.4893578
100885848 4.8934066 4.9948351 5.8573925 5.82623945 5.5720877 4.8061286
1009 10.2530209 10.0903990 9.5555589 9.20421455 9.6422718 8.3359054
10090 4.2834086 4.0438116 3.3719564 3.53447396 3.7804193 3.9135358
10092 8.3067931 8.3656081 7.4309779 7.62831340 7.3960676 7.0241013
10093 7.7402266 7.9194625 6.8669086 6.85633889 7.0008066 6.4803340
10094 3.9492672 4.4588144 3.0315999 3.24933208 3.5697850 3.5125150
10095 6.6904979 6.8755697 4.8073620 5.02488727 5.1755443 4.9735224
10097 9.2065023 9.3491607 8.2923187 7.95152576 8.3422234 7.8125453
10098 6.5168656 6.9338141 5.8084468 5.87349305 6.1667079 5.6476931
10099 7.8541441 7.9772547 7.7889029 7.34288338 7.7011537 8.1830538
100996246 3.7280475 2.8151790 2.6970965 2.36855130 2.5380165 1.7878451
100996251 0.9300495 1.1378211 2.1861854 0.47086032 0.8807480 1.1125612
100996307 0.9300495 2.0633286 1.7408358 2.96514227 2.2145170 2.4300260
100996384 1.7524570 1.9853565 1.9357519 1.33309273 2.2852806 1.6950458
100996419 -0.3087191 0.4015476 1.2481176 0.25944886 -0.1392054 0.6011676
100996485 2.1594038 1.5160931 1.2481176 1.43740687 1.0528731 1.3743572
100996539 0.6223185 -0.1825503 1.6325213 0.25944886 0.1907372 0.6011676
100996579 0.2306366 -0.1825503 -0.1127069 1.43740687 -0.5677001 1.3743572
100996696 3.8428934 2.9850679 3.8051900 3.03330897 3.0252372 3.6424542
100996842 2.0360840 2.5701266 2.5853153 1.33309273 1.3455739 3.1425584
100996851 0.2306366 0.4015476 -1.1799596 -1.17995959 1.2066339 -1.1799596
100996939 1.5865604 0.9859334 0.9197791 1.22064417 1.0528731 0.9613831
101 -0.3087191 1.6229513 0.4939940 1.22064417 1.2066339 1.4893578
1010 0.9300495 1.4006825 0.9197791 0.96545465 0.8807480 2.0350381
10100 4.2560352 4.6093638 5.3423701 5.04978536 5.1940535 3.9339849
10101 4.7437820 5.0340926 5.0790361 5.07426104 5.0388710 5.5384197
10102 4.9627753 5.0243779 4.7822330 4.93864630 4.8992069 4.7610589
10103 0.2306366 -1.1799596 -0.1127069 -0.28772542 0.4590900 1.7878451
10105 6.5510535 6.6759636 7.3327158 7.34120355 7.2599407 6.6962308
10106 7.3675356 7.1209324 6.5396113 6.88429282 6.6211577 7.4958026
101060200 2.7362300 2.5156937 2.9436725 3.03330897 3.1442355 3.2766978
101060691 1.3990782 1.9029283 2.4641403 2.51877837 2.5380165 2.0350381
10109 9.1275166 9.3275984 8.1187493 7.97879175 8.2412713 8.1141614
10112 5.1528658 4.9234541 5.5575904 5.46824107 5.3589720 2.7855178
10113 6.4818478 6.3656288 6.1698745 6.52161484 6.4849844 6.9532412
10114 7.5075931 7.8021286 7.9342949 8.03909634 7.8960431 7.8852302
101154753 -0.3087191 -0.5967237 0.4939940 0.25944886 -0.1392054 -0.1982688
10116 7.7027003 7.7588448 7.9127473 8.31548090 7.7488825 7.5364899
10117 0.2306366 1.6229513 1.2481176 1.22064417 0.4590900 -0.1982688
1012 8.9445768 8.7964268 7.6377452 7.46668733 7.9350790 8.0252314
10121 6.6750792 6.4073383 6.2590956 6.42342114 6.2706440 6.0074379
10123 7.2265766 7.5153066 6.0113039 6.58260295 6.1806970 5.7142299
THA_24_C6 DOX_24_C6 NUTL_24_C6 DMSO_24_C6 LPS_24_C6 TNFa_24_C6
100 2.4211503 2.724029946 3.3880733 2.3984911 2.5585190 2.2595152
1000 11.3452045 10.226420422 10.8864740 10.8498502 11.1056589 11.0798622
10000 6.2749512 5.544881720 5.6668465 5.6507467 6.1056970 5.7289914
10001 4.2893738 4.773292175 4.5062305 4.6420513 4.3733850 4.5928872
10003 3.6066594 5.090555835 4.6020070 4.4095589 3.0018634 4.1736453
100037417 -1.1799596 -1.179959587 -1.1799596 -1.1799596 -1.1799596 -1.1799596
100049716 2.9146128 2.030261185 2.5879313 3.2827420 2.5585190 2.1222126
10005 3.9245949 3.706333441 4.1191230 4.1322646 4.0433088 3.6568167
10006 6.8469410 5.612556871 6.4114348 6.3869110 6.6790740 6.6467916
10007 4.7509108 4.802564246 5.0433436 4.8607960 4.4750857 4.0465825
10009 4.8769091 4.109123768 4.8672888 4.9151155 5.1765992 4.9980461
100093630 6.2647416 5.464748399 5.9477204 6.7822948 6.9782684 6.2328288
1001 6.8123105 7.712857919 7.7633088 6.7871575 6.6489233 7.1556921
10010 5.3032419 5.226359454 5.2262302 5.0344319 5.3036813 5.8480882
100101267 2.4211503 1.264961280 2.3564257 2.9770790 2.3169420 2.9286200
100101467 4.3677829 1.927716173 4.3883706 4.3318194 3.6841998 4.0081241
10011 5.5247555 5.215518171 6.5889019 6.2026504 5.7876609 5.3605492
100113386 0.6168287 0.643779945 0.1504081 1.2013194 -1.1799596 -0.1909017
100113397 0.3339576 1.086066457 -0.1729232 0.9470091 1.1749931 0.9729083
100113407 4.8902531 5.975907567 3.7405039 2.8340334 4.1700362 3.8861863
100125288 3.1982517 3.986943348 3.0427771 2.9073284 1.7945007 2.3235581
100127983 2.3456646 0.643779945 2.7400380 2.0557626 1.5177474 2.7064382
100128006 3.5062377 1.424100292 2.8332056 3.1681260 1.9152199 3.2909092
100128016 0.8532250 2.300293064 0.6374369 -1.1799596 1.5177474 0.9729083
100128025 0.6168287 3.099127223 -0.1729232 -1.1799596 0.0660987 0.6117382
100128054 2.4928820 -0.470674271 1.0008962 2.3984911 0.7245629 0.9729083
100128071 0.6168287 1.424100292 -1.1799596 -0.2986890 -0.4263872 -1.1799596
100128191 1.2342579 3.434442661 -0.5903023 0.2444217 0.0660987 0.9729083
100128252 3.4351835 1.264961280 2.3564257 2.9073284 2.6308214 2.2595152
100128379 -1.1799596 0.002725047 -0.1729232 0.9470091 0.7245629 1.3867197
100128398 5.2211415 3.471366026 5.1193022 4.6633657 4.4553111 4.7984184
100128494 2.9659295 3.234162890 3.4482186 3.1681260 2.5585190 2.3235581
100128569 2.1816994 3.276504968 1.6394368 2.5887490 2.1300186 1.9704550
100128640 -0.0182464 3.610277949 0.1504081 -1.1799596 -1.1799596 -0.1909017
100128682 -1.1799596 -1.179959587 -1.1799596 0.2444217 -1.1799596 -1.1799596
100128731 6.1694504 7.251190024 6.2518499 6.4434483 6.7086075 6.2820120
100128766 2.8061557 2.215776345 2.3564257 3.1072120 3.0018634 2.1924967
100128782 2.1816994 2.596131703 1.6394368 2.3984911 0.7245629 1.8008369
100128822 -1.1799596 -1.179959587 -1.1799596 -1.1799596 -1.1799596 -1.1799596
100128833 2.5612155 2.455782208 2.4768172 2.6752278 2.8282380 2.7994554
100128881 1.3926676 2.030261185 2.4178769 0.6380690 2.4020422 2.1222126
100128893 5.1340855 5.876176779 4.6411845 5.7437309 3.8140910 4.2904175
100129001 0.3339576 1.086066457 1.1532103 0.9470091 1.5177474 0.9729083
100129013 1.2342579 -1.179959587 -1.1799596 0.9470091 2.0266132 1.7079116
100129029 1.0562845 0.358569594 -0.1729232 0.9470091 0.7245629 0.8035960
100129060 3.1097599 0.881806193 3.3253111 3.0436123 2.4824010 2.6070078
100129075 0.8532250 3.434442661 2.0024510 0.9470091 1.6627501 1.7079116
100129195 2.4211503 4.285348538 2.8776262 3.3889186 2.7653869 2.5002141
100129203 -0.4852000 5.268927823 -0.1729232 1.2013194 1.1749931 -0.1909017
100129250 2.5612155 3.190540430 2.0805352 1.7716235 2.4824010 1.7079116
100129259 1.5353918 0.002725047 0.1504081 1.4174479 0.7245629 0.1288280
100129361 5.4635842 4.061485948 5.8283229 5.4197694 6.1183269 5.8150518
100129398 -0.0182464 0.358569594 0.8305822 1.4174479 1.5177474 0.9729083
100129434 -0.0182464 -1.179959587 -1.1799596 -1.1799596 0.0660987 -0.1909017
100129461 0.3339576 1.424100292 1.4167113 1.2013194 1.1749931 1.9704550
100129484 2.0921541 2.215776345 1.9198974 0.9470091 1.7945007 1.1244211
100129550 4.4779426 5.237119877 4.9734322 4.5304834 4.3733850 4.4709319
100129583 1.0562845 2.596131703 -1.1799596 -1.1799596 -1.1799596 0.3903949
100129662 1.5353918 2.030261185 -0.1729232 0.2444217 -1.1799596 0.1288280
100129707 0.6168287 1.086066457 0.4143772 0.2444217 1.6627501 1.3867197
100129716 1.0562845 1.086066457 1.1532103 0.2444217 0.7245629 0.3903949
100129726 -0.0182464 2.783964045 1.1532103 1.7716235 0.7245629 0.3903949
100129774 4.2485111 3.471366026 4.0431548 3.9360671 4.2177662 4.4709319
100129781 1.0562845 0.643779945 2.0805352 0.9470091 0.9672859 1.1244211
100129792 0.6168287 0.002725047 0.1504081 -0.2986890 -0.4263872 -1.1799596
100129794 2.7487081 -1.179959587 1.7391057 1.7716235 2.1300186 2.1924967
100129842 0.8532250 0.358569594 1.0008962 1.9206769 -1.1799596 -0.1909017
100129917 4.0487924 2.215776345 1.5323679 2.5887490 2.0266132 1.5019138
100129924 2.3456646 2.896843124 2.8776262 2.7568146 1.6627501 2.5545989
100129940 0.8532250 -1.179959587 0.1504081 1.2013194 1.7945007 1.2615233
100129995 0.6168287 0.002725047 -1.1799596 -1.1799596 -1.1799596 -1.1799596
10013 5.9576149 6.038759548 5.4849917 5.9913619 5.5473108 5.3982136
100130111 -0.0182464 -1.179959587 0.4143772 1.4174479 0.0660987 0.3903949
100130197 -0.0182464 0.358569594 -0.5903023 -1.1799596 0.7245629 0.3903949
100130335 2.3456646 2.527662983 2.9625635 2.2930430 2.4824010 2.7064382
100130348 3.0633916 2.661497670 3.3253111 3.3889186 3.3405128 2.9286200
100130357 -1.1799596 -1.179959587 -0.1729232 0.6380690 -0.4263872 -1.1799596
100130466 2.8614032 3.471366026 2.6910963 2.6752278 3.2967354 3.2253666
100130476 -1.1799596 1.697772828 -1.1799596 -1.1799596 -1.1799596 -1.1799596
100130522 1.0562845 3.643012217 0.8305822 -0.2986890 1.5177474 0.6117382
100130550 0.6168287 0.358569594 1.4167113 -0.2986890 1.1749931 0.8035960
100130564 2.3456646 3.507367934 2.7400380 2.6752278 3.0018634 2.7064382
100130581 1.8944390 3.001527621 1.9198974 2.1792755 2.2265055 1.2615233
100130691 2.0921541 0.358569594 1.0008962 2.2930430 2.0266132 2.3235581
100130705 1.5353918 3.276504968 1.4167113 1.4174479 1.6627501 1.5019138
100130748 -0.4852000 1.424100292 2.0024510 -0.2986890 0.0660987 0.9729083
100130750 -1.1799596 -1.179959587 0.1504081 -1.1799596 -1.1799596 -1.1799596
100130855 1.6652589 1.817320838 1.0008962 0.9470091 1.5177474 1.6085863
100130958 0.6168287 2.215776345 -0.1729232 0.2444217 0.0660987 0.8035960
100131017 -1.1799596 -1.179959587 -1.1799596 -1.1799596 -1.1799596 -1.1799596
100131031 2.1816994 0.643779945 1.9198974 2.7568146 1.1749931 3.0846095
100131033 1.5353918 2.300293064 1.8323317 1.6053771 1.5177474 1.5019138
100131067 2.4211503 2.125998621 1.6394368 1.4174479 1.5177474 0.9729083
100131089 1.8944390 0.643779945 1.9198974 1.7716235 0.4325756 1.5019138
100131094 1.5353918 0.358569594 1.2909683 -1.1799596 0.9672859 0.1288280
100131138 2.7487081 2.030261185 2.2922401 3.2827420 3.5034363 3.4136857
100131187 1.6652589 2.661497670 1.2909683 0.9470091 1.5177474 1.8008369
100131193 0.3339576 1.424100292 1.2909683 2.3984911 1.3565253 1.3867197
100131211 3.4351835 1.927716173 2.6404358 2.8340334 3.3405128 3.1211071
100131213 1.0562845 4.423653342 -0.5903023 0.2444217 0.7245629 0.1288280
100131471 2.4928820 0.881806193 2.2250653 2.1792755 2.6308214 1.8881373
100131656 3.5739560 4.346252358 2.3564257 2.9770790 3.2515880 3.2253666
100131685 1.8944390 2.030261185 2.5334437 1.9206769 2.0266132 2.7536963
100131691 2.3456646 4.037063876 2.6910963 2.7568146 2.3169420 2.5545989
100131740 1.6652589 1.086066457 -0.1729232 1.2013194 0.9672859 -0.6022826
100131801 2.6888776 4.681734237 3.2596939 3.6673306 3.5034363 3.1567040
100131827 -1.1799596 0.643779945 1.0008962 -1.1799596 -1.1799596 0.6117382
100131828 0.6168287 0.002725047 -0.1729232 -1.1799596 -0.4263872 -0.6022826
100131940 -0.0182464 0.881806193 1.5323679 0.2444217 1.3565253 0.6117382
100132074 -1.1799596 1.264961280 -1.1799596 -1.1799596 -0.4263872 -1.1799596
100132086 -0.0182464 0.358569594 0.6374369 0.2444217 0.0660987 0.6117382
100132116 6.4961684 7.647814020 7.5805609 8.1961517 7.7508762 7.8561058
100132126 0.3339576 -0.470674271 -0.1729232 -0.2986890 1.1749931 0.1288280
100132215 1.5353918 2.724029946 1.2909683 0.2444217 0.0660987 0.8035960
100132537 1.2342579 2.215776345 2.0805352 2.3984911 1.5177474 0.9729083
100132609 1.7843950 0.002725047 1.8323317 0.6380690 1.1749931 1.1244211
100132659 -0.0182464 0.643779945 0.6374369 0.2444217 -0.4263872 0.1288280
100132891 -1.1799596 -1.179959587 0.8305822 -1.1799596 -1.1799596 0.3903949
100132972 0.8532250 0.002725047 0.8305822 -0.2986890 -1.1799596 -0.1909017
100133234 0.8532250 1.567416154 0.6374369 -0.2986890 0.9672859 0.9729083
100133286 0.3339576 0.002725047 0.8305822 -1.1799596 1.5177474 0.3903949
100133315 -1.1799596 1.424100292 1.4167113 -0.2986890 1.3565253 0.9729083
100134934 1.5353918 0.643779945 1.2909683 1.2013194 1.6627501 0.9729083
10014 6.4518584 6.327623244 6.4597172 6.5155417 5.9233966 6.0270388
100144603 2.5612155 1.424100292 2.7400380 1.7716235 3.0018634 1.8881373
100144748 1.3926676 6.424950601 3.8109154 0.2444217 1.1749931 1.6085863
10015 7.5630664 6.551040266 7.4487533 7.4085697 7.6695418 7.4616853
10016 5.4365526 5.330514136 5.4849917 5.3425930 5.6979516 5.1733787
100170229 1.2342579 0.358569594 1.1532103 0.9470091 0.7245629 0.1288280
100170841 4.0723986 7.387830756 3.5339814 4.3318194 4.3087352 4.3377074
10018 3.3982995 6.471257903 3.9629629 3.2827420 2.8884649 2.9692268
100188847 0.3339576 1.817320838 1.2909683 2.1792755 0.9672859 1.1244211
10019 4.6128461 5.883044322 3.8336424 4.0044741 4.3733850 4.4567223
100190938 1.6652589 1.086066457 -0.1729232 1.6053771 0.9672859 1.8881373
1002 1.0562845 0.881806193 0.8305822 1.7716235 1.9152199 0.1288280
10020 4.3677829 3.576783673 3.7405039 3.5803626 3.8140910 3.7295355
10021 8.2481902 6.891328224 8.8564335 8.7582737 8.1411365 9.1539911
10023 2.1816994 4.617299393 1.9198974 0.9470091 1.5177474 0.9729083
10024 -0.0182464 2.661497670 -1.1799596 3.2265719 3.2515880 1.9704550
10026 6.4563511 6.914975348 6.3692791 6.0164257 6.3555016 6.4018127
100268168 1.6652589 2.841507286 -1.1799596 0.2444217 -0.4263872 1.3867197
100270804 2.4211503 1.424100292 1.6394368 0.2444217 1.7945007 1.6085863
100270827 -0.4852000 0.002725047 -0.1729232 0.9470091 -1.1799596 -0.6022826
100270840 3.1982517 3.145557730 3.4773763 3.1681260 3.8140910 3.3536031
100270854 1.5353918 3.051152602 1.1532103 0.9470091 3.4242732 1.8881373
100270865 2.5612155 3.234162890 2.8776262 2.9770790 3.7177853 3.3225967
100271271 2.2660101 3.610277949 2.7400380 3.3368068 3.9043682 3.0087220
100271332 2.6264582 1.697772828 2.6404358 3.7886789 3.2515880 2.6070078
100271415 1.5353918 2.527662983 2.4178769 1.7716235 0.7245629 0.9729083
100271479 0.3339576 0.358569594 0.8305822 -0.2986890 -1.1799596 -1.1799596
100271884 -0.4852000 1.264961280 1.2909683 1.7716235 0.7245629 -0.1909017
100272147 2.9146128 2.783964045 2.0805352 2.0557626 2.4824010 2.7536963
100286844 1.9966809 2.125998621 1.5323679 1.2013194 -0.4263872 0.3903949
100287015 -0.0182464 0.002725047 -0.1729232 -1.1799596 -1.1799596 -0.1909017
100287049 0.6168287 1.424100292 1.0008962 0.6380690 0.4325756 0.1288280
100287074 2.3456646 1.927716173 2.4768172 2.4967541 2.3169420 1.9704550
100287616 3.3604477 2.527662983 3.0427771 3.3368068 2.2265055 2.6575794
100287722 2.4211503 1.817320838 2.3564257 0.9470091 0.9672859 1.6085863
100287808 -1.1799596 4.442371716 -1.1799596 0.9470091 -1.1799596 0.6117382
100287837 -0.0182464 1.086066457 0.1504081 -1.1799596 -1.1799596 0.1288280
100287896 3.5404941 0.002725047 3.4184593 2.9770790 2.0266132 2.6575794
100287902 -0.4852000 1.264961280 0.1504081 -1.1799596 -0.4263872 -1.1799596
100287928 3.0154834 4.681734237 3.4482186 2.4967541 2.5585190 3.1211071
100287932 5.5247555 5.171319514 5.3574892 5.8025495 5.9161816 4.9379379
100288001 2.4211503 0.881806193 1.7391057 0.2444217 2.6308214 2.5545989
100288073 7.3977209 2.527662983 4.1375061 4.3841083 4.1700362 3.9279879
100288123 1.3926676 0.358569594 1.5323679 1.7716235 0.9672859 -0.1909017
100288198 3.6699227 2.783964045 3.0032277 2.9073284 1.1749931 3.2909092
100288241 1.5353918 0.643779945 1.0008962 1.4174479 1.1749931 1.3867197
100288413 3.8445972 2.661497670 1.4167113 1.7716235 0.9672859 2.7536963
100288513 -1.1799596 0.358569594 -0.1729232 -0.2986890 1.1749931 0.1288280
100288842 1.8944390 1.086066457 2.0805352 1.7716235 1.1749931 1.1244211
100289061 0.3339576 2.841507286 0.6374369 1.6053771 0.7245629 1.2615233
100289095 1.3926676 2.300293064 -1.1799596 1.7716235 0.7245629 1.1244211
100289133 0.6168287 -0.470674271 0.1504081 0.6380690 1.1749931 0.9729083
100289178 1.8944390 3.001527621 3.7162485 3.5348302 2.7653869 3.5802370
100289211 0.8532250 0.881806193 1.0008962 1.6053771 0.0660987 0.3903949
100289259 -0.0182464 1.086066457 0.4143772 1.6053771 0.0660987 -0.1909017
100289274 4.6288555 4.346252358 2.1546094 2.5887490 2.8884649 2.7064382
100289341 1.0562845 4.221759888 1.5323679 0.2444217 2.0266132 1.5019138
100289373 -1.1799596 1.567416154 -0.1729232 -0.2986890 0.0660987 -0.1909017
100289388 2.6888776 1.697772828 2.2922401 2.2930430 3.1069944 1.1244211
100289414 -0.0182464 0.358569594 0.6374369 -1.1799596 0.4325756 0.8035960
100289635 5.1228247 2.896843124 5.6794476 5.3425930 5.1274638 5.2077239
100289640 1.3926676 2.380131390 0.4143772 1.9206769 2.3169420 3.1211071
100289678 2.4211503 1.817320838 2.9207199 2.8340334 2.4824010 1.8008369
100293516 3.5062377 1.264961280 3.8997512 3.4878138 4.2410518 3.4136857
100294362 1.5353918 1.567416154 1.5323679 2.0557626 0.9672859 2.1924967
1003 1.0562845 1.086066457 1.1532103 1.7716235 2.6996725 2.0483283
100302692 2.2660101 0.002725047 1.0008962 1.4174479 2.0266132 1.5019138
100302736 2.9659295 1.927716173 1.8323317 1.9206769 1.9152199 1.9704550
100303728 2.9146128 2.896843124 3.4482186 3.1681260 2.8282380 3.5537797
100303755 1.7843950 1.424100292 0.8305822 1.6053771 1.3565253 2.1222126
100312828 1.2342579 -1.179959587 0.6374369 -1.1799596 -1.1799596 0.6117382
100312850 -1.1799596 -1.179959587 0.4143772 -0.2986890 -1.1799596 0.1288280
10036 3.6066594 3.908338353 2.7873738 4.4345683 5.0238683 3.9279879
100379345 2.4211503 1.424100292 2.6404358 3.2827420 3.2515880 2.8868370
10038 5.3328637 3.853450135 4.6411845 5.4568626 5.3999267 5.1733787
100381270 0.3339576 -0.470674271 1.4167113 1.2013194 1.3565253 0.6117382
10039 5.6555412 5.418228272 5.5134229 5.7235795 5.9936291 5.7051476
1004 7.6420973 6.610179751 8.9115495 8.8436092 10.2335100 8.6341472
10040 4.1631405 3.542493258 3.8109154 2.3984911 3.3405128 3.3225967
100418710 2.1816994 2.030261185 2.2922401 0.2444217 1.3565253 0.8035960
100418735 3.2816279 3.507367934 2.6910963 2.5887490 3.0553863 2.0483283
100418744 0.3339576 0.881806193 1.0008962 1.4174479 0.0660987 0.8035960
100418770 2.2660101 -0.470674271 0.4143772 1.6053771 2.0266132 1.8008369
100418781 -0.4852000 0.643779945 0.4143772 0.6380690 0.4325756 1.1244211
100418819 1.7843950 0.002725047 1.4167113 0.9470091 1.9152199 1.3867197
100418829 1.8944390 -1.179959587 1.0008962 1.6053771 2.3169420 1.8008369
100418888 0.8532250 2.215776345 2.3564257 1.4174479 1.3565253 0.9729083
100418889 2.9146128 1.264961280 2.7400380 3.5803626 3.0553863 2.7064382
100418910 1.0562845 0.002725047 -0.1729232 1.4174479 1.9152199 0.3903949
100418919 1.8944390 2.455782208 2.5879313 2.3984911 2.4020422 2.5545989
100419028 0.6168287 0.643779945 0.4143772 1.4174479 -1.1799596 1.6085863
100419185 -0.4852000 -1.179959587 0.1504081 2.1792755 1.7945007 1.1244211
100419416 1.0562845 0.358569594 1.2909683 0.2444217 -1.1799596 0.9729083
100419515 -0.0182464 -1.179959587 -1.1799596 -0.2986890 0.0660987 0.1288280
100419645 0.3339576 -1.179959587 1.4167113 0.9470091 0.0660987 1.1244211
100419758 0.3339576 0.358569594 0.1504081 -1.1799596 0.0660987 -0.6022826
100419928 0.3339576 1.567416154 1.8323317 0.9470091 2.0266132 2.0483283
10042 4.8082725 3.796390786 5.1285218 4.8422253 4.9830183 5.3528969
100420028 0.3339576 2.030261185 0.6374369 1.4174479 1.1749931 0.1288280
100420050 0.6168287 0.881806193 0.4143772 0.2444217 0.0660987 -1.1799596
100420110 3.8169143 3.396549427 3.3253111 3.2265719 3.7506067 3.6568167
100420187 1.9966809 2.215776345 2.1546094 2.0557626 1.9152199 2.3235581
100420259 3.2405420 3.145557730 3.7162485 3.8269615 3.7177853 3.6062179
100420307 0.8532250 0.643779945 1.0008962 1.2013194 1.3565253 0.8035960
100420341 6.4473516 4.532485193 5.3653095 5.1139940 5.3790869 5.3907590
100420423 0.3339576 1.697772828 0.1504081 1.2013194 1.3565253 -0.1909017
100420591 1.5353918 0.881806193 0.8305822 -1.1799596 0.7245629 0.9729083
100420707 3.2816279 2.783964045 2.4768172 2.9770790 2.8884649 3.3225967
100420752 1.5353918 0.002725047 1.4167113 1.6053771 2.3169420 1.3867197
100420869 4.3291110 4.712903645 4.1735841 4.4833228 4.9409779 4.4423714
100420981 5.5751996 6.122391553 5.2685458 5.5166410 5.6724853 5.8856982
100421093 3.6386378 3.357633996 3.5884491 3.5803626 4.1700362 4.0274815
100421109 -0.0182464 1.264961280 0.4143772 0.9470091 0.0660987 0.6117382
100421160 0.3339576 -0.470674271 0.6374369 1.4174479 1.1749931 0.9729083
100421175 1.2342579 3.001527621 1.4167113 1.2013194 0.0660987 -0.1909017
100421246 2.6264582 0.643779945 1.4167113 2.4967541 1.1749931 2.2595152
100421311 2.1816994 1.817320838 2.4178769 2.6752278 2.0266132 2.1222126
100421372 1.2342579 1.697772828 1.4167113 1.9206769 1.1749931 0.1288280
100421400 1.5353918 1.264961280 2.3564257 2.5887490 2.7653869 1.6085863
100421415 0.6168287 -1.179959587 0.8305822 0.9470091 0.0660987 -0.6022826
100421429 0.3339576 0.643779945 0.6374369 0.2444217 0.0660987 -0.1909017
100421465 1.9966809 1.086066457 1.0008962 1.2013194 2.1300186 2.1924967
100421468 1.0562845 0.358569594 0.6374369 -0.2986890 1.9152199 1.6085863
100421506 -0.0182464 0.358569594 -0.1729232 -0.2986890 -1.1799596 -1.1799596
100421569 -0.4852000 1.086066457 -0.1729232 1.2013194 1.9152199 0.8035960
100421595 1.0562845 1.086066457 1.5323679 0.9470091 0.7245629 0.3903949
100421794 2.6888776 2.724029946 2.8776262 3.1681260 3.2049820 3.6062179
100422106 2.0921541 0.881806193 1.1532103 1.4174479 1.9152199 2.1222126
100422338 2.2660101 1.086066457 2.1546094 2.0557626 2.2265055 2.1222126
100422546 0.3339576 0.358569594 -0.1729232 -0.2986890 0.0660987 1.1244211
100422561 4.2276374 3.396549427 4.0235208 4.1921514 4.3521553 4.2415249
10043 5.8387620 4.816980530 6.1738428 5.8216346 5.6724853 5.6374697
10044 -1.1799596 3.001527621 -1.1799596 0.9470091 0.0660987 1.3867197
10045 2.0921541 1.086066457 -0.1729232 0.6380690 0.9672859 -1.1799596
10046 -0.0182464 2.030261185 -0.1729232 0.2444217 1.5177474 1.7079116
10048 6.6174689 6.736891506 6.5344516 6.3610541 6.4434482 6.4563937
10049 5.4365526 6.201439965 5.5343845 5.7734399 5.6465614 5.3681612
100499177 3.1097599 2.125998621 2.9625635 2.9770790 2.6996725 2.8868370
100499483 1.3926676 0.002725047 0.4143772 2.7568146 0.0660987 -0.1909017
1005 1.0562845 1.086066457 1.4167113 1.4174479 1.7945007 0.8035960
100500719 0.6168287 0.643779945 0.4143772 0.2444217 0.0660987 0.3903949
100505385 3.1982517 3.145557730 2.8332056 1.7716235 2.6308214 1.7079116
100505501 1.2342579 3.190540430 -0.1729232 1.9206769 2.0266132 -0.1909017
100505538 2.4928820 3.434442661 1.0008962 1.2013194 0.4325756 1.1244211
100505549 -0.0182464 -1.179959587 -1.1799596 -1.1799596 -1.1799596 -1.1799596
100505573 5.6477054 6.381963847 6.7911249 5.6824120 5.6201631 5.6311568
100505576 2.7487081 2.841507286 3.4482186 3.9360671 3.5414464 3.2585100
100505616 -0.4852000 0.002725047 0.6374369 0.2444217 0.9672859 -0.1909017
100505624 0.8532250 1.264961280 1.2909683 1.6053771 1.3565253 1.2615233
100505635 -1.1799596 -1.179959587 -1.1799596 -1.1799596 -1.1799596 -0.1909017
100505641 2.5612155 2.596131703 2.6404358 0.9470091 3.2515880 2.4436986
100505648 4.2690871 2.896843124 3.9421985 3.0436123 2.9462780 3.4136857
100505678 1.7843950 1.264961280 1.1532103 2.7568146 2.6996725 2.1222126
100505696 3.7886897 3.234162890 4.2931931 4.1921514 4.6242229 3.7057009
100505715 1.0562845 -0.470674271 1.2909683 1.2013194 1.9152199 0.6117382
100505738 1.6652589 1.567416154 1.4167113 0.9470091 1.1749931 0.6117382
100505741 1.5353918 2.380131390 1.0008962 0.2444217 0.7245629 0.6117382
100505758 3.5404941 2.841507286 3.1187647 3.5348302 3.4643977 3.1211071
100505761 2.5612155 3.276504968 2.8776262 2.9770790 3.4242732 2.2595152
100505771 2.7487081 3.145557730 3.0427771 3.4392134 3.0553863 2.6575794
100505783 -0.0182464 0.643779945 -0.5903023 -1.1799596 -1.1799596 -1.1799596
100505806 2.6264582 1.817320838 2.6404358 2.6752278 2.5585190 1.8881373
100505812 0.6168287 -1.179959587 0.1504081 -1.1799596 -1.1799596 -0.1909017
100505832 -0.4852000 1.697772828 -0.1729232 0.9470091 -0.4263872 0.6117382
100505854 -0.0182464 3.396549427 0.4143772 -1.1799596 0.9672859 0.9729083
100505876 5.5916299 5.215518171 6.2348758 5.2328166 5.7312222 5.6870026
100505894 2.2660101 0.643779945 1.7391057 2.2930430 2.1300186 1.7079116
100505933 0.3339576 0.643779945 1.6394368 -1.1799596 0.9672859 0.9729083
100505994 2.8614032 0.643779945 1.6394368 0.6380690 0.7245629 -0.1909017
100506020 2.0921541 0.358569594 1.7391057 0.6380690 0.4325756 -0.1909017
100506033 5.0414371 4.479095261 4.7164853 5.0984287 4.9409779 4.4709319
100506054 -1.1799596 0.358569594 0.4143772 1.4174479 -1.1799596 0.9729083
100506068 -1.1799596 1.817320838 0.4143772 -0.2986890 0.0660987 -1.1799596
100506070 1.6652589 0.881806193 1.6394368 2.3984911 0.0660987 0.8035960
100506083 1.6652589 1.086066457 1.1532103 1.2013194 1.1749931 0.6117382
100506100 -1.1799596 -1.179959587 0.4143772 -1.1799596 -1.1799596 -1.1799596
100506119 -0.4852000 0.002725047 0.4143772 1.2013194 -1.1799596 -0.1909017
100506127 2.4928820 3.610277949 1.6394368 3.2265719 2.2265055 2.1222126
100506142 -0.0182464 -0.470674271 -0.5903023 -1.1799596 0.0660987 -1.1799596
100506144 0.8532250 0.002725047 0.4143772 0.9470091 -1.1799596 0.8035960
100506161 1.3926676 0.358569594 0.1504081 0.2444217 0.7245629 1.8881373
100506211 1.8944390 0.643779945 3.2928755 3.3889186 1.7945007 2.6575794
100506235 2.0921541 2.596131703 2.6910963 1.7716235 1.1749931 1.6085863
100506258 0.8532250 2.125998621 1.6394368 1.6053771 1.3565253 0.1288280
100506282 2.0921541 1.086066457 2.6910963 2.6752278 2.6308214 2.4436986
100506286 0.8532250 4.109123768 0.4143772 0.9470091 -1.1799596 0.3903949
100506302 1.6652589 0.881806193 2.0805352 2.2930430 2.5585190 1.1244211
100506321 0.6168287 0.002725047 0.8305822 0.2444217 0.0660987 -1.1799596
100506325 1.0562845 0.002725047 0.4143772 0.9470091 1.1749931 1.3867197
100506343 0.3339576 2.215776345 1.0008962 1.4174479 -1.1799596 0.9729083
100506365 4.9034748 4.199925207 5.4486464 5.1293931 5.3579416 5.4777686
100506368 1.0562845 0.643779945 -0.1729232 0.2444217 0.0660987 -1.1799596
100506380 3.4711480 0.881806193 3.3253111 2.8340334 3.0553863 3.0471647
100506392 3.9755639 1.424100292 3.4482186 4.2496511 4.0165706 4.0274815
100506394 0.6168287 2.724029946 0.4143772 -0.2986890 0.0660987 0.3903949
100506411 1.3926676 2.380131390 1.1532103 1.4174479 1.1749931 1.6085863
100506433 2.8614032 1.086066457 3.1909494 2.9770790 2.1300186 0.6117382
100506462 0.3339576 1.567416154 0.4143772 0.2444217 0.7245629 -1.1799596
100506469 3.3215760 4.012221255 3.9211310 3.2827420 2.9462780 3.1211071
100506495 0.6168287 1.817320838 1.0008962 0.9470091 0.0660987 -0.1909017
100506504 2.7487081 1.424100292 2.5334437 2.1792755 2.4020422 1.6085863
100506540 1.2342579 1.086066457 1.0008962 2.0557626 1.6627501 1.3867197
100506581 3.1546842 1.927716173 2.9207199 2.8340334 2.8884649 2.4436986
100506606 -1.1799596 0.002725047 -0.5903023 0.2444217 0.7245629 0.1288280
100506658 1.8944390 3.610277949 0.8305822 1.4174479 1.9152199 1.1244211
100506668 3.0633916 3.471366026 2.8332056 3.2827420 2.8282380 2.8438077
100506686 0.8532250 -1.179959587 1.7391057 1.2013194 0.4325756 -0.1909017
100506691 -1.1799596 0.643779945 -1.1799596 -1.1799596 -0.4263872 -1.1799596
100506696 1.2342579 3.706333441 0.1504081 0.9470091 -0.4263872 0.3903949
100506697 -1.1799596 0.643779945 0.6374369 0.2444217 0.7245629 0.1288280
100506710 4.9551822 4.085501474 5.3417202 4.6633657 4.6242229 4.2079843
100506713 -0.0182464 -0.470674271 -1.1799596 -0.2986890 -0.4263872 0.1288280
100506725 3.3982995 2.950134676 4.2260638 3.5803626 4.0695605 3.2909092
100506731 1.7843950 4.085501474 0.1504081 1.9206769 0.7245629 1.1244211
100506757 0.6168287 1.817320838 1.0008962 0.9470091 1.5177474 0.3903949
100506779 -0.4852000 0.643779945 0.6374369 0.6380690 0.0660987 0.6117382
100506804 -0.4852000 1.086066457 -0.5903023 -1.1799596 0.0660987 -0.1909017
100506826 2.2660101 1.264961280 1.8323317 2.7568146 2.0266132 2.3235581
100506844 3.0154834 2.125998621 2.0805352 2.2930430 0.0660987 1.7079116
100506866 6.2901314 5.661308119 5.9529196 6.5096696 5.6465614 6.1645290
100506881 2.6888776 4.773292175 1.2909683 0.2444217 1.9152199 1.6085863
100506885 0.6168287 0.358569594 -0.1729232 -1.1799596 0.0660987 0.1288280
100506911 0.8532250 0.002725047 0.1504081 0.2444217 1.6627501 0.3903949
100506922 -1.1799596 2.300293064 -1.1799596 0.2444217 0.0660987 -1.1799596
100506930 3.4711480 1.567416154 3.9834326 3.9006075 2.6996725 3.5537797
100506994 -0.4852000 1.567416154 -0.5903023 -0.2986890 0.0660987 1.1244211
100507003 -1.1799596 -1.179959587 -1.1799596 -1.1799596 0.0660987 0.1288280
100507032 -1.1799596 0.002725047 -1.1799596 -1.1799596 -1.1799596 -1.1799596
100507034 3.0633916 4.385471860 2.9625635 3.5348302 3.7177853 3.0087220
100507050 -0.0182464 3.507367934 -0.1729232 0.6380690 -1.1799596 2.1924967
100507053 -1.1799596 -1.179959587 -1.1799596 0.2444217 -1.1799596 -1.1799596
100507057 -1.1799596 0.002725047 -1.1799596 0.9470091 -1.1799596 -1.1799596
100507062 -0.0182464 1.697772828 0.4143772 0.2444217 -0.4263872 0.3903949
100507071 0.6168287 0.358569594 -0.5903023 0.2444217 0.0660987 0.8035960
100507156 3.2816279 3.766991900 2.5334437 2.8340334 2.8884649 3.1914437
100507171 3.3982995 1.086066457 2.6404358 2.7568146 3.0553863 3.0471647
100507173 1.2342579 0.002725047 -0.1729232 0.2444217 -1.1799596 -0.1909017
100507178 1.3926676 1.264961280 1.0008962 0.2444217 0.4325756 0.9729083
100507244 1.0562845 0.881806193 1.0008962 1.2013194 1.3565253 1.9704550
100507246 3.3982995 3.001527621 3.4773763 4.0697838 3.6841998 3.8861863
100507250 0.3339576 0.643779945 1.0008962 0.6380690 0.0660987 0.3903949
100507254 0.8532250 -1.179959587 -0.1729232 0.9470091 0.0660987 0.3903949
100507266 0.3339576 0.358569594 -0.1729232 1.4174479 0.0660987 0.9729083
100507290 4.7063413 4.177754981 4.8782615 5.0013364 4.3087352 4.6564352
100507291 -0.4852000 1.086066457 0.1504081 -0.2986890 0.0660987 0.1288280
100507303 2.2660101 0.643779945 1.9198974 2.9770790 2.8282380 2.6575794
100507308 0.6168287 0.358569594 -0.1729232 2.2930430 0.7245629 0.8035960
100507316 -0.0182464 1.424100292 0.4143772 -1.1799596 -1.1799596 -0.6022826
100507331 1.9966809 2.661497670 2.6404358 1.6053771 2.3169420 0.6117382
100507347 2.3456646 2.841507286 1.5323679 1.6053771 2.6308214 2.0483283
100507373 1.7843950 2.724029946 2.2922401 2.7568146 2.5585190 1.9704550
100507392 -1.1799596 0.881806193 -1.1799596 -1.1799596 0.9672859 0.8035960
100507398 2.1816994 1.264961280 0.1504081 -1.1799596 1.1749931 0.3903949
100507401 0.3339576 0.881806193 0.1504081 0.6380690 0.0660987 0.1288280
100507420 -1.1799596 0.002725047 -1.1799596 -1.1799596 1.5177474 -1.1799596
100507433 1.7843950 3.051152602 2.9625635 1.7716235 2.4020422 1.6085863
100507436 -1.1799596 0.643779945 -0.1729232 -0.2986890 0.7245629 -0.1909017
100507437 1.5353918 1.264961280 1.0008962 0.9470091 1.1749931 0.9729083
100507459 1.6652589 3.051152602 1.0008962 1.4174479 -0.4263872 1.7079116
100507463 -1.1799596 1.264961280 0.1504081 0.2444217 0.0660987 0.9729083
100507487 2.3456646 0.358569594 2.8332056 2.1792755 1.5177474 0.9729083
100507495 4.3867369 3.471366026 4.1556579 4.3049466 3.4643977 3.7987642
100507516 -0.0182464 -1.179959587 -1.1799596 -1.1799596 -0.4263872 1.2615233
100507551 0.6168287 0.881806193 -0.1729232 -0.2986890 -1.1799596 -1.1799596
100507557 2.0921541 3.099127223 0.1504081 0.6380690 1.5177474 0.9729083
100507564 1.8944390 0.881806193 1.8323317 1.7716235 0.7245629 1.2615233
100507567 0.3339576 0.643779945 -1.1799596 -0.2986890 0.0660987 -1.1799596
100507588 1.6652589 -0.470674271 0.1504081 0.2444217 0.7245629 -0.6022826
100507599 0.6168287 1.086066457 -0.1729232 1.7716235 0.0660987 0.3903949
100507602 4.8222636 3.766991900 4.1556579 4.1625187 4.7101662 4.6058227
100508120 1.2342579 0.002725047 0.6374369 -1.1799596 1.3565253 -0.6022826
10051 5.1452592 5.956505331 5.4263913 6.2597412 6.4584266 6.0413927
10052 1.8944390 1.817320838 1.1532103 1.6053771 -0.4263872 1.9704550
100526737 1.8944390 1.817320838 1.9198974 2.2930430 2.6308214 1.7079116
100526760 2.0921541 1.086066457 0.8305822 1.2013194 1.5177474 1.9704550
100526820 1.0562845 1.817320838 -0.5903023 2.2930430 0.0660987 0.9729083
100526835 4.0956247 2.030261185 4.2260638 3.8642544 3.6498137 4.1561644
100527978 -1.1799596 -1.179959587 -0.1729232 -1.1799596 -1.1799596 -1.1799596
100529145 3.0154834 1.086066457 2.0805352 2.0557626 1.6627501 1.1244211
100529215 1.0562845 -0.470674271 -0.5903023 1.4174479 0.9672859 0.1288280
100532746 4.0723986 3.542493258 3.9421985 4.1625187 4.1455656 3.8861863
100533106 0.3339576 -0.470674271 0.8305822 -0.2986890 0.4325756 0.8035960
100533182 -0.4852000 1.567416154 -1.1799596 0.9470091 0.0660987 -0.1909017
100533619 -1.1799596 3.190540430 -0.1729232 0.9470091 0.0660987 0.1288280
100533629 -0.0182464 0.002725047 0.1504081 0.2444217 0.0660987 -1.1799596
100533695 0.3339576 -0.470674271 0.8305822 0.9470091 0.7245629 0.1288280
100533970 1.3926676 0.643779945 0.8305822 0.2444217 1.3565253 0.9729083
100534593 1.3926676 0.881806193 1.9198974 0.9470091 0.0660987 0.6117382
10054 6.0437287 5.247800636 5.7823332 5.7437309 6.6225686 5.7348912
10056 5.6864656 5.102374022 5.3257769 5.6074152 6.2155731 5.7697925
10057 7.5314786 7.681687512 8.2285210 7.7696049 7.3885714 7.3584641
10058 6.3921426 6.520535858 7.0114504 6.0491807 5.5094570 5.6120505
10059 6.3001635 6.075197040 6.8452522 7.1910013 7.4422990 7.0696073
1006 4.2064572 4.479095261 6.2934313 4.0374985 4.7912763 4.8207809
10060 4.6128461 3.935018723 5.0530601 4.8607960 4.9691405 4.8752161
100616256 -0.0182464 0.643779945 0.8305822 1.2013194 0.4325756 -0.1909017
10062 1.0562845 2.380131390 1.1532103 2.3984911 2.1300186 0.3903949
10063 4.2276374 4.385471860 4.1191230 4.5070958 4.2410518 4.3834962
100652739 1.7843950 0.643779945 1.0008962 0.6380690 0.7245629 1.6085863
100652758 1.5353918 4.404688908 -0.1729232 0.9470091 1.3565253 1.8881373
100652846 1.5353918 2.030261185 3.3880733 2.9073284 1.7945007 2.4436986
10066 7.1428933 5.553516769 6.8865945 6.7577325 6.9678381 7.0027188
10067 6.2698554 5.570633347 6.5028954 6.3804901 6.5775451 6.4599600
10068 3.0633916 3.317639687 3.4184593 2.8340334 2.4824010 3.2253666
10069 2.1816994 3.961214628 4.1556579 4.0044741 4.2865250 3.7987642
10072 4.1184829 5.226359454 4.8999597 5.1746282 5.1765992 4.9276718
10073 3.5739560 2.380131390 4.0816389 4.1921514 4.3087352 3.6814658
10075 8.7948119 8.415834329 8.7036580 8.8318912 8.6474280 8.7889074
10076 4.4779426 5.054509057 5.0722988 4.0697838 4.4149295 4.0840423
10077 1.2342579 0.002725047 1.0008962 -0.2986890 -1.1799596 0.3903949
100775107 0.6168287 0.002725047 1.1532103 1.9206769 0.7245629 1.1244211
10078 4.8769091 5.005001397 4.6918192 4.9327769 4.4149295 4.3377074
10079 5.4546299 5.289750078 5.1193022 4.4833228 4.6064023 5.1558945
1008 3.6066594 4.681734237 6.9135122 4.7456073 5.2241161 4.8644921
10081 5.2932313 6.362439625 5.0335613 4.9327769 5.1522406 4.5798347
10082 6.4200111 6.484865133 6.3962476 6.1279553 6.3121835 6.7811537
100820829 3.2816279 4.109123768 4.4187505 5.0506992 4.9551279 4.9683050
10084 5.0768811 3.961214628 4.7042050 4.9327769 5.5932728 4.7173017
100847074 1.8944390 2.724029946 1.6394368 2.1792755 2.3169420 2.5545989
10085 8.6296039 8.733357486 8.9301225 8.4441212 8.3576691 8.6830297
100852407 2.1816994 1.086066457 1.1532103 1.6053771 1.3565253 0.8035960
100861412 -0.4852000 -1.179959587 -0.1729232 -0.2986890 0.0660987 1.7079116
100861548 5.4635842 5.595933365 4.8891514 4.0374985 4.3521553 4.6058227
100862671 -0.4852000 -1.179959587 1.0008962 0.2444217 1.9152199 0.8035960
10087 6.6917470 6.849866116 6.7227634 6.1356012 6.3176700 6.6119522
100873257 4.1631405 4.940627686 4.5203083 4.3841083 4.4352616 4.6186433
100873333 1.9966809 3.396549427 2.7873738 2.1792755 2.4824010 2.4436986
100873790 3.3604477 3.986943348 3.4773763 3.7493527 3.5784807 3.7529828
100873949 -0.4852000 0.643779945 0.6374369 -1.1799596 0.0660987 1.5019138
100873952 0.6168287 -1.179959587 0.1504081 0.2444217 -0.4263872 0.1288280
100873965 1.5353918 0.643779945 1.2909683 1.4174479 1.5177474 1.5019138
100874006 1.6652589 0.643779945 1.2909683 0.6380690 1.5177474 1.5019138
100874008 0.6168287 2.724029946 2.0805352 1.2013194 0.4325756 1.8881373
100874014 2.1816994 -1.179959587 3.1187647 1.7716235 1.9152199 2.9286200
100874058 1.0562845 0.002725047 1.9198974 1.9206769 0.4325756 0.8035960
100874080 -0.0182464 1.086066457 0.8305822 0.9470091 0.4325756 0.9729083
100874097 1.0562845 1.567416154 1.2909683 1.7716235 2.1300186 1.6085863
100874201 -0.0182464 -0.470674271 -0.1729232 0.2444217 -0.4263872 -0.6022826
100874212 -0.0182464 1.264961280 1.5323679 -1.1799596 -0.4263872 -0.6022826
100874217 -1.1799596 0.002725047 0.1504081 0.6380690 0.4325756 1.6085863
100874235 0.8532250 1.264961280 1.4167113 1.2013194 0.4325756 1.2615233
100874261 1.3926676 0.002725047 0.4143772 0.2444217 1.5177474 -0.1909017
100874291 -1.1799596 -1.179959587 0.1504081 0.9470091 0.7245629 0.8035960
100874362 1.2342579 3.706333441 1.5323679 1.2013194 1.3565253 0.6117382
100874523 1.2342579 0.881806193 2.3564257 1.9206769 2.2265055 1.3867197
100885775 3.6699227 4.177754981 3.7405039 4.2775637 3.9615599 4.5928872
100885776 1.2342579 0.002725047 0.8305822 1.2013194 0.7245629 0.6117382
100885848 5.0533488 5.612556871 5.3730877 5.6719339 5.4507462 5.5730618
1009 9.0955441 7.707064535 8.8674887 9.5500567 9.6400797 9.5454393
10090 3.8984188 4.859384688 3.7878246 3.4392134 3.6841998 3.8648224
10092 7.2961176 5.848374954 7.0795857 7.5468798 7.9617928 7.4723190
10093 6.7031332 6.901510204 6.9710206 7.3274412 7.7407014 7.2431510
10094 3.1982517 3.434442661 3.7162485 3.6673306 3.7826980 3.8861863
10095 5.4724834 5.279376516 5.5888372 5.5740406 6.1183269 5.5664600
10097 7.9062432 8.469291893 7.9901377 8.3052605 9.0734639 8.3275331
10098 6.1193356 5.685079572 6.0819147 6.3545169 7.0978813 6.3295737
10099 7.9467203 8.287132960 7.9438844 7.9077365 7.9722666 7.9196459
100996246 1.6652589 1.927716173 1.6394368 2.7568146 3.0553863 2.0483283
100996251 1.3926676 0.881806193 1.0008962 1.4174479 1.1749931 1.6085863
100996307 2.3456646 -1.179959587 2.3564257 3.1681260 0.9672859 2.1222126
100996384 0.6168287 3.434442661 2.3564257 1.6053771 0.7245629 1.5019138
100996419 0.6168287 1.927716173 0.1504081 0.6380690 -0.4263872 0.8035960
100996485 1.8944390 1.927716173 2.5334437 1.6053771 2.1300186 1.7079116
100996539 1.3926676 1.697772828 0.4143772 0.2444217 -0.4263872 0.6117382
100996579 -0.0182464 0.002725047 0.8305822 -1.1799596 -1.1799596 0.8035960
100996696 3.1097599 3.357633996 3.6149307 3.3889186 2.7653869 3.0846095
100996842 2.1816994 1.424100292 2.5334437 1.4174479 2.4020422 2.3235581
100996851 0.6168287 -1.179959587 -1.1799596 -1.1799596 0.4325756 0.3903949
100996939 0.6168287 0.002725047 1.2909683 -0.2986890 1.5177474 0.1288280
101 1.6652589 2.455782208 2.2922401 0.9470091 0.7245629 0.6117382
1010 1.0562845 1.086066457 1.2909683 1.7716235 1.6627501 -0.1909017
10100 4.2276374 4.940627686 4.0625252 4.8972353 4.5328337 5.3061105
10101 5.0294262 5.769036410 5.0722988 5.0179790 4.7267571 4.6810908
10102 4.9678245 3.986943348 4.8672888 5.2749676 5.2005533 4.8428021
10103 0.6168287 0.881806193 0.8305822 0.9470091 -1.1799596 -0.1909017
10105 6.4697460 7.169285867 6.6284320 7.1983212 7.3273360 7.2472846
10106 7.5357305 7.169285867 6.5822069 6.6709469 6.7169358 6.5762506
101060200 3.2816279 3.706333441 2.7873738 3.1072120 1.7945007 2.2595152
101060691 2.1816994 0.643779945 2.1546094 1.9206769 2.2265055 2.2595152
10109 8.0349702 8.204562282 8.7197607 8.4579096 8.9534839 8.4017274
10112 1.0562845 4.802564246 -0.1729232 4.8234124 4.7431594 4.4423714
10113 6.9588297 4.953734271 6.2769423 6.4310746 6.4879248 6.3059889
10114 7.9814242 8.535079245 7.7074934 7.5237586 7.5627021 7.8260210
101154753 1.2342579 1.697772828 0.6374369 0.2444217 -0.4263872 0.3903949
10116 8.1927264 6.342647550 7.6055366 7.5237586 7.4015463 7.7004940
10117 1.0562845 1.817320838 -0.1729232 -0.2986890 0.7245629 0.8035960
1012 8.0153130 8.092003254 8.0843545 8.0820734 8.1687206 8.2327328
10121 5.9765054 6.362439625 6.3924257 6.3213786 6.3340051 6.3334673
10123 6.7551123 5.612556871 7.1286553 6.2026504 6.6875740 6.4055164
H2O_24_C6 BPA_24_C6 PFOA_24_C6 EtOH_24_C6 TUN_2_C7 THA_2_C7
100 3.06694083 2.2770090 2.0817977 2.3434642 2.73337063 1.39902245
1000 10.92754628 11.1572741 10.7916793 10.9456254 10.47897504 10.26265693
10000 5.96667761 6.0663304 5.5700539 6.0146470 6.50919777 6.79159986
10001 4.10438627 4.6247341 4.4201309 4.2793241 4.82050526 4.92410066
10003 4.05929926 3.5782432 4.5900915 3.9898183 4.80776921 4.48542733
100037417 -1.17995959 -1.1799596 -1.1799596 -1.1799596 -1.17995959 -1.17995959
100049716 2.47439414 2.4158140 3.0826071 1.8199080 2.83729176 2.49992031
10005 3.50829744 3.7716146 4.1018759 3.7740903 4.07316569 3.85199878
10006 6.54824220 6.5384428 6.4792679 6.4637460 6.28403434 6.53826114
10007 4.78706432 4.6103507 4.4350845 4.5341375 4.70161859 4.65219037
10009 5.36431850 5.2713182 5.2699391 5.2628343 5.94914808 5.79733617
100093630 6.36893917 6.8513758 6.7423151 6.4958468 6.01156862 5.76856876
1001 7.04874002 6.4031421 7.0128550 6.6778707 7.52722335 7.65758229
10010 5.01667917 5.1472854 5.2947455 5.4346005 6.15422414 6.45042757
100101267 2.60563119 2.7665225 2.6924094 2.9491807 2.14239352 2.69599180
100101467 4.64170555 3.6361866 4.1018759 4.4198050 3.30430731 4.23509350
10011 6.08387498 5.7229076 6.0974833 6.3590487 5.63268574 5.70925369
100113386 1.54158658 -0.1033826 0.4153200 1.1418474 -0.09224673 -1.17995959
100113397 0.19788495 0.7355864 1.5335624 1.1418474 0.52080707 1.06230284
100113407 3.96466433 3.8714891 4.1204967 3.6778753 4.47871477 5.08441707
100125288 2.76388511 2.6017989 2.9638932 2.7267898 1.87573827 1.67183427
100127983 2.33001329 2.4158140 1.7403289 2.0678325 2.67846107 2.27294665
100128006 2.94003397 2.2022543 2.9220472 3.2793276 2.36736670 2.27294665
100128016 0.19788495 1.1073921 -0.5898293 0.9898477 1.27985841 -0.01401881
100128025 -0.33244444 -0.1033826 -0.1722149 0.1418777 -0.09224673 0.33892411
100128054 2.11184866 1.1073921 1.7403289 1.6272656 2.83729176 2.27294665
100128071 0.58480994 -0.5434968 1.0019949 0.4049020 0.24660170 -1.17995959
100128191 0.19788495 0.7355864 0.8316420 -0.5950475 1.97020656 2.27294665
100128252 2.27848645 2.4158140 2.0037052 3.1052990 3.02505817 3.36775596
100128379 -0.33244444 0.7355864 0.6384466 0.4049020 0.24660170 1.06230284
100128398 4.89364902 4.4090133 4.7659739 4.5478124 4.21496411 4.19241214
100128494 3.12643954 2.8175003 3.1566481 2.9898225 3.93944012 3.82431129
100128569 1.92341901 2.0400138 2.5347458 1.9898309 1.77464802 1.24046406
100128640 -1.17995959 -1.1799596 -1.1799596 0.4049020 -1.17995959 -1.17995959
100128682 -1.17995959 -1.1799596 0.4153200 -1.1799596 -1.17995959 -1.17995959
100128731 6.09135976 6.5979740 6.3070772 6.3395261 6.16923789 6.25169421
100128766 2.90648288 3.3199508 2.9220472 2.8642924 2.88657364 2.63354930
100128782 1.35519612 1.4027452 2.3577137 1.4048768 1.66593700 2.35263868
100128822 -1.17995959 -1.1799596 -1.1799596 -1.1799596 -1.17995959 -1.17995959
100128833 2.05173237 2.3480802 2.4191700 2.2793344 2.14239352 2.49992031
100128881 2.47439414 2.4158140 2.0817977 2.6778805 1.87573827 2.49992031
100128893 4.96056788 4.7215925 5.0544508 4.7740878 5.85324356 5.90699124
100129001 1.14110123 1.4027452 1.4178878 0.6272872 1.66593700 0.33892411
100129013 1.35519612 1.4027452 1.1543402 1.9898309 1.12419776 1.24046406
100129029 1.14110123 0.5062282 0.1512572 -0.5950475 -0.53593338 1.39902245
100129060 3.36743921 2.9604423 3.4495711 3.4346051 2.83729176 2.92180251
100129075 1.92341901 1.5304625 2.4781149 1.5203521 2.22134737 1.79105447
100129195 2.97282251 2.4158140 3.0045596 2.9491807 2.22134737 2.69599180
100129203 0.40428022 0.5062282 0.8316420 0.6272872 -0.09224673 -1.17995959
100129250 2.27848645 1.9514955 2.2263418 1.2793482 1.77464802 2.27294665
100129259 1.98900174 1.1073921 0.8316420 1.1418474 1.77464802 1.39902245
100129361 5.78012520 5.8135901 5.7542248 5.8255148 6.24204879 6.16052643
100129398 1.14110123 0.7355864 1.5335624 1.2793482 1.42034760 -0.48227700
100129434 -1.17995959 -1.1799596 0.4153200 -0.5950475 -0.09224673 -1.17995959
100129461 1.14110123 2.0400138 2.0037052 2.0678325 0.94968773 0.62227074
100129484 1.70662807 1.1073921 1.8335665 0.8199269 1.77464802 2.49992031
100129550 4.75914065 3.7189589 4.8125245 4.7740878 3.93944012 4.27654835
100129583 -0.33244444 0.7355864 0.4153200 0.8199269 0.52080707 -1.17995959
100129662 -0.33244444 -0.1033826 -1.1799596 0.4049020 0.94968773 1.79105447
100129707 0.88960378 0.9334338 0.4153200 0.9898477 0.24660170 1.06230284
100129716 0.40428022 -0.1033826 1.0019949 0.8199269 1.87573827 1.67183427
100129726 0.88960378 -0.1033826 -1.1799596 -0.1800353 0.94968773 0.62227074
100129774 3.59509981 4.0737415 4.2101577 4.2122101 3.68468257 3.82431129
100129781 1.35519612 0.7355864 0.4153200 1.4048768 1.87573827 1.90117022
100129792 0.19788495 -1.1799596 -0.1722149 0.1418777 0.75112613 1.54186732
100129794 2.42785438 2.1234135 2.5892374 1.4048768 2.67846107 2.56828142
100129842 -1.17995959 -0.5434968 -0.5898293 1.2793482 -0.09224673 1.24046406
100129917 1.78256941 2.1234135 2.4191700 2.4048642 2.73337063 3.28891775
100129924 1.92341901 2.7136771 2.7886932 2.2793344 1.77464802 1.24046406
100129940 0.88960378 0.9334338 2.3577137 0.9898477 0.52080707 -0.01401881
100129995 -1.17995959 -1.1799596 -1.1799596 0.4049020 0.52080707 -0.01401881
10013 5.91277785 5.5972572 5.7422511 5.5680833 5.75714672 5.41656122
100130111 1.45139938 0.5062282 1.1543402 0.8199269 0.24660170 -0.01401881
100130197 0.19788495 -0.1033826 -0.1722149 -0.5950475 1.42034760 0.33892411
100130335 2.51947938 3.2097774 2.5892374 2.6778805 2.49995589 3.02270323
100130348 3.71623306 3.3889868 3.4198107 3.6012543 3.59857256 3.16194223
100130357 -0.69484244 -0.1033826 -1.1799596 0.4049020 -0.53593338 1.06230284
100130466 2.42785438 3.0904896 2.8789511 2.9898225 3.19117722 3.24782189
100130476 -0.33244444 -1.1799596 -0.1722149 -1.1799596 -1.17995959 -1.17995959
100130522 0.58480994 1.1073921 0.6384466 0.6272872 0.75112613 0.62227074
100130550 0.40428022 0.2333850 -1.1799596 1.2793482 1.12419776 1.24046406
100130564 3.21132531 2.9604423 3.1922908 3.1052990 3.73936027 3.28891775
100130581 2.51947938 0.2333850 1.2921237 1.7267998 0.94968773 1.24046406
100130691 2.37976310 2.2770090 1.7403289 1.5203521 1.54836182 1.79105447
100130705 1.14110123 0.5062282 1.6406467 1.4048768 1.12419776 1.90117022
100130748 0.40428022 -0.5434968 0.4153200 -1.1799596 1.42034760 2.00347397
100130750 -1.17995959 -1.1799596 -1.1799596 -1.1799596 -1.17995959 -1.17995959
100130855 0.58480994 1.2626137 1.8335665 1.1418474 1.97020656 1.79105447
100130958 -0.69484244 -1.1799596 -0.1722149 -1.1799596 1.54836182 1.06230284
100131017 -1.17995959 -1.1799596 -1.1799596 -1.1799596 -1.17995959 -1.17995959
100131031 2.11184866 1.6477871 2.2263418 2.5203404 3.22988135 3.16194223
100131033 1.85471241 2.2022543 2.2263418 2.4048642 1.66593700 1.90117022
100131067 2.33001329 1.2626137 1.4178878 1.9898309 1.66593700 1.06230284
100131089 1.35519612 0.5062282 1.2921237 0.8199269 1.27985841 1.06230284
100131094 0.74524105 0.7355864 0.6384466 1.5203521 0.24660170 0.85899877
100131138 2.90648288 2.8667381 2.8789511 2.3434642 4.34406433 4.14842948
100131187 1.35519612 1.6477871 2.3577137 0.1418777 -1.17995959 -1.17995959
100131193 2.05173237 1.4027452 1.8335665 1.6272656 2.56194432 3.07062500
100131211 3.15529332 2.8667381 3.4787300 3.4346051 4.25304360 4.00781423
100131213 -0.04304733 -0.1033826 1.2921237 0.8199269 0.75112613 0.33892411
100131471 2.42785438 1.6477871 2.8789511 2.5203404 2.29620363 1.79105447
100131656 2.97282251 2.9604423 2.8345279 3.0293506 3.84286592 3.70792054
100131685 1.98900174 2.8667381 3.0045596 2.7267898 3.11050735 2.75584343
100131691 2.72591914 2.2770090 2.7413544 2.9491807 2.62137866 2.35263868
100131740 0.74524105 0.2333850 0.6384466 0.4049020 -0.53593338 0.85899877
100131801 3.55235135 3.4867162 3.7891891 2.8198985 3.73936027 3.24782189
100131827 -0.33244444 0.5062282 0.6384466 1.1418474 -1.17995959 -0.01401881
100131828 -0.33244444 -1.1799596 -1.1799596 -0.5950475 -0.53593338 -1.17995959
100131940 0.74524105 -0.1033826 0.1512572 0.6272872 1.27985841 1.06230284
100132074 -1.17995959 -0.5434968 -1.1799596 -1.1799596 -0.09224673 -0.48227700
100132086 1.14110123 1.4027452 0.8316420 0.9898477 0.24660170 -0.48227700
100132116 8.07681725 7.8003297 8.0534204 8.1202419 8.28365314 7.86883463
100132126 -0.04304733 0.7355864 -1.1799596 0.4049020 0.94968773 0.62227074
100132215 1.02082586 1.1073921 1.1543402 0.9898477 1.12419776 -0.48227700
100132537 2.60563119 2.2022543 1.9211425 1.9073697 1.42034760 2.18859386
100132609 1.45139938 1.4027452 -0.5898293 -1.1799596 -0.09224673 0.62227074
100132659 -0.04304733 -0.5434968 0.4153200 0.1418777 0.24660170 -0.48227700
100132891 -1.17995959 0.5062282 -0.1722149 -0.1800353 -1.17995959 -1.17995959
100132972 0.19788495 -1.1799596 1.6406467 0.8199269 0.52080707 1.06230284
100133234 0.74524105 0.7355864 0.6384466 0.8199269 -0.09224673 0.62227074
100133286 -0.04304733 0.7355864 -0.1722149 0.8199269 -0.09224673 -1.17995959
100133315 1.35519612 1.5304625 0.6384466 0.8199269 -0.09224673 1.24046406
100134934 0.88960378 2.0400138 1.8335665 1.9073697 1.54836182 2.00347397
10014 6.11358390 5.8568798 6.2741918 6.1992683 6.34700932 6.37131977
100144603 2.60563119 2.4158140 2.4191700 2.7740951 2.67846107 2.00347397
100144748 1.25211648 0.5062282 1.1543402 1.5203521 2.67846107 2.09900110
10015 7.55569894 7.4406095 7.7042782 7.6464379 7.61938834 7.46258406
10016 5.26853002 5.6890881 5.7778781 5.5747780 5.80919361 5.75396705
100170229 0.74524105 1.1073921 1.1543402 0.6272872 0.75112613 -0.01401881
100170841 4.27183997 4.0094238 4.3587164 3.5203346 3.47512992 4.39421178
10018 1.98900174 2.0400138 2.6417455 3.1052990 3.76594115 4.80165890
100188847 1.35519612 -0.5434968 1.8335665 1.7267998 2.29620363 0.33892411
10019 4.14810681 4.1353138 4.2945709 4.4048547 4.25304360 4.87096062
100190938 2.27848645 2.0400138 2.2263418 2.6778805 3.02505817 2.35263868
1002 0.74524105 -0.5434968 1.5335624 1.1418474 1.54836182 1.24046406
10020 2.72591914 3.7716146 3.4787300 3.2793276 4.05172125 4.14842948
10021 8.86417087 8.4749503 8.6620201 8.6384714 7.60657695 8.01377171
10023 -1.17995959 0.5062282 0.4153200 0.9898477 1.77464802 1.39902245
10024 2.68692699 2.6017989 1.6406467 2.6272548 3.34012831 3.70792054
10026 6.25025118 6.4563836 6.2405393 6.3157449 6.31586541 5.88034889
100268168 0.40428022 0.5062282 1.1543402 0.8199269 -0.53593338 0.62227074
100270804 1.62646609 0.9334338 1.4178878 1.9898309 1.77464802 1.90117022
100270827 0.88960378 -0.1033826 -1.1799596 0.4049020 -0.53593338 -0.01401881
100270840 3.03624526 3.8224159 3.6422946 3.4637513 2.43518394 3.36775596
100270854 2.42785438 2.2770090 1.7403289 2.5203404 2.05886735 0.85899877
100270865 3.34256535 3.4223043 3.3894234 3.1418247 3.37508140 3.28891775
100271271 3.18358132 3.5178748 2.8345279 3.7740903 2.98035756 3.24782189
100271332 3.06694083 3.4867162 2.5892374 3.2122137 2.29620363 2.86857617
100271415 1.35519612 1.1073921 1.8335665 0.4049020 1.54836182 2.42815814
100271479 -1.17995959 -1.1799596 0.1512572 -0.1800353 -1.17995959 -1.17995959
100271884 0.58480994 0.9334338 1.0019949 -0.1800353 0.94968773 0.62227074
100272147 1.92341901 2.4805099 2.8789511 2.6778805 2.73337063 2.69599180
100286844 1.70662807 1.2626137 1.7403289 1.2793482 -0.09224673 1.06230284
100287015 -0.69484244 0.5062282 1.0019949 0.8199269 1.54836182 0.33892411
100287049 1.02082586 -0.1033826 1.2921237 1.1418474 -0.09224673 1.06230284
100287074 2.37976310 2.2022543 2.2935226 2.5747878 2.93422753 2.09900110
100287616 3.36743921 2.2770090 3.0441111 1.9898309 3.71228044 3.51357739
100287722 1.92341901 1.5304625 2.0817977 1.1418474 1.27985841 2.35263868
100287808 -0.33244444 0.2333850 -0.5898293 -1.1799596 -0.09224673 0.33892411
100287837 -0.33244444 -1.1799596 0.1512572 0.6272872 1.27985841 0.85899877
100287896 3.21132531 2.5424287 2.1558792 1.9898309 3.22988135 2.86857617
100287902 -1.17995959 -0.1033826 0.1512572 -0.1800353 -0.09224673 -0.01401881
100287928 3.21132531 2.7665225 3.5353371 3.2122137 2.43518394 2.42815814
100287932 5.59243508 5.5825958 5.6555315 5.3276854 5.65418925 5.87361072
100288001 2.11184866 2.2770090 2.5892374 1.9898309 2.14239352 1.54186732
100288073 4.17653470 4.3582705 4.1204967 3.9284179 4.02995324 5.42580290
100288123 1.25211648 0.7355864 0.8316420 1.1418474 0.52080707 0.62227074
100288198 1.85471241 2.5424287 3.0441111 2.6778805 2.88657364 3.20552099
100288241 0.58480994 1.5304625 -0.1722149 0.8199269 0.94968773 2.00347397
100288413 2.11184866 2.1234135 2.0037052 2.2793344 2.29620363 1.67183427
100288513 0.19788495 0.9334338 -0.1722149 -0.1800353 0.52080707 -0.01401881
100288842 0.58480994 2.1234135 -0.5898293 1.4048768 0.94968773 1.90117022
100289061 1.62646609 0.9334338 1.7403289 1.2793482 1.42034760 1.39902245
100289095 0.19788495 2.1234135 1.0019949 1.4048768 1.54836182 1.06230284
100289133 0.88960378 0.7355864 0.6384466 0.4049020 2.05886735 1.54186732
100289178 3.55235135 2.6017989 3.4787300 3.3434576 2.56194432 2.09900110
100289211 1.62646609 0.9334338 1.1543402 1.2793482 0.52080707 -0.01401881
100289259 0.74524105 0.5062282 -1.1799596 0.8199269 -1.17995959 -0.01401881
100289274 2.87213291 2.5424287 2.9220472 2.5747878 3.73936027 4.98788617
100289341 1.02082586 1.5304625 1.2921237 0.4049020 1.54836182 2.09900110
100289373 -1.17995959 -1.1799596 -1.1799596 -1.1799596 -0.09224673 -1.17995959
100289388 2.56319827 2.8175003 2.2263418 2.1418323 2.05886735 1.54186732
100289414 0.58480994 0.5062282 1.1543402 0.4049020 0.24660170 1.06230284
100289635 5.47145351 5.3074319 5.1114147 5.1862131 5.45622601 5.60734158
100289640 2.16955981 1.7562840 1.8335665 2.4637574 2.78626670 2.49992031
100289678 3.18358132 2.4805099 3.0441111 3.4637513 2.67846107 3.44250827
100293516 4.46859330 3.4548697 4.2274401 4.0678206 4.36159911 5.10757330
100294362 2.51947938 2.5424287 1.2921237 2.1418323 1.97020656 1.90117022
1003 1.70662807 2.6588223 2.0037052 2.7267898 -0.09224673 -1.17995959
100302692 1.92341901 2.2022543 2.0817977 1.4048768 2.05886735 2.00347397
100302736 2.11184866 1.1073921 1.5335624 1.4048768 2.36736670 2.86857617
100303728 2.97282251 3.2474444 3.2270741 2.8198985 3.56868792 3.28891775
100303755 1.70662807 1.4027452 1.4178878 1.4048768 1.87573827 1.06230284
100312828 0.19788495 -0.1033826 0.6384466 -0.1800353 0.94968773 0.62227074
100312850 0.58480994 -1.1799596 -1.1799596 -0.1800353 -0.09224673 -0.01401881
10036 4.33625561 4.7870004 4.2945709 4.2461573 5.26448676 4.81578812
100379345 3.00488238 3.3548817 2.9220472 2.7267898 3.40920765 3.11700600
10038 5.35190824 5.3163208 5.6362506 5.2035952 5.61085687 5.79019792
100381270 0.74524105 1.9514955 0.6384466 1.5203521 0.75112613 1.79105447
10039 5.76147956 5.7229076 6.0202583 6.0487088 6.18901624 5.97781795
1004 9.26459269 10.3656185 8.9433455 9.4295296 6.11340638 5.67865585
10040 3.61600823 3.7972389 3.3583823 3.6012543 4.07316569 4.31684522
100418710 1.02082586 2.2770090 0.1512572 1.1418474 1.27985841 2.49992031
100418735 3.03624526 3.4223043 3.3583823 3.4923203 3.65654646 3.76728934
100418744 2.05173237 0.7355864 1.7403289 0.9898477 -0.09224673 1.54186732
100418770 1.02082586 1.6477871 1.5335624 1.4048768 2.98035756 2.35263868
100418781 0.40428022 -0.5434968 0.6384466 0.6272872 2.14239352 1.24046406
100418819 1.14110123 0.9334338 1.0019949 1.4048768 1.12419776 1.67183427
100418829 1.14110123 2.5424287 1.8335665 0.8199269 3.15140605 2.75584343
100418888 0.58480994 1.2626137 1.1543402 1.7267998 1.66593700 1.90117022
100418889 2.90648288 2.9143508 2.5892374 2.1418323 3.06841530 2.35263868
100418910 1.54158658 1.5304625 1.1543402 1.2793482 0.75112613 0.85899877
100418919 1.45139938 2.2770090 1.5335624 2.5747878 1.97020656 2.27294665
100419028 1.14110123 0.5062282 1.6406467 1.2793482 0.94968773 1.90117022
100419185 0.74524105 -0.1033826 -0.1722149 -0.5950475 -0.09224673 0.33892411
100419416 -0.04304733 1.4027452 0.1512572 0.6272872 0.94968773 1.06230284
100419515 0.88960378 0.7355864 -0.1722149 0.4049020 0.52080707 1.39902245
100419645 1.45139938 0.2333850 -0.5898293 0.4049020 -0.09224673 -1.17995959
100419758 0.40428022 0.5062282 0.1512572 -0.5950475 -0.53593338 -1.17995959
100419928 1.70662807 -0.5434968 1.8335665 2.1418323 1.77464802 2.35263868
10042 4.97682360 5.1170820 5.1572245 5.2122083 5.74383623 5.66311009
100420028 0.19788495 1.2626137 1.1543402 0.6272872 -1.17995959 -0.01401881
100420050 0.19788495 0.7355864 0.6384466 0.1418777 -0.53593338 0.62227074
100420110 3.29149286 3.4867162 3.1201025 3.1774485 3.68468257 3.44250827
100420187 1.98900174 1.7562840 1.4178878 0.8199269 2.62137866 1.24046406
100420259 3.71623306 4.0094238 3.2942215 3.8642878 3.89196096 3.70792054
100420307 1.98900174 1.2626137 0.1512572 1.5203521 1.42034760 0.85899877
100420341 5.19400874 5.2058589 5.3431143 5.3197366 5.31035534 5.30078110
100420423 0.58480994 0.5062282 0.8316420 0.4049020 1.42034760 -0.01401881
100420591 0.40428022 1.2626137 0.1512572 0.4049020 -0.53593338 2.27294665
100420707 3.06694083 3.0051066 2.5347458 2.5203404 3.44254528 3.24782189
100420752 1.54158658 2.3480802 1.2921237 2.2122209 2.43518394 2.00347397
100420869 4.48004315 4.2324319 4.5076126 4.6400707 4.05172125 4.12592488
100420981 5.33309037 5.7946322 5.6035319 5.2874963 5.52786725 5.42580290
100421093 3.91491237 3.8224159 3.7657220 4.0487118 4.17585220 4.33657928
100421109 0.74524105 0.7355864 0.1512572 0.1418777 0.24660170 0.85899877
100421160 0.74524105 0.5062282 0.8316420 0.9898477 1.66593700 0.85899877
100421175 1.14110123 -0.1033826 0.1512572 0.1418777 1.87573827 1.79105447
100421246 1.14110123 1.2626137 1.2921237 2.0678325 1.12419776 2.18859386
100421311 2.68692699 3.1313579 2.0037052 2.4637574 2.78626670 1.39902245
100421372 1.14110123 1.4027452 2.0817977 1.4048768 1.97020656 2.27294665
100421400 2.42785438 2.8667381 1.8335665 1.9898309 1.27985841 2.09900110
100421415 0.58480994 -1.1799596 0.4153200 -1.1799596 -0.53593338 1.39902245
100421429 0.19788495 0.2333850 0.1512572 0.1418777 0.52080707 -0.01401881
100421465 1.54158658 2.4158140 2.0037052 1.1418474 1.77464802 2.56828142
100421468 0.88960378 0.7355864 1.4178878 1.6272656 1.27985841 1.24046406
100421506 -0.33244444 -1.1799596 -1.1799596 -1.1799596 -0.09224673 -1.17995959
100421569 0.74524105 -0.5434968 0.4153200 -1.1799596 0.52080707 0.62227074
100421595 1.85471241 0.7355864 1.9211425 1.7267998 0.94968773 2.09900110
100421794 2.94003397 2.8667381 3.1922908 3.1052990 3.02505817 3.28891775
100422106 1.45139938 1.2626137 1.2921237 0.8199269 1.77464802 1.90117022
100422338 1.62646609 1.8571890 1.1543402 1.8199080 2.62137866 2.97313481
100422546 0.88960378 0.9334338 0.4153200 0.8199269 -0.09224673 0.62227074
100422561 3.77318754 3.9189478 4.0445265 3.8859828 3.91589585 3.98298579
10043 5.60294649 5.5147107 5.7482503 5.6012502 5.85324356 5.82554115
10044 -0.33244444 1.6477871 0.8316420 1.4048768 3.53817112 3.93200905
10045 -0.33244444 -1.1799596 0.8316420 0.1418777 0.75112613 1.39902245
10046 0.88960378 -0.5434968 0.8316420 1.2793482 0.75112613 -0.01401881
10048 6.25359074 6.5869974 6.2532512 6.4345997 6.81627794 6.80936254
10049 5.46570576 5.7229076 5.6167085 5.6272453 5.45622601 4.93708537
100499177 3.50829744 2.2022543 3.7176106 3.2461609 3.34012831 4.21391065
100499483 1.54158658 1.5304625 0.8316420 1.5203521 0.75112613 0.33892411
1005 1.02082586 0.9334338 -0.1722149 1.6272656 0.52080707 0.62227074
100500719 0.88960378 0.9334338 1.0019949 -0.5950475 -0.09224673 1.90117022
100505385 2.60563119 2.6588223 2.2263418 2.7740951 2.98035756 3.51357739
100505501 1.14110123 0.9334338 0.6384466 1.4048768 2.67846107 1.06230284
100505538 -0.69484244 0.7355864 0.1512572 1.2793482 1.12419776 1.39902245
100505549 0.19788495 -1.1799596 -0.5898293 -1.1799596 0.52080707 -1.17995959
100505573 5.74258978 6.0126531 5.8297214 5.6527804 5.91985700 6.02114390
100505576 2.83694509 3.4223043 3.8122806 3.6778753 2.83729176 3.67729412
100505616 -0.04304733 -1.1799596 0.1512572 0.1418777 -1.17995959 -0.48227700
100505624 1.54158658 1.6477871 2.1558792 2.0678325 0.75112613 1.24046406
100505635 -0.69484244 -1.1799596 -1.1799596 -1.1799596 1.42034760 2.35263868
100505641 2.11184866 1.7562840 2.4191700 2.5203404 2.56194432 3.07062500
100505648 3.50829744 2.5424287 3.2942215 3.5203346 3.22988135 2.92180251
100505678 2.68692699 1.7562840 2.3577137 2.8642924 2.05886735 3.02270323
100505696 4.08951328 3.8471612 4.1570324 4.2122101 4.13565034 4.37525561
100505715 1.25211648 0.7355864 1.7403289 -0.1800353 -1.17995959 -1.17995959
100505738 1.98900174 -0.1033826 2.0817977 2.4637574 2.14239352 2.63354930
100505741 1.54158658 1.4027452 1.1543402 1.2793482 0.94968773 1.39902245
100505758 3.63661796 3.7455270 3.5898068 3.4048579 2.98035756 3.36775596
100505761 2.68692699 2.4158140 3.3583823 3.0678245 2.67846107 1.90117022
100505771 3.03624526 3.0904896 3.2610384 3.1052990 3.26757422 3.20552099
100505783 -1.17995959 -1.1799596 -0.1722149 -1.1799596 -0.09224673 -1.17995959
100505806 2.22505091 1.5304625 2.6417455 2.7740951 3.30430731 3.20552099
100505812 0.19788495 0.2333850 0.1512572 -1.1799596 -1.17995959 -1.17995959
100505832 0.58480994 1.1073921 1.4178878 1.4048768 -0.53593338 0.33892411
100505854 0.74524105 -1.1799596 0.1512572 0.8199269 1.54836182 0.33892411
100505876 5.44832381 5.5899451 5.7362267 5.5880748 5.31035534 4.74371619
100505894 2.37976310 2.0400138 2.7886932 2.7267898 2.73337063 2.00347397
100505933 -0.69484244 1.2626137 -0.1722149 -0.1800353 1.12419776 -0.01401881
100505994 0.40428022 1.2626137 0.1512572 1.5203521 -1.17995959 -0.48227700
100506020 0.88960378 -0.1033826 1.0019949 0.4049020 0.94968773 1.06230284
100506033 5.01667917 4.9095404 4.9437903 4.8859805 4.52613598 4.69867897
100506054 0.19788495 0.5062282 -0.1722149 0.6272872 1.27985841 -0.01401881
100506068 0.19788495 0.5062282 1.0019949 1.1418474 0.52080707 -0.48227700
100506070 1.25211648 0.7355864 1.8335665 0.1418777 1.27985841 0.85899877
100506083 1.70662807 0.2333850 0.6384466 1.7267998 2.05886735 -0.01401881
100506100 0.40428022 -0.1033826 -0.1722149 -0.1800353 -1.17995959 1.06230284
100506119 0.40428022 1.1073921 -1.1799596 0.9898477 -0.09224673 0.62227074
100506127 2.80087753 2.8175003 2.9638932 2.2122209 2.49995589 2.00347397
100506142 1.35519612 -1.1799596 -0.5898293 -0.1800353 0.52080707 -0.48227700
100506144 1.25211648 0.9334338 1.0019949 1.4048768 0.94968773 0.85899877
100506161 -0.04304733 1.2626137 1.0019949 1.5203521 0.52080707 0.62227074
100506211 1.85471241 1.9514955 3.0045596 1.9073697 3.96260632 4.71384813
100506235 0.74524105 1.2626137 1.6406467 1.5203521 2.22134737 1.39902245
100506258 1.14110123 0.2333850 0.6384466 0.8199269 0.24660170 -0.48227700
100506282 2.94003397 2.4805099 3.2270741 2.5747878 2.36736670 2.97313481
100506286 0.19788495 1.7562840 0.4153200 -1.1799596 0.94968773 -0.01401881
100506302 2.11184866 2.4158140 1.2921237 2.4048642 0.52080707 -0.01401881
100506321 0.58480994 1.2626137 0.4153200 0.4049020 -0.09224673 1.24046406
100506325 0.88960378 0.9334338 0.1512572 -0.1800353 0.94968773 -1.17995959
100506343 1.35519612 0.7355864 1.0019949 0.4049020 -0.09224673 0.33892411
100506365 5.36431850 5.2342773 5.5218399 5.2956242 5.62544609 5.20740912
100506368 -0.33244444 -0.1033826 0.4153200 -0.1800353 1.27985841 -0.01401881
100506380 3.46285581 2.6017989 2.8789511 2.9073608 3.15140605 2.86857617
100506392 4.33625561 3.8224159 4.4201309 3.9073564 4.11512136 4.19241214
100506394 0.19788495 -0.1033826 0.4153200 1.1418474 0.52080707 -0.01401881
100506411 1.35519612 1.1073921 1.6406467 -0.1800353 2.14239352 1.39902245
100506433 2.87213291 1.6477871 3.0045596 1.8199080 -0.09224673 2.27294665
100506462 -0.04304733 -1.1799596 0.6384466 0.1418777 -0.09224673 -1.17995959
100506469 3.36743921 3.2474444 3.5898068 3.4637513 2.29620363 2.81331064
100506495 0.58480994 0.5062282 0.1512572 1.2793482 0.52080707 0.33892411
100506504 2.72591914 0.5062282 1.4178878 1.6272656 2.93422753 2.56828142
100506540 2.42785438 1.6477871 -0.1722149 1.2793482 1.54836182 2.18859386
100506581 2.64685164 2.6588223 2.6417455 2.7740951 3.19117722 2.00347397
100506606 0.58480994 0.2333850 0.8316420 0.4049020 0.24660170 -0.01401881
100506658 1.54158658 1.4027452 -0.1722149 2.1418323 0.94968773 -0.01401881
100506668 2.80087753 3.1711004 2.7886932 3.1418247 3.11050735 3.32887532
100506686 1.25211648 0.2333850 1.0019949 -0.1800353 0.75112613 2.49992031
100506691 0.19788495 0.9334338 -1.1799596 -0.1800353 -0.09224673 -0.01401881
100506696 -0.33244444 -1.1799596 1.0019949 -0.1800353 1.12419776 1.24046406
100506697 0.40428022 0.5062282 -0.1722149 0.4049020 0.52080707 1.39902245
100506710 4.87642280 4.7349135 4.9542085 4.7387548 4.70161859 5.06088308
100506713 -0.69484244 0.9334338 0.4153200 0.6272872 0.52080707 0.33892411
100506725 4.05929926 4.1749489 4.1926657 3.9898183 4.13565034 4.48542733
100506731 -0.04304733 1.1073921 0.4153200 0.8199269 1.87573827 0.33892411
100506757 0.58480994 1.5304625 1.8335665 1.1418474 1.27985841 1.67183427
100506779 -1.17995959 -0.1033826 1.0019949 -1.1799596 0.52080707 0.85899877
100506804 0.74524105 -1.1799596 -1.1799596 -0.1800353 -0.53593338 -1.17995959
100506826 1.98900174 1.9514955 2.6417455 2.2122209 1.54836182 2.00347397
100506844 1.98900174 2.5424287 2.5892374 2.2793344 1.97020656 2.42815814
100506866 6.95338642 5.4991812 6.6233216 6.1418181 4.74234579 4.48542733
100506881 1.62646609 2.7665225 2.4781149 2.2122209 0.52080707 2.27294665
100506885 -1.17995959 -0.5434968 -0.1722149 1.8199080 2.05886735 2.18859386
100506911 0.19788495 0.5062282 0.8316420 0.4049020 1.12419776 0.33892411
100506922 -0.69484244 -1.1799596 -1.1799596 -0.5950475 -0.53593338 -1.17995959
100506930 3.53049254 3.7972389 3.5898068 3.5203346 -0.09224673 -1.17995959
100506994 1.02082586 1.2626137 1.6406467 -0.1800353 1.66593700 2.09900110
100507003 -1.17995959 -1.1799596 -0.1722149 -1.1799596 -1.17995959 -1.17995959
100507032 -1.17995959 -1.1799596 -1.1799596 -1.1799596 -1.17995959 -1.17995959
100507034 3.43958674 3.2841531 2.9638932 3.4923203 3.02505817 2.63354930
100507050 0.58480994 0.9334338 -1.1799596 1.4048768 0.52080707 -1.17995959
100507053 -0.33244444 -1.1799596 -1.1799596 -1.1799596 -1.17995959 -0.01401881
100507057 -0.04304733 -0.5434968 -1.1799596 0.4049020 -1.17995959 -1.17995959
100507062 0.19788495 -0.5434968 0.8316420 0.4049020 0.52080707 0.62227074
100507071 0.40428022 1.4027452 0.4153200 1.1418474 -0.53593338 0.33892411
100507156 3.12643954 3.2097774 3.0826071 2.8198985 2.93422753 2.63354930
100507171 3.06694083 2.2022543 2.7886932 3.0293506 2.93422753 3.51357739
100507173 -0.69484244 -1.1799596 -0.5898293 -1.1799596 -0.09224673 -0.48227700
100507178 1.45139938 -1.1799596 0.4153200 1.1418474 0.24660170 -0.01401881
100507244 1.85471241 2.1234135 1.4178878 1.6272656 1.27985841 1.79105447
100507246 3.59509981 3.6643083 3.8122806 3.6527844 4.47871477 4.55446238
100507250 0.58480994 -0.1033826 1.0019949 -0.1800353 -0.53593338 0.33892411
100507254 0.58480994 0.9334338 0.4153200 -1.1799596 2.56194432 2.92180251
100507266 0.58480994 1.2626137 0.8316420 1.2793482 1.42034760 -0.01401881
100507290 4.85019155 4.3234225 4.5356327 4.7025347 4.74234579 4.85736404
100507291 0.19788495 -0.1033826 0.8316420 0.4049020 0.52080707 0.62227074
100507303 3.21132531 2.7665225 2.5892374 3.0678245 2.43518394 1.90117022
100507308 -0.33244444 0.7355864 0.4153200 0.9898477 0.24660170 0.85899877
100507316 0.19788495 -0.1033826 0.4153200 0.4049020 -0.53593338 -1.17995959
100507331 1.98900174 2.5424287 1.7403289 2.0678325 1.87573827 1.54186732
100507347 1.25211648 1.9514955 1.9211425 1.5203521 2.22134737 2.97313481
100507373 2.47439414 0.9334338 2.5892374 2.2122209 2.36736670 2.00347397
100507392 -0.33244444 1.2626137 0.4153200 1.1418474 0.24660170 -1.17995959
100507398 1.25211648 1.9514955 1.4178878 0.6272872 -0.09224673 1.67183427
100507401 1.14110123 1.6477871 1.0019949 -0.1800353 0.52080707 -0.48227700
100507420 -0.33244444 -0.1033826 -0.1722149 -1.1799596 0.52080707 -0.01401881
100507433 2.72591914 2.3480802 3.1201025 2.1418323 1.77464802 1.79105447
100507436 0.58480994 -1.1799596 -0.1722149 -1.1799596 0.24660170 -0.01401881
100507437 1.62646609 0.9334338 1.2921237 0.8199269 1.54836182 1.90117022
100507459 1.70662807 0.5062282 1.5335624 0.8199269 1.87573827 1.24046406
100507463 -0.69484244 -0.5434968 0.6384466 0.4049020 -0.09224673 0.33892411
100507487 1.78256941 1.6477871 1.9211425 0.8199269 -0.53593338 1.06230284
100507495 4.32360052 3.8224159 4.1926657 3.9491764 3.86762227 4.23509350
100507516 0.74524105 0.2333850 0.1512572 0.6272872 0.94968773 -0.01401881
100507551 0.88960378 -1.1799596 -0.5898293 -0.5950475 -0.09224673 0.62227074
100507557 0.74524105 1.6477871 1.0019949 1.1418474 1.54836182 1.24046406
100507564 1.14110123 0.9334338 1.6406467 1.4048768 1.54836182 1.06230284
100507567 0.40428022 -0.1033826 -0.1722149 -1.1799596 0.75112613 -1.17995959
100507588 1.02082586 1.8571890 0.1512572 0.4049020 0.24660170 -1.17995959
100507599 -0.33244444 0.9334338 0.4153200 1.1418474 -0.09224673 1.67183427
100507602 4.36123756 4.2324319 4.3270001 4.4781035 4.25304360 4.60415373
100508120 0.88960378 -0.1033826 0.4153200 1.2793482 1.12419776 2.27294665
10051 6.42332971 6.2163280 6.3431987 6.1686181 6.54417135 7.05248321
10052 2.11184866 1.1073921 2.4191700 1.2793482 2.14239352 0.85899877
100526737 1.35519612 1.5304625 1.5335624 1.9898309 2.43518394 2.27294665
100526760 1.92341901 0.9334338 2.0817977 1.4048768 1.97020656 0.62227074
100526820 0.58480994 0.9334338 -0.1722149 0.8199269 -0.09224673 -1.17995959
100526835 4.49140285 3.8954136 4.3108766 4.6400707 4.27171296 4.60415373
100527978 -0.33244444 -1.1799596 -0.5898293 -1.1799596 -0.09224673 0.62227074
100529145 0.88960378 1.6477871 2.1558792 1.7267998 1.12419776 2.00347397
100529215 1.02082586 -0.5434968 0.4153200 0.6272872 0.94968773 0.62227074
100532746 3.88076491 4.0526193 3.6422946 3.9491764 4.00785175 3.02270323
100533106 -1.17995959 0.2333850 1.0019949 0.1418777 1.27985841 0.33892411
100533182 -1.17995959 -1.1799596 0.6384466 -0.5950475 -0.53593338 0.85899877
100533619 0.19788495 -0.1033826 -0.5898293 -1.1799596 -0.09224673 0.33892411
100533629 0.19788495 -0.1033826 0.6384466 -0.1800353 1.54836182 0.62227074
100533695 0.58480994 -0.5434968 0.1512572 1.1418474 0.94968773 1.24046406
100533970 0.58480994 1.2626137 1.1543402 0.1418777 1.66593700 1.39902245
100534593 1.14110123 1.6477871 0.6384466 0.1418777 0.24660170 0.85899877
10054 5.83019190 6.0872542 6.0593874 6.0960144 6.61533248 6.63705584
10056 5.98286502 6.2351992 6.0350563 5.7914338 6.08729611 5.87361072
10057 7.86061745 7.5873585 7.9268957 7.8085741 7.24257603 7.24490156
10058 5.82121715 5.6045324 5.8353685 5.7207571 5.48850653 5.48888829
10059 7.21898497 7.3719269 7.3784792 7.1597395 7.34309288 7.22121180
1006 4.62116889 4.7481126 4.5216907 4.4198050 5.73040179 5.76128638
10060 4.69180351 4.6389756 4.7055906 4.4198050 4.32631380 4.39421178
100616256 -0.69484244 -0.1033826 0.6384466 0.1418777 -0.09224673 -1.17995959
10062 1.45139938 1.2626137 1.4178878 1.5203521 1.12419776 1.06230284
10063 4.50267379 4.0945590 4.2101577 4.4923174 4.11512136 3.76728934
100652739 0.74524105 -0.1033826 -0.1722149 -1.1799596 -0.09224673 0.85899877
100652758 1.54158658 1.9514955 1.2921237 0.4049020 1.54836182 1.90117022
100652846 3.06694083 1.9514955 2.5892374 2.8198985 1.66593700 2.00347397
10066 6.84021803 7.0022155 6.8410533 6.8940311 6.88760906 6.67242665
10067 6.31561633 6.3127567 6.5358544 6.4345997 6.16923789 6.10982285
10068 3.06694083 3.4867162 3.5898068 3.3434576 3.34012831 3.28891775
10069 3.88076491 4.3056777 3.4198107 4.1949321 3.65654646 3.16194223
10072 4.82347452 5.1670753 4.9748219 4.6272467 4.95364812 4.39421178
10073 3.99690399 4.3753838 4.0049866 3.7740903 3.59857256 4.05622487
10075 8.88746684 8.7021825 8.6707326 8.7342744 8.87520129 8.86747196
10076 3.89793967 3.7972389 4.0638974 4.2292836 6.54032700 6.57610637
10077 0.40428022 -0.1033826 0.1512572 0.8199269 1.97020656 1.67183427
100775107 1.14110123 -0.5434968 1.6406467 0.9898477 0.52080707 0.85899877
10078 4.05929926 4.7611920 5.0832138 4.6653817 4.61654375 4.92410066
10079 5.19400874 5.2621468 4.4498848 5.1774429 5.36353939 4.87096062
1008 4.85019155 5.4755691 4.7421230 5.2207703 4.09429603 4.03222260
10081 5.04778939 4.9895181 5.0447342 5.1052932 5.22671208 5.35015677
10082 6.42036121 6.3905714 6.5768837 6.3355897 7.45554932 7.11380818
100820829 4.90218560 4.6103507 5.1114147 4.8533144 6.12884869 5.90699124
10084 5.25526388 5.3426635 4.8239312 5.0390596 5.22671208 5.06088308
100847074 1.85471241 0.5062282 2.2263418 2.2793344 1.97020656 1.67183427
10085 8.56681480 8.6808317 8.4053239 8.5864181 9.29294930 9.14993077
100852407 0.88960378 1.1073921 1.2921237 1.5203521 1.12419776 1.06230284
100861412 0.19788495 -1.1799596 -0.1722149 -1.1799596 0.75112613 2.09900110
100861548 4.11910749 4.6808754 4.1388802 3.9696404 4.34406433 3.82431129
100862671 0.58480994 0.9334338 1.8335665 -0.1800353 0.24660170 1.39902245
10087 6.25359074 6.1180819 6.2017176 6.1949294 6.68663041 6.73696069
100873257 4.31083344 4.2695196 4.1204967 3.8642878 0.52080707 0.62227074
100873333 2.37976310 2.3480802 2.0037052 2.4048642 3.02505817 2.81331064
100873790 3.46285581 3.2474444 3.7657220 3.4923203 3.15140605 3.28891775
100873949 0.88960378 -0.1033826 0.4153200 1.4048768 0.75112613 0.33892411
100873952 0.58480994 -0.1033826 -0.5898293 -0.5950475 0.52080707 0.33892411
100873965 1.54158658 1.4027452 1.9211425 1.6272656 1.66593700 2.18859386
100874006 1.45139938 1.2626137 1.5335624 1.2793482 2.14239352 2.00347397
100874008 1.98900174 2.2770090 1.5335624 2.0678325 1.77464802 -0.01401881
100874014 2.56319827 1.9514955 2.5892374 2.4637574 2.56194432 2.86857617
100874058 1.78256941 2.1234135 1.5335624 1.7267998 1.54836182 2.69599180
100874080 0.88960378 0.9334338 1.4178878 1.2793482 0.24660170 1.54186732
100874097 1.54158658 1.5304625 1.9211425 1.9898309 1.97020656 2.00347397
100874201 -1.17995959 0.9334338 0.1512572 -0.1800353 0.52080707 0.62227074
100874212 0.74524105 0.2333850 1.0019949 0.8199269 0.52080707 1.39902245
100874217 0.40428022 0.5062282 0.6384466 0.1418777 1.27985841 1.06230284
100874235 1.14110123 0.5062282 1.2921237 1.1418474 1.27985841 0.85899877
100874261 1.62646609 0.9334338 1.8335665 0.9898477 0.94968773 -0.01401881
100874291 0.58480994 0.7355864 -0.1722149 0.8199269 -0.09224673 2.35263868
100874362 0.19788495 1.1073921 1.6406467 2.3434642 -1.17995959 1.39902245
100874523 1.62646609 1.2626137 0.8316420 2.1418323 1.97020656 2.00347397
100885775 4.65186528 3.4867162 4.6932046 4.4048547 3.50699483 2.92180251
100885776 -0.04304733 1.2626137 0.4153200 0.4049020 0.52080707 -0.01401881
100885848 5.67445705 5.7689612 5.6933371 5.9898151 5.45622601 5.06088308
1009 9.61483417 9.7303878 9.3565877 9.6594866 9.71656092 9.41765035
10090 3.63661796 3.8954136 3.6678393 4.1236736 4.70161859 4.46763977
10092 7.72042883 8.0418730 7.7317887 7.7282820 7.74495306 7.98123211
10093 7.11449906 7.7470879 7.3030507 7.4976091 7.23069757 6.99465910
10094 3.41593620 3.7972389 3.3894234 3.9696404 3.76594115 3.93200905
10095 5.54960641 5.9165523 5.4352430 5.9388312 5.67537694 5.26002659
10097 8.54653767 9.0480207 8.3541207 8.7609368 8.42691724 8.32783127
10098 6.59111079 7.0348938 6.4090551 6.9568807 6.08201687 5.94605436
10099 7.84631145 8.0052373 7.8605986 7.9910661 8.53711722 8.11579673
100996246 2.27848645 2.4158140 1.9211425 2.4048642 2.29620363 1.90117022
100996251 1.70662807 0.7355864 1.1543402 1.5203521 0.52080707 0.85899877
100996307 2.11184866 0.7355864 1.8335665 2.2122209 2.98035756 2.27294665
100996384 1.98900174 1.9514955 1.6406467 2.0678325 1.87573827 1.06230284
100996419 -1.17995959 -0.1033826 1.5335624 0.1418777 1.66593700 0.62227074
100996485 2.37976310 1.8571890 1.6406467 2.2122209 2.29620363 2.69599180
100996539 0.19788495 1.1073921 0.4153200 0.4049020 -1.17995959 -0.48227700
100996579 -0.69484244 -0.1033826 -1.1799596 0.4049020 1.87573827 1.67183427
100996696 3.31725510 3.5782432 3.7891891 3.7267847 3.62785070 3.16194223
100996842 1.14110123 1.4027452 1.6406467 1.2793482 1.87573827 2.27294665
100996851 -0.69484244 1.2626137 0.1512572 0.4049020 1.97020656 1.24046406
100996939 -0.04304733 0.9334338 0.1512572 0.6272872 0.52080707 1.24046406
101 0.19788495 1.7562840 1.1543402 1.4048768 1.27985841 -0.01401881
1010 1.85471241 -0.5434968 0.4153200 1.8199080 1.27985841 -1.17995959
10100 5.18003592 5.0965894 5.2865240 5.0195635 4.91853783 4.82978031
10101 4.56851067 5.1572143 4.8352484 5.0960154 5.15812870 5.08441707
10102 4.75914065 5.0862328 5.1299135 5.2377434 4.94203937 4.98788617
10103 0.19788495 -0.1033826 1.5335624 -0.1800353 -0.53593338 -1.17995959
10105 7.04489027 7.3482863 7.3471991 7.0072417 7.15980448 6.98843532
10106 6.69547780 6.7565945 6.5289013 6.6496125 7.35627274 7.44678240
101060200 3.21132531 2.3480802 3.6678393 3.3434576 3.02505817 3.20552099
101060691 2.68692699 2.0400138 2.4191700 2.2122209 2.14239352 1.39902245
10109 8.31361336 8.9550359 8.4892102 8.7078714 8.54289271 8.28022185
10112 4.54689716 4.4580318 4.3108766 4.4923174 4.96516421 5.07269806
10113 6.58051247 6.2676411 6.3431987 6.1774420 6.47335526 6.65681325
10114 7.76323126 7.7454434 7.7393383 7.5098874 8.01941724 8.16077006
101154753 0.88960378 0.5062282 0.8316420 -0.1800353 0.24660170 -0.48227700
10116 7.65500897 7.4787197 7.5324190 7.5545990 7.72307519 8.11150771
10117 -1.17995959 1.2626137 -0.1722149 -0.1800353 1.27985841 -0.01401881
1012 8.02499562 8.2660246 7.7438492 8.0317776 5.13791933 4.69867897
10121 6.13547086 6.3863568 6.2147746 6.3237156 6.25618017 6.13257805
10123 6.36585650 6.8605203 6.4052633 6.8913520 6.47738202 6.85796517
DMSO_2_C7 TUN_24_C7 THA_24_C7 DOX_24_C7 NUTL_24_C7
100 2.8135361 2.72166071 2.71985850 5.74522842 3.55235126
1000 10.5441152 10.67434330 11.25307243 9.03493639 10.38624715
10000 6.8362611 7.39636144 7.18084534 6.09938977 6.68498039
10001 4.9057782 4.90617573 4.75900358 5.75504571 5.02856857
10003 4.8837423 3.50017924 3.41763571 4.72494241 3.83195563
100037417 -1.1799596 -1.17995959 -1.17995959 -1.17995959 -1.17995959
100049716 2.8594233 2.76584913 2.47602620 4.02519033 2.83430404
10005 3.8379771 3.84725440 3.71639628 3.66798888 4.13636246
10006 6.4125371 6.80272119 6.75500679 6.15976079 6.55627743
10007 5.2102315 5.16731482 5.26100891 5.24377466 5.66166513
10009 5.9754545 5.40939805 5.66219301 5.07768831 5.25081450
100093630 5.7864830 6.34111846 5.94248550 5.53339518 5.93251323
1001 7.5165444 7.33718598 7.28875640 8.85178713 8.06869470
10010 6.1285289 5.75460575 5.60867757 6.08194511 6.03727102
100101267 2.4435222 2.36741613 2.76404303 3.52613504 2.70149160
100101467 3.9268649 4.36089404 3.57473582 2.24635980 4.35848297
10011 5.3693510 5.41634575 5.45543151 5.92338802 6.14349352
100113386 0.6574984 0.33573965 -0.23252305 -0.01341585 -0.21838380
100113397 0.6574984 1.31789149 1.31630211 -0.01341585 0.92974377
100113407 4.8386342 5.23960473 5.04522320 4.59432585 4.32876961
100125288 1.9445990 2.62900373 2.76404303 3.99236688 3.30013140
100127983 2.7661412 2.18417423 2.62721010 0.93083377 2.39238588
100128006 2.2503834 1.53771605 1.63456618 0.23127343 2.55520141
100128016 0.1672971 2.47780460 0.33448392 0.53462012 -0.21838380
100128025 -1.1799596 -0.23159280 0.07865857 1.34898069 -0.21838380
100128054 2.1797966 4.81448134 3.54971193 2.03699479 2.20883037
100128071 -0.1588217 -0.23159280 -0.23252305 1.71362000 0.35353980
100128191 2.0273324 2.30888392 1.19243362 2.77627208 -0.62049918
100128252 2.5025541 3.62538035 2.84854858 1.71362000 2.65435739
100128379 0.6574984 1.05844442 2.18243040 0.85982175 0.76201339
100128398 4.2360533 4.53696612 4.69196951 3.84388264 4.41613448
100128494 4.1088495 3.55157070 3.49832311 2.99087471 3.76696907
100128569 1.7633756 1.72843223 1.05692244 1.67277122 1.34038198
100128640 -1.1799596 -0.23159280 -1.17995959 3.40665849 -0.62049918
100128682 -1.1799596 -1.17995959 -1.17995959 -0.67924834 -0.62049918
100128731 6.1881827 6.49014246 6.16064601 7.10724792 6.82724372
100128766 2.9470385 3.11236117 2.42189337 2.21824733 3.33043426
100128782 1.0227142 2.30888392 -0.23252305 2.21824733 2.07205066
100128822 -1.1799596 -1.17995959 -1.17995959 -1.17995959 -1.17995959
100128833 1.4400626 2.85036183 2.47602620 2.69700530 2.83430404
100128881 1.6634444 1.43198658 2.36564991 2.77627208 1.07998876
100128893 5.9754545 5.18369518 5.08930419 5.68230881 5.49107778
100129001 1.0227142 1.05844442 0.55170488 0.78513262 1.75211119
100129013 2.1797966 1.31789149 1.43037119 1.18436334 1.45484207
100129029 0.1672971 0.90882794 0.55170488 1.12503439 1.45484207
100129060 3.2523573 2.80872423 2.67427790 2.97416125 3.06806517
100129075 1.3139019 2.24787618 0.90735071 4.26392455 1.56088488
100129195 2.0273324 1.97422480 1.72675812 3.05585710 2.65435739
100129203 1.7633756 0.74188067 0.74045916 4.50406464 -0.21838380
100129250 1.9445990 1.43198658 1.43037119 2.27393492 2.60563110
100129259 0.6574984 2.04765553 1.89515273 1.24134852 1.56088488
100129361 6.1881827 5.57377856 5.81702197 5.58659376 6.09135967
100129398 1.1756421 1.72843223 0.55170488 0.99851381 -0.62049918
100129434 0.1672971 -0.23159280 -0.23252305 -0.01341585 -1.17995959
100129461 1.5560726 2.62900373 1.89515273 1.12503439 0.92974377
100129484 2.0273324 2.04765553 1.97251037 4.30460085 2.83430404
100129550 4.6426184 5.13398537 4.73700316 6.21770666 4.98160505
100129583 -1.1799596 1.05844442 1.05692244 1.67277122 -1.17995959
100129662 0.4331185 0.55305509 1.53607832 2.63455952 0.35353980
100129707 1.0227142 0.55305509 0.33448392 1.06316060 1.56088488
100129716 0.8516323 0.55305509 1.72675812 2.37924885 2.14206089
100129726 1.5560726 -1.17995959 -0.23252305 3.54888731 1.92093174
100129774 3.2175437 3.36307135 4.20724763 3.70897138 3.62749432
100129781 2.5592652 1.31789149 1.05692244 1.67277122 2.44872419
100129792 1.1756421 0.55305509 0.07865857 -0.01341585 1.65966405
100129794 2.1055776 2.62900373 1.53607832 0.23127343 2.27264589
100129842 1.7633756 1.53771605 0.90735071 1.82965381 1.99846896
100129917 2.1055776 3.78419986 2.96669358 3.17764971 2.14206089
100129924 1.0227142 2.24787618 1.05692244 2.06882938 1.83898942
100129940 0.6574984 -1.17995959 0.07865857 0.23127343 -0.21838380
100129995 0.6574984 -0.23159280 0.33448392 1.44913744 -0.21838380
10013 5.7071413 5.72133068 5.58424049 5.79127680 5.87199518
100130111 -1.1799596 1.05844442 -1.17995959 0.85982175 0.35353980
100130197 0.6574984 0.55305509 0.90735071 1.24134852 0.57218507
100130335 3.1452903 2.80872423 2.57855478 2.59137497 2.79137752
100130348 3.7185649 3.82654093 3.88593607 3.30339919 3.06806517
100130357 0.8516323 -1.17995959 1.19243362 -0.48185990 0.09573511
100130466 3.4148385 3.04223068 3.11052828 3.80660651 2.95591400
100130476 0.4331185 -1.17995959 -1.17995959 1.54279007 0.76201339
100130522 0.4331185 -0.23159280 0.33448392 2.27393492 1.21605223
100130550 1.1756421 1.43198658 1.43037119 -0.48185990 1.21605223
100130564 3.6418657 3.50017924 3.27223838 2.83298887 2.83430404
100130581 1.3139019 1.19399232 0.90735071 2.32755264 2.39238588
100130691 2.1797966 3.50017924 2.88901484 0.33963225 1.75211119
100130705 1.4400626 1.05844442 1.19243362 1.82965381 1.45484207
100130748 1.4400626 -0.23159280 1.63456618 1.44913744 2.14206089
100130750 -1.1799596 -1.17995959 -1.17995959 -1.17995959 -1.17995959
100130855 2.0273324 1.97422480 1.72675812 1.97113740 1.83898942
100130958 0.6574984 2.04765553 1.19243362 3.47952490 1.07998876
100131017 -1.1799596 -1.17995959 -1.17995959 -1.17995959 -1.17995959
100131031 3.3520244 2.67607595 2.24612424 -0.01341585 2.74713448
100131033 2.6138311 1.97422480 1.63456618 1.86634662 1.45484207
100131067 2.8594233 2.85036183 2.24612424 1.86634662 1.83898942
100131089 1.4400626 1.72843223 1.43037119 1.49672356 1.07998876
100131094 -0.1588217 0.07978314 -0.23252305 1.34898069 0.57218507
100131138 4.4002799 3.21155166 2.92837695 1.24134852 2.91650545
100131187 -1.1799596 -0.62921309 -0.23252305 -1.17995959 -1.17995959
100131193 2.6138311 1.72843223 0.55170488 1.71362000 2.33375779
100131211 4.3846734 4.56224366 3.76068535 4.49237433 3.93415636
100131213 1.8568310 -1.17995959 0.07865857 2.95725189 1.92093174
100131471 2.5592652 2.89083135 1.89515273 2.16032361 2.27264589
100131656 3.4750314 4.05739888 3.62351795 4.45672406 3.41770136
100131685 2.5592652 2.11752908 2.24612424 1.24134852 2.44872419
100131691 2.2503834 2.67607595 2.88901484 4.01705421 2.60563110
100131740 1.0227142 1.43198658 0.90735071 1.29616811 1.34038198
100131801 3.0296361 3.04223068 3.30251378 4.44464214 3.65169673
100131827 -1.1799596 0.33573965 1.72675812 1.29616811 1.34038198
100131828 -1.1799596 0.55305509 -1.17995959 -0.48185990 -0.62049918
100131940 0.8516323 0.74188067 1.05692244 1.71362000 0.09573511
100132074 -0.5808708 -1.17995959 -1.17995959 0.70636467 -0.62049918
100132086 1.1756421 0.90882794 0.07865857 0.53462012 1.21605223
100132116 8.2934487 5.66410771 6.52077695 6.48875906 7.97589318
100132126 1.3139019 0.74188067 -0.23252305 0.23127343 0.35353980
100132215 1.3139019 0.33573965 1.19243362 -0.15331719 1.56088488
100132537 2.4435222 1.89685520 2.04593033 1.34898069 1.83898942
100132609 2.0273324 1.72843223 1.05692244 1.34898069 0.92974377
100132659 -1.1799596 0.74188067 0.33448392 0.33963225 0.09573511
100132891 -1.1799596 -1.17995959 -1.17995959 -1.17995959 -1.17995959
100132972 0.8516323 1.05844442 0.33448392 -0.67924834 0.76201339
100133234 0.4331185 0.55305509 0.33448392 1.54279007 0.92974377
100133286 0.4331185 -0.62921309 0.55170488 -0.48185990 -0.21838380
100133315 1.1756421 0.55305509 0.90735071 0.85982175 -0.21838380
100134934 1.4400626 2.04765553 1.05692244 1.49672356 2.07205066
10014 6.1425157 6.24292553 6.53996396 6.44848771 6.48398151
100144603 2.7661412 2.62900373 2.24612424 2.03699479 3.06806517
100144748 1.0227142 2.04765553 1.31630211 6.70803393 3.69891653
10015 7.5111641 7.48824584 7.56335348 7.95489549 7.53673668
10016 5.8673136 5.92991095 5.83266651 6.37080618 5.83019181
100170229 0.4331185 0.07978314 1.53607832 0.11411017 1.34038198
100170841 3.3520244 4.02139770 3.54971193 5.92556298 3.17212336
10018 3.9901116 4.59934848 4.46987086 7.15900276 5.10943263
100188847 1.4400626 0.33573965 1.19243362 2.03699479 1.45484207
10019 4.2704283 4.85595547 4.54776515 6.00792609 3.87370865
100190938 2.4435222 2.89083135 3.00401883 1.29616811 1.92093174
1002 2.6664082 0.33573965 -0.23252305 0.99851381 1.34038198
10020 4.2008393 4.79328842 4.35900403 3.24885893 3.49998950
10021 7.5553980 6.75693043 6.48822042 7.49841969 7.91470677
10023 1.5560726 2.85036183 1.89515273 3.88021983 2.33375779
10024 3.6934488 2.36741613 -0.23252305 1.93704592 -1.17995959
10026 6.2280825 6.33379793 6.51755416 6.08778347 6.15200224
100268168 -0.1588217 0.33573965 1.19243362 1.44913744 -0.21838380
100270804 2.3176772 2.42366591 1.43037119 1.58743104 2.60563110
100270827 -0.5808708 -1.17995959 0.07865857 0.62304654 0.35353980
100270840 3.5042116 4.10977025 3.33216687 2.67648890 3.38919485
100270854 2.7171363 2.62900373 2.42189337 2.61312882 2.65435739
100270865 3.6934488 3.71826299 3.52424631 3.00739676 4.20339014
100271271 3.5042116 3.90766810 2.67427790 2.99087471 3.74463967
100271332 3.2523573 3.82654093 2.62721010 1.86634662 3.23754666
100271415 2.5592652 1.81510007 2.11579413 1.75334394 1.99846896
100271479 -1.1799596 -0.62921309 -0.23252305 -0.30825637 -0.21838380
100271884 0.6574984 0.90882794 0.33448392 -0.01341585 0.92974377
100272147 3.3195611 3.36307135 2.57855478 3.27638678 2.83430404
100286844 0.6574984 0.90882794 1.31630211 1.54279007 1.65966405
100287015 0.8516323 -0.23159280 0.33448392 0.93083377 0.09573511
100287049 1.4400626 1.19399232 1.63456618 1.29616811 1.92093174
100287074 2.1055776 2.80872423 1.63456618 1.82965381 2.50294489
100287616 4.2008393 4.24078927 4.19115568 3.31671807 3.55235126
100287722 1.7633756 1.31789149 1.19243362 1.18436334 0.35353980
100287808 0.4331185 0.33573965 1.05692244 2.47739532 1.45484207
100287837 0.4331185 -0.62921309 0.55170488 1.58743104 0.09573511
100287896 3.4452489 3.78419986 3.04040270 0.93083377 3.62749432
100287902 0.4331185 -0.62921309 0.07865857 -0.01341585 0.76201339
100287928 2.7171363 3.33401380 3.14435292 3.54888731 3.10359174
100287932 5.4161597 5.40241673 5.95683346 5.57000517 5.61318922
100288001 2.4435222 2.11752908 1.81341096 1.79200336 1.92093174
100288073 4.2360533 6.97260163 6.93729923 2.88756002 3.99217288
100288123 1.4400626 0.90882794 2.11579413 1.34898069 1.83898942
100288198 2.7171363 3.71826299 3.33216687 3.69883438 2.39238588
100288241 1.1756421 0.74188067 1.31630211 1.44913744 1.75211119
100288413 2.1797966 3.55157070 4.37333734 6.31382804 3.06806517
100288513 0.6574984 0.55305509 0.74045916 0.99851381 -0.21838380
100288842 1.1756421 1.81510007 1.05692244 0.99851381 1.56088488
100289061 0.6574984 1.31789149 0.55170488 1.49672356 -0.62049918
100289095 -0.1588217 0.33573965 0.07865857 0.70636467 -0.21838380
100289133 2.1797966 1.05844442 1.63456618 2.21824733 1.99846896
100289178 2.2503834 1.89685520 1.31630211 1.93704592 1.83898942
100289211 0.6574984 0.90882794 0.90735071 0.11411017 0.09573511
100289259 0.4331185 1.81510007 1.43037119 1.34898069 0.35353980
100289274 2.9038959 5.24741782 4.32990300 4.98479281 2.79137752
100289341 1.5560726 1.19399232 1.63456618 3.36879703 0.92974377
100289373 -1.1799596 0.33573965 -1.17995959 1.75334394 -1.17995959
100289388 2.6138311 2.58034368 2.04593033 2.79542649 2.39238588
100289414 0.4331185 0.74188067 -0.23252305 0.44041789 1.07998876
100289635 5.5689742 5.97295807 5.67382048 4.52142439 5.55020995
100289640 2.0273324 2.52998494 2.88901484 2.06882938 0.76201339
100289678 2.4435222 2.93019656 2.24612424 2.73718302 3.38919485
100293516 4.0507018 4.03951058 3.33216687 2.63455952 4.20339014
100294362 1.5560726 1.43198658 1.72675812 1.58743104 1.92093174
1003 1.3139019 -1.17995959 1.05692244 0.44041789 -0.21838380
100302692 1.9445990 1.31789149 1.31630211 1.06316060 2.14206089
100302736 1.7633756 3.60119429 3.44503599 1.54279007 1.56088488
100303728 3.6418657 3.27408173 3.00401883 3.36879703 3.81061706
100303755 1.7633756 1.63622330 1.05692244 0.53462012 0.57218507
100312828 0.1672971 1.05844442 0.90735071 0.85982175 0.09573511
100312850 -0.1588217 -0.23159280 -0.62982575 0.93083377 0.92974377
10036 5.1561047 3.60119429 3.11052828 3.70897138 3.44565550
100379345 3.4148385 3.17924002 2.84854858 1.18436334 3.26917837
10038 5.5550982 5.81893839 5.30653454 2.54685776 5.06506881
100381270 1.5560726 1.72843223 1.97251037 0.78513262 1.83898942
10039 6.0416348 6.05092307 5.93284030 4.75949132 6.23443825
1004 6.2368012 6.86752557 6.45491220 4.40154039 6.14775415
10040 3.7185649 5.19989165 4.62166832 2.35363229 4.76573924
100418710 1.0227142 2.11752908 1.63456618 2.92282674 2.33375779
100418735 2.8594233 3.57659585 3.00401883 2.37924885 3.13826444
100418744 1.0227142 1.05844442 1.72675812 0.53462012 2.14206089
100418770 2.3819714 2.04765553 2.52820111 1.18436334 2.55520141
100418781 1.4400626 1.19399232 1.05692244 1.29616811 1.45484207
100418819 1.6634444 1.43198658 2.11579413 2.69700530 1.99846896
100418829 2.9470385 2.18417423 2.62721010 1.12503439 2.87599012
100418888 1.6634444 1.05844442 1.81341096 1.86634662 1.83898942
100418889 2.8594233 2.24787618 2.71985850 2.32755264 2.60563110
100418910 1.6634444 -0.23159280 1.05692244 0.93083377 1.75211119
100418919 2.3819714 2.36741613 2.52820111 3.19217552 1.56088488
100419028 1.1756421 1.72843223 1.31630211 1.93704592 1.65966405
100419185 0.1672971 -0.62921309 0.74045916 0.44041789 1.07998876
100419416 0.4331185 0.33573965 0.74045916 2.03699479 0.57218507
100419515 -0.1588217 0.74188067 1.19243362 -0.15331719 1.07998876
100419645 -0.1588217 -0.23159280 -0.23252305 0.33963225 0.35353980
100419758 -1.1799596 -1.17995959 -0.23252305 1.79200336 -0.21838380
100419928 1.1756421 0.90882794 1.43037119 1.24134852 1.56088488
10042 5.6429946 5.11702738 4.83346579 5.31518954 5.14396691
100420028 0.1672971 -1.17995959 1.19243362 1.18436334 -1.17995959
100420050 -1.1799596 -0.62921309 0.55170488 -0.01341585 0.35353980
100420110 3.1818693 3.86767469 4.15842308 3.97567080 3.62749432
100420187 1.0227142 2.58034368 0.55170488 2.00444185 1.83898942
100420259 3.8379771 3.60119429 4.09064198 3.94168754 3.55235126
100420307 1.0227142 2.04765553 0.33448392 1.97113740 1.99846896
100420341 5.2709152 6.87258632 6.68491220 4.67927089 4.84134064
100420423 1.1756421 1.53771605 1.31630211 -0.15331719 -0.21838380
100420591 0.8516323 1.31789149 1.89515273 1.12503439 1.21605223
100420707 2.9470385 2.24787618 2.92837695 2.95725189 2.44872419
100420752 1.6634444 3.36307135 2.76404303 0.85982175 1.75211119
100420869 3.8607177 3.98447510 3.30251378 4.11940458 3.60287895
100420981 5.6429946 6.02388452 5.71379415 5.60027336 5.35029157
100421093 3.5608588 3.60119429 4.10788814 4.61603558 3.91428721
100421109 0.8516323 0.07978314 0.55170488 0.53462012 0.92974377
100421160 -0.1588217 -1.17995959 0.33448392 0.33963225 0.57218507
100421175 0.8516323 1.43198658 1.72675812 2.32755264 1.34038198
100421246 1.5560726 2.11752908 1.19243362 2.18957615 1.56088488
100421311 2.7661412 2.93019656 2.47602620 2.06882938 2.07205066
100421372 2.0273324 2.58034368 0.33448392 1.97113740 1.75211119
100421400 2.3176772 1.63622330 1.97251037 1.24134852 2.20883037
100421415 0.4331185 -1.17995959 0.55170488 -0.15331719 1.34038198
100421429 0.8516323 0.33573965 0.90735071 -0.15331719 0.09573511
100421465 2.0273324 2.80872423 2.47602620 2.18957615 1.65966405
100421468 1.4400626 2.42366591 1.53607832 1.90212930 0.57218507
100421506 0.8516323 -0.23159280 -1.17995959 -0.15331719 -1.17995959
100421569 1.0227142 1.31789149 1.05692244 1.18436334 0.09573511
100421595 1.3139019 1.05844442 1.31630211 0.85982175 2.14206089
100421794 3.2863505 4.07506808 3.17740266 3.59334289 3.47307827
100422106 2.0273324 2.11752908 1.31630211 2.27393492 1.45484207
100422338 1.9445990 2.36741613 2.47602620 1.86634662 1.99846896
100422546 1.1756421 0.07978314 0.33448392 0.33963225 0.09573511
100422561 4.0507018 4.47176394 4.38752964 3.19217552 3.97309210
10043 5.6030913 5.80841353 5.54679077 5.22270384 5.84601036
10044 3.2175437 2.67607595 2.24612424 2.40441849 2.74713448
10045 1.1756421 3.78419986 2.47602620 2.54685776 0.76201339
10046 0.1672971 0.55305509 -0.23252305 0.53462012 -1.17995959
10048 6.7414186 7.09456325 6.83485844 7.48077920 6.68204576
10049 5.0998677 5.68726997 5.57806599 5.92338802 5.49776898
100499177 3.9482567 4.47176394 3.88593607 2.50092304 3.72195923
100499483 0.4331185 0.55305509 1.31630211 -0.01341585 0.35353980
1005 -1.1799596 -1.17995959 -1.17995959 0.44041789 -1.17995959
100500719 0.8516323 1.05844442 1.72675812 1.29616811 1.07998876
100505385 3.3195611 3.07772202 3.30251378 3.67834416 4.10164346
100505501 1.8568310 2.42366591 1.72675812 0.85982175 0.57218507
100505538 1.9445990 2.76584913 2.04593033 2.81432993 0.92974377
100505549 -1.1799596 -0.23159280 0.07865857 -0.67924834 -1.17995959
100505573 6.2016056 5.52318606 5.61472270 7.22052576 7.08668272
100505576 3.4750314 3.52610379 2.67427790 2.27393492 3.41770136
100505616 0.8516323 0.33573965 1.19243362 1.18436334 -0.21838380
100505624 1.6634444 1.19399232 1.31630211 0.93083377 1.07998876
100505635 1.8568310 0.74188067 0.07865857 -0.30825637 0.57218507
100505641 2.5592652 3.21155166 2.62721010 2.37924885 2.87599012
100505648 3.1818693 3.33401380 3.67070440 2.16032361 3.74463967
100505678 2.4435222 1.43198658 2.30712455 0.78513262 1.65966405
100505696 4.1829046 3.98447510 4.64548472 3.54888731 4.57643411
100505715 -1.1799596 -1.17995959 -1.17995959 -1.17995959 -1.17995959
100505738 2.5592652 2.47780460 2.42189337 3.32991511 2.44872419
100505741 0.6574984 1.19399232 0.74045916 2.35363229 1.34038198
100505758 2.8594233 3.52610379 3.78233025 3.45564269 3.03164162
100505761 2.4435222 3.24315544 2.57855478 2.24635980 3.06806517
100505771 3.2863505 3.78419986 3.88593607 3.77800343 4.10164346
100505783 -0.5808708 -1.17995959 -0.62982575 0.33963225 -0.62049918
100505806 2.6664082 3.69559691 3.27223838 1.29616811 2.70149160
100505812 -1.1799596 -0.23159280 -0.23252305 0.33963225 0.35353980
100505832 -0.1588217 0.55305509 -0.23252305 1.75334394 0.76201339
100505854 0.8516323 -1.17995959 -0.23252305 2.86959802 0.76201339
100505876 5.5689742 5.78176048 5.43507848 6.21237203 6.50406059
100505894 2.8135361 2.24787618 0.55170488 2.27393492 2.55520141
100505933 -0.5808708 -1.17995959 0.07865857 0.11411017 -0.21838380
100505994 -1.1799596 0.74188067 1.97251037 0.33963225 -0.21838380
100506020 1.1756421 0.74188067 1.63456618 0.78513262 2.44872419
100506033 4.8271333 4.61150767 4.54776515 4.35065095 4.67418944
100506054 -0.5808708 0.55305509 -1.17995959 0.33963225 0.35353980
100506068 -0.1588217 0.07978314 -1.17995959 1.90212930 -0.21838380
100506070 1.1756421 1.05844442 1.19243362 -0.30825637 1.75211119
100506083 0.4331185 1.43198658 1.05692244 0.11411017 1.21605223
100506100 0.4331185 -0.23159280 0.74045916 -0.67924834 0.92974377
100506119 -0.1588217 0.33573965 1.31630211 3.53755603 1.45484207
100506127 2.1797966 2.30888392 1.97251037 1.67277122 2.65435739
100506142 -1.1799596 -0.62921309 0.07865857 -0.30825637 0.09573511
100506144 1.5560726 1.43198658 1.31630211 0.33963225 1.56088488
100506161 2.1055776 2.11752908 1.53607832 1.06316060 2.07205066
100506211 3.9051511 3.84725440 4.78067353 1.49672356 5.21065024
100506235 1.0227142 1.81510007 2.11579413 2.35363229 1.56088488
100506258 1.1756421 1.53771605 0.55170488 -0.15331719 -0.62049918
100506282 1.9445990 1.72843223 1.63456618 3.13317361 2.50294489
100506286 0.4331185 0.07978314 -0.23252305 2.06882938 1.34038198
100506302 1.0227142 1.19399232 0.90735071 1.54279007 0.76201339
100506321 1.5560726 1.53771605 0.74045916 1.24134852 0.57218507
100506325 0.6574984 0.07978314 -0.62982575 0.62304654 -0.21838380
100506343 -0.1588217 1.43198658 0.33448392 2.79542649 -0.21838380
100506365 5.5340307 5.67573532 5.55310029 4.17164932 5.48435539
100506368 0.4331185 0.55305509 -0.23252305 -0.90798960 1.56088488
100506380 2.6664082 2.67607595 2.11579413 0.93083377 1.21605223
100506392 3.5608588 4.49819946 4.35900403 2.88756002 3.36011369
100506394 -0.5808708 1.19399232 0.33448392 3.39414808 1.07998876
100506411 1.4400626 0.55305509 0.55170488 2.50092304 1.75211119
100506433 1.6634444 1.97422480 0.55170488 -0.67924834 1.34038198
100506462 -0.1588217 0.07978314 0.07865857 2.32755264 -0.62049918
100506469 3.1452903 3.30435895 2.30712455 3.00739676 2.55520141
100506495 1.3139019 0.07978314 0.33448392 2.32755264 1.92093174
100506504 2.4435222 2.47780460 1.31630211 1.93704592 2.70149160
100506540 1.4400626 0.07978314 0.74045916 1.54279007 1.21605223
100506581 2.5592652 4.12681326 3.59933306 2.85140956 3.13826444
100506606 0.1672971 -0.23159280 0.07865857 -0.01341585 -1.17995959
100506658 1.7633756 2.67607595 1.53607832 2.65567653 0.76201339
100506668 3.2175437 3.80552572 2.71985850 2.63455952 3.74463967
100506686 1.4400626 2.76584913 2.30712455 1.29616811 1.34038198
100506691 0.1672971 0.07978314 0.33448392 -0.01341585 0.35353980
100506696 -1.1799596 0.07978314 0.74045916 1.71362000 0.57218507
100506697 0.8516323 1.05844442 0.07865857 1.54279007 -0.21838380
100506710 4.8271333 5.53600149 5.29904600 5.04204683 4.91317681
100506713 0.8516323 0.07978314 -0.62982575 -0.48185990 -0.21838380
100506725 4.3205022 5.08250143 3.38970494 1.18436334 4.41613448
100506731 1.5560726 2.04765553 0.90735071 4.13452570 1.07998876
100506757 0.4331185 1.89685520 1.31630211 1.75334394 2.14206089
100506779 1.4400626 -0.23159280 -0.23252305 1.97113740 1.07998876
100506804 -0.5808708 0.74188067 0.33448392 0.53462012 -0.62049918
100506826 2.0273324 1.53771605 0.90735071 0.70636467 1.75211119
100506844 2.1797966 4.07506808 3.52424631 2.54685776 1.56088488
100506866 5.5054535 4.49819946 4.60961104 3.22079559 4.70920493
100506881 2.0273324 2.24787618 2.18243040 3.88916291 1.75211119
100506885 2.1797966 1.31789149 1.63456618 2.30099285 1.21605223
100506911 -0.5808708 -1.17995959 0.74045916 -0.01341585 1.21605223
100506922 0.1672971 -0.62921309 0.07865857 1.58743104 -0.21838380
100506930 -1.1799596 0.33573965 0.74045916 -0.01341585 -0.21838380
100506994 1.4400626 1.19399232 0.55170488 0.44041789 1.07998876
100507003 -1.1799596 -1.17995959 -0.62982575 -1.17995959 -1.17995959
100507032 -1.1799596 -1.17995959 -1.17995959 -1.17995959 -1.17995959
100507034 3.2863505 3.17924002 2.52820111 5.94069658 2.07205066
100507050 0.4331185 -1.17995959 0.74045916 4.18623536 0.35353980
100507053 -1.1799596 -1.17995959 -0.23252305 0.70636467 0.09573511
100507057 0.1672971 0.74188067 1.53607832 2.09997664 -1.17995959
100507062 0.6574984 0.33573965 0.07865857 1.44913744 1.21605223
100507071 1.4400626 0.74188067 -0.23252305 0.11411017 0.92974377
100507156 3.0692266 2.85036183 2.88901484 3.10274240 1.92093174
100507171 2.3819714 4.20913303 3.86580160 0.85982175 2.39238588
100507173 0.4331185 1.19399232 1.05692244 -0.67924834 0.76201339
100507178 0.8516323 -0.62921309 0.07865857 1.90212930 0.09573511
100507244 2.0273324 1.53771605 1.43037119 2.09997664 1.99846896
100507246 4.1647441 4.47176394 3.54971193 3.82536496 4.38759668
100507250 -0.1588217 1.53771605 0.90735071 0.78513262 0.35353980
100507254 3.2175437 -0.62921309 -1.17995959 -1.17995959 -0.21838380
100507266 -1.1799596 1.05844442 1.31630211 -0.30825637 0.57218507
100507290 4.6941751 4.72777518 4.63362567 4.16430062 4.83077999
100507291 0.8516323 -0.23159280 1.31630211 0.62304654 0.76201339
100507303 1.4400626 3.21155166 2.11579413 2.09997664 1.75211119
100507308 0.4331185 -0.62921309 -0.23252305 0.53462012 -1.17995959
100507316 -0.1588217 -1.17995959 -1.17995959 1.06316060 0.35353980
100507331 1.7633756 1.72843223 1.05692244 2.21824733 2.07205066
100507347 2.5025541 2.67607595 2.57855478 4.48649346 2.33375779
100507373 2.9038959 2.04765553 2.11579413 2.21824733 2.27264589
100507392 -0.1588217 -1.17995959 0.74045916 2.27393492 0.35353980
100507398 -0.1588217 -0.23159280 -0.23252305 2.90530114 0.76201339
100507401 1.1756421 -0.23159280 -0.23252305 0.53462012 -0.21838380
100507420 -0.1588217 -1.17995959 -1.17995959 1.29616811 0.35353980
100507433 2.1055776 1.81510007 1.63456618 2.13046564 1.34038198
100507436 1.0227142 0.90882794 0.74045916 1.79200336 0.76201339
100507437 1.5560726 1.97422480 0.33448392 1.79200336 1.21605223
100507459 0.4331185 0.74188067 0.74045916 3.35595247 0.57218507
100507463 -1.1799596 -0.62921309 0.33448392 2.56928807 0.35353980
100507487 1.6634444 0.55305509 2.11579413 2.63455952 2.74713448
100507495 4.1829046 5.07373928 4.71466204 4.28440605 4.60150091
100507516 -0.1588217 0.33573965 1.05692244 0.78513262 1.56088488
100507551 0.8516323 -0.62921309 0.07865857 1.44913744 0.09573511
100507557 0.6574984 2.11752908 2.11579413 2.47739532 2.39238588
100507564 1.3139019 1.81510007 1.72675812 1.12503439 1.56088488
100507567 -0.1588217 0.90882794 -0.23252305 0.53462012 -0.62049918
100507588 -1.1799596 0.90882794 -0.62982575 1.39992804 0.09573511
100507599 0.4331185 0.07978314 0.74045916 0.62304654 0.76201339
100507602 3.9482567 4.63552287 4.44294261 4.21497234 4.43019444
100508120 2.1797966 1.72843223 2.47602620 -0.01341585 0.92974377
10051 6.5552981 5.27825384 4.99975277 5.72289217 5.35766691
10052 0.1672971 -0.23159280 1.53607832 1.12503439 1.07998876
100526737 2.4435222 2.04765553 1.53607832 2.32755264 1.45484207
100526760 1.7633756 2.18417423 2.30712455 1.58743104 0.57218507
100526820 1.1756421 0.55305509 0.55170488 1.29616811 0.57218507
100526835 5.0413494 2.72166071 2.57855478 0.33963225 3.76696907
100527978 -0.1588217 0.33573965 0.07865857 -0.90798960 -1.17995959
100529145 1.4400626 1.72843223 1.81341096 1.67277122 1.92093174
100529215 -0.1588217 0.55305509 1.31630211 0.44041789 -0.62049918
100532746 3.9268649 3.92725659 3.90579341 3.82536496 4.26744149
100533106 1.0227142 -0.23159280 0.90735071 -0.15331719 -1.17995959
100533182 0.6574984 0.55305509 -0.23252305 1.82965381 1.07998876
100533619 -0.1588217 -1.17995959 -0.23252305 1.24134852 0.76201339
100533629 0.1672971 -1.17995959 0.33448392 -0.48185990 0.92974377
100533695 0.6574984 1.19399232 0.74045916 0.99851381 0.57218507
100533970 1.1756421 0.74188067 1.53607832 1.54279007 0.76201339
100534593 0.1672971 1.05844442 1.31630211 1.97113740 0.09573511
10054 6.4316489 6.92954371 6.68491220 6.32869586 6.14775415
10056 5.9060917 5.94920175 5.80649722 4.59978399 5.53727733
10057 7.2881555 7.04835090 7.15203798 7.86652797 7.76881746
10058 5.4836428 6.78940353 6.29470682 7.36775393 6.75367801
10059 7.1838098 6.54505952 6.54630334 6.86699221 6.86136951
1006 5.4614973 5.64056752 5.92799341 5.44821590 7.40944898
10060 4.2873134 4.82496218 4.23890286 5.61651948 5.02856857
100616256 0.4331185 0.33573965 -0.62982575 0.33963225 0.09573511
10062 1.0227142 1.19399232 1.19243362 1.63073206 1.21605223
10063 4.1088495 4.25636066 4.31512935 3.60424599 3.93415636
100652739 1.0227142 0.90882794 0.90735071 2.21824733 0.57218507
100652758 0.4331185 2.58034368 2.11579413 3.85305310 2.14206089
100652846 1.7633756 1.53771605 0.33448392 0.93083377 2.95591400
10066 6.6464582 6.98199801 7.18897146 6.95586429 7.00449609
10067 6.0953558 6.26233508 6.32820276 5.50167493 6.43601413
10068 3.7432511 3.76255402 3.96377636 4.20067540 4.23577125
10069 2.9889283 3.55157070 3.33216687 4.79798853 3.49998950
10072 5.0009755 3.60119429 3.92538114 5.07768831 4.99112085
10073 3.5883696 4.30209114 4.03763093 3.56013029 4.17026553
10075 8.9002048 9.14381995 8.84166386 8.52454693 8.91651136
10076 6.4467580 5.74911293 6.15235831 7.21431229 7.04160264
10077 1.0227142 2.04765553 0.33448392 1.18436334 0.57218507
100775107 -0.1588217 0.90882794 1.31630211 0.78513262 0.57218507
10078 4.4905317 4.43117961 4.88439423 5.18688714 4.68595595
10079 5.4314311 5.58615425 5.88862069 5.62724947 5.54375813
1008 4.3846734 4.00305452 5.01811327 5.56722176 7.20384704
10081 5.0611204 5.16731482 4.93358598 6.07803971 4.69762727
10082 7.5361020 7.14980080 6.96595567 6.39768986 7.27568630
100820829 5.9438547 4.95470647 3.33216687 3.17764971 5.62546175
10084 5.1743735 4.99238887 4.63362567 4.67927089 4.80942389
100847074 1.8568310 2.42366591 2.24612424 1.97113740 2.20883037
10085 9.4972496 9.08834847 9.41646345 9.36786171 9.43654674
100852407 1.5560726 1.31789149 1.63456618 1.97113740 0.76201339
100861412 0.6574984 0.33573965 0.90735071 -0.15331719 0.09573511
100861548 4.4309955 5.57997968 5.62074262 5.67973404 4.98160505
100862671 0.6574984 0.74188067 0.33448392 0.11411017 0.92974377
10087 6.4163798 6.10352581 6.52077695 6.76622897 6.42201104
100873257 0.6574984 -0.62921309 0.33448392 -0.15331719 0.35353980
100873333 2.7171363 2.62900373 2.62721010 3.23489549 2.65435739
100873790 3.1077597 2.11752908 2.80691445 3.13317361 2.55520141
100873949 -0.1588217 -0.62921309 0.07865857 0.23127343 0.09573511
100873952 -0.1588217 0.55305509 -0.62982575 1.12503439 0.76201339
100873965 2.1797966 2.04765553 1.63456618 1.44913744 1.34038198
100874006 1.9445990 1.89685520 2.11579413 1.18436334 1.34038198
100874008 -0.1588217 0.74188067 1.19243362 0.11411017 2.14206089
100874014 1.9445990 1.53771605 1.05692244 2.54685776 2.55520141
100874058 2.0273324 2.80872423 2.88901484 1.67277122 2.44872419
100874080 0.1672971 0.07978314 0.33448392 1.12503439 0.57218507
100874097 1.5560726 2.18417423 1.63456618 2.40441849 2.14206089
100874201 0.6574984 0.55305509 0.33448392 -0.15331719 -0.21838380
100874212 0.8516323 1.81510007 1.31630211 1.18436334 0.35353980
100874217 -0.1588217 0.55305509 1.43037119 0.33963225 0.76201339
100874235 0.8516323 -1.17995959 -1.17995959 0.33963225 1.45484207
100874261 1.6634444 1.31789149 0.74045916 -0.30825637 1.21605223
100874291 1.0227142 -1.17995959 -0.23252305 0.33963225 -1.17995959
100874362 0.1672971 1.53771605 1.43037119 1.49672356 0.57218507
100874523 1.5560726 0.55305509 1.05692244 1.93704592 1.45484207
100885775 2.9470385 0.90882794 1.53607832 3.32991511 2.74713448
100885776 0.8516323 1.72843223 1.63456618 0.93083377 0.92974377
100885848 5.2709152 3.98447510 4.60961104 3.40665849 5.29758065
1009 9.7685043 8.04145669 9.20735841 7.66844044 9.14201175
10090 4.2533432 4.99238887 4.87435135 5.92120977 5.14396691
10092 7.9467432 7.53368108 7.63796700 6.54501328 7.56249658
10093 7.3069071 6.51300909 6.96831821 7.28462450 7.29885918
10094 4.1088495 3.33401380 4.17488221 3.96724974 3.99217288
10095 5.4465425 5.40939805 6.02650783 5.93206825 5.79802467
10097 8.5719070 8.05376214 8.43415665 8.76092178 8.36612348
10098 6.1881827 5.81893839 6.27956641 5.72539112 6.51399629
10099 8.6160155 9.04024775 8.81171722 8.82582218 8.43572417
100996246 1.7633756 2.47780460 2.62721010 2.00444185 2.83430404
100996251 0.8516323 1.43198658 0.07865857 1.18436334 -0.62049918
100996307 3.2523573 2.89083135 1.72675812 2.06882938 2.33375779
100996384 1.1756421 0.90882794 0.90735071 1.58743104 1.92093174
100996419 -0.1588217 0.33573965 1.19243362 0.70636467 0.35353980
100996485 2.7171363 2.42366591 0.74045916 2.37924885 1.92093174
100996539 -1.1799596 1.89685520 1.31630211 2.00444185 0.92974377
100996579 2.1797966 1.81510007 1.89515273 1.39992804 2.14206089
100996696 3.2523573 3.07772202 2.84854858 2.99087471 3.10359174
100996842 1.8568310 2.76584913 1.43037119 1.75334394 1.99846896
100996851 -0.5808708 0.90882794 1.97251037 -0.30825637 1.92093174
100996939 1.8568310 1.81510007 1.31630211 0.85982175 1.34038198
101 -0.1588217 -0.23159280 -0.23252305 2.69700530 0.92974377
1010 1.5560726 1.63622330 0.55170488 0.44041789 -0.21838380
10100 4.8155400 3.36307135 3.76068535 2.09997664 4.06606829
10101 5.0009755 4.99238887 5.01811327 5.48996516 4.99112085
10102 4.9057782 5.02001851 4.59745214 4.80272924 4.73208518
10103 -1.1799596 1.89685520 1.05692244 0.93083377 0.76201339
10105 7.1286632 6.61919461 6.39294812 7.09859934 6.43601413
10106 7.2860569 8.35884983 7.93711333 7.81113985 7.31220678
101060200 3.1077597 3.17924002 2.80691445 4.15691430 3.03164162
101060691 1.7633756 1.72843223 2.11579413 0.78513262 1.65966405
10109 8.5387991 8.37409617 8.41955482 8.68367730 9.20776356
10112 5.3209725 3.62538035 1.19243362 3.73896189 -0.21838380
10113 6.3892638 7.29634269 6.80344613 6.54359793 6.53691692
10114 8.1193312 8.00735290 8.01116492 9.11048716 8.18519904
101154753 -0.5808708 0.07978314 -0.23252305 1.12503439 -0.62049918
10116 7.8994792 7.80649265 8.05183382 7.43875934 7.58780459
10117 1.0227142 0.33573965 0.55170488 -0.01341585 0.09573511
1012 5.1561047 5.38126777 6.63819573 5.47815957 5.39398845
10121 6.3293828 5.81368556 5.87860730 5.89258919 6.39359040
10123 6.1609564 6.46355751 7.13531463 7.43571057 5.87713644
DMSO_24_C7 LPS_24_C7 TNFa_24_C7 H2O_24_C7 BPA_24_C7
100 2.52848695 3.0863938 2.72082645 1.96328489 2.91125040
1000 10.57806730 10.6418452 10.71705444 10.62402764 10.62117259
10000 7.06230342 6.9711358 6.81188741 7.07793517 7.02732457
10001 4.97381486 4.8498220 4.89763229 4.98023033 4.68257157
10003 4.51970702 4.6813313 3.45389003 4.57498307 4.49781884
100037417 -1.17995959 -1.1799596 -1.17995959 -1.17995959 -1.17995959
100049716 2.42625772 2.3514149 2.32340255 1.96328489 2.60172446
10005 3.79293684 3.4642171 3.53020813 3.99106511 3.75644672
10006 6.49558428 6.6040913 6.47151236 6.52005347 6.54545238
10007 5.54287564 5.2297613 5.41635493 5.22741914 5.19990409
10009 5.84483491 5.8808515 5.60461586 5.79088981 5.50111493
100093630 5.96364762 5.6446300 6.11053071 5.97944109 5.63891772
1001 7.27024854 7.3295941 7.17687636 7.26699994 7.45514181
10010 5.73151774 5.7619474 6.58618925 6.00708244 5.81209213
100101267 2.71348471 2.3514149 2.14072667 2.56892699 2.64424630
100101467 3.79293684 4.1028055 3.71594728 4.06306208 4.18867694
10011 5.82488282 5.4967512 5.64522118 5.54279968 5.47190139
100113386 -1.17995959 -0.6142541 0.05190863 -0.23752012 0.61428586
100113397 0.51408271 0.7763449 1.02059448 -0.63311449 1.74266468
100113407 4.72742083 4.4208750 4.68039156 4.61145670 4.84632808
100125288 1.99767647 1.8559575 2.20422367 2.23669614 2.20712320
100127983 2.52848695 2.0156854 1.39178220 2.91858320 2.55791117
100128006 1.84754568 2.7195275 2.20422367 2.41235398 0.77599679
100128016 0.29952772 0.7763449 1.68674610 1.52726705 0.92139479
100128025 0.51408271 1.2317378 0.05190863 0.73281485 0.77599679
100128054 2.95291249 2.4665102 2.20422367 2.35614467 2.60172446
100128071 0.29952772 0.3662283 0.51952497 1.62565022 -0.02022053
100128191 0.70082164 1.3563696 0.70655887 1.42168053 1.48635859
100128252 2.87743364 3.4916545 2.92307745 2.71015880 3.16595707
100128379 0.51408271 -0.2089424 0.05190863 0.73281485 0.43213348
100128398 4.45627411 4.5439265 4.23991605 4.74877498 4.47444175
100128494 3.85327871 3.6941761 3.86090899 3.58931435 3.93831640
100128569 1.99767647 1.7689319 1.27834313 1.71775042 0.77599679
100128640 -1.17995959 0.3662283 -1.17995959 -0.23752012 -0.31381907
100128682 -1.17995959 -1.1799596 -1.17995959 -1.17995959 -1.17995959
100128731 6.71199797 6.5299390 6.53153798 6.48116182 6.54264520
100128766 2.87743364 2.5207883 2.84554528 2.83878924 3.19485194
100128782 0.29952772 1.8559575 1.15521727 1.04873603 1.05347156
100128822 -1.17995959 -1.1799596 -1.17995959 -1.17995959 -1.17995959
100128833 2.91566662 2.4101100 2.58429678 2.66460062 1.89129181
100128881 2.13364631 2.2263351 1.93152025 1.71775042 2.08895248
100128893 6.06493512 5.5368133 5.24577986 5.78024923 5.86248815
100129001 0.86613620 0.9446258 1.15521727 1.52726705 0.92139479
100129013 1.58824859 1.7689319 0.51952497 1.62565022 1.96023188
100129029 0.70082164 0.3662283 0.30458032 0.73281485 0.92139479
100129060 3.05920638 2.7195275 3.37330813 3.23140231 3.40727593
100129075 2.25789787 1.9380308 0.05190863 1.71775042 1.17446450
100129195 2.37229170 2.4101100 3.03208223 3.03056376 3.71715028
100129203 1.14891031 -0.2089424 1.27834313 1.30775189 1.17446450
100129250 2.19710932 2.1594787 2.14072667 1.30775189 1.66218470
100129259 1.49031167 2.1594787 2.07430581 2.10645776 2.46607877
100129361 6.12735659 5.7161588 6.05133046 6.14617397 5.78858965
100129398 2.13364631 0.7763449 0.70655887 1.04873603 0.61428586
100129434 -0.64677099 0.5858108 0.70655887 -0.23752012 0.22361366
100129461 2.31622830 2.5207883 2.07430581 1.30775189 1.48635859
100129484 0.86613620 1.2317378 1.59496604 1.42168053 1.05347156
100129550 4.41683096 4.2546612 4.28466623 4.21300996 4.25877156
100129583 -0.25833429 -0.2089424 0.30458032 0.32773362 -1.17995959
100129662 0.86613620 -1.1799596 1.49694813 0.07261506 0.22361366
100129707 0.29952772 1.5773481 0.51952497 0.54444516 1.48635859
100129716 1.01444031 0.3662283 0.30458032 1.71775042 0.92139479
100129726 -0.64677099 0.5858108 1.49694813 0.73281485 0.92139479
100129774 3.44633788 3.9330647 3.88047806 3.56472364 4.00509597
100129781 0.51408271 1.5773481 1.77303496 1.80432220 1.74266468
100129792 0.29952772 0.7763449 0.05190863 1.04873603 0.22361366
100129794 2.31622830 1.5773481 1.68674610 2.51860068 1.81889136
100129842 1.38523897 1.7689319 1.93152025 2.17304610 1.48635859
100129917 1.49031167 1.5773481 0.51952497 1.71775042 2.02602730
100129924 0.86613620 1.6763178 1.02059448 0.73281485 0.92139479
100129940 0.29952772 1.5773481 1.27834313 0.32773362 -0.02022053
100129995 -0.25833429 -0.2089424 -0.64433479 -1.17995959 0.22361366
10013 5.81985138 5.8280157 5.87720386 5.85820404 5.81209213
100130111 0.70082164 0.3662283 0.51952497 1.04873603 -0.31381907
100130197 0.86613620 0.5858108 1.15521727 0.89940577 1.05347156
100130335 1.92456307 3.2876386 3.16568526 2.99419418 3.40727593
100130348 3.36577423 3.3786277 3.13342643 3.37974564 3.47950908
100130357 0.04739467 0.3662283 0.30458032 0.73281485 0.22361366
100130466 2.91566662 2.8941747 3.25834728 3.19981130 3.35702968
100130476 -0.64677099 -1.1799596 0.51952497 -0.23752012 -1.17995959
100130522 1.01444031 -0.2089424 1.02059448 1.04873603 -0.02022053
100130550 0.04739467 0.9446258 1.02059448 0.54444516 0.77599679
100130564 3.44633788 3.4362477 2.96033502 3.83530386 3.63519276
100130581 0.70082164 1.5773481 0.87210449 1.18404901 0.77599679
100130691 2.52848695 2.4665102 2.14072667 3.03056376 1.28609074
100130705 1.01444031 1.0953123 1.49694813 0.54444516 0.77599679
100130748 1.92456307 1.5773481 1.15521727 1.18404901 -0.02022053
100130750 -1.17995959 -1.1799596 -1.17995959 -1.17995959 -1.17995959
100130855 1.84754568 1.8559575 2.07430581 1.52726705 2.08895248
100130958 1.01444031 0.1071186 1.15521727 1.04873603 0.92139479
100131017 -1.17995959 -1.1799596 -1.17995959 -1.17995959 -1.17995959
100131031 2.66941138 2.4101100 2.99665459 2.71015880 2.36800115
100131033 1.92456307 0.9446258 1.49694813 1.80432220 2.02602730
100131067 1.38523897 0.7763449 1.27834313 1.42168053 1.38969690
100131089 1.49031167 0.7763449 1.49694813 -0.23752012 1.05347156
100131094 0.04739467 -0.2089424 -0.64433479 1.30775189 0.92139479
100131138 3.79293684 3.2559874 4.04559121 3.40766799 3.52573046
100131187 -0.25833429 -1.1799596 -1.17995959 -0.63311449 -1.17995959
100131193 3.22061811 3.2236262 2.63125701 3.48833195 3.10637100
100131211 3.92999864 4.0298186 4.47689935 4.45968000 4.21712475
100131213 0.70082164 1.0953123 -0.25461363 0.07261506 1.17446450
100131471 2.79778683 2.0156854 2.20422367 2.10645776 2.14924742
100131656 3.59510776 3.4642171 3.73756940 3.32222545 3.43175770
100131685 2.87743364 2.6723500 3.03208223 2.51860068 2.08895248
100131691 2.25789787 2.0156854 1.39178220 1.96328489 1.74266468
100131740 1.92456307 0.3662283 0.70655887 -0.23752012 0.92139479
100131801 3.75125954 2.8094922 3.82095605 3.79358631 3.75644672
100131827 -0.64677099 0.3662283 -1.17995959 -0.23752012 -0.02022053
100131828 -0.64677099 -0.2089424 -0.25461363 -1.17995959 -0.02022053
100131940 0.70082164 0.5858108 1.27834313 0.73281485 1.48635859
100132074 0.51408271 -0.2089424 -0.64433479 0.07261506 -0.02022053
100132086 0.86613620 0.5858108 1.15521727 0.54444516 0.22361366
100132116 8.27463456 8.3161489 7.88124898 8.38917612 8.36232940
100132126 0.86613620 0.9446258 0.51952497 1.18404901 -0.31381907
100132215 0.04739467 0.5858108 0.70655887 0.73281485 1.28609074
100132537 2.57700746 2.8524547 2.26504341 2.35614467 2.20712320
100132609 0.86613620 -1.1799596 0.30458032 0.07261506 0.61428586
100132659 0.70082164 0.1071186 1.15521727 0.07261506 0.43213348
100132891 -1.17995959 -1.1799596 0.30458032 -1.17995959 -1.17995959
100132972 0.70082164 -0.6142541 0.05190863 0.32773362 0.61428586
100133234 1.01444031 0.7763449 1.39178220 1.42168053 0.92139479
100133286 -0.64677099 -0.6142541 -0.25461363 0.07261506 -0.02022053
100133315 -0.25833429 0.9446258 0.70655887 0.73281485 0.92139479
100134934 1.38523897 2.1594787 2.20422367 1.18404901 2.55791117
10014 6.63960256 6.1838938 6.19501132 6.33976674 6.50276015
100144603 3.12595332 2.4101100 3.16568526 2.66460062 2.64424630
100144748 1.92456307 2.1594787 1.85445279 3.10066279 2.41787324
10015 7.63497424 7.4551119 7.52964241 7.58695663 7.45812434
10016 5.81480234 5.7277429 5.94846856 5.98408492 5.81674703
100170229 1.27190838 1.2317378 1.93152025 0.89940577 1.74266468
100170841 3.92999864 3.8293527 3.91883745 3.99106511 3.97209254
10018 4.36250442 3.9529416 4.46398628 4.71565120 3.95530331
100188847 1.49031167 1.4710857 1.15521727 1.04873603 1.48635859
10019 3.61847685 3.5964661 4.87829608 4.19709826 3.85024553
100190938 3.22061811 3.5964661 2.48552582 3.03056376 2.64424630
1002 2.52848695 1.7689319 2.20422367 2.35614467 1.66218470
10020 3.79293684 4.0849020 3.95620327 3.61349292 4.25877156
10021 7.81895704 7.7041165 7.71681130 7.70135679 7.89334330
10023 2.37229170 2.0156854 1.85445279 2.51860068 1.28609074
10024 3.83344387 2.0893728 2.67673673 3.26231636 2.94565861
10026 6.42112470 6.3728110 6.03396012 6.30678270 6.19479657
100268168 -0.25833429 0.7763449 -0.25461363 0.32773362 0.61428586
100270804 2.52848695 2.2902301 1.68674610 1.62565022 1.89129181
100270827 -0.64677099 -0.6142541 -1.17995959 -0.23752012 -1.17995959
100270840 3.66410920 3.4916545 4.04559121 3.66066735 3.45583095
100270854 2.66941138 1.9380308 2.58429678 2.23669614 1.96023188
100270865 3.41998006 3.6461481 3.67170588 3.68368844 3.92112709
100271271 3.47222277 3.5709684 3.25834728 3.13447507 3.54829744
100271332 2.91566662 2.7195275 2.88483214 3.26231636 2.97926527
100271415 1.38523897 2.1594787 1.49694813 1.62565022 1.48635859
100271479 -1.17995959 -1.1799596 -1.17995959 -1.17995959 -1.17995959
100271884 1.14891031 1.3563696 1.02059448 0.73281485 0.22361366
100272147 3.30945197 2.7652110 3.25834728 3.40766799 3.10637100
100286844 1.38523897 1.5773481 1.49694813 1.30775189 0.22361366
100287015 -1.17995959 -0.2089424 0.30458032 0.73281485 0.22361366
100287049 1.01444031 0.7763449 1.59496604 0.32773362 1.05347156
100287074 2.66941138 2.6235774 2.88483214 2.35614467 2.14924742
100287616 3.98497452 4.3920440 4.56419253 4.14828230 4.32561779
100287722 1.67995763 2.0893728 1.39178220 0.89940577 1.66218470
100287808 0.70082164 -0.2089424 1.02059448 0.07261506 0.92139479
100287837 0.04739467 0.3662283 0.30458032 1.04873603 0.77599679
100287896 3.30945197 3.3186103 3.31697248 3.53970651 3.19485194
100287902 0.70082164 -0.2089424 0.30458032 -1.17995959 -0.02022053
100287928 2.98922094 2.6723500 3.22811643 2.35614467 1.96023188
100287932 5.83489335 5.4762952 5.64522118 5.49153713 5.68547186
100288001 2.19710932 1.4710857 2.37949247 2.61755674 2.26276648
100288073 4.17032691 3.6703619 3.55477596 3.58931435 3.93831640
100288123 0.70082164 0.9446258 0.05190863 0.54444516 1.28609074
100288198 3.12595332 2.2263351 3.03208223 2.51860068 2.41787324
100288241 2.19710932 1.6763178 1.39178220 0.73281485 1.66218470
100288413 1.84754568 2.4665102 2.76360862 2.41235398 0.92139479
100288513 0.29952772 0.3662283 0.87210449 -0.63311449 0.92139479
100288842 0.70082164 1.5773481 1.27834313 1.52726705 0.92139479
100289061 0.04739467 -0.2089424 0.05190863 0.73281485 0.22361366
100289095 1.14891031 1.3563696 0.30458032 1.30775189 1.48635859
100289133 1.99767647 1.6763178 2.26504341 2.61755674 2.60172446
100289178 2.75625145 2.0156854 1.49694813 2.66460062 2.68555066
100289211 -0.25833429 1.2317378 1.49694813 1.30775189 1.38969690
100289259 0.51408271 1.0953123 1.15521727 0.54444516 0.92139479
100289274 3.41998006 3.4077254 2.76360862 1.96328489 3.19485194
100289341 1.27190838 1.0953123 1.27834313 1.30775189 1.17446450
100289373 -1.17995959 -1.1799596 -0.25461363 -1.17995959 -1.17995959
100289388 1.58824859 1.7689319 2.26504341 1.88599184 2.02602730
100289414 -0.25833429 0.5858108 0.70655887 0.07261506 0.22361366
100289635 5.36777830 5.4831461 5.44948761 5.45185832 5.60702553
100289640 1.58824859 2.2902301 2.00467877 1.80432220 2.36800115
100289678 3.15820337 3.0125502 2.84554528 2.87923781 3.07562892
100293516 3.47222277 3.7406565 4.04559121 4.39140291 4.31249403
100294362 1.76618373 1.8559575 2.48552582 1.62565022 1.28609074
1003 1.01444031 1.5773481 2.84554528 1.04873603 1.57694855
100302692 1.58824859 0.1071186 1.49694813 2.35614467 2.46607877
100302736 1.49031167 2.0893728 1.49694813 1.71775042 1.57694855
100303728 3.68639529 3.4916545 3.37330813 2.99419418 3.22317943
100303755 1.67995763 1.0953123 1.49694813 1.52726705 1.38969690
100312828 0.86613620 0.9446258 0.05190863 -0.23752012 0.77599679
100312850 0.29952772 0.7763449 1.27834313 0.32773362 1.17446450
10036 4.65015642 4.1204895 4.17800448 4.09775655 4.29924979
100379345 3.25084126 3.1905224 3.28795765 3.10066279 3.52573046
10038 5.69900328 5.5629164 5.51980695 5.25841775 5.45408504
100381270 1.58824859 1.7689319 2.20422367 1.04873603 1.89129181
10039 6.29264190 6.2775069 6.58021812 6.02971912 6.06386901
1004 6.48925994 6.7246161 6.64743779 6.64846745 6.78519542
10040 4.20161065 3.6461481 3.99262570 4.33435489 3.63519276
100418710 2.13364631 1.0953123 1.39178220 1.71775042 2.60172446
100418735 2.91566662 3.8076846 3.71594728 3.93460687 3.79470112
100418744 1.01444031 1.2317378 0.30458032 1.80432220 1.74266468
100418770 2.98922094 3.2876386 2.67673673 3.06603899 2.51272553
100418781 1.76618373 0.5858108 1.27834313 1.30775189 1.89129181
100418819 1.01444031 0.5858108 0.51952497 1.18404901 0.77599679
100418829 2.95291249 2.7652110 2.58429678 3.29258185 3.04421748
100418888 1.14891031 1.9380308 2.32340255 1.62565022 1.05347156
100418889 2.98922094 2.1594787 2.72082645 2.46645517 2.51272553
100418910 0.86613620 1.0953123 1.27834313 0.89940577 0.92139479
100418919 1.58824859 2.0156854 2.43348307 1.88599184 1.96023188
100419028 1.84754568 0.3662283 1.77303496 1.88599184 1.48635859
100419185 0.29952772 0.3662283 1.02059448 -0.23752012 -0.02022053
100419416 1.27190838 1.4710857 0.70655887 1.04873603 -0.02022053
100419515 0.70082164 0.3662283 0.70655887 1.62565022 0.92139479
100419645 0.51408271 0.7763449 -0.25461363 0.54444516 -0.31381907
100419758 0.70082164 -0.2089424 -1.17995959 -0.23752012 -0.31381907
100419928 1.38523897 1.8559575 1.39178220 1.42168053 1.05347156
10042 5.57309196 5.6385061 5.60461586 5.51097467 5.46598702
100420028 -0.64677099 0.1071186 -0.64433479 -0.23752012 -1.17995959
100420050 0.51408271 0.1071186 -1.17995959 -0.23752012 0.43213348
100420110 3.12595332 3.3186103 3.50521467 3.13447507 3.54829744
100420187 2.25789787 2.2263351 1.27834313 1.88599184 1.66218470
100420259 4.30605182 3.9129102 3.91883745 4.13163622 4.15965688
100420307 0.70082164 1.0953123 1.59496604 1.18404901 0.77599679
100420341 5.08703469 5.1545093 4.99060703 5.31848563 5.45408504
100420423 1.14891031 0.7763449 0.51952497 1.18404901 1.38969690
100420591 1.38523897 1.2317378 1.49694813 0.54444516 1.05347156
100420707 2.62394910 3.2559874 2.96033502 2.79717382 2.60172446
100420752 1.92456307 2.4665102 1.68674610 2.17304610 2.41787324
100420869 4.00284392 3.8924701 3.82095605 3.87584891 3.73693229
100420981 5.60268837 5.7843080 6.03396012 5.69217541 5.66496636
100421093 3.22061811 3.3786277 3.42752635 3.93460687 3.54829744
100421109 0.51408271 0.1071186 1.49694813 0.73281485 1.17446450
100421160 1.01444031 1.4710857 0.30458032 0.54444516 0.77599679
100421175 1.58824859 -0.2089424 -0.25461363 2.03664665 0.92139479
100421246 1.49031167 2.2263351 1.85445279 1.42168053 2.02602730
100421311 2.25789787 2.4101100 2.84554528 2.29765628 2.87600146
100421372 0.70082164 1.3563696 2.26504341 2.03664665 1.81889136
100421400 1.99767647 1.6763178 2.20422367 2.17304610 1.28609074
100421415 0.86613620 -1.1799596 0.30458032 -1.17995959 -0.02022053
100421429 0.86613620 -0.2089424 0.51952497 0.32773362 -0.02022053
100421465 1.99767647 0.9446258 1.77303496 2.41235398 2.68555066
100421468 1.14891031 0.7763449 2.07430581 2.03664665 1.05347156
100421506 0.70082164 -1.1799596 -1.17995959 -0.63311449 -1.17995959
100421569 0.86613620 -0.2089424 0.51952497 -0.63311449 0.22361366
100421595 0.86613620 1.5773481 1.59496604 1.42168053 1.81889136
100421794 3.81333251 3.4916545 3.77986510 3.29258185 3.73693229
100422106 1.58824859 1.0953123 1.93152025 1.62565022 1.38969690
100422338 1.67995763 2.0156854 2.26504341 1.80432220 1.81889136
100422546 1.01444031 0.3662283 0.51952497 -1.17995959 0.22361366
100422561 4.05516132 3.8924701 3.84107082 3.97249011 4.17423988
10043 5.73686628 5.7619474 5.85759002 5.76952959 5.88038612
10044 4.59231898 3.9529416 3.97452942 4.02751267 4.14492497
10045 0.86613620 0.5858108 0.70655887 0.54444516 -0.02022053
10046 0.51408271 -0.6142541 -0.25461363 0.73281485 0.77599679
10048 6.81673186 6.8438501 6.80933724 7.03382407 6.66643504
10049 5.42191028 5.5693690 5.58088916 5.55533569 5.64416521
100499177 4.15442692 3.7633470 3.80055687 3.43506017 3.45583095
100499483 0.70082164 1.6763178 1.59496604 0.73281485 -0.68284284
1005 -0.25833429 -1.1799596 -1.17995959 -1.17995959 -1.17995959
100500719 0.29952772 1.3563696 1.27834313 1.30775189 1.17446450
100505385 2.98922094 3.2876386 2.32340255 3.10066279 2.91125040
100505501 1.99767647 1.6763178 0.87210449 2.41235398 1.89129181
100505538 1.49031167 0.3662283 1.39178220 1.52726705 1.28609074
100505549 -0.25833429 -0.2089424 -0.25461363 -1.17995959 -1.17995959
100505573 5.98178148 5.7335003 5.97146208 6.19506013 6.16224755
100505576 3.83344387 3.6703619 3.31697248 4.31973331 3.73693229
100505616 1.01444031 0.1071186 -1.17995959 -0.23752012 -0.02022053
100505624 1.27190838 1.2317378 1.39178220 1.80432220 1.17446450
100505635 1.92456307 1.5773481 0.70655887 0.89940577 1.17446450
100505641 2.57700746 2.5730981 3.47978057 2.41235398 2.46607877
100505648 3.22061811 2.2263351 2.88483214 2.95688397 2.83986967
100505678 1.49031167 2.5730981 1.93152025 2.66460062 2.83986967
100505696 4.62729893 4.1891345 3.88047806 4.34882977 4.27239089
100505715 -1.17995959 -0.6142541 -0.64433479 -0.23752012 -1.17995959
100505738 1.84754568 1.6763178 -1.17995959 2.03664665 2.14924742
100505741 0.86613620 1.2317378 1.27834313 1.04873603 1.28609074
100505758 3.09296583 3.0499444 2.84554528 3.26231636 3.07562892
100505761 2.25789787 2.2263351 2.72082645 2.51860068 2.20712320
100505771 3.57135388 3.3786277 3.37330813 3.61349292 3.47950908
100505783 -0.25833429 -1.1799596 -0.64433479 -1.17995959 -0.31381907
100505806 3.09296583 3.1219450 2.96033502 2.91858320 3.19485194
100505812 -0.64677099 0.1071186 -1.17995959 1.04873603 -0.02022053
100505832 0.29952772 0.5858108 -0.25461363 0.07261506 1.17446450
100505854 0.29952772 0.5858108 -0.25461363 0.32773362 1.17446450
100505876 5.42191028 5.4967512 5.48187643 5.62240173 5.64939368
100505894 1.49031167 1.9380308 1.85445279 1.71775042 1.74266468
100505933 0.29952772 -0.2089424 -0.64433479 0.07261506 -0.31381907
100505994 -1.17995959 -1.1799596 0.05190863 -1.17995959 -1.17995959
100506020 1.14891031 2.0893728 1.02059448 1.42168053 1.17446450
100506033 4.49466753 4.3019241 4.45095658 4.90386414 4.57677862
100506054 -1.17995959 0.9446258 0.51952497 0.54444516 -0.02022053
100506068 0.70082164 -0.6142541 -0.25461363 -0.63311449 -0.31381907
100506070 0.29952772 0.3662283 0.51952497 0.54444516 0.77599679
100506083 0.70082164 0.7763449 -0.64433479 0.07261506 0.22361366
100506100 1.67995763 -0.2089424 0.30458032 0.54444516 1.05347156
100506119 -1.17995959 0.1071186 -0.25461363 -0.63311449 0.22361366
100506127 2.62394910 2.8524547 1.93152025 2.10645776 2.31634312
100506142 0.04739467 -0.2089424 0.30458032 -0.23752012 0.61428586
100506144 1.49031167 1.7689319 1.85445279 1.62565022 1.48635859
100506161 0.70082164 1.4710857 0.87210449 0.07261506 1.38969690
100506211 5.53060965 5.2133745 5.30490761 5.51097467 5.66496636
100506235 1.99767647 1.8559575 1.59496604 1.30775189 1.74266468
100506258 -1.17995959 0.3662283 0.05190863 -0.63311449 -0.31381907
100506282 2.42625772 1.8559575 2.07430581 2.17304610 2.41787324
100506286 1.01444031 1.3563696 1.02059448 1.04873603 0.61428586
100506302 0.51408271 0.3662283 0.70655887 1.62565022 0.43213348
100506321 1.01444031 0.5858108 1.02059448 0.73281485 0.43213348
100506325 0.04739467 -0.6142541 -0.25461363 0.32773362 -0.68284284
100506343 1.38523897 0.9446258 1.27834313 0.54444516 1.05347156
100506365 5.44823318 5.4555448 5.56887786 5.79618082 5.39927655
100506368 0.29952772 -0.2089424 1.15521727 1.42168053 0.22361366
100506380 1.76618373 1.7689319 1.68674610 2.35614467 2.08895248
100506392 3.44633788 3.8924701 4.01049780 3.77226627 3.63519276
100506394 -0.25833429 0.7763449 -1.17995959 -1.17995959 0.61428586
100506411 1.49031167 0.3662283 1.49694813 0.89940577 1.28609074
100506433 0.29952772 0.7763449 1.49694813 2.17304610 1.38969690
100506462 -0.64677099 -0.2089424 0.05190863 0.07261506 0.61428586
100506469 2.57700746 2.6235774 2.00467877 2.46645517 2.72570532
100506495 1.01444031 1.5773481 0.87210449 -1.17995959 -0.02022053
100506504 2.31622830 2.4101100 2.53575640 1.62565022 2.46607877
100506540 1.14891031 1.2317378 1.02059448 1.62565022 1.05347156
100506581 3.22061811 2.9741608 3.13342643 2.10645776 3.52573046
100506606 -0.64677099 -0.2089424 -0.64433479 -1.17995959 -0.68284284
100506658 1.27190838 1.4710857 -0.25461363 1.71775042 0.61428586
100506668 2.98922094 2.2263351 2.99665459 2.91858320 3.33123470
100506686 2.13364631 1.2317378 1.39178220 1.88599184 1.38969690
100506691 -1.17995959 -1.1799596 0.70655887 0.07261506 0.77599679
100506696 0.29952772 0.7763449 1.39178220 1.30775189 0.61428586
100506697 -0.25833429 0.9446258 0.87210449 1.04873603 1.38969690
100506710 5.12015653 5.0196494 5.30490761 4.72677717 4.67233462
100506713 1.01444031 0.9446258 1.27834313 0.07261506 0.43213348
100506725 4.37627904 4.5827169 4.19373323 4.80234532 4.65164020
100506731 1.99767647 2.5730981 0.70655887 1.30775189 1.17446450
100506757 1.58824859 1.0953123 1.02059448 1.30775189 1.28609074
100506779 1.38523897 0.3662283 1.02059448 0.89940577 -0.31381907
100506804 -0.25833429 0.1071186 -1.17995959 -0.63311449 -1.17995959
100506826 1.84754568 -0.6142541 0.70655887 1.30775189 1.17446450
100506844 2.71348471 1.5773481 2.58429678 2.51860068 2.08895248
100506866 4.90895810 4.7958157 5.00850400 5.24300170 5.08883332
100506881 2.42625772 2.5730981 1.49694813 2.17304610 1.96023188
100506885 1.76618373 1.7689319 1.93152025 2.29765628 2.26276648
100506911 0.29952772 0.3662283 0.51952497 -0.63311449 0.43213348
100506922 0.04739467 -0.2089424 -1.17995959 -0.23752012 -0.31381907
100506930 0.29952772 -1.1799596 -0.25461363 -1.17995959 0.22361366
100506994 1.01444031 1.3563696 1.68674610 1.30775189 0.22361366
100507003 -1.17995959 0.1071186 -1.17995959 -1.17995959 -1.17995959
100507032 -1.17995959 -1.1799596 -1.17995959 -1.17995959 -1.17995959
100507034 3.18974824 2.4101100 2.84554528 2.99419418 2.94565861
100507050 1.27190838 -0.2089424 1.85445279 -0.23752012 0.22361366
100507053 0.29952772 -1.1799596 -0.25461363 -1.17995959 -1.17995959
100507057 -1.17995959 0.3662283 -0.25461363 0.07261506 -1.17995959
100507062 -1.17995959 -0.2089424 -1.17995959 0.32773362 0.61428586
100507071 0.70082164 0.5858108 0.70655887 1.42168053 0.77599679
100507156 2.75625145 2.9347220 3.06666070 2.66460062 2.36800115
100507171 2.57700746 1.8559575 2.00467877 3.03056376 2.64424630
100507173 -1.17995959 -0.2089424 0.87210449 -1.17995959 -1.17995959
100507178 0.29952772 0.1071186 0.70655887 0.32773362 -0.68284284
100507244 1.58824859 1.6763178 0.87210449 2.10645776 1.38969690
100507246 4.08901445 3.4642171 4.48969787 4.18100911 4.21712475
100507250 0.29952772 -0.2089424 1.02059448 -0.23752012 0.43213348
100507254 1.99767647 0.7763449 1.27834313 2.23669614 1.81889136
100507266 -1.17995959 0.5858108 1.02059448 0.73281485 1.38969690
100507290 4.92778802 5.0290431 5.17622937 4.79178921 5.03392090
100507291 0.04739467 -1.1799596 0.05190863 0.32773362 0.61428586
100507303 2.52848695 2.1594787 1.85445279 1.62565022 2.20712320
100507308 1.01444031 0.7763449 0.87210449 0.32773362 0.43213348
100507316 -0.25833429 0.3662283 -1.17995959 -0.23752012 -1.17995959
100507331 1.27190838 2.2263351 1.68674610 1.42168053 1.66218470
100507347 1.14891031 2.2902301 2.67673673 2.51860068 1.57694855
100507373 1.84754568 2.4665102 2.63125701 2.51860068 3.10637100
100507392 -0.25833429 -0.6142541 0.30458032 0.89940577 -0.31381907
100507398 0.51408271 -1.1799596 -0.64433479 0.07261506 1.17446450
100507401 -1.17995959 0.5858108 0.51952497 -0.63311449 0.22361366
100507420 -1.17995959 -1.1799596 -1.17995959 -0.23752012 -1.17995959
100507433 1.92456307 2.2263351 1.68674610 1.80432220 1.38969690
100507436 0.29952772 1.0953123 0.30458032 0.32773362 0.22361366
100507437 2.13364631 1.0953123 1.49694813 1.62565022 0.92139479
100507459 1.01444031 1.4710857 0.87210449 0.89940577 0.61428586
100507463 -1.17995959 -1.1799596 0.87210449 -0.63311449 0.22361366
100507487 1.92456307 1.0953123 1.68674610 2.03664665 1.66218470
100507495 4.55646978 4.5307611 4.26990320 4.73781800 4.63064460
100507516 0.29952772 0.3662283 -0.25461363 0.32773362 1.17446450
100507551 1.01444031 -0.2089424 0.30458032 0.07261506 0.22361366
100507557 1.27190838 2.0893728 1.02059448 1.04873603 1.81889136
100507564 1.76618373 1.0953123 1.27834313 0.73281485 1.81889136
100507567 -0.25833429 -0.2089424 0.51952497 0.07261506 0.77599679
100507588 -0.25833429 0.1071186 1.39178220 0.32773362 -0.02022053
100507599 1.49031167 -1.1799596 0.30458032 -0.23752012 0.22361366
100507602 4.24729997 4.7282208 4.17800448 4.58724369 4.43865014
100508120 1.27190838 0.7763449 1.02059448 1.30775189 1.28609074
10051 6.68181132 6.1368800 5.71772685 6.57341486 6.44379795
10052 0.51408271 0.5858108 0.70655887 0.54444516 1.66218470
100526737 1.49031167 2.0893728 1.77303496 1.42168053 2.02602730
100526760 1.67995763 1.4710857 1.59496604 1.88599184 0.77599679
100526820 0.86613620 -0.2089424 -0.25461363 1.30775189 -1.17995959
100526835 3.66410920 3.0863938 3.60269105 3.63727294 2.83986967
100527978 -0.25833429 -0.2089424 -0.25461363 0.32773362 -0.31381907
100529145 1.76618373 1.3563696 1.49694813 2.35614467 1.17446450
100529215 1.14891031 0.9446258 0.51952497 1.18404901 -0.31381907
100532746 4.27697495 3.9330647 4.35629694 3.77226627 4.20297096
100533106 -0.25833429 -1.1799596 0.87210449 -0.23752012 -1.17995959
100533182 -0.25833429 0.1071186 -0.64433479 0.54444516 0.22361366
100533619 -1.17995959 -1.1799596 -0.25461363 -0.23752012 0.92139479
100533629 -0.64677099 0.3662283 0.05190863 0.73281485 -0.31381907
100533695 0.04739467 0.1071186 1.39178220 0.54444516 0.43213348
100533970 0.04739467 1.6763178 0.51952497 1.30775189 1.05347156
100534593 -0.64677099 0.9446258 0.51952497 0.54444516 1.38969690
10054 6.61657590 6.5561656 6.62441057 6.45128921 6.26460156
10056 5.96820250 5.8440706 5.82261077 5.91280739 5.96249476
10057 7.31742119 7.1900142 7.20042390 7.31754915 7.22587378
10058 5.78413127 5.8704380 5.78676231 5.89318991 5.93278512
10059 7.11460067 7.0167047 7.15293809 7.23813236 7.13374759
1006 5.63168982 6.1237876 6.36092598 5.95125978 5.70568998
10060 4.69481285 4.3920440 4.34225250 4.29003793 4.29924979
100616256 -0.64677099 0.1071186 0.05190863 -0.63311449 -0.68284284
10062 1.84754568 2.6235774 1.39178220 2.03664665 1.17446450
10063 4.41683096 4.1552203 4.39762812 4.49914718 4.69273639
100652739 0.70082164 0.1071186 1.15521727 0.32773362 1.57694855
100652758 1.01444031 0.5858108 1.27834313 1.71775042 1.57694855
100652846 2.42625772 1.6763178 1.49694813 2.35614467 2.41787324
10066 6.85904000 6.8883988 7.00254873 6.77176121 6.80875281
10067 6.19498228 6.2931850 6.31132256 6.20304917 6.14754221
10068 3.52263960 3.9725483 3.93764133 3.89570198 3.75644672
10069 2.79778683 2.8941747 3.84107082 3.35127219 3.22317943
10072 5.09538671 5.1545093 4.89763229 4.95206458 4.82799984
10073 4.15442692 4.3920440 4.23991605 4.36316086 4.42651952
10075 8.81185589 8.9030020 9.02707897 8.81963094 8.83348735
10076 6.35657697 6.4587361 5.91564925 6.17489182 6.35698020
10077 1.27190838 1.6763178 0.70655887 0.89940577 1.28609074
100775107 0.51408271 1.2317378 1.27834313 1.42168053 0.77599679
10078 4.71663318 4.4208750 4.66918387 4.40531928 4.75226573
10079 5.20750548 5.3987057 5.47545657 5.43838578 5.21408785
1008 4.50724160 5.0290431 5.72856509 4.85399750 5.25582117
10081 4.98284661 4.8603849 4.60004534 4.71565120 4.94317142
10082 7.30667129 7.5737908 7.37957016 7.47759357 7.41579716
100820829 6.15957564 5.7563027 5.58685752 6.05642247 6.16224755
10084 5.00960747 5.0101942 4.96333828 4.56261737 4.82799984
100847074 1.67995763 2.1594787 2.20422367 1.96328489 2.08895248
10085 9.36969569 9.5416442 9.15159326 9.48231601 9.28153103
100852407 0.70082164 1.3563696 0.87210449 0.73281485 0.43213348
100861412 1.58824859 1.6763178 1.15521727 -0.23752012 0.61428586
100861548 4.75930806 4.5174744 4.58819313 4.49914718 4.66202451
100862671 0.51408271 0.1071186 1.77303496 -0.63311449 1.05347156
10087 6.53909499 6.5561656 6.50025707 6.73366227 6.75640921
100873257 0.04739467 0.3662283 -0.25461363 0.32773362 -0.68284284
100873333 2.83815980 2.8941747 2.72082645 3.06603899 2.83986967
100873790 1.99767647 2.8524547 2.67673673 3.13447507 2.94565861
100873949 0.04739467 0.1071186 0.70655887 1.18404901 0.77599679
100873952 0.51408271 -0.2089424 0.51952497 0.07261506 -0.02022053
100873965 2.57700746 2.1594787 2.32340255 2.23669614 1.05347156
100874006 2.25789787 1.7689319 2.00467877 2.23669614 1.57694855
100874008 1.49031167 2.0893728 0.70655887 1.62565022 0.61428586
100874014 2.47827764 1.2317378 1.85445279 1.62565022 1.81889136
100874058 2.06726264 1.7689319 1.02059448 2.29765628 1.96023188
100874080 0.70082164 0.5858108 0.30458032 0.89940577 1.48635859
100874097 2.25789787 1.3563696 2.07430581 1.52726705 1.81889136
100874201 -0.25833429 0.5858108 -0.64433479 -0.63311449 0.92139479
100874212 1.14891031 1.3563696 1.49694813 0.54444516 1.28609074
100874217 0.70082164 0.3662283 1.15521727 0.54444516 1.17446450
100874235 1.27190838 -0.2089424 0.51952497 1.18404901 0.61428586
100874261 1.38523897 0.5858108 1.15521727 0.73281485 1.05347156
100874291 0.29952772 -1.1799596 0.51952497 1.30775189 -0.31381907
100874362 1.58824859 1.2317378 0.30458032 1.04873603 0.43213348
100874523 2.06726264 1.7689319 2.32340255 1.52726705 1.38969690
100885775 2.13364631 3.0125502 3.40067192 3.79358631 2.94565861
100885776 1.14891031 0.5858108 0.51952497 0.73281485 0.22361366
100885848 5.51823848 5.5757929 5.64522118 5.40414349 5.41777837
1009 9.77748088 9.8904682 9.62093531 9.78938299 9.72610453
10090 5.07018418 4.7049665 5.26079053 5.05275662 4.75226573
10092 8.01439901 8.0071317 7.93487700 8.02577292 8.03090383
10093 7.38711024 7.4895420 7.57388514 7.24588704 7.53640667
10094 3.52263960 3.9129102 4.41114618 4.21300996 4.13004107
10095 5.82989677 5.5693690 6.00304951 5.54279968 5.77908039
10097 8.51539702 8.6669299 8.85476675 8.67849656 8.55642338
10098 6.50501911 6.2735607 6.50025707 6.47127285 6.33443415
10099 8.67087876 8.5713153 8.46935501 8.62894884 8.60768679
100996246 2.19710932 2.8524547 3.13342643 2.87923781 3.04421748
100996251 0.04739467 -0.6142541 1.59496604 1.62565022 1.05347156
100996307 2.37229170 2.2902301 2.37949247 2.75432224 2.51272553
100996384 1.99767647 1.6763178 1.85445279 1.18404901 1.05347156
100996419 0.86613620 0.3662283 0.05190863 0.32773362 0.77599679
100996485 2.47827764 2.8094922 2.48552582 2.56892699 1.89129181
100996539 0.70082164 -0.2089424 0.51952497 0.32773362 0.61428586
100996579 0.51408271 1.3563696 1.27834313 1.88599184 1.28609074
100996696 3.64147344 3.4916545 3.31697248 3.06603899 3.10637100
100996842 2.57700746 2.0156854 2.20422367 2.75432224 2.08895248
100996851 1.27190838 1.3563696 0.51952497 1.18404901 -0.31381907
100996939 1.38523897 0.7763449 0.51952497 1.04873603 0.61428586
101 0.70082164 1.2317378 1.27834313 0.32773362 0.61428586
1010 1.01444031 -0.2089424 0.70655887 1.52726705 0.92139479
10100 5.05313453 5.3319651 5.16829043 5.27367081 5.00973173
10101 5.05313453 4.6204916 5.07795104 5.06157132 5.10414619
10102 4.79050571 4.5439265 4.85869719 5.05275662 5.14913313
10103 -0.25833429 -0.2089424 0.70655887 -1.17995959 -0.31381907
10105 6.89057628 6.8961196 7.10799223 6.94372303 7.00302361
10106 7.37515513 7.4912421 7.34477222 7.39630967 7.63194537
101060200 3.25084126 2.6723500 3.06666070 3.26231636 3.10637100
101060691 1.49031167 2.1594787 1.27834313 1.88599184 1.66218470
10109 8.71151615 8.8168192 8.84981164 8.77410316 8.82369238
10112 5.56108126 4.0849020 4.09668086 5.12181077 5.24894891
10113 6.39767861 6.2212517 6.26740423 6.25007604 6.41645787
10114 8.11948551 8.1136154 7.97638882 8.01560246 7.93675447
101154753 -1.17995959 -0.2089424 0.51952497 0.07261506 -0.02022053
10116 7.33868362 7.5148358 7.58287183 7.50854445 7.47736192
10117 -0.25833429 -0.2089424 0.30458032 -0.23752012 -0.02022053
1012 5.48683834 5.7843080 6.21441705 5.70910403 5.48365788
10121 6.42775419 6.2696035 6.34340561 6.10413072 6.27816621
10123 5.78928861 5.8333872 5.71227704 5.79618082 5.94559281
PFOA_24_C7 EtOH_24_C7 TUN_2_H1 THA_2_H1 DMSO_2_H1
100 3.18210845 3.01876598 2.70977263 1.7395851 2.55767855
1000 10.55856033 10.49096375 11.30462857 10.6736344 11.03855196
10000 6.98815752 7.04713963 5.30700227 6.1832706 5.80917593
10001 4.89530616 4.97432118 4.22834373 4.5622780 5.00657684
10003 4.46787783 4.47504679 5.77046315 6.0681547 5.79408322
100037417 -1.17995959 -1.17995959 3.18335856 2.6409491 3.85259412
100049716 2.97662899 2.12373266 3.68898684 3.1914752 3.79310875
10005 3.81728076 3.45940457 3.94852765 4.5347920 4.49922766
10006 6.53629197 6.54044691 6.32661724 6.5350014 6.18968521
10007 5.32920804 5.22480699 4.87873837 4.2937331 5.35399664
10009 5.51173071 5.37444842 5.35259279 5.3813707 5.47249535
100093630 5.65085090 5.72964022 4.12704087 5.1012295 4.31413028
1001 7.47866244 7.34637766 6.76124197 7.4063460 5.09133149
10010 5.71292452 5.91206781 4.81502516 5.0438887 5.48508060
100101267 2.60030068 1.87853379 1.90534146 2.0810300 1.97911542
100101467 3.93560415 4.06952178 4.73465846 5.5418517 4.80048735
10011 5.19328752 5.44945794 5.34358922 5.5487387 5.65621002
100113386 -1.17995959 -0.35483628 2.00006361 1.1536532 1.97911542
100113397 0.53149799 1.21078389 1.44846327 0.4147467 0.28616784
100113407 4.42805774 4.70908379 3.77186555 5.2690919 4.59522752
100125288 1.29248413 2.33324905 1.80396043 2.0029425 2.60457042
100127983 2.77976028 2.98812898 2.00006361 2.5884432 2.04859229
100128006 1.40615987 2.12373266 2.46607414 3.3258392 1.25486404
100128016 0.53149799 0.54907512 0.26779530 2.0810300 1.82923916
100128025 -0.24641255 0.70791758 -1.17995959 -0.5901170 1.25486404
100128054 2.28073412 2.63957267 0.77599306 1.1536532 -0.65319141
100128071 0.71917671 0.16678342 0.77599306 1.6399110 0.49968541
100128191 1.70165858 1.40883586 1.57694427 2.2927427 1.25486404
100128252 3.11681386 2.95682723 -1.17995959 -1.1799596 -1.17995959
100128379 1.70165858 0.54907512 -1.17995959 -1.1799596 0.28616784
100128398 3.89723126 4.33598665 5.52178333 5.1743023 5.63377866
100128494 3.97298279 3.68628353 2.96591166 3.3886024 2.73674092
100128569 1.70165858 1.66271592 1.69491303 2.1551071 2.04859229
100128640 -0.24641255 -0.07057918 1.30741163 0.8309975 0.85033679
100128682 -1.17995959 0.37055506 2.32681917 2.4773258 1.13220719
100128731 6.43947332 6.50301331 6.27545847 5.9689545 6.27550325
100128766 3.14983052 3.26864634 0.26779530 -0.1726456 -0.65319141
100128782 1.51152915 1.58295225 1.80396043 2.2927427 2.96950568
100128822 -1.17995959 -1.17995959 2.91819327 4.2266032 3.89093068
100128833 2.44934763 2.78924089 2.59306294 2.6916109 2.55767855
100128881 1.78808429 2.47256096 2.46607414 2.6409491 2.96950568
100128893 5.55550935 5.75715662 5.97670236 5.7110249 5.71615632
100129001 1.51152915 0.54907512 0.54415639 1.0013268 0.03546721
100129013 1.16907936 2.17903263 0.97568097 1.7395851 1.90612268
100129029 0.88522714 0.37055506 -0.07435652 0.6378326 0.49968541
100129060 3.21367999 3.43689427 3.53930812 4.2937331 3.62133318
100129075 1.29248413 2.06622821 3.01210212 3.7167823 3.00489441
100129195 2.82134192 2.28365292 2.32681917 1.1536532 3.13835897
100129203 0.31570089 0.98115062 -1.17995959 0.4147467 0.99814497
100129250 1.60972369 2.23229092 1.80396043 2.2927427 1.25486404
100129259 1.29248413 1.66271592 0.54415639 0.6378326 0.99814497
100129361 6.11101954 6.05564468 5.81022097 6.0044557 6.04843586
100129398 -0.24641255 0.98115062 -1.17995959 0.6378326 0.68563834
100129434 -0.24641255 -0.70919552 -0.07435652 0.6378326 0.49968541
100129461 1.78808429 2.00633618 -1.17995959 -1.1799596 0.28616784
100129484 0.88522714 2.17903263 2.17267253 2.2927427 2.29720730
100129550 4.42805774 4.56082443 3.47479961 4.0821769 3.98253889
100129583 -0.24641255 -0.35483628 2.00006361 1.1536532 0.99814497
100129662 1.51152915 -0.35483628 0.97568097 2.5339540 1.36790490
100129707 0.31570089 0.16678342 1.30741163 0.1507409 0.85033679
100129716 1.40615987 0.98115062 0.26779530 1.9203854 1.47272852
100129726 -1.17995959 0.98115062 1.44846327 1.0013268 0.03546721
100129774 3.64271872 3.91522717 2.81774340 3.4779069 4.00018263
100129781 1.60972369 2.47256096 0.54415639 0.6378326 -1.17995959
100129792 1.03412306 0.54907512 0.54415639 0.4147467 -0.26815570
100129794 2.08977348 2.33324905 2.17267253 3.0817947 2.35319973
100129842 1.78808429 0.37055506 0.26779530 0.6378326 0.03546721
100129917 1.70165858 1.94384971 1.57694427 3.0432999 2.29720730
100129924 1.60972369 1.81011997 -0.07435652 1.0013268 0.68563834
100129940 -0.24641255 -0.07057918 1.30741163 1.1536532 -0.26815570
100129995 0.31570089 0.85099293 0.77599306 1.7395851 2.17824856
10013 5.70739054 5.95230266 6.14161284 6.0292893 6.28632976
100130111 0.31570089 0.16678342 2.00006361 1.2914211 2.23895369
100130197 1.16907936 0.54907512 0.97568097 0.4147467 0.68563834
100130335 2.86175858 2.71634677 4.08444037 4.3734781 4.32816861
100130348 3.49636903 3.68628353 1.57694427 2.8337239 3.34579055
100130357 -0.24641255 0.54907512 1.57694427 2.4773258 2.11487647
100130466 3.49636903 3.21673751 3.79846649 3.7883594 3.89093068
100130476 -0.63895724 -1.17995959 -1.17995959 -0.1726456 -0.26815570
100130522 1.03412306 0.70791758 0.77599306 1.2914211 2.60457042
100130550 1.29248413 1.31320576 -0.52374326 -0.1726456 -0.26815570
100130564 3.71067836 3.43689427 2.96591166 1.6399110 2.73674092
100130581 0.71917671 0.37055506 0.54415639 1.1536532 -0.26815570
100130691 2.86175858 2.78924089 1.90534146 1.6399110 2.11487647
100130705 1.40615987 0.98115062 2.76476784 3.1558335 3.92827485
100130748 1.70165858 0.85099293 0.97568097 1.2914211 0.68563834
100130750 -1.17995959 -1.17995959 1.69491303 2.2927427 2.69401549
100130855 1.40615987 2.23229092 2.39812619 2.0810300 1.90612268
100130958 1.03412306 0.85099293 -0.07435652 1.0013268 0.03546721
100131017 -1.17995959 -1.17995959 2.17267253 3.2602209 3.00489441
100131031 3.27482303 2.71634677 2.17267253 2.0810300 2.35319973
100131033 1.78808429 1.87853379 2.08894797 1.6399110 2.17824856
100131067 1.94680053 1.94384971 2.25180362 2.5339540 2.64998603
100131089 1.03412306 2.23229092 3.53930812 4.3100387 4.11799282
100131094 -0.63895724 0.37055506 0.26779530 1.2914211 0.99814497
100131138 3.47046618 3.94743449 5.76372901 5.0632566 5.75304658
100131187 -1.17995959 -1.17995959 -1.17995959 -1.1799596 -1.17995959
100131193 3.18210845 3.19006548 3.37228334 4.0240583 2.35319973
100131211 4.30154515 4.48605208 4.18867203 4.0240583 3.34579055
100131213 0.06184958 1.21078389 0.97568097 0.4147467 1.13220719
100131471 2.28073412 2.33324905 1.80396043 1.7395851 1.90612268
100131656 3.49636903 3.41402716 3.60105524 3.6670120 3.87188973
100131685 3.14983052 2.85862840 0.77599306 -0.1726456 1.36790490
100131691 1.78808429 2.23229092 1.69491303 2.8781455 3.00489441
100131740 1.16907936 1.21078389 0.77599306 0.4147467 0.68563834
100131801 3.08302388 3.39079176 2.46607414 1.9203854 2.85781251
100131827 0.71917671 -0.35483628 -0.07435652 1.2914211 0.28616784
100131828 -1.17995959 -1.17995959 1.57694427 0.6378326 1.25486404
100131940 1.03412306 1.49851919 1.80396043 2.0810300 1.82923916
100132074 -0.24641255 -0.07057918 1.30741163 2.1551071 1.36790490
100132086 0.71917671 0.85099293 -1.17995959 -0.1726456 0.68563834
100132116 8.30707309 8.25476292 5.71568879 4.9637071 3.64395737
100132126 0.53149799 0.16678342 0.97568097 -0.1726456 0.28616784
100132215 0.88522714 0.16678342 1.30741163 1.0013268 1.36790490
100132537 2.55171704 2.89210953 1.30741163 1.7395851 1.25486404
100132609 1.60972369 0.54907512 1.44846327 1.1536532 0.99814497
100132659 0.06184958 0.70791758 0.54415639 0.6378326 -1.17995959
100132891 -1.17995959 -1.17995959 -1.17995959 -1.1799596 -0.26815570
100132972 0.53149799 -0.70919552 -0.52374326 0.4147467 0.85033679
100133234 0.06184958 -1.17995959 -0.52374326 1.0013268 0.28616784
100133286 0.06184958 0.54907512 0.26779530 -1.1799596 -0.65319141
100133315 0.88522714 0.70791758 1.15106006 0.8309975 1.13220719
100134934 1.86962393 1.73829971 1.57694427 2.2255656 2.17824856
10014 6.50154161 6.46179785 6.33572703 7.1383663 6.05266951
100144603 2.55171704 2.38119671 -0.07435652 -1.1799596 0.85033679
100144748 1.03412306 2.00633618 0.97568097 2.6409491 2.23895369
10015 7.65862347 7.61554072 7.61038596 7.5488424 7.77139132
10016 5.96097016 6.01822749 4.69273144 5.1290673 5.26192479
100170229 1.51152915 1.58295225 1.15106006 -0.1726456 0.49968541
100170841 4.45472621 4.14089207 3.57051200 3.9634997 3.73106480
10018 4.04495447 4.37202836 4.16841945 4.4636948 4.44872085
100188847 1.60972369 1.49851919 1.57694427 0.8309975 0.49968541
10019 3.59556599 3.88228438 3.29965451 4.6157272 3.75204399
100190938 2.60030068 3.04876588 1.15106006 1.8328157 2.04859229
1002 2.15627538 2.47256096 1.90534146 2.0029425 0.49968541
10020 3.99131510 3.89884980 2.76476784 3.8565525 4.25656974
10021 7.74893442 7.63544728 8.52760469 8.7989578 7.86704562
10023 2.33915581 2.00633618 1.69491303 2.4183837 2.11487647
10024 3.11681386 3.45940457 4.63486329 4.7532548 2.73674092
10026 6.18057075 6.12064328 5.74333590 5.3658560 5.68376749
100268168 -1.17995959 -0.70919552 1.80396043 1.5328360 0.49968541
100270804 1.86962393 1.94384971 1.57694427 1.7395851 2.69401549
100270827 -0.24641255 -1.17995959 0.77599306 0.8309975 1.66196830
100270840 3.75426902 3.31875215 4.87873837 4.2093211 4.92579238
100270854 2.82134192 2.98812898 4.62002616 4.6545535 5.25459285
100270865 4.13014634 3.93142070 5.25992389 5.4783425 6.13483357
100271271 3.44408974 3.36717601 3.50741439 3.2602209 3.81321096
100271332 3.08302388 2.78924089 -1.17995959 -0.5901170 -1.17995959
100271415 1.86962393 1.58295225 2.81774340 3.3886024 1.90612268
100271479 -1.17995959 -0.35483628 0.54415639 1.4171724 1.57044903
100271884 0.06184958 1.21078389 0.26779530 -1.1799596 -1.17995959
100272147 3.36193740 3.52490186 2.17267253 2.2927427 3.47758910
100286844 1.40615987 0.70791758 1.15106006 1.7395851 1.97911542
100287015 0.31570089 -0.35483628 1.44846327 0.4147467 2.45905881
100287049 1.40615987 1.66271592 0.77599306 1.9203854 0.99814497
100287074 2.33915581 2.38119671 0.26779530 0.6378326 0.28616784
100287616 4.19485357 3.83141535 2.00006361 2.1551071 2.29720730
100287722 1.86962393 1.49851919 1.69491303 1.6399110 1.66196830
100287808 0.88522714 0.16678342 0.26779530 0.4147467 -0.26815570
100287837 0.31570089 0.54907512 0.26779530 2.0810300 0.49968541
100287896 3.14983052 3.39079176 1.69491303 3.0037497 3.57499179
100287902 0.53149799 -0.70919552 0.77599306 0.1507409 -0.26815570
100287928 3.41722208 2.75325417 2.96591166 2.6916109 3.62133318
100287932 5.89920516 5.72964022 5.70869342 4.9942998 5.68921638
100288001 2.02005738 2.42760197 2.65259764 2.4183837 3.03943580
100288073 3.59556599 3.56697099 3.14241235 4.8230875 4.31413028
100288123 0.88522714 0.54907512 0.97568097 1.5328360 1.25486404
100288198 2.82134192 2.89210953 2.17267253 2.0029425 2.96950568
100288241 1.16907936 1.49851919 -1.17995959 -0.1726456 -1.17995959
100288413 2.73694451 1.94384971 3.05685948 2.5884432 3.20072971
100288513 0.53149799 0.54907512 -0.52374326 -1.1799596 0.28616784
100288842 1.51152915 0.70791758 1.80396043 1.8328157 2.29720730
100289061 0.53149799 0.54907512 0.97568097 2.0810300 1.36790490
100289095 -0.24641255 1.73829971 -0.07435652 0.1507409 0.03546721
100289133 2.33915581 2.12373266 3.29965451 1.6399110 1.82923916
100289178 2.60030068 2.75325417 2.81774340 2.6916109 2.55767855
100289211 1.03412306 0.37055506 0.97568097 1.2914211 1.57044903
100289259 1.03412306 -0.07057918 0.26779530 2.4183837 0.99814497
100289274 3.14983052 2.78924089 3.26192130 4.9739769 3.68816841
100289341 1.51152915 -0.70919552 0.54415639 1.1536532 2.50921119
100289373 -1.17995959 -0.35483628 2.00006361 2.4183837 1.82923916
100289388 2.02005738 2.06622821 -0.07435652 -0.1726456 0.03546721
100289414 0.31570089 0.16678342 0.54415639 1.2914211 0.28616784
100289635 5.52437504 5.60898025 5.36154053 5.8060594 5.45340920
100289640 2.55171704 2.17903263 1.44846327 2.7405539 1.82923916
100289678 2.39530351 3.26864634 1.80396043 3.3575621 2.96950568
100293516 4.44145360 4.51857302 3.90022099 4.5486005 4.14995843
100294362 1.51152915 1.10053127 0.77599306 0.4147467 0.99814497
1003 1.29248413 0.85099293 -0.07435652 -1.1799596 -1.17995959
100302692 1.03412306 2.12373266 3.66026770 3.4189890 2.93322701
100302736 2.60030068 2.17903263 0.77599306 1.4171724 2.11487647
100303728 3.44408974 3.74243264 3.37228334 3.3258392 4.29995401
100303755 1.51152915 1.66271592 2.46607414 2.1551071 2.35319973
100312828 0.06184958 -0.70919552 1.30741163 0.4147467 0.99814497
100312850 0.31570089 -0.35483628 -0.07435652 -0.1726456 1.13220719
10036 4.27185838 4.63191166 5.18124927 5.2774081 4.58357111
100379345 3.44408974 2.59959710 0.97568097 0.4147467 2.04859229
10038 5.63927213 5.48828838 5.43966685 5.8117962 5.83889579
100381270 1.03412306 1.21078389 0.77599306 1.4171724 0.28616784
10039 6.12768875 6.47842559 3.85024066 3.7883594 4.18123111
1004 6.59740663 6.48666815 3.71714542 3.6414678 3.59834855
10040 4.22615042 4.32376985 3.79846649 4.4192915 3.98253889
100418710 1.60972369 1.66271592 0.54415639 -1.1799596 0.28616784
100418735 3.11681386 3.43689427 1.44846327 0.8309975 1.90612268
100418744 1.60972369 1.21078389 0.97568097 2.4183837 0.49968541
100418770 3.04842346 3.01876598 -1.17995959 -1.1799596 -1.17995959
100418781 1.86962393 1.31320576 2.25180362 1.1536532 1.82923916
100418819 1.78808429 1.21078389 1.69491303 1.7395851 1.82923916
100418829 2.90107377 2.89210953 1.15106006 1.2914211 0.68563834
100418888 1.86962393 2.17903263 0.54415639 1.5328360 1.47272852
100418889 1.70165858 2.06622821 2.70977263 2.9212401 2.96950568
100418910 1.29248413 1.58295225 0.26779530 1.1536532 -0.26815570
100418919 2.33915581 2.17903263 2.39812619 2.4773258 2.55767855
100419028 1.70165858 1.31320576 1.44846327 1.8328157 1.82923916
100419185 -1.17995959 0.85099293 0.54415639 -0.5901170 0.03546721
100419416 1.29248413 1.10053127 -0.52374326 1.0013268 1.36790490
100419515 -0.24641255 -0.35483628 -0.07435652 0.6378326 0.68563834
100419645 0.06184958 -0.35483628 0.54415639 0.1507409 -0.26815570
100419758 0.88522714 -0.70919552 1.80396043 0.6378326 1.57044903
100419928 1.03412306 1.10053127 2.39812619 1.7395851 1.97911542
10042 5.57387245 5.60898025 4.92775755 5.8117962 5.11581647
100420028 0.88522714 -0.35483628 0.54415639 0.4147467 -0.26815570
100420050 -1.17995959 0.16678342 0.26779530 0.1507409 0.85033679
100420110 3.77558019 3.10695666 3.18335856 3.3886024 2.60457042
100420187 1.51152915 1.10053127 0.54415639 0.1507409 0.03546721
100420259 4.41453633 4.49697405 4.01808392 4.0630630 4.06867585
100420307 1.03412306 0.85099293 0.26779530 0.6378326 0.85033679
100420341 5.33639644 5.23788731 5.02106554 5.2607274 6.14676433
100420423 0.06184958 -0.35483628 1.80396043 0.8309975 1.90612268
100420591 1.51152915 1.21078389 0.97568097 1.2914211 1.47272852
100420707 2.28073412 3.07815464 3.57051200 3.1558335 2.73674092
100420752 1.78808429 0.85099293 2.17267253 1.7395851 1.90612268
100420869 3.85780977 3.68628353 4.16841945 4.2266032 4.66325481
100420981 5.93752627 5.89977524 6.53079003 6.4748037 6.67206719
100421093 3.77558019 4.31144871 3.68898684 4.0041532 4.31413028
100421109 0.53149799 -0.35483628 0.54415639 0.1507409 1.57044903
100421160 1.51152915 1.10053127 0.77599306 1.5328360 0.85033679
100421175 1.29248413 1.31320576 -1.17995959 1.0013268 0.99814497
100421246 1.29248413 1.94384971 -0.07435652 0.4147467 0.68563834
100421311 2.21984644 2.71634677 0.77599306 1.4171724 1.57044903
100421372 2.21984644 0.98115062 2.25180362 3.1558335 2.11487647
100421400 2.21984644 2.12373266 2.25180362 2.2255656 2.04859229
100421415 0.71917671 0.16678342 2.17267253 1.7395851 1.97911542
100421429 0.06184958 0.54907512 -1.17995959 0.8309975 0.49968541
100421465 2.21984644 2.23229092 1.57694427 1.5328360 1.82923916
100421468 1.70165858 1.10053127 1.30741163 2.9630847 2.69401549
100421506 0.31570089 -0.35483628 1.15106006 1.0013268 1.74802661
100421569 0.06184958 -0.07057918 0.77599306 0.6378326 0.68563834
100421595 0.53149799 1.58295225 -1.17995959 1.6399110 -0.65319141
100421794 3.54681992 4.09849494 -1.17995959 -0.1726456 0.03546721
100422106 1.51152915 2.17903263 1.30741163 1.6399110 1.66196830
100422338 1.94680053 2.63957267 2.91819327 2.6409491 2.69401549
100422546 0.06184958 0.37055506 1.90534146 1.2914211 1.13220719
100422561 4.09667082 4.39556546 3.60105524 3.5620040 4.22690471
10043 5.88456818 5.84098301 5.66599360 5.7828812 5.17138209
10044 4.27185838 3.93142070 0.97568097 0.1507409 -0.26815570
10045 0.06184958 0.98115062 -0.07435652 0.4147467 1.47272852
10046 0.53149799 -0.07057918 0.26779530 0.1507409 1.13220719
10048 6.88898006 6.90472181 6.69906750 6.8289280 6.74974102
10049 5.26284787 5.60393748 6.57377286 5.8002996 6.63018786
100499177 4.04495447 3.96327248 3.71714542 4.4636948 3.89093068
100499483 1.29248413 0.85099293 2.81774340 3.6154632 2.11487647
1005 -1.17995959 -1.17995959 1.30741163 0.8309975 0.68563834
100500719 0.31570089 0.37055506 -0.07435652 -0.1726456 -0.26815570
100505385 1.94680053 2.63957267 2.81774340 3.6154632 2.17824856
100505501 0.88522714 1.31320576 2.59306294 2.7878909 2.35319973
100505538 1.86962393 1.81011997 1.30741163 2.0810300 2.11487647
100505549 -0.63895724 -1.17995959 0.54415639 1.2914211 0.99814497
100505573 6.27712157 6.13469818 6.19764959 6.5034451 6.20498154
100505576 3.61933499 3.74243264 2.17267253 2.5339540 1.25486404
100505616 0.53149799 0.54907512 0.26779530 0.8309975 1.13220719
100505624 1.03412306 2.47256096 1.30741163 1.4171724 1.47272852
100505635 1.60972369 1.31320576 -0.07435652 0.4147467 0.28616784
100505641 2.69281910 2.51616113 2.25180362 2.1551071 2.60457042
100505648 2.21984644 3.26864634 2.86884240 3.4487487 3.07316950
100505678 2.33915581 2.85862840 2.17267253 2.5884432 0.85033679
100505696 4.66346903 4.49697405 4.86621884 4.6798690 4.88838306
100505715 -1.17995959 -0.35483628 -1.17995959 -0.5901170 -0.26815570
100505738 0.88522714 1.66271592 -1.17995959 -1.1799596 -1.17995959
100505741 1.29248413 0.85099293 1.57694427 1.1536532 1.66196830
100505758 3.18210845 3.21673751 3.37228334 3.8785856 4.16567950
100505761 2.28073412 2.92483125 3.18335856 3.6154632 3.90972359
100505771 3.18210845 3.16289105 2.17267253 2.0810300 2.69401549
100505783 -1.17995959 -0.70919552 2.59306294 2.3569305 2.64998603
100505806 3.04842346 3.26864634 3.94852765 5.0143403 4.52383312
100505812 -0.24641255 -1.17995959 -1.17995959 1.6399110 2.04859229
100505832 1.03412306 0.16678342 1.57694427 2.8337239 0.99814497
100505854 -0.24641255 0.70791758 4.01808392 5.2938981 4.11799282
100505876 5.68503987 5.45506955 5.58426897 5.4491932 5.75824045
100505894 2.28073412 2.47256096 3.18335856 3.6670120 4.89782672
100505933 -0.24641255 -0.07057918 3.26192130 3.0817947 1.90612268
100505994 -1.17995959 -0.70919552 1.30741163 1.4171724 1.47272852
100506020 1.40615987 1.21078389 2.39812619 0.4147467 0.49968541
100506033 4.78403954 4.55037701 4.91565801 4.9218808 4.92579238
100506054 -0.24641255 -0.70919552 2.39812619 3.0432999 3.03943580
100506068 0.71917671 -0.35483628 1.30741163 1.5328360 0.85033679
100506070 0.71917671 0.85099293 1.57694427 1.7395851 1.13220719
100506083 0.88522714 -0.70919552 0.54415639 1.0013268 1.57044903
100506100 -0.24641255 0.54907512 -0.07435652 -1.1799596 -0.26815570
100506119 -1.17995959 -0.35483628 2.76476784 1.9203854 3.03943580
100506127 2.33915581 2.59959710 1.44846327 3.5064874 2.73674092
100506142 -1.17995959 0.70791758 -0.52374326 1.4171724 -0.26815570
100506144 1.51152915 1.10053127 0.26779530 0.4147467 1.25486404
100506161 1.16907936 1.66271592 0.54415639 1.1536532 0.68563834
100506211 5.51806673 5.61901323 3.79846649 3.3886024 2.89601248
100506235 1.78808429 1.58295225 1.44846327 1.7395851 2.29720730
100506258 0.53149799 -0.35483628 1.57694427 2.7405539 1.25486404
100506282 1.94680053 2.55848221 3.33642591 3.1558335 2.93322701
100506286 -1.17995959 0.85099293 -1.17995959 0.8309975 2.29720730
100506302 0.71917671 1.40883586 1.69491303 1.2914211 1.97911542
100506321 1.40615987 0.98115062 0.54415639 1.5328360 0.49968541
100506325 0.31570089 0.70791758 0.54415639 1.8328157 1.13220719
100506343 0.06184958 0.98115062 0.54415639 1.0013268 -1.17995959
100506365 5.59799856 5.44382443 5.26946327 5.5069145 6.11067192
100506368 0.31570089 0.98115062 0.54415639 0.4147467 0.28616784
100506380 2.28073412 2.28365292 4.20864424 4.3578778 4.71759220
100506392 3.81728076 3.93142070 4.39448919 4.1380447 3.45217507
100506394 0.53149799 0.54907512 2.86884240 1.9203854 2.73674092
100506411 1.29248413 0.85099293 1.69491303 1.0013268 1.13220719
100506433 1.29248413 2.47256096 3.18335856 3.7883594 3.23093222
100506462 -0.63895724 0.16678342 -0.07435652 -0.5901170 0.68563834
100506469 2.82134192 3.01876598 5.05455675 5.2007777 5.24722347
100506495 -0.24641255 -1.17995959 1.57694427 1.8328157 1.25486404
100506504 2.08977348 2.51616113 2.25180362 3.1192890 1.97911542
100506540 1.40615987 1.66271592 1.57694427 1.9203854 1.13220719
100506581 3.21367999 3.26864634 -1.17995959 0.6378326 1.82923916
100506606 -1.17995959 -0.35483628 1.69491303 -0.1726456 1.36790490
100506658 0.31570089 1.31320576 1.69491303 1.8328157 0.99814497
100506668 3.57139883 3.10695666 1.69491303 2.8337239 3.20072971
100506686 1.78808429 2.23229092 2.32681917 2.0810300 2.04859229
100506691 -0.63895724 0.16678342 1.30741163 1.5328360 1.36790490
100506696 0.71917671 -0.35483628 1.80396043 2.4183837 2.89601248
100506697 0.53149799 1.10053127 2.08894797 1.4171724 0.99814497
100506710 5.16933491 5.01287930 5.99981035 6.7049342 6.62735220
100506713 0.06184958 0.54907512 -0.52374326 0.8309975 -1.17995959
100506725 4.59319281 4.33598665 3.66026770 4.4192915 2.55767855
100506731 1.60972369 0.16678342 1.30741163 1.9203854 1.90612268
100506757 2.21984644 1.49851919 -0.07435652 0.8309975 -0.26815570
100506779 1.51152915 0.70791758 -0.52374326 1.0013268 0.28616784
100506804 -1.17995959 0.37055506 -0.07435652 -0.1726456 0.28616784
100506826 0.06184958 1.58295225 1.44846327 1.0013268 0.99814497
100506844 2.64730140 2.47256096 2.25180362 3.8114505 3.10613241
100506866 5.12850841 5.48828838 7.23771947 6.9741314 6.82096588
100506881 2.21984644 2.17903263 0.77599306 -0.1726456 0.49968541
100506885 0.88522714 1.66271592 -1.17995959 1.0013268 0.03546721
100506911 0.06184958 -0.70919552 1.15106006 0.1507409 1.13220719
100506922 -1.17995959 -0.70919552 1.90534146 2.2255656 3.31792182
100506930 0.31570089 0.54907512 4.28587793 4.4781973 4.11799282
100506994 1.16907936 1.21078389 0.77599306 0.8309975 0.28616784
100507003 -1.17995959 -1.17995959 3.01210212 1.2914211 1.97911542
100507032 -1.17995959 -1.17995959 0.77599306 1.6399110 2.60457042
100507034 2.97662899 3.34316724 3.01210212 3.4487487 2.73674092
100507050 0.88522714 0.70791758 -0.07435652 -1.1799596 0.03546721
100507053 -1.17995959 -1.17995959 3.05685948 2.5884432 1.57044903
100507057 0.06184958 -1.17995959 -0.07435652 0.6378326 1.13220719
100507062 -0.63895724 1.10053127 1.80396043 -0.5901170 1.36790490
100507071 0.71917671 0.85099293 -0.07435652 0.4147467 1.13220719
100507156 2.60030068 2.78924089 3.10026999 2.5339540 2.55767855
100507171 2.50144012 2.75325417 1.69491303 3.5345127 3.50256319
100507173 0.31570089 0.54907512 0.97568097 1.9203854 1.13220719
100507178 -0.24641255 0.98115062 1.80396043 1.4171724 0.68563834
100507244 2.08977348 2.00633618 0.77599306 0.6378326 0.28616784
100507246 4.45472621 4.22212218 2.91819327 2.7405539 2.40709999
100507250 0.31570089 0.54907512 0.26779530 1.6399110 0.03546721
100507254 1.60972369 1.31320576 -1.17995959 -1.1799596 -1.17995959
100507266 0.88522714 0.85099293 1.30741163 2.0810300 1.82923916
100507290 4.95256428 4.95860469 4.63486329 5.5418517 5.03253010
100507291 1.40615987 1.31320576 1.69491303 2.8337239 1.74802661
100507303 1.70165858 1.49851919 3.33642591 2.6409491 3.66623224
100507308 -0.24641255 -0.07057918 -0.07435652 0.8309975 1.13220719
100507316 0.31570089 -0.35483628 2.81774340 2.3569305 3.03943580
100507331 1.94680053 2.12373266 1.57694427 2.8337239 2.60457042
100507347 1.78808429 2.17903263 1.44846327 1.8328157 1.74802661
100507373 2.15627538 2.82435176 1.80396043 2.0029425 1.66196830
100507392 0.31570089 0.16678342 -1.17995959 -0.5901170 -1.17995959
100507398 -0.24641255 0.16678342 2.86884240 2.2255656 2.55767855
100507401 1.40615987 0.85099293 1.30741163 1.2914211 0.28616784
100507420 -1.17995959 0.16678342 -1.17995959 -0.5901170 -0.26815570
100507433 1.16907936 2.38119671 -0.07435652 1.9203854 2.60457042
100507436 -0.63895724 0.16678342 -0.07435652 0.4147467 0.68563834
100507437 2.15627538 1.21078389 1.69491303 2.6916109 1.57044903
100507459 0.71917671 1.31320576 2.17267253 2.6409491 2.60457042
100507463 -0.63895724 0.16678342 -0.52374326 -0.1726456 -1.17995959
100507487 2.21984644 2.17903263 1.90534146 2.8337239 3.03943580
100507495 4.48091065 4.55037701 2.00006361 3.0432999 3.16988137
100507516 1.03412306 -0.07057918 -1.17995959 -0.1726456 -0.26815570
100507551 -0.24641255 0.70791758 2.32681917 1.4171724 1.36790490
100507557 1.94680053 2.12373266 1.30741163 1.7395851 0.99814497
100507564 1.51152915 0.54907512 -1.17995959 0.4147467 -0.65319141
100507567 0.06184958 0.37055506 1.90534146 1.9203854 1.66196830
100507588 -1.17995959 0.16678342 -0.07435652 -0.1726456 -0.26815570
100507599 1.51152915 1.31320576 1.80396043 2.5339540 1.82923916
100507602 4.41453633 4.68062580 2.81774340 2.9212401 3.57499179
100508120 0.71917671 1.21078389 1.80396043 2.4183837 2.23895369
10051 6.69010498 6.50301331 7.88316619 7.8611271 6.80348660
10052 1.03412306 0.37055506 1.44846327 1.8328157 1.47272852
100526737 1.94680053 2.23229092 2.70977263 2.9212401 2.81857350
100526760 1.70165858 1.58295225 0.97568097 1.4171724 1.82923916
100526820 0.31570089 -0.35483628 1.44846327 1.8328157 0.99814497
100526835 3.41722208 3.58755430 4.98677833 5.8624262 4.29995401
100527978 0.06184958 -0.70919552 2.08894797 2.1551071 1.66196830
100529145 1.16907936 1.40883586 2.00006361 1.2914211 1.66196830
100529215 0.31570089 1.21078389 0.77599306 0.8309975 0.49968541
100532746 4.07963719 3.93142070 4.12704087 3.6670120 4.10174043
100533106 -0.63895724 0.70791758 1.44846327 1.0013268 1.57044903
100533182 0.06184958 0.16678342 1.15106006 1.7395851 1.47272852
100533619 -1.17995959 0.70791758 -1.17995959 -0.1726456 0.68563834
100533629 -1.17995959 0.98115062 0.54415639 1.5328360 1.82923916
100533695 0.71917671 -0.07057918 0.54415639 0.6378326 1.25486404
100533970 0.88522714 0.54907512 0.77599306 1.0013268 1.57044903
100534593 0.71917671 0.54907512 2.00006361 1.6399110 -0.26815570
10054 6.53316720 6.21956875 6.05048854 6.3383772 5.97002559
10056 6.04234725 5.87905197 6.09944678 5.7770280 6.13483357
10057 7.29899906 7.40843279 7.48906917 7.6832229 7.90500507
10058 6.04234725 6.06301306 5.21125727 4.8001835 5.78901702
10059 7.13554401 7.17164968 7.31114451 7.3640228 7.47279966
1006 5.65660562 5.65358918 4.86621884 4.3889114 4.03483568
10060 4.25678272 4.64178697 4.04054356 5.2856767 3.66623224
100616256 0.71917671 -0.70919552 0.54415639 1.0013268 1.13220719
10062 1.16907936 1.66271592 1.57694427 2.2927427 2.50921119
10063 4.13014634 4.20889748 4.01808392 4.0630630 4.79038222
100652739 -0.63895724 0.70791758 0.26779530 -1.1799596 -1.17995959
100652758 1.29248413 1.87853379 0.26779530 0.4147467 1.13220719
100652846 1.94680053 1.49851919 2.81774340 2.8337239 1.25486404
10066 6.89629476 6.90061503 5.96500807 6.0729401 6.61595350
10067 6.28828518 6.24893982 6.23220844 6.1153089 6.81350068
10068 3.79658114 3.89884980 3.37228334 2.7878909 3.26051540
10069 3.21367999 3.26864634 4.32299765 4.6545535 5.04957647
10072 4.92421926 4.69017431 4.22834373 4.2772412 5.09953941
10073 4.04495447 4.43016641 3.63096523 3.9427351 4.16567950
10075 8.86084491 8.91403406 8.62834986 9.0107921 8.87885518
10076 6.42942427 6.32752170 4.42894889 4.3100387 4.70688721
10077 2.15627538 0.85099293 4.74836767 4.5067722 4.69610220
100775107 1.51152915 0.98115062 0.97568097 2.0029425 1.25486404
10078 4.74135248 4.50781395 4.47914264 5.1198476 5.03253010
10079 5.24767726 4.94271509 4.10589786 3.9634997 3.96467670
1008 4.65199149 5.14373224 4.96345896 4.2937331 4.65213736
10081 5.01661412 4.73699128 5.23092135 5.6924873 5.56431284
10082 7.51554571 7.47346880 7.96909892 7.7339580 6.98943706
100820829 6.08564894 6.06301306 6.56217669 6.5793977 5.83398480
10084 4.89530616 4.82630004 5.11929328 4.8344046 5.64503794
100847074 2.21984644 2.55848221 1.30741163 1.6399110 2.64998603
10085 9.40724386 9.21290102 6.37602385 5.9689545 6.20498154
100852407 0.53149799 -0.07057918 1.15106006 2.0029425 1.13220719
100861412 1.16907936 0.54907512 1.44846327 1.1536532 1.36790490
100861548 4.66346903 4.45278111 3.82458581 3.6154632 4.66325481
100862671 0.53149799 0.98115062 0.97568097 1.4171724 0.28616784
10087 6.77456127 6.77612907 6.17752352 6.4157563 6.57533352
100873257 0.31570089 -0.35483628 -0.52374326 0.8309975 0.68563834
100873333 3.24457540 2.63957267 3.10026999 3.2934031 3.20072971
100873790 2.44934763 3.13519492 4.55910296 3.8565525 5.17138209
100873949 0.53149799 0.37055506 2.25180362 1.6399110 1.47272852
100873952 -0.63895724 0.98115062 0.26779530 0.4147467 0.28616784
100873965 1.60972369 2.71634677 2.08894797 1.8328157 2.17824856
100874006 2.21984644 1.73829971 0.97568097 -0.1726456 0.68563834
100874008 1.60972369 2.06622821 0.54415639 1.0013268 0.85033679
100874014 1.51152915 1.58295225 3.60105524 3.4487487 2.89601248
100874058 2.28073412 1.87853379 1.44846327 1.6399110 1.74802661
100874080 1.51152915 0.54907512 1.44846327 -0.1726456 0.03546721
100874097 1.78808429 2.12373266 2.00006361 1.6399110 2.04859229
100874201 -0.24641255 0.16678342 -0.07435652 -0.5901170 0.28616784
100874212 1.03412306 1.40883586 0.54415639 0.1507409 1.13220719
100874217 0.06184958 0.98115062 0.77599306 1.4171724 0.28616784
100874235 1.16907936 0.54907512 1.69491303 1.9203854 0.85033679
100874261 1.51152915 1.31320576 0.26779530 1.8328157 1.25486404
100874291 -1.17995959 0.98115062 1.44846327 1.4171724 2.35319973
100874362 0.06184958 0.70791758 1.90534146 2.6409491 2.55767855
100874523 2.15627538 2.17903263 1.69491303 1.2914211 1.66196830
100885775 2.90107377 3.07815464 5.24065379 5.2938981 4.95322624
100885776 0.31570089 0.70791758 0.26779530 1.2914211 1.57044903
100885848 5.45341842 5.67298107 5.57660467 5.3343170 4.98901161
1009 9.78004657 9.64352557 8.16963731 7.2816731 7.42461269
10090 5.15314269 4.64178697 4.58988612 4.6025494 4.64093357
10092 7.90937104 7.96142455 7.26420333 7.2226054 7.19683898
10093 7.34427386 7.21529009 6.49870531 6.2182489 6.29707563
10094 3.91654528 3.88228438 4.91565801 4.7292052 5.26192479
10095 5.73485058 5.74804268 4.62002616 4.3734781 5.03253010
10097 8.59845817 8.55307715 7.54708593 7.2096272 7.88733587
10098 6.32849485 6.24893982 6.13640899 6.3814483 5.63377866
10099 8.57205790 8.56155559 8.08167578 7.3224311 8.14199653
100996246 3.08302388 2.59959710 -0.07435652 1.0013268 1.47272852
100996251 0.88522714 0.37055506 1.15106006 -0.5901170 0.28616784
100996307 2.55171704 2.59959710 -1.17995959 -0.1726456 0.03546721
100996384 1.40615987 1.66271592 1.15106006 0.1507409 0.68563834
100996419 0.31570089 1.49851919 1.44846327 1.4171724 2.45905881
100996485 2.21984644 2.75325417 2.46607414 1.8328157 2.45905881
100996539 0.53149799 0.70791758 0.97568097 1.0013268 1.57044903
100996579 1.94680053 2.12373266 1.57694427 1.9203854 2.96950568
100996696 3.27482303 3.29391676 3.37228334 3.0037497 3.13835897
100996842 2.64730140 1.87853379 0.97568097 1.6399110 2.29720730
100996851 -0.24641255 0.37055506 -0.07435652 0.6378326 -0.26815570
100996939 1.16907936 1.21078389 1.69491303 1.7395851 1.36790490
101 0.31570089 0.70791758 0.54415639 2.0810300 1.47272852
1010 1.86962393 1.10053127 1.44846327 0.4147467 1.57044903
10100 5.22461799 5.18483906 6.97163786 5.9430508 6.60734498
10101 4.84579149 4.74617509 5.04347917 5.3813707 5.57023113
10102 5.01661412 4.91854766 5.12980581 4.9429455 5.17138209
10103 0.88522714 0.54907512 -1.17995959 0.4147467 0.68563834
10105 6.99043775 7.01140387 7.56462684 6.6956560 7.95109158
10106 7.64131434 7.56583567 7.30883337 8.1280800 7.67307246
101060200 3.33347977 3.68628353 3.60105524 3.6921118 3.77272247
101060691 2.02005738 1.58295225 0.97568097 2.2927427 0.49968541
10109 8.65129397 8.87217781 7.61973912 7.4326465 8.00014219
10112 5.04321685 5.15756506 6.64145807 6.3775855 3.85259412
10113 6.40227950 6.43365185 5.74333590 6.3383772 6.83578140
10114 8.04059484 8.05861942 8.47085167 8.9516121 8.22967737
101154753 0.71917671 -0.70919552 -0.52374326 0.8309975 -0.65319141
10116 7.48837544 7.52640066 7.49518025 8.1910613 7.86343518
10117 -0.24641255 -1.17995959 0.54415639 0.4147467 0.68563834
1012 5.49897458 5.36851364 5.03231588 5.1831815 5.40786768
10121 6.31035653 6.37565694 6.35825296 5.8734401 6.41686471
10123 5.96561356 5.78860952 4.98677833 5.6546820 4.70688721
TUN_24_H1 THA_24_H1 DOX_24_H1 NUTL_24_H1 DMSO_24_H1 LPS_24_H1
100 3.12417532 1.9258446 4.60758945 2.9501514 2.84512213 3.0488743
1000 11.11522386 11.4914336 9.95653411 11.0631547 11.10241899 11.0293431
10000 6.46825545 6.3103353 6.28983284 5.8642127 5.83938044 5.8693162
10001 4.53022867 4.7584800 4.93659451 4.8987894 4.63004024 4.9007657
10003 5.74564691 4.7963350 5.70653968 6.6124031 6.03192278 5.9555230
100037417 2.31452163 3.5503363 3.29401974 3.5677361 3.80012031 4.0656729
100049716 3.96506116 3.6363389 4.76773596 3.8365852 4.41192734 4.1880315
10005 4.56668088 4.1660828 4.31875427 4.8016155 4.56923991 4.7613021
10006 6.47466403 6.7504029 6.45725211 6.6992724 6.53950402 6.4224292
10007 5.51638380 5.5830469 6.71836541 5.6081602 5.41773573 5.4820269
10009 4.98997543 4.8572996 5.60992586 5.2605316 5.05054595 4.8273487
100093630 5.27338580 4.7963350 4.97290700 4.1246771 3.88239478 4.0838010
1001 6.81990874 4.4134827 7.47909553 6.7907333 5.98148332 6.2445064
10010 5.52258257 5.0366915 5.55509261 5.1950781 5.16180158 4.9608514
100101267 1.38368284 2.0973881 1.83338140 1.8476109 1.96927096 1.3554341
100101467 5.15866771 4.9157921 4.35589311 5.8338156 5.49821938 5.2367682
10011 5.44637939 4.8332220 5.34949673 5.4081244 5.68746867 5.3608912
100113386 2.42453885 0.4863104 1.60564698 2.3381176 1.72359503 2.1584600
100113397 1.01297694 -0.5537706 0.28918679 0.4987161 1.05404722 1.6753436
100113407 4.24547079 4.6796533 4.35589311 4.6701520 4.41192734 4.0838010
100125288 2.42453885 1.8317633 0.80102860 2.8072741 1.96927096 2.2892017
100127983 1.76455413 2.5749379 1.47670631 1.3936607 2.04267053 2.5197449
100128006 2.66766865 1.3786365 1.00183015 2.9040801 2.62382078 2.2892017
100128016 1.38368284 1.6229172 0.80102860 1.9418331 0.90456014 1.3554341
100128025 0.29832685 0.4863104 -0.05625794 -0.5473797 -0.23427938 0.3654851
100128054 0.51278902 0.7143389 0.56768865 -0.5473797 0.33211232 1.0944155
100128071 1.01297694 1.2390018 1.00183015 1.2537154 1.63143524 1.3554341
100128191 1.76455413 0.4863104 2.99766138 2.7563209 3.00056949 3.0488743
100128252 -1.17995959 -1.1799596 -1.17995959 -1.1799596 -1.17995959 -1.1799596
100128379 -0.25921808 -0.1185534 0.28918679 -1.1799596 -0.23427938 -1.1799596
100128398 5.63556468 5.0679786 6.29939676 5.5268881 5.27273551 5.1361237
100128494 3.44454102 3.3271559 3.13218689 3.3095230 2.88558219 3.0114816
100128569 2.57527333 2.1760715 0.28918679 2.0302770 2.04267053 0.7755059
100128640 1.48873330 0.4863104 3.66340919 2.1923926 1.89193595 0.5850129
100128682 1.67834301 3.4588802 2.56205333 1.7468025 2.67088019 2.2892017
100128731 6.38564960 6.3233584 6.78455629 6.8127204 6.66393578 6.6674947
100128766 0.04632208 0.2153484 -1.17995959 -0.1091102 -0.23427938 0.5850129
100128782 2.62221053 2.0973881 2.84928974 2.7563209 2.80349455 2.6225280
100128822 3.41818460 2.9331133 4.00478115 2.9947969 2.52483033 2.9336569
100128833 2.91390350 2.5156570 3.17437856 2.5323465 2.67088019 2.1584600
100128881 1.67834301 2.8870757 3.33179247 2.8564890 1.96927096 2.6225280
100128893 5.64127292 5.3819616 7.44071783 6.4129973 6.28352672 6.4295346
100129001 0.69945767 0.2153484 -0.05625794 0.7275750 1.53298407 1.2308199
100129013 1.58665090 2.0973881 1.72400312 1.9418331 1.81021946 1.7679479
100129029 0.51278902 1.3786365 0.28918679 1.0987223 -0.23427938 1.0944155
100129060 3.05743288 3.7175018 4.20123196 3.7349756 3.66718066 3.8496043
100129075 3.52083883 2.0973881 4.54464583 3.5677361 2.67088019 3.1555667
100129195 2.06558725 1.0843896 1.60564698 2.9501514 3.71286859 2.5197449
100129203 0.69945767 0.9111966 6.20077872 1.3936607 -0.23427938 0.3654851
100129250 1.58665090 0.2153484 2.11912408 1.6384173 1.81021946 2.6225280
100129259 0.04632208 -0.5537706 0.28918679 0.7275750 0.33211232 0.3654851
100129361 5.74033779 5.2426644 6.08389581 5.9797745 6.05427953 6.0599451
100129398 0.69945767 1.2390018 -0.05625794 0.9250511 0.54915460 -0.2094960
100129434 0.04632208 0.2153484 2.49704517 -0.1091102 0.73777400 1.5763850
100129461 1.84590275 -1.1799596 -0.05625794 1.3936607 1.31329935 0.3654851
100129484 2.06558725 2.0141645 2.42896893 2.7563209 1.18948892 1.0944155
100129550 4.41499694 2.8870757 4.35589311 4.4947404 4.23533789 3.5953769
100129583 0.86471715 0.9111966 1.33510038 1.5212232 2.57517441 1.9370307
100129662 2.31452163 0.4863104 4.13867421 2.9501514 2.04267053 2.5720516
100129707 0.69945767 0.9111966 0.56768865 -0.1091102 0.54915460 0.9437547
100129716 1.99601083 1.0843896 2.42896893 2.1923926 1.63143524 0.1064515
100129726 -0.25921808 -1.1799596 1.33510038 1.6384173 0.33211232 -0.2094960
100129774 3.70653288 3.7175018 3.66340919 3.4443987 2.71645294 3.3175300
100129781 0.29832685 -0.5537706 -0.05625794 -0.1091102 0.07653495 -0.6146207
100129792 1.48873330 -0.1185534 -1.17995959 1.3936607 1.53298407 1.2308199
100129794 2.25619805 2.3892455 0.80102860 2.3381176 2.67088019 1.6753436
100129842 1.27037812 -0.1185534 1.17806735 0.7275750 0.07653495 0.5850129
100129917 3.59330346 2.6866575 2.20304352 1.2537154 1.63143524 1.0944155
100129924 0.29832685 0.9111966 1.60564698 0.7275750 1.18948892 0.9437547
100129940 -1.17995959 -0.1185534 2.56205333 1.5212232 -0.23427938 0.5850129
100129995 2.06558725 3.5503363 3.04391108 0.7275750 1.89193595 2.7641540
10013 6.69099676 6.8911637 6.22607238 6.4415005 6.08065819 6.4576114
100130111 2.06558725 1.7311161 2.11912408 1.6384173 1.63143524 1.6753436
100130197 0.86471715 0.7143389 -0.51136227 -1.1799596 0.73777400 -0.2094960
100130335 4.53022867 3.7175018 4.83504039 4.3816149 3.64378242 4.5943090
100130348 3.15642329 3.1038436 3.04391108 1.5212232 2.30380007 2.8513934
100130357 1.38368284 0.4863104 2.03002004 1.8476109 0.90456014 2.0146784
100130466 4.01867293 3.5204905 3.80441977 4.0419988 3.69020548 4.2046940
100130476 0.04632208 -1.1799596 1.00183015 -0.1091102 -0.23427938 -0.2094960
100130522 1.38368284 1.0843896 1.33510038 0.7275750 0.90456014 1.4701353
100130550 0.51278902 -1.1799596 -1.17995959 -0.5473797 0.07653495 0.3654851
100130564 2.83640272 3.1435461 2.20304352 2.8564890 3.29902686 3.3478497
100130581 1.48873330 -0.1185534 1.00183015 -0.1091102 1.05404722 0.7755059
100130691 1.14741052 1.9258446 2.11912408 2.8564890 2.57517441 1.5763850
100130705 3.33609699 3.6082372 2.20304352 2.1136107 3.07243242 2.7641540
100130748 1.01297694 -0.1185534 1.60564698 2.2670943 2.30380007 1.7679479
100130750 3.18796615 2.3216279 1.47670631 2.7563209 2.41854397 2.6712979
100130855 1.84590275 1.5059410 2.03002004 2.4058079 2.41854397 2.5720516
100130958 -0.25921808 0.7143389 2.11912408 -0.5473797 1.05404722 0.1064515
100131017 2.57527333 3.4588802 2.94987976 2.7035021 2.04267053 2.1584600
100131031 1.76455413 1.5059410 2.35752061 1.2537154 2.17913535 0.9437547
100131033 1.84590275 1.8317633 2.94987976 2.1136107 2.24281384 1.8549649
100131067 2.71173807 2.3892455 2.56205333 2.0302770 2.30380007 2.4654702
100131089 4.00102278 3.9367339 3.74965810 4.6974206 4.68838151 4.9410996
100131094 1.84590275 0.2153484 1.33510038 -0.5473797 0.90456014 0.3654851
100131138 6.20473245 5.6045437 3.69273549 5.8399465 5.97680925 6.0039264
100131187 0.29832685 -1.1799596 -1.17995959 -0.5473797 -1.17995959 0.3654851
100131193 1.84590275 3.3271559 3.74965810 3.6537778 3.20623616 3.6692708
100131211 3.89033157 2.8395204 5.08774387 4.0419988 4.01596776 3.8913733
100131213 1.01297694 0.4863104 1.60564698 1.5212232 0.33211232 0.9437547
100131471 2.52675756 2.3892455 2.28234867 1.8476109 2.62382078 2.0883597
100131656 3.92818017 3.2198162 4.47883025 3.9542927 3.66718066 3.3775453
100131685 0.86471715 -0.5537706 1.33510038 0.9250511 0.73777400 0.9437547
100131691 2.71173807 2.1760715 4.37411005 3.0801452 2.88558219 2.8931114
100131740 0.86471715 0.9111966 0.28918679 1.2537154 0.73777400 0.3654851
100131801 3.15642329 2.7394320 3.98120574 3.0801452 3.29902686 3.7395635
100131827 2.06558725 -1.1799596 -0.05625794 -0.1091102 0.73777400 0.7755059
100131828 0.51278902 0.7143389 1.47670631 0.7275750 0.90456014 1.0944155
100131940 2.42453885 0.7143389 2.20304352 1.5212232 1.96927096 2.1584600
100132074 1.48873330 1.2390018 2.28234867 1.8476109 1.72359503 1.7679479
100132086 -0.64734936 -1.1799596 0.56768865 -0.5473797 -0.23427938 -0.2094960
100132116 2.79603304 3.1435461 3.69273549 4.0419988 4.53149051 4.9311213
100132126 -0.25921808 0.7143389 -0.05625794 1.2537154 1.72359503 1.0944155
100132215 1.76455413 0.7143389 1.72400312 1.0987223 1.53298407 1.7679479
100132537 1.01297694 1.8317633 0.56768865 0.7275750 1.05404722 0.1064515
100132609 1.01297694 1.0843896 0.28918679 2.6486758 1.05404722 0.7755059
100132659 0.86471715 1.0843896 0.56768865 1.0987223 0.90456014 0.3654851
100132891 -0.25921808 -1.1799596 -1.17995959 -1.1799596 -1.17995959 -1.1799596
100132972 0.86471715 1.0843896 2.35752061 1.8476109 1.05404722 1.2308199
100133234 1.14741052 0.9111966 0.80102860 0.9250511 0.33211232 0.3654851
100133286 0.04632208 -0.1185534 -0.05625794 -0.5473797 0.07653495 0.3654851
100133315 -1.17995959 -0.5537706 2.49704517 0.2265796 1.53298407 1.0944155
100134934 2.75450112 1.5059410 1.47670631 2.4704641 2.36231248 1.9370307
10014 6.44559855 6.8765122 7.28093839 6.9775043 6.98809551 6.8638596
100144603 1.14741052 0.4863104 1.00183015 0.7275750 0.33211232 -1.1799596
100144748 1.14741052 2.0973881 5.91376069 2.6486758 1.96927096 1.5763850
10015 7.57911172 7.9188271 8.35538414 8.0229184 7.84262255 7.8211602
10016 5.28071884 4.9385408 5.95064514 5.5569740 5.45853873 5.1533929
100170229 0.69945767 -0.5537706 -1.17995959 1.0987223 1.81021946 0.7755059
100170841 4.15260063 4.8809819 4.39209984 2.1923926 3.71286859 4.1017041
10018 4.44141113 4.4296313 5.90125330 5.0858189 4.36976476 4.5296523
100188847 0.69945767 1.6229172 1.33510038 1.2537154 1.53298407 1.0944155
10019 4.81919951 5.4228710 4.51211332 3.1993880 3.75715395 3.5439243
100190938 3.05743288 1.5059410 1.33510038 2.0302770 -0.23427938 1.0944155
1002 1.01297694 2.0973881 -1.17995959 0.9250511 1.81021946 1.2308199
10020 3.36398173 3.9591573 3.25523140 3.5378761 2.80349455 3.1208719
10021 7.35255962 7.1048501 7.73309091 8.2744966 8.04595994 7.7993850
10023 2.79603304 1.6229172 4.46189628 2.8564890 1.89193595 2.4654702
10024 3.21883410 2.5749379 3.53975237 4.5406330 4.73341324 5.0372607
10026 6.42919440 5.3652674 5.62521719 7.0213238 6.69272387 6.5711932
100268168 2.25619805 2.2506846 1.93504835 1.0987223 1.53298407 -0.2094960
100270804 1.58665090 1.2390018 2.11912408 2.4704641 1.89193595 2.0883597
100270827 1.27037812 0.2153484 0.28918679 -1.1799596 0.73777400 0.9437547
100270840 5.10184198 4.4296313 4.69713736 4.7889953 4.93962823 5.0279280
100270854 4.94452943 5.1482382 3.69273549 5.1265133 4.90067611 5.2767159
100270865 6.20858232 5.9167090 4.76773596 5.9630194 5.68173593 6.0228420
100271271 3.79112377 3.8672934 3.85717861 4.0839301 3.75715395 3.9118130
100271332 -1.17995959 -1.1799596 -1.17995959 -0.5473797 -0.63098209 -1.1799596
100271415 2.91390350 1.7311161 3.25523140 2.3381176 2.24281384 1.7679479
100271479 2.19541694 -0.5537706 1.33510038 1.8476109 2.17913535 1.3554341
100271884 -1.17995959 -1.1799596 -0.05625794 -0.5473797 -1.17995959 -0.2094960
100272147 2.57527333 1.8317633 3.36860141 2.7035021 2.62382078 2.9730940
100286844 1.76455413 2.1760715 2.90046126 1.9418331 2.17913535 0.3654851
100287015 1.48873330 2.0973881 3.04391108 1.5212232 1.72359503 1.9370307
100287049 1.01297694 0.2153484 1.00183015 1.5212232 1.53298407 0.9437547
100287074 0.04632208 0.4863104 1.00183015 0.7275750 1.96927096 0.5850129
100287616 2.75450112 2.5749379 0.28918679 2.9501514 2.76063008 2.0883597
100287722 0.69945767 2.2506846 1.93504835 1.2537154 1.53298407 1.0944155
100287808 1.14741052 0.9111966 2.84928974 -0.1091102 1.18948892 -0.2094960
100287837 0.04632208 0.2153484 -0.05625794 -0.1091102 1.42731921 -0.2094960
100287896 2.75450112 3.2564907 2.62425808 3.7349756 2.67088019 2.8084330
100287902 1.27037812 0.7143389 2.28234867 -0.5473797 -0.63098209 0.5850129
100287928 2.42453885 3.0630176 3.36860141 3.9083556 3.59581574 3.6204311
100287932 5.24367513 5.4704785 5.75600119 5.3831517 5.96741543 5.7208415
100288001 2.47655333 1.5059410 3.04391108 2.9040801 2.92493844 2.5720516
100288073 5.84297656 5.1384465 1.72400312 1.0987223 1.63143524 1.8549649
100288123 0.69945767 1.7311161 1.83338140 0.2265796 0.54915460 1.4701353
100288198 2.06558725 2.7394320 4.28063406 2.8072741 2.17913535 2.4654702
100288241 -0.25921808 -1.1799596 -1.17995959 -0.5473797 -1.17995959 -1.1799596
100288413 3.59330346 3.8672934 4.60758945 1.9418331 2.30380007 2.5197449
100288513 -1.17995959 -1.1799596 -0.51136227 -0.5473797 -0.23427938 -1.1799596
100288842 2.31452163 0.9111966 1.60564698 0.9250511 2.04267053 1.6753436
100289061 0.04632208 0.4863104 1.33510038 -0.1091102 0.54915460 0.7755059
100289095 0.29832685 -1.1799596 1.00183015 -0.1091102 0.33211232 1.0944155
100289133 2.06558725 2.1760715 2.94987976 2.4058079 2.04267053 2.6225280
100289178 2.57527333 1.7311161 2.90046126 2.8072741 2.57517441 3.0488743
100289211 -1.17995959 -0.1185534 0.56768865 0.9250511 1.18948892 0.7755059
100289259 1.76455413 1.2390018 1.47670631 2.0302770 0.90456014 1.2308199
100289274 5.47862125 3.8433834 4.40986806 3.8365852 3.14088495 2.4090735
100289341 1.67834301 1.0843896 2.62425808 0.9250511 1.42731921 2.4654702
100289373 2.52675756 1.7311161 3.43951628 2.6486758 2.67088019 2.7184729
100289388 1.27037812 1.5059410 -1.17995959 0.9250511 1.05404722 2.0883597
100289414 -0.25921808 -0.1185534 -1.17995959 -1.1799596 1.05404722 -0.2094960
100289635 5.49131891 5.3312881 4.68259339 5.7774329 5.61110522 5.0372607
100289640 2.37057870 2.0973881 1.17806735 1.5212232 1.42731921 2.4654702
100289678 2.79603304 2.2506846 3.04391108 2.9501514 2.92493844 2.6712979
100293516 3.70653288 2.5749379 3.60290524 3.9542927 3.41413626 3.1894467
100294362 0.69945767 1.8317633 2.03002004 1.7468025 1.05404722 1.5763850
1003 -0.25921808 -0.1185534 -1.17995959 -0.1091102 -0.23427938 0.3654851
100302692 3.24905541 2.4538353 3.04391108 3.8609076 2.92493844 3.1208719
100302736 3.02286690 1.9258446 1.83338140 1.0987223 1.72359503 0.7755059
100303728 2.98745237 3.6909516 3.36860141 3.6813546 3.41413626 3.9518434
100303755 1.58665090 1.5059410 1.33510038 1.2537154 2.17913535 0.9437547
100312828 -0.25921808 0.9111966 1.33510038 0.7275750 -0.23427938 0.9437547
100312850 1.48873330 0.9111966 1.00183015 0.7275750 -0.23427938 0.3654851
10036 4.51787034 3.0210025 5.37685651 4.7241832 5.58677174 5.0279280
100379345 0.29832685 -0.1185534 0.80102860 1.3936607 0.07653495 1.3554341
10038 6.12956261 5.2056322 4.63806052 5.8399465 5.87498431 5.7831867
100381270 1.67834301 0.4863104 0.80102860 0.7275750 1.63143524 0.9437547
10039 4.12026615 3.7435721 2.56205333 3.7610567 3.90225063 3.7622534
1004 3.24905541 3.5204905 2.11912408 3.5378761 4.06963259 4.0838010
10040 4.90711290 4.0868375 2.99766138 4.8388269 4.39800961 4.4197679
100418710 0.86471715 1.2390018 2.28234867 0.7275750 1.31329935 1.0944155
100418735 1.14741052 0.2153484 1.00183015 1.9418331 1.72359503 1.9370307
100418744 1.76455413 1.3786365 1.17806735 1.2537154 0.54915460 0.3654851
100418770 0.04632208 -0.5537706 -1.17995959 -0.5473797 -0.63098209 -1.1799596
100418781 1.27037812 0.7143389 2.35752061 0.4987161 0.54915460 1.3554341
100418819 1.67834301 2.0141645 2.49704517 1.0987223 1.05404722 1.3554341
100418829 1.01297694 0.7143389 0.28918679 0.9250511 0.33211232 1.2308199
100418888 1.14741052 -0.1185534 1.17806735 1.5212232 0.90456014 1.6753436
100418889 2.66766865 2.7903440 2.74115703 2.5916833 2.47266572 2.9730940
100418910 0.69945767 -0.5537706 1.33510038 -0.5473797 0.54915460 -0.6146207
100418919 2.06558725 2.3216279 2.84928974 2.5916833 2.11251587 2.4654702
100419028 1.92290820 1.6229172 2.79623624 1.5212232 2.04267053 2.5720516
100419185 1.14741052 -1.1799596 0.56768865 -0.1091102 1.18948892 -0.2094960
100419416 1.14741052 0.7143389 1.83338140 -0.1091102 0.73777400 0.5850129
100419515 0.29832685 -1.1799596 -1.17995959 1.5212232 0.33211232 -0.2094960
100419645 -1.17995959 -0.1185534 -0.05625794 -0.1091102 0.33211232 -1.1799596
100419758 1.99601083 1.7311161 2.03002004 2.1923926 1.96927096 1.6753436
100419928 2.25619805 1.6229172 2.74115703 2.4058079 1.63143524 1.6753436
10042 4.76794000 5.0471961 5.48976281 5.0858189 5.43146535 5.6188564
100420028 0.86471715 -1.1799596 -1.17995959 -1.1799596 0.54915460 -1.1799596
100420050 -0.25921808 0.2153484 -0.05625794 -1.1799596 0.90456014 -0.6146207
100420110 2.91390350 2.8870757 2.90046126 3.3095230 3.00056949 2.4090735
100420187 0.04632208 0.7143389 -1.17995959 -1.1799596 -1.17995959 -1.1799596
100420259 4.26038413 4.3806330 4.44476117 4.1246771 4.12137261 4.2694836
100420307 0.04632208 0.9111966 1.00183015 0.7275750 1.31329935 0.9437547
100420341 7.25912999 6.3490573 5.30271151 5.2234940 5.11151657 5.3308471
100420423 1.76455413 1.2390018 1.60564698 1.3936607 2.11251587 1.4701353
100420591 1.01297694 0.7143389 1.00183015 0.2265796 1.18948892 0.3654851
100420707 2.98745237 2.3216279 3.69273549 3.6537778 3.59581574 3.3175300
100420752 2.42453885 2.0141645 1.47670631 0.4987161 1.96927096 2.0883597
100420869 4.86870007 3.7943408 5.13123580 5.0858189 4.90067611 4.4197679
100420981 6.65758920 6.5618112 7.07919456 6.6372584 6.39283002 6.6734924
100421093 4.00102278 4.1660828 4.18067931 3.7610567 3.73518119 3.1208719
100421109 0.51278902 0.2153484 0.80102860 -0.5473797 0.54915460 0.3654851
100421160 -0.25921808 0.4863104 -0.05625794 -0.1091102 0.07653495 -0.6146207
100421175 1.27037812 -1.1799596 0.56768865 1.5212232 0.73777400 0.7755059
100421246 0.29832685 0.9111966 1.72400312 0.2265796 0.33211232 0.1064515
100421311 2.13196204 1.2390018 1.93504835 1.5212232 0.54915460 2.0146784
100421372 2.66766865 2.3216279 2.42896893 1.5212232 2.84512213 1.7679479
100421400 1.99601083 1.5059410 1.17806735 2.7563209 2.24281384 1.9370307
100421415 1.92290820 1.2390018 1.17806735 1.5212232 1.96927096 1.5763850
100421429 0.04632208 -1.1799596 -1.17995959 -0.1091102 -0.23427938 -0.2094960
100421465 1.84590275 -0.5537706 1.47670631 1.0987223 1.53298407 1.5763850
100421468 2.31452163 2.5749379 2.74115703 2.2670943 1.96927096 2.1584600
100421506 1.01297694 1.2390018 1.33510038 1.0987223 0.90456014 0.1064515
100421569 0.29832685 -0.1185534 1.33510038 1.2537154 1.53298407 0.5850129
100421595 -1.17995959 0.4863104 -1.17995959 -0.1091102 0.33211232 0.5850129
100421794 -0.25921808 -1.1799596 -1.17995959 -1.1799596 -1.17995959 -1.1799596
100422106 1.92290820 1.5059410 2.84928974 1.7468025 1.89193595 1.5763850
100422338 2.95114657 1.7311161 3.29401974 1.6384173 2.71645294 3.0488743
100422546 1.27037812 1.2390018 2.28234867 2.1136107 2.17913535 2.4090735
100422561 4.48014720 4.2950795 3.60290524 3.9767241 3.46842053 4.1017041
10043 5.79256975 6.2250076 6.03320971 6.0764136 5.80287564 5.8215025
10044 -0.25921808 0.2153484 0.28918679 -1.1799596 -0.23427938 0.3654851
10045 0.86471715 0.9111966 1.93504835 -0.1091102 0.73777400 0.9437547
10046 -0.25921808 -1.1799596 1.47670631 -1.1799596 0.07653495 1.0944155
10048 6.82242329 6.5979854 7.49374876 7.0716878 6.99041623 6.8239731
10049 6.00670204 6.1441338 4.97290700 6.3542436 6.16525839 6.0181363
100499177 4.15260063 3.6909516 2.68389124 3.3095230 3.49481544 3.4351634
100499483 3.12417532 2.5156570 2.20304352 3.1209977 3.54619927 2.6712979
1005 0.29832685 0.9111966 0.56768865 1.2537154 1.72359503 1.5763850
100500719 0.04632208 0.4863104 2.42896893 -1.1799596 -0.23427938 -1.1799596
100505385 1.99601083 2.2506846 2.20304352 2.3381176 3.20623616 2.5197449
100505501 2.83640272 2.1760715 2.62425808 2.8564890 3.07243242 2.4654702
100505538 1.01297694 0.2153484 2.74115703 2.0302770 2.04267053 1.5763850
100505549 1.99601083 1.2390018 1.93504835 2.7035021 1.31329935 1.6753436
100505573 6.33371604 6.0636391 6.99635616 7.0240188 6.95995177 6.9651279
100505576 1.48873330 1.9258446 1.60564698 1.2537154 1.53298407 2.3503823
100505616 -1.17995959 -1.1799596 0.28918679 0.7275750 0.73777400 0.9437547
100505624 1.14741052 1.7311161 1.60564698 2.2670943 1.63143524 1.3554341
100505635 0.69945767 -1.1799596 -1.17995959 -0.1091102 0.07653495 -0.2094960
100505641 1.99601083 2.0141645 2.56205333 2.7563209 2.52483033 2.2253114
100505648 3.09119002 3.2198162 3.08872406 3.7866748 3.57122079 3.0853222
100505678 2.06558725 1.6229172 1.93504835 3.0801452 3.14088495 3.0114816
100505696 4.69297205 4.3470179 4.75388992 5.3231440 4.45289263 4.9510093
100505715 -1.17995959 -1.1799596 -1.17995959 0.4987161 0.54915460 0.5850129
100505738 -1.17995959 -1.1799596 -1.17995959 -1.1799596 -1.17995959 -1.1799596
100505741 1.67834301 1.2390018 3.13218689 2.3381176 1.31329935 1.4701353
100505758 3.87102828 4.1270042 3.66340919 3.9315070 3.64378242 3.6204311
100505761 4.37444613 3.5795772 2.20304352 4.2028730 3.90225063 3.9118130
100505771 2.62221053 1.7311161 1.60564698 2.6486758 2.24281384 1.2308199
100505783 3.33609699 3.2198162 3.93286671 2.7035021 2.80349455 3.5174930
100505806 4.88803433 4.5378764 4.84813252 3.8609076 3.86226184 3.9714497
100505812 1.48873330 1.8317633 2.68389124 1.2537154 1.18948892 1.3554341
100505832 2.37057870 1.5059410 3.17437856 3.5969905 2.67088019 3.1555667
100505854 5.12647044 4.1070606 5.81720020 3.7610567 3.20623616 3.5439243
100505876 5.62408000 5.3984648 5.75600119 6.1021475 6.04090710 6.1094522
100505894 2.83640272 3.7943408 4.11720395 4.6282578 3.84184396 4.5029558
100505933 2.37057870 2.0141645 3.04391108 2.8564890 2.76063008 3.2225492
100505994 2.91390350 2.3892455 4.72579269 0.2265796 1.05404722 1.2308199
100506020 -0.25921808 0.4863104 0.28918679 1.2537154 1.05404722 1.2308199
100506033 4.65961073 4.3806330 5.57097306 5.4081244 4.85045877 5.1956828
100506054 2.71173807 2.5156570 2.28234867 3.2370416 2.71645294 2.6712979
100506068 0.86471715 0.2153484 1.00183015 2.7035021 1.81021946 2.0883597
100506070 3.15642329 2.9331133 2.56205333 3.5969905 2.92493844 2.4654702
100506083 1.58665090 -0.1185534 1.47670631 1.2537154 -0.63098209 1.0944155
100506100 0.51278902 0.2153484 0.28918679 0.9250511 0.33211232 0.9437547
100506119 2.71173807 2.1760715 4.31875427 1.5212232 1.63143524 2.2253114
100506127 2.57527333 2.5156570 2.35752061 1.9418331 3.20623616 2.7184729
100506142 1.76455413 1.5059410 0.56768865 1.6384173 1.81021946 0.7755059
100506144 1.01297694 0.9111966 -1.17995959 2.1923926 1.31329935 0.9437547
100506161 1.92290820 -0.1185534 0.56768865 0.4987161 1.81021946 -0.2094960
100506211 1.27037812 6.0480333 3.29401974 2.6486758 4.92998835 5.5356937
100506235 1.38368284 1.6229172 2.35752061 1.9418331 1.63143524 2.0146784
100506258 2.42453885 1.5059410 2.03002004 1.3936607 1.89193595 2.4090735
100506282 2.79603304 2.6866575 3.95723867 3.6813546 3.20623616 2.7184729
100506286 1.92290820 0.9111966 1.47670631 1.8476109 1.63143524 1.2308199
100506302 1.92290820 0.4863104 2.20304352 2.1923926 2.11251587 1.6753436
100506321 1.27037812 1.5059410 1.00183015 0.7275750 0.73777400 0.1064515
100506325 1.67834301 1.7311161 0.56768865 1.5212232 1.42731921 1.3554341
100506343 1.38368284 0.9111966 1.72400312 1.2537154 1.05404722 0.5850129
100506365 5.82803858 5.4309155 5.39481229 5.6986554 5.71017447 5.6496076
100506368 0.69945767 0.9111966 1.72400312 0.9250511 2.11251587 0.3654851
100506380 4.38809011 4.4770199 5.12048512 4.2217772 4.41192734 4.2211662
100506392 4.16850011 3.7435721 2.79623624 4.2217772 4.06963259 4.5428175
100506394 1.92290820 2.6866575 3.74965810 3.3095230 2.57517441 2.3503823
100506411 1.27037812 0.4863104 2.20304352 1.0987223 1.42731921 1.4701353
100506433 3.12417532 1.6229172 2.28234867 4.7373807 4.17132111 3.9907931
100506462 0.86471715 -1.1799596 1.93504835 0.7275750 0.90456014 0.1064515
100506469 5.15866771 4.2593850 5.04289996 5.2966421 5.07699235 4.9007657
100506495 1.48873330 0.4863104 2.28234867 2.1136107 2.11251587 2.4654702
100506504 2.13196204 1.0843896 1.33510038 2.5323465 0.33211232 2.2892017
100506540 1.38368284 0.7143389 1.60564698 0.4987161 1.63143524 1.0944155
100506581 2.06558725 1.0843896 1.00183015 1.5212232 1.18948892 1.7679479
100506606 1.14741052 1.0843896 1.00183015 0.9250511 0.90456014 0.1064515
100506658 2.95114657 2.0973881 1.33510038 0.4987161 1.53298407 1.3554341
100506668 2.95114657 1.9258446 2.35752061 2.7035021 2.84512213 2.6712979
100506686 2.25619805 2.3216279 2.03002004 2.8072741 2.47266572 2.7184729
100506691 1.67834301 1.2390018 -1.17995959 -1.1799596 0.54915460 0.3654851
100506696 2.47655333 3.6082372 1.60564698 1.8476109 2.92493844 3.5174930
100506697 1.58665090 0.9111966 2.03002004 2.2670943 1.89193595 1.0944155
100506710 6.98836786 7.0060039 7.31669792 6.6512715 6.31719591 6.5054681
100506713 0.86471715 -0.1185534 1.17806735 0.4987161 0.07653495 0.1064515
100506725 2.98745237 1.7311161 3.98120574 3.5073850 3.44153370 3.1894467
100506731 1.76455413 1.6229172 2.99766138 1.6384173 1.81021946 0.9437547
100506757 1.38368284 -0.1185534 1.00183015 0.9250511 -0.63098209 0.9437547
100506779 -0.25921808 -1.1799596 -0.51136227 -1.1799596 -1.17995959 0.7755059
100506804 0.51278902 0.2153484 0.28918679 -0.1091102 0.07653495 0.3654851
100506826 0.04632208 -0.1185534 0.28918679 1.6384173 1.53298407 1.3554341
100506844 3.83162915 3.1038436 3.17437856 3.7084142 3.23783418 3.4066420
100506866 6.80472872 6.7978288 5.81720020 6.8677664 6.84667535 6.9748745
100506881 2.19541694 0.9111966 1.47670631 0.9250511 1.72359503 1.0944155
100506885 0.29832685 -1.1799596 2.62425808 -0.1091102 0.33211232 0.7755059
100506911 -1.17995959 0.4863104 -0.51136227 0.7275750 -0.63098209 1.0944155
100506922 2.57527333 2.3892455 4.68259339 2.9501514 2.88558219 2.2892017
100506930 4.99889533 3.9139564 4.78145038 4.7889953 4.23533789 4.6193815
100506994 0.69945767 0.2153484 0.80102860 0.9250511 1.42731921 0.3654851
100507003 2.62221053 2.9777271 0.80102860 0.4987161 1.81021946 2.0883597
100507032 2.95114657 1.7311161 1.17806735 2.7035021 2.30380007 2.4090735
100507034 3.09119002 3.1435461 4.29982007 3.5073850 3.07243242 3.2225492
100507050 -1.17995959 1.2390018 1.60564698 -1.1799596 0.33211232 0.1064515
100507053 2.13196204 2.1760715 3.63347437 2.8072741 3.20623616 3.0488743
100507057 1.84590275 1.2390018 2.49704517 1.7468025 2.17913535 1.6753436
100507062 0.69945767 -1.1799596 1.60564698 1.0987223 0.90456014 1.0944155
100507071 1.58665090 -0.5537706 -0.05625794 -0.5473797 -0.23427938 -0.6146207
100507156 1.76455413 2.0141645 2.84928974 2.0302770 2.24281384 1.8549649
100507171 3.85146321 3.5204905 0.56768865 1.0987223 2.30380007 2.2253114
100507173 1.76455413 1.0843896 0.56768865 1.6384173 1.96927096 0.3654851
100507178 0.69945767 0.4863104 0.56768865 1.0987223 1.81021946 1.3554341
100507244 -0.64734936 -0.1185534 -0.05625794 -0.1091102 0.07653495 -0.6146207
100507246 3.21883410 2.7394320 2.03002004 2.4704641 1.96927096 2.7184729
100507250 0.04632208 -0.1185534 -0.05625794 1.2537154 0.54915460 0.5850129
100507254 -1.17995959 -1.1799596 -0.51136227 -1.1799596 -0.23427938 -1.1799596
100507266 1.38368284 1.3786365 1.00183015 1.8476109 1.42731921 1.2308199
100507290 4.59048053 5.0471961 4.37411005 4.9676021 4.89077151 4.9899812
100507291 1.58665090 2.4538353 1.72400312 2.4704641 2.57517441 2.0146784
100507303 3.18796615 2.9331133 4.02797749 3.5378761 2.71645294 3.0114816
100507308 -0.25921808 -1.1799596 1.47670631 -0.5473797 1.05404722 1.4701353
100507316 2.31452163 2.2506846 2.42896893 1.0987223 1.89193595 2.8084330
100507331 1.76455413 2.0973881 2.94987976 1.7468025 2.24281384 1.6753436
100507347 1.67834301 1.0843896 4.07328041 1.6384173 1.89193595 1.6753436
100507373 2.37057870 1.6229172 2.56205333 1.6384173 2.17913535 2.1584600
100507392 -1.17995959 -1.1799596 -0.05625794 -1.1799596 -0.63098209 -0.2094960
100507398 2.37057870 2.3892455 3.83104035 3.0801452 3.35772930 2.4654702
100507401 0.04632208 1.0843896 0.28918679 0.9250511 1.31329935 0.5850129
100507420 -1.17995959 -1.1799596 -1.17995959 0.4987161 -1.17995959 -0.2094960
100507433 1.92290820 2.0141645 1.17806735 2.9501514 1.72359503 2.2892017
100507436 -1.17995959 -1.1799596 1.33510038 1.0987223 0.54915460 1.2308199
100507437 3.15642329 1.9258446 2.99766138 3.5073850 3.41413626 3.0488743
100507459 3.18796615 2.9777271 4.72579269 2.4704641 2.92493844 2.8931114
100507463 -0.25921808 0.2153484 1.00183015 -0.1091102 -0.63098209 0.3654851
100507487 2.25619805 2.5156570 4.29982007 3.3785365 2.88558219 3.0114816
100507495 2.62221053 1.8317633 3.29401974 3.4762356 3.07243242 3.0488743
100507516 0.86471715 -0.1185534 1.93504835 -0.5473797 0.73777400 0.3654851
100507551 1.58665090 0.7143389 1.93504835 2.0302770 1.81021946 1.6753436
100507557 1.76455413 1.3786365 1.60564698 0.9250511 1.72359503 1.9370307
100507564 0.29832685 -0.1185534 -0.05625794 0.2265796 1.31329935 -0.6146207
100507567 1.01297694 0.9111966 2.42896893 1.3936607 1.05404722 1.4701353
100507588 0.04632208 -0.5537706 0.80102860 0.7275750 -0.23427938 -0.2094960
100507599 1.84590275 2.0973881 2.74115703 2.4058079 2.04267053 2.4654702
100507602 3.66230171 3.1435461 2.11912408 3.6256635 3.35772930 3.8913733
100508120 3.36398173 1.8317633 1.17806735 2.5916833 2.04267053 2.0883597
10051 6.57649145 6.4355609 7.28093839 7.6269828 8.04818949 7.9686876
10052 0.51278902 1.0843896 0.80102860 1.3936607 1.31329935 1.4701353
100526737 2.71173807 2.1760715 2.94987976 2.4058079 2.62382078 2.2892017
100526760 1.67834301 0.4863104 0.80102860 1.0987223 1.18948892 1.0944155
100526820 1.14741052 0.4863104 2.84928974 1.0987223 1.96927096 1.0944155
100526835 4.40160625 3.2564907 5.05424229 4.1837178 4.73341324 4.3162351
100527978 2.52675756 1.6229172 2.62425808 2.0302770 1.81021946 1.4701353
100529145 2.06558725 1.6229172 1.93504835 1.6384173 1.72359503 2.0146784
100529215 -1.17995959 0.7143389 -0.51136227 0.2265796 -1.17995959 -0.6146207
100532746 4.44141113 3.7175018 3.90807594 4.0839301 3.99762652 4.2374524
100533106 0.29832685 0.2153484 2.03002004 1.0987223 0.54915460 0.9437547
100533182 1.38368284 0.4863104 1.60564698 1.7468025 0.90456014 1.9370307
100533619 0.51278902 -0.1185534 1.83338140 1.3936607 0.54915460 0.7755059
100533629 1.58665090 1.3786365 1.47670631 1.2537154 2.36231248 1.5763850
100533695 0.51278902 -0.1185534 1.60564698 0.2265796 -1.17995959 0.1064515
100533970 0.69945767 -0.5537706 2.20304352 0.2265796 0.90456014 1.6753436
100534593 2.42453885 1.3786365 2.90046126 1.3936607 2.52483033 2.4090735
10054 6.13766221 6.1144721 6.47845635 6.2290308 5.95796005 6.2445064
10056 6.31954544 5.9167090 5.26415929 6.4334140 6.38226490 6.2763830
10057 7.47428124 7.5362369 8.09754318 8.5720431 8.22019729 8.1992298
10058 6.56151750 6.1441338 5.96273333 5.2966421 5.54948424 5.6250593
10059 6.85962487 6.7244567 6.91781392 7.5430409 7.36061337 7.3752155
1006 4.45443906 4.5962695 4.05080677 4.7762637 3.99762652 4.3008190
10060 3.72815012 4.6105058 4.59210912 4.5851106 4.20368455 4.6920862
100616256 0.86471715 1.6229172 2.11912408 2.1136107 1.96927096 1.7679479
10062 2.71173807 1.7311161 2.94987976 3.1607252 2.92493844 2.9730940
10063 4.16850011 4.4296313 4.44476117 4.4633138 4.80898712 4.4480336
100652739 0.69945767 -0.1185534 -1.17995959 0.2265796 0.07653495 -0.6146207
100652758 1.48873330 0.2153484 2.68389124 -0.1091102 1.05404722 1.6753436
100652846 2.19541694 2.0141645 1.00183015 2.9947969 3.35772930 2.0883597
10066 6.67717084 6.8040361 6.50762827 6.3712759 6.33191142 6.4714475
10067 6.76344998 6.5322043 5.54708635 6.5237797 6.37162184 6.2283000
10068 3.15642329 3.2564907 3.60290524 3.0801452 3.20623616 3.5174930
10069 4.44141113 3.9139564 5.63280251 4.6423582 5.05054595 4.5163658
10072 3.59330346 4.1466758 5.41254734 5.0650329 4.92998835 5.1956828
10073 3.98315402 4.0244094 4.57646088 4.3647049 4.42571209 4.3314882
10075 8.94879878 8.4725455 9.07496266 9.1634926 9.03241995 8.9440380
10076 5.09353817 4.0029850 4.75388992 4.8631118 4.69977191 4.6920862
10077 4.13652398 4.8572996 1.60564698 4.7634188 4.77708181 5.0372607
100775107 1.27037812 1.6229172 1.47670631 1.6384173 1.18948892 1.2308199
10078 4.79891373 4.8572996 5.26415929 4.7241832 4.98688448 4.6561918
10079 4.38809011 4.2773426 4.37411005 4.4311873 4.64189877 4.2046940
1008 5.17450083 3.8433834 1.83338140 5.5495111 5.18630174 5.1098259
10081 5.41340047 5.7206555 6.30415506 5.6153265 5.36147211 5.5224630
10082 7.94374902 7.2573962 4.59210912 7.8620284 7.68535192 7.9278743
100820829 5.52258257 5.2787697 6.47845635 6.8856581 6.53633089 6.3075705
10084 5.56524382 5.3398583 5.06549614 5.6782700 5.46522843 5.4120081
100847074 2.42453885 1.8317633 2.42896893 2.0302770 2.11251587 0.9437547
10085 6.88871052 5.9281210 5.93232079 6.2974574 6.11509584 6.7407311
100852407 1.76455413 2.1760715 1.33510038 -0.5473797 0.07653495 0.3654851
100861412 1.48873330 0.9111966 0.56768865 1.3936607 0.73777400 0.3654851
100861548 4.90711290 4.2041308 4.87396568 4.5704365 4.29663433 4.1541179
100862671 1.01297694 1.0843896 -1.17995959 1.3936607 1.53298407 0.7755059
10087 6.05454411 6.3867671 7.21171881 6.8886185 6.59240611 6.5903408
100873257 0.69945767 0.2153484 1.00183015 0.7275750 -0.23427938 0.7755059
100873333 2.71173807 2.0141645 2.99766138 3.3095230 3.64378242 3.1555667
100873790 4.08719031 4.4613960 4.52847127 4.8869947 5.06823064 5.0090793
100873949 1.14741052 1.2390018 1.83338140 0.4987161 2.24281384 1.5763850
100873952 0.04632208 -0.1185534 1.83338140 -0.1091102 0.07653495 0.3654851
100873965 1.76455413 1.6229172 2.90046126 2.1923926 2.17913535 2.6225280
100874006 0.29832685 0.2153484 0.80102860 0.4987161 1.05404722 0.1064515
100874008 0.51278902 -0.1185534 1.47670631 1.3936607 0.54915460 1.6753436
100874014 3.41818460 1.8317633 3.66340919 3.1209977 3.49481544 3.1894467
100874058 1.92290820 2.1760715 2.03002004 1.2537154 0.07653495 1.3554341
100874080 0.51278902 0.4863104 -0.05625794 -0.1091102 0.90456014 1.3554341
100874097 1.92290820 1.3786365 2.68389124 2.0302770 1.42731921 1.3554341
100874201 0.86471715 -0.5537706 -0.51136227 0.2265796 -0.63098209 0.5850129
100874212 1.01297694 1.0843896 1.00183015 0.9250511 0.33211232 0.3654851
100874217 0.04632208 1.7311161 0.80102860 0.4987161 0.73777400 1.2308199
100874235 0.86471715 1.3786365 0.28918679 1.5212232 1.72359503 1.6753436
100874261 0.86471715 0.2153484 1.47670631 0.2265796 0.90456014 0.5850129
100874291 1.27037812 -1.1799596 0.56768865 0.9250511 -0.23427938 -0.2094960
100874362 2.57527333 0.7143389 3.63347437 3.1209977 2.57517441 3.3775453
100874523 1.27037812 1.3786365 2.03002004 1.5212232 1.53298407 2.5197449
100885775 4.36067189 5.5538770 3.72147751 4.3983290 4.12137261 5.2528802
100885776 2.19541694 1.6229172 1.00183015 1.0987223 1.18948892 1.2308199
100885848 4.46735039 5.1867534 3.63347437 4.4947404 5.31778595 5.4613758
1009 7.36123241 7.3237041 7.25413967 7.8331224 7.79562335 7.9820394
10090 4.31854208 4.9042817 4.68259339 4.6423582 4.55676621 4.6802204
10092 7.27022430 6.5247067 6.96964961 6.9294399 7.48102821 7.3934989
10093 6.35123577 6.3190304 6.82153357 6.6958962 6.66393578 6.6493505
10094 5.26601530 5.3652674 5.96273333 5.5116065 5.53047275 5.3232373
10095 5.05983657 4.5378764 5.27389435 4.4947404 5.10296266 4.3314882
10097 7.65302015 7.1469691 8.19170608 7.8207760 7.86682386 7.8452708
10098 6.05454411 5.4626522 5.26415929 6.6266585 6.46469572 6.2119095
10099 8.02786300 7.7279868 8.55122120 8.2969547 8.15031013 8.1135902
100996246 0.69945767 -0.1185534 -0.05625794 1.2537154 0.33211232 0.5850129
100996251 0.86471715 0.4863104 1.72400312 0.9250511 1.05404722 -0.2094960
100996307 0.04632208 0.7143389 -0.05625794 0.7275750 0.54915460 0.1064515
100996384 0.69945767 2.3892455 1.72400312 2.0302770 0.73777400 0.9437547
100996419 1.58665090 1.7311161 1.72400312 1.3936607 1.96927096 0.7755059
100996485 1.84590275 0.7143389 2.99766138 2.2670943 2.04267053 2.0146784
100996539 1.27037812 -0.1185534 2.90046126 0.4987161 0.33211232 0.5850129
100996579 3.36398173 1.0843896 2.79623624 1.9418331 2.67088019 2.7641540
100996696 3.02286690 3.3612316 3.04391108 2.9040801 3.35772930 3.1208719
100996842 0.69945767 0.4863104 2.42896893 1.6384173 1.53298407 0.7755059
100996851 -0.25921808 -0.1185534 -1.17995959 -1.1799596 -0.23427938 -0.2094960
100996939 1.48873330 -0.5537706 0.80102860 2.1136107 1.31329935 1.4701353
101 2.06558725 1.9258446 3.08872406 2.8564890 2.71645294 2.6712979
1010 2.79603304 0.4863104 -0.05625794 2.7035021 2.17913535 1.7679479
10100 4.77833864 7.2953441 5.06549614 5.4883763 6.20975713 6.1785590
10101 5.47223027 5.3984648 5.66275113 5.4081244 5.33249548 5.3308471
10102 5.51638380 5.1086664 5.32160805 6.0235262 6.04090710 5.3608912
10103 0.04632208 0.9111966 -0.05625794 0.4987161 1.05404722 0.7755059
10105 6.81990874 7.2414758 7.81371931 7.1987772 7.22725880 7.4730224
10106 8.11966178 7.6387723 8.47309060 7.9998308 7.60584931 7.7161228
101060200 3.87102828 3.0630176 3.85717861 3.8609076 3.38620844 3.7395635
101060691 0.29832685 -0.1185534 1.60564698 2.1136107 1.53298407 0.7755059
10109 7.63882362 7.6815427 8.27040467 7.9138062 7.92500196 8.0365729
10112 4.76794000 4.1466758 5.24448984 6.4047490 6.93124807 6.7912503
10113 7.22342438 6.3362651 5.88228653 6.4374629 5.95796005 6.2404718
10114 8.32157482 8.8702252 8.93778598 8.6262584 8.93758874 8.7568833
101154753 -0.64734936 0.4863104 0.56768865 0.9250511 0.90456014 0.7755059
10116 7.67544796 8.3985880 7.60397819 7.4297256 7.40825704 7.4151374
10117 2.25619805 1.5059410 3.80441977 1.5212232 1.05404722 1.7679479
1012 5.18235270 5.2517758 4.69713736 5.2234940 5.27273551 5.0372607
10121 6.12141727 6.0216424 6.38273344 6.5426972 6.32824659 6.2645116
10123 5.12647044 6.2110612 6.16982906 4.6974206 5.04162165 5.9206476
TNFa_24_H1 H2O_24_H1 BPA_24_H1 PFOA_24_H1 EtOH_24_H1
100 2.68994550 1.35789878 2.87055491 3.20796975 2.76589006
1000 11.02512695 10.95632665 11.14658249 11.17885290 10.98229508
10000 5.64884168 5.64747934 5.88401995 6.39532004 5.65334824
10001 4.00150344 3.77634773 4.82446268 4.65166554 4.52981921
10003 4.76659419 4.93905409 5.83888247 6.80358566 6.10047204
100037417 4.11960007 3.61915631 3.62836288 3.16295918 3.16800524
100049716 3.19934292 4.40111485 3.05728858 3.62792942 3.78222667
10005 4.33023214 4.33944984 4.47705479 4.40339676 4.46637742
10006 6.65035248 6.46173240 6.64801866 6.29458676 6.28461880
10007 5.38205489 5.52541228 5.06121545 5.35863864 5.27805875
10009 4.76659419 4.96378714 4.75056158 5.16678458 5.19438784
100093630 4.16425859 4.37676421 3.90631789 4.05488380 4.33045631
1001 5.03055705 4.44861675 6.86367318 6.94655919 6.64127470
10010 5.04256804 4.84455601 5.04364108 4.71540273 5.13033602
100101267 2.91569205 2.11478105 2.60898436 1.71360453 2.38172558
100101467 4.98148741 5.28490377 5.12109271 5.42686160 5.17070040
10011 5.34373792 5.11865141 5.17050951 5.17813953 5.41876963
100113386 2.26705125 1.92630492 1.95509477 1.94391315 2.58655726
100113397 0.85409132 -0.33099280 0.72603549 0.89575100 0.52121407
100113407 3.70165098 4.37676421 3.42619955 4.28235347 4.45334728
100125288 1.23518926 1.02338168 1.87785941 2.23235584 2.38172558
100127983 1.89544932 2.33299244 2.51007561 2.23235584 2.32562746
100128006 1.99770049 1.70945243 2.87055491 3.29398520 2.72310313
100128016 1.39362129 1.54435747 1.30016462 1.27992521 1.85659511
100128025 -0.01761235 1.02338168 -0.63602280 -0.46353580 0.52121407
100128054 1.23518926 -0.33099280 1.30016462 1.10058818 -1.17995959
100128071 1.23518926 0.58711526 1.30016462 1.10058818 0.30614877
100128191 0.85409132 1.85757981 3.39881462 2.31697104 2.38172558
100128252 -1.17995959 -1.17995959 -1.17995959 -1.17995959 -1.17995959
100128379 -0.01761235 -0.04126584 -1.17995959 -1.17995959 0.05331021
100128398 4.66147732 4.79027767 5.52100353 5.48287571 5.76301973
100128494 3.81802470 3.07003452 3.37089981 3.75468823 3.69635292
100128569 1.53636363 1.02338168 1.87785941 1.71360453 1.93367805
100128640 0.85409132 1.62926524 1.30016462 1.58301336 1.28033937
100128682 2.74977913 3.63976770 1.17660950 3.01883374 2.14292255
100128731 6.17605204 6.27011900 6.27518048 6.06308425 6.20523026
100128766 0.33470266 0.58711526 -1.17995959 0.37060226 1.28033937
100128782 0.85409132 2.17250527 2.51007561 2.85869570 2.53801074
100128822 3.73163623 3.91808242 2.51007561 3.66067845 3.37564419
100128833 2.09318177 2.90955635 1.61773648 2.74112324 3.13574370
100128881 2.56227611 1.92630492 2.40388343 2.23235584 2.14292255
100128893 5.16848239 5.76471852 5.77108488 6.04459225 6.30652134
100129001 1.05718758 0.40645750 0.32175062 0.01299707 1.02250392
100129013 2.26705125 1.85757981 1.30016462 2.23235584 2.14292255
100129029 -0.48476177 0.58711526 -0.24194410 0.01299707 1.28033937
100129060 4.09674148 3.24165877 3.76332685 4.17309714 3.60504238
100129075 2.18273421 2.52249378 3.65175200 3.56011309 3.31930441
100129195 2.62752259 2.47740056 2.87055491 1.94391315 2.20643006
100129203 0.33470266 -1.17995959 -0.24194410 0.89575100 0.05331021
100129250 1.53636363 1.54435747 1.61773648 2.04660318 2.00685052
100129259 1.05718758 0.19989478 1.30016462 1.10058818 0.70833928
100129361 5.48246300 5.82445718 6.00246290 5.94840045 6.31013965
100129398 -0.48476177 -0.69390919 0.32175062 0.01299707 0.05331021
100129434 1.23518926 1.70945243 1.41396792 1.27992521 1.15717397
100129461 -0.01761235 0.40645750 0.72603549 0.01299707 0.70833928
100129484 1.89544932 1.25477744 0.89235840 0.89575100 1.77516000
100129550 2.91569205 3.61915631 3.58041539 4.23963861 4.01287094
100129583 -0.01761235 -0.69390919 1.70975477 1.43941396 1.28033937
100129662 2.09318177 0.58711526 1.41396792 2.23235584 1.77516000
100129707 0.33470266 0.89209200 1.41396792 0.37060226 1.28033937
100129716 1.39362129 0.74764744 0.06726098 0.89575100 1.28033937
100129726 -0.01761235 -1.17995959 -0.63602280 0.01299707 0.05331021
100129774 4.20757611 3.75761025 2.87055491 3.48895101 3.48212402
100129781 -1.17995959 1.25477744 -0.24194410 1.27992521 1.28033937
100129792 0.33470266 0.19989478 0.53800850 1.94391315 0.52121407
100129794 0.61764517 1.99190453 1.87785941 2.04660318 0.87395641
100129842 0.85409132 0.58711526 0.06726098 1.58301336 0.87395641
100129917 2.56227611 2.52249378 1.79625418 2.31697104 2.67900834
100129924 0.85409132 1.62926524 -0.63602280 1.10058818 1.39381200
100129940 1.53636363 1.14371383 1.30016462 0.89575100 0.87395641
100129995 3.19934292 4.28814689 1.95509477 2.23235584 2.00685052
10013 6.20305794 6.25015041 6.26763072 6.30498254 6.53396624
100130111 1.78539449 1.99190453 1.17660950 1.94391315 2.43572377
100130197 0.33470266 -0.33099280 1.04147333 -1.17995959 0.70833928
100130335 4.61397180 4.63468118 4.41005510 4.34414420 4.40001697
100130348 2.49393848 3.07003452 2.28924928 2.31697104 2.63352323
100130357 1.78539449 1.25477744 1.79625418 2.67853708 2.58655726
100130466 3.70165098 3.91808242 4.57817508 3.75468823 4.09905786
100130476 0.61764517 0.58711526 0.32175062 0.89575100 0.70833928
100130522 1.66624571 0.74764744 0.72603549 1.10058818 2.14292255
100130550 -1.17995959 -0.69390919 -0.24194410 -1.17995959 0.05331021
100130564 2.91569205 3.00796851 3.28376049 3.48895101 3.06897217
100130581 -1.17995959 0.19989478 0.72603549 -1.17995959 0.70833928
100130691 2.49393848 2.17250527 2.09816860 2.14246700 2.14292255
100130705 2.26705125 3.12954017 2.09816860 1.27992521 2.38172558
100130748 1.99770049 1.70945243 1.70975477 2.31697104 0.52121407
100130750 2.68994550 2.43085231 1.79625418 2.67853708 2.07649020
100130855 2.42220218 2.56622016 1.51944679 2.04660318 2.20643006
100130958 0.33470266 -0.33099280 0.06726098 0.01299707 1.02250392
100131017 2.68994550 3.00796851 1.87785941 2.54457891 1.49900676
100131031 -1.17995959 1.85757981 1.87785941 2.23235584 2.20643006
100131033 1.89544932 1.62926524 1.61773648 2.14246700 1.15717397
100131067 2.49393848 1.45413835 2.65600687 3.66067845 2.76589006
100131089 4.27020724 4.60354182 4.13927419 4.49704431 4.60244087
100131094 0.85409132 0.74764744 0.89235840 0.01299707 1.28033937
100131138 5.52589080 6.06442873 5.66013202 5.31815490 5.53464869
100131187 -1.17995959 -1.17995959 -1.17995959 -1.17995959 -0.25345796
100131193 3.60776416 3.24165877 3.60458831 3.59441970 3.71830529
100131211 2.80722976 2.90955635 4.39627353 3.59441970 3.69635292
100131213 -0.48476177 1.35789878 0.32175062 0.89575100 1.02250392
100131471 2.34671138 1.45413835 1.79625418 1.94391315 1.68885173
100131656 3.28272220 3.57702851 2.78852345 3.33514322 3.88284490
100131685 1.23518926 1.14371383 0.72603549 -0.46353580 0.05331021
100131691 1.53636363 2.60866014 2.60898436 1.83334971 2.58655726
100131740 0.85409132 -0.04126584 0.53800850 1.43941396 -0.64357763
100131801 3.43628307 3.18668835 3.39881462 3.06849265 2.80744451
100131827 -0.01761235 0.89209200 -1.17995959 0.37060226 -1.17995959
100131828 0.85409132 0.40645750 0.53800850 0.89575100 0.30614877
100131940 1.78539449 2.22800845 2.51007561 2.39689723 2.38172558
100132074 2.09318177 2.38275196 1.41396792 1.27992521 1.93367805
100132086 0.33470266 0.40645750 0.32175062 -1.17995959 -0.64357763
100132116 5.05447986 4.36443301 5.44271299 5.51904558 4.72677060
100132126 -0.01761235 0.74764744 -0.24194410 0.37060226 0.52121407
100132215 1.05718758 1.02338168 1.17660950 1.94391315 1.15717397
100132537 2.09318177 1.70945243 0.53800850 1.71360453 1.28033937
100132609 0.85409132 1.14371383 1.17660950 0.89575100 1.28033937
100132659 -0.01761235 0.19989478 0.89235840 1.43941396 1.28033937
100132891 -1.17995959 -1.17995959 -1.17995959 -1.17995959 -0.25345796
100132972 -0.48476177 1.25477744 -0.24194410 1.83334971 1.02250392
100133234 1.23518926 0.40645750 -0.24194410 0.01299707 0.70833928
100133286 -0.48476177 -0.04126584 -0.63602280 -1.17995959 -0.64357763
100133315 0.33470266 0.74764744 0.89235840 1.43941396 1.02250392
100134934 1.99770049 2.28145519 2.22832504 2.23235584 2.43572377
10014 6.97258255 6.96890999 7.04684016 6.80358566 6.51214085
100144603 -1.17995959 -0.33099280 0.32175062 0.89575100 0.52121407
100144748 0.61764517 0.89209200 0.72603549 2.31697104 1.49900676
10015 7.95899753 7.80235700 7.59895151 7.92219383 7.87760068
10016 5.14639120 5.16915185 5.14601268 5.06035594 5.09721116
100170229 -0.01761235 0.74764744 0.72603549 1.10058818 1.59704972
100170841 5.35341299 5.56905162 3.47945763 3.84294505 3.03439058
10018 4.07351487 4.48324414 4.00041919 4.66786577 4.47929093
100188847 0.85409132 1.45413835 1.51944679 1.27992521 0.87395641
10019 4.96895471 4.88827839 3.15872945 3.72402729 3.90215305
100190938 1.53636363 0.19989478 1.61773648 2.85869570 2.00685052
1002 1.78539449 1.14371383 1.30016462 0.01299707 0.87395641
10020 4.24963083 3.68012757 2.90988534 3.29398520 3.60504238
10021 7.53687412 7.15402765 8.11659712 8.10880033 8.17115398
10023 -0.01761235 1.85757981 0.32175062 2.47262693 2.26725944
10024 3.47224870 2.64988725 5.72220910 3.95280278 2.67900834
10026 5.92021298 5.27175817 6.52675921 6.26826475 6.42805534
100268168 1.89544932 1.85757981 1.04147333 0.37060226 0.70833928
100270804 1.05718758 1.35789878 1.70975477 2.04660318 1.28033937
100270827 1.05718758 -0.04126584 0.72603549 0.01299707 1.77516000
100270840 5.16848239 5.12597489 4.78269809 4.19562037 4.71590038
100270854 4.78100466 5.48041164 4.60238525 4.38391505 5.02858855
100270865 6.01469888 6.35981670 5.48889718 5.35863864 5.86985173
100271271 4.09674148 4.26179465 3.34243419 3.75468823 3.71830529
100271332 0.61764517 -0.69390919 -0.24194410 -1.17995959 -0.25345796
100271415 2.09318177 1.14371383 1.41396792 2.14246700 1.93367805
100271479 0.85409132 -0.04126584 2.16471412 2.23235584 1.39381200
100271884 -1.17995959 0.89209200 0.32175062 0.65694049 0.52121407
100272147 3.36154480 3.53363345 2.02840456 1.58301336 2.80744451
100286844 1.89544932 2.17250527 1.95509477 2.54457891 1.15717397
100287015 1.39362129 1.99190453 0.32175062 0.65694049 0.70833928
100287049 1.53636363 1.25477744 0.72603549 1.83334971 0.52121407
100287074 0.33470266 0.58711526 1.61773648 0.89575100 1.28033937
100287616 1.53636363 1.02338168 1.95509477 1.71360453 2.20643006
100287722 1.78539449 1.35789878 1.41396792 1.83334971 1.39381200
100287808 -0.48476177 1.99190453 1.17660950 0.65694049 1.15717397
100287837 0.61764517 -0.69390919 0.89235840 0.65694049 -0.25345796
100287896 2.09318177 2.60866014 2.34770464 2.67853708 2.88712635
100287902 0.33470266 1.14371383 -0.24194410 1.10058818 -0.25345796
100287928 3.50733950 3.32037615 2.83012214 2.47262693 2.99895967
100287932 5.48246300 5.36135711 5.42245802 5.09671154 5.32173146
100288001 1.89544932 2.05465059 2.65600687 2.61311224 2.72310313
100288073 2.18273421 3.41906681 1.95509477 2.74112324 3.50755980
100288123 1.78539449 1.54435747 1.70975477 0.65694049 0.87395641
100288198 2.09318177 2.43085231 1.51944679 3.06849265 1.49900676
100288241 -1.17995959 -1.17995959 -1.17995959 -1.17995959 -1.17995959
100288413 1.78539449 2.33299244 2.78852345 3.37515957 3.19956111
100288513 -0.48476177 -0.33099280 -1.17995959 -1.17995959 0.30614877
100288842 1.05718758 1.85757981 1.87785941 1.71360453 2.32562746
100289061 1.78539449 -0.33099280 0.72603549 1.27992521 1.49900676
100289095 -0.01761235 0.19989478 0.72603549 -0.46353580 0.52121407
100289133 2.34671138 1.78541639 2.34770464 2.54457891 3.10274420
100289178 2.74977913 2.60866014 2.78852345 3.16295918 2.58655726
100289211 1.89544932 1.14371383 0.32175062 0.65694049 1.15717397
100289259 1.99770049 2.64988725 1.41396792 0.65694049 0.52121407
100289274 2.86247994 3.44271954 2.90988534 3.78471109 4.08222747
100289341 1.05718758 2.22800845 2.02840456 1.83334971 1.49900676
100289373 1.39362129 2.22800845 1.79625418 1.71360453 2.00685052
100289388 1.23518926 0.40645750 -1.17995959 0.89575100 0.05331021
100289414 0.61764517 0.40645750 -1.17995959 0.89575100 1.49900676
100289635 5.19024041 5.28490377 5.44271299 5.87354624 5.75242023
100289640 1.66624571 1.62926524 2.09816860 1.58301336 1.68885173
100289678 2.09318177 1.35789878 1.95509477 3.33514322 3.37564419
100293516 2.80722976 2.52249378 3.58041539 3.52497077 3.67406135
100294362 1.53636363 1.02338168 1.79625418 1.71360453 1.28033937
1003 -1.17995959 -0.33099280 -1.17995959 0.01299707 1.02250392
100302692 2.49393848 2.90955635 3.50536709 3.11649897 3.13574370
100302736 1.99770049 1.54435747 1.41396792 0.65694049 1.39381200
100303728 4.18607992 4.22134118 3.31339560 3.11649897 3.86327483
100303755 1.89544932 1.35789878 1.41396792 1.83334971 1.59704972
100312828 0.33470266 -0.33099280 -0.24194410 0.89575100 0.87395641
100312850 0.85409132 0.40645750 0.72603549 0.65694049 1.49900676
10036 4.80940082 4.20760063 5.96560852 5.25521610 5.06330782
100379345 -1.17995959 -0.04126584 -0.24194410 1.10058818 1.59704972
10038 5.39147721 5.56366835 6.19784374 5.83819382 5.86001136
100381270 1.99770049 1.35789878 0.06726098 1.27992521 0.87395641
10039 3.97667810 4.46025180 3.60458831 3.72402729 4.54217953
1004 3.70165098 3.32037615 3.53081944 3.92611261 3.97690087
10040 4.11960007 3.48889251 4.43722949 4.30324582 4.28705092
100418710 1.23518926 1.62926524 -0.24194410 2.14246700 0.87395641
100418735 1.53636363 1.54435747 1.61773648 2.31697104 1.39381200
100418744 0.33470266 1.02338168 0.53800850 0.89575100 0.87395641
100418770 -0.01761235 -1.17995959 -1.17995959 -1.17995959 -1.17995959
100418781 1.05718758 -0.04126584 1.87785941 1.94391315 1.59704972
100418819 1.89544932 2.11478105 2.22832504 2.14246700 1.85659511
100418829 0.33470266 1.02338168 0.32175062 0.01299707 1.02250392
100418888 1.99770049 1.25477744 1.70975477 1.27992521 0.30614877
100418889 2.56227611 2.87520176 2.70154499 2.91407373 2.76589006
100418910 -1.17995959 -0.04126584 0.53800850 0.89575100 -0.25345796
100418919 1.53636363 1.92630492 2.78852345 2.04660318 2.88712635
100419028 2.68994550 1.92630492 1.87785941 2.39689723 2.58655726
100419185 0.33470266 0.58711526 0.53800850 0.37060226 1.02250392
100419416 1.53636363 1.02338168 1.87785941 2.14246700 1.02250392
100419515 -1.17995959 0.19989478 -1.17995959 0.01299707 0.70833928
100419645 0.61764517 -0.33099280 0.32175062 0.01299707 0.70833928
100419758 1.23518926 0.74764744 1.41396792 1.71360453 2.32562746
100419928 1.39362129 1.99190453 2.16471412 2.14246700 2.43572377
10042 5.40083839 5.36135711 5.34565760 5.45514049 5.22537798
100420028 -0.01761235 0.40645750 -0.24194410 0.65694049 -1.17995959
100420050 -0.01761235 -0.04126584 -0.24194410 0.37060226 0.05331021
100420110 2.42220218 3.15839721 2.65600687 2.96740441 2.58655726
100420187 -1.17995959 -0.33099280 0.32175062 0.37060226 -1.17995959
100420259 3.78979943 4.33944984 4.50300705 4.19562037 4.51735207
100420307 1.78539449 1.35789878 0.53800850 1.27992521 1.15717397
100420341 5.26390881 5.65762149 5.22610127 5.48287571 5.67033994
100420423 1.78539449 1.54435747 1.30016462 0.37060226 0.87395641
100420591 1.53636363 1.25477744 1.30016462 1.10058818 0.70833928
100420707 3.19934292 2.72896701 3.71972682 3.75468823 3.23044150
100420752 1.23518926 1.54435747 0.89235840 1.58301336 1.77516000
100420869 4.49663563 4.60354182 4.59033095 4.32383993 4.55443485
100420981 6.77076751 6.89152912 6.42861972 6.53875754 6.41467281
100421093 3.57505988 4.04712982 3.71972682 3.56011309 3.90215305
100421109 0.61764517 -0.04126584 -0.24194410 1.27992521 0.30614877
100421160 0.33470266 0.19989478 1.04147333 -0.46353580 0.70833928
100421175 0.61764517 1.02338168 1.30016462 1.10058818 -1.17995959
100421246 1.05718758 0.40645750 0.72603549 0.37060226 0.30614877
100421311 1.53636363 2.43085231 1.30016462 2.23235584 1.77516000
100421372 2.18273421 1.70945243 3.09190080 1.43941396 2.07649020
100421400 1.66624571 1.70945243 2.51007561 2.39689723 1.85659511
100421415 1.05718758 0.58711526 1.79625418 2.14246700 2.48777358
100421429 0.33470266 -0.04126584 -0.63602280 0.01299707 0.30614877
100421465 1.53636363 2.33299244 1.87785941 0.65694049 1.28033937
100421468 2.62752259 2.64988725 2.51007561 2.23235584 2.26725944
100421506 1.05718758 0.74764744 1.30016462 1.27992521 1.15717397
100421569 0.61764517 0.58711526 0.72603549 1.27992521 0.52121407
100421595 -1.17995959 -0.04126584 -0.63602280 0.37060226 -0.64357763
100421794 -0.01761235 -0.69390919 -1.17995959 -1.17995959 -0.64357763
100422106 1.39362129 1.02338168 1.87785941 1.58301336 2.20643006
100422338 2.62752259 1.92630492 2.09816860 2.96740441 2.14292255
100422546 -0.01761235 1.02338168 1.51944679 2.23235584 1.15717397
100422561 4.18607992 4.43688710 3.92563559 3.69270055 3.92120620
10043 6.19231617 6.15670500 5.64855259 5.61407648 5.66469825
10044 -1.17995959 -1.17995959 0.32175062 0.65694049 -0.64357763
10045 0.61764517 1.70945243 0.72603549 0.89575100 0.87395641
10046 0.33470266 1.92630492 0.32175062 1.43941396 0.70833928
10048 6.87855529 6.70851879 6.90318912 6.96961356 7.05758953
10049 5.80506948 6.11314822 6.40472692 6.19749152 6.68373323
100499177 3.84570834 3.96783762 3.19101765 4.05488380 3.65141993
100499483 1.53636363 2.76693864 2.40388343 3.25161842 3.65141993
1005 0.33470266 0.89209200 0.32175062 0.01299707 1.68885173
100500719 -0.01761235 0.19989478 1.04147333 1.10058818 -1.17995959
100505385 1.53636363 1.62926524 2.65600687 2.39689723 2.43572377
100505501 1.78539449 2.28145519 2.34770464 2.04660318 2.99895967
100505538 0.33470266 1.02338168 1.04147333 1.27992521 2.48777358
100505549 0.85409132 0.89209200 1.30016462 2.85869570 2.58655726
100505573 6.20839898 6.00609020 6.73545009 6.87509961 6.48678642
100505576 1.53636363 1.70945243 2.02840456 2.47262693 1.77516000
100505616 -0.01761235 -0.33099280 -0.24194410 0.65694049 0.52121407
100505624 0.33470266 1.62926524 1.79625418 1.71360453 2.00685052
100505635 -0.01761235 0.58711526 0.72603549 0.65694049 0.70833928
100505641 2.26705125 2.38275196 2.40388343 2.23235584 2.63352323
100505648 2.68994550 2.11478105 3.28376049 3.97900814 3.23044150
100505678 2.34671138 1.78541639 3.09190080 3.75468823 3.50755980
100505696 4.07351487 4.28814689 4.55355168 4.46031148 4.91911704
100505715 0.33470266 -0.33099280 -1.17995959 0.01299707 0.70833928
100505738 -1.17995959 -1.17995959 -1.17995959 -1.17995959 -1.17995959
100505741 1.39362129 1.85757981 1.61773648 1.58301336 1.77516000
100505758 3.43628307 4.00007931 3.74169153 3.84294505 3.80291955
100505761 3.06447742 3.26837798 3.28376049 4.15021670 3.53255489
100505771 2.74977913 2.68996890 1.70975477 1.94391315 2.43572377
100505783 2.56227611 3.41906681 2.65600687 2.47262693 2.67900834
100505806 4.49663563 4.66516259 4.12263079 3.97900814 4.38637057
100505812 0.61764517 0.89209200 1.51944679 0.65694049 1.59704972
100505832 2.18273421 2.80393643 2.70154499 2.04660318 2.67900834
100505854 3.50733950 3.96783762 3.37089981 3.78471109 3.99499801
100505876 5.67222268 5.72668764 5.78172491 5.71886710 5.65903441
100505894 4.20757611 4.30114467 3.67476797 4.32383993 4.11569418
100505933 3.50733950 3.34568892 3.42619955 3.25161842 2.84783548
100505994 1.99770049 0.58711526 1.51944679 -1.17995959 1.28033937
100506020 -0.01761235 -0.33099280 1.41396792 0.37060226 0.52121407
100506033 4.59778253 4.62437589 5.00783673 5.32838283 5.10556395
100506054 2.74977913 2.33299244 2.45795635 2.61311224 3.55712429
100506068 0.61764517 1.02338168 1.17660950 1.58301336 2.14292255
100506070 2.42220218 1.85757981 2.28924928 2.31697104 2.32562746
100506083 0.85409132 0.74764744 0.72603549 0.65694049 1.15717397
100506100 1.39362129 0.89209200 -0.63602280 0.01299707 0.70833928
100506119 2.42220218 3.07003452 2.09816860 2.91407373 2.20643006
100506127 2.62752259 2.52249378 1.70975477 1.83334971 3.16800524
100506142 1.53636363 -0.04126584 0.32175062 1.83334971 -0.64357763
100506144 1.99770049 0.89209200 1.41396792 0.37060226 0.30614877
100506161 0.85409132 -0.33099280 -0.24194410 0.37060226 1.02250392
100506211 5.57633535 5.99413397 4.97112113 4.86341779 4.62585785
100506235 1.39362129 0.89209200 0.06726098 0.65694049 1.77516000
100506258 0.85409132 -0.69390919 1.87785941 2.14246700 2.14292255
100506282 3.15577370 2.84000909 2.60898436 3.16295918 3.06897217
100506286 1.66624571 1.70945243 2.02840456 2.67853708 2.07649020
100506302 1.89544932 2.17250527 1.70975477 1.27992521 2.00685052
100506321 0.85409132 0.89209200 0.06726098 0.89575100 0.70833928
100506325 -0.01761235 0.19989478 -0.63602280 1.58301336 1.28033937
100506343 0.85409132 -0.04126584 1.51944679 0.37060226 -0.25345796
100506365 5.65667752 5.67769436 5.64855259 5.35863864 5.54082143
100506368 1.39362129 0.58711526 0.32175062 1.27992521 0.70833928
100506380 4.09674148 4.47179377 3.84676256 3.97900814 4.42692854
100506392 4.09674148 4.42506129 4.08875666 4.69973048 4.19611432
100506394 2.42220218 2.17250527 2.74568960 2.39689723 2.92537548
100506411 0.61764517 1.25477744 1.04147333 -1.17995959 1.02250392
100506433 1.89544932 2.43085231 3.28376049 3.89891934 3.71830529
100506462 0.61764517 0.58711526 0.72603549 0.01299707 0.87395641
100506469 4.33023214 4.60354182 4.64961985 4.68388609 5.11386866
100506495 0.61764517 -0.04126584 1.30016462 0.65694049 1.02250392
100506504 1.89544932 2.05465059 2.78852345 1.83334971 2.26725944
100506540 0.61764517 1.35789878 1.30016462 1.83334971 1.49900676
100506581 1.39362129 1.70945243 1.61773648 1.58301336 1.28033937
100506606 0.33470266 0.58711526 0.06726098 0.01299707 1.28033937
100506658 1.39362129 0.89209200 1.04147333 2.23235584 1.85659511
100506668 2.42220218 2.33299244 2.34770464 3.06849265 3.58128227
100506686 2.09318177 2.84000909 2.40388343 1.71360453 2.80744451
100506691 -0.48476177 2.05465059 0.72603549 1.27992521 1.93367805
100506696 3.06447742 3.96783762 1.61773648 1.94391315 1.49900676
100506697 1.05718758 0.58711526 1.30016462 2.04660318 1.15717397
100506710 6.40728451 6.75176711 6.32331382 6.56061333 6.38066310
100506713 -1.17995959 0.58711526 0.72603549 0.37060226 -0.25345796
100506725 2.26705125 2.68996890 3.55583052 3.45200887 2.72310313
100506731 1.39362129 1.35789878 1.17660950 1.58301336 1.39381200
100506757 -0.01761235 0.89209200 0.89235840 1.94391315 -0.25345796
100506779 0.61764517 0.74764744 0.72603549 0.01299707 0.52121407
100506804 1.66624571 0.19989478 1.04147333 0.89575100 1.15717397
100506826 0.85409132 1.45413835 0.89235840 1.43941396 1.93367805
100506844 3.11084761 3.26837798 3.25350384 3.01883374 3.60504238
100506866 7.26430455 7.38369486 7.16126799 7.36693608 7.06831242
100506881 -0.01761235 0.40645750 0.06726098 0.01299707 1.39381200
100506885 -0.01761235 -0.33099280 -1.17995959 -1.17995959 0.30614877
100506911 0.85409132 0.74764744 0.72603549 1.27992521 -0.25345796
100506922 2.86247994 2.22800845 1.61773648 3.11649897 2.14292255
100506930 3.89953119 3.95144247 4.50300705 4.10333755 4.47929093
100506994 0.85409132 -0.69390919 -0.63602280 1.58301336 0.52121407
100507003 2.18273421 1.62926524 2.74568960 1.43941396 2.43572377
100507032 1.05718758 1.85757981 2.60898436 2.61311224 2.63352323
100507034 2.86247994 2.68996890 3.02182551 3.25161842 2.63352323
100507050 1.05718758 1.62926524 -0.63602280 -1.17995959 0.30614877
100507053 1.99770049 2.56622016 2.74568960 2.61311224 1.93367805
100507057 0.61764517 1.78541639 1.30016462 1.71360453 1.59704972
100507062 1.05718758 0.58711526 0.32175062 1.27992521 0.87395641
100507071 -0.01761235 -0.33099280 0.32175062 -1.17995959 0.52121407
100507156 2.56227611 2.33299244 2.16471412 2.61311224 2.20643006
100507171 2.80722976 2.38275196 2.60898436 2.67853708 2.88712635
100507173 -0.48476177 -0.33099280 1.17660950 0.65694049 1.28033937
100507178 1.05718758 0.58711526 0.53800850 1.71360453 0.52121407
100507244 0.33470266 -0.33099280 0.32175062 -0.46353580 0.05331021
100507246 2.49393848 2.56622016 3.25350384 2.85869570 2.20643006
100507250 -0.48476177 1.02338168 1.04147333 0.65694049 0.70833928
100507254 -1.17995959 -1.17995959 -0.24194410 0.01299707 -1.17995959
100507266 1.66624571 1.62926524 1.51944679 -1.17995959 1.68885173
100507290 5.52589080 5.54739695 4.64961985 4.74624557 4.95653814
100507291 2.62752259 2.05465059 0.72603549 1.83334971 2.20643006
100507303 2.68994550 3.32037615 2.65600687 2.31697104 2.48777358
100507308 0.85409132 1.02338168 -0.63602280 2.04660318 1.02250392
100507316 1.39362129 3.24165877 1.87785941 1.71360453 1.85659511
100507331 1.05718758 1.70945243 1.87785941 2.14246700 1.93367805
100507347 -1.17995959 1.54435747 0.53800850 1.10058818 1.85659511
100507373 1.39362129 2.72896701 2.34770464 2.31697104 2.00685052
100507392 -1.17995959 -1.17995959 -0.24194410 -1.17995959 -1.17995959
100507398 1.05718758 2.68996890 1.61773648 1.71360453 2.99895967
100507401 1.39362129 1.14371383 1.87785941 1.43941396 1.59704972
100507420 -1.17995959 0.19989478 -1.17995959 0.01299707 1.28033937
100507433 1.99770049 2.11478105 2.02840456 2.80110684 2.76589006
100507436 -0.48476177 0.40645750 0.53800850 0.01299707 0.30614877
100507437 2.74977913 2.68996890 1.95509477 1.94391315 3.34774930
100507459 2.68994550 2.87520176 2.16471412 3.16295918 3.13574370
100507463 -0.01761235 -1.17995959 -0.24194410 -0.46353580 -1.17995959
100507487 2.62752259 2.33299244 2.78852345 1.83334971 1.85659511
100507495 2.49393848 2.22800845 2.83012214 2.74112324 2.96263667
100507516 -0.01761235 0.19989478 -0.24194410 1.83334971 0.05331021
100507551 2.56227611 1.78541639 1.04147333 2.23235584 1.59704972
100507557 2.09318177 2.11478105 1.87785941 0.37060226 1.15717397
100507564 0.33470266 -0.33099280 -1.17995959 -1.17995959 0.05331021
100507567 1.78539449 0.19989478 1.61773648 1.10058818 2.14292255
100507588 -0.01761235 -0.04126584 0.32175062 1.43941396 -0.25345796
100507599 2.42220218 1.70945243 1.95509477 2.31697104 1.85659511
100507602 3.87287075 4.00007931 2.60898436 3.01883374 3.50755980
100508120 2.42220218 2.52249378 2.45795635 1.43941396 1.85659511
10051 7.01891434 6.71095579 8.67783747 7.81535069 7.52897464
10052 1.23518926 -0.04126584 1.79625418 1.58301336 1.59704972
100526737 1.39362129 1.35789878 2.22832504 2.23235584 2.38172558
100526760 0.85409132 1.02338168 0.72603549 1.43941396 1.02250392
100526820 1.05718758 0.58711526 1.04147333 0.65694049 0.30614877
100526835 3.60776416 2.94311186 4.20399174 4.47879480 3.78222667
100527978 1.39362129 1.45413835 2.16471412 0.37060226 2.00685052
100529145 0.85409132 -0.04126584 1.61773648 1.43941396 2.14292255
100529215 -0.48476177 -0.33099280 0.06726098 0.37060226 1.02250392
100532746 4.24963083 4.27503094 4.20399174 3.95280278 4.14840212
100533106 0.61764517 1.78541639 0.32175062 0.01299707 0.05331021
100533182 1.39362129 -1.17995959 0.53800850 0.89575100 1.39381200
100533619 -1.17995959 0.89209200 1.04147333 0.01299707 0.30614877
100533629 1.39362129 1.85757981 0.89235840 1.83334971 1.93367805
100533695 0.33470266 0.40645750 0.89235840 0.01299707 -0.25345796
100533970 0.85409132 1.70945243 1.17660950 1.58301336 2.00685052
100534593 2.56227611 1.70945243 1.95509477 2.04660318 2.00685052
10054 6.29629602 6.25349776 6.13284349 6.23058801 5.97843994
10056 5.98388607 6.07203196 6.34858161 5.93507630 6.44461079
10057 7.62538360 7.66456733 7.95794624 7.96543360 8.02689188
10058 6.29629602 6.62311186 5.42245802 5.18940580 5.17863951
10059 7.71816664 7.54126307 7.38535212 7.52202319 7.70694706
1006 4.29049430 4.16557587 4.75056158 4.82058563 4.47929093
10060 5.21167516 5.11865141 4.42370628 4.90501490 4.25737107
100616256 1.05718758 1.45413835 1.41396792 0.37060226 1.59704972
10062 2.56227611 2.72896701 2.51007561 3.33514322 3.23044150
10063 4.69230029 4.68513153 4.20399174 4.32383993 4.74826837
100652739 0.33470266 -1.17995959 -0.63602280 -0.46353580 -0.25345796
100652758 -0.01761235 0.89209200 -0.63602280 0.01299707 2.07649020
100652846 2.09318177 2.43085231 3.22259902 3.37515957 2.48777358
10066 6.21372032 6.38750275 6.27518048 6.09338709 6.40116498
10067 6.35044369 6.37526338 6.19784374 5.87354624 6.61810864
10068 3.06447742 2.56622016 2.74568960 3.56011309 3.80291955
10069 4.18607992 4.15129111 4.07151659 4.38391505 4.41353550
10072 4.62998141 4.40111485 4.98959572 4.90501490 5.40530028
10073 4.11960007 4.27503094 3.78464249 3.97900814 4.08222747
10075 8.68155966 8.62344263 8.93120542 9.23134806 9.24568588
10076 4.16425859 4.35199550 4.62619585 4.49704431 4.18038493
10077 5.93961170 6.63855577 4.54108056 4.68388609 4.60244087
100775107 1.05718758 1.02338168 1.04147333 2.14246700 1.68885173
10078 4.98148741 4.82668918 4.52850071 4.42261889 4.77992607
10079 3.92570789 3.12954017 4.33979173 4.51506585 4.56658694
1008 3.57505988 4.17972058 4.89476199 5.17813953 5.54696787
10081 5.36302361 5.31725310 5.61919075 5.43634962 5.40530028
10082 7.53687412 7.13055389 7.89930583 8.19656375 7.99465081
100820829 5.67993289 5.83789870 6.40816450 6.55626858 6.50899581
10084 5.21167516 5.30440028 5.27210369 4.91861828 5.39170400
100847074 1.66624571 1.78541639 2.16471412 1.43941396 1.93367805
10085 6.72678120 6.45883540 6.25623147 6.99872364 6.59752863
100852407 1.05718758 0.74764744 0.53800850 0.37060226 1.15717397
100861412 -0.48476177 -0.33099280 1.30016462 0.37060226 0.30614877
100861548 3.63974347 3.69989184 4.10579314 3.56011309 4.16448215
100862671 0.33470266 0.19989478 1.04147333 1.94391315 1.15717397
10087 6.59025073 6.57576269 6.48179015 6.45721612 6.49634663
100873257 1.05718758 1.02338168 -0.24194410 -0.46353580 0.05331021
100873333 2.68994550 3.00796851 3.42619955 3.56011309 3.06897217
100873790 4.79527260 5.31725310 4.80373151 4.58498181 5.20219801
100873949 1.05718758 0.89209200 1.79625418 2.14246700 2.14292255
100873952 0.33470266 0.19989478 0.53800850 -0.46353580 1.02250392
100873965 2.42220218 2.56622016 2.02840456 1.58301336 2.53801074
100874006 1.05718758 0.89209200 0.32175062 0.89575100 -0.25345796
100874008 1.05718758 -0.33099280 1.30016462 1.71360453 2.00685052
100874014 1.53636363 2.56622016 3.15872945 3.45200887 3.50755980
100874058 -0.01761235 1.70945243 0.32175062 0.01299707 1.85659511
100874080 -0.01761235 0.74764744 0.53800850 0.65694049 0.87395641
100874097 2.42220218 2.17250527 1.87785941 2.23235584 1.39381200
100874201 -1.17995959 -1.17995959 -0.63602280 -0.46353580 -0.25345796
100874212 1.05718758 0.89209200 0.53800850 1.10058818 1.28033937
100874217 -0.01761235 1.35789878 0.53800850 1.10058818 0.52121407
100874235 1.66624571 1.62926524 1.70975477 1.83334971 1.59704972
100874261 -1.17995959 1.14371383 1.17660950 0.65694049 1.28033937
100874291 0.85409132 1.99190453 -0.24194410 -1.17995959 0.70833928
100874362 2.18273421 1.25477744 1.79625418 2.67853708 2.32562746
100874523 1.39362129 0.58711526 1.87785941 2.39689723 1.85659511
100885775 6.22956758 6.08711926 4.99874505 4.46031148 5.14661755
100885776 1.05718758 1.35789878 1.04147333 0.37060226 1.77516000
100885848 5.62507550 5.71216356 5.50824660 5.44577565 5.34308185
1009 8.16806221 7.60554247 7.98467039 7.97360239 7.77660291
10090 4.80940082 4.88827839 4.50300705 4.30324582 4.37259385
10092 7.12156434 6.66895629 7.37309143 7.08871671 7.15938785
10093 6.85150070 6.56771784 6.34858161 6.26294223 6.37721761
10094 5.56804946 5.27834594 4.91423400 4.56781790 5.21769263
10095 4.56484859 4.10756806 4.42370628 4.38391505 4.46637742
10097 7.65110729 7.46679365 7.68507034 7.50634290 7.81912457
10098 5.16848239 4.95558981 6.25241162 6.12306650 6.12121743
10099 7.74045913 7.74643593 8.00410964 7.91032747 8.09873483
100996246 0.33470266 1.70945243 0.53800850 1.43941396 2.00685052
100996251 1.53636363 0.58711526 1.51944679 1.94391315 1.28033937
100996307 -0.48476177 0.19989478 -0.24194410 -1.17995959 0.52121407
100996384 1.23518926 1.78541639 1.04147333 1.27992521 0.70833928
100996419 1.53636363 1.14371383 0.72603549 1.83334971 2.32562746
100996485 2.42220218 2.64988725 2.22832504 2.47262693 2.26725944
100996539 0.85409132 -0.04126584 0.53800850 0.37060226 0.52121407
100996579 2.34671138 1.99190453 2.22832504 3.06849265 1.85659511
100996696 3.19934292 3.10009412 3.05728858 3.41409586 2.88712635
100996842 1.53636363 1.99190453 1.04147333 1.10058818 1.93367805
100996851 -1.17995959 -0.33099280 0.89235840 0.01299707 -0.25345796
100996939 0.33470266 1.02338168 0.06726098 1.71360453 1.15717397
101 1.66624571 2.47740056 2.65600687 2.85869570 2.53801074
1010 -0.01761235 0.19989478 1.30016462 1.83334971 2.76589006
10100 7.48939965 7.80235700 6.64219175 6.43845244 5.58927503
10101 5.32419092 5.23158703 5.28711754 4.97178428 5.34308185
10102 4.82339203 5.19026522 5.29456627 4.91861828 5.49068377
10103 -1.17995959 -0.04126584 0.06726098 0.01299707 1.28033937
10105 7.59715841 7.76531815 7.32479939 7.12143532 7.75552630
10106 7.44030963 7.41542045 7.51535497 7.88456606 7.95128295
101060200 3.01656719 3.24165877 3.34243419 3.97900814 3.84343564
101060691 -0.01761235 1.85757981 1.30016462 -1.17995959 -0.25345796
10109 7.99034074 7.93543904 7.77435040 7.83700357 7.91965701
10112 5.45576465 5.01990020 7.56239415 6.17499772 5.73098470
10113 6.35526690 6.45883540 5.57093229 5.79459467 6.16183417
10114 9.08802299 9.07133340 8.75680713 8.96743518 8.80173881
101154753 -0.01761235 -0.33099280 0.72603549 0.65694049 0.05331021
10116 8.23108283 7.95407481 7.52488631 7.39153276 7.79221072
10117 -1.17995959 0.89209200 1.51944679 1.71360453 1.49900676
1012 5.63304114 5.21794418 4.97112113 5.25521610 5.18653516
10121 5.99629028 6.27671425 6.18186616 6.21413467 6.54629124
10123 6.34560430 5.92023791 4.93344670 4.53286505 4.94727347
TUN_2_H2 THA_2_H2 DMSO_2_H2 TUN_24_H2 THA_24_H2 DOX_24_H2
100 3.2466848 3.3716502 3.42043262 3.3418905 3.56997936 5.90785106
1000 11.4717175 11.3503666 11.46657105 11.6005994 11.83208652 10.35950541
10000 6.3340039 6.5652141 6.50339753 6.8258335 6.81583840 5.45239103
10001 4.7208092 4.6362719 4.39038548 4.0038218 4.40485516 4.95667789
10003 4.2869332 3.9250572 4.08947424 3.6144253 3.88763862 3.98939497
100037417 2.4150833 1.7812322 2.69938264 2.5662851 1.50317758 1.77454190
100049716 2.1226975 1.5735194 2.04485969 2.2196708 1.96286455 2.90397033
10005 3.7447565 3.2370834 3.23121285 3.7562266 3.43460552 3.27083623
10006 6.6008213 6.4213472 6.66180014 6.5873062 6.39586583 6.45849579
10007 4.7341300 4.3405584 5.24098069 5.6373349 4.42285314 5.82754279
10009 4.9887324 5.2393233 5.54740880 4.7324705 4.83941129 5.37915563
100093630 4.2316539 4.3073592 4.02095389 4.5626793 4.40485516 4.60174413
1001 4.7073642 4.4662052 4.25772074 4.4833129 4.79863903 6.96955930
10010 5.4826940 5.4132374 5.14765493 4.9644849 5.11874710 5.94638872
100101267 2.3473526 2.5214735 2.04485969 2.5662851 1.96286455 2.41077864
100101467 4.1741717 4.2560825 4.02095389 5.4826770 4.85274994 2.61596251
10011 5.4181347 5.4054143 5.25098715 5.2784153 5.38056688 5.36025079
100113386 0.7350009 1.9627686 1.01480922 1.5710789 1.50317758 1.65553083
100113397 1.1067586 1.6811107 1.61987476 0.7708849 0.58981398 0.32662013
100113407 4.1143039 4.5537431 4.42615210 3.7104908 4.95523920 5.86154946
100125288 1.7555914 1.4572529 1.01480922 2.0827777 2.52602070 3.31077030
100127983 2.1226975 2.8327633 2.51237942 2.0827777 1.20340120 1.04738487
100128006 2.1226975 3.0490413 1.94976628 2.0827777 1.50317758 -0.48951083
100128016 1.4020816 0.8671498 0.81346205 1.0894757 1.50317758 1.88447924
100128025 0.7350009 -1.1799596 0.81346205 -1.1799596 1.20340120 2.17149647
100128054 0.7350009 1.4572529 -0.04723735 2.0827777 1.96286455 0.32662013
100128071 -0.5437809 0.4469532 0.29983048 1.5710789 1.36106171 3.27083623
100128191 2.0393026 1.0387903 2.91611105 2.5662851 1.96286455 3.52961790
100128252 -1.1799596 -1.1799596 -1.17995959 -1.1799596 -1.17995959 -1.17995959
100128379 0.9328212 -1.1799596 -1.17995959 -0.2125431 -1.17995959 -0.02448829
100128398 4.3746041 4.0903170 4.08947424 4.5626793 4.49268044 4.83871203
100128494 3.4541051 3.5806032 2.57744458 3.2166146 3.53730805 3.22976524
100128569 1.2619636 1.0387903 1.84795982 2.0827777 1.36106171 1.77454190
100128640 -1.1799596 -0.1483831 -0.50517311 1.0894757 -1.17995959 3.77774542
100128682 1.4020816 1.6811107 1.19146640 1.7625270 1.86093512 -1.17995959
100128731 6.3557118 5.9905984 6.33487239 6.3983138 6.35894969 6.69187455
100128766 -0.5437809 -0.5738695 0.81346205 -0.2125431 -1.17995959 -0.48951083
100128782 1.9507897 2.1239941 2.29747532 2.2196708 2.05806524 3.05268405
100128822 2.0393026 3.0886616 1.49070955 2.4597392 2.31093375 3.46029293
100128833 2.4797762 2.1983179 2.13407087 2.8455454 2.31093375 3.65900950
100128881 2.0393026 1.9627686 2.29747532 1.3502809 1.50317758 2.95526383
100128893 4.8730740 4.4662052 4.47819248 4.7094042 4.63843340 6.02651479
100129001 0.7350009 -0.1483831 1.19146640 -0.2125431 0.58981398 -1.17995959
100129013 2.4797762 2.9232008 1.84795982 1.9315203 1.96286455 2.48246501
100129029 -0.1038014 -0.1483831 -0.04723735 0.7708849 0.58981398 1.22507916
100129060 2.9596907 3.8578547 3.14798178 2.6655006 3.53730805 3.05268405
100129075 -0.1038014 2.1983179 1.73842004 1.3502809 2.05806524 4.03778836
100129195 2.1226975 1.1921644 1.61987476 1.3502809 0.58981398 1.65553083
100129203 0.9328212 0.4469532 1.49070955 0.3613926 0.58981398 4.98163232
100129250 1.8564894 1.6811107 2.21808533 1.3502809 2.23146900 1.98662899
100129259 -0.1038014 -0.1483831 -0.50517311 1.0894757 0.82454375 -1.17995959
100129361 5.4345474 5.4054143 5.55550581 5.1299722 5.57014697 4.72508798
100129398 -1.1799596 -0.5738695 -1.17995959 0.7708849 -0.49963426 0.60878527
100129434 2.3473526 2.4623753 1.84795982 1.7625270 2.23146900 3.18749068
100129461 0.9328212 0.4469532 1.73842004 -1.1799596 1.96286455 1.77454190
100129484 0.9328212 2.1983179 1.19146640 1.3502809 1.86093512 2.41077864
100129550 3.2090187 3.3391668 3.45547091 4.8843666 4.29188071 5.58857190
100129583 0.9328212 0.8671498 1.61987476 2.4597392 2.23146900 1.77454190
100129662 -0.5437809 1.5735194 -0.04723735 1.7625270 -0.03917952 2.41077864
100129707 0.9328212 -1.1799596 1.34883272 0.3613926 0.82454375 0.84468883
100129716 0.7350009 0.1797782 0.29983048 0.3613926 -0.03917952 1.77454190
100129726 -0.1038014 -1.1799596 -1.17995959 1.0894757 -0.03917952 2.73814652
100129774 4.1741717 4.0706655 4.35370956 4.2791479 4.21132950 3.83363916
100129781 1.2619636 -0.1483831 -1.17995959 0.7708849 1.02637309 -1.17995959
100129792 -1.1799596 -0.5738695 -1.17995959 1.3502809 0.30932810 -0.02448829
100129794 1.4020816 -1.1799596 1.01480922 1.0894757 1.02637309 0.32662013
100129842 0.5056792 1.1921644 -0.50517311 1.3502809 1.50317758 1.98662899
100129917 2.0393026 2.9232008 0.81346205 3.6144253 3.24530075 1.22507916
100129924 -1.1799596 0.8671498 -1.17995959 1.3502809 0.58981398 1.88447924
100129940 0.9328212 0.8671498 -0.04723735 -1.1799596 -0.03917952 0.60878527
100129995 1.7555914 0.1797782 0.29983048 -1.1799596 0.82454375 -0.02448829
10013 5.8001889 5.6763820 5.73733441 6.4268763 6.38213274 6.23286235
100130111 2.2015340 1.6811107 1.34883272 1.9315203 1.20340120 1.38326770
100130197 -1.1799596 -0.1483831 -0.04723735 -0.2125431 0.58981398 0.32662013
100130335 3.6354182 3.6081284 4.15488725 4.0038218 4.10387213 4.06138963
100130348 2.2015340 1.6811107 2.13407087 3.6144253 2.45782690 2.17149647
100130357 -0.1038014 0.8671498 0.57938459 -1.1799596 1.02637309 -0.48951083
100130466 3.1306014 3.2719200 3.38452215 3.4571520 3.43460552 3.31077030
100130476 -1.1799596 0.4469532 0.57938459 0.3613926 0.82454375 0.84468883
100130522 0.5056792 0.4469532 1.19146640 1.0894757 0.82454375 2.08202183
100130550 -1.1799596 -0.1483831 0.57938459 -1.1799596 -1.17995959 -0.02448829
100130564 3.4215404 3.3716502 3.55575217 2.8455454 2.05806524 2.41077864
100130581 -0.1038014 0.4469532 1.01480922 1.5710789 1.36106171 0.60878527
100130691 1.5297876 1.6811107 1.49070955 3.0055935 1.96286455 0.84468883
100130705 2.4150833 2.9232008 3.14798178 3.5638822 3.66377557 2.08202183
100130748 1.1067586 1.0387903 1.61987476 1.9315203 1.50317758 1.88447924
100130750 1.2619636 1.7812322 1.61987476 2.5662851 2.23146900 1.04738487
100130855 1.5297876 1.1921644 1.01480922 1.5710789 2.14737083 1.04738487
100130958 1.4020816 -0.1483831 0.81346205 1.3502809 1.50317758 2.41077864
100131017 1.6471027 2.8327633 2.13407087 2.8455454 2.38624908 3.56306991
100131031 2.2762848 1.1921644 1.01480922 1.5710789 1.86093512 -0.02448829
100131033 1.5297876 2.3363795 1.19146640 1.0894757 1.20340120 1.98662899
100131067 1.1067586 1.8748539 1.61987476 3.5638822 2.52602070 2.55075734
100131089 1.6471027 1.6811107 2.21808533 3.3418905 3.07365402 1.88447924
100131094 0.5056792 0.8671498 -0.04723735 0.7708849 -0.49963426 -0.02448829
100131138 3.1306014 2.9663788 2.63970152 3.7562266 3.75184414 2.08202183
100131187 1.4020816 0.8671498 2.37272350 2.3446927 1.20340120 1.65553083
100131193 3.5171088 3.0490413 2.86490422 1.9315203 2.52602070 2.48246501
100131211 3.5774759 3.6351383 3.05965342 3.7104908 2.05806524 3.31077030
100131213 2.6010602 1.7812322 1.84795982 1.7625270 2.45782690 3.31077030
100131471 1.4020816 -0.1483831 0.81346205 2.0827777 2.14737083 1.22507916
100131656 2.9136008 2.8786906 3.30990298 3.4006720 2.59113606 4.29832513
100131685 1.8564894 1.9627686 1.73842004 0.7708849 -0.03917952 -0.48951083
100131691 1.7555914 1.3307887 2.13407087 2.0827777 2.31093375 4.15211336
100131740 1.1067586 0.8671498 -0.50517311 1.3502809 0.30932810 0.60878527
100131801 3.0897342 2.8786906 2.91611105 2.9277877 3.11851790 4.21659802
100131827 -0.1038014 0.4469532 0.81346205 1.5710789 1.02637309 2.25574455
100131828 1.6471027 0.8671498 0.29983048 1.0894757 1.36106171 1.88447924
100131940 1.9507897 1.6811107 2.13407087 2.6655006 2.31093375 2.25574455
100132074 0.5056792 0.6722959 1.94976628 0.7708849 1.20340120 1.65553083
100132086 -0.1038014 0.8671498 1.01480922 -0.2125431 -0.49963426 -1.17995959
100132116 7.0973161 6.7981433 6.86114436 4.6379062 5.23536222 6.05029968
100132126 -0.1038014 -0.5738695 -0.50517311 -1.1799596 -0.03917952 -1.17995959
100132215 0.2328875 -0.1483831 0.57938459 0.7708849 1.20340120 0.60878527
100132537 1.9507897 2.1983179 2.04485969 2.5662851 2.45782690 1.04738487
100132609 2.0393026 0.6722959 -0.04723735 1.0894757 1.20340120 -0.02448829
100132659 -0.5437809 0.1797782 0.57938459 0.3613926 -0.03917952 0.60878527
100132891 -1.1799596 -0.1483831 -1.17995959 -0.2125431 0.58981398 -1.17995959
100132972 -1.1799596 0.8671498 -0.04723735 0.3613926 1.36106171 -0.48951083
100133234 0.5056792 1.1921644 0.81346205 -1.1799596 -0.03917952 1.88447924
100133286 -0.1038014 0.4469532 0.29983048 0.3613926 0.82454375 -0.02448829
100133315 -0.5437809 1.8748539 0.81346205 1.3502809 0.82454375 1.98662899
100134934 2.7129340 2.2689996 1.01480922 1.0894757 2.23146900 1.38326770
10014 6.2012189 6.3619548 5.80681610 5.0217826 5.50405516 5.66758749
100144603 -1.1799596 -1.1799596 -1.17995959 -1.1799596 -0.49963426 0.60878527
100144748 1.5297876 1.6811107 1.34883272 1.5710789 -0.03917952 5.98392367
10015 7.6581934 7.4616732 7.58145107 7.6215435 7.38291503 7.78052369
10016 5.1662884 5.1201118 5.37512393 5.1299722 4.94281920 5.92081166
100170229 0.7350009 0.6722959 0.29983048 -0.2125431 0.30932810 -1.17995959
100170841 3.6067379 4.4959786 3.30990298 4.2474716 4.03533324 6.29391009
10018 2.7657774 4.4662052 2.96556247 4.2474716 3.46965836 6.45404480
100188847 1.4020816 0.4469532 1.19146640 1.3502809 1.02637309 1.22507916
10019 4.0729657 5.2568197 4.21746258 4.6132638 4.69876830 5.33142077
100190938 2.3473526 2.1983179 1.73842004 2.2196708 3.02735008 1.38326770
1002 0.5056792 2.6854980 0.29983048 1.7625270 1.63254086 0.60878527
10020 3.8216441 3.9467800 3.61893192 4.3702061 3.91332843 3.80596296
10021 7.8721244 8.2256087 7.62442201 6.9192623 7.48922925 7.70573978
10023 0.9328212 0.6722959 1.19146640 0.7708849 2.05806524 4.93128420
10024 4.0304080 3.7132602 3.30990298 1.0894757 1.63254086 3.86079441
10026 6.4475267 5.9044145 6.38116453 6.3765145 6.45827977 6.38089547
100268168 1.7555914 1.7812322 1.49070955 1.9315203 1.96286455 2.55075734
100270804 1.5297876 0.4469532 1.94976628 2.6655006 1.20340120 1.88447924
100270827 1.5297876 -1.1799596 0.81346205 1.3502809 0.30932810 0.60878527
100270840 3.4541051 3.6876867 3.92421716 4.0412510 3.80770486 3.80596296
100270854 3.8946405 3.7132602 4.21746258 4.4278677 4.34947350 4.27832328
100270865 5.0107917 4.8003694 5.09307400 5.5229234 5.21484861 5.20996907
100271271 3.3882237 2.4623753 2.81181277 3.5115038 3.16202862 2.85078569
100271332 -0.1038014 -0.5738695 -1.17995959 0.3613926 -1.17995959 -0.02448829
100271415 1.9507897 2.0456324 1.61987476 2.3446927 -0.03917952 3.22976524
100271479 -0.5437809 -1.1799596 -0.04723735 0.3613926 -0.49963426 1.22507916
100271884 -0.1038014 -0.1483831 -1.17995959 -1.1799596 -1.17995959 -1.17995959
100272147 1.9507897 1.9627686 1.73842004 2.7583298 3.02735008 3.22976524
100286844 -0.5437809 -0.1483831 1.94976628 1.5710789 2.38624908 2.67834762
100287015 1.2619636 2.2689996 1.01480922 1.7625270 1.36106171 3.14393988
100287049 0.2328875 1.4572529 1.19146640 0.3613926 0.82454375 1.38326770
100287074 1.1067586 -0.5738695 1.49070955 0.3613926 -1.17995959 -0.02448829
100287616 3.5171088 3.2719200 3.38452215 3.0055935 3.80770486 3.27083623
100287722 0.9328212 1.0387903 0.57938459 1.0894757 1.20340120 1.38326770
100287808 0.5056792 0.4469532 -1.17995959 0.3613926 -1.17995959 3.71959863
100287837 1.2619636 1.0387903 0.29983048 -1.1799596 1.02637309 1.38326770
100287896 2.0393026 2.3363795 2.13407087 3.0794170 2.93003017 0.60878527
100287902 -0.1038014 -0.1483831 0.57938459 -1.1799596 0.82454375 1.52581239
100287928 2.8659896 1.3307887 2.13407087 2.3446927 2.14737083 2.85078569
100287932 5.3243673 4.8815614 5.36594510 4.7995361 4.94281920 5.07734538
100288001 2.0393026 1.8748539 3.01337488 2.0827777 1.36106171 2.90397033
100288073 3.2090187 4.9690805 3.84715490 6.7487383 6.54300417 2.08202183
100288123 -0.1038014 1.3307887 0.81346205 0.7708849 1.63254086 1.52581239
100288198 1.8564894 2.1239941 2.04485969 2.2196708 0.30932810 2.95526383
100288241 -1.1799596 -1.1799596 -1.17995959 -1.1799596 -1.17995959 -1.17995959
100288413 3.0897342 2.8327633 3.55575217 2.6655006 2.52602070 4.61775126
100288513 0.2328875 -0.1483831 -1.17995959 -0.2125431 -1.17995959 -0.02448829
100288842 0.9328212 1.8748539 -0.04723735 1.0894757 2.45782690 0.60878527
100289061 1.9507897 1.1921644 2.44424067 0.3613926 0.30932810 1.52581239
100289095 0.5056792 1.6811107 -1.17995959 0.3613926 1.02637309 1.22507916
100289133 4.2869332 3.7383882 4.08947424 3.5638822 3.78004485 3.49537178
100289178 2.6580812 2.4623753 2.96556247 2.5662851 2.31093375 3.18749068
100289211 0.5056792 1.1921644 1.19146640 0.3613926 -0.03917952 0.60878527
100289259 0.7350009 1.3307887 0.81346205 1.7625270 1.96286455 1.04738487
100289274 2.6010602 3.3716502 2.57744458 4.9048172 4.63843340 4.10746452
100289341 1.2619636 1.9627686 1.34883272 2.6655006 2.23146900 3.65900950
100289373 0.5056792 1.1921644 0.81346205 1.5710789 1.02637309 2.79556512
100289388 0.7350009 1.4572529 1.61987476 1.9315203 1.63254086 1.38326770
100289414 -1.1799596 -0.5738695 -0.50517311 1.0894757 0.82454375 -1.17995959
100289635 5.3677457 5.5823688 5.11515478 6.0491707 5.75199191 4.44907778
100289640 1.6471027 2.1239941 1.34883272 3.3418905 2.93003017 1.88447924
100289678 3.1703427 2.6328684 2.29747532 3.2166146 3.78004485 3.22976524
100293516 3.2090187 3.6081284 3.01337488 3.5638822 3.24530075 1.88447924
100294362 1.2619636 0.6722959 1.01480922 1.3502809 1.50317758 1.04738487
1003 2.2762848 2.1239941 2.29747532 1.0894757 0.82454375 -0.02448829
100302692 1.8564894 2.6328684 2.63970152 2.4597392 2.65343895 -0.02448829
100302736 1.8564894 2.0456324 1.49070955 2.3446927 3.07365402 1.38326770
100303728 2.2762848 2.9232008 2.81181277 1.5710789 2.05806524 2.73814652
100303755 1.4020816 1.7812322 0.29983048 1.0894757 0.30932810 -0.02448829
100312828 2.0393026 0.6722959 1.49070955 0.7708849 1.96286455 0.32662013
100312850 0.5056792 -1.1799596 -0.04723735 0.7708849 -0.03917952 1.04738487
10036 4.1345371 4.8357269 4.11160976 4.1819529 3.50387969 4.68006071
100379345 1.7555914 1.1921644 0.81346205 1.0894757 0.30932810 0.84468883
10038 5.3591737 5.0715038 4.78409543 5.8099099 5.16225101 3.05268405
100381270 0.2328875 0.6722959 -0.50517311 0.3613926 1.63254086 1.65553083
10039 3.0476755 2.9232008 3.38452215 3.7104908 3.16202862 1.65553083
1004 -0.1038014 1.8748539 1.61987476 2.6655006 -0.03917952 0.60878527
10040 3.8946405 4.4959786 3.19019744 5.3246858 4.47553790 3.27083623
100418710 0.7350009 0.8671498 1.61987476 0.7708849 0.58981398 2.61596251
100418735 1.4020816 1.4572529 2.29747532 2.0827777 1.20340120 1.88447924
100418744 1.2619636 2.3363795 1.73842004 0.3613926 1.75125294 0.60878527
100418770 0.2328875 0.1797782 -0.50517311 -1.1799596 -1.17995959 -1.17995959
100418781 2.8167535 2.4007524 3.55575217 1.7625270 2.31093375 2.73814652
100418819 2.0393026 2.0456324 1.84795982 1.7625270 2.05806524 2.55075734
100418829 2.6010602 2.0456324 2.51237942 1.9315203 1.86093512 -0.02448829
100418888 0.9328212 -0.1483831 1.73842004 1.0894757 -1.17995959 1.52581239
100418889 2.7129340 2.6328684 2.81181277 2.6655006 2.05806524 2.33534312
100418910 0.9328212 0.6722959 -0.50517311 1.0894757 0.82454375 -1.17995959
100418919 1.9507897 2.5214735 2.21808533 3.0794170 1.96286455 1.77454190
100419028 1.9507897 1.3307887 1.34883272 1.9315203 1.50317758 1.98662899
100419185 0.2328875 0.4469532 -1.17995959 0.3613926 -0.03917952 0.32662013
100419416 0.7350009 1.5735194 0.81346205 1.0894757 1.36106171 0.32662013
100419515 -1.1799596 1.1921644 0.57938459 0.3613926 -0.49963426 -1.17995959
100419645 -0.5437809 0.8671498 -0.04723735 0.3613926 -1.17995959 -1.17995959
100419758 0.5056792 0.8671498 1.19146640 1.0894757 0.30932810 1.52581239
100419928 1.4020816 1.6811107 2.13407087 2.7583298 1.96286455 1.52581239
10042 5.1060856 5.1763588 4.79781239 4.6132638 4.62294700 4.83871203
100420028 -1.1799596 -0.1483831 -1.17995959 -1.1799596 1.02637309 1.38326770
100420050 -1.1799596 -0.1483831 0.57938459 -0.2125431 0.58981398 0.32662013
100420110 2.6010602 3.0490413 2.21808533 2.9277877 3.32402759 3.38746784
100420187 -0.5437809 -0.5738695 -1.17995959 -1.1799596 -0.03917952 1.04738487
100420259 4.3746041 3.6876867 4.23773208 3.8853292 4.08138569 4.15211336
100420307 1.5297876 0.6722959 0.29983048 -1.1799596 0.30932810 1.52581239
100420341 5.6882982 5.7148707 5.95496316 7.3909145 7.21748233 5.16710167
100420423 0.5056792 1.1921644 1.61987476 0.7708849 1.02637309 0.84468883
100420591 0.2328875 0.4469532 -0.04723735 1.0894757 0.30932810 -0.02448829
100420707 2.5416923 2.0456324 1.94976628 1.7625270 1.50317758 1.88447924
100420752 1.6471027 1.3307887 1.01480922 2.7583298 2.14737083 2.08202183
100420869 4.2316539 3.7383882 4.08947424 3.5638822 3.66377557 4.37566965
100420981 6.1070874 5.5961802 6.18635505 6.4268763 6.44513079 6.08525757
100421093 3.8216441 4.5106380 3.76574288 3.8005570 4.01174375 4.43107295
100421109 0.2328875 0.4469532 1.01480922 0.3613926 0.58981398 1.77454190
100421160 0.9328212 0.8671498 0.29983048 1.3502809 0.82454375 0.84468883
100421175 0.2328875 0.4469532 0.57938459 0.3613926 0.82454375 0.60878527
100421246 0.2328875 0.6722959 0.81346205 1.5710789 1.20340120 1.38326770
100421311 1.1067586 1.9627686 1.61987476 2.6655006 0.58981398 1.98662899
100421372 2.3473526 2.3363795 1.73842004 2.0827777 1.75125294 3.14393988
100421400 2.0393026 2.4623753 2.29747532 2.5662851 1.75125294 1.65553083
100421415 0.9328212 0.6722959 0.29983048 0.3613926 0.30932810 1.04738487
100421429 -0.1038014 -0.5738695 -1.17995959 1.7625270 -0.03917952 0.60878527
100421465 2.0393026 1.0387903 1.34883272 1.7625270 0.58981398 0.84468883
100421468 2.4150833 2.1239941 2.29747532 2.9277877 2.31093375 1.98662899
100421506 0.2328875 -0.1483831 0.81346205 1.0894757 1.02637309 0.84468883
100421569 0.9328212 1.1921644 1.34883272 0.7708849 1.20340120 1.52581239
100421595 -0.5437809 -1.1799596 -0.04723735 -1.1799596 -1.17995959 -1.17995959
100421794 -0.1038014 -1.1799596 -1.17995959 -1.1799596 -0.49963426 -1.17995959
100422106 0.7350009 1.8748539 0.81346205 -0.2125431 1.20340120 1.65553083
100422338 2.2015340 1.4572529 1.19146640 1.9315203 2.65343895 2.17149647
100422546 0.2328875 0.8671498 0.29983048 0.7708849 1.20340120 1.04738487
100422561 3.5476081 3.2719200 3.38452215 4.1133166 4.10387213 2.73814652
10043 5.2050717 5.4054143 5.36594510 5.6001968 5.49557666 5.47013339
10044 0.9328212 1.8748539 1.94976628 0.3613926 -0.03917952 1.88447924
10045 1.2619636 1.0387903 1.49070955 2.2196708 2.05806524 1.77454190
10046 1.4020816 2.6328684 2.57744458 1.3502809 0.58981398 1.77454190
10048 6.5376499 6.4596258 6.50339753 6.2936418 6.55529437 7.16740702
10049 5.6745453 5.6166525 6.03242532 5.9929717 6.12062434 6.40415555
100499177 3.1306014 4.1663507 3.27109436 3.4006720 3.63318276 3.46029293
100499483 1.5297876 2.1239941 1.34883272 2.8455454 2.45782690 1.04738487
1005 -1.1799596 -1.1799596 -0.04723735 -1.1799596 -1.17995959 0.60878527
100500719 -0.1038014 0.4469532 0.57938459 -1.1799596 1.02637309 0.84468883
100505385 2.9136008 3.9467800 3.34769494 3.3418905 2.93003017 3.00479609
100505501 0.9328212 0.6722959 -0.04723735 2.0827777 0.82454375 2.79556512
100505538 2.1226975 0.4469532 -1.17995959 -0.2125431 1.63254086 3.31077030
100505549 0.7350009 1.9627686 0.57938459 -1.1799596 1.02637309 1.38326770
100505573 5.3155329 5.5329603 5.48942047 5.3094266 5.20448138 6.79049528
100505576 1.2619636 0.8671498 1.73842004 0.3613926 0.58981398 2.85078569
100505616 0.5056792 0.8671498 1.34883272 0.3613926 0.82454375 0.60878527
100505624 1.4020816 1.1921644 0.81346205 1.0894757 0.82454375 1.04738487
100505635 0.2328875 1.6811107 0.81346205 0.3613926 0.30932810 0.60878527
100505641 2.2015340 2.1983179 1.01480922 2.5662851 2.97951059 1.22507916
100505648 2.6580812 1.5735194 2.69938264 3.1496461 3.36183648 2.17149647
100505678 2.8167535 0.6722959 1.49070955 2.4597392 0.82454375 1.77454190
100505696 4.5803644 5.1485094 4.81140015 4.7995361 4.83941129 4.23746792
100505715 0.2328875 0.4469532 -0.04723735 -1.1799596 0.30932810 -1.17995959
100505738 -1.1799596 -1.1799596 -1.17995959 -1.1799596 -1.17995959 -1.17995959
100505741 1.4020816 0.4469532 1.34883272 1.3502809 1.75125294 2.67834762
100505758 3.1306014 3.5239255 3.27109436 3.6144253 2.97951059 3.05268405
100505761 2.7657774 2.0456324 2.91611105 3.7104908 3.98776213 1.65553083
100505771 0.9328212 0.4469532 1.73842004 1.0894757 1.86093512 1.52581239
100505783 1.8564894 2.0456324 0.57938459 2.4597392 2.05806524 4.46686069
100505806 5.4098578 5.4817995 5.56355762 6.8418312 6.39130264 4.95667789
100505812 -0.1038014 -0.1483831 1.34883272 -0.2125431 0.82454375 -0.02448829
100505832 -1.1799596 -1.1799596 1.19146640 0.3613926 1.36106171 1.65553083
100505854 3.6067379 4.9476934 3.48967838 4.9644849 4.52636629 5.57223587
100505876 1.9507897 1.9627686 2.91611105 2.2196708 2.05806524 3.00479609
100505894 3.0043537 1.6811107 2.57744458 2.5662851 3.24530075 2.17149647
100505933 0.7350009 -1.1799596 -0.50517311 0.3613926 -0.03917952 0.84468883
100505994 0.9328212 0.4469532 0.57938459 3.1496461 3.63318276 2.17149647
100506020 0.7350009 1.1921644 0.57938459 -0.2125431 1.20340120 -0.02448829
100506033 4.8730740 4.0706655 4.52842086 4.5367059 4.05854321 4.63358273
100506054 2.1226975 2.8786906 2.44424067 0.3613926 2.38624908 2.17149647
100506068 0.2328875 0.8671498 0.57938459 0.7708849 0.82454375 0.84468883
100506070 1.1067586 0.8671498 1.34883272 2.8455454 1.02637309 0.60878527
100506083 0.7350009 -0.1483831 1.19146640 -0.2125431 0.30932810 0.84468883
100506100 0.2328875 0.4469532 -0.04723735 1.0894757 -1.17995959 0.32662013
100506119 0.9328212 1.4572529 -0.04723735 1.3502809 1.20340120 2.48246501
100506127 1.2619636 1.6811107 1.19146640 -1.1799596 1.86093512 0.60878527
100506142 -1.1799596 0.1797782 -0.50517311 -0.2125431 1.02637309 -1.17995959
100506144 2.1226975 1.6811107 1.73842004 1.0894757 2.45782690 0.32662013
100506161 -0.1038014 0.8671498 0.29983048 0.3613926 0.30932810 -0.02448829
100506211 2.6580812 1.8748539 2.63970152 2.6655006 1.50317758 1.04738487
100506235 1.2619636 0.8671498 0.29983048 1.7625270 1.20340120 2.33534312
100506258 0.2328875 1.4572529 -1.17995959 1.0894757 1.36106171 -1.17995959
100506282 2.5416923 2.1239941 2.96556247 2.2196708 2.38624908 2.25574455
100506286 0.5056792 0.6722959 1.01480922 0.3613926 1.02637309 2.48246501
100506302 1.4020816 1.6811107 1.84795982 1.0894757 1.36106171 1.52581239
100506321 0.2328875 1.7812322 0.57938459 0.3613926 1.02637309 0.32662013
100506325 0.9328212 -0.1483831 0.57938459 1.3502809 0.58981398 1.04738487
100506343 0.9328212 0.6722959 0.81346205 1.0894757 0.30932810 1.98662899
100506365 5.0325187 5.1946308 5.57156475 5.4412756 5.98788760 4.46686069
100506368 1.5297876 1.4572529 -1.17995959 -0.2125431 -0.03917952 1.04738487
100506380 3.4859508 3.1647804 2.37272350 2.5662851 3.07365402 3.22976524
100506392 3.2833925 3.7132602 2.81181277 3.2806119 3.69373309 2.90397033
100506394 1.9507897 2.1983179 0.81346205 1.5710789 2.52602070 3.62773320
100506411 0.9328212 1.7812322 1.49070955 1.0894757 1.36106171 3.18749068
100506433 2.0393026 2.4623753 1.61987476 2.0827777 2.87879226 1.38326770
100506462 1.4020816 0.8671498 1.34883272 1.5710789 -0.03917952 3.31077030
100506469 4.3574909 4.2208566 4.59278237 5.0768913 4.87906288 3.88744796
100506495 1.1067586 0.4469532 0.57938459 1.9315203 -0.03917952 2.41077864
100506504 1.2619636 2.8786906 2.21808533 2.7583298 2.65343895 1.77454190
100506540 1.2619636 1.4572529 1.73842004 -1.1799596 -1.17995959 1.77454190
100506581 0.7350009 1.0387903 1.84795982 -1.1799596 1.20340120 -0.02448829
100506606 0.7350009 1.8748539 -0.04723735 1.5710789 0.58981398 1.77454190
100506658 2.7129340 2.8786906 2.29747532 4.0038218 3.53730805 3.18749068
100506668 1.6471027 2.5214735 2.63970152 3.4006720 3.11851790 1.04738487
100506686 1.5297876 0.6722959 2.13407087 1.7625270 1.50317758 1.38326770
100506691 -0.1038014 0.8671498 0.29983048 0.3613926 0.58981398 -1.17995959
100506696 2.1226975 1.6811107 2.69938264 2.7583298 2.71316230 3.88744796
100506697 1.2619636 0.4469532 0.81346205 0.3613926 1.86093512 -0.02448829
100506710 6.5452270 6.7801062 6.72059229 7.2096398 7.33143987 7.25188738
100506713 0.7350009 -0.1483831 0.29983048 -1.1799596 -0.49963426 -1.17995959
100506725 3.6635394 3.5239255 3.19019744 4.1480428 3.24530075 1.88447924
100506731 1.4020816 1.7812322 2.04485969 1.5710789 1.86093512 3.59576381
100506757 -1.1799596 -1.1799596 -0.50517311 1.0894757 0.82454375 0.84468883
100506779 0.5056792 0.1797782 0.81346205 -0.2125431 -0.49963426 0.60878527
100506804 -1.1799596 -1.1799596 0.57938459 -1.1799596 1.36106171 0.60878527
100506826 1.1067586 0.6722959 1.84795982 1.7625270 1.50317758 0.32662013
100506844 2.2762848 2.1239941 2.37272350 3.6144253 3.83484452 1.98662899
100506866 6.2759857 6.3579070 6.21219412 6.0854561 5.84168927 4.55262873
100506881 0.9328212 0.4469532 1.49070955 0.3613926 1.20340120 3.91361801
100506885 0.9328212 0.1797782 0.57938459 -1.1799596 -1.17995959 1.65553083
100506911 0.9328212 0.1797782 0.57938459 0.3613926 -0.49963426 -0.48951083
100506922 0.7350009 -1.1799596 0.57938459 0.3613926 0.58981398 3.22976524
100506930 4.0937828 3.9030024 3.30990298 4.0777337 4.12601346 3.68962211
100506994 0.2328875 1.0387903 1.01480922 0.3613926 0.58981398 1.04738487
100507003 2.4797762 2.3363795 1.34883272 2.2196708 2.45782690 -0.02448829
100507032 0.9328212 0.6722959 -0.04723735 3.4571520 2.05806524 -0.02448829
100507034 2.7129340 2.9232008 3.14798178 2.4597392 3.28520111 4.25804022
100507050 0.2328875 -0.1483831 -0.04723735 -1.1799596 -0.03917952 2.67834762
100507053 1.2619636 1.5735194 1.01480922 1.5710789 1.36106171 3.14393988
100507057 -0.5437809 1.0387903 -0.04723735 1.3502809 0.58981398 1.52581239
100507062 -0.1038014 1.0387903 1.19146640 1.3502809 -1.17995959 3.49537178
100507071 -0.1038014 0.6722959 -1.17995959 -0.2125431 -0.03917952 0.32662013
100507156 3.0476755 3.3059352 2.57744458 2.5662851 3.20426541 3.49537178
100507171 1.8564894 3.3059352 2.96556247 3.6632575 3.39867976 -0.02448829
100507173 -0.5437809 -0.5738695 -0.04723735 1.9315203 1.20340120 -1.17995959
100507178 0.9328212 1.9627686 -0.50517311 0.3613926 2.14737083 1.65553083
100507244 1.1067586 0.8671498 0.81346205 0.3613926 0.82454375 1.38326770
100507246 2.9596907 3.0083020 2.69938264 2.0827777 2.59113606 2.33534312
100507250 0.5056792 -1.1799596 0.57938459 -0.2125431 1.02637309 0.84468883
100507254 -0.1038014 -0.1483831 -0.04723735 -1.1799596 0.58981398 1.22507916
100507266 1.1067586 0.8671498 0.81346205 -0.2125431 0.30932810 -1.17995959
100507290 4.4247582 4.3889673 4.15488725 4.6132638 4.05854321 3.38746784
100507291 1.2619636 1.3307887 1.49070955 2.5662851 1.63254086 1.04738487
100507303 2.6580812 3.0886616 2.91611105 3.3418905 2.87879226 3.49537178
100507308 -0.1038014 0.8671498 -1.17995959 0.3613926 1.02637309 -0.02448829
100507316 0.9328212 1.3307887 0.57938459 1.5710789 1.75125294 2.25574455
100507331 2.4797762 2.0456324 2.86490422 2.2196708 2.65343895 2.79556512
100507347 1.2619636 1.4572529 1.01480922 1.9315203 0.58981398 2.67834762
100507373 1.2619636 1.4572529 2.44424067 3.2166146 2.05806524 1.98662899
100507392 1.4020816 2.1239941 1.49070955 1.9315203 1.36106171 2.41077864
100507398 1.1067586 0.8671498 1.01480922 1.3502809 0.58981398 2.85078569
100507401 -0.1038014 0.4469532 -0.50517311 -1.1799596 0.30932810 0.60878527
100507420 1.5297876 0.1797782 2.21808533 -1.1799596 -0.03917952 0.60878527
100507433 0.9328212 0.4469532 -0.04723735 1.0894757 0.58981398 1.38326770
100507436 -0.1038014 -1.1799596 -0.04723735 -1.1799596 0.30932810 -0.02448829
100507437 2.3473526 2.6328684 1.84795982 1.9315203 2.23146900 1.04738487
100507459 1.2619636 1.5735194 0.81346205 2.8455454 0.82454375 3.52961790
100507463 1.1067586 1.6811107 1.01480922 -0.2125431 -0.49963426 2.95526383
100507487 2.0393026 1.7812322 0.57938459 3.1496461 3.36183648 2.61596251
100507495 2.2762848 1.3307887 2.21808533 2.0827777 2.31093375 3.27083623
100507516 -0.1038014 -0.1483831 -1.17995959 -0.2125431 -1.17995959 -0.02448829
100507551 0.9328212 0.8671498 2.13407087 -1.1799596 0.58981398 2.08202183
100507557 0.5056792 1.0387903 0.81346205 0.3613926 -0.49963426 2.85078569
100507564 -1.1799596 -1.1799596 -1.17995959 -1.1799596 -1.17995959 -0.48951083
100507567 1.5297876 1.4572529 1.49070955 2.0827777 2.45782690 2.67834762
100507588 0.2328875 -0.1483831 0.29983048 1.0894757 0.82454375 -0.48951083
100507599 1.5297876 0.6722959 -0.04723735 1.9315203 1.36106171 1.65553083
100507602 2.4797762 1.7812322 2.57744458 2.8455454 2.23146900 2.48246501
100508120 1.8564894 1.6811107 2.13407087 3.4006720 1.86093512 1.38326770
10051 6.6613423 6.6928164 6.86440707 6.1208513 5.70863404 6.39489647
10052 2.1226975 1.4572529 1.19146640 0.3613926 0.58981398 2.41077864
100526737 1.8564894 1.9627686 2.13407087 1.0894757 1.75125294 2.17149647
100526760 1.2619636 0.4469532 1.01480922 1.0894757 1.63254086 0.60878527
100526820 0.7350009 0.4469532 0.57938459 0.3613926 -0.49963426 1.52581239
100526835 2.5416923 2.6854980 2.75669264 2.0827777 2.45782690 0.32662013
100527978 0.7350009 0.8671498 0.57938459 1.9315203 1.63254086 0.32662013
100529145 1.5297876 0.6722959 1.73842004 1.5710789 1.63254086 0.84468883
100529215 -1.1799596 -1.1799596 -1.17995959 -0.2125431 -1.17995959 -1.17995959
100532746 4.2687411 3.7383882 3.94901622 4.2791479 3.69373309 3.86079441
100533106 -0.1038014 1.0387903 0.57938459 0.3613926 1.02637309 0.32662013
100533182 -0.1038014 0.6722959 1.61987476 1.0894757 1.86093512 1.65553083
100533619 -1.1799596 0.8671498 -0.04723735 0.3613926 -1.17995959 2.67834762
100533629 0.9328212 -1.1799596 1.49070955 -0.2125431 -1.17995959 -1.17995959
100533695 0.2328875 0.8671498 0.57938459 0.7708849 0.58981398 0.84468883
100533970 1.4020816 1.1921644 1.73842004 -0.2125431 0.30932810 2.17149647
100534593 0.7350009 1.4572529 1.61987476 2.5662851 2.31093375 1.77454190
10054 6.1324604 5.9535248 5.89879016 5.8735466 5.73768358 5.94638872
10056 5.7221175 5.4287575 5.97924368 5.8314355 5.53747950 4.63358273
10057 7.4172820 7.2132441 7.54937546 7.4442817 7.58225060 8.47518910
10058 4.6800924 3.7383882 4.56096050 5.8941500 5.39886850 5.99008564
10059 7.2016880 7.0844333 7.33327949 6.3910839 6.59154897 6.43158150
1006 4.6800924 4.4047493 4.42615210 3.5115038 4.31133488 4.79714460
10060 3.1306014 2.5782458 2.63970152 1.0894757 3.60192714 3.59576381
100616256 1.2619636 0.8671498 0.81346205 0.7708849 0.30932810 1.88447924
10062 2.2015340 2.4623753 2.91611105 2.0827777 2.93003017 2.17149647
10063 3.7708436 3.4649297 4.19690424 4.1480428 4.29188071 3.42433985
100652739 -0.5437809 -0.1483831 -0.50517311 1.3502809 0.82454375 1.65553083
100652758 -1.1799596 -0.5738695 -0.50517311 0.3613926 -0.49963426 1.88447924
100652846 1.6471027 1.4572529 1.01480922 1.5710789 1.36106171 1.22507916
10066 6.3643043 6.3084263 6.54465830 6.6123921 6.48850255 6.42704656
10067 6.3981715 6.1721452 6.33016042 6.6431482 6.41397560 5.14518066
10068 3.5171088 3.6876867 3.61893192 3.0794170 3.56997936 3.80596296
10069 4.3048988 4.3730108 4.69893657 4.7551739 4.89204154 6.19067979
10072 5.1662884 5.2216121 5.35670749 4.3702061 4.49268044 5.51355753
10073 3.8707164 3.8347397 3.14798178 3.7562266 3.39867976 3.46029293
10075 8.5913252 8.9626119 8.49075342 9.1073188 9.10634373 8.77372711
10076 5.1264336 5.1578524 5.20024599 5.4272068 5.18352071 6.05029968
10077 2.6010602 2.1239941 3.48967838 1.7625270 2.82566739 1.22507916
100775107 0.5056792 1.1921644 0.57938459 0.7708849 1.02637309 1.04738487
10078 4.6937927 4.9039440 4.81140015 4.8636220 4.45818921 5.43442775
10079 5.2050717 5.1855237 5.35670749 5.2143183 5.87475582 5.28205229
1008 3.6635394 3.4947292 3.97339618 3.5638822 4.27216061 3.86079441
10081 4.7341300 5.2304948 4.86450651 5.1643046 4.83941129 6.23804950
10082 7.6441492 7.0167258 7.27317622 7.2381246 7.54164636 6.96017342
100820829 4.3226434 4.1477146 4.72788499 3.2166146 3.69373309 2.90397033
10084 5.2428397 5.0911440 5.20024599 5.3094266 5.06245493 4.60174413
100847074 1.1067586 1.3307887 2.44424067 2.0827777 1.86093512 1.38326770
10085 9.8029310 9.6121018 9.76240601 9.6826734 9.94575835 9.69969537
100852407 0.5056792 1.5735194 0.81346205 0.7708849 1.75125294 1.04738487
100861412 -0.1038014 1.1921644 1.19146640 2.3446927 1.20340120 0.84468883
100861548 4.3746041 3.9892682 4.25772074 5.1124947 4.94281920 5.23093439
100862671 1.9507897 1.3307887 1.19146640 0.7708849 0.30932810 0.60878527
10087 6.3252285 6.1442136 6.44793145 6.0213448 6.62691479 7.44144274
100873257 0.5056792 -1.1799596 -1.17995959 -0.2125431 0.30932810 1.22507916
100873333 3.5774759 2.8786906 3.38452215 2.9277877 2.97951059 3.09903338
100873790 3.7181889 3.5239255 4.19690424 2.9277877 3.39867976 4.25804022
100873949 1.1067586 0.8671498 -0.04723735 -0.2125431 0.30932810 0.84468883
100873952 -1.1799596 -1.1799596 0.57938459 0.7708849 -0.03917952 -1.17995959
100873965 1.6471027 1.9627686 1.73842004 2.4597392 1.75125294 2.17149647
100874006 -0.5437809 1.1921644 0.57938459 0.7708849 1.20340120 -1.17995959
100874008 0.7350009 0.4469532 0.57938459 0.7708849 1.50317758 1.77454190
100874014 3.2833925 3.0490413 2.37272350 3.5638822 2.14737083 0.60878527
100874058 0.2328875 0.8671498 -1.17995959 1.0894757 1.63254086 -0.02448829
100874080 0.2328875 1.1921644 0.81346205 0.3613926 0.30932810 0.32662013
100874097 1.7555914 1.5735194 0.81346205 1.9315203 2.23146900 1.65553083
100874201 0.7350009 -0.5738695 -0.04723735 -0.2125431 1.20340120 0.84468883
100874212 0.7350009 1.1921644 1.49070955 1.7625270 1.50317758 1.22507916
100874217 0.7350009 1.0387903 1.34883272 -0.2125431 0.82454375 -0.48951083
100874235 0.2328875 0.6722959 0.57938459 0.3613926 0.58981398 -0.02448829
100874261 0.5056792 0.8671498 -1.17995959 -1.1799596 1.86093512 2.25574455
100874291 -1.1799596 0.4469532 -0.50517311 -1.1799596 0.58981398 0.84468883
100874362 1.9507897 0.6722959 2.13407087 2.4597392 2.82566739 4.21659802
100874523 2.6580812 2.2689996 2.13407087 0.7708849 1.86093512 1.22507916
100885775 5.3505505 5.1008647 5.10415663 4.7324705 3.16202862 4.12996166
100885776 -0.5437809 1.1921644 -0.04723735 2.4597392 1.63254086 -0.02448829
100885848 4.8609814 4.9476934 4.49513032 4.0038218 2.93003017 3.68962211
1009 10.2751128 10.2215084 10.06605862 8.9937747 9.50146591 7.21026548
10090 4.2869332 4.2560825 4.27743623 4.3404874 3.53730805 4.82498887
10092 7.6978255 7.2959657 7.66614998 7.0807600 7.27062537 6.58601433
10093 7.1203259 7.1014804 6.95900735 6.5936187 6.47562738 6.60621316
10094 5.5818064 5.2741065 5.65682919 5.4552085 5.44363187 5.17793852
10095 5.9331921 5.6957547 6.02661214 6.0213448 5.73768358 6.17453783
10097 8.4081649 8.2465590 8.43698257 7.8549056 8.01783100 7.79643341
10098 7.2278200 7.2332690 7.23839145 6.7201744 6.62691479 5.62069929
10099 8.6627247 8.2088514 8.64763822 8.4016629 8.47457163 8.76835937
100996246 -0.1038014 -0.1483831 -0.04723735 -1.1799596 -1.17995959 -0.02448829
100996251 -0.1038014 0.1797782 0.29983048 0.3613926 -1.17995959 1.38326770
100996307 0.5056792 0.6722959 1.34883272 0.3613926 -0.03917952 0.60878527
100996384 -0.1038014 -0.1483831 1.73842004 1.0894757 0.30932810 1.38326770
100996419 1.8564894 0.6722959 1.19146640 2.5662851 1.36106171 -0.02448829
100996485 2.1226975 1.8748539 1.73842004 1.5710789 0.82454375 2.08202183
100996539 -0.1038014 -0.1483831 1.19146640 1.9315203 1.36106171 2.08202183
100996579 -1.1799596 -1.1799596 -0.50517311 -1.1799596 -1.17995959 -1.17995959
100996696 2.2762848 2.1983179 2.86490422 1.0894757 1.63254086 2.48246501
100996842 -0.1038014 0.1797782 1.01480922 1.0894757 0.30932810 -0.02448829
100996851 0.5056792 0.4469532 -1.17995959 -1.1799596 1.20340120 1.04738487
100996939 0.2328875 0.6722959 0.81346205 0.3613926 1.36106171 0.84468883
101 1.2619636 0.4469532 2.37272350 2.3446927 2.71316230 2.85078569
1010 -1.1799596 -0.5738695 -0.04723735 0.3613926 1.02637309 -1.17995959
10100 6.1573949 5.7523591 6.45227460 4.1819529 4.65375533 4.93128420
10101 4.8730740 4.6758309 5.03634665 5.3547284 4.96755319 5.58857190
10102 4.4572511 4.3568759 4.49513032 4.7551739 4.68391948 3.52961790
10103 -1.1799596 -0.1483831 1.34883272 1.5710789 1.63254086 1.98662899
10105 6.5338464 6.1395053 6.73135399 5.9043424 5.67898752 6.28391318
10106 7.0607773 7.1254893 6.85787425 7.6997010 7.61588785 7.63081559
101060200 2.2015340 2.7853257 3.23121285 3.3418905 2.77051125 3.42433985
101060691 1.9507897 2.2689996 1.73842004 2.0827777 2.38624908 1.04738487
10109 8.3840723 8.0894280 8.51794180 8.1992320 8.00594051 8.08972945
10112 5.3591737 5.0615826 5.48094282 3.2806119 3.07365402 5.31187563
10113 6.1324604 6.3042253 6.25756930 7.2895776 6.94910701 6.33805827
10114 7.5246684 7.6816615 7.48935598 7.1380266 7.46988296 8.62426466
101154753 0.5056792 0.1797782 -0.04723735 0.7708849 0.82454375 1.65553083
10116 7.7446484 8.1327151 7.95644607 7.5124994 7.67151877 7.30228096
10117 -0.1038014 1.6811107 1.49070955 0.3613926 1.36106171 2.79556512
1012 7.7691207 7.4039512 7.56148754 8.1699609 8.28955763 7.76802702
10121 5.9617835 5.8535734 6.07247465 5.8838851 5.73768358 5.72043129
10123 7.8856174 8.1445124 7.99416863 6.9783476 7.66963575 7.31951092
NUTL_24_H2 DMSO_24_H2 LPS_24_H2 TNFa_24_H2 H2O_24_H2 BPA_24_H2
100 4.11409899 3.5663342 3.56220442 3.7874669 3.1087077 3.9488028
1000 11.55492780 11.6148400 11.56480515 11.5837246 11.5594279 11.5459556
10000 6.67060685 6.7668296 6.55746368 6.7167959 6.6988751 6.5683288
10001 4.62057808 4.4681030 4.18025242 4.2695265 4.5626354 4.5635073
10003 4.41970137 4.2649532 4.43742110 3.5651285 4.2195291 4.1335347
100037417 2.12080165 2.3610415 2.45813625 1.8111389 2.1806983 1.7022202
100049716 1.93223038 2.2968362 1.56959504 1.2711502 2.9898719 2.4231749
10005 3.89043489 3.5663342 3.76351609 2.9397293 3.5051718 3.8815667
10006 6.61155431 6.3936175 6.40233793 6.5446203 6.3941627 6.4877273
10007 5.39259853 4.7336285 4.97826972 4.6555304 4.8623484 5.1346608
10009 4.87754940 5.0580435 5.25139450 5.2857109 5.4699061 5.2634902
100093630 4.25498266 4.1785112 3.81622632 3.2697585 3.9278349 3.9267371
1001 5.09559540 4.6842897 4.65560908 5.0767819 4.5060193 4.7383766
10010 5.04990888 5.3387658 5.29846968 5.7524603 5.1844089 4.9168861
100101267 2.38888811 2.2296398 1.14415007 1.3965265 2.3828859 1.8025659
100101467 5.10307111 4.4826064 4.36850044 4.1499649 4.3049800 4.0543361
10011 5.72850873 5.5393869 5.50523337 5.5310587 5.4846320 5.3238328
100113386 2.23408050 2.5381098 1.30032517 2.0588650 1.6643043 0.1947506
100113397 1.63501307 1.0048343 1.30032517 1.6186760 1.7642448 1.3509787
100113407 4.37099187 4.4534523 4.23934983 3.9800714 4.3049800 3.9488028
100125288 1.86346736 0.8343809 2.24397637 1.8111389 0.6582180 1.4778009
100127983 0.89720305 1.5366488 2.31895130 2.6179470 3.0701732 3.0721980
100128006 3.13590505 2.5381098 2.45813625 2.4545358 2.4444402 2.8082229
100128016 1.36344904 0.6410561 0.96899304 0.6201329 1.6643043 1.0580228
100128025 -0.69198904 -1.1799596 1.14415007 -0.1850394 -0.5805312 0.1947506
100128054 0.20402525 1.6437728 1.30032517 0.6201329 1.0234963 0.6900158
100128071 0.75259084 1.0048343 0.53814464 -0.5983817 1.3147236 -0.1358415
100128191 0.89720305 1.4209280 2.31895130 1.8111389 0.8523870 2.7591186
100128252 -1.17995959 -1.1799596 -1.17995959 -1.1799596 -1.1799596 -1.1799596
100128379 -1.17995959 0.6410561 -1.17995959 -1.1799596 -1.1799596 -1.1799596
100128398 4.51244802 4.2816370 3.91619896 3.9186832 4.0115641 4.0130445
100128494 3.54008072 3.5933145 2.80965601 3.4249894 3.3205160 3.3950662
100128569 1.14907965 1.1572599 1.14415007 1.1338321 1.7642448 2.0674884
100128640 0.59185151 -1.1799596 -0.07896917 -0.1850394 -0.5805312 1.2119240
100128682 1.36344904 1.2951091 1.30032517 -0.1850394 2.6147582 2.2204347
100128731 6.22633207 5.9370232 6.26213683 6.4246247 6.2763897 6.2238509
100128766 -0.69198904 -0.1703835 0.53814464 -1.1799596 0.4337911 0.4635322
100128782 2.33910873 2.4225109 1.89773177 1.2711502 2.1064743 2.6009032
100128822 3.04567837 2.7921019 1.99238917 1.8111389 2.3828859 1.9844712
100128833 2.06064218 2.0850595 2.95777141 2.8105009 2.4444402 1.7022202
100128881 2.23408050 1.9243596 2.64457594 1.8111389 2.2512898 1.8025659
100128893 4.97039471 5.1242886 5.06794407 4.2530410 4.9284672 4.9168861
100129001 0.59185151 0.4177570 -0.07896917 0.1358705 0.4337911 0.6900158
100129013 2.28755016 2.2296398 2.58506682 2.5110879 2.1806983 1.9844712
100129029 0.20402525 0.1534522 0.76959307 0.1358705 0.4337911 1.2119240
100129060 3.32678282 3.0860586 3.32817496 3.1679129 3.2873044 2.8557108
100129075 2.17855261 1.5366488 1.56959504 0.9820557 0.8523870 1.2119240
100129195 1.26024232 2.0850595 2.58506682 2.0588650 1.8577083 1.2119240
100129203 1.14907965 1.4209280 -1.17995959 0.9820557 0.4337911 0.4635322
100129250 1.79126215 2.0069459 1.30032517 2.2031526 1.5569218 1.0580228
100129259 1.45976297 -0.5886059 1.30032517 0.9820557 -1.1799596 0.1947506
100129361 5.50408860 5.4827961 5.43112578 5.4098809 5.8168649 5.3736193
100129398 1.02863120 -1.1799596 0.76959307 -0.5983817 0.4337911 0.6900158
100129434 1.79126215 1.4209280 2.16489047 2.6685480 2.6673378 2.2204347
100129461 1.55004743 0.8343809 0.26233556 0.6201329 0.1679036 0.6900158
100129484 2.28755016 0.8343809 0.96899304 0.3982258 1.7642448 0.8857217
100129550 4.02245363 3.9883424 3.56220442 3.4826886 3.3847302 3.9705361
100129583 1.45976297 0.4177570 1.44123320 0.3982258 2.2512898 0.8857217
100129662 1.79126215 0.8343809 0.76959307 0.1358705 0.8523870 0.1947506
100129707 0.75259084 0.1534522 0.26233556 -0.1850394 -0.1583148 0.4635322
100129716 0.89720305 0.8343809 1.44123320 -0.5983817 0.6582180 0.8857217
100129726 0.20402525 0.1534522 -0.07896917 -0.1850394 -1.1799596 -1.1799596
100129774 4.45518373 3.9883424 3.84187642 3.0198681 4.0115641 4.0338380
100129781 0.59185151 -0.5886059 1.44123320 -0.1850394 -1.1799596 0.8857217
100129792 -0.32800772 -0.5886059 -0.07896917 -0.5983817 0.4337911 0.4635322
100129794 0.41093130 1.6437728 1.56959504 0.1358705 0.4337911 1.3509787
100129842 2.12080165 0.6410561 0.26233556 0.8124139 1.1764460 1.0580228
100129917 1.93223038 2.1591600 0.96899304 1.2711502 1.0234963 1.8025659
100129924 0.41093130 -0.1703835 0.53814464 -0.5983817 -0.5805312 0.6900158
100129940 0.20402525 0.4177570 0.53814464 0.9820557 2.1064743 1.3509787
100129995 -0.32800772 1.5366488 0.53814464 0.8124139 0.4337911 1.8025659
10013 5.89279199 6.0089228 5.97973371 5.8652220 5.8284556 5.7135688
100130111 1.93223038 1.7434894 0.26233556 1.6186760 1.3147236 1.7022202
100130197 -0.69198904 -0.1703835 0.26233556 0.1358705 0.1679036 0.6900158
100130335 3.89043489 3.3301395 3.46651408 3.6681959 4.1838794 3.8584398
100130348 2.61487834 2.5381098 3.13421582 1.1338321 2.8144724 2.5440589
100130357 1.63501307 1.1572599 1.30032517 -0.1850394 1.8577083 -0.1358415
100130466 3.19306633 2.8823739 3.00394647 2.8548757 3.3205160 3.1118535
100130476 -1.17995959 0.8343809 0.76959307 -0.1850394 0.4337911 -0.5654357
100130522 1.45976297 0.4177570 -1.17995959 0.6201329 1.3147236 -1.1799596
100130550 0.59185151 0.1534522 0.96899304 -0.1850394 1.0234963 0.4635322
100130564 2.48357266 3.0080006 3.29141331 2.5655066 3.6944138 3.0721980
100130581 0.20402525 -0.1703835 -1.17995959 0.3982258 -1.1799596 -0.5654357
100130691 2.06064218 1.4209280 2.45813625 1.1338321 0.4337911 2.0674884
100130705 2.23408050 2.4225109 2.52299703 2.3343126 2.1806983 1.0580228
100130748 2.28755016 0.6410561 1.44123320 0.9820557 1.5569218 1.4778009
100130750 1.99786452 1.4209280 1.30032517 1.6186760 1.3147236 1.8025659
100130855 1.55004743 1.1572599 1.89773177 1.5118729 2.3828859 1.8963836
100130958 0.89720305 1.1572599 1.89773177 0.6201329 0.6582180 1.2119240
100131017 3.27477380 2.8823739 2.75670071 1.5118729 2.6673378 2.4848826
100131031 1.02863120 0.8343809 1.30032517 -0.1850394 2.1806983 0.4635322
100131033 1.02863120 1.1572599 0.76959307 1.5118729 1.0234963 0.8857217
100131067 2.28755016 1.7434894 1.56959504 1.8111389 2.1064743 2.1459874
100131089 2.23408050 2.7447553 3.13421582 2.3956761 2.1064743 2.9894593
100131094 0.59185151 -0.5886059 0.53814464 0.6201329 0.1679036 1.4778009
100131138 3.24804887 3.0475575 2.24397637 2.6685480 2.7180684 2.2912280
100131187 0.89720305 1.5366488 0.96899304 0.6201329 1.8577083 -0.1358415
100131193 3.07638520 3.5108110 3.36402310 2.7174341 3.5893321 3.6587270
100131211 3.27477380 3.1957562 3.09208628 3.4541274 2.8603616 2.9016852
100131213 2.88150161 2.3610415 2.45813625 2.2031526 2.7670755 2.7591186
100131471 2.43700702 1.1572599 1.89773177 1.8111389 2.0282234 2.2204347
100131656 3.47242577 3.0080006 3.17514992 3.5651285 3.0701732 3.1504480
100131685 1.71525187 2.0850595 1.14415007 2.1328118 1.8577083 2.3587094
100131691 2.43700702 1.7434894 1.99238917 0.9820557 1.7642448 2.0674884
100131740 0.75259084 -0.5886059 0.76959307 0.1358705 0.4337911 0.6900158
100131801 2.57242391 3.1957562 2.64457594 2.8979263 2.2512898 2.8082229
100131827 0.89720305 1.2951091 0.96899304 1.3965265 1.6643043 0.1947506
100131828 0.20402525 -1.1799596 -0.07896917 0.8124139 0.1679036 0.6900158
100131940 1.02863120 2.5926116 2.24397637 2.2031526 2.2512898 1.4778009
100132074 0.89720305 0.6410561 -0.52689086 1.2711502 0.6582180 0.6900158
100132086 0.41093130 -0.1703835 0.53814464 -0.1850394 0.4337911 -1.1799596
100132116 6.54998109 6.9580024 7.25559910 6.9748053 7.3726689 7.2752185
100132126 0.75259084 0.1534522 0.26233556 0.6201329 -1.1799596 -0.5654357
100132215 1.45976297 1.6437728 0.76959307 0.1358705 1.8577083 0.4635322
100132537 1.63501307 1.0048343 2.31895130 1.9809221 2.4444402 1.5943699
100132609 1.14907965 -0.1703835 -0.07896917 1.6186760 0.6582180 0.8857217
100132659 0.20402525 0.4177570 0.26233556 -0.5983817 0.4337911 0.1947506
100132891 -1.17995959 -0.1703835 -0.07896917 0.1358705 0.8523870 -1.1799596
100132972 0.59185151 1.1572599 0.76959307 0.3982258 -0.1583148 0.8857217
100133234 0.41093130 0.8343809 0.26233556 0.3982258 1.0234963 -0.5654357
100133286 -0.69198904 -0.5886059 0.53814464 -0.5983817 0.8523870 0.8857217
100133315 1.26024232 0.1534522 -0.07896917 -0.1850394 0.6582180 1.2119240
100134934 1.36344904 1.6437728 2.39022162 1.3965265 0.8523870 1.4778009
10014 6.08625383 6.1336295 6.03637352 5.8099425 5.8905916 6.1352235
100144603 0.20402525 -0.1703835 0.26233556 -0.5983817 -0.5805312 1.0580228
100144748 3.07638520 1.4209280 1.30032517 0.9820557 1.3147236 1.7022202
10015 7.84069305 7.7369352 7.53258268 7.6585078 7.7146675 7.6532852
10016 5.11050829 5.3703059 5.41412737 5.1319185 5.1478694 5.1442543
100170229 0.89720305 0.4177570 -1.17995959 0.8124139 0.1679036 1.3509787
100170841 2.65611909 4.0284344 3.21495456 3.7170937 3.4759909 3.4268568
10018 3.42549301 3.3618667 3.70880677 3.3952507 3.3205160 2.8082229
100188847 1.14907965 0.4177570 1.68746336 0.9820557 1.8577083 1.4778009
10019 3.92458932 3.8385368 3.96370196 4.5243028 3.6944138 4.0543361
100190938 1.86346736 1.9243596 2.31895130 1.8111389 2.1064743 2.2204347
1002 1.55004743 1.1572599 1.14415007 0.8124139 0.8523870 1.0580228
10020 3.37698198 3.7692450 3.89184774 3.7874669 3.7923587 4.2799725
10021 8.01922726 8.0810813 8.00657475 7.8239030 7.9450810 8.0817470
10023 2.23408050 2.0850595 1.14415007 1.8111389 0.6582180 1.8025659
10024 -1.17995959 3.3929112 3.70880677 2.6685480 3.5051718 3.6317009
10026 6.06344303 6.2778121 6.13303787 5.9236786 6.2114785 6.3411078
100268168 1.45976297 1.0048343 2.52299703 1.1338321 2.0282234 2.4231749
100270804 1.63501307 1.4209280 1.30032517 1.6186760 -1.1799596 1.9844712
100270827 0.20402525 -0.1703835 0.26233556 -1.1799596 -1.1799596 0.6900158
100270840 4.39555218 4.2137119 4.18025242 4.4099862 3.9703069 3.9919469
100270854 3.89043489 4.1605834 3.94014596 4.0195921 4.1286966 4.5491353
100270865 5.18988262 4.7091700 5.10018520 5.1675393 5.0816102 5.1442543
100271271 2.98223159 3.1957562 1.99238917 3.0583277 2.5034754 2.6009032
100271332 -0.32800772 -1.1799596 -1.17995959 -1.1799596 -0.1583148 -1.1799596
100271415 2.43700702 1.6437728 1.44123320 1.1338321 1.5569218 1.3509787
100271479 1.45976297 -0.1703835 1.14415007 0.9820557 -0.1583148 -0.1358415
100271884 -0.03760376 0.4177570 0.96899304 0.3982258 0.8523870 -0.1358415
100272147 1.86346736 1.9243596 2.16489047 1.3965265 1.1764460 1.9844712
100286844 1.26024232 1.5366488 2.31895130 0.1358705 1.1764460 1.0580228
100287015 1.36344904 2.5381098 1.79642493 2.1328118 1.9454836 1.3509787
100287049 1.02863120 1.4209280 0.76959307 0.8124139 0.8523870 1.0580228
100287074 0.41093130 0.4177570 0.96899304 0.3982258 0.8523870 1.3509787
100287616 3.56194524 3.6964564 3.17514992 3.9800714 3.4759909 3.6041588
100287722 1.63501307 1.9243596 1.30032517 1.2711502 0.8523870 1.3509787
100287808 1.55004743 -1.1799596 -0.07896917 -0.1850394 0.4337911 -0.1358415
100287837 0.59185151 0.4177570 -0.52689086 -0.1850394 0.1679036 -1.1799596
100287896 2.52868219 2.4225109 2.80965601 1.8985267 2.7670755 1.2119240
100287902 0.75259084 0.8343809 0.76959307 -0.1850394 0.8523870 -0.5654357
100287928 2.57242391 2.2296398 2.64457594 1.8111389 2.5601895 1.9844712
100287932 5.21079316 5.0772831 4.62638796 5.2775837 5.0423351 4.9717969
100288001 2.73522394 2.6958021 2.52299703 0.9820557 2.7180684 2.6009032
100288073 2.91586567 3.1957562 3.04868937 2.8105009 3.1828198 3.5474452
100288123 -0.03760376 1.5366488 1.30032517 0.6201329 1.6643043 1.5943699
100288198 1.45976297 1.8367571 1.56959504 1.5118729 1.8577083 1.9844712
100288241 -1.17995959 -1.1799596 -1.17995959 -1.1799596 -1.1799596 -1.1799596
100288413 2.84629900 2.7921019 3.09208628 3.1679129 3.3529803 2.7082839
100288513 1.02863120 -0.1703835 0.53814464 0.9820557 0.6582180 -0.1358415
100288842 1.71525187 1.0048343 0.53814464 1.8985267 1.8577083 1.7022202
100289061 1.86346736 2.0850595 1.44123320 2.0588650 2.2512898 1.8025659
100289095 0.20402525 0.8343809 -1.17995959 -0.1850394 -1.1799596 0.1947506
100289133 3.62561825 4.0284344 4.09749061 4.2530410 4.1286966 4.2624603
100289178 2.57242391 3.0080006 2.16489047 2.3343126 2.4444402 3.2246712
100289211 2.43700702 2.2968362 1.14415007 0.6201329 1.3147236 -0.5654357
100289259 0.41093130 1.0048343 0.96899304 0.6201329 0.4337911 0.4635322
100289274 2.28755016 2.0069459 1.99238917 2.1328118 2.5034754 2.0674884
100289341 2.06064218 1.8367571 1.44123320 1.3965265 1.3147236 1.3509787
100289373 1.99786452 -0.5886059 0.26233556 1.1338321 1.3147236 1.7022202
100289388 1.14907965 1.5366488 0.26233556 0.8124139 1.0234963 1.3509787
100289414 -0.32800772 0.8343809 0.53814464 -1.1799596 0.4337911 0.4635322
100289635 5.41679680 5.3858211 5.67181316 5.2446090 5.8168649 5.3322508
100289640 0.89720305 1.6437728 1.14415007 1.2711502 1.6643043 1.5943699
100289678 3.51787973 2.9254764 2.95777141 2.7174341 3.4462075 2.9894593
100293516 3.64623305 3.2645120 3.53100757 3.2026664 3.6163287 2.9894593
100294362 1.71525187 1.4209280 1.56959504 1.6186760 1.9454836 1.2119240
1003 0.89720305 2.5381098 3.49912118 3.4249894 2.3828859 2.7591186
100302692 3.16476877 2.5381098 1.99238917 2.3343126 2.6673378 2.4848826
100302736 1.02863120 1.9243596 0.96899304 1.5118729 1.6643043 1.9844712
100303728 2.61487834 2.6958021 2.91006946 2.1328118 2.3185878 2.3587094
100303755 1.02863120 1.6437728 -0.52689086 -0.1850394 0.1679036 1.3509787
100312828 0.59185151 1.4209280 0.76959307 -0.1850394 1.5569218 -0.5654357
100312850 0.20402525 -0.1703835 -1.17995959 1.3965265 0.8523870 0.8857217
10036 3.22081951 4.7457040 4.48703343 4.4965616 4.4319741 4.3808038
100379345 0.59185151 1.1572599 1.44123320 1.3965265 1.3147236 1.2119240
10038 5.26511673 5.1426702 4.78023969 5.0953959 5.4772879 5.0956358
100381270 1.45976297 0.8343809 0.96899304 0.6201329 0.8523870 0.8857217
10039 3.24804887 3.2305436 4.07603645 3.3952507 3.1087077 2.9894593
1004 2.06064218 1.6437728 1.68746336 1.8111389 1.6643043 2.0674884
10040 4.61012256 4.1605834 4.29612139 4.7048521 3.9492272 4.0543361
100418710 1.02863120 -0.5886059 0.96899304 0.8124139 1.5569218 0.6900158
100418735 0.59185151 1.4209280 1.56959504 1.7181145 1.5569218 1.5943699
100418744 0.41093130 2.0069459 2.24397637 2.4545358 2.6147582 1.7022202
100418770 -0.03760376 -1.1799596 -0.52689086 -1.1799596 -0.1583148 -1.1799596
100418781 2.77320713 2.3610415 2.52299703 2.7174341 2.8144724 2.5440589
100418819 1.86346736 2.1591600 1.30032517 1.8985267 2.1064743 1.5943699
100418829 2.06064218 2.7447553 2.16489047 2.1328118 2.2512898 2.2204347
100418888 1.45976297 0.8343809 0.96899304 1.3965265 0.4337911 0.1947506
100418889 2.61487834 2.4814678 2.58506682 2.8979263 3.0701732 1.8963836
100418910 1.14907965 2.1591600 0.76959307 1.8985267 1.0234963 0.8857217
100418919 1.71525187 2.2968362 1.79642493 2.6179470 2.5034754 2.5440589
100419028 2.28755016 1.5366488 1.68746336 2.0588650 1.5569218 -0.1358415
100419185 0.59185151 0.4177570 0.53814464 1.2711502 -0.5805312 1.2119240
100419416 1.36344904 1.1572599 1.30032517 1.2711502 1.6643043 0.1947506
100419515 -0.32800772 0.4177570 0.26233556 0.8124139 -0.5805312 -0.5654357
100419645 0.59185151 -0.1703835 -0.52689086 -1.1799596 -0.1583148 1.4778009
100419758 1.71525187 0.8343809 1.56959504 1.3965265 1.3147236 0.6900158
100419928 1.36344904 1.1572599 0.53814464 0.8124139 0.8523870 1.3509787
10042 4.71141681 4.9263135 4.88264984 5.0579246 5.0121608 5.0246941
100420028 -0.32800772 -0.5886059 0.76959307 0.1358705 -1.1799596 0.8857217
100420050 -0.32800772 -0.1703835 -0.07896917 -0.1850394 0.1679036 0.4635322
100420110 3.24804887 3.1957562 3.09208628 3.1679129 3.5051718 3.0721980
100420187 -0.32800772 1.1572599 -1.17995959 0.1358705 0.1679036 0.1947506
100420259 3.70636686 4.0284344 3.79011192 4.3178818 4.2018144 4.2267849
100420307 1.55004743 1.0048343 0.96899304 0.8124139 1.0234963 0.8857217
100420341 5.37417970 5.5736611 5.61343983 5.4393225 5.2462073 5.6065957
100420423 -0.03760376 0.4177570 0.53814464 0.1358705 0.8523870 0.4635322
100420591 0.59185151 0.1534522 0.53814464 -0.5983817 0.8523870 0.6900158
100420707 2.69621362 2.5926116 2.39022162 2.7647178 3.1087077 2.3587094
100420752 1.45976297 1.6437728 1.56959504 1.5118729 1.5569218 1.4778009
100420869 3.85545225 3.7211296 4.16000279 3.5651285 4.4470903 3.9043287
100420981 5.95608107 5.8942694 5.94465078 6.0906992 6.1388613 5.9452446
100421093 3.62561825 3.9678706 3.59274093 3.9999671 3.7442173 3.7113062
100421109 -0.03760376 -0.5886059 1.14415007 -0.5983817 -0.5805312 0.4635322
100421160 0.20402525 1.0048343 0.53814464 0.1358705 -0.5805312 -1.1799596
100421175 0.41093130 -0.1703835 0.26233556 0.1358705 -1.1799596 -1.1799596
100421246 -0.69198904 0.4177570 0.53814464 0.6201329 0.8523870 -0.1358415
100421311 0.59185151 -0.1703835 1.89773177 1.3965265 0.4337911 1.0580228
100421372 0.20402525 2.0850595 1.68746336 1.6186760 2.1806983 1.0580228
100421400 2.06064218 2.2296398 1.99238917 2.5655066 1.5569218 1.3509787
100421415 0.59185151 -0.1703835 0.53814464 0.8124139 0.6582180 0.4635322
100421429 -1.17995959 0.4177570 1.14415007 0.1358705 -1.1799596 0.4635322
100421465 0.89720305 1.8367571 0.76959307 0.1358705 1.5569218 1.4778009
100421468 2.17855261 2.4814678 2.70172733 2.3956761 1.6643043 2.3587094
100421506 0.89720305 0.1534522 -0.52689086 0.3982258 0.4337911 0.6900158
100421569 0.89720305 2.0850595 0.26233556 -1.1799596 -0.1583148 0.4635322
100421595 0.20402525 -1.1799596 -1.17995959 -0.1850394 -0.5805312 -1.1799596
100421794 -0.69198904 -1.1799596 -1.17995959 -1.1799596 -1.1799596 -1.1799596
100422106 1.36344904 1.9243596 1.99238917 0.6201329 0.8523870 1.3509787
100422338 2.12080165 2.4225109 2.08121651 2.5655066 2.7180684 2.5440589
100422546 -0.03760376 1.0048343 1.44123320 1.3965265 -0.5805312 0.4635322
100422561 3.07638520 3.6713540 3.65194073 3.5915938 3.5051718 3.3293030
10043 5.50972448 5.6203168 5.35300436 5.4320182 5.0323470 5.3238328
10044 -1.17995959 2.2296398 2.45813625 1.1338321 2.8603616 1.8963836
10045 1.02863120 0.8343809 1.56959504 1.1338321 0.6582180 0.8857217
10046 1.93223038 2.2296398 1.30032517 0.6201329 2.0282234 2.4848826
10048 6.48851926 6.4088853 6.23819088 6.5378314 6.7051759 6.4222061
10049 6.13082115 5.8219732 5.86557811 6.0906992 6.0770441 5.7949985
100499177 3.13590505 3.3929112 3.21495456 3.1323014 3.8158401 3.6041588
100499483 2.28755016 2.3610415 2.58506682 1.1338321 2.7670755 2.1459874
1005 -0.32800772 -0.1703835 0.53814464 0.3982258 -1.1799596 -1.1799596
100500719 0.20402525 0.8343809 0.53814464 -0.1850394 -0.1583148 0.4635322
100505385 3.66655743 2.8379438 3.04868937 3.0957886 3.4157963 3.5182298
100505501 1.36344904 0.4177570 -1.17995959 0.8124139 1.1764460 0.6900158
100505538 2.06064218 1.6437728 1.30032517 1.3965265 0.6582180 0.1947506
100505549 1.26024232 1.4209280 0.96899304 0.9820557 0.8523870 1.5943699
100505573 6.01274642 5.7518615 5.62825607 5.6043706 5.4846320 5.9507222
100505576 1.55004743 2.1591600 2.39022162 1.3965265 1.1764460 -0.1358415
100505616 -0.69198904 -0.1703835 -1.17995959 -0.5983817 0.4337911 -0.5654357
100505624 1.71525187 1.5366488 1.68746336 1.8985267 1.0234963 1.7022202
100505635 1.93223038 1.5366488 1.44123320 1.3965265 0.8523870 0.8857217
100505641 1.99786452 2.1591600 1.68746336 2.6179470 2.0282234 1.8963836
100505648 2.52868219 2.9673285 2.95777141 1.9809221 1.5569218 1.9844712
100505678 2.12080165 2.4814678 1.79642493 1.8111389 1.4408993 1.5943699
100505696 5.15434378 4.7091700 4.69836012 4.2530410 4.6696088 4.3644804
100505715 1.02863120 -0.1703835 -0.52689086 -0.1850394 0.4337911 -0.5654357
100505738 -1.17995959 -1.1799596 -1.17995959 -1.1799596 -1.1799596 -1.1799596
100505741 1.86346736 1.6437728 2.08121651 1.8985267 1.3147236 1.8025659
100505758 3.58348333 3.2305436 3.13421582 2.9397293 3.1828198 3.4268568
100505761 3.10645205 3.0860586 2.95777141 2.1328118 2.8144724 2.9462396
100505771 1.45976297 2.0069459 1.14415007 0.3982258 0.4337911 1.8963836
100505783 2.91586567 1.6437728 1.99238917 2.2702226 2.3828859 1.7022202
100505806 5.46400872 5.3467157 5.43112578 5.3645602 5.2548234 5.7766108
100505812 -0.03760376 0.4177570 0.53814464 0.8124139 0.8523870 1.0580228
100505832 0.20402525 0.4177570 0.96899304 -0.1850394 0.4337911 0.4635322
100505854 3.90761318 3.5108110 3.76351609 2.6685480 3.3529803 3.3625593
100505876 2.28755016 2.0069459 2.31895130 2.0588650 2.7670755 2.4848826
100505894 2.88150161 2.8379438 2.45813625 2.6685480 2.8144724 2.1459874
100505933 0.59185151 -0.1703835 -1.17995959 -0.5983817 -1.1799596 -1.1799596
100505994 1.79126215 2.1591600 0.96899304 1.3965265 0.1679036 1.3509787
100506020 1.86346736 1.1572599 1.44123320 1.2711502 0.1679036 0.6900158
100506033 4.86880495 5.0676953 4.89495469 4.1499649 4.8396178 4.8003666
100506054 1.79126215 1.7434894 1.99238917 2.3956761 0.6582180 2.2912280
100506068 1.93223038 1.5366488 0.76959307 0.9820557 0.8523870 1.7022202
100506070 2.43700702 1.5366488 2.31895130 1.7181145 2.1806983 0.4635322
100506083 0.41093130 0.6410561 -0.07896917 -0.5983817 1.1764460 -0.1358415
100506100 0.89720305 -0.5886059 -0.07896917 -0.1850394 0.4337911 0.4635322
100506119 1.71525187 1.2951091 2.31895130 1.3965265 -0.1583148 0.8857217
100506127 2.12080165 1.1572599 1.44123320 1.5118729 1.4408993 0.8857217
100506142 0.59185151 0.4177570 -0.52689086 0.1358705 0.1679036 -1.1799596
100506144 1.36344904 2.0850595 0.96899304 2.3343126 1.9454836 0.8857217
100506161 0.41093130 0.8343809 -0.52689086 -0.1850394 0.4337911 0.1947506
100506211 2.69621362 2.6958021 3.43315294 3.1323014 2.7670755 2.8557108
100506235 1.55004743 -0.1703835 1.30032517 0.3982258 1.0234963 1.0580228
100506258 -0.32800772 -1.1799596 0.53814464 -0.1850394 1.3147236 0.6900158
100506282 3.10645205 2.6451293 2.31895130 2.2031526 2.7670755 2.0674884
100506286 1.86346736 1.1572599 -1.17995959 0.8124139 0.8523870 0.4635322
100506302 2.23408050 0.4177570 1.44123320 1.1338321 0.4337911 2.0674884
100506321 0.75259084 1.0048343 0.53814464 1.1338321 0.6582180 0.6900158
100506325 1.71525187 1.0048343 0.96899304 0.3982258 0.4337911 1.5943699
100506343 1.36344904 1.4209280 0.53814464 0.1358705 1.3147236 0.4635322
100506365 5.52093060 5.4388468 5.06794407 5.0388176 5.2200457 5.5996390
100506368 0.59185151 -1.1799596 -0.07896917 0.3982258 -0.1583148 0.4635322
100506380 2.81021590 2.3610415 2.91006946 2.6179470 2.8603616 3.3293030
100506392 2.98223159 3.3301395 3.21495456 3.0957886 3.1462396 2.7591186
100506394 2.12080165 1.4209280 1.56959504 1.6186760 1.3147236 1.0580228
100506411 1.45976297 0.8343809 0.53814464 1.3965265 1.6643043 1.3509787
100506433 3.68659945 2.4814678 2.58506682 2.2702226 2.5034754 2.4231749
100506462 0.75259084 1.5366488 0.76959307 0.9820557 1.3147236 1.2119240
100506469 4.32058015 4.2816370 4.48703343 4.1320462 4.2018144 4.4129067
100506495 0.41093130 -0.1703835 0.53814464 1.2711502 -1.1799596 -0.1358415
100506504 0.75259084 1.5366488 0.53814464 1.6186760 2.6147582 2.0674884
100506540 1.02863120 1.5366488 0.26233556 0.8124139 0.6582180 1.3509787
100506581 1.02863120 1.8367571 0.96899304 0.8124139 1.3147236 0.6900158
100506606 0.20402525 0.1534522 0.26233556 1.2711502 -1.1799596 1.7022202
100506658 2.98223159 3.2645120 2.95777141 3.4541274 2.5601895 2.4848826
100506668 2.73522394 3.0080006 2.58506682 2.8105009 1.1764460 2.5440589
100506686 1.45976297 2.1591600 0.96899304 1.6186760 2.2512898 0.4635322
100506691 0.89720305 -0.5886059 0.26233556 -0.1850394 0.6582180 -0.5654357
100506696 1.71525187 2.2296398 1.99238917 -0.1850394 2.3828859 1.8963836
100506697 -0.32800772 1.4209280 -0.07896917 1.5118729 0.6582180 1.2119240
100506710 6.81188244 6.5737501 6.57668725 6.5747813 6.5102573 6.4611074
100506713 -0.32800772 -0.5886059 -1.17995959 -0.1850394 -0.5805312 0.1947506
100506725 3.32678282 2.5926116 3.53100757 2.8105009 3.1087077 3.4884105
100506731 1.93223038 1.1572599 0.26233556 2.2031526 2.4444402 1.3509787
100506757 -0.32800772 0.6410561 -1.17995959 -0.5983817 -1.1799596 -1.1799596
100506779 1.02863120 0.1534522 0.53814464 0.6201329 1.1764460 -0.5654357
100506804 0.20402525 0.6410561 0.26233556 0.8124139 0.1679036 0.4635322
100506826 2.12080165 1.4209280 1.89773177 1.7181145 1.4408993 2.0674884
100506844 2.38888811 2.9254764 2.31895130 2.3956761 1.6643043 1.7022202
100506866 6.32872083 6.5737501 6.36744077 5.8597884 6.3465893 6.4378927
100506881 0.41093130 1.0048343 -0.07896917 0.1358705 1.1764460 0.8857217
100506885 -0.69198904 0.4177570 -1.17995959 -0.1850394 -1.1799596 0.4635322
100506911 0.59185151 0.4177570 -0.52689086 0.8124139 0.1679036 -0.1358415
100506922 0.59185151 1.1572599 -1.17995959 0.6201329 0.8523870 -0.5654357
100506930 3.94136803 3.5933145 4.07603645 3.7643885 3.7195305 4.0338380
100506994 0.75259084 -0.5886059 0.53814464 0.3982258 1.1764460 0.8857217
100507003 1.71525187 2.4814678 2.58506682 1.6186760 2.3828859 1.9844712
100507032 1.02863120 1.1572599 2.08121651 2.4545358 2.0282234 2.6009032
100507034 3.35210073 3.3618667 3.39900204 3.3952507 2.6673378 2.8557108
100507050 0.59185151 -1.1799596 -1.17995959 -1.1799596 -1.1799596 -1.1799596
100507053 1.93223038 0.4177570 1.44123320 1.3965265 1.3147236 1.3509787
100507057 1.14907965 0.1534522 0.53814464 0.8124139 1.5569218 0.1947506
100507062 1.14907965 1.0048343 0.53814464 0.1358705 -0.1583148 -0.1358415
100507071 0.59185151 1.5366488 -0.52689086 0.6201329 0.4337911 1.3509787
100507156 3.13590505 2.7921019 3.09208628 3.4826886 2.9479804 2.6009032
100507171 2.52868219 1.5366488 2.95777141 2.6179470 2.7670755 2.0674884
100507173 -0.69198904 -0.1703835 0.53814464 0.1358705 0.6582180 0.4635322
100507178 0.59185151 1.8367571 0.96899304 0.8124139 0.6582180 1.8025659
100507244 0.59185151 1.1572599 0.76959307 1.3965265 0.8523870 0.8857217
100507246 2.73522394 2.5381098 2.64457594 2.3956761 2.2512898 2.5440589
100507250 0.20402525 -0.1703835 0.53814464 -0.5983817 0.8523870 -0.5654357
100507254 -0.03760376 0.4177570 0.26233556 -0.1850394 -1.1799596 0.6900158
100507266 1.36344904 1.0048343 0.76959307 -0.5983817 1.3147236 1.2119240
100507290 4.35855312 4.5111830 3.84187642 4.5379759 4.1657186 3.7867479
100507291 1.55004743 0.4177570 1.14415007 2.0588650 1.0234963 1.4778009
100507303 2.77320713 3.2645120 2.75670071 2.6179470 3.3529803 2.2204347
100507308 0.75259084 0.1534522 0.53814464 -0.1850394 -0.1583148 0.8857217
100507316 0.75259084 2.1591600 0.96899304 0.3982258 1.6643043 0.4635322
100507331 2.77320713 1.5366488 1.68746336 0.9820557 1.6643043 1.8963836
100507347 1.63501307 1.7434894 0.53814464 0.8124139 1.6643043 1.2119240
100507373 2.61487834 1.9243596 1.14415007 1.3965265 1.5569218 1.9844712
100507392 2.17855261 1.1572599 1.44123320 1.1338321 1.0234963 0.1947506
100507398 0.75259084 -0.1703835 1.30032517 0.6201329 0.8523870 -1.1799596
100507401 0.41093130 0.8343809 1.14415007 0.3982258 1.1764460 1.2119240
100507420 1.79126215 0.1534522 0.53814464 1.1338321 1.5569218 1.2119240
100507433 1.45976297 0.4177570 0.53814464 -0.1850394 0.4337911 1.5943699
100507436 -0.32800772 -0.5886059 -1.17995959 -0.1850394 -1.1799596 -0.1358415
100507437 1.86346736 1.6437728 1.14415007 2.3956761 1.8577083 2.0674884
100507459 1.99786452 1.8367571 2.16489047 0.9820557 2.3185878 2.2912280
100507463 0.89720305 1.4209280 1.14415007 1.5118729 0.8523870 1.0580228
100507487 2.94943021 1.5366488 1.56959504 0.8124139 2.1806983 1.4778009
100507495 2.12080165 2.0850595 2.58506682 2.2702226 1.8577083 2.9894593
100507516 -0.32800772 -1.1799596 -1.17995959 -0.1850394 -0.1583148 -0.5654357
100507551 1.63501307 1.5366488 1.14415007 0.9820557 0.4337911 0.6900158
100507557 1.45976297 -0.1703835 0.96899304 0.8124139 1.0234963 1.2119240
100507564 -0.03760376 -1.1799596 -1.17995959 0.3982258 -1.1799596 0.1947506
100507567 1.63501307 0.6410561 1.68746336 1.5118729 1.3147236 1.7022202
100507588 -1.17995959 -0.1703835 -1.17995959 0.3982258 -0.5805312 -0.1358415
100507599 2.12080165 2.0069459 0.96899304 0.3982258 1.4408993 -0.1358415
100507602 1.99786452 2.3610415 2.08121651 1.9809221 1.4408993 2.6009032
100508120 1.63501307 2.6451293 2.64457594 1.6186760 1.4408993 2.1459874
10051 5.62844980 6.8807167 6.83478217 6.4135416 6.9972857 6.8724141
10052 1.55004743 2.0850595 0.26233556 1.3965265 1.0234963 1.3509787
100526737 1.86346736 2.2968362 2.24397637 2.3343126 2.0282234 1.0580228
100526760 0.59185151 0.8343809 0.76959307 0.6201329 0.6582180 0.8857217
100526820 -1.17995959 1.7434894 1.14415007 1.8111389 0.1679036 -0.1358415
100526835 3.35210073 1.9243596 2.39022162 1.7181145 2.7670755 1.7022202
100527978 1.45976297 0.8343809 2.24397637 0.6201329 0.1679036 0.4635322
100529145 0.75259084 2.1591600 1.99238917 1.5118729 1.4408993 0.6900158
100529215 -0.03760376 0.1534522 -1.17995959 -0.1850394 -0.1583148 -0.5654357
100532746 4.20026880 4.2816370 3.79011192 3.8976259 4.0713188 3.9043287
100533106 -0.03760376 0.4177570 0.26233556 -0.1850394 0.6582180 0.4635322
100533182 1.63501307 -0.1703835 0.53814464 -0.1850394 0.4337911 0.8857217
100533619 0.20402525 0.1534522 0.53814464 -0.5983817 -0.1583148 -0.1358415
100533629 0.41093130 0.4177570 1.14415007 0.1358705 1.1764460 0.4635322
100533695 0.75259084 -1.1799596 0.26233556 0.1358705 1.0234963 -0.1358415
100533970 0.75259084 0.4177570 1.44123320 1.1338321 1.1764460 0.6900158
100534593 2.65611909 2.4814678 1.89773177 1.7181145 2.1806983 1.8963836
10054 5.58639871 5.7578360 5.82113450 5.7108150 6.1201212 5.8370130
10056 5.67934654 5.6333745 5.70713239 5.7228368 5.8626793 5.8370130
10057 8.14496519 7.7874584 7.75138538 7.3117281 7.7592536 7.7028171
10058 5.38034547 4.7695559 3.91619896 4.5243028 4.5901315 4.5918289
10059 6.93007944 7.1944227 7.29791358 7.1205077 7.3467076 7.2420965
1006 5.98469194 4.7457040 4.91925397 4.6804020 4.5060193 4.6736029
10060 2.77320713 2.6958021 2.80965601 2.7647178 2.4444402 3.1880369
100616256 0.59185151 0.6410561 1.14415007 0.1358705 0.1679036 0.4635322
10062 1.93223038 2.6958021 2.16489047 2.6179470 3.0305812 2.9016852
10063 3.89043489 3.6197995 3.96370196 4.1320462 3.9278349 3.7620364
100652739 -1.17995959 -0.1703835 0.96899304 -0.5983817 -0.5805312 0.1947506
100652758 -0.32800772 0.1534522 0.53814464 0.6201329 0.4337911 0.4635322
100652846 2.28755016 2.0069459 1.68746336 1.3965265 1.4408993 1.9844712
10066 6.36958557 6.2902323 6.28101149 5.9997573 5.9971350 6.0561202
10067 6.45093074 6.1921603 6.14853716 6.2815955 6.1435086 6.1964470
10068 3.42549301 3.6197995 3.62264446 3.4249894 3.6688522 3.2603983
10069 4.20026880 4.4534523 4.71233351 4.7407675 4.2195291 4.6057838
10072 5.23821062 5.3387658 5.27982352 5.6864666 5.3861118 5.3322508
10073 3.87304960 4.0480703 3.70880677 3.7874669 3.5051718 3.8110432
10075 9.21110893 9.1961171 8.88326724 8.9032897 9.0845617 8.9635258
10076 5.64390824 4.8612056 5.17272547 5.2193738 5.0323470 5.1912876
10077 2.88150161 2.5381098 2.58506682 0.6201329 2.1064743 2.4848826
100775107 1.71525187 1.6437728 1.14415007 0.9820557 1.1764460 0.6900158
10078 4.84224904 4.2981301 4.29612139 4.6302225 4.6951572 4.3312689
10079 5.87106324 5.6844547 5.55260467 5.8974007 5.6828143 5.5427439
1008 6.06344303 4.0865579 4.69836012 4.0955268 4.4012581 4.4901713
10081 4.87754940 4.9577977 4.85772073 4.3019428 4.7930532 4.6332952
10082 7.53418945 7.2820185 7.36357948 7.3176854 7.2616283 7.3844889
100820829 4.46681987 4.3778805 4.35074325 3.8101819 4.2018144 4.8714012
10084 5.13259251 4.8161084 4.94315074 4.8868296 5.2288190 5.1537844
100847074 1.45976297 1.5366488 1.68746336 1.6186760 1.7642448 1.9844712
10085 9.92523967 9.8253177 9.94679460 10.0530409 9.8984764 9.9171048
100852407 1.02863120 0.1534522 0.76959307 0.6201329 -0.1583148 0.1947506
100861412 0.20402525 -0.1703835 -0.52689086 1.1338321 -1.1799596 0.4635322
100861548 4.58898141 4.1785112 4.18025242 3.9800714 3.7923587 4.0944788
100862671 0.75259084 0.4177570 1.89773177 0.9820557 0.4337911 0.1947506
10087 6.43324626 6.0139240 6.10682984 6.2065281 6.1801572 6.4649404
100873257 0.59185151 0.4177570 0.53814464 0.6201329 0.1679036 -1.1799596
100873333 3.01430374 3.0475575 2.39022162 2.8105009 3.5337742 3.0721980
100873790 3.64623305 3.9471042 3.84187642 3.4826886 4.2195291 4.1335347
100873949 0.75259084 0.6410561 0.76959307 1.2711502 0.6582180 1.5943699
100873952 -0.32800772 0.1534522 -1.17995959 0.1358705 -0.1583148 -0.1358415
100873965 2.12080165 2.0069459 1.79642493 1.8985267 1.3147236 1.8025659
100874006 0.59185151 0.4177570 0.76959307 -0.5983817 -0.1583148 1.0580228
100874008 1.63501307 1.0048343 1.30032517 1.3965265 2.1806983 1.7022202
100874014 3.40144139 2.8823739 2.70172733 1.9809221 2.6673378 3.1880369
100874058 0.75259084 0.6410561 1.14415007 -0.5983817 1.1764460 1.7022202
100874080 0.59185151 1.4209280 0.53814464 0.8124139 1.0234963 1.2119240
100874097 1.45976297 1.1572599 1.30032517 1.3965265 1.3147236 1.8963836
100874201 0.89720305 0.4177570 0.53814464 0.8124139 0.1679036 0.8857217
100874212 0.89720305 0.8343809 1.30032517 0.3982258 1.0234963 1.2119240
100874217 0.41093130 0.4177570 1.30032517 -0.1850394 1.0234963 0.6900158
100874235 1.02863120 0.6410561 1.14415007 0.1358705 0.4337911 0.4635322
100874261 0.20402525 1.5366488 -0.07896917 -1.1799596 0.6582180 0.4635322
100874291 -1.17995959 -0.1703835 0.96899304 -1.1799596 -0.1583148 -1.1799596
100874362 2.81021590 2.6451293 1.79642493 2.4545358 2.0282234 1.3509787
100874523 2.12080165 1.8367571 1.89773177 1.9809221 1.6643043 1.8963836
100885775 3.97435113 4.1785112 5.44792623 4.8868296 4.9067626 4.9825326
100885776 -0.03760376 1.0048343 0.96899304 0.1358705 1.0234963 0.8857217
100885848 4.14339787 4.6589728 4.42049715 4.7407675 4.6951572 4.6736029
1009 9.66259977 10.2185008 10.18525762 10.2392732 10.2520878 10.2439990
10090 3.81960021 3.6964564 3.32817496 3.8545663 3.6688522 3.7113062
10092 7.31190870 7.4408515 7.52666389 7.8211098 7.7980886 7.6414789
10093 6.90890918 7.2292419 7.21691518 7.3037465 7.2204330 6.9727417
10094 5.52093060 5.5804193 5.66464436 5.9494865 5.7268328 5.3322508
10095 5.86667794 6.1564232 5.89037297 6.5513775 5.9659900 5.6809838
10097 8.31634965 8.2872187 8.48581325 8.6276572 8.5158025 8.3425158
10098 7.27267083 7.0846197 7.15942437 7.4501333 7.1689380 6.9861402
10099 8.36068324 8.4856646 8.52592560 8.3577349 8.4127383 8.4479507
100996246 0.20402525 -0.1703835 0.53814464 -1.1799596 -1.1799596 -0.1358415
100996251 0.59185151 -0.1703835 -0.07896917 0.8124139 0.6582180 0.4635322
100996307 0.89720305 0.4177570 0.53814464 -0.1850394 0.1679036 -1.1799596
100996384 1.86346736 1.4209280 -1.17995959 -0.5983817 1.1764460 1.2119240
100996419 0.89720305 1.0048343 1.30032517 1.6186760 1.0234963 1.0580228
100996485 2.33910873 2.2296398 1.99238917 1.6186760 2.5601895 2.2912280
100996539 1.26024232 0.4177570 -0.07896917 0.8124139 -0.1583148 1.2119240
100996579 -1.17995959 -1.1799596 -1.17995959 -1.1799596 -1.1799596 -1.1799596
100996696 2.43700702 2.8379438 2.39022162 2.2031526 2.5034754 2.7082839
100996842 0.20402525 0.6410561 0.76959307 -0.1850394 0.4337911 1.8025659
100996851 0.75259084 -0.5886059 -1.17995959 0.8124139 -0.1583148 0.1947506
100996939 1.14907965 0.6410561 -1.17995959 0.9820557 1.0234963 0.8857217
101 3.01430374 3.0080006 1.14415007 2.0588650 2.1806983 2.0674884
1010 -1.17995959 -1.1799596 -1.17995959 -1.1799596 -1.1799596 -1.1799596
10100 5.52093060 5.7337879 6.03080856 5.6428423 5.9501616 5.8310853
10101 5.00272814 5.0187770 4.31455941 4.6429319 4.7449354 4.5635073
10102 4.29469796 4.4534523 4.59656273 4.8100223 4.6036855 4.4597602
10103 1.36344904 0.4177570 0.53814464 0.1358705 -0.1583148 1.2119240
10105 5.64902446 6.1104698 6.23335362 6.4501589 6.3057102 6.2901664
10106 7.13905429 6.8418706 6.98046515 6.7524188 7.0302810 6.8924764
101060200 3.01430374 2.5926116 3.43315294 2.1328118 2.7670755 2.7082839
101060691 2.38888811 2.4814678 2.16489047 1.6186760 2.5601895 0.8857217
10109 8.54556136 8.3782628 8.47253287 8.6701848 8.5211692 8.5353063
10112 0.89720305 5.4827961 5.31687791 4.4965616 5.1570914 5.5354716
10113 5.99276333 5.9317477 6.07473852 6.0999468 6.1573611 5.7517236
10114 7.43401021 7.5855997 7.39424148 7.6316593 7.7547046 7.4361695
101154753 0.59185151 -0.1703835 0.26233556 0.3982258 0.4337911 0.1947506
10116 7.63303508 7.6416034 7.82878702 7.7062166 7.7668035 7.5560134
10117 0.89720305 1.5366488 1.56959504 -0.1850394 1.8577083 2.2204347
1012 7.33113457 7.3782373 7.35023647 7.7182766 7.5264638 7.5667546
10121 6.15259893 6.1290272 6.07473852 6.1408431 6.0867285 5.9778023
10123 7.90518863 7.5238320 7.78152121 7.7031857 7.7224537 7.7756094
PFOA_24_H2 EtOH_24_H2 TUN_2_H3 THA_2_H3 DMSO_2_H3 TUN_24_H3
100 3.6933295 3.56072127 3.0764817 3.7532729 3.4857130 4.1129087
1000 11.5034832 11.51059047 11.3446907 10.9522667 11.3001356 11.5915361
10000 6.4507755 6.65029357 6.1733865 6.1498437 5.9086797 6.3206576
10001 3.9760547 4.24496037 4.6848338 4.6456807 4.1641232 4.3865076
10003 3.8307265 3.75793506 5.4762975 4.9044692 5.3423555 4.8751003
100037417 2.7417315 1.76744285 2.3157410 2.5328344 2.4848105 0.7187284
100049716 2.3731588 2.61369848 1.9628481 1.1056724 2.2329278 1.5110114
10005 3.9155545 3.83484585 3.8128146 4.2350079 4.4570084 3.7749873
10006 6.4543241 6.44072239 6.4153625 6.5885124 6.3622721 6.2987539
10007 4.9253167 5.07795405 5.3289880 4.8626684 4.9921883 4.1129087
10009 5.2855009 5.21853457 5.0566847 4.7525394 5.3182388 4.7515407
100093630 3.6933295 3.75793506 3.8778678 4.7639384 3.9918707 4.6163990
1001 4.3251817 4.14782144 6.3442504 5.9195107 6.5044255 5.9788465
10010 5.0618447 5.22807072 5.3212125 5.7635745 5.4047626 4.3009463
100101267 2.1809318 1.41344017 1.8805872 2.0273124 1.8399384 2.9387686
100101467 4.7165804 4.08623514 3.7677569 4.6456807 4.0319656 4.6163990
10011 5.3705953 5.49618528 4.9088825 5.4116150 5.0519074 5.1926823
100113386 1.2510831 0.51508248 -0.1951503 0.1148324 -0.1685557 1.5110114
100113397 1.2510831 1.65881554 1.6012553 1.4820619 0.8371126 0.7187284
100113407 4.1080739 4.45444568 2.6984444 4.2990926 3.5423312 3.8966368
100125288 2.1107097 1.76744285 -0.1951503 -0.6100097 -0.5873845 0.7187284
100127983 3.2462968 3.18330288 2.9611362 3.1690434 3.3336096 3.3328940
100128006 2.6945013 2.13494762 2.1847516 2.9064486 2.1624310 2.3947423
100128016 1.5976405 1.41344017 1.6012553 0.1148324 1.2980862 2.6922483
100128025 0.1212047 0.51508248 -1.1799596 0.3748199 -0.1685557 -1.1799596
100128054 0.7940386 0.24141048 1.1175860 1.4820619 0.1556424 2.9387686
100128071 1.4911106 0.74502545 -0.1951503 0.9546899 0.1556424 2.3947423
100128191 2.2478940 1.86846070 1.3795955 1.2423403 2.3643593 1.5110114
100128252 -1.1799596 -1.17995959 0.3847129 0.5950320 -1.1799596 -1.1799596
100128379 -0.6064956 -1.17995959 -1.1799596 -0.2025374 -0.1685557 -1.1799596
100128398 4.4863826 4.31822105 3.8128146 3.5311248 3.9081749 4.9889075
100128494 3.4014119 3.25967920 3.0764817 2.8217196 3.1270045 3.7749873
100128569 1.5976405 1.27309082 1.3795955 0.7860397 1.0076660 1.5110114
100128640 -0.1972419 -0.09662254 -1.1799596 -0.2025374 -0.5873845 -1.1799596
100128682 2.4884108 2.05147087 1.2545305 1.9495794 1.8399384 -1.1799596
100128731 6.4893386 6.55121062 6.1905594 6.2825744 6.4792700 6.5967968
100128766 0.1212047 -0.09662254 -1.1799596 -0.2025374 0.4201881 -1.1799596
100128782 1.5976405 1.96286577 1.1175860 0.9546899 1.0076660 1.5110114
100128822 2.5951330 1.54133830 1.1175860 3.3614136 2.9288950 1.5110114
100128833 2.2478940 1.86846070 2.4923096 2.8217196 2.5959756 2.9387686
100128881 2.8747979 1.54133830 1.7004979 2.1010705 1.9275673 1.5110114
100128893 5.2450977 5.16988473 4.4048370 5.2344827 4.7849066 3.8966368
100129001 0.6026424 1.11760185 0.3847129 -0.6100097 0.1556424 0.7187284
100129013 2.9966208 2.21385732 2.3770299 2.3021030 2.7955000 1.5110114
100129029 0.3819135 0.24141048 -0.6051064 0.1148324 0.1556424 0.7187284
100129060 3.3716945 3.36715907 2.6496056 2.6356922 2.4848105 2.6922483
100129075 1.4911106 0.94330762 1.4946783 2.1712403 1.1601717 3.6421278
100129195 2.8747979 1.76744285 2.0406705 1.6875686 2.9707531 1.5110114
100129203 1.7896591 1.96286577 1.1175860 0.5950320 -0.1685557 1.5110114
100129250 1.3760829 1.54133830 1.7004979 1.5884713 1.5397265 1.5110114
100129259 1.1142165 -0.53890765 0.6056450 0.5950320 1.0076660 2.3947423
100129361 5.6559317 5.66717329 5.2816934 5.8027860 5.6173399 5.6731260
100129398 0.6026424 0.74502545 -0.6051064 0.3748199 0.1556424 1.5110114
100129434 2.4319354 2.13494762 2.1145090 2.2381549 1.7466408 1.5110114
100129461 0.9629916 -0.09662254 1.1175860 0.3748199 0.4201881 -1.1799596
100129484 1.4911106 1.54133830 1.8805872 2.5851798 0.4201881 2.3947423
100129550 3.5938776 3.73135918 3.2171971 2.7317022 3.7962277 4.7515407
100129583 1.2510831 0.74502545 1.2545305 1.1056724 0.8371126 1.5110114
100129662 1.3760829 1.27309082 -1.1799596 0.3748199 0.4201881 1.5110114
100129707 0.3819135 0.51508248 0.3847129 1.3671744 0.1556424 -1.1799596
100129716 0.6026424 0.74502545 1.1175860 1.1056724 1.8399384 -1.1799596
100129726 -0.1972419 -0.09662254 0.7971939 -1.1799596 -0.1685557 -1.1799596
100129774 4.0899377 3.80966176 3.7446891 3.7759700 4.1641232 3.8966368
100129781 0.9629916 0.74502545 0.3847129 -1.1799596 0.6436591 -1.1799596
100129792 -0.1972419 1.11760185 0.6056450 0.1148324 0.6436591 -1.1799596
100129794 0.7940386 1.65881554 2.1847516 2.1010705 1.1601717 -1.1799596
100129842 0.3819135 1.76744285 -1.1799596 -0.6100097 -1.1799596 -1.1799596
100129917 1.8768639 1.76744285 1.4946783 2.1712403 0.4201881 3.8966368
100129924 0.6026424 -0.09662254 -1.1799596 -0.6100097 -1.1799596 -1.1799596
100129940 1.2510831 0.74502545 1.4946783 1.2423403 0.1556424 -1.1799596
100129995 0.3819135 -0.09662254 0.7971939 0.3748199 0.1556424 -1.1799596
10013 6.1474239 5.71543136 5.3596778 5.6757794 5.3343613 4.7515407
100130111 0.6026424 1.76744285 1.6012553 1.3671744 0.8371126 2.6922483
100130197 -1.1799596 -0.53890765 -0.1951503 0.1148324 0.1556424 -1.1799596
100130335 4.0899377 3.80966176 4.1478020 3.7532729 3.5698283 4.2099889
100130348 2.4319354 2.28867387 2.2517325 3.0987640 1.7466408 2.0195114
100130357 0.3819135 0.51508248 -1.1799596 0.9546899 0.4201881 1.5110114
100130466 3.5145142 3.10265607 2.8787748 3.0622973 2.8413492 3.8966368
100130476 1.1142165 1.96286577 0.1237204 0.1148324 -1.1799596 -1.1799596
100130522 -0.1972419 0.74502545 -0.6051064 -0.2025374 1.6468900 -1.1799596
100130550 1.1142165 1.54133830 0.9662658 0.3748199 -0.1685557 2.0195114
100130564 2.2478940 2.82952887 2.6984444 2.0273124 3.1635593 3.4957804
100130581 -0.1972419 -1.17995959 -1.1799596 -0.2025374 -1.1799596 1.5110114
100130691 2.3731588 2.13494762 1.6012553 1.2423403 1.0076660 2.3947423
100130705 2.0368939 1.96286577 2.1145090 2.5851798 3.0509931 4.2099889
100130748 1.1142165 1.76744285 0.6056450 0.5950320 1.6468900 1.5110114
100130750 1.7896591 2.13494762 1.1175860 1.6875686 1.9275673 0.7187284
100130855 1.4911106 2.28867387 1.9628481 2.0273124 1.5397265 2.0195114
100130958 1.4911106 0.51508248 -0.1951503 1.4820619 0.6436591 -1.1799596
100131017 2.3731588 2.67075781 2.0406705 2.4785180 1.6468900 1.5110114
100131031 0.7940386 0.94330762 0.7971939 0.3748199 0.6436591 -1.1799596
100131033 0.7940386 -0.09662254 0.9662658 1.3671744 1.7466408 0.7187284
100131067 2.2478940 1.96286577 0.9662658 2.5328344 2.2329278 2.9387686
100131089 2.6456725 2.87879355 1.9628481 1.9495794 1.0076660 2.3947423
100131094 0.9629916 0.74502545 -0.1951503 -0.2025374 0.4201881 -1.1799596
100131138 3.0350450 3.25967920 4.4765971 4.8941320 5.0998518 4.8146429
100131187 1.7896591 1.54133830 3.0006183 2.8217196 2.7955000 2.9387686
100131193 3.7405974 3.70428455 2.0406705 2.6844957 2.1624310 1.5110114
100131211 2.3731588 3.36715907 3.8128146 3.1690434 2.9288950 2.3947423
100131213 3.0724722 2.67075781 1.3795955 0.7860397 1.6468900 -1.1799596
100131471 2.1809318 1.27309082 1.9628481 2.2381549 2.4848105 2.6922483
100131656 3.1445341 3.36715907 3.4054666 3.5041900 3.8193229 3.3328940
100131685 1.6968421 1.27309082 1.6012553 1.1056724 1.4239596 -1.1799596
100131691 2.1809318 2.21385732 1.4946783 1.2423403 1.2980862 3.1492484
100131740 0.6026424 -0.53890765 0.9662658 -0.6100097 0.4201881 1.5110114
100131801 2.9165590 2.67075781 2.4358209 2.7774129 2.2329278 2.0195114
100131827 -1.1799596 1.11760185 -0.6051064 0.1148324 -1.1799596 -1.1799596
100131828 0.3819135 1.65881554 0.6056450 1.1056724 1.1601717 -1.1799596
100131940 0.1212047 2.13494762 1.7933508 2.5851798 1.0076660 1.5110114
100132074 -0.6064956 1.41344017 1.1175860 0.1148324 0.6436591 -1.1799596
100132086 0.3819135 0.94330762 -0.6051064 0.1148324 -0.1685557 1.5110114
100132116 7.2752121 7.35238637 7.1024774 6.7577021 7.1211355 4.8146429
100132126 -0.1972419 -0.53890765 -0.1951503 0.1148324 1.2980862 -1.1799596
100132215 0.6026424 1.41344017 0.6056450 0.7860397 0.4201881 0.7187284
100132537 1.8768639 2.42758573 2.1145090 1.3671744 1.9275673 1.5110114
100132609 0.9629916 1.41344017 -0.6051064 1.3671744 1.5397265 2.6922483
100132659 -0.1972419 -1.17995959 0.6056450 -0.6100097 0.4201881 0.7187284
100132891 0.3819135 -0.09662254 -0.1951503 -1.1799596 -0.1685557 1.5110114
100132972 0.7940386 0.51508248 -1.1799596 -0.2025374 1.2980862 1.5110114
100133234 0.6026424 0.24141048 -0.1951503 0.9546899 -1.1799596 -1.1799596
100133286 -0.6064956 0.74502545 -0.6051064 -0.2025374 -0.1685557 -1.1799596
100133315 0.9629916 0.51508248 0.7971939 0.7860397 0.4201881 -1.1799596
100134934 1.3760829 1.86846070 1.3795955 2.4220764 1.1601717 -1.1799596
10014 6.1648559 6.17587207 5.8176399 6.3255191 6.1780095 5.9788465
100144603 0.1212047 -0.09662254 -0.6051064 -0.6100097 0.8371126 -1.1799596
100144748 2.1107097 1.41344017 1.7933508 0.9546899 1.0076660 3.8966368
10015 7.5699808 7.69432373 7.3345444 7.4750766 7.3305359 7.0803428
10016 5.0431140 5.31117303 5.1649086 5.3524387 5.0808648 4.8146429
100170229 0.9629916 0.74502545 0.1237204 0.1148324 0.1556424 0.7187284
100170841 4.1954850 3.46718395 2.1145090 3.7983156 3.1635593 2.9387686
10018 3.5414567 3.10265607 3.0006183 4.1332051 3.4857130 3.4957804
100188847 1.1142165 1.86846070 1.1175860 0.3748199 1.5397265 0.7187284
10019 4.2123492 4.31822105 4.1301093 4.9350436 4.3016779 5.1926823
100190938 2.2478940 2.55428917 0.6056450 0.7860397 1.5397265 -1.1799596
1002 1.4911106 -0.09662254 -0.1951503 1.4820619 1.4239596 -1.1799596
10020 3.3413520 3.64856158 3.4911238 3.7759700 3.1992107 3.6421278
10021 7.9800831 7.97904168 7.8146961 7.7576107 7.9222018 6.9458744
10023 2.1107097 1.11760185 1.6012553 1.1056724 2.2329278 1.5110114
10024 3.3413520 3.46718395 2.5990555 3.5835311 2.8413492 1.5110114
10026 6.0239040 6.19544844 6.1384149 5.3823302 5.9247414 5.7396729
100268168 1.4911106 1.65881554 1.7933508 2.0273124 1.7466408 0.7187284
100270804 1.1142165 0.94330762 0.7971939 1.1056724 1.9275673 1.5110114
100270827 1.1142165 0.24141048 1.1175860 -1.1799596 1.1601717 -1.1799596
100270840 4.1954850 4.12758339 4.1478020 4.0045770 4.5147420 4.4672774
100270854 4.5408053 4.16777952 4.1825495 3.9852283 4.3500578 4.4672774
100270865 5.2286142 4.88649490 4.8233915 4.6821868 4.8758375 5.0426124
100271271 3.0724722 3.40127707 2.7914253 2.7774129 3.1992107 3.1492484
100271332 -1.1799596 -0.09662254 -1.1799596 -1.1799596 -0.5873845 -1.1799596
100271415 1.2510831 1.65881554 2.0406705 2.3633365 1.9275673 0.7187284
100271479 0.7940386 0.24141048 0.3847129 -1.1799596 -0.5873845 0.7187284
100271884 0.1212047 -1.17995959 -1.1799596 0.3748199 -0.1685557 -1.1799596
100272147 2.1809318 1.96286577 1.1175860 1.2423403 0.8371126 2.0195114
100286844 1.3760829 1.41344017 0.3847129 -1.1799596 0.1556424 1.5110114
100287015 0.7940386 1.27309082 1.8805872 1.3671744 1.8399384 -1.1799596
100287049 1.2510831 1.11760185 0.7971939 1.8674184 -0.1685557 -1.1799596
100287074 0.7940386 0.24141048 -0.1951503 0.5950320 1.1601717 1.5110114
100287616 3.4305296 3.36715907 3.0006183 3.0622973 2.9288950 3.7749873
100287722 0.9629916 2.05147087 0.1237204 1.1056724 1.4239596 -1.1799596
100287808 0.1212047 0.24141048 -0.6051064 1.6875686 0.8371126 -1.1799596
100287837 1.2510831 0.74502545 1.8805872 2.3021030 0.8371126 0.7187284
100287896 1.6968421 1.96286577 1.7933508 1.1056724 1.4239596 1.5110114
100287902 0.9629916 -0.53890765 1.1175860 0.9546899 0.4201881 -1.1799596
100287928 2.3118855 2.05147087 3.0764817 1.8674184 2.5959756 2.6922483
100287932 5.6620827 5.46426373 5.5579648 5.2507786 5.3660756 5.0426124
100288001 1.8768639 2.72564601 2.1145090 2.7317022 2.2329278 1.5110114
100288073 3.0724722 3.06057657 3.5719791 4.1850043 2.6991843 6.6838726
100288123 1.2510831 1.27309082 0.9662658 1.4820619 -0.1685557 -1.1799596
100288198 0.3819135 1.76744285 1.2545305 2.4785180 2.0101770 2.3947423
100288241 -1.1799596 -1.17995959 -1.1799596 -1.1799596 -1.1799596 -1.1799596
100288413 3.4590711 2.87879355 2.6984444 2.0273124 2.1624310 2.9387686
100288513 0.7940386 0.51508248 0.1237204 0.3748199 1.2980862 -1.1799596
100288842 1.3760829 1.54133830 1.1175860 1.5884713 1.8399384 -1.1799596
100289061 1.6968421 2.05147087 1.4946783 1.7802942 1.7466408 -1.1799596
100289095 -0.1972419 0.94330762 0.7971939 0.7860397 0.6436591 -1.1799596
100289133 3.8307265 4.12758339 4.7441914 4.1506790 4.7127380 3.6421278
100289178 2.3118855 2.49232796 2.5466696 1.4820619 2.0101770 2.9387686
100289211 1.6968421 1.65881554 0.3847129 0.3748199 -0.1685557 -1.1799596
100289259 1.6968421 1.76744285 0.1237204 1.7802942 0.6436591 2.3947423
100289274 2.6456725 2.21385732 1.9628481 3.3614136 2.3001397 4.9889075
100289341 1.3760829 1.27309082 1.1175860 2.0273124 0.4201881 3.3328940
100289373 0.3819135 2.28867387 -1.1799596 1.5884713 1.4239596 -1.1799596
100289388 1.8768639 0.74502545 0.6056450 -1.1799596 -0.1685557 1.5110114
100289414 0.7940386 -0.09662254 -1.1799596 -0.2025374 0.4201881 -1.1799596
100289635 5.6373199 5.29311512 4.6480104 5.3897073 4.8536364 5.4528120
100289640 1.9590966 2.13494762 1.8805872 1.7802942 0.8371126 2.3947423
100289678 1.9590966 3.06057657 1.4946783 2.9864764 1.7466408 2.3947423
100293516 3.1445341 3.25967920 3.7904617 4.0794766 3.3653403 0.7187284
100294362 1.5976405 0.94330762 -0.1951503 1.3671744 2.1624310 0.7187284
1003 1.7896591 2.13494762 -0.1951503 1.5884713 0.8371126 1.5110114
100302692 2.3731588 1.11760185 2.0406705 2.1712403 1.0076660 2.9387686
100302736 1.8768639 1.41344017 1.6012553 1.3671744 1.8399384 2.6922483
100303728 2.3731588 2.28867387 2.3157410 2.4785180 2.4258416 1.5110114
100303755 1.4911106 1.54133830 1.6012553 1.8674184 1.0076660 2.0195114
100312828 0.3819135 0.24141048 -1.1799596 0.3748199 -1.1799596 1.5110114
100312850 0.7940386 1.54133830 0.1237204 -0.2025374 0.1556424 2.3947423
10036 4.4153337 4.70718657 4.3900465 4.2512979 4.5565748 4.1129087
100379345 1.9590966 1.54133830 1.7933508 1.3671744 1.0076660 -1.1799596
10038 5.1607296 5.28400068 5.0187275 5.3749152 5.2771263 5.3712048
100381270 0.3819135 1.27309082 0.9662658 1.1056724 0.4201881 1.5110114
10039 3.3716945 3.29640273 2.3157410 2.9064486 2.5959756 2.9387686
1004 2.0368939 1.54133830 3.2171971 3.5575659 3.1635593 2.9387686
10040 4.0150232 4.02190213 3.9401137 4.0236696 3.9506296 5.3286022
100418710 1.5976405 0.74502545 0.7971939 1.7802942 1.5397265 -1.1799596
100418735 1.3760829 2.13494762 1.6012553 1.4820619 1.1601717 1.5110114
100418744 2.0368939 2.61369848 2.4923096 2.9064486 2.0883116 -1.1799596
100418770 -0.6064956 -0.53890765 -1.1799596 0.1148324 -0.5873845 -1.1799596
100418781 2.6945013 2.55428917 3.3453991 3.0987640 3.4857130 0.7187284
100418819 2.1809318 2.28867387 1.9628481 1.7802942 1.9275673 2.0195114
100418829 1.7896591 1.27309082 2.6496056 2.2381549 2.6485027 1.5110114
100418888 0.3819135 0.94330762 0.6056450 1.6875686 1.1601717 1.5110114
100418889 2.4319354 2.77852226 3.1129680 2.7774129 3.0894994 2.9387686
100418910 0.9629916 0.74502545 1.1175860 0.7860397 2.4258416 2.0195114
100418919 2.3731588 2.42758573 3.0006183 2.7317022 2.6991843 0.7187284
100419028 1.1142165 1.76744285 1.3795955 2.3021030 1.6468900 1.5110114
100419185 0.3819135 0.24141048 -1.1799596 -1.1799596 -1.1799596 -1.1799596
100419416 1.1142165 1.27309082 0.7971939 1.5884713 0.8371126 1.5110114
100419515 -0.1972419 0.51508248 -1.1799596 1.7802942 0.4201881 -1.1799596
100419645 -0.1972419 0.24141048 0.1237204 0.1148324 -0.1685557 -1.1799596
100419758 1.1142165 1.41344017 -0.1951503 -0.2025374 1.0076660 2.6922483
100419928 2.3731588 1.11760185 1.7004979 2.0273124 1.8399384 2.3947423
10042 4.6806754 5.13988738 5.0660200 5.3219147 5.1092525 5.3712048
100420028 0.3819135 -0.09662254 1.6012553 0.7860397 -0.1685557 1.5110114
100420050 0.1212047 -1.17995959 -1.1799596 -0.2025374 0.4201881 -1.1799596
100420110 2.9571452 3.10265607 3.3453991 2.8647060 2.8857861 2.3947423
100420187 -0.6064956 -0.53890765 -0.1951503 -0.2025374 0.1556424 -1.1799596
100420259 4.1954850 3.90786318 4.2820362 3.3614136 4.0516027 3.6421278
100420307 0.7940386 -0.09662254 -0.1951503 0.9546899 0.8371126 1.5110114
100420341 5.4149783 5.48031279 5.7784251 5.2426537 5.4863894 7.7059561
100420423 0.1212047 0.94330762 0.7971939 0.9546899 0.8371126 -1.1799596
100420591 0.7940386 -0.53890765 0.3847129 0.9546899 1.0076660 2.3947423
100420707 2.8317919 1.86846070 2.2517325 2.6356922 2.4258416 2.9387686
100420752 1.3760829 1.65881554 0.3847129 0.5950320 1.9275673 2.6922483
100420869 4.2123492 4.22604879 3.9196620 3.7759700 4.0319656 3.6421278
100420981 5.6864275 6.04170914 6.2159415 5.7056420 6.1780095 6.2539227
100421093 3.7636630 3.56072127 4.1478020 4.1155170 4.0319656 3.8966368
100421109 0.9629916 0.51508248 1.1175860 -1.1799596 1.0076660 -1.1799596
100421160 -0.1972419 -1.17995959 0.9662658 0.5950320 0.4201881 1.5110114
100421175 0.7940386 0.24141048 0.9662658 0.7860397 0.8371126 1.5110114
100421246 0.9629916 0.74502545 0.1237204 0.5950320 -0.1685557 2.3947423
100421311 1.6968421 1.65881554 1.6012553 1.1056724 1.5397265 1.5110114
100421372 1.7896591 1.86846070 2.3770299 2.9864764 0.4201881 1.5110114
100421400 1.9590966 2.05147087 2.4358209 2.2381549 1.6468900 -1.1799596
100421415 1.2510831 0.51508248 -1.1799596 -0.2025374 -0.1685557 1.5110114
100421429 -0.1972419 0.24141048 -1.1799596 0.7860397 -1.1799596 -1.1799596
100421465 1.5976405 1.27309082 2.1847516 0.9546899 1.0076660 0.7187284
100421468 2.1107097 2.42758573 1.9628481 2.5328344 2.4258416 1.5110114
100421506 0.3819135 0.24141048 0.1237204 -0.2025374 0.1556424 0.7187284
100421569 -0.6064956 0.74502545 0.9662658 0.3748199 0.8371126 -1.1799596
100421595 0.1212047 -1.17995959 -1.1799596 -0.6100097 -1.1799596 -1.1799596
100421794 -1.1799596 -0.09662254 -1.1799596 -1.1799596 -1.1799596 -1.1799596
100422106 1.8768639 1.86846070 1.2545305 1.5884713 1.2980862 2.0195114
100422338 2.6945013 2.21385732 2.6496056 2.1010705 2.8857861 0.7187284
100422546 0.7940386 1.11760185 1.3795955 -0.2025374 0.6436591 0.7187284
100422561 3.5414567 3.75793506 2.8357611 2.9864764 3.0509931 3.6421278
10043 5.3092107 5.60265650 5.8395788 5.8463318 5.5704665 5.0426124
10044 2.1809318 1.27309082 -1.1799596 0.3748199 -1.1799596 1.5110114
10045 0.6026424 0.24141048 0.7971939 1.1056724 1.0076660 0.7187284
10046 1.2510831 2.05147087 2.4923096 1.8674184 1.1601717 -1.1799596
10048 6.5167508 6.48116074 6.5969901 6.7054526 6.7283597 6.6838726
10049 5.9703834 5.89975768 6.0088730 6.0274943 6.0999992 6.0329203
100499177 3.3716945 3.14354292 2.8357611 3.3911217 3.0894994 4.2099889
100499483 2.5951330 2.05147087 1.2545305 0.9546899 2.2329278 -1.1799596
1005 -1.1799596 -1.17995959 -1.1799596 -1.1799596 -1.1799596 -1.1799596
100500719 0.1212047 1.54133830 0.3847129 -0.2025374 -1.1799596 1.5110114
100505385 2.4319354 3.22199640 3.8989163 3.8203204 3.7962277 1.5110114
100505501 -1.1799596 1.27309082 0.3847129 0.3748199 0.6436591 -1.1799596
100505538 1.1142165 1.41344017 0.3847129 -0.2025374 0.4201881 -1.1799596
100505549 1.3760829 0.94330762 -0.1951503 0.7860397 0.6436591 1.5110114
100505573 5.7455508 5.60996917 6.2613464 6.3331917 6.4086938 5.8340693
100505576 2.1809318 1.54133830 0.3847129 0.9546899 2.0101770 1.5110114
100505616 -1.1799596 -1.17995959 0.1237204 0.1148324 -0.5873845 1.5110114
100505624 0.6026424 1.54133830 1.2545305 0.5950320 1.2980862 0.7187284
100505635 0.7940386 1.54133830 0.1237204 0.5950320 0.6436591 0.7187284
100505641 2.1809318 2.35980107 1.9628481 2.6356922 1.0076660 1.5110114
100505648 1.7896591 1.27309082 2.1145090 1.8674184 2.3643593 1.5110114
100505678 1.4911106 2.61369848 0.9662658 1.5884713 1.0076660 1.5110114
100505696 4.7970390 4.63733407 4.2820362 4.1850043 4.1275828 4.3865076
100505715 0.9629916 0.24141048 -0.1951503 1.5884713 -0.5873845 1.5110114
100505738 -1.1799596 -1.17995959 2.3770299 2.8647060 2.8413492 2.3947423
100505741 1.6968421 1.11760185 1.9628481 1.2423403 1.4239596 1.5110114
100505758 3.2462968 3.36715907 3.5185822 3.2360577 3.3336096 2.9387686
100505761 2.9165590 2.67075781 1.9628481 2.0273124 2.7955000 3.3328940
100505771 0.6026424 2.28867387 1.3795955 2.0273124 2.1624310 1.5110114
100505783 1.9590966 2.35980107 1.1175860 2.5328344 1.9275673 1.5110114
100505806 5.4076753 5.47231057 4.5449564 5.0788917 4.3341108 5.6731260
100505812 1.1142165 1.27309082 2.4923096 1.3671744 2.7955000 -1.1799596
100505832 -1.1799596 1.27309082 0.3847129 2.3633365 1.1601717 2.3947423
100505854 2.9165590 2.92643135 2.9205432 4.6082268 3.1635593 4.5437641
100505876 2.1107097 1.86846070 4.8123400 5.0135428 5.1370923 4.8146429
100505894 2.9966208 2.42758573 2.6496056 2.9864764 2.3643593 2.6922483
100505933 0.3819135 -1.17995959 -1.1799596 -0.2025374 -1.1799596 -1.1799596
100505994 1.4911106 -0.09662254 0.3847129 1.4820619 0.1556424 2.3947423
100506020 0.3819135 0.94330762 1.7933508 0.1148324 0.1556424 -1.1799596
100506033 4.8626031 5.11953692 4.4339708 4.4336526 4.6497110 4.5437641
100506054 2.4319354 2.72564601 0.7971939 0.7860397 1.4239596 1.5110114
100506068 1.8768639 1.96286577 1.3795955 1.1056724 1.0076660 1.5110114
100506070 1.9590966 2.61369848 0.3847129 1.4820619 1.1601717 -1.1799596
100506083 1.4911106 0.24141048 -0.1951503 0.1148324 -0.1685557 -1.1799596
100506100 1.2510831 0.51508248 0.3847129 -0.2025374 -1.1799596 -1.1799596
100506119 0.7940386 2.28867387 1.3795955 0.7860397 1.4239596 1.5110114
100506127 1.4911106 1.96286577 1.7933508 1.2423403 1.4239596 2.3947423
100506142 0.3819135 -1.17995959 -1.1799596 -0.6100097 -0.5873845 1.5110114
100506144 1.8768639 1.27309082 1.6012553 0.5950320 1.4239596 2.0195114
100506161 -0.1972419 -0.53890765 -0.6051064 0.3748199 -0.1685557 -1.1799596
100506211 4.0150232 3.56072127 2.5466696 2.6844957 2.3643593 1.5110114
100506235 1.1142165 1.27309082 1.7933508 1.6875686 2.3001397 0.7187284
100506258 0.1212047 0.24141048 -1.1799596 0.5950320 0.1556424 0.7187284
100506282 2.1107097 0.94330762 2.5466696 2.4785180 1.4239596 1.5110114
100506286 1.6968421 0.51508248 0.7971939 1.1056724 0.8371126 -1.1799596
100506302 1.4911106 1.27309082 0.6056450 1.8674184 0.8371126 -1.1799596
100506321 0.9629916 0.74502545 0.9662658 0.9546899 1.1601717 -1.1799596
100506325 1.2510831 0.74502545 -0.1951503 0.3748199 1.0076660 -1.1799596
100506343 1.3760829 0.51508248 0.7971939 1.5884713 0.4201881 -1.1799596
100506365 5.0618447 5.16988473 4.8667702 5.3219147 5.0123706 5.7396729
100506368 -0.1972419 0.51508248 -0.1951503 1.1056724 0.1556424 1.5110114
100506380 3.1089530 3.10265607 2.7914253 3.0622973 3.2340024 4.4672774
100506392 3.7636630 3.59059958 3.1485543 3.0248849 3.0114309 3.3328940
100506394 1.7896591 2.05147087 1.1175860 2.4785180 2.0883116 2.3947423
100506411 1.2510831 1.41344017 1.7004979 1.6875686 1.7466408 -1.1799596
100506433 2.5951330 2.77852226 2.2517325 1.8674184 2.0101770 1.5110114
100506462 -0.1972419 0.74502545 0.6056450 -0.2025374 0.6436591 1.5110114
100506469 4.4583815 4.42157633 4.1825495 4.5697745 4.2516192 4.9889075
100506495 0.3819135 -0.09662254 -1.1799596 0.5950320 -0.1685557 1.5110114
100506504 1.2510831 1.11760185 1.4946783 2.2381549 0.4201881 2.3947423
100506540 1.1142165 0.24141048 0.1237204 0.1148324 0.6436591 0.7187284
100506581 0.1212047 0.24141048 0.9662658 0.5950320 -1.1799596 0.7187284
100506606 0.6026424 -0.09662254 -1.1799596 1.1056724 1.0076660 -1.1799596
100506658 1.9590966 2.72564601 2.6984444 2.8647060 2.9288950 4.1129087
100506668 2.4884108 2.61369848 1.9628481 2.1010705 2.0101770 3.6421278
100506686 1.2510831 0.94330762 -0.1951503 0.5950320 1.0076660 0.7187284
100506691 -1.1799596 -1.17995959 0.3847129 -0.2025374 -0.1685557 2.0195114
100506696 1.9590966 2.13494762 1.1175860 2.1712403 1.6468900 3.3328940
100506697 1.6968421 0.74502545 1.1175860 1.4820619 1.7466408 -1.1799596
100506710 6.5765880 6.45297336 6.3969859 6.8245488 6.2349419 6.8284774
100506713 0.1212047 0.51508248 -0.6051064 -0.2025374 0.6436591 0.7187284
100506725 3.8307265 3.33221464 3.6974165 4.2990926 4.0709762 2.9387686
100506731 1.4911106 0.94330762 0.9662658 1.9495794 0.8371126 -1.1799596
100506757 -1.1799596 1.27309082 -0.1951503 -1.1799596 -0.5873845 -1.1799596
100506779 0.1212047 -0.09662254 0.3847129 0.1148324 -0.5873845 -1.1799596
100506804 0.6026424 -1.17995959 -0.1951503 0.3748199 0.4201881 -1.1799596
100506826 1.6968421 1.86846070 1.7933508 2.0273124 1.7466408 2.9387686
100506844 2.6945013 2.28867387 2.2517325 3.0248849 1.8399384 3.3328940
100506866 6.3816378 6.47716754 6.2326182 6.0648400 6.0373617 5.0943897
100506881 0.1212047 1.54133830 1.3795955 1.1056724 0.4201881 0.7187284
100506885 -0.1972419 0.94330762 0.1237204 0.7860397 -1.1799596 -1.1799596
100506911 1.2510831 -0.53890765 0.6056450 0.1148324 1.0076660 -1.1799596
100506922 -1.1799596 -0.09662254 1.4946783 0.1148324 0.8371126 2.0195114
100506930 4.2617903 3.36715907 3.7904617 3.5835311 3.5968111 4.1129087
100506994 0.1212047 0.51508248 1.2545305 0.7860397 1.0076660 -1.1799596
100507003 2.6945013 1.96286577 0.6056450 1.3671744 0.8371126 1.5110114
100507032 1.4911106 1.96286577 -0.1951503 1.3671744 0.1556424 -1.1799596
100507034 2.7417315 3.14354292 3.3144008 3.1690434 3.3963881 3.3328940
100507050 -1.1799596 -1.17995959 0.7971939 -1.1799596 0.4201881 1.5110114
100507053 1.6968421 1.96286577 1.3795955 1.5884713 0.4201881 1.5110114
100507057 1.3760829 0.74502545 1.1175860 0.5950320 0.1556424 -1.1799596
100507062 -1.1799596 0.24141048 -1.1799596 0.1148324 -0.5873845 1.5110114
100507071 0.3819135 0.74502545 0.3847129 0.5950320 0.1556424 0.7187284
100507156 2.9571452 2.77852226 2.9205432 3.4767428 3.2340024 2.9387686
100507171 2.7417315 2.55428917 3.1832839 3.4487633 1.4239596 2.9387686
100507173 0.3819135 -0.09662254 0.3847129 0.3748199 0.1556424 0.7187284
100507178 0.3819135 1.11760185 -1.1799596 1.1056724 0.8371126 -1.1799596
100507244 1.2510831 -0.09662254 1.7004979 1.2423403 1.0076660 -1.1799596
100507246 2.7874643 3.14354292 2.1145090 2.7317022 2.2329278 0.7187284
100507250 0.3819135 0.51508248 -1.1799596 0.7860397 -0.5873845 -1.1799596
100507254 -0.1972419 -0.09662254 0.3847129 0.3748199 0.4201881 2.3947423
100507266 0.3819135 -0.09662254 1.3795955 0.7860397 1.1601717 2.0195114
100507290 4.1436764 4.18746527 4.5844693 4.5827061 4.3658305 4.8146429
100507291 0.9629916 1.41344017 1.3795955 1.9495794 1.4239596 0.7187284
100507303 3.0350450 3.22199640 2.8787748 2.4785180 2.9288950 2.6922483
100507308 0.1212047 -0.53890765 -1.1799596 -1.1799596 -1.1799596 -1.1799596
100507316 -1.1799596 0.74502545 1.3795955 1.1056724 2.0101770 -1.1799596
100507331 2.1107097 2.13494762 2.3770299 2.1010705 1.7466408 0.7187284
100507347 1.4911106 0.94330762 2.1145090 1.1056724 1.4239596 2.3947423
100507373 1.9590966 1.41344017 1.1175860 2.3633365 -0.1685557 1.5110114
100507392 1.3760829 1.54133830 0.9662658 1.4820619 0.6436591 -1.1799596
100507398 1.2510831 -0.09662254 0.6056450 1.3671744 0.4201881 2.3947423
100507401 1.2510831 0.51508248 0.1237204 -0.6100097 0.4201881 0.7187284
100507420 1.8768639 1.27309082 1.6012553 0.7860397 1.1601717 1.5110114
100507433 1.3760829 0.94330762 -0.1951503 1.1056724 0.8371126 0.7187284
100507436 -1.1799596 0.51508248 -0.1951503 -1.1799596 0.6436591 -1.1799596
100507437 2.0368939 2.72564601 1.1175860 2.1010705 1.4239596 -1.1799596
100507459 1.9590966 2.61369848 1.3795955 1.4820619 1.5397265 1.5110114
100507463 1.1142165 0.24141048 0.7971939 0.3748199 0.6436591 -1.1799596
100507487 0.1212047 1.27309082 1.6012553 1.8674184 2.8857861 1.5110114
100507495 1.7896591 1.65881554 0.9662658 1.2423403 1.0076660 1.5110114
100507516 -0.1972419 -1.17995959 0.1237204 0.5950320 -0.1685557 -1.1799596
100507551 0.6026424 -0.09662254 1.1175860 0.1148324 0.1556424 -1.1799596
100507557 0.3819135 1.27309082 0.3847129 0.3748199 -1.1799596 1.5110114
100507564 0.3819135 -0.09662254 -0.6051064 0.3748199 -0.1685557 1.5110114
100507567 1.4911106 1.54133830 -0.1951503 1.1056724 1.2980862 0.7187284
100507588 -0.1972419 0.51508248 -0.1951503 1.3671744 0.8371126 -1.1799596
100507599 -0.1972419 1.27309082 0.3847129 1.3671744 1.1601717 -1.1799596
100507602 2.6945013 2.42758573 1.4946783 1.7802942 1.7466408 2.0195114
100508120 1.8768639 2.21385732 1.3795955 2.8217196 1.2980862 2.6922483
10051 6.8781523 7.03686815 6.7292023 6.6202168 6.5186055 5.8340693
10052 1.6968421 1.65881554 1.3795955 2.0273124 2.0101770 0.7187284
100526737 2.3118855 1.11760185 1.2545305 2.1010705 2.0101770 2.3947423
100526760 1.4911106 1.54133830 1.7004979 0.9546899 1.6468900 1.5110114
100526820 1.3760829 -0.09662254 1.7933508 1.2423403 0.4201881 1.5110114
100526835 1.5976405 2.42758573 3.4345877 3.9255748 3.1635593 2.9387686
100527978 0.7940386 1.27309082 0.6056450 1.5884713 0.6436591 2.6922483
100529145 1.8768639 0.51508248 1.1175860 1.1056724 -0.1685557 -1.1799596
100529215 -0.1972419 0.24141048 0.3847129 -1.1799596 -0.1685557 -1.1799596
100532746 4.3406037 3.73135918 4.0756908 3.4202303 3.6999622 2.6922483
100533106 0.9629916 0.51508248 -0.1951503 0.3748199 1.8399384 -1.1799596
100533182 1.4911106 0.74502545 1.6012553 -0.6100097 0.4201881 0.7187284
100533619 1.1142165 0.94330762 0.1237204 -0.2025374 1.4239596 -1.1799596
100533629 1.6968421 0.51508248 0.9662658 1.5884713 0.4201881 0.7187284
100533695 0.9629916 0.74502545 0.9662658 1.2423403 0.1556424 0.7187284
100533970 1.1142165 -1.17995959 1.2545305 1.1056724 0.8371126 0.7187284
100534593 1.9590966 2.21385732 -1.1799596 1.3671744 1.0076660 -1.1799596
10054 5.9851779 6.06317922 5.7555285 6.0694410 5.9194073 5.6731260
10056 5.5471418 5.88777447 5.7840929 5.6014816 5.7909434 5.0943897
10057 7.6952324 7.70631360 7.2874346 7.5311890 7.2307087 7.0803428
10058 4.7165804 4.74753023 3.6234701 3.8419946 3.9713975 5.1443729
10059 7.1733885 7.18865761 6.9291581 7.0965983 7.1373076 6.2076537
1006 4.6187736 4.83749701 4.6969023 4.2990926 4.8868112 4.7515407
10060 2.4319354 2.87879355 2.4358209 2.2381549 2.4848105 2.6922483
100616256 0.7940386 1.54133830 0.9662658 1.1056724 1.0076660 -1.1799596
10062 2.5951330 2.77852226 1.7933508 2.1010705 1.9275673 1.5110114
10063 3.9360044 3.90786318 3.4054666 3.8843899 3.2340024 2.3947423
100652739 0.9629916 1.41344017 0.7971939 0.1148324 0.1556424 2.3947423
100652758 -0.1972419 -0.53890765 0.3847129 -1.1799596 -0.5873845 0.7187284
100652846 1.4911106 2.42758573 2.0406705 2.0273124 2.0101770 -1.1799596
10066 6.0522813 6.16101347 6.1384149 6.0555938 6.2772566 6.4848554
10067 6.0428841 6.17587207 6.2694505 5.8570160 6.2477672 6.3844416
10068 3.9956705 3.43460683 3.5719791 2.5328344 2.9288950 2.6922483
10069 4.3095931 4.70718657 4.2164798 4.2018654 4.4861640 5.1926823
10072 5.0525098 5.23754426 5.3520664 5.0788917 5.2088077 5.0943897
10073 3.9956705 4.06510796 3.6731864 3.7532729 3.6493084 4.3865076
10075 8.9929204 8.99324097 8.5037796 8.6541581 8.6142224 8.8433092
10076 5.1607296 5.03513697 5.3897284 5.1149465 5.2000358 5.2847031
10077 3.2786827 2.97254630 2.3157410 2.8647060 2.7955000 2.0195114
100775107 0.1212047 0.51508248 0.7971939 0.5950320 0.6436591 2.0195114
10078 4.2454975 4.53348482 4.8774141 4.5827061 4.6105294 5.0943897
10079 5.5337864 5.48827086 5.0378310 4.6821868 5.0903896 5.8937346
1008 4.3251817 3.80966176 3.4345877 3.4767428 2.9707531 3.3328940
10081 4.9253167 4.89848870 4.3137302 4.8520262 4.6625386 4.6163990
10082 6.9899566 7.31260289 7.8703719 7.3445030 7.8678550 7.7225041
100820829 4.5803161 4.93388320 4.9396792 4.9943148 5.2000358 3.6421278
10084 5.1344261 5.28400068 4.9598510 5.2262652 5.0519074 5.7718295
100847074 0.9629916 1.76744285 1.7933508 1.8674184 2.2329278 1.5110114
10085 9.7768053 9.74237803 9.2073724 8.8426753 8.9950237 9.1852486
100852407 0.6026424 0.24141048 1.1175860 0.5950320 0.8371126 2.0195114
100861412 0.6026424 0.94330762 0.6056450 1.1056724 0.8371126 -1.1799596
100861548 3.9561685 3.80966176 3.8989163 3.2684325 3.9081749 4.3009463
100862671 0.9629916 -0.09662254 0.6056450 1.4820619 1.6468900 -1.1799596
10087 6.1648559 6.13590392 6.2367574 5.9695982 5.9770246 6.0850403
100873257 0.3819135 0.51508248 1.1175860 0.3748199 0.6436591 -1.1799596
100873333 3.1792587 3.33221464 3.4911238 3.4202303 3.7246374 2.0195114
100873790 3.8737639 4.12758339 3.4054666 3.2360577 3.9081749 2.9387686
100873949 0.3819135 -0.09662254 0.3847129 0.5950320 1.6468900 1.5110114
100873952 -0.1972419 -0.09662254 -0.6051064 -0.2025374 -0.5873845 -1.1799596
100873965 2.8747979 1.54133830 1.8805872 1.8674184 2.0883116 0.7187284
100874006 0.1212047 -0.53890765 0.3847129 0.5950320 0.6436591 0.7187284
100874008 1.3760829 0.51508248 2.1847516 0.5950320 1.6468900 -1.1799596
100874014 2.7874643 2.21385732 1.8805872 1.7802942 3.0509931 2.3947423
100874058 1.1142165 0.94330762 -0.1951503 1.2423403 -0.1685557 1.5110114
100874080 0.9629916 1.11760185 0.6056450 0.3748199 1.1601717 1.5110114
100874097 0.6026424 1.96286577 1.6012553 0.9546899 1.1601717 1.5110114
100874201 0.7940386 0.74502545 0.6056450 0.9546899 1.0076660 0.7187284
100874212 0.6026424 0.51508248 1.1175860 1.2423403 0.6436591 3.1492484
100874217 0.7940386 0.74502545 0.7971939 1.4820619 0.8371126 -1.1799596
100874235 0.6026424 -0.53890765 0.1237204 0.7860397 0.1556424 -1.1799596
100874261 -1.1799596 0.51508248 0.1237204 1.2423403 0.1556424 -1.1799596
100874291 0.3819135 -1.17995959 0.6056450 0.5950320 0.4201881 -1.1799596
100874362 2.4884108 1.54133830 1.4946783 1.5884713 1.7466408 2.0195114
100874523 2.0368939 2.13494762 2.5990555 2.5851798 2.2329278 1.5110114
100885775 4.9456297 5.21853457 5.3289880 5.5758403 5.6627382 4.8146429
100885776 0.6026424 -0.09662254 -1.1799596 1.3671744 0.6436591 2.6922483
100885848 4.7631047 4.77381257 4.1996144 4.6941531 4.7371976 2.9387686
1009 10.1654699 10.19063672 9.9493822 9.8138095 9.7246254 8.7971841
10090 3.9360044 3.99980410 4.3900465 4.2350079 3.8864696 4.2099889
10092 7.6355293 7.58724808 7.4848001 7.4076374 7.4919587 7.2033395
10093 7.0427690 7.06108009 7.1926005 7.1344160 7.3244951 6.2539227
10094 5.4998469 5.56552659 5.4336622 5.1149465 5.6173399 4.9331258
10095 6.1164017 5.60996917 6.1472375 6.0416125 6.1280164 6.0592156
10097 8.3815014 8.42695714 8.4115883 8.1452830 8.4333165 7.9712543
10098 7.0356802 7.10055168 6.6935081 6.6604176 6.7763571 6.4848554
10099 8.3972581 8.44444721 8.5684309 7.9569997 8.5239696 8.5367771
100996246 0.7940386 -1.17995959 -0.1951503 -0.2025374 -0.1685557 -1.1799596
100996251 -1.1799596 -0.09662254 0.3847129 -0.2025374 -1.1799596 1.5110114
100996307 -1.1799596 -0.53890765 -1.1799596 0.5950320 -1.1799596 -1.1799596
100996384 0.7940386 0.74502545 1.6012553 0.1148324 1.2980862 -1.1799596
100996419 1.3760829 0.94330762 -0.1951503 1.5884713 1.4239596 1.5110114
100996485 2.1107097 2.21385732 2.3157410 1.3671744 2.0883116 1.5110114
100996539 -0.1972419 -0.53890765 -1.1799596 -0.6100097 -1.1799596 0.7187284
100996579 -1.1799596 -1.17995959 0.7971939 0.3748199 -0.1685557 1.5110114
100996696 3.1089530 2.49232796 1.6012553 2.1010705 2.5959756 1.5110114
100996842 0.6026424 0.51508248 0.9662658 -0.6100097 0.8371126 -1.1799596
100996851 0.3819135 0.94330762 -1.1799596 -1.1799596 -1.1799596 -1.1799596
100996939 1.1142165 0.94330762 0.3847129 1.1056724 0.8371126 1.5110114
101 1.2510831 2.67075781 1.8805872 1.8674184 1.5397265 2.3947423
1010 -1.1799596 -1.17995959 -0.1951503 -1.1799596 -1.1799596 -1.1799596
10100 6.2033245 5.92928735 5.1561937 5.0419127 5.2687613 4.4672774
10101 4.9456297 4.91038361 4.6102225 5.0135428 4.7250196 4.9331258
10102 4.8410778 4.77381257 5.1297284 5.1844606 5.0223568 4.2099889
10103 0.3819135 1.27309082 1.4946783 0.3748199 0.8371126 2.3947423
10105 6.5065322 6.21955117 6.5511908 6.8753565 6.6532299 5.1443729
10106 7.0937162 7.02323940 6.7668997 6.7662293 6.7222462 7.1308066
101060200 3.1089530 2.67075781 1.6012553 2.4220764 2.2329278 2.9387686
101060691 2.1107097 1.76744285 2.7456838 3.1690434 3.0509931 3.6421278
10109 8.5360140 8.47580506 8.4908409 8.2247721 8.3770312 8.2070693
10112 5.1780026 5.15995475 5.2161210 5.3823302 5.5078725 3.6421278
10113 6.2773148 5.90571217 5.8982455 6.2666357 5.9718807 6.8131076
10114 7.6182334 7.70460685 7.3820343 7.7942056 7.5221838 6.9317117
101154753 0.3819135 0.51508248 0.9662658 0.5950320 1.2980862 0.7187284
10116 7.7511209 7.73502364 7.7143733 8.1839847 7.5603816 7.3596202
10117 1.9590966 1.54133830 2.1145090 2.3633365 1.4239596 2.9387686
1012 7.4147117 7.39745498 6.7525171 6.4150024 6.7374817 7.8102735
10121 6.1691812 6.08433446 6.2613464 6.1968601 6.3740183 5.5300491
10123 7.6339655 7.74502172 7.1926005 7.5948070 6.9194908 6.9875470
THA_24_H3 DOX_24_H3 NUTL_24_H3 DMSO_24_H3 LPS_24_H3
100 3.0533669 4.21485170 4.04870273 3.96478274 3.89340597
1000 11.6062940 11.11688771 11.18067412 11.50428197 11.41770738
10000 6.5490495 5.02008415 6.00570929 6.15886279 6.26127078
10001 4.2709489 3.78179050 4.26558807 4.35540045 3.99120839
10003 4.8892810 5.82081290 5.38349331 5.59051474 5.37899489
100037417 2.3666517 1.58044096 2.77468295 2.02957095 2.54270527
100049716 2.7978479 1.09819241 2.68487053 1.87901025 1.68748487
10005 3.5992269 3.75176968 4.45408901 3.86815702 3.57375549
10006 6.3045554 5.69235982 6.61346295 6.39912808 6.27103986
10007 4.9741916 5.12919416 5.60778377 5.14730422 4.96303482
10009 4.8448751 4.72793947 4.95444000 4.96308367 5.15111193
100093630 5.3207183 3.52206927 4.21835321 4.03767848 3.53103155
1001 6.0447680 7.26643779 6.97018091 6.19117700 6.41603526
10010 5.3125888 5.02008415 5.45315608 4.71897877 5.01821436
100101267 2.3666517 2.04390852 2.25644599 2.56158746 2.03194795
100101467 4.6129912 3.01598090 4.80258341 4.09003058 4.61994065
10011 5.2200039 4.78833849 5.92464766 5.41693699 5.15111193
100113386 1.5418533 -1.17995959 1.06589286 1.04250082 -0.70113573
100113397 0.6454584 0.65476843 0.91605806 0.06801802 0.18429250
100113407 4.0144960 5.08171649 3.58569238 3.76459218 3.19022937
100125288 1.5418533 3.33225801 1.90518387 0.53891890 1.83527522
100127983 2.2351997 0.36861570 1.20161990 2.70276412 2.40752520
100128006 2.4871201 0.89345002 2.93909618 2.22950973 2.85131879
100128016 1.8421367 0.01130032 -0.22703473 1.52055335 1.52280855
100128025 -1.1799596 2.96455754 -1.17995959 -0.63561188 -1.17995959
100128054 2.2351997 -1.17995959 0.74883885 0.89335536 1.43283921
100128071 0.1571566 1.71099363 1.54572908 0.72699446 1.12340349
100128191 1.6490440 2.85586217 0.74883885 1.17766206 0.72894919
100128252 0.6454584 -0.46471601 -0.62620923 0.32259674 0.72894919
100128379 -1.1799596 0.01130032 -1.17995959 -1.17995959 -0.34224707
100128398 4.8448751 4.05194670 4.79186794 4.28228639 4.33955736
100128494 3.1659431 1.94124229 3.12132547 3.19226230 2.70524846
100128569 1.9297838 1.43688812 1.54572908 2.09934167 2.45400689
100128640 -1.1799596 2.73830531 -1.17995959 -0.24131875 -0.34224707
100128682 1.0096232 1.09819241 1.54572908 1.04250082 1.00351539
100128731 6.2374344 6.98607859 6.13851047 6.07908493 6.40128487
100128766 0.1571566 0.01130032 -0.62620923 -0.63561188 -0.70113573
100128782 1.8421367 2.79828079 1.90518387 0.72699446 1.33688384
100128822 2.9731192 3.52206927 2.43233613 1.79739588 1.43283921
100128833 2.4871201 2.61031281 2.43233613 1.95625379 2.49903763
100128881 1.3001437 1.58044096 2.43233613 2.45915917 1.60749506
100128893 4.4741172 5.30487028 4.38447237 4.57945875 4.54676631
100129001 -0.5865395 0.65476843 1.32566871 0.72699446 0.56920670
100129013 2.7978479 0.89345002 2.05609502 2.29043907 2.74317578
100129029 -0.5865395 0.01130032 0.55966520 -0.24131875 0.38954870
100129060 2.5982998 1.71099363 3.18822609 3.12694377 3.55255166
100129075 2.3024224 2.39413302 1.20161990 2.51128215 1.00351539
100129195 1.5418533 3.24874108 2.12601612 1.71088621 1.60749506
100129203 0.6454584 4.10039780 -0.62620923 0.06801802 0.38954870
100129250 1.8421367 2.39413302 1.20161990 1.41505921 1.12340349
100129259 0.1571566 -0.46471601 -0.62620923 1.04250082 0.56920670
100129361 5.4449208 3.59151275 5.31029533 5.50312068 5.43799925
100129398 -0.1672917 -1.17995959 -0.62620923 0.06801802 0.18429250
100129434 1.8421367 2.13975160 2.19270453 2.45915917 2.30981247
100129461 1.0096232 1.27745680 0.55966520 -0.24131875 0.18429250
100129484 2.4281430 2.13975160 2.68487053 2.22950973 2.03194795
100129550 4.5862653 4.63231767 4.93509249 3.86815702 3.95933863
100129583 1.9297838 0.65476843 1.54572908 0.72699446 0.18429250
100129662 0.8390007 2.13975160 0.55966520 1.17766206 1.12340349
100129707 -0.5865395 0.01130032 0.34188840 -0.63561188 0.72894919
100129716 1.1621840 0.89345002 0.08529116 1.61885630 0.72894919
100129726 -0.1672917 -1.17995959 -1.17995959 -0.24131875 -0.34224707
100129774 4.0925351 4.14727447 3.70472102 4.12390550 3.78848810
100129781 0.4218688 0.01130032 0.91605806 -0.24131875 0.18429250
100129792 0.8390007 0.36861570 0.74883885 0.72699446 0.38954870
100129794 1.7488184 0.01130032 2.05609502 0.89335536 1.52280855
100129842 -0.1672917 -0.46471601 -1.17995959 1.17766206 0.72894919
100129917 3.4881214 0.89345002 0.91605806 1.30123813 1.33688384
100129924 -0.1672917 1.27745680 0.55966520 -0.63561188 0.72894919
100129940 0.6454584 0.65476843 1.20161990 1.30123813 0.38954870
100129995 -0.1672917 -1.17995959 -1.17995959 0.72699446 -0.34224707
10013 6.1024902 5.93208078 5.23318409 5.53494402 5.47791185
100130111 2.0124097 0.89345002 2.58909364 1.71088621 1.60749506
100130197 0.4218688 0.01130032 -0.22703473 0.06801802 -0.05508808
100130335 4.2369877 4.43863232 3.93642829 3.86815702 3.48700366
100130348 3.0918766 1.83070644 2.12601612 2.65722315 2.70524846
100130357 0.1571566 -1.17995959 1.06589286 1.79739588 1.33688384
100130466 3.0533669 2.54179008 3.08667464 3.12694377 3.27033945
100130476 -1.1799596 1.27745680 -1.17995959 0.06801802 0.72894919
100130522 1.4260546 2.39413302 1.73662263 1.04250082 0.38954870
100130550 1.1621840 -1.17995959 0.55966520 0.32259674 0.87275421
100130564 2.4281430 3.48605244 2.77468295 2.56158746 2.25835681
100130581 1.3001437 -1.17995959 -0.22703473 -0.24131875 -0.34224707
100130691 1.9297838 -0.46471601 0.55966520 0.89335536 2.09196737
100130705 3.8217517 2.22962221 2.37605554 1.87901025 1.43283921
100130748 1.3001437 0.89345002 0.74883885 1.30123813 1.83527522
100130750 1.4260546 1.43688812 1.82336364 2.09934167 1.52280855
100130855 1.1621840 0.01130032 1.43989067 1.52055335 1.23408874
100130958 1.4260546 2.31422125 1.20161990 0.89335536 0.18429250
100131017 2.4871201 2.79828079 2.97743003 2.09934167 2.14958925
100131031 1.1621840 -1.17995959 0.91605806 0.32259674 0.18429250
100131033 1.0096232 1.71099363 1.32566871 1.04250082 0.72894919
100131067 3.3360071 2.46984978 2.37605554 0.32259674 1.60749506
100131089 2.4871201 1.27745680 2.85923042 2.65722315 2.35949593
100131094 1.5418533 0.36861570 0.55966520 -0.63561188 0.56920670
100131138 4.8672489 4.95570089 4.26558807 4.07279010 4.64018357
100131187 1.9297838 3.78179050 2.97743003 2.98670368 3.01528652
100131193 1.6490440 2.13975160 1.54572908 2.34889911 2.54270527
100131211 2.8437021 3.06563424 3.12132547 3.69868587 3.48700366
100131213 1.1621840 3.01598090 2.63777673 2.45915917 2.85131879
100131471 1.9297838 0.36861570 2.48650335 2.70276412 1.52280855
100131656 2.7978479 4.52990533 3.31338314 3.34368514 3.73302187
100131685 1.0096232 0.65476843 1.64433087 1.71088621 1.83527522
100131691 2.4281430 3.65776655 1.82336364 1.30123813 1.68748487
100131740 1.0096232 1.71099363 -0.22703473 0.32259674 0.56920670
100131801 2.5982998 3.33225801 2.68487053 2.65722315 2.58508991
100131827 0.6454584 0.89345002 0.08529116 0.53891890 0.18429250
100131828 1.0096232 1.27745680 0.34188840 0.06801802 0.18429250
100131940 1.1621840 1.43688812 1.32566871 1.30123813 1.96932279
100132074 1.0096232 1.27745680 1.20161990 1.41505921 0.72894919
100132086 0.4218688 0.36861570 -0.62620923 -1.17995959 0.38954870
100132116 5.0148435 6.91674589 6.52887594 7.13168579 7.26038732
100132126 -0.5865395 0.65476843 0.55966520 -0.63561188 -0.70113573
100132215 0.6454584 1.09819241 -0.62620923 0.72699446 1.52280855
100132537 1.6490440 0.89345002 1.90518387 2.16589327 0.87275421
100132609 1.3001437 1.71099363 1.32566871 0.32259674 1.33688384
100132659 -0.5865395 0.01130032 0.91605806 0.06801802 0.72894919
100132891 2.1646911 -1.17995959 -0.22703473 0.32259674 0.18429250
100132972 1.1621840 -1.17995959 -0.22703473 -1.17995959 -1.17995959
100133234 0.6454584 -0.46471601 0.34188840 -0.24131875 0.72894919
100133286 -0.5865395 1.58044096 -0.22703473 -0.24131875 -0.34224707
100133315 1.1621840 0.01130032 1.20161990 0.06801802 0.18429250
100134934 1.6490440 1.83070644 1.64433087 1.71088621 1.83527522
10014 5.5454651 5.37547707 5.92954417 6.06171236 5.80372560
100144603 0.1571566 -0.46471601 -0.62620923 0.89335536 -0.34224707
100144748 2.3024224 5.49808612 3.37211231 1.95625379 1.76327168
10015 7.3249760 7.22606562 7.83431190 7.64468778 7.51041074
10016 5.3841557 5.39503162 5.47341545 5.30326995 5.52221384
100170229 0.8390007 -1.17995959 0.55966520 1.41505921 0.38954870
100170841 3.2015975 6.07228433 1.73662263 2.98670368 2.35949593
10018 3.9106084 6.10233428 3.81467336 3.53207735 3.07598865
100188847 1.5418533 1.09819241 1.32566871 1.17766206 1.52280855
10019 4.9638471 5.73134169 4.20225822 4.15700324 3.69482309
100190938 2.0905587 -1.17995959 0.55966520 1.17766206 1.23408874
1002 1.4260546 0.65476843 1.20161990 0.72699446 0.72894919
10020 3.3987902 3.48605244 3.31338314 3.25475117 3.59465218
10021 6.9744595 6.67423545 7.56214637 7.76764195 7.87312114
10023 1.7488184 5.10565062 1.06589286 1.52055335 1.52280855
10024 0.8390007 2.85586217 -0.22703473 3.02306230 3.53103155
10026 6.2244940 7.13596610 5.91973446 6.10475773 6.28396326
100268168 2.4871201 1.83070644 0.55966520 1.17766206 1.90385532
100270804 2.0124097 0.65476843 1.73662263 0.89335536 0.56920670
100270827 1.6490440 0.65476843 -0.62620923 0.53891890 0.18429250
100270840 4.3204372 3.89599140 3.58569238 4.20526826 4.19652282
100270854 4.5862653 4.36121409 4.15286702 4.43851068 4.03773066
100270865 5.0640987 5.18642503 4.88555719 5.07121366 5.04123161
100271271 2.9731192 3.78179050 3.25216140 2.16589327 2.58508991
100271332 -1.1799596 -1.17995959 -1.17995959 -0.24131875 -0.70113573
100271415 2.0124097 0.36861570 1.64433087 1.41505921 1.96932279
100271479 -0.1672917 0.65476843 1.06589286 -1.17995959 1.00351539
100271884 -0.1672917 0.65476843 0.34188840 -1.17995959 -0.34224707
100272147 2.5982998 2.85586217 2.19270453 1.61885630 2.25835681
100286844 1.8421367 -0.46471601 0.34188840 1.52055335 1.43283921
100287015 2.0905587 0.01130032 0.55966520 1.87901025 1.68748487
100287049 0.6454584 1.71099363 0.08529116 0.53891890 0.87275421
100287074 1.5418533 0.36861570 1.32566871 1.41505921 0.56920670
100287616 3.5722423 2.67572799 2.19270453 3.45432948 3.46447539
100287722 1.1621840 0.36861570 1.32566871 0.53891890 1.33688384
100287808 -0.1672917 3.11363537 -1.17995959 0.32259674 0.38954870
100287837 -0.1672917 1.27745680 1.32566871 0.89335536 0.72894919
100287896 2.0905587 0.89345002 1.43989067 2.16589327 2.49903763
100287902 -1.1799596 1.09819241 0.34188840 0.53891890 -0.34224707
100287928 2.7978479 3.92318300 2.53871020 3.28500907 2.91915801
100287932 4.7990588 5.02008415 4.93509249 5.31064263 5.01045961
100288001 2.0124097 0.89345002 2.19270453 1.95625379 1.76327168
100288073 6.6589359 2.22962221 3.01477163 2.91111640 2.98395002
100288123 0.6454584 1.27745680 0.91605806 1.17766206 0.56920670
100288198 2.2351997 0.89345002 1.82336364 2.16589327 0.56920670
100288241 -0.5865395 -1.17995959 -1.17995959 -1.17995959 -1.17995959
100288413 2.6508335 3.81119934 2.53871020 2.78974777 2.20499781
100288513 -0.5865395 0.36861570 0.34188840 0.72699446 -0.05508808
100288842 1.8421367 -1.17995959 1.64433087 1.71088621 0.38954870
100289061 -0.1672917 2.13975160 1.64433087 1.30123813 1.90385532
100289095 0.8390007 1.09819241 -1.17995959 0.72699446 0.72894919
100289133 3.4291860 4.30029603 4.08426638 4.46518315 4.42370996
100289178 1.4260546 2.85586217 2.85923042 2.51128215 2.58508991
100289211 0.4218688 1.27745680 -1.17995959 1.30123813 0.56920670
100289259 0.8390007 0.36861570 1.06589286 1.04250082 1.12340349
100289274 4.9001722 3.86827743 1.98261178 2.45915917 2.20499781
100289341 1.9297838 3.06563424 1.82336364 0.06801802 1.60749506
100289373 1.0096232 1.09819241 0.34188840 0.72699446 -0.34224707
100289388 0.4218688 0.36861570 1.73662263 -0.24131875 0.18429250
100289414 0.4218688 0.65476843 0.74883885 0.32259674 -1.17995959
100289635 5.5315236 3.06563424 5.10919136 4.96308367 4.91399792
100289640 2.0124097 0.36861570 0.55966520 1.79739588 1.00351539
100289678 2.5982998 3.24874108 2.53871020 2.56158746 2.40752520
100293516 2.8881436 1.71099363 3.34304655 3.15997267 3.21743000
100294362 1.3001437 0.65476843 1.64433087 -0.24131875 1.83527522
1003 -0.1672917 0.01130032 1.06589286 1.04250082 1.83527522
100302692 1.7488184 0.01130032 2.48650335 1.41505921 2.49903763
100302736 2.8881436 1.83070644 1.06589286 1.52055335 1.52280855
100303728 2.3666517 2.73830531 2.68487053 2.09934167 2.81616418
100303755 1.6490440 0.65476843 1.06589286 0.72699446 1.00351539
100312828 -1.1799596 -1.17995959 1.06589286 0.89335536 0.38954870
100312850 -0.5865395 -1.17995959 1.43989067 1.41505921 -0.34224707
10036 3.5447434 3.01598090 2.81757594 4.35540045 4.65019950
100379345 1.1621840 -1.17995959 0.34188840 0.53891890 1.33688384
10038 5.3368410 3.59151275 4.89560125 5.36830573 5.34856237
100381270 1.3001437 0.01130032 0.91605806 0.06801802 0.72894919
10039 2.8437021 0.89345002 2.73047552 2.70276412 3.21743000
1004 2.4871201 2.39413302 4.10172477 3.86815702 4.03773066
10040 4.5727144 3.48605244 3.74971243 3.78590846 4.05291058
100418710 0.1571566 1.43688812 0.34188840 0.72699446 0.72894919
100418735 1.5418533 2.13975160 1.98261178 0.89335536 0.38954870
100418744 2.2351997 -0.46471601 1.98261178 2.29043907 2.54270527
100418770 -0.5865395 -1.17995959 -0.62620923 -0.24131875 0.56920670
100418781 1.8421367 2.85586217 2.31748997 3.25475117 3.48700366
100418819 2.0905587 -0.46471601 1.90518387 1.79739588 1.43283921
100418829 1.4260546 1.83070644 1.90518387 2.83134883 2.66629708
100418888 1.1621840 1.27745680 0.91605806 1.30123813 0.56920670
100418889 3.2363920 2.54179008 3.15516354 2.61019762 2.78013150
100418910 0.1571566 0.89345002 0.74883885 0.72699446 1.12340349
100418919 2.7978479 2.31422125 2.93909618 2.91111640 2.20499781
100419028 2.1646911 0.65476843 1.82336364 2.16589327 1.60749506
100419185 0.4218688 0.01130032 -0.62620923 0.06801802 1.00351539
100419416 -0.1672917 0.89345002 1.43989067 0.53891890 0.38954870
100419515 1.0096232 -1.17995959 0.91605806 1.30123813 0.56920670
100419645 0.1571566 -0.46471601 -0.22703473 -1.17995959 -0.34224707
100419758 -0.1672917 -1.17995959 1.06589286 1.41505921 0.18429250
100419928 2.3024224 1.09819241 2.25644599 1.30123813 1.43283921
10042 4.6129912 3.92318300 4.79186794 4.96308367 4.77444838
100420028 -1.1799596 2.22962221 0.74883885 1.41505921 0.72894919
100420050 1.0096232 0.01130032 0.55966520 -0.24131875 0.56920670
100420110 2.8881436 1.83070644 2.19270453 2.98670368 2.95191771
100420187 -0.1672917 0.01130032 -0.22703473 -1.17995959 -0.05508808
100420259 3.6517274 3.29110380 3.95575801 4.29720864 4.14078142
100420307 -0.1672917 1.58044096 0.91605806 1.61885630 0.87275421
100420341 7.1143114 5.17515904 5.39769756 5.81965656 5.86090599
100420423 0.6454584 1.71099363 1.73662263 0.72699446 0.38954870
100420591 1.7488184 -0.46471601 0.74883885 0.53891890 -0.05508808
100420707 2.7015212 1.71099363 2.37605554 2.02957095 2.81616418
100420752 2.0124097 0.89345002 1.64433087 0.89335536 2.40752520
100420869 3.4881214 4.83203417 3.48285111 3.84803029 4.02238932
100420981 6.3647658 6.33272706 5.93442413 5.87540873 5.86521202
100421093 3.6257159 3.65776655 3.79334308 3.67603062 3.89340597
100421109 0.6454584 1.09819241 1.06589286 0.53891890 0.56920670
100421160 -0.1672917 0.65476843 -0.22703473 0.06801802 0.56920670
100421175 -1.1799596 -0.46471601 -0.22703473 1.17766206 -0.34224707
100421246 1.6490440 0.01130032 1.32566871 0.89335536 0.72894919
100421311 1.4260546 1.71099363 0.91605806 1.04250082 0.38954870
100421372 1.4260546 1.71099363 1.82336364 1.52055335 1.33688384
100421400 2.4281430 2.13975160 2.68487053 1.71088621 2.30981247
100421415 0.1571566 -1.17995959 -0.22703473 -0.24131875 -0.70113573
100421429 0.4218688 1.27745680 0.34188840 0.06801802 0.18429250
100421465 1.7488184 -0.46471601 0.74883885 0.89335536 0.56920670
100421468 2.8437021 1.27745680 1.73662263 2.16589327 1.96932279
100421506 1.3001437 1.71099363 0.08529116 0.72699446 -0.05508808
100421569 0.6454584 0.89345002 1.32566871 0.72699446 -0.05508808
100421595 0.4218688 -1.17995959 -1.17995959 -1.17995959 -1.17995959
100421794 -1.1799596 -1.17995959 -1.17995959 -1.17995959 0.18429250
100422106 1.9297838 2.04390852 0.91605806 1.52055335 1.96932279
100422338 2.0905587 2.22962221 2.53871020 3.15997267 2.30981247
100422546 1.0096232 1.43688812 1.06589286 1.52055335 0.18429250
100422561 3.8217517 2.96455754 3.31338314 3.31464539 3.29608388
10043 5.4072436 4.75845503 5.80718148 5.50312068 5.48352457
10044 0.4218688 2.39413302 -0.22703473 -0.24131875 -0.05508808
10045 0.6454584 0.01130032 -0.22703473 -0.24131875 0.56920670
10046 -0.5865395 0.01130032 1.73662263 1.30123813 1.60749506
10048 6.5033535 6.65814088 6.63460670 6.62882265 6.51526945
10049 6.0594165 6.79690985 5.96812930 6.06607515 6.08419722
100499177 3.1293851 2.31422125 2.31748997 2.83134883 2.25835681
100499483 1.7488184 -0.46471601 2.19270453 0.89335536 1.96932279
1005 -1.1799596 -1.17995959 -1.17995959 -1.17995959 -0.34224707
100500719 -1.1799596 1.09819241 0.08529116 -1.17995959 0.56920670
100505385 3.0533669 2.73830531 3.70472102 3.50662411 3.48700366
100505501 -0.1672917 2.22962221 0.91605806 0.72699446 -0.05508808
100505538 1.4260546 1.27745680 0.34188840 1.04250082 -0.34224707
100505549 1.8421367 0.36861570 0.74883885 0.72699446 -0.34224707
100505573 5.7398734 6.30715198 6.83318515 6.16294187 6.39534223
100505576 0.8390007 2.22962221 1.54572908 0.53891890 1.76327168
100505616 0.1571566 1.09819241 -0.22703473 -1.17995959 -0.34224707
100505624 0.6454584 -1.17995959 1.20161990 1.17766206 1.12340349
100505635 0.8390007 -0.46471601 -0.22703473 0.89335536 1.12340349
100505641 2.4281430 2.39413302 2.68487053 2.34889911 1.33688384
100505648 2.9731192 1.43688812 3.08667464 2.02957095 2.14958925
100505678 1.5418533 0.36861570 1.54572908 1.95625379 1.52280855
100505696 4.4741172 4.14727447 4.73706321 4.14054928 3.95933863
100505715 1.0096232 0.36861570 0.91605806 0.89335536 0.38954870
100505738 2.8881436 2.22962221 2.37605554 1.87901025 2.54270527
100505741 2.1646911 2.31422125 1.43989067 1.95625379 1.83527522
100505758 3.5447434 2.85586217 3.15516354 3.48071373 3.44158974
100505761 3.6257159 2.54179008 2.77468295 2.65722315 2.09196737
100505771 1.8421367 0.36861570 1.90518387 2.34889911 0.56920670
100505783 3.1293851 4.52990533 2.31748997 2.65722315 1.43283921
100505806 5.3918928 3.41120360 4.32625445 4.56719938 4.45832506
100505812 1.6490440 -1.17995959 0.74883885 1.79739588 1.00351539
100505832 1.4260546 1.09819241 1.90518387 -1.17995959 0.56920670
100505854 4.7755932 4.69676447 3.08667464 3.02306230 3.37067044
100505876 4.8106500 4.32088919 5.64992907 4.93473565 4.81062151
100505894 2.9312570 0.36861570 2.89971588 2.51128215 2.35949593
100505933 -0.1672917 -1.17995959 0.91605806 -0.24131875 -0.70113573
100505994 3.5992269 0.01130032 -0.22703473 0.06801802 0.18429250
100506020 0.1571566 0.36861570 1.82336364 0.06801802 0.56920670
100506033 4.4741172 3.59151275 3.77169269 4.62748032 4.84590980
100506054 1.5418533 1.09819241 1.06589286 1.04250082 0.72894919
100506068 -0.1672917 2.04390852 1.90518387 0.89335536 1.00351539
100506070 1.8421367 1.71099363 -0.22703473 1.41505921 1.33688384
100506083 0.1571566 0.01130032 0.74883885 0.06801802 0.18429250
100506100 0.4218688 0.36861570 0.08529116 0.06801802 0.18429250
100506119 1.6490440 0.65476843 1.32566871 1.30123813 1.23408874
100506127 1.1621840 0.65476843 0.74883885 1.04250082 1.60749506
100506142 1.0096232 -1.17995959 -0.62620923 0.72699446 -0.70113573
100506144 1.5418533 1.27745680 1.64433087 2.16589327 2.25835681
100506161 0.4218688 0.01130032 -0.22703473 1.04250082 -1.17995959
100506211 1.6490440 1.09819241 1.54572908 2.09934167 2.35949593
100506235 0.8390007 1.43688812 1.82336364 0.72699446 1.52280855
100506258 1.6490440 0.36861570 1.73662263 0.53891890 1.33688384
100506282 1.8421367 2.22962221 2.19270453 2.09934167 1.90385532
100506286 -0.1672917 3.29110380 1.32566871 1.87901025 1.33688384
100506302 1.3001437 1.58044096 1.43989067 1.79739588 1.00351539
100506321 1.0096232 0.36861570 0.08529116 0.53891890 0.38954870
100506325 1.1621840 0.01130032 -0.22703473 -0.24131875 -0.70113573
100506343 0.1571566 0.36861570 1.06589286 0.53891890 0.72894919
100506365 5.5315236 3.44911337 5.11779744 5.43728738 5.27279326
100506368 0.4218688 -0.46471601 -1.17995959 0.72699446 -1.17995959
100506380 3.4881214 0.65476843 2.97743003 3.05852710 2.09196737
100506392 3.4291860 0.01130032 2.31748997 3.02306230 3.67533761
100506394 2.0905587 3.41120360 1.73662263 2.16589327 2.49903763
100506411 0.6454584 1.27745680 0.08529116 0.72699446 1.68748487
100506433 1.6490440 1.43688812 3.12132547 2.87178384 1.76327168
100506462 -0.1672917 2.67572799 1.06589286 1.30123813 0.18429250
100506469 4.8561053 4.25820633 4.10172477 4.54236361 4.33955736
100506495 -1.1799596 1.83070644 0.34188840 -0.24131875 1.12340349
100506504 2.3024224 0.01130032 1.06589286 0.53891890 1.33688384
100506540 0.6454584 0.65476843 0.55966520 0.53891890 0.87275421
100506581 -0.1672917 0.01130032 1.20161990 0.32259674 1.23408874
100506606 1.5418533 1.43688812 0.74883885 0.89335536 -0.70113573
100506658 3.9943084 3.11363537 1.73662263 2.65722315 2.78013150
100506668 2.7978479 1.43688812 2.81757594 1.61885630 3.01528652
100506686 2.1646911 0.36861570 1.73662263 1.52055335 1.60749506
100506691 -1.1799596 -1.17995959 -0.22703473 0.53891890 0.18429250
100506696 2.0124097 2.85586217 1.82336364 1.95625379 2.03194795
100506697 1.4260546 -0.46471601 -0.22703473 0.89335536 1.33688384
100506710 7.1671158 6.32255137 6.36865313 6.38871602 6.33452937
100506713 -0.1672917 -1.17995959 -0.62620923 0.06801802 -0.05508808
100506725 3.8217517 1.27745680 3.61029672 4.28228639 3.69482309
100506731 2.3024224 2.22962221 2.12601612 1.41505921 1.23408874
100506757 0.8390007 -1.17995959 -1.17995959 -1.17995959 -0.34224707
100506779 -1.1799596 0.89345002 -0.62620923 -1.17995959 0.38954870
100506804 -1.1799596 0.65476843 -1.17995959 0.06801802 0.56920670
100506826 2.1646911 1.27745680 2.37605554 2.09934167 2.14958925
100506844 3.6257159 1.27745680 1.73662263 1.61885630 2.58508991
100506866 6.1351249 4.94247213 5.79112980 5.92908630 6.09156656
100506881 1.6490440 3.37227074 1.54572908 -0.24131875 0.38954870
100506885 -0.1672917 0.65476843 -0.62620923 -0.24131875 -0.70113573
100506911 0.8390007 0.01130032 1.32566871 0.06801802 0.56920670
100506922 2.0905587 3.20509671 1.82336364 2.09934167 1.00351539
100506930 3.8889020 2.91123328 4.01224019 3.80691436 3.73302187
100506994 0.6454584 1.43688812 0.34188840 1.04250082 0.56920670
100507003 1.4260546 0.01130032 -0.22703473 1.30123813 1.12340349
100507032 1.5418533 0.01130032 1.73662263 1.71088621 -0.05508808
100507034 3.2703670 4.02709697 3.34304655 3.22384504 3.27033945
100507050 -0.1672917 2.96455754 0.08529116 0.32259674 0.18429250
100507053 1.8421367 1.43688812 2.43233613 1.04250082 1.60749506
100507057 1.6490440 1.58044096 -1.17995959 0.72699446 0.72894919
100507062 0.8390007 3.29110380 -0.22703473 0.32259674 -0.34224707
100507071 -0.1672917 0.01130032 -0.22703473 -0.24131875 0.18429250
100507156 3.3677401 3.52206927 3.45595306 3.02306230 3.29608388
100507171 3.7023843 1.09819241 2.37605554 3.05852710 2.62626480
100507173 1.4260546 0.01130032 0.34188840 0.89335536 0.18429250
100507178 2.1646911 0.01130032 1.54572908 0.53891890 1.23408874
100507244 0.8390007 0.65476843 1.06589286 0.32259674 1.00351539
100507246 1.9297838 2.04390852 2.63777673 1.95625379 3.10540805
100507250 0.6454584 0.01130032 0.08529116 -0.24131875 -0.34224707
100507254 -1.1799596 -1.17995959 -1.17995959 -0.24131875 0.18429250
100507266 0.4218688 -1.17995959 0.74883885 0.72699446 -0.70113573
100507290 4.3682841 3.41120360 4.44043183 4.55483494 4.64018357
100507291 1.5418533 -0.46471601 2.12601612 1.71088621 1.43283921
100507303 2.8881436 1.71099363 2.81757594 1.95625379 3.32137695
100507308 0.4218688 -1.17995959 -0.62620923 -0.24131875 -1.17995959
100507316 1.5418533 0.01130032 -0.22703473 0.72699446 1.33688384
100507331 2.1646911 1.27745680 1.98261178 2.09934167 1.60749506
100507347 1.0096232 0.65476843 1.20161990 0.53891890 0.18429250
100507373 1.5418533 2.39413302 1.64433087 1.61885630 1.43283921
100507392 0.4218688 1.27745680 1.43989067 0.72699446 1.23408874
100507398 1.1621840 1.83070644 0.08529116 1.41505921 1.12340349
100507401 0.4218688 1.27745680 0.34188840 0.72699446 -0.70113573
100507420 -1.1799596 -1.17995959 1.32566871 0.32259674 1.00351539
100507433 1.8421367 0.89345002 1.20161990 1.04250082 1.23408874
100507436 0.8390007 1.94124229 0.34188840 -0.24131875 -0.05508808
100507437 2.0124097 -1.17995959 2.12601612 1.61885630 1.43283921
100507459 2.4871201 1.83070644 1.54572908 1.79739588 1.60749506
100507463 -0.1672917 2.85586217 2.53871020 1.04250082 1.76327168
100507487 3.1293851 0.65476843 3.68168798 2.45915917 2.49903763
100507495 2.2351997 2.91123328 1.73662263 1.61885630 2.14958925
100507516 0.1571566 -1.17995959 -1.17995959 0.06801802 -0.05508808
100507551 1.9297838 0.01130032 0.55966520 1.71088621 0.56920670
100507557 1.4260546 1.58044096 0.34188840 0.53891890 0.18429250
100507564 0.4218688 0.01130032 -0.62620923 -0.24131875 -1.17995959
100507567 1.8421367 1.58044096 1.73662263 -0.24131875 0.18429250
100507588 0.6454584 0.65476843 -1.17995959 0.72699446 0.38954870
100507599 1.4260546 1.27745680 0.34188840 0.53891890 1.12340349
100507602 1.5418533 1.83070644 0.91605806 1.71088621 0.72894919
100508120 2.7504884 1.27745680 2.12601612 2.09934167 1.83527522
10051 5.6132207 5.72362912 5.63801266 6.58693149 6.41603526
10052 0.8390007 1.58044096 1.32566871 0.53891890 1.43283921
100526737 1.6490440 1.27745680 1.82336364 2.65722315 1.83527522
100526760 1.9297838 1.71099363 0.74883885 1.52055335 0.87275421
100526820 -0.1672917 1.09819241 0.55966520 0.32259674 0.18429250
100526835 3.2363920 1.83070644 2.85923042 2.29043907 2.49903763
100527978 1.5418533 0.36861570 1.06589286 0.53891890 1.00351539
100529145 1.8421367 1.09819241 1.54572908 0.72699446 1.00351539
100529215 0.1571566 0.01130032 -0.62620923 0.53891890 -0.34224707
100532746 3.7513226 4.19267581 3.74971243 4.01979693 3.82431522
100533106 -1.1799596 0.89345002 0.55966520 0.53891890 0.38954870
100533182 1.0096232 1.09819241 1.32566871 0.89335536 1.33688384
100533619 0.4218688 2.61031281 -0.22703473 1.41505921 0.56920670
100533629 0.1571566 0.36861570 1.20161990 0.53891890 1.12340349
100533695 0.6454584 0.36861570 0.74883885 0.32259674 -0.05508808
100533970 1.1621840 1.43688812 -0.22703473 0.89335536 1.23408874
100534593 0.1571566 0.36861570 1.98261178 0.89335536 0.38954870
10054 5.6263982 4.75845503 5.41874512 5.75086357 5.69665183
10056 5.5797406 5.29449548 5.41874512 5.68431234 5.80372560
10057 7.3128007 7.65498503 7.99825760 7.75283365 7.74228793
10058 5.1848071 5.59426748 6.03326551 4.25197072 4.40016304
10059 6.4225637 6.39231857 6.71621283 6.99879149 7.07392698
1006 4.7396633 4.69676447 6.86164480 4.57945875 4.81952483
10060 3.2363920 2.46984978 3.01477163 2.02957095 2.40752520
100616256 -0.5865395 0.89345002 0.34188840 1.30123813 0.87275421
10062 1.0096232 0.89345002 1.54572908 1.71088621 2.35949593
10063 3.7270610 4.10039780 3.48285111 3.50662411 2.91915801
100652739 0.1571566 0.65476843 0.55966520 0.53891890 0.87275421
100652758 -1.1799596 3.55720880 -1.17995959 -0.24131875 -0.05508808
100652846 0.4218688 1.43688812 2.53871020 2.40508223 1.76327168
10066 6.4961931 5.77677077 6.49954107 6.30997442 6.40720314
10067 6.4035539 6.02286330 6.37225413 6.44004077 6.49318163
10068 2.9731192 3.29110380 3.31338314 3.28500907 3.61525051
10069 4.7517396 5.06959886 4.49430154 4.15700324 4.32712461
10072 4.5727144 5.79895989 4.99237360 5.38934874 5.42638986
10073 3.5992269 1.94124229 3.56066114 3.67603062 3.80651287
10075 8.9113317 8.04519703 9.01036148 8.72193654 8.83436582
10076 5.5729504 5.34563912 6.76085275 5.41008922 5.57574420
10077 2.1646911 2.73830531 2.73047552 2.87178384 2.14958925
100775107 0.8390007 -0.46471601 1.06589286 1.04250082 0.38954870
10078 4.9429328 4.41966375 4.49430154 4.63924004 4.57858226
10079 5.3044133 5.14082340 5.21725462 5.25822469 5.58098960
1008 3.5167102 2.73830531 6.45608687 3.42745371 3.94313579
10081 4.8335567 5.53380745 4.60862190 4.42498722 4.45832506
10082 7.6637926 8.14673644 7.73851401 7.89816637 7.93280396
100820829 4.2022078 4.83203417 5.19302570 4.80501868 5.10815875
10084 4.9001722 4.49408603 4.72584793 5.24289155 5.38500511
100847074 0.6454584 1.83070644 1.20161990 1.87901025 1.23408874
10085 9.1817530 9.73548306 9.54014055 9.49435594 9.39356053
100852407 1.8421367 0.36861570 0.55966520 0.72699446 0.18429250
100861412 1.1621840 1.09819241 -1.17995959 0.89335536 1.12340349
100861548 4.8561053 5.25223370 3.91683606 4.03767848 3.69482309
100862671 1.0096232 0.01130032 1.54572908 -0.24131875 1.12340349
10087 6.4300981 6.59190467 6.12576713 6.01734304 5.91174907
100873257 0.4218688 0.01130032 -0.22703473 -0.24131875 0.18429250
100873333 3.2015975 4.30029603 3.40060404 3.31464539 3.44158974
100873790 3.9106084 4.32088919 2.97743003 3.78590846 3.69482309
100873949 -0.1672917 -0.46471601 0.74883885 1.71088621 0.87275421
100873952 -0.1672917 0.36861570 -0.22703473 0.32259674 0.56920670
100873965 1.7488184 0.65476843 1.54572908 2.09934167 1.52280855
100874006 1.1621840 0.36861570 1.32566871 -0.24131875 0.38954870
100874008 0.8390007 2.04390852 0.34188840 1.71088621 0.72894919
100874014 2.5437807 0.65476843 3.08667464 2.56158746 2.20499781
100874058 2.0124097 -1.17995959 0.74883885 0.72699446 0.87275421
100874080 0.8390007 0.65476843 0.74883885 1.52055335 0.72894919
100874097 1.3001437 0.65476843 0.91605806 1.41505921 1.68748487
100874201 -0.5865395 0.36861570 -1.17995959 0.32259674 0.72894919
100874212 1.3001437 1.43688812 0.74883885 -0.63561188 1.23408874
100874217 1.1621840 0.36861570 1.06589286 0.53891890 0.38954870
100874235 -0.1672917 0.65476843 1.43989067 0.32259674 0.38954870
100874261 1.6490440 0.89345002 -0.62620923 0.06801802 0.18429250
100874291 -1.1799596 0.36861570 0.34188840 -1.17995959 -0.34224707
100874362 2.2351997 3.84002065 1.32566871 1.04250082 1.83527522
100874523 2.5437807 1.43688812 2.81757594 1.95625379 2.30981247
100885775 4.6650021 4.27940467 5.09182364 4.57945875 5.00266295
100885776 1.1621840 0.89345002 -0.22703473 -0.24131875 -0.34224707
100885848 3.6257159 4.72793947 3.25216140 3.88800683 4.63009761
1009 8.8487594 8.13370072 9.20263551 10.01601171 10.06347551
10090 4.1844983 4.90204209 3.93642829 4.25197072 3.73302187
10092 7.2115123 6.18890179 7.17991130 7.56678101 7.46998634
10093 6.6000376 6.75968254 6.98436828 7.12542844 7.22229046
10094 5.3685559 5.20869647 5.48010584 5.68431234 5.54922729
10095 6.1397273 6.45421398 6.12576713 6.16700945 6.24814157
10097 8.1294715 8.65441903 8.28093960 8.50129203 8.54400980
10098 6.6166408 5.41432466 7.07995541 7.09158969 7.15001505
10099 8.3921269 9.16709706 8.35013623 8.54336114 8.56533861
100996246 -1.1799596 -1.17995959 0.55966520 0.32259674 0.72894919
100996251 -1.1799596 1.83070644 -1.17995959 -0.63561188 0.38954870
100996307 -0.5865395 0.01130032 0.08529116 -0.24131875 0.38954870
100996384 0.4218688 0.89345002 1.43989067 0.53891890 0.56920670
100996419 1.3001437 1.09819241 1.06589286 0.06801802 0.87275421
100996485 1.5418533 2.54179008 2.63777673 1.95625379 1.76327168
100996539 0.8390007 1.09819241 1.43989067 -1.17995959 -0.34224707
100996579 0.8390007 0.01130032 0.74883885 0.32259674 0.56920670
100996696 2.5437807 1.83070644 2.05609502 2.56158746 2.70524846
100996842 -1.1799596 0.01130032 0.91605806 -0.63561188 1.00351539
100996851 -0.1672917 0.01130032 -1.17995959 -1.17995959 -0.05508808
100996939 0.8390007 -1.17995959 1.32566871 0.89335536 1.23408874
101 1.8421367 3.68978634 2.58909364 2.16589327 2.54270527
1010 -1.1799596 -1.17995959 -1.17995959 -1.17995959 -1.17995959
10100 3.9319930 5.44278893 4.86525682 4.87631174 5.23336224
10101 5.2628258 5.08171649 4.88555719 4.83600522 5.08619288
10102 4.5996902 4.59898151 5.10919136 4.88621484 5.19965927
10103 2.5437807 1.43688812 2.25644599 0.72699446 0.72894919
10105 6.0099985 6.58340716 5.68509888 6.32461445 6.35304389
10106 7.4264011 6.46350499 6.65248651 6.73126886 6.68563868
101060200 2.8437021 2.67572799 2.43233613 2.51128215 2.09196737
101060691 3.1293851 0.01130032 2.81757594 3.09314096 3.21743000
10109 8.0668111 8.46965673 8.78711541 8.45380324 8.49899738
10112 2.5437807 4.41966375 1.06589286 5.13073863 5.06388739
10113 6.8785934 5.27351934 6.01495330 5.90979747 6.24484051
10114 7.4264011 7.95914112 7.42671242 7.17272191 7.33057886
101154753 0.6454584 1.43688812 0.74883885 0.53891890 1.52280855
10116 7.7016374 6.03537817 7.36117540 7.39187936 7.37956421
10117 1.8421367 2.54179008 1.06589286 2.02957095 2.40752520
1012 7.6216418 7.69102634 7.13610376 6.82434707 6.89596678
10121 5.8618810 6.23303139 6.18019323 6.19516585 6.19781465
10123 7.2588204 4.84631017 7.25400051 6.94769113 7.16056445
TNFa_24_H3 H2O_24_H3 BPA_24_H3 PFOA_24_H3 EtOH_24_H3 TUN_2_H4
100 3.47631786 3.83380622 3.56351577 3.699135 3.8319029 3.4009790
1000 11.32828010 11.37449396 11.27706819 11.479203 11.3872966 11.3396489
10000 6.17808115 6.21747793 6.18039892 6.976251 6.1133225 6.9882833
10001 4.39952034 4.28197062 4.22124842 4.674411 4.4637852 4.7554890
10003 4.98416749 5.52838435 5.27175595 -1.179960 5.7490874 2.8028966
100037417 2.28069801 2.41259362 2.52425470 2.747346 2.3724774 2.3449852
100049716 2.14782903 2.16773278 1.79761414 -1.179960 1.6409727 1.8497778
10005 3.90469982 4.10165341 3.91752138 3.699135 4.3518304 3.6635667
10006 6.39637206 6.34464474 6.50358926 5.251038 6.2755286 6.5491588
10007 4.75210418 5.03350666 4.75479948 5.251038 5.1727808 5.2787320
10009 4.87630114 5.24589564 4.75479948 4.991344 5.0879633 4.7554890
100093630 3.98479812 3.59422752 3.56351577 -1.179960 4.2924170 3.3421969
1001 6.23923357 6.36660822 6.31939045 6.242653 6.3968525 5.5099495
10010 5.77444800 5.12224809 5.05837908 3.699135 5.2213765 4.9648007
100101267 1.89493852 1.50125517 1.44237410 2.747346 1.8199409 2.6170428
100101467 4.55629172 4.48301986 3.94146904 -1.179960 4.4088935 4.3557367
10011 5.16122230 5.19361082 5.29052358 -1.179960 5.1394497 5.8529626
100113386 0.20652668 1.33297241 0.77060275 -1.179960 0.7459561 0.3616029
100113397 1.83856970 0.34766909 0.26319667 4.267662 1.0628073 0.7711224
100113407 3.19130798 3.26061206 3.09337803 4.674411 3.2793635 3.8438761
100125288 0.52499034 1.95226383 2.24521173 -1.179960 2.1891715 0.9392034
100127983 2.40235537 2.92788493 2.75797401 4.674411 2.8960364 2.5665815
100128006 2.36293190 2.49466743 2.16611868 -1.179960 2.4287453 2.0094156
100128016 1.51803642 0.66373647 1.44237410 3.699135 1.0628073 1.3505457
100128025 -0.46120157 -0.05765314 -1.17995959 -1.179960 -0.6274547 0.5808447
100128054 1.36680764 1.50125517 0.26319667 -1.179960 0.7459561 1.3505457
100128071 0.20652668 1.20878380 2.32019309 -1.179960 0.3393405 1.2260235
100128191 1.19784995 1.69886679 1.14524037 3.699135 1.4366166 1.5713516
100128252 0.20652668 -0.40919958 0.26319667 -1.179960 1.0628073 -1.1799596
100128379 -0.77627487 -1.17995959 0.97004823 -1.179960 -0.2289241 -1.1799596
100128398 4.65751753 4.46277102 4.61289006 4.991344 4.3663092 3.7788721
100128494 3.41980608 2.92788493 2.95905628 -1.179960 3.3968567 2.2199607
100128569 1.51803642 1.33297241 1.79761414 -1.179960 1.7332302 0.9392034
100128640 -0.46120157 -0.62337920 0.77060275 -1.179960 -0.2289241 -1.1799596
100128682 1.28480076 1.55325303 1.14524037 -1.179960 0.7459561 0.3616029
100128731 6.26619572 6.23946614 6.46280308 2.747346 6.2793590 6.7462262
100128766 -0.77627487 -0.40919958 -0.52639476 -1.179960 -0.6274547 0.7711224
100128782 1.77990857 1.20878380 0.26319667 -1.179960 1.3224471 1.3505457
100128822 2.10067348 1.55325303 2.32019309 -1.179960 2.3724774 2.5142911
100128833 2.14782903 1.87264288 2.39146921 -1.179960 2.4287453 2.3449852
100128881 2.19349194 2.26448974 1.99360036 -1.179960 1.8199409 1.3505457
100128893 4.32966528 4.62341578 4.89629673 2.747346 4.8715905 4.9352752
100129001 0.01635111 0.34766909 1.57075479 -1.179960 1.1984602 0.5808447
100129013 2.86429033 2.78297304 2.81093252 4.674411 2.8555576 2.7586292
100129029 -0.20275519 0.34766909 -0.07824185 -1.179960 -0.6274547 -0.6165339
100129060 2.97302530 3.27616716 3.46782194 -1.179960 3.4521995 2.8028966
100129075 0.66123200 1.83112155 1.30144337 -1.179960 1.9791380 0.7711224
100129195 1.44440267 2.32556754 1.30144337 -1.179960 1.9791380 2.0830646
100129203 1.10532062 0.92285046 0.53909296 -1.179960 1.5424100 -1.1799596
100129250 1.65490610 1.95226383 1.89893272 -1.179960 1.9017342 1.0897295
100129259 0.90029662 -0.05765314 0.26319667 -1.179960 0.0830085 0.1029677
100129361 5.47958707 5.46871217 5.62960615 5.251038 5.8504108 5.5429505
100129398 0.90029662 -0.40919958 0.53909296 -1.179960 -0.2289241 -0.2123866
100129434 3.25729931 2.09942399 3.04997897 -1.179960 2.4287453 2.2199607
100129461 0.90029662 0.34766909 -0.07824185 -1.179960 -0.2289241 -0.2123866
100129484 1.71876077 2.09942399 1.99360036 -1.179960 2.2528967 1.2260235
100129550 3.69845400 3.81262840 3.46782194 5.251038 3.4247934 3.1499505
100129583 0.01635111 1.39127511 0.97004823 -1.179960 0.7459561 -0.2123866
100129662 0.20652668 0.56587772 -0.07824185 -1.179960 0.5569264 1.4651689
100129707 0.52499034 0.92285046 0.26319667 -1.179960 1.4366166 0.3616029
100129716 0.90029662 0.46089500 1.14524037 3.699135 1.0628073 -0.2123866
100129726 -0.46120157 -0.22274493 -1.17995959 -1.179960 -1.1799596 -0.2123866
100129774 3.97175343 3.95473246 4.05558447 4.991344 3.7236116 3.8438761
100129781 1.19784995 0.46089500 1.30144337 -1.179960 -0.2289241 -0.2123866
100129792 -0.77627487 0.92285046 -0.07824185 -1.179960 0.7459561 -0.6165339
100129794 0.20652668 1.27221398 1.30144337 -1.179960 1.9791380 1.3505457
100129842 0.20652668 0.34766909 -0.07824185 -1.179960 -0.2289241 -0.2123866
100129917 1.28480076 1.27221398 1.79761414 -1.179960 0.5569264 0.7711224
100129924 -0.46120157 0.22479432 -1.17995959 2.747346 -0.2289241 0.1029677
100129940 1.19784995 0.99981951 0.53909296 -1.179960 1.0628073 0.3616029
100129995 -1.17995959 0.56587772 -1.17995959 -1.179960 -1.1799596 -1.1799596
10013 5.55149024 5.72255159 5.65879008 6.242653 5.7211968 5.5364104
100130111 2.40235537 1.87264288 2.81093252 -1.179960 2.1891715 0.3616029
100130197 -0.20275519 -0.62337920 -1.17995959 -1.179960 0.7459561 0.1029677
100130335 3.77554177 3.91553923 3.68196928 -1.179960 3.6545071 3.8856400
100130348 2.55008554 2.35516337 2.16611868 2.747346 2.5350966 2.8875537
100130357 0.37452802 0.66373647 0.97004823 -1.179960 1.6409727 -0.6165339
100130466 2.68408360 2.98579484 2.86201566 -1.179960 3.1176130 3.9060771
100130476 0.01635111 0.84154247 0.77060275 -1.179960 0.7459561 1.8497778
100130522 1.10532062 1.44731289 1.44237410 -1.179960 0.3393405 0.5808447
100130550 0.20652668 0.34766909 0.26319667 2.747346 -0.2289241 0.7711224
100130564 2.65173272 2.82588273 3.09337803 2.747346 3.1514465 2.8458460
100130581 0.01635111 0.46089500 -0.07824185 2.747346 -0.2289241 -0.2123866
100130691 1.19784995 1.55325303 0.26319667 -1.179960 0.7459561 0.9392034
100130705 1.65490610 1.95226383 0.77060275 3.699135 1.9791380 2.2199607
100130748 0.01635111 1.69886679 0.77060275 -1.179960 1.0628073 1.4651689
100130750 1.71876077 1.39127511 1.14524037 -1.179960 1.7332302 2.2199607
100130855 1.10532062 1.44731289 0.77060275 -1.179960 0.5569264 1.0897295
100130958 0.52499034 0.34766909 1.79761414 -1.179960 0.0830085 0.7711224
100131017 2.36293190 1.99048489 2.75797401 -1.179960 1.9017342 2.2199607
100131031 1.36680764 1.60344179 1.79761414 -1.179960 -1.1799596 1.6702522
100131033 1.51803642 0.84154247 2.32019309 -1.179960 1.1984602 1.7628056
100131067 1.94918747 1.99048489 2.16611868 -1.179960 2.0525996 3.1152628
100131089 2.23775379 2.26448974 0.97004823 -1.179960 2.2528967 2.4036560
100131094 0.01635111 0.84154247 1.44237410 -1.179960 0.3393405 0.5808447
100131138 4.51192412 4.75135257 4.62772586 -1.179960 4.5801498 2.6657986
100131187 2.00147024 2.94744765 2.91135173 -1.179960 3.2484318 2.1531358
100131193 2.40235537 2.76102991 2.52425470 -1.179960 2.8555576 0.9392034
100131211 3.29967405 3.26061206 3.84319673 5.251038 3.1176130 3.0797206
100131213 2.00147024 1.65194312 2.45938911 3.699135 2.8139101 1.5713516
100131471 2.58476979 2.64601009 1.68863899 -1.179960 1.9017342 1.6702522
100131656 3.21364217 3.27616716 3.36532696 -1.179960 2.8139101 3.3118826
100131685 1.94918747 1.83112155 1.14524037 3.699135 2.4829007 1.7628056
100131691 2.05192437 2.02771945 1.79761414 -1.179960 1.8199409 1.2260235
100131740 0.90029662 -0.40919958 0.53909296 -1.179960 0.0830085 0.5808447
100131801 3.07413624 2.02771945 2.75797401 -1.179960 2.9737384 3.1838237
100131827 0.01635111 -0.22274493 0.26319667 -1.179960 0.3393405 -1.1799596
100131828 0.78571049 0.84154247 0.26319667 -1.179960 0.5569264 1.2260235
100131940 1.51803642 1.07288934 2.58632889 -1.179960 1.0628073 2.0094156
100132074 0.52499034 0.66373647 0.26319667 -1.179960 1.0628073 0.7711224
100132086 0.01635111 -0.22274493 -0.07824185 -1.179960 -0.2289241 0.3616029
100132116 7.18361149 7.20508941 7.06864935 7.113295 7.3788579 8.1142924
100132126 0.20652668 0.09047169 -0.52639476 -1.179960 0.3393405 0.3616029
100132215 0.52499034 1.07288934 0.97004823 -1.179960 0.7459561 0.3616029
100132537 1.10532062 1.33297241 1.99360036 -1.179960 1.8199409 2.6657986
100132609 1.77990857 1.33297241 0.77060275 3.699135 1.5424100 0.5808447
100132659 -0.77627487 -0.40919958 -0.07824185 -1.179960 -1.1799596 -1.1799596
100132891 0.01635111 0.66373647 0.26319667 -1.179960 0.7459561 2.2838269
100132972 0.01635111 0.75537697 -0.07824185 -1.179960 0.9130628 -0.2123866
100133234 0.66123200 0.22479432 0.53909296 -1.179960 0.3393405 0.1029677
100133286 0.37452802 -0.22274493 -0.52639476 -1.179960 0.7459561 0.3616029
100133315 -0.46120157 -0.22274493 0.53909296 -1.179960 1.0628073 0.1029677
100134934 1.58809377 2.02771945 1.89893272 -1.179960 2.1891715 1.6702522
10014 5.88989716 5.90370870 5.76995779 6.117887 5.6812214 6.3016940
100144603 -0.46120157 0.46089500 0.97004823 -1.179960 -1.1799596 -0.6165339
100144748 1.71876077 2.06401716 1.68863899 -1.179960 2.2528967 0.3616029
10015 7.66292498 7.56387387 7.52999849 7.407899 7.4485548 7.5027896
10016 5.10856273 5.11793829 5.12263079 4.991344 5.3213671 5.4624419
100170229 0.78571049 1.44731289 0.97004823 -1.179960 0.9130628 0.7711224
100170841 2.83577601 1.95226383 2.58632889 -1.179960 2.4829007 3.4009790
10018 2.83577601 3.19665821 3.29271416 3.699135 2.8555576 3.3421969
100188847 1.44440267 1.20878380 1.57075479 -1.179960 0.9130628 1.3505457
10019 4.17890806 3.91553923 3.91752138 4.674411 3.6307166 4.6862778
100190938 1.00644760 1.69886679 1.30144337 -1.179960 1.0628073 3.0797206
1002 0.90029662 1.20878380 1.30144337 -1.179960 1.0628073 2.0830646
10020 3.14557480 3.21291441 3.40030730 3.699135 3.3683682 3.6393570
10021 7.47000410 7.73122224 7.43619727 8.898520 7.7373985 7.5473823
10023 0.37452802 1.27221398 1.89893272 -1.179960 1.8199409 1.7628056
10024 2.51454685 3.38059563 3.65325515 -1.179960 2.5854698 3.8649092
10026 6.01597775 6.17246986 6.26823312 4.674411 6.1003889 6.0991496
100268168 2.10067348 1.14243605 1.30144337 -1.179960 1.4366166 0.1029677
100270804 0.66123200 0.56587772 -0.07824185 -1.179960 0.7459561 0.5808447
100270827 0.78571049 0.34766909 -0.07824185 -1.179960 -0.6274547 -1.1799596
100270840 3.99772591 4.02085846 4.22124842 3.699135 4.2461941 4.4422438
100270854 3.97175343 4.03920797 4.22124842 -1.179960 4.0627862 4.1654099
100270865 4.94465665 4.73456048 5.01389771 2.747346 4.8817046 5.3401021
100271271 2.86429033 2.92788493 3.21625207 -1.179960 3.2793635 3.2492736
100271332 -0.46120157 -0.62337920 -1.17995959 -1.179960 0.3393405 -1.1799596
100271415 0.66123200 1.69886679 0.97004823 -1.179960 1.7332302 2.3449852
100271479 0.37452802 -0.22274493 1.14524037 -1.179960 0.3393405 -0.2123866
100271884 -0.20275519 -0.62337920 0.26319667 -1.179960 0.9130628 -0.6165339
100272147 1.19784995 1.83112155 1.89893272 2.747346 1.7332302 0.7711224
100286844 1.00644760 1.33297241 1.57075479 -1.179960 1.4366166 0.7711224
100287015 1.44440267 1.91300256 1.68863899 -1.179960 1.6409727 0.9392034
100287049 0.66123200 0.84154247 0.26319667 -1.179960 0.3393405 1.2260235
100287074 1.00644760 0.84154247 0.97004823 -1.179960 -0.2289241 0.5808447
100287616 3.45772548 3.47797266 3.25498961 3.699135 3.5314260 3.0058962
100287722 -0.20275519 0.84154247 -0.52639476 -1.179960 1.3224471 1.2260235
100287808 0.66123200 -0.40919958 0.53909296 3.699135 0.0830085 -0.2123866
100287837 0.78571049 0.46089500 -0.52639476 -1.179960 -1.1799596 1.2260235
100287896 2.14782903 2.38416425 0.53909296 -1.179960 1.9791380 2.0830646
100287902 -0.77627487 -0.62337920 0.26319667 -1.179960 -0.2289241 0.3616029
100287928 2.32240080 2.80458741 1.44237410 -1.179960 2.0525996 2.0094156
100287932 5.20646980 5.19770069 5.49043971 5.251038 5.2683885 5.6916264
100288001 1.77990857 2.92788493 2.64584206 -1.179960 2.6341434 2.1531358
100288073 2.86429033 3.11251051 3.36532696 3.699135 2.9354105 3.1152628
100288123 0.78571049 1.14243605 1.57075479 -1.179960 0.9130628 1.9318036
100288198 1.77990857 1.99048489 0.77060275 -1.179960 1.5424100 1.0897295
100288241 -1.17995959 -0.87499367 -1.17995959 -1.179960 -1.1799596 -1.1799596
100288413 2.68408360 3.04146967 2.45938911 -1.179960 2.6341434 1.3505457
100288513 1.10532062 1.07288934 0.53909296 -1.179960 -0.6274547 0.1029677
100288842 1.19784995 1.44731289 1.57075479 -1.179960 1.0628073 1.5713516
100289061 1.77990857 1.91300256 1.44237410 -1.179960 0.5569264 1.3505457
100289095 -1.17995959 0.34766909 0.97004823 -1.179960 0.7459561 1.0897295
100289133 4.41887305 4.45595775 4.61289006 3.699135 4.5550899 3.4574594
100289178 2.05192437 2.59730549 2.08243671 3.699135 3.0110744 2.3449852
100289211 -0.46120157 0.84154247 0.53909296 -1.179960 0.3393405 -0.2123866
100289259 0.90029662 0.46089500 0.26319667 3.699135 0.7459561 0.7711224
100289274 2.05192437 2.35516337 2.24521173 -1.179960 1.5424100 2.0830646
100289341 1.10532062 1.99048489 0.26319667 -1.179960 1.6409727 0.5808447
100289373 0.90029662 0.84154247 1.30144337 -1.179960 1.0628073 0.7711224
100289388 0.52499034 0.46089500 0.26319667 -1.179960 -0.2289241 -0.2123866
100289414 -0.46120157 -0.40919958 -1.17995959 -1.179960 -0.2289241 -0.2123866
100289635 5.22307832 5.24589564 4.97961289 5.251038 4.9409438 5.6005142
100289640 1.51803642 1.33297241 1.44237410 3.699135 1.3224471 2.2199607
100289678 2.19349194 2.88794523 3.17644562 -1.179960 1.9017342 2.7586292
100293516 2.83577601 3.32185081 3.76483407 4.674411 3.4247934 3.9262288
100294362 1.36680764 1.74431223 0.26319667 3.699135 1.8199409 0.1029677
1003 3.16862260 1.74431223 0.53909296 3.699135 1.5424100 1.3505457
100302692 2.14782903 1.91300256 2.16611868 5.661889 2.4287453 2.7586292
100302736 2.32240080 1.44731289 0.77060275 -1.179960 1.1984602 1.4651689
100303728 2.55008554 2.69312401 3.17644562 3.699135 2.7268249 2.5142911
100303755 1.10532062 1.33297241 1.14524037 -1.179960 1.3224471 1.4651689
100312828 -0.46120157 0.99981951 1.30144337 -1.179960 0.3393405 0.5808447
100312850 0.37452802 0.22479432 0.53909296 -1.179960 -1.1799596 -0.2123866
10036 4.14444635 4.34232799 4.93259436 4.674411 4.4637852 4.5500653
100379345 0.90029662 1.20878380 0.77060275 -1.179960 0.9130628 1.4651689
10038 4.85514658 5.34878528 5.22374012 3.699135 5.4078929 5.3097434
100381270 0.90029662 0.34766909 0.77060275 -1.179960 1.4366166 0.9392034
10039 3.02446638 2.80458741 2.81093252 2.747346 3.1845047 3.4009790
1004 4.30906929 3.51777430 4.09881773 4.674411 3.9898549 4.3996385
10040 4.03582844 4.19462733 4.29745303 4.991344 4.1151628 4.1654099
100418710 0.01635111 0.56587772 -0.52639476 2.747346 -1.1799596 1.7628056
100418735 1.00644760 1.91300256 1.44237410 -1.179960 1.6409727 2.2838269
100418744 2.23775379 1.99048489 2.58632889 -1.179960 1.5424100 0.3616029
100418770 -0.46120157 -0.40919958 -0.52639476 -1.179960 0.0830085 -1.1799596
100418781 3.21364217 2.92788493 3.25498961 -1.179960 3.1845047 1.7628056
100418819 1.58809377 1.33297241 2.08243671 -1.179960 1.0628073 1.9318036
100418829 2.47811055 2.26448974 2.91135173 -1.179960 2.1891715 1.7628056
100418888 -0.20275519 0.56587772 0.77060275 3.699135 1.0628073 0.9392034
100418889 2.71572492 3.07742732 2.75797401 -1.179960 3.1514465 2.5142911
100418910 0.90029662 0.56587772 1.30144337 3.699135 0.9130628 1.9318036
100418919 2.40235537 2.90805329 3.46782194 3.699135 1.7332302 2.3449852
100419028 1.89493852 1.99048489 1.44237410 -1.179960 1.6409727 1.7628056
100419185 0.01635111 0.22479432 -1.17995959 -1.179960 0.0830085 -0.2123866
100419416 0.78571049 0.84154247 0.97004823 -1.179960 1.5424100 0.9392034
100419515 0.01635111 -0.62337920 0.77060275 -1.179960 1.1984602 1.0897295
100419645 0.20652668 0.09047169 -1.17995959 -1.179960 0.3393405 -0.2123866
100419758 0.66123200 1.27221398 0.77060275 -1.179960 0.3393405 0.1029677
100419928 1.36680764 1.87264288 1.89893272 -1.179960 2.2528967 2.0094156
10042 4.82644914 4.78979036 4.74122044 -1.179960 4.8199285 5.4275239
100420028 1.19784995 0.66373647 -0.07824185 -1.179960 1.5424100 1.2260235
100420050 -0.46120157 0.22479432 -0.07824185 -1.179960 -0.2289241 0.7711224
100420110 3.14557480 2.96674865 3.36532696 2.747346 2.9737384 2.9675173
100420187 0.52499034 0.22479432 -0.52639476 -1.179960 -0.2289241 0.1029677
100420259 4.19021477 4.15310765 4.03347209 3.699135 4.0084363 4.2637096
100420307 0.01635111 1.14243605 0.53909296 -1.179960 0.0830085 1.4651689
100420341 5.72477365 5.70541888 5.76325521 5.830416 5.7042000 5.6130001
100420423 1.00644760 0.99981951 1.57075479 -1.179960 0.9130628 1.2260235
100420591 0.20652668 -0.22274493 0.97004823 -1.179960 -0.2289241 1.3505457
100420707 2.19349194 2.26448974 2.45938911 3.699135 2.1891715 2.4036560
100420752 2.00147024 2.02771945 2.39146921 4.674411 1.6409727 2.3449852
100420869 3.95858971 4.02085846 4.43875560 -1.179960 4.2145350 4.1822654
100420981 6.13191994 5.90870723 5.93411668 5.251038 6.0608778 6.1385468
100421093 3.95858971 3.67858566 3.53231781 -1.179960 4.1490531 4.0959469
100421109 1.10532062 0.75537697 0.53909296 2.747346 0.5569264 1.3505457
100421160 0.52499034 -0.62337920 0.53909296 -1.179960 -0.2289241 0.1029677
100421175 0.20652668 0.22479432 0.53909296 -1.179960 -1.1799596 0.1029677
100421246 0.37452802 0.66373647 0.53909296 -1.179960 1.5424100 0.7711224
100421311 0.90029662 1.60344179 1.89893272 -1.179960 0.7459561 1.4651689
100421372 1.19784995 1.39127511 1.57075479 -1.179960 1.3224471 1.6702522
100421400 1.89493852 2.41259362 3.09337803 -1.179960 2.3139256 2.9280894
100421415 0.37452802 -0.87499367 0.53909296 -1.179960 -0.2289241 -1.1799596
100421429 -1.17995959 0.22479432 -1.17995959 -1.179960 0.7459561 -0.2123866
100421465 1.51803642 1.33297241 0.53909296 -1.179960 1.5424100 1.9318036
100421468 2.05192437 2.02771945 2.32019309 -1.179960 1.9017342 1.9318036
100421506 0.66123200 0.09047169 1.14524037 -1.179960 -0.6274547 1.5713516
100421569 1.19784995 0.56587772 -0.07824185 -1.179960 0.0830085 -1.1799596
100421595 -1.17995959 -0.40919958 -0.52639476 -1.179960 -0.6274547 -0.2123866
100421794 -0.77627487 -1.17995959 -1.17995959 -1.179960 -1.1799596 -0.2123866
100422106 1.83856970 1.44731289 1.14524037 -1.179960 0.9130628 0.5808447
100422338 1.77990857 2.32556754 2.45938911 -1.179960 3.1176130 2.8458460
100422546 0.52499034 0.66373647 1.79761414 -1.179960 1.9791380 1.5713516
100422561 3.09834428 2.84686828 3.73773789 2.747346 3.3096460 3.6393570
10043 5.53384761 5.56683728 5.94600325 5.251038 5.4287371 5.4204377
10044 0.90029662 0.09047169 -1.17995959 -1.179960 -1.1799596 1.4651689
10045 0.20652668 0.75537697 0.77060275 -1.179960 0.5569264 -0.2123866
10046 0.78571049 1.55325303 1.44237410 2.747346 0.9130628 1.5713516
10048 6.56870942 6.47504735 6.41656496 5.981300 6.5346307 6.5328236
10049 6.06900137 6.17869063 6.23954514 6.117887 6.2007492 5.6437502
100499177 2.19349194 2.62186331 2.91135173 3.699135 2.6341434 2.9675173
100499483 2.23775379 1.20878380 1.57075479 -1.179960 1.4366166 3.2809177
1005 -1.17995959 -0.62337920 -1.17995959 -1.179960 -1.1799596 -0.2123866
100500719 0.01635111 -0.05765314 -1.17995959 -1.179960 0.0830085 -1.1799596
100505385 2.97302530 3.51777430 3.98820384 2.747346 3.0110744 2.9675173
100505501 1.19784995 1.07288934 1.14524037 -1.179960 0.9130628 0.3616029
100505538 0.01635111 -0.05765314 1.57075479 -1.179960 0.3393405 -1.1799596
100505549 0.52499034 0.56587772 1.44237410 -1.179960 0.0830085 1.2260235
100505573 5.90026146 6.25916871 6.10818335 4.674411 6.0156688 5.3173931
100505576 1.28480076 1.69886679 0.26319667 3.699135 0.5569264 3.1499505
100505616 -0.77627487 0.46089500 0.77060275 -1.179960 -1.1799596 0.5808447
100505624 1.28480076 1.39127511 0.77060275 3.699135 1.0628073 1.8497778
100505635 0.20652668 0.75537697 0.53909296 2.747346 0.9130628 0.7711224
100505641 1.83856970 2.29535184 2.64584206 -1.179960 2.7268249 2.4036560
100505648 1.94918747 2.44047358 1.79761414 -1.179960 1.7332302 2.7586292
100505678 1.65490610 1.33297241 1.14524037 3.699135 1.5424100 1.4651689
100505696 4.30906929 4.45595775 4.43875560 4.674411 4.2145350 4.5105705
100505715 0.37452802 0.34766909 0.97004823 -1.179960 -0.2289241 0.7711224
100505738 3.09834428 2.66975937 3.32947735 -1.179960 2.6341434 -1.1799596
100505741 1.83856970 1.78836972 1.30144337 3.699135 1.5424100 2.1531358
100505758 3.02446638 3.12973728 3.40030730 -1.179960 3.0474685 3.1152628
100505761 2.40235537 2.71611629 2.81093252 -1.179960 2.0525996 2.5665815
100505771 0.78571049 1.27221398 2.24521173 -1.179960 1.1984602 1.6702522
100505783 2.14782903 1.60344179 1.57075479 -1.179960 1.3224471 2.6170428
100505806 4.40922914 4.52919041 4.16133141 -1.179960 4.5295871 4.3705196
100505812 1.83856970 1.33297241 2.32019309 -1.179960 1.5424100 1.0897295
100505832 0.52499034 0.92285046 0.77060275 -1.179960 0.7459561 1.0897295
100505854 2.74668716 2.80458741 3.29271416 4.674411 3.0110744 3.6147341
100505876 4.89023380 4.75135257 4.74122044 3.699135 5.3139168 4.8215312
100505894 2.97302530 2.54689902 2.32019309 -1.179960 2.7268249 3.0797206
100505933 0.01635111 -0.40919958 -1.17995959 -1.179960 -1.1799596 -0.2123866
100505994 0.78571049 0.84154247 1.14524037 -1.179960 -0.2289241 -0.2123866
100506020 1.00644760 1.07288934 1.44237410 -1.179960 1.4366166 0.5808447
100506033 4.19021477 4.95353198 4.25985381 4.674411 4.8304100 4.4422438
100506054 1.36680764 0.75537697 1.68863899 -1.179960 1.4366166 1.3505457
100506068 1.10532062 1.20878380 1.14524037 -1.179960 1.5424100 1.3505457
100506070 2.23775379 2.49466743 1.44237410 3.699135 2.3139256 0.5808447
100506083 -0.20275519 0.22479432 0.97004823 -1.179960 0.9130628 0.1029677
100506100 0.01635111 -0.22274493 -1.17995959 -1.179960 -0.2289241 -1.1799596
100506119 1.10532062 1.20878380 1.57075479 -1.179960 1.6409727 1.2260235
100506127 1.77990857 0.99981951 1.30144337 -1.179960 1.3224471 2.0094156
100506142 0.52499034 0.22479432 -1.17995959 2.747346 -0.6274547 -0.6165339
100506144 2.32240080 2.16773278 2.08243671 -1.179960 2.3139256 1.5713516
100506161 -1.17995959 0.46089500 -1.17995959 -1.179960 -0.2289241 0.3616029
100506211 2.91968198 2.44047358 2.45938911 -1.179960 2.4287453 0.7711224
100506235 1.36680764 0.75537697 0.77060275 -1.179960 0.9130628 0.5808447
100506258 0.90029662 1.50125517 -0.07824185 4.267662 -0.2289241 0.1029677
100506282 1.94918747 1.83112155 1.79761414 3.699135 2.1225010 1.4651689
100506286 0.01635111 1.20878380 0.97004823 -1.179960 1.3224471 0.5808447
100506302 0.37452802 0.56587772 1.79761414 -1.179960 1.6409727 0.9392034
100506321 0.90029662 0.75537697 -0.07824185 -1.179960 0.3393405 0.5808447
100506325 0.01635111 0.84154247 0.97004823 -1.179960 1.5424100 0.9392034
100506343 1.51803642 0.66373647 0.26319667 3.699135 1.1984602 0.1029677
100506365 5.10259123 5.25769695 5.25274095 4.674411 5.0163255 5.0032510
100506368 -0.77627487 -0.22274493 -0.07824185 -1.179960 1.1984602 -1.1799596
100506380 2.58476979 2.80458741 2.70299718 -1.179960 2.1225010 2.3449852
100506392 3.27864225 3.64303441 2.91135173 3.699135 2.8555576 3.1499505
100506394 2.19349194 2.09942399 1.99360036 3.699135 1.7332302 1.5713516
100506411 1.28480076 1.91300256 2.24521173 -1.179960 1.0628073 1.0897295
100506433 1.71876077 2.86755295 2.45938911 3.699135 2.8139101 1.8497778
100506462 0.20652668 0.22479432 0.97004823 -1.179960 1.3224471 1.2260235
100506469 4.31940404 4.41438829 4.47201995 3.699135 3.8526188 4.4281814
100506495 0.01635111 0.34766909 0.26319667 -1.179960 0.5569264 0.9392034
100506504 1.51803642 1.20878380 2.45938911 -1.179960 1.3224471 2.2838269
100506540 0.78571049 1.07288934 0.77060275 -1.179960 0.9130628 1.2260235
100506581 0.37452802 0.09047169 0.53909296 -1.179960 0.9130628 0.7711224
100506606 0.52499034 0.66373647 0.26319667 -1.179960 0.5569264 -0.2123866
100506658 2.32240080 2.54689902 2.45938911 3.699135 2.7268249 0.7711224
100506668 2.19349194 2.64601009 2.58632889 -1.179960 1.7332302 2.0830646
100506686 1.10532062 1.69886679 1.89893272 -1.179960 1.9017342 1.0897295
100506691 -0.20275519 -0.22274493 0.77060275 -1.179960 0.9130628 -0.2123866
100506696 1.10532062 1.95226383 1.68863899 -1.179960 2.3139256 1.3505457
100506697 2.05192437 -0.22274493 0.97004823 -1.179960 1.1984602 0.3616029
100506710 6.35427169 6.50835787 6.23470786 6.357483 6.4521955 6.1298844
100506713 0.52499034 0.34766909 -0.07824185 -1.179960 0.0830085 0.5808447
100506725 3.23563587 4.13615933 3.62395790 5.251038 3.9326301 2.6657986
100506731 1.51803642 1.50125517 1.89893272 2.747346 1.9017342 1.3505457
100506757 -0.46120157 -0.87499367 -0.07824185 -1.179960 -0.2289241 -1.1799596
100506779 -0.77627487 -0.40919958 0.26319667 -1.179960 -1.1799596 0.3616029
100506804 0.37452802 -0.22274493 0.26319667 -1.179960 -1.1799596 -0.2123866
100506826 1.10532062 1.83112155 1.68863899 -1.179960 1.7332302 -0.2123866
100506844 2.05192437 2.35516337 1.79761414 -1.179960 2.0525996 2.4600338
100506866 6.26619572 6.41307882 6.11346321 9.265002 5.9256615 5.0499161
100506881 1.00644760 -0.22274493 0.97004823 -1.179960 0.7459561 0.7711224
100506885 0.52499034 -0.05765314 -0.52639476 3.699135 -1.1799596 1.3505457
100506911 0.78571049 0.75537697 0.77060275 -1.179960 -0.6274547 1.0897295
100506922 1.51803642 1.60344179 1.68863899 -1.179960 1.0628073 1.6702522
100506930 3.87698071 3.99288903 4.14079303 4.674411 3.3968567 3.8225319
100506994 0.78571049 -0.22274493 -0.52639476 2.747346 0.9130628 -0.2123866
100507003 1.89493852 1.20878380 -0.07824185 -1.179960 1.0628073 0.3616029
100507032 1.71876077 0.99981951 0.97004823 -1.179960 1.7332302 1.4651689
100507034 3.07413624 3.24488741 3.56351577 -1.179960 3.3096460 3.3718873
100507050 -1.17995959 -0.05765314 -0.07824185 -1.179960 0.3393405 -1.1799596
100507053 0.52499034 1.78836972 1.68863899 -1.179960 2.1891715 2.8028966
100507057 0.90029662 0.66373647 0.26319667 -1.179960 1.6409727 0.5808447
100507062 -0.20275519 -0.22274493 -0.07824185 -1.179960 -1.1799596 -0.2123866
100507071 1.10532062 0.66373647 0.53909296 -1.179960 -0.2289241 1.5713516
100507156 3.81989171 3.05956052 3.17644562 -1.179960 3.4790947 3.2169197
100507171 2.94660017 2.29535184 2.39146921 3.699135 2.1225010 3.1838237
100507173 -0.77627487 -0.22274493 0.97004823 -1.179960 -1.1799596 0.3616029
100507178 0.66123200 1.20878380 1.30144337 -1.179960 1.5424100 -1.1799596
100507244 1.00644760 0.84154247 1.30144337 4.674411 0.0830085 1.2260235
100507246 2.77699884 2.32556754 2.86201566 -1.179960 2.3139256 2.0094156
100507250 0.01635111 0.66373647 0.26319667 -1.179960 0.7459561 0.5808447
100507254 1.10532062 -0.22274493 -0.07824185 -1.179960 1.5424100 3.4294956
100507266 0.37452802 0.34766909 -0.07824185 -1.179960 0.9130628 0.3616029
100507290 4.15602530 4.05732702 3.96502567 -1.179960 4.2617669 4.3104568
100507291 1.28480076 1.27221398 1.57075479 -1.179960 1.7332302 0.3616029
100507303 2.68408360 3.07742732 3.00523379 -1.179960 3.3393058 3.0797206
100507308 0.01635111 0.09047169 -0.52639476 -1.179960 -0.2289241 -1.1799596
100507316 1.10532062 1.20878380 2.16611868 -1.179960 1.7332302 1.5713516
100507331 1.36680764 1.83112155 1.44237410 -1.179960 1.8199409 2.1531358
100507347 1.28480076 0.75537697 -0.07824185 -1.179960 1.0628073 1.6702522
100507373 1.65490610 1.14243605 1.57075479 4.267662 1.0628073 1.6702522
100507392 1.83856970 1.55325303 1.57075479 -1.179960 1.5424100 1.3505457
100507398 0.66123200 1.14243605 1.14524037 -1.179960 0.3393405 -0.2123866
100507401 0.01635111 0.46089500 1.14524037 -1.179960 0.0830085 0.3616029
100507420 0.66123200 0.92285046 0.97004823 -1.179960 1.0628073 0.7711224
100507433 0.52499034 0.99981951 -0.07824185 -1.179960 1.4366166 0.9392034
100507436 -0.46120157 0.09047169 0.77060275 3.699135 -0.2289241 -0.6165339
100507437 2.36293190 1.78836972 2.52425470 3.699135 2.1225010 2.3449852
100507459 1.36680764 1.83112155 0.77060275 3.699135 1.0628073 1.2260235
100507463 1.83856970 1.20878380 1.14524037 2.747346 1.0628073 1.0897295
100507487 2.14782903 2.54689902 2.52425470 3.699135 2.8139101 1.8497778
100507495 1.36680764 1.87264288 1.99360036 3.699135 1.9017342 1.5713516
100507516 0.01635111 0.34766909 -1.17995959 -1.179960 -1.1799596 -0.2123866
100507551 1.65490610 1.44731289 0.97004823 -1.179960 1.4366166 1.4651689
100507557 -0.20275519 1.07288934 0.77060275 -1.179960 -0.6274547 -0.2123866
100507564 0.20652668 -1.17995959 -0.07824185 -1.179960 -0.2289241 -0.2123866
100507567 1.28480076 0.99981951 1.89893272 -1.179960 1.6409727 1.3505457
100507588 -0.20275519 -0.87499367 0.26319667 -1.179960 -1.1799596 1.0897295
100507599 0.66123200 1.33297241 0.53909296 -1.179960 1.9017342 1.3505457
100507602 1.10532062 1.07288934 -0.52639476 -1.179960 1.5424100 2.0094156
100508120 2.14782903 1.50125517 1.30144337 3.699135 2.3139256 1.6702522
10051 6.24195257 6.65090442 6.90778330 7.297168 6.4790907 6.8474437
10052 1.36680764 1.99048489 0.77060275 -1.179960 1.9017342 0.9392034
100526737 1.77990857 1.87264288 2.08243671 -1.179960 2.1225010 2.3449852
100526760 0.78571049 0.56587772 1.44237410 -1.179960 1.0628073 -0.2123866
100526820 0.20652668 0.34766909 0.53909296 -1.179960 0.0830085 -0.6165339
100526835 2.77699884 3.05956052 2.39146921 -1.179960 2.3724774 3.2809177
100527978 0.52499034 1.33297241 0.26319667 -1.179960 1.0628073 0.9392034
100529145 1.65490610 1.44731289 1.79761414 -1.179960 1.3224471 0.5808447
100529215 0.90029662 -0.40919958 -0.07824185 -1.179960 0.3393405 -0.6165339
100532746 3.76045022 4.00227255 4.07736304 2.747346 4.0267814 3.6393570
100533106 0.37452802 0.09047169 -0.52639476 -1.179960 0.5569264 -0.2123866
100533182 0.37452802 1.14243605 0.53909296 -1.179960 1.6409727 0.1029677
100533619 0.37452802 0.84154247 -1.17995959 -1.179960 0.5569264 0.3616029
100533629 1.44440267 1.50125517 0.53909296 -1.179960 -0.2289241 1.3505457
100533695 0.52499034 0.66373647 -0.07824185 -1.179960 0.9130628 0.1029677
100533970 0.78571049 0.92285046 1.99360036 -1.179960 -0.6274547 0.7711224
100534593 1.00644760 1.14243605 0.97004823 -1.179960 1.4366166 0.7711224
10054 5.51148653 5.69388298 5.65154926 5.830416 5.5414827 6.2665611
10056 5.52940304 5.73667505 5.97529815 5.661889 5.7155534 5.9298308
10057 7.59223620 7.74106404 7.76621632 6.655587 7.5199042 7.0989431
10058 4.28817500 4.22700365 4.14079303 4.991344 4.5166647 3.6873768
10059 7.00785803 7.16596303 7.08486732 6.655587 6.9804709 7.1231502
1006 5.07235725 4.78436155 4.61289006 5.661889 4.5423949 5.2629727
10060 2.32240080 1.78836972 1.30144337 -1.179960 2.4287453 3.8008671
100616256 0.78571049 0.75537697 0.53909296 -1.179960 1.3224471 0.3616029
10062 2.23775379 2.09942399 2.91135173 -1.179960 2.7710245 1.7628056
10063 2.80668674 3.71328188 4.11995803 3.699135 3.3393058 3.1152628
100652739 0.52499034 1.20878380 -0.07824185 -1.179960 -0.2289241 -0.2123866
100652758 -0.46120157 0.09047169 0.77060275 3.699135 -0.6274547 0.3616029
100652846 2.10067348 2.38416425 2.70299718 -1.179960 1.9017342 0.9392034
10066 6.30831373 6.31294606 6.42932303 6.242653 6.1804087 5.7033513
10067 6.63019144 6.36297078 6.27295948 5.981300 6.3319435 6.4201072
10068 3.38086306 3.35152220 2.81093252 3.699135 3.3393058 3.4848915
10069 4.30906929 4.71757063 4.68558892 5.981300 4.4088935 3.9461028
10072 5.51148653 5.29253248 5.48230014 4.991344 5.6519738 5.2787320
10073 3.56584701 3.89553597 3.94146904 3.699135 4.0804572 3.2169197
10075 8.80157326 8.82995890 8.86988488 9.897852 8.7559758 8.4313613
10076 5.49790161 5.28101384 5.53833571 5.251038 5.6039082 5.4345754
10077 2.36293190 2.54689902 2.45938911 -1.179960 2.4287453 1.9318036
100775107 1.00644760 1.20878380 1.68863899 -1.179960 0.0830085 0.1029677
10078 4.70558588 4.37880801 4.83369441 3.699135 4.8715905 4.9648007
10079 5.43750899 5.20990121 5.38959611 6.242653 5.0966730 5.5623947
1008 3.95858971 3.79113506 3.50043026 3.699135 3.5568966 4.9152504
10081 4.72125923 4.74017959 4.84643408 3.699135 4.6528187 4.6744128
10082 7.81491823 7.84184865 7.58614571 8.432461 7.6032527 6.6795294
100820829 4.62455850 5.14783993 5.29981663 5.471040 4.7772241 4.3408007
10084 5.42320574 5.10056921 5.49853362 -1.179960 5.4287371 5.3698352
100847074 2.05192437 1.60344179 1.89893272 -1.179960 1.6409727 1.6702522
10085 9.58441308 9.36166408 9.21260466 9.142238 9.3849019 10.0738568
100852407 0.52499034 0.66373647 0.26319667 -1.179960 0.5569264 1.8497778
100861412 -0.46120157 0.66373647 0.97004823 -1.179960 0.5569264 0.9392034
100861548 4.04830889 4.25081781 4.03347209 4.674411 3.9519584 3.7108004
100862671 1.00644760 1.20878380 1.57075479 -1.179960 1.3224471 -0.2123866
10087 6.14940393 6.24144855 5.94600325 6.976251 6.0741687 5.7033513
100873257 0.90029662 0.22479432 0.26319667 -1.179960 0.5569264 0.3616029
100873333 3.07413624 3.29155634 3.71012304 3.699135 3.3968567 3.3421969
100873790 3.87698071 3.93526893 4.24068024 2.747346 3.5314260 4.8107320
100873949 1.00644760 1.60344179 0.53909296 -1.179960 1.0628073 0.3616029
100873952 0.01635111 -0.40919958 -1.17995959 -1.179960 -0.6274547 -0.2123866
100873965 1.36680764 1.55325303 1.57075479 -1.179960 1.6409727 2.2199607
100874006 0.20652668 0.46089500 -0.07824185 -1.179960 0.3393405 1.2260235
100874008 0.78571049 1.39127511 1.79761414 3.699135 1.6409727 1.3505457
100874014 1.94918747 2.09942399 2.58632889 -1.179960 2.3139256 2.7129605
100874058 1.19784995 0.75537697 -0.07824185 -1.179960 0.5569264 -0.6165339
100874080 1.36680764 1.65194312 1.30144337 2.747346 1.4366166 0.9392034
100874097 0.66123200 1.27221398 1.14524037 -1.179960 1.0628073 2.4036560
100874201 0.01635111 0.46089500 1.30144337 -1.179960 0.3393405 0.1029677
100874212 0.78571049 1.20878380 0.26319667 -1.179960 0.0830085 0.9392034
100874217 0.20652668 1.39127511 1.14524037 -1.179960 0.0830085 0.5808447
100874235 0.52499034 0.92285046 0.53909296 -1.179960 0.5569264 -0.6165339
100874261 1.00644760 0.46089500 -1.17995959 3.699135 0.0830085 -0.6165339
100874291 -0.46120157 -1.17995959 -0.07824185 -1.179960 -0.2289241 0.9392034
100874362 0.90029662 1.07288934 0.97004823 -1.179960 1.9017342 1.7628056
100874523 2.44073014 2.32556754 2.52425470 -1.179960 1.5424100 2.2838269
100885775 5.26645508 5.05169700 4.95629516 3.699135 5.1478550 4.7441819
100885776 0.37452802 0.46089500 0.53909296 4.674411 -0.2289241 -0.6165339
100885848 4.36001825 4.64753681 4.45548364 5.251038 4.3372049 4.4422438
1009 10.09734390 9.98940727 9.92694655 10.033569 10.1132834 10.3824517
10090 3.99772591 4.09289642 3.73773789 5.661889 3.9710310 4.0599195
10092 7.64660123 7.46214388 7.56510490 6.562899 7.6660441 8.2463870
10093 7.32623624 7.08768497 7.18355248 6.117887 7.3645051 7.5763630
10094 5.70913864 5.62569956 5.59981966 4.674411 5.6039082 5.8686674
10095 6.54248174 6.13457118 6.30099699 5.251038 6.5249836 6.1642264
10097 8.73316609 8.51462344 8.65226107 7.973720 8.6281403 8.8857144
10098 7.17510081 6.98375444 6.85517462 6.242653 7.0826484 6.7001568
10099 8.31136447 8.46712985 8.44277158 7.821999 8.4526798 7.8152623
100996246 0.37452802 0.09047169 -1.17995959 -1.179960 -1.1799596 1.3505457
100996251 -0.20275519 0.46089500 -1.17995959 -1.179960 0.0830085 -1.1799596
100996307 -0.20275519 -0.05765314 0.53909296 -1.179960 -0.2289241 0.3616029
100996384 0.78571049 0.46089500 0.77060275 3.699135 0.7459561 0.7711224
100996419 0.01635111 -0.22274493 1.30144337 -1.179960 1.3224471 0.3616029
100996485 2.23775379 2.62186331 1.68863899 -1.179960 2.5350966 2.3449852
100996539 -0.46120157 0.34766909 0.26319667 -1.179960 0.7459561 0.3616029
100996579 -0.46120157 0.09047169 0.97004823 -1.179960 0.0830085 -1.1799596
100996696 1.77990857 2.44047358 2.39146921 -1.179960 2.0525996 2.8875537
100996842 -1.17995959 -0.22274493 -0.07824185 -1.179960 0.9130628 1.4651689
100996851 -1.17995959 -0.87499367 0.53909296 -1.179960 -1.1799596 1.3505457
100996939 1.28480076 1.44731289 0.97004823 -1.179960 1.1984602 1.0897295
101 2.83577601 2.49466743 2.24521173 -1.179960 0.3393405 1.8497778
1010 -1.17995959 -1.17995959 -1.17995959 -1.179960 -1.1799596 -0.2123866
10100 5.21756336 5.38151337 5.26227978 5.981300 5.3867431 4.7667081
10101 4.56500383 4.64753681 5.14342750 -1.179960 4.8614051 4.9152504
10102 4.79716927 4.67713180 4.96800113 5.471040 4.6528187 4.5885077
10103 1.28480076 1.07288934 1.57075479 3.699135 1.3224471 0.3616029
10105 6.63640464 6.32046747 6.47105308 4.991344 6.4038876 6.2705072
10106 6.38657605 6.53769360 6.53540783 6.357483 6.6277115 6.9469629
101060200 2.40235537 2.16773278 2.81093252 2.747346 2.4287453 2.1531358
101060691 3.04951506 3.36613215 3.09337803 4.674411 2.9354105 3.3118826
10109 8.57772848 8.50475390 8.47081126 7.460232 8.5954823 8.8452763
10112 4.17890806 5.46532356 5.25274095 3.699135 5.1972832 5.4061600
10113 6.05669941 5.97930466 6.19042655 5.981300 6.0474632 5.9447249
10114 7.28596381 7.42337675 7.33587055 8.206004 7.0538663 7.3320452
101154753 0.52499034 0.22479432 -0.52639476 -1.179960 0.5569264 -1.1799596
10116 7.50211381 7.43987233 7.28764189 7.652425 7.3279859 7.4270305
10117 0.90029662 1.65194312 0.97004823 3.699135 2.1891715 1.3505457
1012 7.10514511 6.77379182 6.97603731 6.902517 7.0130417 8.1230487
10121 6.32892044 6.20939839 6.14474294 5.471040 6.0873384 6.4094098
10123 7.08408563 6.94169908 7.14797532 5.251038 6.9155000 7.4533069
THA_2_H4 DMSO_2_H4 TUN_24_H4 THA_24_H4 DOX_24_H4
100 3.45463444 3.39966167 2.63712976 3.21621015 4.64954474
1000 11.06295990 11.44594085 11.41593661 11.69548928 10.61327537
10000 7.26848335 7.29296289 6.94974876 7.13241136 6.07919757
10001 4.53849415 4.70504207 4.19549641 4.23677178 4.42812209
10003 2.65236860 3.47187864 3.29765442 3.07179999 3.50139234
100037417 2.11717818 1.57018112 2.08209034 1.71106443 1.49675833
100049716 1.75025277 0.91530468 1.95344403 1.54593900 2.85666841
10005 3.69064336 3.96437092 3.84282195 4.18153856 3.70322735
10006 6.72065759 6.63250271 6.62488976 6.49507550 5.90181273
10007 5.25712587 4.94382929 5.00217836 5.28674603 5.67571952
10009 5.14242340 5.39760751 5.08895056 4.78286281 4.98005778
100093630 3.71225228 3.39966167 3.15867607 3.88574034 3.04679020
1001 5.63631852 5.99192462 5.57231163 5.45921839 7.57151271
10010 5.32181057 5.26838873 4.85688417 5.39389817 5.49712680
100101267 2.65236860 2.08183315 0.77031612 2.05631609 2.37928657
100101467 4.52634661 4.50157558 5.03433897 5.22662309 3.92939404
10011 5.91316625 5.53317471 5.65220260 5.84420053 4.95654726
100113386 1.25695305 0.60863559 0.21885475 0.20104240 1.58117285
100113397 1.25695305 -0.02460436 0.77031612 0.20104240 -0.70977630
100113407 4.33067497 4.18092409 4.44317603 4.76418604 6.47359086
100125288 0.28780344 -0.31740023 1.16830673 1.35944143 3.62584781
100127983 2.56004922 2.45876939 1.88454657 1.99356123 0.16551730
100128006 2.40944954 2.01894479 2.30936486 2.38445770 2.47063996
100128016 1.75025277 1.47966749 2.08209034 1.54593900 1.87669739
100128025 0.68749821 0.42679184 -0.31727101 -0.33016365 2.98615808
100128054 0.50144857 1.95318964 0.91552461 0.89351241 0.36918083
100128071 -0.26695459 0.77010330 0.77031612 1.71106443 2.12185708
100128191 1.57263111 1.57018112 1.27982128 0.58843139 3.91320119
100128252 -1.17995959 -1.17995959 -1.17995959 -1.17995959 -0.35574497
100128379 -1.17995959 -0.31740023 -1.17995959 0.89351241 -0.35574497
100128398 3.94907991 4.31784748 4.52467714 5.14235130 5.21615977
100128494 2.93564168 2.41058548 3.06837232 2.76868122 3.21474959
100128569 1.98139138 0.42679184 2.55082805 2.22969635 1.49675833
100128640 -0.26695459 0.21867652 -1.17995959 1.02484062 3.77666702
100128682 0.03692681 0.21867652 1.04744501 1.14520514 -0.35574497
100128731 6.34182482 6.68914237 6.33006001 6.43139467 7.29671852
100128766 -1.17995959 -0.68515433 -0.68507096 -0.69337599 -0.07169853
100128782 1.47488393 2.14209427 1.65559659 1.45570169 2.98615808
100128822 2.73913400 2.14209427 1.38333123 2.52421407 3.52289486
100128833 2.18056148 2.55056256 1.88454657 2.69170487 2.55655161
100128881 1.98139138 2.19993889 2.25581396 2.43256321 2.63763352
100128893 4.67680561 4.73469887 5.11925344 4.74526431 5.79540103
100129001 0.03692681 0.60863559 -0.02444614 -0.69337599 -0.07169853
100129013 3.37558468 2.59435799 2.93843989 2.38445770 1.20909502
100129029 -0.26695459 0.42679184 0.60883961 0.58843139 0.36918083
100129060 3.32037112 3.06810031 3.21588375 2.52421407 2.55655161
100129075 1.83148373 1.38309270 1.65559659 2.11645462 3.99240695
100129195 1.37002961 2.36073652 2.01920065 1.71106443 3.70322735
100129203 0.28780344 1.16807600 -1.17995959 -0.33016365 5.46416147
100129250 2.05088173 1.57018112 1.04744501 1.85921634 2.06436123
100129259 -1.17995959 -0.02460436 -0.31727101 0.58843139 -0.70977630
100129361 5.52472875 5.69278389 5.38547826 5.66954000 4.20686025
100129398 1.00014173 0.21867652 0.91552461 1.02484062 0.36918083
100129434 1.37002961 1.47966749 1.04744501 1.45570169 3.43489231
100129461 0.50144857 1.04721921 -0.02444614 0.40770061 1.58117285
100129484 2.05088173 1.81194208 1.57042557 1.35944143 2.12185708
100129550 3.04186097 3.44820572 3.21588375 4.54099918 5.81732055
100129583 0.03692681 -0.31740023 -1.17995959 2.28314946 1.80829575
100129662 -0.26695459 -0.68515433 -0.02444614 0.74902121 3.52289486
100129707 1.13425417 0.77010330 -0.02444614 0.20104240 0.36918083
100129716 -0.65240704 0.60863559 0.91552461 1.54593900 1.58117285
100129726 0.85227249 -1.17995959 -1.17995959 0.89351241 2.47063996
100129774 3.57745958 3.15840315 3.09910592 3.93666847 2.98615808
100129781 0.03692681 0.91530468 -0.31727101 -0.33016365 0.54761794
100129792 0.28780344 -1.17995959 -1.17995959 -0.04024848 -1.17995959
100129794 1.37002961 1.47966749 1.04744501 1.14520514 -0.07169853
100129842 0.03692681 0.21867652 0.21885475 1.63086288 0.16551730
100129917 2.18056148 1.38309270 1.04744501 2.87695308 0.36918083
100129924 -0.65240704 -1.17995959 0.42698469 0.40770061 3.41202656
100129940 1.75025277 1.81194208 2.14235268 0.89351241 -0.70977630
100129995 0.03692681 -0.31740023 -1.17995959 -1.17995959 -1.17995959
10013 5.70259368 5.53878953 5.79043898 6.08521342 6.19422939
100130111 1.66417377 0.60863559 0.91552461 0.20104240 1.20909502
100130197 -0.26695459 0.42679184 0.21885475 -0.33016365 -0.07169853
100130335 3.26296009 3.98096445 3.93087890 3.93666847 3.82939303
100130348 2.65236860 2.59435799 2.83268441 2.94486833 2.12185708
100130357 -0.26695459 -1.17995959 1.04744501 0.20104240 0.54761794
100130466 3.85507851 3.98096445 3.49544526 4.12410628 3.96124450
100130476 2.11717818 2.25555338 2.08209034 1.14520514 1.73648890
100130522 -0.26695459 -0.31740023 0.21885475 0.89351241 2.71439996
100130550 -0.26695459 -0.31740023 -0.31727101 -0.04024848 -0.35574497
100130564 3.17231842 2.97176546 3.03696972 2.17418629 3.58554390
100130581 -0.26695459 -0.31740023 -1.17995959 0.58843139 -0.07169853
100130691 1.13425417 1.73576944 0.91552461 1.02484062 0.16551730
100130705 0.85227249 2.25555338 1.57042557 2.84175764 3.26665491
100130748 1.57263111 1.27958636 2.25581396 0.89351241 2.47063996
100130750 1.90838376 1.88429378 1.04744501 1.54593900 1.73648890
100130855 1.90838376 1.47966749 2.01920065 2.33469265 1.58117285
100130958 -1.17995959 0.21867652 0.60883961 1.35944143 0.84941683
100131017 3.20316942 1.73576944 2.90404229 1.92795201 2.78728716
100131031 1.00014173 1.38309270 1.27982128 1.14520514 1.40709591
100131033 1.13425417 1.88429378 1.27982128 0.58843139 2.33134489
100131067 2.69640347 2.63686302 2.75761257 3.44450729 3.60583660
100131089 1.66417377 1.38309270 2.14235268 2.56794472 1.40709591
100131094 1.13425417 -0.02460436 0.91552461 0.74902121 0.16551730
100131138 3.20316942 2.45876939 2.71855902 2.56794472 3.34117099
100131187 2.35554117 1.88429378 2.08209034 2.28314946 3.29192367
100131193 2.60694723 2.19993889 2.25581396 1.02484062 2.59766211
100131211 3.29195117 3.39966167 2.71855902 3.07179999 3.24093567
100131213 1.47488393 0.91530468 1.04744501 0.40770061 3.36517826
100131471 1.98139138 2.25555338 2.14235268 1.92795201 1.09887402
100131656 3.23337448 3.24338507 2.83268441 3.07179999 4.64954474
100131685 2.46141590 1.95318964 2.45903346 1.14520514 1.31148960
100131691 2.40944954 1.27958636 1.27982128 1.92795201 4.35807203
100131740 0.68749821 1.38309270 0.77031612 0.20104240 0.70639474
100131801 2.46141590 2.41058548 2.67841883 2.28314946 3.82939303
100131827 -0.26695459 -0.31740023 -0.68507096 -0.04024848 -1.17995959
100131828 0.28780344 0.77010330 1.04744501 0.20104240 1.31148960
100131940 0.28780344 1.38309270 0.21885475 1.85921634 1.49675833
100132074 -1.17995959 -0.02460436 -0.02444614 0.58843139 2.33134489
100132086 -0.65240704 -0.68515433 -1.17995959 -0.04024848 -1.17995959
100132116 7.75455333 8.03593351 8.13314332 5.45921839 7.50283743
100132126 -1.17995959 -0.31740023 -0.02444614 0.20104240 -0.70977630
100132215 1.25695305 0.42679184 1.65559659 0.89351241 1.20909502
100132537 2.05088173 1.95318964 2.83268441 2.94486833 1.09887402
100132609 1.13425417 1.27958636 -0.02444614 1.35944143 -1.17995959
100132659 -0.65240704 0.60863559 -0.68507096 -0.04024848 0.16551730
100132891 2.69640347 2.55056256 2.30936486 3.29639090 1.20909502
100132972 -0.26695459 0.60863559 -1.17995959 0.74902121 -0.70977630
100133234 0.50144857 -0.68515433 -0.68507096 -0.69337599 0.54761794
100133286 -0.26695459 -0.68515433 -0.02444614 -0.04024848 0.54761794
100133315 1.00014173 1.04721921 -0.31727101 1.02484062 1.73648890
100134934 1.83148373 1.27958636 1.27982128 1.63086288 1.20909502
10014 6.14534499 6.07542244 6.24672954 5.89229584 5.75053687
100144603 -1.17995959 -0.31740023 -1.17995959 -0.69337599 0.36918083
100144748 0.85227249 1.88429378 1.47990917 1.54593900 6.20091480
10015 7.29557649 7.51144748 7.42341804 7.41278922 7.08174351
10016 5.15036056 5.08099097 5.17801406 4.88147470 5.36048967
100170229 0.68749821 -0.31740023 0.21885475 0.58843139 0.84941683
100170841 3.89341712 2.86853472 3.06837232 3.37234908 7.05984524
10018 3.81569319 3.09883359 2.55082805 3.96964843 6.77405041
100188847 0.85227249 1.04721921 1.27982128 1.54593900 2.17714910
10019 4.92831782 4.95226888 4.84786412 4.86403937 6.06460986
100190938 2.51157531 3.00459703 3.00486836 2.87695308 2.33134489
1002 2.05088173 1.04721921 1.04744501 1.02484062 1.40709591
10020 4.19911785 3.91341353 3.76828958 4.58423150 4.28444633
10021 7.57307219 7.46501931 7.56086033 7.08428579 7.23617222
10023 1.47488393 1.73576944 1.57042557 2.05631609 5.53994060
10024 3.23337448 3.78700882 3.47215434 1.85921634 3.50139234
10026 5.41040368 5.80886373 5.45246673 5.96360778 6.20091480
100268168 0.28780344 1.27958636 0.21885475 1.92795201 2.12185708
100270804 0.50144857 0.60863559 0.77031612 2.05631609 -0.35574497
100270827 -1.17995959 0.91530468 0.60883961 0.74902121 0.36918083
100270840 3.69064336 3.94758432 3.89629837 3.62095276 3.38879257
100270854 3.96716694 4.22338259 3.64873300 3.96964843 4.55877641
100270865 5.17391335 5.48163299 4.92708349 4.99795606 5.01841011
100271271 3.29195117 2.90377211 2.93843989 3.00972968 2.67652727
100271332 -1.17995959 -0.68515433 -1.17995959 0.40770061 -1.17995959
100271415 1.47488393 1.88429378 1.95344403 1.85921634 2.17714910
100271479 -0.26695459 -0.31740023 1.16830673 0.74902121 0.97953044
100271884 -1.17995959 -0.31740023 -0.02444614 -0.04024848 -0.07169853
100272147 2.24127690 1.65534970 1.57042557 1.99356123 3.04679020
100286844 0.28780344 -0.02460436 0.42698469 0.58843139 1.94200221
100287015 0.85227249 0.60863559 1.16830673 2.17418629 2.33134489
100287049 0.85227249 0.42679184 1.38333123 0.89351241 1.66091997
100287074 1.00014173 0.60863559 0.91552461 0.89351241 0.84941683
100287616 2.97192402 3.00459703 2.14235268 2.56794472 2.67652727
100287722 1.25695305 0.91530468 1.57042557 1.63086288 1.49675833
100287808 0.28780344 0.60863559 0.60883961 0.40770061 4.03792378
100287837 0.28780344 0.77010330 0.42698469 0.58843139 -0.70977630
100287896 1.25695305 1.73576944 2.50566071 2.61038872 -0.07169853
100287902 0.03692681 0.77010330 0.42698469 0.20104240 1.20909502
100287928 2.35554117 2.79536787 2.45903346 1.78704128 2.75130381
100287932 5.37018940 5.36637158 5.24825130 5.07575116 4.84999392
100288001 2.86021923 2.41058548 2.75761257 2.80568207 1.40709591
100288073 4.00267463 3.49516938 3.21588375 6.60148638 2.23040001
100288123 1.83148373 0.60863559 1.16830673 1.45570169 1.40709591
100288198 1.47488393 1.27958636 1.16830673 1.02484062 2.78728716
100288241 -1.17995959 -1.17995959 -1.17995959 -1.17995959 -0.70977630
100288413 2.65236860 2.25555338 2.45903346 2.17418629 4.32172880
100288513 0.68749821 1.04721921 -0.02444614 0.89351241 0.97953044
100288842 1.13425417 1.73576944 0.91552461 1.25629632 -0.35574497
100289061 1.13425417 0.91530468 1.38333123 -0.33016365 2.89014663
100289095 1.13425417 0.21867652 0.21885475 -0.33016365 1.20909502
100289133 2.97192402 3.32363837 2.83268441 2.52421407 2.92286556
100289178 1.75025277 1.95318964 2.50566071 1.54593900 2.55655161
100289211 0.50144857 1.04721921 2.14235268 1.14520514 1.09887402
100289259 1.90838376 0.77010330 1.38333123 1.71106443 -0.07169853
100289274 3.45463444 2.01894479 2.14235268 4.22316045 4.59982445
100289341 1.57263111 0.77010330 0.42698469 0.20104240 3.75865460
100289373 0.68749821 -1.17995959 -0.31727101 -0.33016365 2.51423519
100289388 -0.26695459 -0.02460436 1.57042557 0.58843139 1.20909502
100289414 0.03692681 0.42679184 0.21885475 0.58843139 -0.35574497
100289635 5.91782364 5.30179457 5.59405217 6.24528481 3.81203092
100289640 2.24127690 2.01894479 1.65559659 3.39680503 1.49675833
100289678 2.93564168 2.59435799 2.86880449 3.18846142 3.54408160
100293516 4.24431636 3.54065232 3.32391284 3.68192679 2.12185708
100294362 0.28780344 0.60863559 1.38333123 1.45570169 0.97953044
1003 1.00014173 0.21867652 0.21885475 -0.33016365 -1.17995959
100302692 2.73913400 1.81194208 2.63712976 3.10186161 1.49675833
100302736 1.90838376 1.57018112 1.88454657 2.61038872 1.09887402
100303728 1.90838376 2.14209427 2.30936486 1.63086288 1.94200221
100303755 1.66417377 1.16807600 1.04744501 1.35944143 -1.17995959
100312828 0.28780344 0.21867652 1.16830673 0.89351241 -1.17995959
100312850 -0.26695459 -0.31740023 -0.31727101 0.20104240 -0.35574497
10036 4.47670704 4.43086661 4.35679360 3.10186161 4.41668074
100379345 0.68749821 0.21867652 -0.31727101 -0.33016365 0.16551730
10038 5.40377866 4.98554204 5.47020910 5.59751708 2.67652727
100381270 1.90838376 1.95318964 0.60883961 0.74902121 0.70639474
10039 2.51157531 2.59435799 3.06837232 3.32215721 1.66091997
1004 3.48005027 3.80575897 4.31812824 2.33469265 1.80829575
10040 3.94907991 3.51809008 3.87869222 4.43871249 3.58554390
100418710 1.00014173 1.65534970 1.47990917 0.58843139 1.87669739
100418735 1.66417377 1.81194208 1.65559659 1.35944143 1.49675833
100418744 2.11717818 1.04721921 -0.02444614 1.92795201 1.58117285
100418770 -0.65240704 -0.68515433 -1.17995959 -1.17995959 -1.17995959
100418781 1.25695305 1.16807600 1.27982128 1.54593900 1.94200221
100418819 1.98139138 2.19993889 1.57042557 2.22969635 1.73648890
100418829 1.83148373 1.38309270 1.27982128 0.74902121 0.16551730
100418888 1.57263111 0.42679184 -0.02444614 0.40770061 0.97953044
100418889 3.29195117 2.79536787 2.67841883 2.47911631 1.31148960
100418910 1.66417377 1.73576944 1.47990917 -0.33016365 1.09887402
100418919 2.18056148 3.24338507 2.20019843 2.52421407 1.80829575
100419028 1.83148373 1.38309270 1.16830673 1.85921634 1.87669739
100419185 -1.17995959 -1.17995959 -0.68507096 -1.17995959 -0.35574497
100419416 1.25695305 0.42679184 0.77031612 1.02484062 1.09887402
100419515 0.03692681 0.60863559 -0.31727101 0.40770061 -1.17995959
100419645 0.68749821 0.91530468 0.60883961 -1.17995959 -1.17995959
100419758 0.85227249 0.21867652 -0.31727101 1.02484062 0.54761794
100419928 2.40944954 0.77010330 1.57042557 2.61038872 1.20909502
10042 5.64195923 5.14864935 5.19233774 4.81950628 4.59982445
100420028 1.25695305 1.16807600 2.14235268 0.40770061 2.06436123
100420050 0.03692681 -0.31740023 0.21885475 0.40770061 -0.07169853
100420110 3.34824202 2.83241508 2.86880449 2.91131031 2.33134489
100420187 -0.65240704 0.60863559 -0.02444614 -0.33016365 0.36918083
100420259 4.19911785 4.50157558 4.10753904 4.23677178 4.43947342
100420307 0.68749821 0.21867652 1.16830673 0.89351241 1.09887402
100420341 5.59038084 5.59915200 5.66766330 7.41128952 5.36644888
100420423 1.00014173 -0.02460436 1.04744501 1.45570169 1.31148960
100420591 1.37002961 0.42679184 1.04744501 0.40770061 -0.35574497
100420707 1.98139138 2.71829116 2.90404229 2.52421407 2.42568622
100420752 2.11717818 1.65534970 1.47990917 2.87695308 0.84941683
100420869 3.69064336 4.25100957 3.74903892 3.86835679 4.59982445
100420981 5.97257018 6.23611311 6.06796048 6.34605605 6.07192215
100421093 4.38550297 4.40650528 4.01386896 4.12410628 3.70322735
100421109 1.13425417 1.38309270 0.77031612 -0.04024848 0.36918083
100421160 0.50144857 0.77010330 1.16830673 0.20104240 0.54761794
100421175 0.03692681 1.04721921 1.16830673 0.89351241 -1.17995959
100421246 0.50144857 1.04721921 1.47990917 0.74902121 0.16551730
100421311 1.57263111 0.91530468 -1.17995959 1.54593900 2.28175515
100421372 2.40944954 1.57018112 1.38333123 0.40770061 3.29192367
100421400 2.60694723 1.73576944 1.65559659 1.99356123 1.49675833
100421415 1.00014173 -0.31740023 1.04744501 1.71106443 -0.35574497
100421429 0.03692681 -1.17995959 0.21885475 -0.04024848 -0.35574497
100421465 0.68749821 1.57018112 1.57042557 1.02484062 0.84941683
100421468 3.17231842 2.71829116 2.55082805 2.69170487 1.58117285
100421506 1.00014173 -0.68515433 1.16830673 1.54593900 2.17714910
100421569 0.50144857 0.60863559 1.04744501 -0.33016365 1.80829575
100421595 -0.65240704 -0.31740023 -1.17995959 0.20104240 -1.17995959
100421794 -1.17995959 -1.17995959 -0.68507096 -1.17995959 0.36918083
100422106 0.68749821 0.91530468 1.38333123 1.35944143 1.31148960
100422338 2.73913400 2.67815151 2.67841883 2.28314946 2.17714910
100422546 0.28780344 1.16807600 1.47990917 1.14520514 0.54761794
100422561 3.66870584 3.74876123 3.37503796 3.55728756 2.71439996
10043 5.68083850 5.40991495 5.33472834 5.56011081 4.84146206
10044 2.11717818 0.77010330 1.88454657 -0.69337599 3.16090689
10045 -0.26695459 0.21867652 0.42698469 0.20104240 1.31148960
10046 2.24127690 1.65534970 1.27982128 1.02484062 1.31148960
10048 6.48364937 6.43288042 6.40269257 6.53693669 6.62294256
10049 5.89910319 5.42211828 5.58864767 5.58160443 6.87364653
100499177 3.52957689 3.47187864 3.27090921 3.96964843 2.98615808
100499483 3.64642959 3.03669805 3.39993679 3.70169194 2.47063996
1005 -0.26695459 -1.17995959 -1.17995959 -0.33016365 1.94200221
100500719 -0.65240704 -0.02460436 0.42698469 0.20104240 0.84941683
100505385 3.48005027 2.75734419 3.06837232 1.99356123 2.82239483
100505501 0.28780344 0.77010330 -0.68507096 0.20104240 2.55655161
100505538 1.00014173 0.60863559 -0.02444614 0.20104240 3.47956449
100505549 0.85227249 0.91530468 0.21885475 1.71106443 0.84941683
100505573 5.18167960 5.04198507 4.94411229 4.99795606 6.88821732
100505576 2.65236860 3.06810031 3.39993679 2.76868122 4.24617479
100505616 0.85227249 0.77010330 -1.17995959 0.20104240 1.31148960
100505624 1.75025277 1.27958636 1.73601851 1.02484062 0.70639474
100505635 1.98139138 1.16807600 1.47990917 -0.04024848 0.16551730
100505641 2.65236860 2.25555338 2.71855902 2.61038872 2.55655161
100505648 2.35554117 1.38309270 2.14235268 2.47911631 2.51423519
100505678 1.75025277 1.57018112 2.59462413 1.45570169 2.47063996
100505696 4.68775465 4.45482340 4.44317603 5.19907584 4.62986177
100505715 1.37002961 0.42679184 1.88454657 1.02484062 0.70639474
100505738 -1.17995959 -1.17995959 -1.17995959 -1.17995959 -1.17995959
100505741 1.00014173 0.60863559 0.60883961 2.11645462 2.47063996
100505758 3.00731624 2.79536787 3.24365880 3.62095276 1.73648890
100505761 1.98139138 1.88429378 1.88454657 3.98585993 3.16090689
100505771 1.25695305 1.73576944 1.47990917 1.92795201 1.58117285
100505783 1.98139138 2.19993889 1.81219310 2.56794472 4.73493877
100505806 4.90973393 4.22338259 4.68520887 5.32547964 3.91320119
100505812 1.47488393 1.73576944 2.08209034 1.71106443 1.31148960
100505832 -1.17995959 0.60863559 0.91552461 0.89351241 0.54761794
100505854 3.93076324 3.21561027 3.24365880 4.84639075 5.99707591
100505876 4.51409592 4.26462717 4.30500603 4.67701278 4.25904511
100505894 1.66417377 2.71829116 2.63712976 3.04109862 2.33134489
100505933 0.50144857 -1.17995959 -0.31727101 0.40770061 0.54761794
100505994 1.00014173 0.60863559 0.60883961 3.04109862 0.36918083
100506020 1.13425417 1.16807600 0.60883961 0.89351241 -0.70977630
100506033 3.79558985 4.06118455 4.38200655 4.42688637 3.52289486
100506054 1.66417377 1.27958636 1.73601851 2.17418629 2.06436123
100506068 2.18056148 1.27958636 1.04744501 -0.04024848 1.58117285
100506070 0.50144857 1.04721921 1.38333123 1.71106443 -0.35574497
100506083 0.68749821 -0.02460436 -0.02444614 0.58843139 0.16551730
100506100 0.28780344 -0.31740023 -1.17995959 0.20104240 -0.07169853
100506119 0.28780344 0.77010330 0.60883961 1.63086288 1.73648890
100506127 1.25695305 0.60863559 1.16830673 0.89351241 1.73648890
100506142 1.00014173 -0.31740023 -0.31727101 0.89351241 -0.35574497
100506144 0.28780344 0.60863559 1.47990917 1.02484062 -0.07169853
100506161 -0.65240704 0.21867652 -0.31727101 0.20104240 0.70639474
100506211 1.00014173 0.91530468 0.42698469 1.14520514 -0.35574497
100506235 1.25695305 0.21867652 0.60883961 0.74902121 2.67652727
100506258 1.00014173 0.21867652 0.21885475 1.45570169 0.97953044
100506282 1.75025277 1.81194208 2.41084876 2.33469265 2.28175515
100506286 0.68749821 0.91530468 -0.31727101 1.14520514 3.18807941
100506302 -0.26695459 1.38309270 0.60883961 2.28314946 1.94200221
100506321 1.83148373 -0.02460436 1.04744501 1.63086288 1.31148960
100506325 -0.65240704 0.21867652 0.60883961 0.40770061 0.70639474
100506343 0.03692681 0.60863559 0.91552461 0.58843139 2.67652727
100506365 5.06055341 4.64383442 4.56926207 5.26033355 3.43489231
100506368 -0.26695459 -1.17995959 0.21885475 -1.17995959 -0.35574497
100506380 2.73913400 2.83241508 2.41084876 2.97766348 2.17714910
100506392 3.81569319 3.15840315 3.49544526 3.44450729 1.87669739
100506394 1.37002961 1.47966749 1.04744501 1.14520514 3.99240695
100506411 1.37002961 1.47966749 1.47990917 0.89351241 2.71439996
100506433 2.11717818 1.95318964 2.20019843 2.43256321 1.31148960
100506462 1.13425417 1.27958636 1.04744501 0.58843139 3.64558525
100506469 4.25907323 4.13717806 4.33113218 4.47362007 4.30940806
100506495 0.68749821 0.77010330 0.77031612 0.74902121 2.71439996
100506504 2.18056148 2.08183315 1.88454657 1.63086288 1.73648890
100506540 0.85227249 0.42679184 0.21885475 1.02484062 1.40709591
100506581 0.85227249 1.04721921 0.77031612 1.45570169 1.49675833
100506606 0.50144857 0.21867652 0.21885475 0.89351241 1.09887402
100506658 1.66417377 1.04721921 1.73601851 2.38445770 3.07617671
100506668 1.98139138 1.16807600 2.41084876 1.71106443 2.63763352
100506686 1.75025277 1.47966749 1.16830673 1.45570169 0.97953044
100506691 0.50144857 0.21867652 0.60883961 1.35944143 -1.17995959
100506696 2.51157531 2.08183315 0.60883961 2.17418629 4.30940806
100506697 1.57263111 1.57018112 1.47990917 0.89351241 -0.35574497
100506710 6.38619110 6.21872870 6.31049525 7.18776956 7.10509745
100506713 0.85227249 0.77010330 0.42698469 0.20104240 0.36918083
100506725 2.24127690 3.18729025 3.00486836 1.63086288 0.54761794
100506731 1.13425417 1.47966749 1.16830673 1.45570169 3.41202656
100506757 -1.17995959 -1.17995959 -0.31727101 -0.33016365 0.70639474
100506779 0.85227249 -0.68515433 0.42698469 -1.17995959 1.40709591
100506804 0.28780344 -0.02460436 0.60883961 -0.04024848 1.80829575
100506826 0.68749821 -0.31740023 1.27982128 1.54593900 0.84941683
100506844 1.90838376 1.81194208 1.65559659 2.76868122 2.17714910
100506866 5.30056963 4.90087450 5.30866783 4.98188067 3.54408160
100506881 0.85227249 -0.02460436 0.91552461 1.14520514 3.36517826
100506885 -0.26695459 1.04721921 -0.02444614 -0.33016365 0.36918083
100506911 0.68749821 0.77010330 0.21885475 1.14520514 0.84941683
100506922 2.24127690 1.38309270 1.81219310 2.22969635 4.06748960
100506930 3.98503002 3.70947197 3.56314353 4.04894344 2.59766211
100506994 1.00014173 0.77010330 0.42698469 1.54593900 1.31148960
100507003 1.83148373 1.27958636 2.45903346 1.35944143 0.54761794
100507032 1.25695305 -0.31740023 1.73601851 2.38445770 1.31148960
100507034 3.10856379 3.49516938 3.39993679 3.66188708 4.16644427
100507050 -0.26695459 -1.17995959 -0.31727101 -1.17995959 3.77666702
100507053 2.89842327 2.71829116 3.34970185 2.56794472 2.55655161
100507057 -0.26695459 -0.31740023 0.21885475 1.14520514 1.09887402
100507062 0.85227249 0.60863559 0.21885475 1.35944143 4.06748960
100507071 -0.26695459 -0.31740023 0.60883961 0.74902121 0.97953044
100507156 3.20316942 2.86853472 3.32391284 3.10186161 3.99240695
100507171 3.45463444 2.79536787 2.50566071 4.06429255 1.58117285
100507173 0.28780344 -1.17995959 -0.31727101 1.25629632 -1.17995959
100507178 1.47488393 0.91530468 1.04744501 1.14520514 0.36918083
100507244 0.85227249 0.42679184 1.27982128 0.89351241 1.20909502
100507246 2.56004922 2.63686302 2.20019843 3.00972968 2.12185708
100507250 0.03692681 -0.31740023 0.21885475 0.20104240 -1.17995959
100507254 3.40241875 2.90377211 2.41084876 0.89351241 -0.35574497
100507266 0.50144857 0.42679184 -0.31727101 0.58843139 0.16551730
100507290 4.60930674 4.41873737 4.41901856 4.42688637 3.99240695
100507291 1.66417377 1.47966749 1.16830673 1.92795201 1.80829575
100507303 3.23337448 3.37476305 1.81219310 3.04109862 3.24093567
100507308 -0.65240704 0.42679184 -0.68507096 0.20104240 -0.35574497
100507316 2.35554117 0.60863559 1.04744501 1.35944143 1.31148960
100507331 0.85227249 1.57018112 2.01920065 2.05631609 2.51423519
100507347 0.85227249 1.47966749 1.73601851 1.92795201 2.95485888
100507373 1.83148373 2.19993889 2.20019843 2.11645462 2.33134489
100507392 0.85227249 0.91530468 0.21885475 0.58843139 1.49675833
100507398 0.50144857 0.91530468 -0.68507096 0.89351241 3.04679020
100507401 0.28780344 -0.31740023 -0.31727101 -0.69337599 0.16551730
100507420 2.18056148 1.88429378 1.38333123 -0.04024848 -0.35574497
100507433 1.00014173 1.38309270 0.77031612 0.89351241 2.37928657
100507436 -0.26695459 -0.68515433 -0.31727101 0.20104240 0.54761794
100507437 2.40944954 1.81194208 2.20019843 -0.04024848 0.70639474
100507459 1.25695305 1.16807600 1.27982128 2.11645462 3.60583660
100507463 0.68749821 0.42679184 0.91552461 0.20104240 2.59766211
100507487 1.90838376 1.16807600 1.65559659 2.52421407 1.66091997
100507495 1.37002961 1.81194208 2.14235268 2.33469265 3.45740130
100507516 -0.26695459 -0.31740023 1.27982128 0.40770061 0.36918083
100507551 0.28780344 1.04721921 0.42698469 1.25629632 1.73648890
100507557 0.85227249 0.21867652 1.04744501 1.63086288 1.58117285
100507564 -0.65240704 -0.02460436 -1.17995959 -1.17995959 0.54761794
100507567 1.00014173 1.38309270 1.73601851 1.63086288 1.20909502
100507588 -1.17995959 0.77010330 -0.31727101 0.40770061 0.54761794
100507599 1.00014173 2.25555338 1.16830673 1.99356123 2.95485888
100507602 2.35554117 2.50539591 1.95344403 1.85921634 2.37928657
100508120 2.05088173 2.36073652 1.88454657 2.69170487 1.58117285
10051 6.77813630 7.03934820 6.87179821 5.92629387 6.37061913
10052 1.13425417 1.47966749 1.16830673 -0.33016365 0.70639474
100526737 2.18056148 1.88429378 1.95344403 2.22969635 1.40709591
100526760 -0.26695459 0.60863559 0.77031612 1.71106443 0.97953044
100526820 0.28780344 -1.17995959 0.60883961 0.89351241 0.36918083
100526835 3.71225228 3.72925034 3.51836614 3.81491292 0.54761794
100527978 1.13425417 0.60863559 1.38333123 1.25629632 -0.35574497
100529145 0.85227249 1.38309270 -0.02444614 2.43256321 -0.07169853
100529215 -0.65240704 -1.17995959 -0.68507096 -0.04024848 -0.70977630
100532746 3.26296009 3.70947197 3.62780694 3.74042797 4.09646167
100533106 0.50144857 0.60863559 0.77031612 0.20104240 0.70639474
100533182 1.98139138 0.77010330 0.42698469 0.58843139 1.58117285
100533619 1.00014173 1.27958636 0.42698469 0.74902121 3.52289486
100533629 -0.65240704 0.91530468 1.57042557 -0.33016365 -0.35574497
100533695 0.85227249 0.60863559 -0.68507096 1.14520514 -0.07169853
100533970 0.50144857 1.16807600 1.04744501 1.25629632 2.06436123
100534593 1.25695305 0.91530468 0.91552461 1.99356123 1.80829575
10054 6.12534973 6.17972922 6.22599304 5.97583432 5.32420807
10056 5.51246426 5.85460291 5.58864767 5.62882532 4.36998580
10057 7.02258227 7.02141253 7.38496210 7.24781954 7.55334244
10058 3.85507851 3.78700882 4.07698647 5.13510131 5.96208521
10059 7.17625676 7.37529175 7.14280382 6.75598792 6.46250584
1006 5.43009813 5.37894723 5.48773592 5.49363915 6.23388493
10060 3.85507851 4.06118455 4.64411646 3.86835679 3.91320119
100616256 0.50144857 0.42679184 0.42698469 0.74902121 0.97953044
10062 1.90838376 2.14209427 2.36099897 2.33469265 2.55655161
10063 3.17231842 2.90377211 2.45903346 3.00972968 3.50139234
100652739 0.28780344 -0.02460436 0.21885475 0.74902121 1.49675833
100652758 0.50144857 -1.17995959 -0.31727101 0.58843139 3.99240695
100652846 1.83148373 1.47966749 1.57042557 0.74902121 1.09887402
10066 5.72933428 5.57749310 5.91658030 6.07388308 6.18751285
10067 6.31735786 6.29037602 6.55732839 6.61196936 5.93025351
10068 3.40241875 4.01358968 3.32391284 3.64156510 4.33394522
10069 4.22940697 4.07670686 4.18120422 4.19554637 5.88114905
10072 5.48761798 5.57749310 5.34758417 4.59484014 5.67571952
10073 4.19911785 4.10725927 4.02990910 4.25025589 3.21474959
10075 8.84519922 8.72877732 8.99368975 9.14262472 8.20442356
10076 5.30056963 5.27513207 5.44051609 5.82179750 6.01994029
10077 1.47488393 1.57018112 1.04744501 1.35944143 -0.35574497
100775107 1.13425417 1.73576944 1.16830673 1.14520514 0.84941683
10078 4.93752076 4.88332797 4.56926207 4.65690423 5.34246292
10079 5.48133897 5.83191458 5.83676578 6.10018342 5.63680369
1008 4.25907323 4.95226888 4.95255191 4.39081501 5.43042524
10081 5.12641686 4.75413670 4.83878733 5.14235130 5.85595550
10082 6.72065759 6.83546794 6.93491794 7.00497486 6.90059051
100820829 3.85507851 4.06118455 3.56314353 3.29639090 2.71439996
10084 5.30056963 5.19916293 5.09658616 5.10573141 4.19351367
100847074 1.83148373 2.01894479 0.91552461 1.02484062 2.28175515
10085 9.71235239 10.20275500 10.08948748 10.08629575 10.23165603
100852407 1.00014173 0.21867652 1.04744501 1.71106443 0.97953044
100861412 1.37002961 1.57018112 0.42698469 1.78704128 0.16551730
100861548 3.52957689 3.64845599 4.30500603 4.98188067 5.20289934
100862671 -0.65240704 0.42679184 0.77031612 0.40770061 0.36918083
10087 5.75037554 5.82273839 5.85488784 6.42546367 7.37565731
100873257 -0.26695459 0.77010330 -0.31727101 -0.04024848 0.54761794
100873333 3.73354231 3.27063522 2.75761257 2.33469265 3.82939303
100873790 4.00267463 4.23726221 4.39444969 3.88574034 4.75324785
100873949 0.68749821 0.42679184 1.95344403 1.54593900 0.16551730
100873952 0.03692681 -0.31740023 -0.31727101 -0.04024848 -0.70977630
100873965 2.05088173 2.36073652 2.08209034 1.92795201 0.54761794
100874006 0.68749821 0.42679184 1.27982128 1.85921634 0.36918083
100874008 1.37002961 1.38309270 1.04744501 1.78704128 2.51423519
100874014 1.90838376 1.73576944 2.55082805 2.69170487 0.36918083
100874058 0.85227249 0.91530468 1.27982128 2.33469265 0.54761794
100874080 0.85227249 1.04721921 1.47990917 0.58843139 1.49675833
100874097 2.29953998 2.01894479 1.65559659 2.47911631 1.94200221
100874201 0.50144857 0.77010330 -0.31727101 0.74902121 -0.35574497
100874212 0.68749821 1.57018112 1.38333123 1.63086288 0.70639474
100874217 0.85227249 0.60863559 -0.02444614 0.74902121 -0.35574497
100874235 0.68749821 -0.31740023 0.42698469 0.20104240 0.70639474
100874261 0.28780344 0.21867652 0.60883961 1.35944143 1.73648890
100874291 -0.26695459 1.16807600 -0.31727101 -1.17995959 -1.17995959
100874362 1.75025277 1.95318964 1.81219310 2.80568207 4.72569635
100874523 1.83148373 2.14209427 2.20019843 1.14520514 0.54761794
100885775 4.55054026 4.10725927 4.36945515 4.15310819 3.54408160
100885776 -0.65240704 -0.68515433 -0.31727101 1.71106443 0.70639474
100885848 4.56248662 4.27811743 4.63365784 2.94486833 3.01679264
1009 10.21512225 10.51356806 10.51830349 9.65459806 8.15363695
10090 4.05434947 3.86059017 4.19549641 4.19554637 5.65152042
10092 8.02229565 8.17041597 8.03522720 7.75422274 6.89647789
10093 7.48950372 7.38779022 7.36928803 6.70793313 7.01122699
10094 5.91782364 5.83648088 5.92518204 5.38169735 5.09935950
10095 5.93630428 6.34587814 5.93798924 5.78057392 6.32544610
10097 8.89151350 8.98571517 8.96007637 8.32989107 8.72051080
10098 6.69103602 6.78675058 6.99539147 6.35232194 5.88530553
10099 7.52656664 7.70864638 7.59764687 7.77185992 8.06480555
100996246 0.03692681 1.73576944 0.77031612 -0.33016365 0.16551730
100996251 -0.26695459 -0.02460436 0.60883961 0.20104240 -0.07169853
100996307 -0.26695459 0.21867652 -0.31727101 -0.33016365 0.54761794
100996384 1.13425417 0.77010330 0.21885475 1.02484062 1.20909502
100996419 1.47488393 1.04721921 1.16830673 1.45570169 2.06436123
100996485 1.83148373 2.14209427 1.57042557 1.25629632 2.33134489
100996539 -1.17995959 -0.31740023 -0.31727101 0.20104240 2.12185708
100996579 -0.26695459 -0.31740023 -1.17995959 0.20104240 -1.17995959
100996696 1.75025277 2.30910332 2.55082805 2.22969635 1.20909502
100996842 0.50144857 1.38309270 -0.02444614 1.25629632 0.54761794
100996851 0.50144857 1.04721921 0.42698469 0.58843139 -0.07169853
100996939 1.13425417 1.38309270 0.21885475 1.02484062 0.54761794
101 1.00014173 0.77010330 0.91552461 1.45570169 3.07617671
1010 -1.17995959 -1.17995959 -1.17995959 -0.33016365 -1.17995959
10100 4.53849415 4.73469887 4.81120918 2.56794472 4.65928643
10101 5.05210496 4.78281106 4.74473291 5.16388521 5.66608853
10102 4.52634661 4.23726221 4.09234363 4.28996815 3.66505630
10103 -0.26695459 -1.17995959 -1.17995959 0.89351241 -0.70977630
10105 6.24136425 6.19047042 5.86386421 5.75715250 5.84745892
10106 7.04404287 7.05314562 6.92423037 7.39165030 7.50418941
101060200 2.56004922 2.97176546 2.63712976 3.07179999 3.45740130
101060691 2.86021923 2.71829116 2.71855902 3.32215721 1.31148960
10109 8.61507070 8.89559839 8.79859225 7.99450391 8.29547323
10112 5.57866418 5.51619791 5.05799752 3.18846142 5.00319130
10113 5.92709355 5.80886373 6.08341350 6.78175131 6.11856945
10114 7.62526199 7.68225360 7.57596085 7.29249407 8.46126287
101154753 0.03692681 0.42679184 -0.68507096 0.58843139 2.12185708
10116 7.92963779 7.83153421 7.66338804 7.60083787 7.08536112
10117 1.83148373 2.08183315 0.91552461 1.99356123 2.92286556
1012 7.65764344 8.23841590 8.20554463 8.52486670 8.67621837
10121 6.33138975 6.24644409 6.26378514 5.92208767 5.79540103
10123 7.75194746 7.28963657 7.46972238 6.62755237 5.81296321
NUTL_24_H4 DMSO_24_H4 LPS_24_H4 TNFa_24_H4 H2O_24_H4 BPA_24_H4
100 3.7743131 3.87473496 3.39563421 3.7221291 3.75180180 3.16854237
1000 11.0063401 11.40400269 11.33870439 11.5210974 11.41631114 11.42641938
10000 7.1137603 7.17238600 7.20777797 7.3081617 7.28609563 7.29893033
10001 5.1541168 4.44515541 4.34414803 4.0391257 4.61531543 4.45421998
10003 2.7047600 3.29895305 3.07866041 2.6992956 3.32664361 2.74361673
100037417 2.2578812 1.99941028 2.28973403 1.6020358 1.81469096 1.91760555
100049716 1.5003945 1.90469362 1.15100291 1.8813911 0.77243403 1.55768322
10005 4.2562488 3.44072589 3.84592727 3.8998025 3.56589352 3.32683408
10006 6.6101603 6.38847931 6.44842867 6.5620371 6.63037132 6.53965157
10007 6.0348360 5.23992798 5.58164806 5.1483276 5.23729786 5.29385736
10009 4.7508554 4.78800792 5.29608340 5.1658107 5.02116598 5.11442632
100093630 3.5520474 3.09957342 3.17654654 3.1841529 3.32664361 2.65085610
1001 6.5907964 5.13951711 5.90805694 5.7679281 5.50788119 5.79428898
10010 5.1003567 4.99757394 5.32838671 5.1744734 5.14439095 4.89942092
100101267 0.8022514 2.08828980 1.88886884 1.7941478 1.81469096 2.06868078
100101467 4.8410298 4.34048701 4.16494663 4.3909406 4.42181624 4.84811658
10011 6.4723468 5.57587709 5.75009494 5.6044579 5.55861828 5.42569098
100113386 1.1229857 1.30680824 0.70272496 0.3853175 1.17060276 1.07701014
100113397 -0.1917946 0.97511144 0.41253551 1.7012872 -0.02287121 1.33727343
100113407 3.8193776 3.44072589 4.14089647 3.4640094 3.88146316 4.11543756
100125288 1.9688579 1.44784768 0.04889175 1.3803539 0.42890409 0.35107609
100127983 0.8022514 2.53028703 2.80023332 2.1153292 2.55346964 1.65642508
100128006 2.3832308 1.80331889 2.28973403 2.1153292 1.38570489 2.55171892
100128016 0.8022514 2.65191482 1.76845720 0.3853175 1.28215902 2.06868078
100128025 -0.6028763 -0.52401161 -1.17995959 -0.1946984 -1.17995959 0.56953835
100128054 1.3852237 1.69427879 1.76845720 1.4954486 1.38570489 2.20542469
100128071 2.1908706 -1.17995959 0.70272496 0.3853175 1.04969205 0.56953835
100128191 0.6104584 0.26733018 1.88886884 2.1153292 2.50829547 0.56953835
100128252 -1.1799596 -1.17995959 -1.17995959 -1.1799596 -1.17995959 -1.17995959
100128379 -0.1917946 -1.17995959 -1.17995959 -1.1799596 -1.17995959 -0.62170854
100128398 4.7155319 3.26122072 4.34414803 3.6243506 4.00042618 4.02592994
100128494 3.1549931 3.14171469 2.67184245 2.3778656 2.76028287 2.99071786
100128569 1.7992651 1.90469362 2.19947024 2.1153292 2.02174645 1.33727343
100128640 -0.6028763 -1.17995959 0.04889175 -1.1799596 0.22062865 -0.22021455
100128682 -0.6028763 -1.17995959 0.70272496 1.2552749 0.22062865 1.21300281
100128731 6.7621527 6.52608738 6.50605036 6.5946756 6.69731314 6.36450915
100128766 -1.1799596 -0.52401161 0.04889175 -0.1946984 0.61087003 -1.17995959
100128782 2.0467205 0.54364433 1.15100291 1.6020358 2.31196729 1.33727343
100128822 1.7992651 1.99941028 1.33184002 1.3803539 1.73849692 1.55768322
100128833 2.7047600 2.65191482 2.67184245 2.1855763 2.63978384 2.33032227
100128881 2.2578812 2.25113731 2.60309142 1.1183135 2.31196729 1.83568891
100128893 4.5381874 4.64882793 4.96730147 4.3759966 4.72797212 4.90946643
100129001 0.3892013 0.26733018 0.41253551 0.3853175 1.38570489 -0.62170854
100129013 2.8851444 2.91750178 2.91812611 3.0773472 2.76028287 3.20162066
100129029 1.1229857 0.77544800 -0.43846972 -0.1946984 -0.02287121 0.09352599
100129060 3.5520474 3.44072589 3.35439777 2.9619978 3.24638238 2.60213889
100129075 1.2600549 1.57631855 0.94420560 1.7941478 1.17060276 2.06868078
100129195 2.4985546 1.90469362 2.45490381 1.3803539 2.25840677 2.13867227
100129203 -0.1917946 -1.17995959 -1.17995959 -0.1946984 -0.02287121 -0.22021455
100129250 2.1908706 1.44784768 2.19947024 2.0414859 1.38570489 0.56953835
100129259 0.6104584 0.97511144 0.41253551 0.9669728 1.17060276 1.21300281
100129361 5.5513820 5.77643754 5.65140409 5.5321573 5.41302603 5.33915372
100129398 0.6104584 -1.17995959 0.04889175 0.1242637 -0.31598465 0.35107609
100129434 1.5003945 1.90469362 1.63707289 0.3853175 1.38570489 0.92685151
100129461 0.8022514 0.77544800 0.70272496 -0.6048062 -0.02287121 0.75922877
100129484 2.3832308 1.30680824 1.88886884 1.2552749 1.38570489 1.65642508
100129550 4.6670469 3.44072589 3.51271065 3.5194603 3.13191103 3.57421006
100129583 0.9715133 -0.07474958 0.04889175 -0.1946984 0.42890409 1.33727343
100129662 0.8022514 0.54364433 -1.17995959 0.9669728 -1.17995959 0.92685151
100129707 0.9715133 0.54364433 0.04889175 0.3853175 -0.02287121 0.75922877
100129716 0.1277549 -0.07474958 0.41253551 -1.1799596 -0.31598465 0.09352599
100129726 -1.1799596 -1.17995959 -1.17995959 -0.1946984 -0.31598465 -0.22021455
100129774 3.1549931 3.94781426 3.98751391 3.8136992 3.84559072 3.91063198
100129781 -1.1799596 -0.07474958 0.04889175 0.3853175 -1.17995959 -1.17995959
100129792 -0.1917946 -1.17995959 -1.17995959 -1.1799596 0.22062865 -0.62170854
100129794 2.7977696 1.15047166 1.15100291 0.7978753 1.57285797 1.65642508
100129842 -0.1917946 1.57631855 -1.17995959 -0.6048062 -0.02287121 -1.17995959
100129917 1.5003945 0.26733018 0.04889175 1.1183135 0.77243403 1.21300281
100129924 0.3892013 0.26733018 0.70272496 -1.1799596 0.22062865 0.09352599
100129940 1.7992651 1.80331889 2.00000016 1.8813911 2.14492391 1.07701014
100129995 -1.1799596 -0.07474958 -1.17995959 -1.1799596 0.22062865 -1.17995959
10013 5.5580447 5.50500245 5.78930352 5.5654710 5.47890333 5.38307110
100130111 2.1205952 -0.07474958 1.49251376 0.7978753 0.91771327 1.65642508
100130197 0.1277549 -1.17995959 -1.17995959 -1.1799596 -0.31598465 -1.17995959
100130335 3.9054915 4.26623612 3.98751391 3.7686406 4.19828423 4.06240204
100130348 3.1897307 2.76408116 2.45490381 2.6992956 2.63978384 2.78785228
100130357 0.3892013 1.44784768 0.94420560 -0.1946984 1.28215902 0.56953835
100130466 4.1006599 3.79775540 4.18860243 4.0579745 3.82731438 3.46946253
100130476 2.2578812 2.17201006 1.88886884 1.8813911 2.31196729 2.65085610
100130522 2.0467205 1.30680824 0.94420560 0.3853175 0.22062865 0.92685151
100130550 -0.1917946 -0.07474958 -1.17995959 1.1183135 0.77243403 -0.22021455
100130564 3.4696374 3.37158026 3.31194791 2.7922804 3.35243485 3.13468783
100130581 0.3892013 -0.07474958 0.04889175 -1.1799596 0.61087003 -1.17995959
100130691 0.9715133 1.69427879 0.70272496 1.2552749 1.65805331 1.33727343
100130705 1.9688579 0.54364433 -0.43846972 1.7012872 -0.02287121 0.09352599
100130748 2.1908706 1.44784768 1.15100291 0.7978753 1.81469096 1.45168342
100130750 1.6070470 1.69427879 2.10317985 1.7941478 2.31196729 1.33727343
100130855 1.3852237 1.44784768 0.70272496 1.6020358 1.65805331 2.33032227
100130958 0.8022514 -0.07474958 -1.17995959 0.3853175 0.61087003 -0.22021455
100131017 2.9269244 2.76408116 2.00000016 1.7941478 2.36361033 2.44526339
100131031 0.8022514 0.77544800 0.04889175 -0.1946984 0.61087003 0.35107609
100131033 0.8022514 0.77544800 0.41253551 1.6020358 1.48231410 1.74883954
100131067 2.3219169 2.59238229 1.76845720 2.2525611 2.76028287 2.55171892
100131089 2.2578812 1.99941028 2.10317985 2.2525611 1.88706197 2.38893721
100131094 -0.1917946 0.97511144 0.04889175 0.6062935 -0.02287121 0.09352599
100131138 2.3219169 3.26122072 3.17654654 3.1494222 2.83536416 2.26922464
100131187 2.3219169 2.53028703 2.00000016 2.0414859 2.36361033 2.69798181
100131193 1.5003945 2.17201006 1.76845720 1.3803539 1.57285797 1.83568891
100131211 3.0829032 3.60034758 2.53089943 2.9619978 3.00756800 3.67186444
100131213 0.9715133 1.57631855 2.10317985 1.6020358 -0.31598465 -0.22021455
100131471 1.7063549 2.25113731 2.37468135 1.7941478 2.20278088 0.92685151
100131656 2.7047600 3.84952876 3.31194791 3.5464064 3.67211743 3.10001973
100131685 1.7063549 2.32614941 1.63707289 1.7012872 2.25840677 1.65642508
100131691 2.1908706 1.44784768 1.63707289 2.4366597 1.48231410 1.65642508
100131740 -0.1917946 0.54364433 0.70272496 0.3853175 0.61087003 0.35107609
100131801 3.3208761 2.59238229 2.86038361 2.4931513 3.47489740 3.16854237
100131827 -0.6028763 -1.17995959 0.70272496 -0.1946984 0.22062865 -0.22021455
100131828 0.1277549 1.15047166 0.70272496 0.7978753 1.04969205 0.09352599
100131940 -0.1917946 1.30680824 1.76845720 1.2552749 1.57285797 1.45168342
100132074 -0.1917946 -1.17995959 -1.17995959 -0.6048062 -0.31598465 0.09352599
100132086 -0.1917946 -1.17995959 -1.17995959 -0.6048062 0.22062865 -0.22021455
100132116 6.9812303 7.81566936 7.84903928 7.8072767 7.88524113 7.88318163
100132126 0.6104584 -0.07474958 -0.43846972 0.1242637 0.77243403 -0.22021455
100132215 0.6104584 0.26733018 0.94420560 1.1183135 -0.31598465 -0.62170854
100132537 1.5003945 2.46539843 2.37468135 2.3165734 1.95597535 3.23395749
100132609 1.1229857 1.44784768 -1.17995959 1.1183135 1.04969205 1.21300281
100132659 0.1277549 0.77544800 0.41253551 0.1242637 -0.02287121 -0.22021455
100132891 2.7047600 2.91750178 2.67184245 2.5999022 2.59727215 2.20542469
100132972 -0.1917946 0.54364433 0.41253551 -0.6048062 -0.31598465 0.56953835
100133234 -0.6028763 -0.52401161 1.15100291 -0.1946984 0.42890409 0.56953835
100133286 -0.6028763 0.54364433 -1.17995959 -1.1799596 -0.31598465 -0.22021455
100133315 0.6104584 -0.07474958 0.41253551 0.3853175 0.61087003 -0.22021455
100134934 1.6070470 1.69427879 2.45490381 1.6020358 1.73849692 0.92685151
10014 6.3277836 6.06626369 6.32044100 5.6361610 6.05124601 6.12689376
100144603 -1.1799596 0.26733018 0.70272496 -0.1946984 0.61087003 -0.62170854
100144748 3.2891904 0.54364433 2.00000016 0.3853175 -1.17995959 2.33032227
10015 7.6418147 7.46155199 7.49069814 7.5962214 7.41100759 7.52972748
10016 5.5175989 5.39605996 5.28515287 4.9707326 5.23729786 5.04321886
100170229 0.9715133 0.97511144 1.15100291 0.7978753 0.61087003 0.92685151
100170841 1.7063549 2.70908780 3.02710858 2.5999022 3.40267402 3.26558537
10018 3.6300032 2.91750178 3.47473112 2.7922804 3.03967282 3.10001973
100188847 1.6070470 0.54364433 1.15100291 1.3803539 0.77243403 1.21300281
10019 4.8078713 5.07573517 4.99439810 4.5983000 4.53875547 4.58532549
100190938 2.1205952 2.91750178 2.67184245 3.2512023 2.97473246 3.10001973
1002 0.3892013 3.22247497 1.49251376 0.9669728 2.63978384 2.33032227
10020 3.7277954 3.97137393 3.68891795 3.6982987 3.91646522 3.93049962
10021 6.9662808 7.49850739 7.49307495 7.3754511 7.35150263 7.69854558
10023 -0.1917946 1.15047166 1.76845720 1.4954486 1.17060276 1.55768322
10024 0.3892013 4.16770310 3.96028644 3.4063418 3.84559072 3.76332571
10026 5.5175989 5.98757334 5.91516423 5.4911381 5.88006005 5.91388197
100268168 1.9688579 0.97511144 1.49251376 0.9669728 1.57285797 0.56953835
100270804 0.3892013 0.97511144 0.41253551 -1.1799596 0.42890409 0.35107609
100270827 -0.1917946 -0.52401161 1.33184002 -0.1946984 0.42890409 0.35107609
100270840 4.0257302 4.39377022 4.21187660 3.7913458 4.25408045 3.84933274
100270854 4.1187997 4.42822956 4.55903296 3.8573931 4.58300019 4.21599525
100270865 5.3739523 5.48058213 5.27413890 4.9707326 5.47890333 4.93918998
100271271 3.0070208 2.91750178 3.02710858 3.0773472 3.37777311 3.10001973
100271332 -0.1917946 -0.52401161 -1.17995959 -1.1799596 -1.17995959 -1.17995959
100271415 1.7992651 1.57631855 2.45490381 0.3853175 1.65805331 2.20542469
100271479 0.1277549 0.54364433 0.70272496 1.2552749 0.42890409 0.75922877
100271884 0.3892013 0.77544800 -0.43846972 -1.1799596 -1.17995959 0.92685151
100272147 1.7063549 1.69427879 2.19947024 1.7012872 2.08464940 1.65642508
100286844 0.1277549 -1.17995959 0.41253551 0.3853175 0.42890409 0.09352599
100287015 0.6104584 1.80331889 1.33184002 2.0414859 1.04969205 1.07701014
100287049 1.7063549 0.54364433 1.49251376 0.6062935 0.61087003 1.21300281
100287074 0.6104584 1.44784768 1.33184002 -0.1946984 1.04969205 0.09352599
100287616 2.5529342 2.96521877 2.10317985 2.6992956 2.55346964 2.74361673
100287722 1.5003945 0.54364433 0.04889175 0.6062935 0.77243403 0.35107609
100287808 0.3892013 -0.52401161 0.04889175 -1.1799596 0.22062865 -1.17995959
100287837 -1.1799596 0.77544800 -1.17995959 0.1242637 0.77243403 0.75922877
100287896 2.4420447 1.57631855 0.04889175 1.2552749 1.73849692 0.92685151
100287902 -0.1917946 -0.52401161 0.70272496 -1.1799596 -0.68424088 0.09352599
100287928 2.1205952 2.46539843 1.88886884 1.2552749 2.20278088 2.44526339
100287932 5.0349947 5.18052383 5.47025099 5.2664804 5.51931131 5.24709260
100288001 3.4696374 3.26122072 2.97364618 2.3778656 2.59727215 2.55171892
100288073 3.3518809 2.86815240 2.91812611 3.5194603 2.63978384 3.46946253
100288123 1.7992651 -0.07474958 1.33184002 0.6062935 1.73849692 1.07701014
100288198 1.5003945 1.30680824 1.49251376 2.0414859 1.17060276 2.13867227
100288241 -1.1799596 -1.17995959 -1.17995959 -1.1799596 -0.68424088 -1.17995959
100288413 1.9688579 1.80331889 2.60309142 2.1153292 2.72122422 2.83077176
100288513 -0.6028763 1.15047166 1.76845720 1.2552749 0.77243403 0.92685151
100288842 0.8022514 0.77544800 0.70272496 0.7978753 0.91771327 0.35107609
100289061 1.7063549 0.26733018 1.33184002 1.1183135 1.28215902 1.07701014
100289095 0.3892013 1.15047166 1.15100291 0.9669728 1.17060276 0.75922877
100289133 2.5529342 3.56980491 3.07866041 3.3462728 3.47489740 3.10001973
100289178 1.5003945 1.57631855 2.60309142 2.3778656 1.95597535 2.13867227
100289211 -0.1917946 0.54364433 1.76845720 0.7978753 1.17060276 1.21300281
100289259 0.6104584 0.54364433 0.41253551 1.3803539 1.17060276 1.21300281
100289274 0.9715133 1.30680824 2.19947024 2.4931513 1.73849692 1.45168342
100289341 1.1229857 1.30680824 0.04889175 1.1183135 1.65805331 0.35107609
100289373 0.3892013 -1.17995959 -0.43846972 -0.1946984 -0.02287121 -1.17995959
100289388 0.6104584 0.26733018 0.94420560 0.6062935 0.77243403 0.56953835
100289414 0.6104584 -0.07474958 0.70272496 0.9669728 0.22062865 -0.22021455
100289635 5.4759865 5.46406921 5.59055425 5.0575859 5.45529452 5.69324868
100289640 1.1229857 1.15047166 1.49251376 1.7941478 1.73849692 1.07701014
100289678 2.9675284 1.90469362 3.26821104 2.3165734 2.02174645 2.69798181
100293516 3.1193984 3.29895305 3.31194791 3.1841529 3.27363528 3.35651015
100294362 0.3892013 -0.52401161 -1.17995959 0.9669728 1.17060276 1.55768322
1003 1.3852237 1.57631855 0.70272496 1.4954486 1.57285797 1.33727343
100302692 2.7520142 2.65191482 2.00000016 1.9636580 2.08464940 2.74361673
100302736 1.1229857 1.69427879 1.49251376 1.2552749 1.65805331 1.65642508
100303728 2.1908706 2.08828980 2.45490381 2.1855763 2.41346845 2.26922464
100303755 0.8022514 1.15047166 1.33184002 1.2552749 1.17060276 1.33727343
100312828 1.3852237 -0.07474958 1.33184002 -0.1946984 1.04969205 0.09352599
100312850 -0.1917946 -0.07474958 -1.17995959 -1.1799596 0.42890409 0.09352599
10036 3.2236516 5.26873729 4.57706952 4.0200274 4.42181624 4.54722946
100379345 0.9715133 0.54364433 1.76845720 0.6062935 0.77243403 0.35107609
10038 4.9665304 5.30627607 4.93968615 5.2170234 5.33755369 5.32421240
100381270 0.9715133 1.90469362 1.15100291 0.9669728 0.61087003 1.55768322
10039 3.1549931 3.09957342 2.67184245 3.2512023 3.03967282 3.06449799
1004 4.2886581 4.70612097 4.52226894 4.7097686 4.95536779 4.49481755
10040 4.1006599 3.63025702 4.32292790 3.8787537 3.79005208 3.74099822
100418710 1.7063549 1.15047166 1.33184002 1.8813911 0.42890409 0.92685151
100418735 1.2600549 2.17201006 1.49251376 2.3165734 1.17060276 2.20542469
100418744 2.0467205 1.30680824 1.15100291 1.1183135 0.77243403 1.45168342
100418770 -1.1799596 -1.17995959 -1.17995959 -1.1799596 -1.17995959 -1.17995959
100418781 0.1277549 1.90469362 1.33184002 0.7978753 2.02174645 2.38893721
100418819 0.8022514 1.57631855 2.37468135 2.8796333 1.73849692 1.45168342
100418829 0.9715133 1.44784768 0.70272496 1.2552749 1.65805331 0.56953835
100418888 1.3852237 0.97511144 -1.17995959 1.1183135 0.77243403 -1.17995959
100418889 2.7520142 2.53028703 2.91812611 2.8796333 2.90673057 2.60213889
100418910 0.3892013 2.59238229 1.15100291 2.3165734 1.73849692 1.65642508
100418919 1.9688579 2.08828980 2.19947024 3.0773472 2.36361033 2.78785228
100419028 0.9715133 1.99941028 0.70272496 -1.1799596 1.28215902 1.55768322
100419185 -1.1799596 -1.17995959 -0.43846972 -0.6048062 -0.68424088 0.09352599
100419416 1.2600549 1.57631855 1.76845720 1.2552749 0.22062865 1.07701014
100419515 -0.1917946 -0.07474958 0.94420560 -0.6048062 -0.31598465 -0.22021455
100419645 -1.1799596 -1.17995959 -1.17995959 0.6062935 -1.17995959 0.35107609
100419758 -1.1799596 1.15047166 1.33184002 1.2552749 0.91771327 -1.17995959
100419928 1.8865521 1.57631855 2.28973403 2.2525611 1.28215902 2.13867227
10042 4.9864254 5.41336518 5.34952729 5.4273361 5.25107473 5.12308513
100420028 1.1229857 0.54364433 1.15100291 2.1153292 1.81469096 2.06868078
100420050 0.1277549 -1.17995959 -0.43846972 0.3853175 -0.02287121 -0.22021455
100420110 2.4985546 2.76408116 2.00000016 3.1138347 2.68107862 2.99071786
100420187 -0.6028763 -0.52401161 -0.43846972 -1.1799596 -1.17995959 0.92685151
100420259 3.7970213 4.61930496 4.34414803 4.2340421 4.18399135 4.35479849
100420307 0.9715133 1.15047166 2.00000016 1.1183135 0.22062865 1.21300281
100420341 5.7033629 5.42194057 5.57268654 5.9655434 5.53628845 5.38307110
100420423 0.9715133 1.30680824 1.33184002 0.9669728 1.73849692 1.21300281
100420591 1.7992651 1.30680824 0.04889175 0.9669728 0.22062865 1.07701014
100420707 2.7047600 3.26122072 2.10317985 2.5999022 2.55346964 2.69798181
100420752 1.2600549 2.08828980 2.19947024 1.8813911 2.50829547 2.38893721
100420869 3.5250971 3.53860163 3.62099520 3.8573931 3.42715242 3.71831974
100420981 5.7564670 6.10937470 6.20339629 6.1914672 6.27001240 6.02431566
100421093 4.0822892 4.30383919 4.04047415 4.3146232 4.46973524 4.42650603
100421109 0.6104584 0.77544800 1.49251376 -0.1946984 1.04969205 1.07701014
100421160 0.8022514 0.54364433 1.15100291 -0.1946984 0.22062865 1.45168342
100421175 -0.1917946 1.15047166 -1.17995959 0.7978753 1.04969205 0.56953835
100421246 1.2600549 0.97511144 0.41253551 0.3853175 0.91771327 1.45168342
100421311 1.7063549 1.44784768 2.00000016 1.7941478 1.04969205 1.45168342
100421372 2.3219169 1.44784768 2.67184245 2.1855763 1.48231410 1.55768322
100421400 1.9688579 2.25113731 0.94420560 1.9636580 2.31196729 2.26922464
100421415 0.6104584 -0.52401161 0.70272496 -1.1799596 -0.68424088 -1.17995959
100421429 -0.1917946 0.26733018 0.04889175 -0.1946984 -1.17995959 0.35107609
100421465 1.6070470 1.69427879 0.94420560 1.2552749 0.22062865 0.56953835
100421468 1.6070470 2.25113731 2.28973403 2.4366597 2.36361033 2.78785228
100421506 1.7063549 1.30680824 -0.43846972 0.7978753 0.22062865 1.33727343
100421569 1.2600549 0.97511144 1.63707289 1.6020358 0.42890409 0.75922877
100421595 -1.1799596 -0.07474958 -1.17995959 -0.1946984 -0.68424088 -0.62170854
100421794 0.1277549 -0.52401161 -1.17995959 -0.6048062 -1.17995959 -0.62170854
100422106 1.1229857 1.80331889 1.33184002 1.1183135 1.81469096 1.07701014
100422338 2.4420447 2.65191482 3.22310668 2.0414859 2.02174645 2.44526339
100422546 1.6070470 1.15047166 1.88886884 0.9669728 1.17060276 1.07701014
100422561 3.5250971 3.99455503 3.54971595 3.3462728 4.03268855 3.32683408
10043 5.7093608 5.63608052 5.47025099 5.2664804 5.48474565 5.70483124
10044 -0.1917946 1.80331889 2.97364618 2.4366597 2.83536416 2.26922464
10045 0.3892013 0.54364433 -1.17995959 -0.1946984 -0.31598465 0.09352599
10046 2.1908706 2.25113731 1.33184002 1.7941478 1.04969205 2.26922464
10048 6.1714564 6.27472827 6.39350755 6.5882067 6.40553424 6.42177833
10049 6.2599327 5.86714707 5.97079624 5.6975507 6.04730356 5.82114393
100499177 3.8844401 3.37158026 2.91812611 2.5999022 3.00756800 3.13468783
100499483 3.4696374 3.22247497 3.58579574 2.5999022 2.79831188 2.65085610
1005 -1.1799596 -0.07474958 0.04889175 -0.1946984 0.22062865 -1.17995959
100500719 1.1229857 -1.17995959 -1.17995959 -0.6048062 -0.31598465 -0.22021455
100505385 3.8630770 2.91750178 2.73746566 3.2180671 3.42715242 3.16854237
100505501 0.1277549 0.54364433 1.15100291 0.9669728 0.77243403 0.35107609
100505538 1.6070470 -0.07474958 1.33184002 0.7978753 -0.31598465 0.35107609
100505549 0.8022514 -0.07474958 1.15100291 1.4954486 0.77243403 1.07701014
100505573 6.1627400 4.69200960 5.05999342 5.1483276 5.02116598 4.90946643
100505576 3.1193984 2.32614941 3.22310668 3.0773472 2.90673057 2.91296025
100505616 -1.1799596 0.97511144 0.70272496 -0.1946984 -0.31598465 -0.22021455
100505624 0.6104584 1.15047166 0.94420560 1.8813911 1.38570489 1.74883954
100505635 0.3892013 0.26733018 1.15100291 1.2552749 1.57285797 1.33727343
100505641 1.8865521 2.53028703 1.15100291 1.4954486 2.55346964 1.65642508
100505648 3.1897307 1.69427879 1.76845720 1.9636580 2.14492391 1.07701014
100505678 1.7992651 2.17201006 1.76845720 1.9636580 1.88706197 1.91760555
100505696 4.9864254 4.41110278 4.14089647 4.1834406 4.19828423 4.39824925
100505715 0.8022514 0.77544800 0.04889175 1.1183135 0.22062865 -0.22021455
100505738 -0.1917946 -1.17995959 -1.17995959 -1.1799596 -1.17995959 -1.17995959
100505741 1.8865521 1.44784768 1.88886884 1.4954486 1.28215902 1.21300281
100505758 2.9269244 3.05616406 3.07866041 2.9214033 2.72122422 2.99071786
100505761 1.7063549 1.99941028 1.88886884 2.1153292 1.81469096 2.49947284
100505771 1.8865521 0.97511144 1.88886884 1.2552749 1.73849692 1.07701014
100505783 1.9688579 2.39745331 1.33184002 0.7978753 1.17060276 1.74883954
100505806 4.7274027 4.58916520 4.74602168 4.8352582 4.70813261 4.58532549
100505812 1.7063549 1.90469362 2.10317985 2.7465370 2.50829547 1.07701014
100505832 1.5003945 0.54364433 -1.17995959 -0.1946984 -0.31598465 0.09352599
100505854 2.8851444 3.68827760 3.07866041 2.6992956 3.19028176 2.65085610
100505876 5.1974356 4.32227947 4.32292790 4.4774923 4.38480270 4.13269148
100505894 2.2578812 1.15047166 2.45490381 2.1855763 2.02174645 0.56953835
100505933 0.1277549 -1.17995959 -0.43846972 -0.1946984 -0.02287121 -1.17995959
100505994 0.9715133 0.54364433 -0.43846972 1.1183135 1.17060276 -0.62170854
100506020 1.3852237 -0.52401161 1.15100291 -0.1946984 -0.31598465 1.65642508
100506033 4.3817343 4.22762665 4.16494663 4.1309996 4.50465807 4.18324867
100506054 1.5003945 1.57631855 2.00000016 0.7978753 2.59727215 1.65642508
100506068 1.5003945 0.77544800 0.94420560 0.6062935 0.77243403 0.09352599
100506070 1.3852237 1.69427879 0.04889175 0.7978753 1.38570489 1.33727343
100506083 -0.1917946 -1.17995959 0.70272496 0.3853175 -0.68424088 0.35107609
100506100 -0.1917946 -1.17995959 -1.17995959 0.7978753 0.42890409 0.56953835
100506119 2.0467205 0.97511144 -1.17995959 0.1242637 0.77243403 -0.62170854
100506127 0.8022514 1.30680824 0.04889175 2.0414859 2.02174645 0.92685151
100506142 -0.1917946 -0.52401161 -1.17995959 -1.1799596 -0.31598465 -1.17995959
100506144 1.2600549 1.57631855 1.33184002 1.7012872 1.17060276 0.92685151
100506161 0.3892013 0.26733018 0.04889175 0.6062935 0.22062865 -1.17995959
100506211 1.7992651 0.97511144 2.00000016 1.7941478 0.91771327 0.92685151
100506235 1.5003945 1.44784768 0.94420560 0.6062935 1.28215902 1.45168342
100506258 0.3892013 1.99941028 0.04889175 0.3853175 0.77243403 1.21300281
100506282 2.7520142 2.32614941 1.49251376 2.8796333 1.81469096 2.13867227
100506286 1.1229857 1.80331889 0.70272496 0.7978753 1.57285797 1.33727343
100506302 1.9688579 1.15047166 1.15100291 0.6062935 0.91771327 0.09352599
100506321 0.8022514 1.44784768 1.15100291 0.3853175 0.42890409 0.75922877
100506325 0.1277549 0.77544800 0.94420560 -1.1799596 0.42890409 0.56953835
100506343 -0.1917946 0.26733018 -0.43846972 -0.1946984 0.42890409 0.09352599
100506365 4.8840878 4.80121501 4.61247994 4.8461431 4.87757045 4.84811658
100506368 -1.1799596 -1.17995959 0.04889175 -1.1799596 -0.31598465 0.75922877
100506380 3.0454609 2.86815240 3.22310668 2.3778656 3.00756800 2.60213889
100506392 3.3822333 3.22247497 3.39563421 3.1841529 3.10181548 3.20162066
100506394 0.8022514 0.77544800 0.04889175 0.7978753 1.88706197 0.35107609
100506411 1.3852237 -0.07474958 1.33184002 1.3803539 1.38570489 1.33727343
100506433 2.9675284 1.57631855 2.00000016 2.0414859 1.65805331 2.65085610
100506462 2.0467205 1.80331889 1.33184002 0.3853175 1.48231410 -0.22021455
100506469 4.0448306 4.06194393 4.38567428 3.8573931 3.84559072 4.24801502
100506495 0.8022514 1.69427879 0.41253551 -1.1799596 0.42890409 -1.17995959
100506504 0.8022514 2.53028703 1.76845720 1.7941478 1.73849692 1.07701014
100506540 0.8022514 -0.07474958 0.04889175 0.7978753 -0.31598465 0.35107609
100506581 0.3892013 0.26733018 -0.43846972 1.3803539 0.42890409 1.07701014
100506606 -1.1799596 -0.07474958 0.04889175 0.9669728 -0.02287121 0.75922877
100506658 0.8022514 0.26733018 2.10317985 1.6020358 1.88706197 1.07701014
100506668 2.4985546 2.17201006 2.45490381 1.9636580 2.25840677 1.99511978
100506686 1.6070470 0.97511144 1.63707289 1.9636580 1.73849692 0.92685151
100506691 -0.6028763 -0.52401161 0.41253551 -1.1799596 0.22062865 -1.17995959
100506696 1.8865521 1.30680824 2.67184245 1.6020358 1.95597535 1.45168342
100506697 1.3852237 1.15047166 0.94420560 1.8813911 0.91771327 1.07701014
100506710 6.3160394 6.08798023 6.39350755 6.0989385 5.83045305 6.20645511
100506713 -0.1917946 0.26733018 0.04889175 -0.1946984 -0.02287121 0.75922877
100506725 3.0070208 2.46539843 2.80023332 3.3152736 2.25840677 2.74361673
100506731 2.1908706 0.54364433 0.70272496 1.2552749 0.42890409 1.74883954
100506757 -1.1799596 -1.17995959 -1.17995959 -0.1946984 -1.17995959 -1.17995959
100506779 -1.1799596 -1.17995959 0.41253551 -0.6048062 -0.31598465 0.09352599
100506804 -0.1917946 0.54364433 0.70272496 -1.1799596 -0.31598465 -0.22021455
100506826 1.7992651 1.44784768 -0.43846972 -0.1946984 0.77243403 1.65642508
100506844 1.8865521 2.08828980 1.49251376 1.8813911 2.68107862 2.13867227
100506866 4.9155584 5.07573517 5.42117110 5.0945702 4.76685094 5.32421240
100506881 1.1229857 0.54364433 0.94420560 0.9669728 -0.31598465 0.75922877
100506885 -0.1917946 0.26733018 -1.17995959 -0.1946984 0.22062865 -1.17995959
100506911 0.6104584 -0.52401161 0.04889175 -1.1799596 0.77243403 0.56953835
100506922 1.8865521 1.57631855 1.49251376 1.2552749 0.42890409 0.92685151
100506930 3.6300032 3.60034758 3.75378614 3.1138347 3.89907034 3.02807952
100506994 0.6104584 0.77544800 1.15100291 0.9669728 1.38570489 1.21300281
100507003 0.8022514 0.97511144 0.70272496 2.1153292 1.88706197 0.75922877
100507032 1.5003945 1.99941028 1.49251376 1.4954486 2.02174645 1.33727343
100507034 3.2567931 3.50670852 3.58579574 3.7221291 3.65148914 2.95236286
100507050 -1.1799596 -0.07474958 0.04889175 -1.1799596 0.22062865 -1.17995959
100507053 3.7970213 2.86815240 2.80023332 2.8796333 2.50829547 3.16854237
100507057 0.3892013 1.15047166 -1.17995959 -1.1799596 1.17060276 0.35107609
100507062 -0.1917946 -0.07474958 0.70272496 0.3853175 0.22062865 -1.17995959
100507071 1.1229857 0.26733018 0.41253551 0.3853175 0.22062865 -1.17995959
100507156 3.1193984 3.22247497 2.67184245 3.4063418 3.10181548 3.23395749
100507171 2.3219169 3.47409439 3.02710858 2.9214033 3.27363528 2.91296025
100507173 -0.1917946 -0.52401161 0.41253551 -1.1799596 -0.02287121 -0.62170854
100507178 0.9715133 -0.07474958 0.41253551 0.3853175 0.77243403 0.35107609
100507244 1.2600549 0.77544800 -0.43846972 0.7978753 0.22062865 0.56953835
100507246 1.9688579 2.96521877 2.19947024 2.3165734 2.90673057 2.06868078
100507250 0.3892013 0.26733018 0.04889175 -0.6048062 0.77243403 -0.62170854
100507254 1.6070470 2.70908780 3.58579574 2.7922804 3.56589352 2.87245119
100507266 -0.6028763 -0.07474958 -1.17995959 -0.1946984 0.77243403 0.56953835
100507290 4.8519154 4.67775883 4.71377713 4.6612870 4.87757045 4.79492030
100507291 1.1229857 1.30680824 0.04889175 1.2552749 0.42890409 1.33727343
100507303 2.6053383 3.01140793 2.91812611 2.5999022 3.03967282 2.91296025
100507308 0.1277549 -0.07474958 -1.17995959 -0.6048062 -0.02287121 -1.17995959
100507316 0.8022514 0.97511144 1.33184002 0.7978753 1.88706197 0.35107609
100507331 2.0467205 1.57631855 1.63707289 1.6020358 1.73849692 1.83568891
100507347 1.5003945 1.80331889 1.49251376 0.3853175 1.88706197 0.92685151
100507373 2.1205952 2.17201006 2.53089943 1.6020358 1.95597535 2.13867227
100507392 0.9715133 1.57631855 0.70272496 1.1183135 1.57285797 1.55768322
100507398 0.9715133 0.97511144 1.49251376 0.1242637 1.81469096 1.55768322
100507401 -1.1799596 -0.52401161 0.41253551 -0.6048062 0.42890409 -0.22021455
100507420 1.2600549 0.97511144 1.15100291 0.7978753 1.88706197 0.56953835
100507433 1.5003945 0.54364433 0.70272496 1.3803539 1.04969205 1.33727343
100507436 -1.1799596 -0.07474958 -1.17995959 -1.1799596 -0.31598465 -0.22021455
100507437 0.6104584 1.57631855 1.76845720 1.7941478 1.81469096 0.09352599
100507459 2.0467205 0.54364433 1.15100291 0.7978753 1.28215902 1.74883954
100507463 2.4985546 -0.52401161 0.04889175 1.6020358 1.17060276 0.92685151
100507487 3.5520474 0.97511144 1.63707289 1.2552749 1.48231410 1.45168342
100507495 0.6104584 0.77544800 0.70272496 0.9669728 2.08464940 1.33727343
100507516 -0.1917946 1.15047166 1.76845720 0.3853175 -0.31598465 0.09352599
100507551 2.2578812 0.54364433 1.15100291 1.4954486 1.38570489 0.56953835
100507557 0.3892013 0.97511144 -1.17995959 0.6062935 1.28215902 1.21300281
100507564 -0.1917946 -1.17995959 -1.17995959 -1.1799596 -0.31598465 0.35107609
100507567 -0.1917946 1.15047166 1.33184002 0.1242637 0.22062865 0.75922877
100507588 0.3892013 0.77544800 0.70272496 0.7978753 0.91771327 0.92685151
100507599 1.1229857 1.57631855 1.15100291 2.1153292 1.38570489 -1.17995959
100507602 1.3852237 2.25113731 -0.43846972 0.9669728 1.48231410 1.99511978
100508120 0.9715133 1.30680824 2.00000016 0.9669728 1.38570489 1.65642508
10051 5.2722753 7.11007225 6.93806485 6.6639824 6.98799081 6.98657882
10052 0.3892013 1.99941028 1.76845720 0.9669728 1.95597535 2.26922464
100526737 1.8865521 1.30680824 1.76845720 1.2552749 1.88706197 1.74883954
100526760 -0.6028763 1.15047166 0.04889175 0.3853175 0.42890409 1.07701014
100526820 0.3892013 -0.07474958 0.70272496 -1.1799596 -0.02287121 -0.22021455
100526835 3.2891904 2.08828980 2.28973403 2.7465370 1.38570489 2.65085610
100527978 2.1205952 -0.52401161 1.63707289 1.6020358 0.77243403 0.56953835
100529145 1.7063549 -0.52401161 0.04889175 0.9669728 1.38570489 1.55768322
100529215 -0.6028763 -1.17995959 -0.43846972 0.1242637 -1.17995959 -0.62170854
100532746 4.2062273 3.82387431 3.84592727 3.9410008 3.89907034 3.95009736
100533106 0.9715133 -0.07474958 -1.17995959 0.7978753 -0.31598465 -0.62170854
100533182 1.2600549 1.90469362 1.76845720 1.1183135 1.28215902 0.09352599
100533619 -1.1799596 0.26733018 -1.17995959 -0.1946984 0.22062865 1.21300281
100533629 0.6104584 0.54364433 1.33184002 -0.6048062 -0.31598465 0.56953835
100533695 0.3892013 0.54364433 0.70272496 0.1242637 -0.02287121 0.35107609
100533970 -0.1917946 0.54364433 0.41253551 0.7978753 0.77243403 0.35107609
100534593 1.1229857 -0.07474958 0.04889175 0.6062935 -0.31598465 1.45168342
10054 5.8785985 6.18185151 6.19757869 5.9199074 6.19002355 6.00101705
10056 5.4475627 5.88586442 5.93627842 5.6235632 5.93229964 5.85792036
10057 7.6355287 7.09137860 7.23643291 7.0805251 6.88351617 7.20621782
10058 5.7680071 4.44515541 4.25732793 3.7686406 3.88146316 4.32508682
10059 6.9307842 7.13375643 7.29208986 7.1392306 7.21406927 7.13736757
1006 7.6133094 5.34286282 5.22922239 5.8780936 5.71093217 5.52703767
10060 3.9054915 4.08372510 3.78515828 4.3456363 4.28118967 4.57273826
100616256 0.8022514 1.30680824 0.41253551 0.1242637 1.17060276 0.09352599
10062 1.8865521 1.44784768 1.63707289 2.4366597 2.25840677 1.55768322
10063 3.9054915 3.71643569 3.17654654 3.6243506 3.30038289 3.13468783
100652739 1.1229857 0.26733018 0.70272496 -0.1946984 0.61087003 0.92685151
100652758 -0.6028763 0.26733018 0.04889175 -0.6048062 -1.17995959 -0.62170854
100652846 0.9715133 0.54364433 1.63707289 0.7978753 1.73849692 1.45168342
10066 6.0204346 5.96427887 6.04394785 5.6915279 5.96610390 5.75025338
10067 6.5612544 6.85852700 6.72002042 6.5487721 6.52090748 6.47008931
10068 4.2397669 3.01140793 3.58579574 3.3152736 3.07107871 3.54872750
10069 4.4406080 3.87473496 4.09155890 4.0765802 4.25408045 4.23209397
10072 5.3587686 5.69387198 5.56366901 5.5654710 5.46714722 5.46027032
10073 4.1544090 3.65955896 4.01423703 4.1130869 4.03268855 4.08029805
10075 8.9824074 8.92397510 8.89785184 8.8511346 8.66659895 9.05075677
10076 7.0817516 5.48058213 5.47025099 5.7793310 5.64463398 5.45342044
10077 0.8022514 1.57631855 0.04889175 1.3803539 0.61087003 1.83568891
100775107 1.3852237 0.77544800 0.94420560 0.3853175 0.91771327 0.75922877
10078 5.1974356 5.23019560 5.05999342 4.6978001 5.03715710 4.92935002
10079 5.6729935 6.07172355 5.44100386 5.7564344 5.87562015 5.89378255
1008 6.9282150 4.90273260 5.02099518 5.1395060 5.05297291 4.75090426
10081 4.9564791 5.23992798 4.80842610 4.8132389 5.00499562 4.82707286
10082 6.8270314 6.44004996 6.60166172 6.9377211 6.65389665 6.94323088
100820829 3.7039618 3.82387431 3.93253521 3.3766199 3.79005208 4.41244682
10084 4.9564791 5.39605996 5.11040352 4.9707326 5.37578333 4.69392580
100847074 1.7063549 1.15047166 2.37468135 1.7012872 1.57285797 1.65642508
10085 10.1182100 10.22197793 10.03813073 10.1213391 10.24643854 10.14328139
100852407 0.8022514 0.77544800 0.94420560 0.7978753 1.04969205 0.75922877
100861412 -0.1917946 0.77544800 1.49251376 1.1183135 0.22062865 0.35107609
100861548 4.2725445 4.08372510 3.39563421 3.6243506 4.18399135 3.89048692
100862671 0.3892013 0.54364433 -0.43846972 0.6062935 0.42890409 0.35107609
10087 5.9961080 6.02182464 6.03744887 5.7564344 5.61830082 5.91388197
100873257 0.1277549 -1.17995959 0.04889175 0.3853175 0.22062865 0.35107609
100873333 3.6550797 3.37158026 3.17654654 3.0399129 3.37777311 3.29653474
100873790 4.1187997 4.18795543 4.11643858 4.1661712 4.29455561 4.42650603
100873949 0.8022514 1.44784768 0.94420560 1.7012872 0.77243403 1.33727343
100873952 -0.6028763 -0.52401161 -1.17995959 -0.6048062 0.42890409 0.09352599
100873965 1.5003945 2.08828980 2.28973403 2.0414859 1.28215902 2.33032227
100874006 -0.1917946 1.30680824 1.33184002 0.1242637 0.77243403 0.35107609
100874008 0.8022514 1.80331889 1.76845720 1.6020358 1.04969205 1.45168342
100874014 3.7743131 1.99941028 2.19947024 2.0414859 2.55346964 2.69798181
100874058 1.9688579 1.80331889 1.33184002 0.3853175 0.91771327 -0.22021455
100874080 0.6104584 -0.07474958 1.15100291 1.2552749 1.04969205 0.35107609
100874097 1.8865521 2.76408116 2.10317985 1.9636580 2.36361033 2.55171892
100874201 -0.1917946 0.26733018 0.04889175 0.1242637 0.91771327 -0.62170854
100874212 1.5003945 1.30680824 0.70272496 1.4954486 1.04969205 1.07701014
100874217 -1.1799596 -1.17995959 0.04889175 -0.6048062 0.91771327 0.35107609
100874235 1.2600549 -0.07474958 -0.43846972 0.7978753 -0.31598465 -0.62170854
100874261 0.1277549 -1.17995959 1.15100291 0.3853175 0.91771327 0.92685151
100874291 -0.1917946 -1.17995959 -1.17995959 -1.1799596 -0.31598465 0.35107609
100874362 1.3852237 1.57631855 2.00000016 0.1242637 1.28215902 0.75922877
100874523 1.7992651 2.08828980 2.45490381 2.3165734 1.81469096 1.74883954
100885775 3.9262402 4.08372510 4.68079540 4.5052262 4.65730636 4.11543756
100885776 0.9715133 -1.17995959 0.04889175 -1.1799596 -0.31598465 -0.62170854
100885848 3.7039618 3.94781426 4.68079540 4.5052262 4.24033239 4.14974149
1009 9.6685755 10.50529197 10.40985087 10.5155727 10.60082106 10.56136723
10090 4.7391767 3.87473496 4.30139098 4.2340421 3.89907034 4.04428124
10092 7.9749788 8.22510852 8.18812620 8.0619221 8.28153933 8.18970608
10093 7.4634431 7.61152872 7.62246212 7.4978414 7.77513173 7.41629975
10094 5.9359939 5.98178489 5.97760179 6.1348907 5.97027428 5.73903121
10095 6.2558404 6.47755312 6.40364998 6.3867551 6.57119638 6.23868496
10097 8.7136695 8.96562844 8.99580277 9.0053620 9.00926637 8.86257154
10098 6.8917572 7.01974386 7.13049694 7.2499273 7.05823921 7.10276457
10099 7.5988426 7.94475659 7.66524420 7.6328262 7.77035633 7.49679219
100996246 0.8022514 -1.17995959 1.15100291 0.9669728 0.91771327 1.33727343
100996251 1.3852237 -0.07474958 0.41253551 0.1242637 0.42890409 -1.17995959
100996307 0.6104584 -0.52401161 0.70272496 -1.1799596 0.77243403 -0.62170854
100996384 0.9715133 1.44784768 0.41253551 -0.1946984 -0.02287121 1.07701014
100996419 2.1205952 -0.07474958 1.15100291 -1.1799596 0.91771327 0.92685151
100996485 2.1205952 1.69427879 1.76845720 1.7012872 1.88706197 2.13867227
100996539 0.8022514 0.54364433 -1.17995959 -1.1799596 0.22062865 -1.17995959
100996579 -1.1799596 -1.17995959 1.15100291 -0.1946984 -1.17995959 -1.17995959
100996696 1.7992651 2.81705500 2.60309142 2.1855763 2.08464940 1.55768322
100996842 0.6104584 -0.07474958 0.41253551 0.3853175 0.77243403 0.56953835
100996851 0.3892013 0.54364433 0.04889175 0.3853175 1.04969205 1.07701014
100996939 0.6104584 0.97511144 0.70272496 1.1183135 1.04969205 1.21300281
101 2.3219169 1.44784768 2.00000016 2.1153292 0.91771327 0.92685151
1010 -1.1799596 -1.17995959 -1.17995959 -1.1799596 -0.31598465 -0.22021455
10100 4.2725445 4.54274103 4.59488337 4.6735610 4.77640912 5.01558309
10101 5.1628853 4.84012599 4.74602168 4.6735610 4.78590438 4.39824925
10102 3.7743131 4.32227947 4.66401741 4.5853658 4.37225078 4.16659236
10103 0.6104584 -1.17995959 -1.17995959 0.3853175 -0.31598465 0.35107609
10105 5.2722753 6.13567922 6.41873117 6.1699688 6.15747519 5.96293852
10106 6.9712812 7.03099876 6.92404057 6.8859171 6.95259513 6.89348783
101060200 2.3832308 2.81705500 2.73746566 1.9636580 1.65805331 2.33032227
101060691 3.2891904 2.65191482 3.84592727 2.9619978 2.83536416 3.13468783
10109 9.0954996 8.80608961 8.93066217 8.8524848 8.99142324 8.66178896
10112 0.9715133 5.98757334 5.65989114 4.7334118 5.72086679 5.44653788
10113 6.0910460 5.89820908 6.05041768 5.9705261 6.14646049 6.00570697
10114 7.6971895 7.15962406 7.38460398 7.4752320 7.09116389 7.47328178
101154753 -0.6028763 -0.52401161 -0.43846972 0.7978753 0.22062865 -1.17995959
10116 7.6433820 7.52859650 7.42499786 7.6217836 7.38468989 7.51335382
10117 0.3892013 0.97511144 2.67184245 1.6020358 1.38570489 1.33727343
1012 8.1702614 8.31302257 8.15097913 8.2209065 8.37808271 8.15845778
10121 6.4474435 6.49797452 6.44352135 6.3904778 6.54067310 6.49698619
10123 7.5445212 7.32876915 7.40746453 7.4125384 7.38156188 7.41805996
PFOA_24_H4 EtOH_24_H4 TUN_2_H5 THA_2_H5 DMSO_2_H5 TUN_24_H5
100 3.2844181 3.73141759 2.85530514 2.70444369 2.3709717 3.12299504
1000 11.3976841 11.44587320 11.09106490 11.36452689 11.1969822 11.39252169
10000 7.1388703 7.39031327 6.86720278 6.72824764 6.8371366 7.12968247
10001 4.4654875 4.52118521 5.09406789 4.59942348 4.5288911 4.50759638
10003 3.4628879 3.06063379 3.75585531 4.35359413 4.0586415 3.80478092
100037417 1.9890314 1.68125730 2.68985907 2.75942445 2.7059248 2.37940313
100049716 0.9143929 1.38649160 1.94071728 1.79896886 1.6531038 0.95984886
10005 3.7302804 4.09048256 4.03421151 4.01252468 3.8032293 3.99819855
10006 6.6092688 6.55278943 6.43776295 6.07221459 5.8804299 6.70667148
10007 5.1523614 5.08012154 4.91818152 4.61441371 4.2755647 5.14069929
10009 4.7324405 5.34142185 5.10506503 5.22527343 5.3810504 5.02330851
100093630 3.3079721 3.52408893 3.81062480 3.71162236 3.0963561 4.42584566
1001 5.7421907 5.38299413 4.70343557 4.45700407 3.9043801 4.12794489
10010 5.0159972 4.99330845 5.49610700 5.15524690 4.9156362 5.39385888
100101267 2.0461708 1.01561832 1.83899643 1.30271726 1.4890954 1.29063290
100101467 4.7583189 4.18752422 5.13756228 4.56896748 4.9475887 5.45283476
10011 5.4080558 5.54436855 5.72006351 5.71698303 5.4935492 5.66723161
100113386 0.4891714 0.86727858 -0.50898272 0.54017346 2.9775777 1.98188763
100113397 0.6452567 0.30049458 -1.17995959 0.97125040 1.0916633 0.76084465
100113407 3.8792258 4.15589676 4.36216229 4.35359413 5.0094462 4.47544982
100125288 0.9143929 1.38649160 -0.05278768 0.54017346 -1.1799596 3.16391247
100127983 2.1011331 2.42764119 2.68985907 2.58776654 1.3040218 2.57412220
100128006 2.1011331 1.68125730 2.90649031 2.52568734 2.1689504 2.69071495
100128016 1.6634851 1.27314021 1.18322683 -0.07741301 1.6531038 1.29063290
100128025 -1.1799596 0.51512424 0.29328288 0.77175310 0.5412801 -0.08526516
100128054 1.0322101 1.49158217 1.00682747 1.68997827 1.3040218 1.98188763
100128071 0.9143929 0.51512424 1.00682747 0.97125040 1.4890954 0.76084465
100128191 0.6452567 0.70191972 1.61112654 2.16751780 1.3040218 2.15424073
100128252 -1.1799596 -1.17995959 1.18322683 0.77175310 1.6531038 2.94662820
100128379 -0.3919060 -1.17995959 0.29328288 0.26417786 -1.1799596 -0.08526516
100128398 4.4121479 4.20308169 3.88906743 4.07887412 4.4418320 4.78181733
100128494 2.8108352 3.22205396 3.33791920 2.52568734 3.5767909 3.48776715
100128569 0.9143929 1.99901716 0.57219069 1.30271726 2.0562349 1.78611469
100128640 -0.3919060 -0.25762257 1.18322683 1.14648250 -1.1799596 1.13470054
100128682 1.1411280 0.30049458 1.34038858 1.99498009 2.1689504 2.74565825
100128731 6.4437074 6.61517194 6.32470812 6.40954003 5.9764818 6.51440271
100128766 -0.3919060 0.51512424 0.29328288 0.54017346 0.5412801 -0.08526516
100128782 1.8674797 1.38649160 1.61112654 2.39289038 1.0916633 2.15424073
100128822 1.9295353 0.70191972 3.75585531 2.58776654 1.9339610 2.69071495
100128833 2.6725137 2.87885034 2.85530514 2.32160765 1.0916633 2.99278204
100128881 2.2544730 2.13500197 1.83899643 2.52568734 2.8481357 2.63359608
100128893 4.6146055 4.53354409 5.63915263 5.88092081 5.0975269 5.27749352
100129001 1.0322101 1.68125730 1.00682747 0.26417786 1.0916633 0.52992955
100129013 2.8434384 2.87885034 2.68985907 2.24661898 2.0562349 1.78611469
100129029 0.4891714 -0.25762257 -0.50898272 0.26417786 0.1600124 0.76084465
100129060 3.1861575 3.31089208 2.03573600 3.65475237 2.9775777 3.28013098
100129075 1.4258198 1.01561832 2.63020737 1.57207599 2.0562349 2.30818336
100129195 2.0461708 2.75766021 2.68985907 2.70444369 0.8425603 1.67727128
100129203 -0.3919060 0.04825833 -1.17995959 -1.17995959 -1.1799596 -0.53118197
100129250 2.5195102 2.52987889 2.85530514 1.44367385 1.0916633 2.23326438
100129259 0.6452567 1.27314021 0.57219069 0.26417786 0.1600124 0.25487818
100129361 5.3296754 5.71141754 5.74839578 5.66753289 5.2203186 5.45283476
100129398 0.3141273 0.30049458 1.48209914 0.26417786 1.6531038 0.25487818
100129434 1.7347368 1.58953463 -0.05278768 1.68997827 2.5481473 0.95984886
100129461 0.7860917 1.38649160 -0.05278768 0.54017346 0.8425603 0.52992955
100129484 0.4891714 1.38649160 -0.50898272 0.97125040 2.7059248 3.38768129
100129550 3.3311477 2.67081404 3.88906743 4.05709493 4.1711763 4.82071995
100129583 1.2423970 0.04825833 1.72955575 1.44367385 0.1600124 1.55954121
100129662 1.1411280 0.30049458 1.18322683 0.77175310 -1.1799596 0.76084465
100129707 1.4258198 0.30049458 0.57219069 -0.07741301 -0.3596932 0.52992955
100129716 -0.1163774 -1.17995959 1.18322683 0.97125040 1.3040218 1.43134334
100129726 -0.3919060 -0.25762257 -1.17995959 -1.17995959 -1.1799596 -0.08526516
100129774 3.2113571 3.44778406 3.44566317 3.79293290 3.9989014 3.83042447
100129781 -1.1799596 0.30049458 -0.50898272 -0.07741301 0.8425603 -1.17995959
100129792 0.1148737 0.30049458 0.57219069 0.54017346 0.1600124 -1.17995959
100129794 0.6452567 0.86727858 2.50295226 1.79896886 2.7059248 2.44727185
100129842 0.1148737 1.15011763 0.29328288 -0.52582932 0.1600124 0.95984886
100129917 1.7347368 1.27314021 2.03573600 2.24661898 2.3709717 3.55083058
100129924 0.6452567 -0.64630514 0.57219069 0.54017346 -1.1799596 -0.08526516
100129940 2.2544730 1.84886810 1.61112654 1.57207599 1.8003561 0.52992955
100129995 -1.1799596 -0.25762257 0.80581528 0.54017346 1.3040218 0.76084465
10013 5.8504169 5.41674542 5.91388053 5.95345058 6.1095393 6.24085764
100130111 0.6452567 0.04825833 -0.50898272 1.14648250 0.1600124 1.29063290
100130197 0.3141273 0.70191972 0.57219069 0.97125040 -1.1799596 0.52992955
100130335 3.7127402 4.05662850 3.93908894 3.36681217 2.8481357 4.32120751
100130348 2.8108352 2.06861117 2.50295226 2.64728432 1.4890954 3.77867331
100130357 1.5094680 0.70191972 1.72955575 1.14648250 0.5412801 0.52992955
100130466 3.6216905 4.24877214 3.93908894 3.76633534 3.8714449 3.77867331
100130476 2.2544730 2.91708569 -1.17995959 0.77175310 2.2734943 0.52992955
100130522 -0.3919060 -0.64630514 0.57219069 0.77175310 1.3040218 0.52992955
100130550 0.9143929 0.70191972 -1.17995959 0.26417786 -1.1799596 0.95984886
100130564 2.9065143 2.83957400 2.85530514 2.86347314 3.4926595 2.30818336
100130581 -1.1799596 0.30049458 -1.17995959 0.97125040 0.5412801 0.52992955
100130691 0.7860917 1.27314021 1.18322683 1.30271726 1.8003561 1.98188763
100130705 1.5094680 0.70191972 1.83899643 0.54017346 2.2734943 3.58135780
100130748 1.8026344 1.68125730 2.28817553 1.57207599 0.1600124 1.55954121
100130750 1.4258198 2.37367046 1.48209914 1.30271726 2.1689504 1.88731940
100130855 1.5885309 1.01561832 1.83899643 0.77175310 1.6531038 0.95984886
100130958 1.1411280 0.30049458 -1.17995959 -0.52582932 0.1600124 0.52992955
100131017 3.0249509 2.42764119 2.20883760 1.90030080 3.2579849 2.44727185
100131031 0.4891714 1.27314021 1.61112654 2.39289038 3.0963561 2.30818336
100131033 1.5094680 1.99901716 1.61112654 2.32160765 -1.1799596 1.88731940
100131067 2.1540781 2.13500197 2.20883760 1.79896886 1.3040218 2.84963983
100131089 1.9295353 1.68125730 3.69892425 2.46081628 3.6562854 3.45517064
100131094 -0.1163774 0.30049458 1.61112654 0.26417786 1.4890954 -0.08526516
100131138 2.7433316 2.47966549 2.28817553 1.68997827 2.0562349 2.84963983
100131187 2.4785823 2.87885034 1.00682747 0.54017346 -1.1799596 0.25487818
100131193 1.6634851 1.76749544 2.85530514 3.25646954 2.9775777 1.67727128
100131211 3.1343979 2.87885034 3.37473520 3.36681217 3.3080731 2.37940313
100131213 1.2423970 0.86727858 0.57219069 -0.52582932 1.0916633 1.67727128
100131471 1.9295353 1.58953463 1.61112654 1.68997827 1.0916633 2.07063644
100131656 3.3311477 3.61992990 2.85530514 3.17792153 1.9339610 2.94662820
100131685 2.1011331 2.37367046 1.94071728 0.26417786 1.4890954 1.43134334
100131691 1.1411280 0.51512424 2.68985907 1.30271726 1.4890954 2.89894889
100131740 0.4891714 -0.64630514 0.29328288 1.14648250 -0.3596932 -0.08526516
100131801 3.0807120 2.83957400 2.68985907 2.86347314 0.8425603 2.37940313
100131827 -1.1799596 0.04825833 -0.05278768 -1.17995959 -1.1799596 -1.17995959
100131828 0.9143929 0.86727858 0.57219069 0.26417786 1.0916633 0.25487818
100131940 1.2423970 2.06861117 1.72955575 1.57207599 2.1689504 -0.53118197
100132074 -1.1799596 -1.17995959 2.03573600 0.54017346 0.5412801 1.43134334
100132086 -0.3919060 0.04825833 0.57219069 -1.17995959 -1.1799596 0.25487818
100132116 8.0067934 7.71046188 7.09939471 7.05104150 6.4590163 5.31430810
100132126 0.3141273 0.70191972 0.29328288 -0.52582932 0.1600124 0.25487818
100132215 1.0322101 1.01561832 0.29328288 1.14648250 0.8425603 0.52992955
100132537 2.4785823 2.31760197 1.61112654 1.14648250 1.4890954 0.95984886
100132609 1.5885309 2.19847150 0.29328288 -0.07741301 -1.1799596 -0.08526516
100132659 0.1148737 0.30049458 0.29328288 -0.07741301 -0.3596932 1.13470054
100132891 2.0461708 2.52987889 2.80223697 2.24661898 1.8003561 3.28013098
100132972 -0.3919060 -1.17995959 -0.05278768 -0.07741301 0.1600124 1.13470054
100133234 0.6452567 1.01561832 0.80581528 -0.07741301 0.1600124 0.76084465
100133286 -0.7327807 -0.64630514 -0.50898272 -1.17995959 -1.1799596 -0.53118197
100133315 1.0322101 0.30049458 -0.50898272 -1.17995959 1.8003561 0.52992955
100134934 1.9890314 0.51512424 1.48209914 0.77175310 2.8481357 2.15424073
10014 6.2414429 6.06643237 6.65162450 6.28858920 6.7031708 6.29711731
100144603 -0.7327807 -0.25762257 0.29328288 -0.07741301 0.8425603 0.52992955
100144748 1.2423970 0.30049458 2.36337694 0.97125040 1.6531038 2.15424073
10015 7.4638318 7.49513569 7.51051642 7.39714770 7.4910638 7.38894183
10016 5.1392905 5.30583910 5.02626424 4.96953089 4.5288911 4.82071995
100170229 0.6452567 0.70191972 0.29328288 0.97125040 -0.3596932 0.52992955
100170841 2.9669476 2.19847150 3.78349994 3.17792153 4.1979900 4.02064953
10018 3.1861575 2.91708569 4.10165125 3.36681217 4.6886754 4.04275648
100188847 1.5885309 1.15011763 0.80581528 1.90030080 2.1689504 1.55954121
10019 4.6051298 4.89136391 4.80134101 4.56896748 4.5288911 5.19105636
100190938 2.9669476 3.15963607 1.61112654 2.32160765 2.0562349 3.03750501
1002 1.8026344 2.06861117 -1.17995959 1.57207599 1.3040218 1.43134334
10020 3.8634156 3.89361099 4.18693070 3.84470067 3.9680773 3.95222045
10021 7.4427076 7.13650250 7.89805579 8.10013297 8.2588063 7.05822912
10023 1.4258198 1.27314021 1.48209914 1.79896886 1.3040218 2.07063644
10024 3.9852961 4.13981916 2.74714195 4.03498192 3.0381889 1.98188763
10026 5.7027526 5.71684663 6.09578478 6.03370276 5.7863854 5.97376433
100268168 1.6634851 1.38649160 0.57219069 -0.52582932 0.5412801 0.76084465
100270804 1.5094680 0.70191972 2.20883760 1.79896886 2.0562349 2.94662820
100270827 -0.1163774 0.04825833 -1.17995959 -0.07741301 -1.1799596 -1.17995959
100270840 3.7302804 4.40491566 3.51326687 3.94297612 4.0290806 3.85562015
100270854 4.2634640 4.20308169 3.69892425 4.28029227 4.0586415 4.30300545
100270865 4.9650524 5.14599662 5.54538171 5.31975953 4.4860181 5.37655613
100271271 3.2604732 3.87430635 3.30013904 2.81238661 2.2734943 3.31687918
100271332 -1.1799596 -0.25762257 -1.17995959 -1.17995959 -1.1799596 -1.17995959
100271415 1.3370215 2.13500197 1.72955575 1.57207599 0.8425603 2.07063644
100271479 0.6452567 -0.25762257 1.34038858 -0.52582932 1.4890954 0.52992955
100271884 -0.7327807 -0.25762257 -0.05278768 -1.17995959 -1.1799596 -1.17995959
100272147 1.8674797 2.42764119 2.85530514 2.52568734 2.6291919 2.15424073
100286844 0.1148737 0.30049458 1.00682747 1.30271726 1.9339610 1.29063290
100287015 0.4891714 1.38649160 1.48209914 0.97125040 1.9339610 0.25487818
100287049 -0.1163774 0.86727858 2.03573600 1.30271726 1.4890954 1.67727128
100287074 0.4891714 0.30049458 -0.05278768 -0.07741301 0.5412801 0.25487818
100287616 2.7083571 2.71489052 3.13827203 2.24661898 2.3709717 3.03750501
100287722 1.4258198 0.86727858 1.34038858 0.26417786 1.0916633 -0.08526516
100287808 0.1148737 0.86727858 1.00682747 0.97125040 2.1689504 -0.08526516
100287837 0.6452567 -0.25762257 1.61112654 0.54017346 1.4890954 0.52992955
100287896 0.3141273 1.84886810 2.74714195 2.39289038 2.2734943 3.03750501
100287902 -0.7327807 -0.25762257 1.34038858 0.97125040 1.3040218 -0.08526516
100287928 2.5980393 1.92589510 1.72955575 2.91281237 2.2734943 2.37940313
100287932 5.2589271 5.61585261 5.38319559 5.10306160 5.2590316 4.85860104
100288001 3.2844181 3.59655992 2.36337694 3.00670016 2.2734943 2.23326438
100288073 3.2844181 3.44778406 4.96722049 3.71162236 2.7787818 6.52621972
100288123 1.5094680 0.86727858 2.03573600 1.79896886 1.3040218 0.25487818
100288198 0.3141273 1.68125730 2.74714195 2.70444369 1.9339610 2.30818336
100288241 -1.1799596 -1.17995959 -1.17995959 -1.17995959 -1.1799596 -1.17995959
100288413 1.8674797 2.42764119 2.95592154 3.00670016 3.2579849 2.69071495
100288513 1.2423970 1.01561832 0.29328288 0.26417786 -0.3596932 -0.08526516
100288842 1.4258198 0.70191972 1.83899643 1.68997827 2.3709717 1.43134334
100289061 0.7860917 1.58953463 1.00682747 1.14648250 1.6531038 0.25487818
100289095 0.4891714 -1.17995959 -1.17995959 0.54017346 0.1600124 -1.17995959
100289133 3.4628879 3.09439508 2.12488144 1.99498009 1.4890954 1.67727128
100289178 2.3930693 2.31760197 3.00371506 2.08382672 3.0381889 1.43134334
100289211 -0.1163774 1.01561832 1.34038858 1.79896886 2.7059248 0.76084465
100289259 1.5885309 1.38649160 1.34038858 0.54017346 1.8003561 1.55954121
100289274 1.8026344 1.58953463 3.54591672 2.96051989 2.2734943 4.56981725
100289341 -0.3919060 1.27314021 0.29328288 1.44367385 0.1600124 1.55954121
100289373 0.1148737 0.70191972 0.57219069 1.79896886 1.3040218 1.98188763
100289388 -0.1163774 0.51512424 -0.05278768 -0.07741301 0.5412801 0.25487818
100289414 -0.3919060 -1.17995959 -0.05278768 -1.17995959 -0.3596932 -1.17995959
100289635 5.3637898 5.37614808 5.37413277 5.07081962 5.3574583 5.44455581
100289640 1.9295353 2.37367046 0.80581528 -0.52582932 0.8425603 2.30818336
100289678 2.7083571 2.71489052 2.50295226 3.05144795 3.0963561 3.51964342
100293516 3.5042571 3.54865264 3.88906743 3.96653347 4.1438548 2.99278204
100294362 0.7860917 1.01561832 0.29328288 0.26417786 1.4890954 1.43134334
1003 1.3370215 1.84886810 0.57219069 -0.07741301 0.8425603 0.52992955
100302692 2.5195102 1.68125730 2.95592154 2.81238661 4.1160059 2.63359608
100302736 0.9143929 -0.25762257 1.34038858 0.97125040 -0.3596932 2.23326438
100303728 2.3483338 2.52987889 3.00371506 2.91281237 3.3080731 2.63359608
100303755 1.0322101 0.86727858 1.48209914 1.44367385 0.8425603 1.55954121
100312828 0.4891714 -0.64630514 0.57219069 0.77175310 0.5412801 0.76084465
100312850 -1.1799596 -0.25762257 -0.05278768 1.30271726 1.0916633 -0.08526516
10036 4.3108661 4.90093507 4.34371060 4.28029227 3.9043801 3.16391247
100379345 0.1148737 -0.64630514 1.34038858 0.54017346 0.1600124 -0.53118197
10038 5.3805491 5.32729389 5.70568595 5.56323746 5.1670303 5.90904836
100381270 1.5094680 0.04825833 0.80581528 1.44367385 2.2734943 0.95984886
10039 2.9669476 2.75766021 3.72767058 2.70444369 3.6944481 4.04275648
1004 4.6240194 5.05462168 4.77403937 5.15524690 4.9788489 4.33918277
10040 3.7302804 3.83490440 3.69892425 3.59554829 3.6170856 4.50759638
100418710 0.9143929 1.15011763 1.34038858 0.77175310 2.1689504 0.95984886
100418735 1.8674797 2.06861117 2.20883760 2.16751780 1.4890954 0.95984886
100418744 1.3370215 0.30049458 1.94071728 0.77175310 -1.1799596 -0.53118197
100418770 -1.1799596 -0.64630514 -1.17995959 -1.17995959 -1.1799596 -1.17995959
100418781 1.6634851 1.92589510 -0.05278768 1.57207599 1.9339610 1.13470054
100418819 1.8026344 1.99901716 2.43485187 2.81238661 1.4890954 1.43134334
100418829 0.9143929 1.49158217 0.57219069 1.14648250 1.4890954 0.95984886
100418888 0.4891714 1.15011763 1.00682747 1.44367385 1.3040218 0.25487818
100418889 2.5980393 3.06063379 2.50295226 3.05144795 2.0562349 2.30818336
100418910 1.7347368 1.15011763 -0.05278768 0.26417786 1.3040218 -0.08526516
100418919 2.4785823 3.12738433 2.50295226 2.08382672 2.3709717 2.15424073
100419028 1.4258198 1.27314021 1.18322683 1.14648250 1.3040218 1.55954121
100419185 -1.1799596 -1.17995959 -1.17995959 0.54017346 0.1600124 -0.53118197
100419416 1.2423970 0.86727858 -0.05278768 1.68997827 0.5412801 -0.53118197
100419515 -0.1163774 1.15011763 1.34038858 0.97125040 0.1600124 1.29063290
100419645 -0.7327807 -0.25762257 -0.05278768 -0.07741301 0.1600124 0.25487818
100419758 1.2423970 1.27314021 1.48209914 1.44367385 1.6531038 2.07063644
100419928 1.8674797 2.13500197 -0.05278768 1.57207599 0.5412801 2.63359608
10042 5.3296754 5.28406042 5.74839578 5.50007010 5.4042629 5.05628306
100420028 1.5885309 1.92589510 -0.05278768 0.77175310 0.5412801 0.52992955
100420050 0.1148737 0.04825833 -0.05278768 -0.52582932 -0.3596932 0.52992955
100420110 2.8108352 2.75766021 2.68985907 3.05144795 2.9143080 3.31687918
100420187 -0.3919060 -1.17995959 -1.17995959 -1.17995959 -1.1799596 0.95984886
100420259 4.4654875 4.49614522 4.14492101 3.91902771 4.0290806 3.66924514
100420307 1.0322101 0.70191972 -0.05278768 0.77175310 1.4890954 -0.08526516
100420341 5.4243116 5.61585261 5.30904701 5.31975953 4.4418320 7.16538440
100420423 1.2423970 1.27314021 0.80581528 0.26417786 -0.3596932 1.13470054
100420591 0.3141273 0.04825833 -0.50898272 0.54017346 -0.3596932 0.25487818
100420707 2.6725137 2.52987889 2.74714195 3.17792153 3.4486795 2.89894889
100420752 1.7347368 2.67081404 1.00682747 0.26417786 0.8425603 2.23326438
100420869 4.0565534 4.09048256 4.18693070 4.10032941 3.7678725 4.22780995
100420981 6.0521805 6.36500818 5.87586078 6.07221459 5.6762767 6.03570149
100421093 3.9557777 4.59379859 4.26744930 4.10032941 3.7316274 3.72499649
100421109 1.1411280 0.70191972 1.48209914 -0.07741301 0.5412801 1.43134334
100421160 0.1148737 0.04825833 0.57219069 0.26417786 0.1600124 0.76084465
100421175 1.1411280 0.70191972 -0.50898272 -0.52582932 0.1600124 -0.08526516
100421246 0.7860917 1.01561832 0.80581528 0.54017346 -1.1799596 0.25487818
100421311 1.5094680 1.76749544 1.72955575 2.16751780 1.3040218 1.55954121
100421372 1.5094680 1.38649160 1.83899643 2.16751780 2.7059248 2.30818336
100421400 2.7083571 2.47966549 2.12488144 1.68997827 0.8425603 1.29063290
100421415 0.1148737 0.70191972 0.57219069 -0.07741301 1.8003561 0.76084465
100421429 0.6452567 -0.25762257 -0.50898272 -0.07741301 -0.3596932 -0.53118197
100421465 0.9143929 1.38649160 1.94071728 0.97125040 0.1600124 2.15424073
100421468 2.3021665 3.19118255 2.43485187 2.81238661 1.8003561 2.69071495
100421506 1.4258198 0.86727858 0.29328288 1.57207599 0.1600124 0.52992955
100421569 1.3370215 1.01561832 1.18322683 -0.52582932 -1.1799596 -0.08526516
100421595 -0.3919060 -1.17995959 -1.17995959 -0.07741301 -1.1799596 -0.53118197
100421794 -0.3919060 -1.17995959 -0.05278768 -0.07741301 -1.1799596 -1.17995959
100422106 1.3370215 1.84886810 1.48209914 1.44367385 0.8425603 1.29063290
100422338 3.0807120 2.87885034 1.94071728 1.57207599 2.5481473 1.78611469
100422546 1.8026344 1.38649160 1.00682747 0.77175310 1.0916633 1.29063290
100422561 3.5245052 3.42142512 2.95592154 2.86347314 3.2579849 3.99819855
10043 5.4457049 5.65030884 5.71289264 5.59381338 5.2203186 5.56401218
10044 1.8674797 2.19847150 1.48209914 0.54017346 1.8003561 1.55954121
10045 1.1411280 -0.25762257 -0.05278768 -0.07741301 0.1600124 -1.17995959
10046 1.6634851 1.92589510 1.61112654 1.57207599 0.8425603 1.43134334
10048 6.1979804 6.53138108 6.74246114 6.51315406 6.3792595 6.48644736
10049 5.7889732 5.75955923 5.79667661 5.66032816 5.8126478 6.03570149
100499177 2.8753211 3.25227859 3.69892425 3.84470067 2.8481357 3.55083058
100499483 2.9669476 3.09439508 3.30013904 2.86347314 2.1689504 2.44727185
1005 -1.1799596 -1.17995959 -0.05278768 -1.17995959 0.8425603 -0.08526516
100500719 0.1148737 -1.17995959 0.57219069 -0.52582932 -1.1799596 -0.08526516
100505385 2.5593090 3.33932935 2.85530514 2.58776654 1.3040218 2.51209076
100505501 1.2423970 1.01561832 1.18322683 0.97125040 0.1600124 2.07063644
100505538 0.4891714 0.51512424 1.34038858 -0.52582932 1.6531038 1.29063290
100505549 0.6452567 1.27314021 -0.05278768 -0.07741301 1.0916633 1.78611469
100505573 4.8967920 4.78166425 5.76928572 6.09376841 5.6179018 5.72988832
100505576 3.0531008 3.31089208 2.90649031 2.46081628 3.0381889 2.84963983
100505616 0.3141273 0.04825833 -1.17995959 -0.07741301 -1.1799596 0.25487818
100505624 1.5094680 1.68125730 1.00682747 2.39289038 1.9339610 0.95984886
100505635 0.9143929 1.01561832 -0.50898272 -0.52582932 -1.1799596 0.52992955
100505641 1.9890314 2.91708569 1.61112654 2.39289038 1.8003561 2.37940313
100505648 1.8026344 1.99901716 2.74714195 2.58776654 3.3080731 3.48776715
100505678 1.5094680 1.76749544 2.20883760 2.16751780 2.4622776 2.07063644
100505696 4.7668428 4.76079068 4.12344834 4.26136971 4.8663399 5.14069929
100505715 0.4891714 0.51512424 1.48209914 1.30271726 0.8425603 0.52992955
100505738 -1.1799596 -1.17995959 -0.05278768 -0.07741301 0.8425603 -0.08526516
100505741 1.7347368 1.15011763 1.18322683 1.68997827 1.3040218 2.30818336
100505758 3.5835984 3.19118255 3.63965398 3.05144795 2.5481473 3.64054016
100505761 2.2544730 2.47966549 1.83899643 2.81238661 3.4486795 4.33918277
100505771 1.3370215 1.76749544 1.61112654 2.39289038 2.0562349 0.95984886
100505783 2.2544730 2.31760197 3.09479935 3.13698334 3.4033164 3.12299504
100505806 4.6882509 4.59379859 4.70343557 4.10032941 4.0290806 4.75528696
100505812 1.5094680 2.62534841 1.72955575 2.32160765 1.4890954 1.55954121
100505832 0.4891714 0.30049458 2.90649031 2.16751780 2.3709717 2.63359608
100505854 3.3079721 3.52408893 4.82813557 3.21773004 3.0963561 4.91960633
100505876 4.3454228 4.37775420 5.76235596 5.75806030 5.5673842 5.76355660
100505894 1.7347368 2.19847150 3.47986097 3.71162236 4.5076139 3.99819855
100505933 0.3141273 -1.17995959 1.18322683 -1.17995959 -1.1799596 1.29063290
100505994 -0.7327807 -1.17995959 -1.17995959 0.54017346 -0.3596932 0.95984886
100506020 0.9143929 0.86727858 1.00682747 0.97125040 1.4890954 0.95984886
100506033 4.4337209 4.37775420 4.64435419 4.26136971 4.4418320 4.42584566
100506054 0.7860917 0.70191972 3.00371506 2.70444369 1.8003561 2.63359608
100506068 0.3141273 1.92589510 1.34038858 1.44367385 1.9339610 -0.53118197
100506070 1.4258198 1.38649160 1.61112654 1.44367385 2.7787818 2.84963983
100506083 0.6452567 0.30049458 -1.17995959 1.68997827 1.3040218 -0.53118197
100506100 0.1148737 -1.17995959 -0.05278768 0.54017346 -1.1799596 0.95984886
100506119 1.1411280 0.30049458 1.18322683 1.57207599 2.1689504 1.43134334
100506127 1.2423970 1.76749544 1.18322683 2.32160765 2.7059248 1.13470054
100506142 -1.1799596 -1.17995959 1.34038858 0.97125040 0.5412801 0.25487818
100506144 1.4258198 0.86727858 0.57219069 1.44367385 -1.1799596 0.76084465
100506161 0.1148737 -0.25762257 -0.05278768 0.77175310 -1.1799596 1.29063290
100506211 1.2423970 1.58953463 3.44566317 3.91902771 4.0586415 1.88731940
100506235 0.9143929 0.70191972 1.48209914 0.97125040 2.1689504 2.23326438
100506258 0.6452567 0.04825833 1.83899643 1.30271726 1.8003561 1.67727128
100506282 2.6357570 2.06861117 2.43485187 3.00670016 2.1689504 2.44727185
100506286 0.4891714 -0.25762257 1.48209914 -1.17995959 1.3040218 0.95984886
100506302 1.3370215 1.58953463 -0.50898272 1.30271726 2.1689504 1.67727128
100506321 0.3141273 0.30049458 1.34038858 1.30271726 1.6531038 1.29063290
100506325 0.9143929 0.70191972 0.29328288 0.77175310 2.4622776 0.76084465
100506343 0.9143929 0.04825833 1.00682747 0.97125040 -1.1799596 -0.08526516
100506365 4.8967920 4.92927335 6.09026120 6.02811618 5.5776302 5.95056574
100506368 0.3141273 0.30049458 1.00682747 0.97125040 0.1600124 -0.08526516
100506380 2.0461708 2.47966549 3.60907998 3.79293290 3.2060948 4.52340498
100506392 3.3764110 3.57280513 3.30013904 2.86347314 3.5767909 3.95222045
100506394 1.4258198 1.49158217 2.28817553 2.64728432 2.5481473 2.23326438
100506411 1.0322101 1.49158217 1.48209914 0.97125040 0.8425603 -1.17995959
100506433 2.1011331 1.76749544 3.04997591 2.81238661 2.3709717 2.84963983
100506462 0.7860917 -0.25762257 2.20883760 1.44367385 1.3040218 0.52992955
100506469 3.5641684 3.96834566 4.26744930 4.68711395 4.8152994 5.22044794
100506495 1.0322101 0.70191972 2.03573600 1.79896886 0.1600124 0.95984886
100506504 1.9295353 2.91708569 1.18322683 1.44367385 0.8425603 1.88731940
100506540 0.7860917 0.30049458 1.48209914 1.14648250 1.3040218 0.76084465
100506581 1.6634851 0.04825833 0.29328288 0.97125040 0.5412801 1.78611469
100506606 1.3370215 -0.25762257 0.57219069 1.79896886 0.1600124 1.13470054
100506658 1.7347368 1.84886810 0.57219069 1.68997827 0.5412801 2.69071495
100506668 2.3930693 2.37367046 2.63020737 2.75942445 2.6291919 3.20370133
100506686 1.2423970 1.01561832 1.48209914 0.77175310 1.4890954 2.63359608
100506691 -0.1163774 0.70191972 0.57219069 -0.07741301 -0.3596932 1.29063290
100506696 1.3370215 1.49158217 2.12488144 2.86347314 2.5481473 2.69071495
100506697 1.3370215 1.68125730 0.80581528 0.26417786 0.1600124 0.95984886
100506710 6.3072008 6.03635134 6.94576805 6.76229567 6.5709481 7.32272735
100506713 0.1148737 -0.25762257 0.29328288 -1.17995959 0.1600124 -0.53118197
100506725 2.8108352 2.37367046 3.93908894 3.25646954 3.5353384 3.45517064
100506731 1.9890314 0.70191972 0.57219069 1.90030080 0.5412801 2.07063644
100506757 -0.3919060 -0.25762257 -1.17995959 -1.17995959 -1.1799596 1.13470054
100506779 0.6452567 0.70191972 0.29328288 -0.52582932 0.1600124 -1.17995959
100506804 -0.3919060 0.51512424 -1.17995959 1.14648250 1.9339610 0.52992955
100506826 1.4258198 1.38649160 -0.05278768 1.44367385 -0.3596932 0.52992955
100506844 1.8674797 2.37367046 2.50295226 3.33096089 1.8003561 3.31687918
100506866 5.1845295 4.89136391 6.13922822 6.40523660 7.8386158 6.36009546
100506881 1.0322101 0.30049458 1.00682747 1.14648250 -1.1799596 -0.08526516
100506885 -0.1163774 0.04825833 0.80581528 -0.07741301 0.1600124 -1.17995959
100506911 -0.7327807 1.01561832 0.29328288 -0.07741301 1.3040218 0.52992955
100506922 1.1411280 1.76749544 1.34038858 0.77175310 -0.3596932 0.52992955
100506930 3.1861575 3.73141759 4.10165125 3.56500950 3.4926595 4.24697944
100506994 1.8026344 1.27314021 1.34038858 0.26417786 -0.3596932 1.29063290
100507003 1.6634851 1.27314021 1.94071728 1.14648250 1.3040218 1.43134334
100507032 0.6452567 1.68125730 0.29328288 0.54017346 0.1600124 1.98188763
100507034 3.3311477 3.73141759 2.95592154 2.70444369 2.2734943 2.51209076
100507050 -1.1799596 -1.17995959 -1.17995959 0.77175310 1.6531038 -1.17995959
100507053 2.8434384 2.31760197 0.57219069 1.44367385 0.1600124 1.13470054
100507057 0.4891714 0.70191972 -1.17995959 0.54017346 0.8425603 1.88731940
100507062 1.2423970 1.01561832 0.29328288 1.79896886 1.3040218 -0.08526516
100507071 0.4891714 0.30049458 1.00682747 0.54017346 0.8425603 0.52992955
100507156 3.1078047 2.87885034 2.90649031 3.25646954 3.8377403 2.51209076
100507171 3.3079721 3.19118255 2.50295226 2.91281237 2.9775777 3.66924514
100507173 -1.1799596 -0.25762257 0.57219069 -0.07741301 1.3040218 0.95984886
100507178 1.0322101 0.04825833 0.57219069 1.14648250 1.0916633 1.13470054
100507244 0.6452567 0.86727858 0.29328288 0.54017346 1.0916633 0.52992955
100507246 2.2051486 2.25926603 3.13827203 2.58776654 3.0381889 3.85562015
100507250 0.6452567 0.70191972 -0.50898272 -0.07741301 0.5412801 -0.08526516
100507254 2.8108352 3.15963607 1.00682747 -0.52582932 0.1600124 0.52992955
100507266 -0.1163774 -0.25762257 0.57219069 0.77175310 2.2734943 1.55954121
100507290 4.5269963 4.81241903 4.32501986 4.53785466 5.1533949 4.47544982
100507291 1.1411280 0.70191972 2.56798246 1.57207599 0.8425603 2.23326438
100507303 3.0807120 2.99064438 2.36337694 2.39289038 2.4622776 2.79858564
100507308 -1.1799596 0.04825833 -1.17995959 0.54017346 0.1600124 -1.17995959
100507316 1.8674797 1.27314021 1.18322683 1.57207599 2.2734943 2.44727185
100507331 2.2544730 1.76749544 2.43485187 1.99498009 1.9339610 2.37940313
100507347 0.7860917 0.86727858 -0.05278768 1.57207599 1.3040218 1.13470054
100507373 1.7347368 0.86727858 1.72955575 2.24661898 2.7787818 2.37940313
100507392 -0.1163774 1.49158217 -1.17995959 -0.07741301 -0.3596932 -0.08526516
100507398 0.4891714 1.15011763 -0.05278768 1.79896886 2.0562349 2.07063644
100507401 0.7860917 -0.25762257 0.29328288 2.08382672 1.0916633 -1.17995959
100507420 0.7860917 1.38649160 -1.17995959 0.54017346 -1.1799596 -0.08526516
100507433 1.0322101 1.01561832 1.94071728 1.79896886 2.1689504 1.29063290
100507436 0.1148737 -1.17995959 -1.17995959 -0.52582932 -1.1799596 -0.08526516
100507437 1.1411280 1.92589510 2.20883760 2.24661898 2.0562349 2.15424073
100507459 1.3370215 1.58953463 1.00682747 2.32160765 3.1522686 3.08088317
100507463 1.2423970 -0.25762257 1.48209914 1.14648250 0.8425603 0.25487818
100507487 1.5885309 1.15011763 0.29328288 1.57207599 0.8425603 0.52992955
100507495 1.0322101 1.58953463 1.48209914 1.57207599 2.7787818 2.51209076
100507516 -1.1799596 1.27314021 0.80581528 0.54017346 0.8425603 -0.08526516
100507551 1.1411280 0.30049458 1.34038858 2.08382672 1.0916633 1.67727128
100507557 0.9143929 0.70191972 0.57219069 0.54017346 1.3040218 1.43134334
100507564 -0.1163774 0.30049458 0.29328288 -1.17995959 0.1600124 0.52992955
100507567 0.3141273 -0.64630514 1.48209914 1.30271726 2.1689504 2.23326438
100507588 0.9143929 1.01561832 -1.17995959 0.54017346 0.1600124 1.29063290
100507599 1.0322101 0.30049458 1.61112654 0.97125040 2.3709717 1.98188763
100507602 1.7347368 1.68125730 2.68985907 2.81238661 3.3080731 3.38768129
100508120 2.2544730 2.47966549 2.63020737 2.08382672 2.8481357 2.69071495
10051 7.0280034 7.08285182 6.90229969 7.26326794 6.2051595 6.24563066
10052 1.0322101 1.01561832 1.72955575 1.68997827 0.5412801 1.67727128
100526737 2.1540781 1.58953463 2.28817553 2.64728432 1.8003561 2.23326438
100526760 0.7860917 0.70191972 1.00682747 0.77175310 0.1600124 0.52992955
100526820 1.0322101 1.01561832 0.57219069 1.68997827 0.8425603 0.52992955
100526835 2.9370474 2.75766021 4.26744930 4.18309540 4.3250566 3.38768129
100527978 0.9143929 1.76749544 1.48209914 2.16751780 1.3040218 0.76084465
100529145 1.8026344 1.58953463 -0.05278768 0.77175310 1.4890954 1.43134334
100529215 0.1148737 0.51512424 0.29328288 -0.07741301 -0.3596932 0.76084465
100532746 3.7476098 3.87430635 3.72767058 3.79293290 4.2755647 4.26589756
100533106 0.7860917 0.04825833 1.18322683 0.54017346 0.5412801 0.25487818
100533182 1.0322101 1.01561832 1.34038858 1.90030080 0.5412801 2.15424073
100533619 0.4891714 0.04825833 1.00682747 0.54017346 -1.1799596 1.29063290
100533629 0.7860917 0.30049458 1.61112654 1.30271726 0.5412801 0.52992955
100533695 -0.3919060 1.01561832 -0.50898272 0.54017346 0.8425603 0.76084465
100533970 0.4891714 1.68125730 0.57219069 0.54017346 0.5412801 1.55954121
100534593 1.9295353 -0.25762257 1.72955575 1.14648250 1.9339610 0.95984886
10054 5.8703301 6.30499521 6.09026120 6.01687769 5.6762767 6.11086974
10056 6.0061240 5.72764392 5.76235596 5.81107165 5.3455160 5.78993671
10057 7.1967949 7.21724930 7.75003213 7.87279397 8.1202368 7.56919399
10058 4.1893062 4.44472246 4.32501986 4.74274648 5.6079388 6.07377512
10059 7.1306381 7.30997149 7.56330219 7.50564967 7.3517448 6.81660975
1006 5.5823626 5.45623156 6.14988770 6.38789334 5.9131629 5.92103289
10060 4.2391658 4.24877214 4.74621109 4.86059027 5.8553833 4.30300545
100616256 1.6634851 1.15011763 0.80581528 1.14648250 0.5412801 -0.53118197
10062 2.1011331 2.06861117 1.61112654 2.24661898 2.0562349 2.23326438
10063 3.0531008 3.42142512 4.56692847 4.38889414 4.4640942 3.64054016
100652739 -0.1163774 0.30049458 -1.17995959 -0.07741301 0.1600124 0.76084465
100652758 0.4891714 -0.64630514 -0.50898272 0.26417786 1.0916633 1.55954121
100652846 0.7860917 1.58953463 2.74714195 1.79896886 2.7059248 1.43134334
10066 5.8261525 6.11247072 5.69116367 5.66753289 5.5362022 6.14192324
10067 6.4330356 6.46195185 6.60590413 6.72479822 6.3615797 6.96868948
10068 3.5444731 3.22205396 3.00371506 2.91281237 3.5767909 3.03750501
10069 4.0703921 4.24877214 3.81062480 3.36681217 2.5481473 3.64054016
10072 5.0925869 5.41005803 4.30608379 4.55349494 4.8152994 3.69739010
10073 4.1507470 4.03939883 3.69892425 3.33096089 3.2579849 4.24697944
10075 8.9087420 8.80637587 8.59124939 8.64288656 9.3599915 8.99636398
10076 5.2947349 5.31302620 5.03778846 5.22527343 5.4607110 5.36782631
10077 0.9143929 -0.25762257 2.90649031 3.09484946 4.2501671 1.98188763
100775107 1.0322101 0.86727858 1.34038858 1.79896886 0.8425603 1.55954121
10078 4.7324405 4.90093507 4.56692847 4.65847196 3.8714449 4.58496204
10079 5.7973184 5.97876596 4.53475600 4.79631315 5.0687600 5.36782631
1008 4.9501601 5.16994441 3.69892425 3.86990423 3.3080731 3.80478092
10081 5.1458408 5.03736788 5.00293590 5.05991016 4.3250566 4.94330401
10082 6.7999123 6.64680280 7.42094399 7.68320532 7.1536764 7.29306287
100820829 4.0840992 3.52408893 6.11767002 5.82402563 5.2590316 4.58496204
10084 5.0513155 5.23192732 4.88027644 4.93412357 4.2243145 4.82071995
100847074 1.8674797 1.76749544 1.34038858 1.90030080 0.5412801 1.98188763
10085 10.0616770 10.24413763 9.13600067 9.53242001 9.2360992 9.36978643
100852407 0.4891714 0.30049458 -0.05278768 -0.52582932 -0.3596932 2.30818336
100861412 -0.3919060 1.15011763 1.48209914 1.14648250 0.5412801 2.07063644
100861548 3.7983832 3.98643970 3.26134285 3.62545400 4.0876088 4.50759638
100862671 1.1411280 1.01561832 1.34038858 -0.07741301 0.5412801 -1.17995959
10087 5.8504169 5.96514414 6.25236262 5.95345058 6.3376643 5.77680695
100873257 -0.3919060 -0.25762257 -0.50898272 -1.17995959 1.4890954 -0.53118197
100873333 3.4417497 3.61992990 2.95592154 2.39289038 2.9143080 2.23326438
100873790 3.9998319 4.03939883 4.22775166 4.56896748 4.4418320 3.77867331
100873949 1.1411280 0.70191972 1.18322683 0.54017346 1.6531038 1.29063290
100873952 -1.1799596 -0.25762257 -0.50898272 -0.07741301 -0.3596932 -0.08526516
100873965 2.2051486 1.92589510 2.03573600 1.57207599 1.3040218 1.55954121
100874006 0.7860917 1.01561832 0.29328288 0.26417786 0.5412801 0.25487818
100874008 1.6634851 1.68125730 1.48209914 2.39289038 1.4890954 1.13470054
100874014 2.3930693 2.06861117 3.18047298 2.96051989 2.4622776 3.20370133
100874058 0.4891714 1.15011763 1.34038858 0.54017346 0.5412801 2.23326438
100874080 1.0322101 0.51512424 0.80581528 1.44367385 0.8425603 0.95984886
100874097 2.5195102 2.57840321 1.18322683 1.44367385 1.9339610 1.67727128
100874201 0.4891714 -0.25762257 -0.50898272 0.54017346 0.1600124 -0.53118197
100874212 1.2423970 1.01561832 1.48209914 0.54017346 1.9339610 0.95984886
100874217 0.6452567 0.04825833 1.61112654 0.54017346 0.8425603 0.52992955
100874235 0.1148737 0.30049458 1.34038858 0.26417786 0.8425603 0.76084465
100874261 -0.3919060 0.51512424 0.57219069 1.57207599 1.6531038 2.07063644
100874291 -0.3919060 0.30049458 -1.17995959 -0.07741301 0.8425603 -1.17995959
100874362 2.1540781 1.58953463 2.36337694 1.79896886 2.1689504 3.20370133
100874523 1.5094680 1.76749544 1.00682747 1.44367385 0.5412801 1.88731940
100885775 4.6240194 3.95002179 5.11597898 4.94602283 4.3491801 4.04275648
100885776 0.3141273 -0.25762257 1.18322683 1.14648250 1.6531038 2.69071495
100885848 4.2873597 4.30752539 5.51271960 5.36477898 5.2071799 3.20370133
1009 10.5250542 10.62214839 9.50893042 9.90773208 9.4088688 8.62908545
10090 4.2513661 3.85473989 3.98743406 3.96653347 3.5767909 4.16872413
10092 8.0812998 8.20064956 7.70917438 7.76608772 7.1399136 7.66494726
10093 7.4413770 7.60608108 6.66283173 6.60607769 6.1095393 6.23606878
10094 5.8544216 6.07913468 5.37413277 5.28270431 4.4418320 5.12005377
10095 6.4032744 6.25735713 4.71783546 4.86059027 3.9680773 5.57163497
10097 8.8908186 9.01577468 8.29971845 8.39417234 7.7598209 8.01168870
10098 7.0244533 7.01616145 6.45075292 6.60982259 6.0665360 6.31084599
10099 7.6142938 7.88095613 7.95842266 8.35342932 7.5778400 7.98624770
100996246 0.4891714 1.15011763 1.61112654 -0.07741301 0.8425603 -0.08526516
100996251 -0.7327807 -1.17995959 -1.17995959 0.77175310 2.1689504 0.25487818
100996307 0.6452567 -0.25762257 -0.05278768 0.54017346 0.8425603 -0.53118197
100996384 0.9143929 0.86727858 0.80581528 0.97125040 1.4890954 -0.53118197
100996419 1.5885309 0.86727858 1.18322683 2.24661898 2.7787818 1.98188763
100996485 2.3483338 1.68125730 1.00682747 1.90030080 2.2734943 1.29063290
100996539 -0.7327807 0.04825833 -1.17995959 -1.17995959 0.1600124 -0.08526516
100996579 -1.1799596 -0.25762257 -1.17995959 -1.17995959 0.1600124 0.25487818
100996696 1.9295353 1.92589510 3.00371506 2.91281237 2.7787818 2.51209076
100996842 0.9143929 0.30049458 1.00682747 0.26417786 -0.3596932 -0.08526516
100996851 0.6452567 1.15011763 -0.50898272 1.14648250 -1.1799596 -1.17995959
100996939 0.1148737 1.49158217 0.57219069 0.97125040 0.1600124 0.76084465
101 1.1411280 0.51512424 1.34038858 1.44367385 1.4890954 2.37940313
1010 -1.1799596 -0.25762257 0.57219069 -1.17995959 0.1600124 -0.53118197
10100 4.2144514 4.78166425 5.64669857 5.50007010 5.5043312 3.55083058
10101 5.0513155 5.09687444 5.02626424 4.94602283 5.1670303 5.62389573
10102 4.4012391 4.68525897 4.39837244 4.44027566 3.8377403 5.04537507
10103 0.7860917 -1.17995959 -0.05278768 -0.07741301 0.1600124 0.52992955
10105 5.9659707 5.75428880 7.01153462 7.04552179 7.0173045 6.04668258
10106 6.8865502 6.91823442 7.36027879 7.15977689 7.4856330 7.62886722
101060200 2.3021665 2.75766021 2.95592154 2.86347314 4.2501671 3.20370133
101060691 3.0807120 2.62534841 3.18047298 3.50192140 3.0381889 3.12299504
10109 8.8255080 8.98741732 8.07626643 8.18918119 7.7047938 7.85497072
10112 5.4510040 5.74368983 4.91818152 5.81107165 4.7260018 3.88038336
10113 6.0097194 6.11247072 6.11222975 5.68893368 5.8039467 7.17292121
10114 7.4453651 7.23816561 8.62792951 8.38546002 8.5399515 7.97191752
101154753 0.1148737 0.04825833 -0.05278768 1.14648250 0.1600124 0.25487818
10116 7.5928805 7.46963541 8.56261549 8.16647587 8.3272002 8.08009118
10117 1.5094680 2.75766021 -1.17995959 1.30271726 0.1600124 1.55954121
1012 8.1545846 8.27245744 7.14539698 7.20256434 7.0173045 8.12999090
10121 6.2291581 6.47802718 6.27688309 6.38789334 6.2313546 5.84758531
10123 7.3704386 7.59137809 7.55730917 6.98047906 7.1364523 6.88550733
THA_24_H5 DOX_24_H5 NUTL_24_H5 DMSO_24_H5 LPS_24_H5 TNFa_24_H5
100 2.1477474 6.0754494 3.72579487 3.32522651 2.8267717 2.7689646
1000 11.4179813 10.0318347 11.04885381 11.33082336 11.3439795 11.2991579
10000 7.2735248 6.9618065 6.89249827 6.84819481 6.9660395 6.8389497
10001 4.7211701 4.8840142 4.65554039 4.30803145 4.3667590 4.7487332
10003 3.6335861 3.2838577 3.60194084 3.95672295 3.9405751 3.6143080
100037417 2.6839992 2.9248273 2.91000365 3.06901316 2.3305508 3.1980588
100049716 0.8248578 3.0546878 1.78012705 1.31033212 1.9571052 1.9056693
10005 4.3498827 4.1381000 4.18018421 3.99411751 3.5177830 4.0021859
10006 6.0790834 6.3360580 6.37313360 6.39274470 6.4033078 6.4088269
10007 5.0161968 6.2662755 5.65068797 5.02004588 4.9196893 5.3840378
10009 5.0743032 5.1395523 4.96299752 5.32892621 5.1792132 5.1354005
100093630 2.6839992 4.0369605 4.02003035 3.41067701 3.2309949 3.1980588
1001 4.3020495 6.4466631 5.03660660 4.89712066 4.3827140 4.4546282
10010 5.1025017 5.2700743 5.51132502 5.19081158 5.2152996 5.3840378
100101267 3.0740503 2.9694256 1.38859560 2.10927576 1.5680803 2.1554709
100101467 6.0790834 4.6977638 5.39485912 5.27677448 4.7700218 5.0557115
10011 5.8150942 5.8614072 6.16458424 5.71221703 5.6103219 5.7558779
100113386 1.6328996 2.3811929 1.23028155 1.52992623 1.6756035 0.6976727
100113397 1.6328996 1.0774291 -0.02095203 0.07443772 1.0337769 0.8937434
100113407 4.7211701 4.2141978 4.06763107 4.67335398 4.3178072 4.0440854
100125288 3.0740503 3.7090020 1.38859560 1.52992623 1.1870124 0.2012290
100127983 2.9553769 1.7234928 1.89012497 2.30051418 2.6269357 0.8937434
100128006 3.5541387 1.2318548 2.48837031 2.88218913 2.5723307 1.8117679
100128016 -1.1799596 1.7234928 0.61334338 1.72046900 1.1870124 0.4707002
100128025 0.8248578 0.2099028 -0.02095203 0.07443772 0.4426365 0.6976727
100128054 1.9131691 0.9044700 0.61334338 0.73512119 1.1870124 0.8937434
100128071 -1.1799596 1.6153852 1.53124218 1.72046900 0.4426365 1.6033656
100128191 0.8248578 1.2318548 0.84952653 2.17587860 1.6756035 0.8937434
100128252 1.6328996 1.2318548 1.66104499 1.31033212 1.3255235 2.3683364
100128379 -1.1799596 -0.5568616 -1.17995959 -0.63212330 -1.1799596 -1.1799596
100128398 5.6337577 4.9633335 4.47314357 4.62649580 4.4448259 4.2727491
100128494 4.5267765 3.3860954 3.23587483 3.59233880 3.2658244 3.2704451
100128569 2.1477474 1.2318548 2.17728021 2.03944872 1.0337769 1.7113265
100128640 1.6328996 3.1351909 -0.48706929 1.52992623 0.8623099 0.6976727
100128682 3.1836995 2.0063325 1.78012705 2.17587860 1.1870124 2.7689646
100128731 5.7452703 7.1061041 6.68305627 6.28748849 6.5160981 6.5572699
100128766 -1.1799596 0.2099028 -0.02095203 0.54663527 0.1758826 0.4707002
100128782 2.8260596 2.5075420 2.26156385 2.41523340 2.0399285 2.3008118
100128822 2.3494648 3.8105506 2.91000365 2.41523340 2.0399285 3.0821775
100128833 2.5264069 3.9506120 2.62191247 3.03353382 2.7793474 2.4328414
100128881 2.1477474 2.0895020 2.26156385 2.66752176 2.6795491 1.3596923
100128893 5.8150942 6.3445482 5.46763595 5.93046411 5.8813253 5.2109172
100129001 0.8248578 0.2099028 0.84952653 0.54663527 1.1870124 0.8937434
100129013 1.9131691 2.2427069 2.34119416 2.10927576 2.5155774 2.2299708
100129029 1.9131691 0.4802917 1.23028155 1.05120626 0.4426365 0.6976727
100129060 3.0740503 3.1351909 3.01085488 3.29558004 2.9171851 3.4051561
100129075 2.1477474 3.1738183 1.23028155 2.80011413 1.9571052 1.9938306
100129195 0.8248578 2.3811929 2.08776546 2.71308672 2.4564998 2.6106698
100129203 -1.1799596 2.6784665 -1.17995959 -0.23601344 -1.1799596 -1.1799596
100129250 2.1477474 1.0774291 2.41665819 1.52992623 1.7756659 1.7113265
100129259 -1.1799596 0.9044700 0.61334338 0.73512119 -0.1516428 -1.1799596
100129361 4.6843305 5.9307112 6.13695848 5.84093973 5.5480149 5.8709336
100129398 0.1458237 0.2099028 0.61334338 0.07443772 0.4426365 -1.1799596
100129434 1.6328996 3.3187482 0.84952653 1.52992623 1.4518935 1.9938306
100129461 0.8248578 -0.1231278 -0.48706929 -0.23601344 0.8623099 0.4707002
100129484 1.6328996 3.3187482 2.48837031 1.52992623 2.1182541 1.7113265
100129550 4.3498827 4.8245629 4.45535908 4.04845249 4.0038393 3.5862224
100129583 0.8248578 2.1681371 1.38859560 1.42430323 0.6676798 0.8937434
100129662 2.1477474 3.2481024 1.38859560 0.90180299 1.4518935 0.8937434
100129707 -1.1799596 0.9044700 0.61334338 0.32976980 -0.1516428 0.2012290
100129716 2.3494648 3.4186257 0.61334338 2.03944872 1.4518935 -1.1799596
100129726 -1.1799596 1.8240611 -1.17995959 0.54663527 0.8623099 -0.5617745
100129774 2.6839992 3.9281924 3.46644697 3.61651928 3.6554868 3.6954262
100129781 -1.1799596 0.4802917 -0.02095203 -1.17995959 -0.1516428 -0.5617745
100129792 -1.1799596 -0.1231278 -0.48706929 0.54663527 0.1758826 -0.1304083
100129794 2.9553769 0.4802917 3.10511442 2.23954190 2.7793474 1.8117679
100129842 1.2847265 0.4802917 -0.02095203 0.90180299 0.1758826 0.8937434
100129917 3.8486307 3.0126865 2.68431708 1.31033212 1.3255235 1.9056693
100129924 0.8248578 1.0774291 -0.02095203 1.31033212 -0.1516428 0.4707002
100129940 2.6839992 2.5667956 0.61334338 1.05120626 0.8623099 1.0663271
100129995 1.2847265 1.6153852 -0.02095203 0.32976980 -0.1516428 1.2204537
10013 6.3381775 5.7761064 5.61107756 5.97322573 6.0305610 5.9111116
100130111 -1.1799596 1.4985157 1.78012705 0.73512119 0.4426365 1.9056693
100130197 -1.1799596 -0.1231278 -0.02095203 -1.17995959 -0.1516428 -0.1304083
100130335 3.6335861 4.4991445 3.81217165 3.83834634 3.3655350 4.4072548
100130348 1.9131691 3.0126865 3.15003102 2.52149857 2.7793474 2.1554709
100130357 1.6328996 2.0895020 1.66104499 1.62834105 2.3305508 1.6033656
100130466 2.9553769 4.2326113 4.02003035 3.93765580 3.7070874 4.2727491
100130476 -1.1799596 1.7234928 1.38859560 0.32976980 0.1758826 0.8937434
100130522 1.6328996 2.1681371 1.38859560 0.73512119 1.3255235 -0.1304083
100130550 0.8248578 -1.1799596 0.33077777 0.07443772 0.8623099 0.2012290
100130564 1.6328996 2.6784665 3.43048741 3.03353382 3.0022650 3.4051561
100130581 0.8248578 -1.1799596 -1.17995959 0.07443772 -0.1516428 0.4707002
100130691 2.5264069 -1.1799596 0.84952653 1.42430323 1.3255235 1.2204537
100130705 3.2856004 1.9180734 1.66104499 1.18657916 1.5680803 0.8937434
100130748 1.6328996 3.0126865 2.62191247 0.73512119 1.0337769 1.9056693
100130750 0.1458237 2.0895020 2.62191247 1.42430323 1.8692360 1.9056693
100130855 2.1477474 1.4985157 1.23028155 2.10927576 2.1182541 1.7113265
100130958 -1.1799596 2.9694256 -0.48706929 0.32976980 1.0337769 0.2012290
100131017 3.1836995 3.2114384 2.85680485 2.41523340 1.8692360 2.6106698
100131031 2.6839992 1.0774291 -1.17995959 0.32976980 0.8623099 1.4866674
100131033 0.8248578 1.9180734 1.89012497 1.80706530 1.5680803 1.3596923
100131067 2.5264069 1.0774291 1.78012705 1.62834105 0.8623099 1.2204537
100131089 4.2013451 2.4457502 3.10511442 2.80011413 3.1953038 2.7689646
100131094 -1.1799596 0.2099028 0.33077777 0.07443772 0.6676798 0.6976727
100131138 -1.1799596 0.7079145 1.99232702 2.52149857 3.0826056 2.3683364
100131187 0.8248578 -1.1799596 0.61334338 0.07443772 -0.1516428 0.6976727
100131193 2.3494648 2.8312686 1.78012705 2.92153958 2.2631976 2.5537948
100131211 2.1477474 4.1184313 2.08776546 3.03353382 3.3972971 2.9115955
100131213 1.6328996 1.2318548 2.34119416 0.73512119 1.9571052 1.2204537
100131471 0.1458237 1.3713375 1.99232702 2.30051418 2.5723307 0.8937434
100131656 2.8260596 3.4504385 2.08776546 3.46495576 2.7303110 2.9994062
100131685 0.1458237 1.0774291 0.84952653 0.90180299 2.2631976 0.6976727
100131691 3.0740503 3.8822803 2.34119416 2.17587860 2.6795491 2.2299708
100131740 0.1458237 0.2099028 0.84952653 1.05120626 0.8623099 0.6976727
100131801 1.6328996 2.5075420 2.34119416 2.99715991 2.5155774 3.0413853
100131827 -1.1799596 -1.1799596 -1.17995959 -1.17995959 -0.1516428 -1.1799596
100131828 1.9131691 1.0774291 1.05242883 0.32976980 0.8623099 0.6976727
100131940 0.8248578 0.9044700 1.78012705 1.42430323 1.5680803 1.9056693
100132074 2.1477474 2.5667956 1.89012497 1.31033212 1.5680803 1.0663271
100132086 -1.1799596 -0.1231278 -0.02095203 0.54663527 0.1758826 -1.1799596
100132116 5.7272732 4.8605269 6.01478189 7.10048285 6.9713248 6.4287336
100132126 -1.1799596 -0.5568616 -0.48706929 1.05120626 0.1758826 0.8937434
100132215 -1.1799596 -0.5568616 1.05242883 0.54663527 0.8623099 0.4707002
100132537 2.1477474 0.9044700 1.23028155 1.52992623 0.6676798 -0.1304083
100132609 -1.1799596 -0.1231278 0.61334338 1.31033212 0.4426365 0.4707002
100132659 0.8248578 0.9044700 0.61334338 0.73512119 -0.5760576 0.4707002
100132891 2.3494648 1.0774291 2.55668600 2.30051418 2.7303110 2.5537948
100132972 -1.1799596 1.4985157 0.61334338 1.05120626 -1.1799596 0.4707002
100133234 -1.1799596 1.3713375 0.33077777 -0.63212330 0.1758826 -0.1304083
100133286 -1.1799596 -1.1799596 -0.48706929 -1.17995959 -1.1799596 -1.1799596
100133315 2.8260596 1.2318548 -0.02095203 0.32976980 1.3255235 0.8937434
100134934 -1.1799596 1.9180734 0.84952653 1.62834105 1.1870124 1.9056693
10014 6.5372358 6.3571905 6.65216408 6.69765594 6.5088470 6.4483694
100144603 -1.1799596 0.7079145 0.84952653 -0.23601344 -1.1799596 0.4707002
100144748 3.0740503 5.9419449 4.11371128 2.46934417 1.8692360 2.4945853
10015 7.5995845 8.1922944 7.64703792 7.39070432 7.4093102 7.5115782
10016 5.0455425 5.7119336 5.02459629 5.21476854 5.0452897 5.1450591
100170229 1.2847265 -0.5568616 0.33077777 1.18657916 0.6676798 1.0663271
100170841 3.3807762 2.7312193 2.55668600 3.64030116 3.1953038 3.9145495
10018 4.7570923 5.4772961 4.02003035 3.46495576 3.7070874 3.4051561
100188847 1.2847265 1.7234928 1.23028155 1.80706530 0.8623099 1.7113265
10019 4.6843305 4.8245629 4.43735262 4.75186295 4.8976502 5.1736529
100190938 1.2847265 -1.1799596 1.05242883 2.10927576 2.6795491 2.4945853
1002 0.8248578 -0.5568616 0.33077777 1.52992623 1.3255235 1.4866674
10020 4.3498827 3.4186257 4.24372880 3.85876265 3.6554868 4.0848023
10021 8.4712096 7.8723790 8.00890188 8.05236304 8.1048560 7.4130914
10023 2.3494648 2.4457502 1.53124218 0.73512119 1.1870124 2.1554709
10024 1.6328996 1.0774291 -0.02095203 3.64030116 3.6815178 2.6653874
10026 5.9138757 4.9522657 5.92070965 6.19416947 6.1977132 5.8054452
100268168 1.6328996 0.2099028 0.33077777 1.18657916 -0.5760576 -1.1799596
100270804 3.2856004 2.2427069 1.66104499 1.88875676 1.1870124 1.7113265
100270827 0.8248578 0.9044700 0.84952653 -0.23601344 0.4426365 -0.1304083
100270840 4.0357402 3.4504385 3.50153197 3.77530442 3.5744513 4.2727491
100270854 3.7804496 4.1184313 4.41911858 4.40839341 3.9405751 4.7862503
100270865 4.3498827 4.7498282 5.74885705 5.23833417 4.8525354 5.6848169
100271271 1.6328996 2.6784665 2.91000365 2.62047065 2.5155774 3.3393723
100271332 -1.1799596 -1.1799596 -0.02095203 -1.17995959 -1.1799596 -1.1799596
100271415 1.6328996 2.0063325 2.26156385 1.80706530 1.7756659 2.7689646
100271479 1.2847265 1.0774291 1.38859560 -0.63212330 1.3255235 0.4707002
100271884 -1.1799596 0.2099028 -1.17995959 -0.23601344 -1.1799596 -0.1304083
100272147 2.3494648 2.8788062 1.99232702 2.35901376 2.9171851 3.2704451
100286844 0.1458237 2.3811929 1.23028155 1.96606935 0.4426365 0.6976727
100287015 0.8248578 1.7234928 0.33077777 1.80706530 1.0337769 1.0663271
100287049 2.5264069 1.6153852 1.78012705 1.62834105 1.4518935 1.0663271
100287074 0.1458237 1.2318548 0.84952653 1.05120626 -0.1516428 0.4707002
100287616 1.2847265 2.6237112 2.55668600 2.84173521 2.2631976 2.7689646
100287722 2.3494648 1.3713375 0.61334338 1.31033212 1.1870124 1.0663271
100287808 -1.1799596 0.4802917 0.61334338 0.90180299 -0.1516428 0.2012290
100287837 -1.1799596 0.2099028 1.66104499 1.05120626 -0.5760576 -0.5617745
100287896 1.6328996 1.4985157 2.34119416 2.71308672 2.6269357 1.9938306
100287902 -1.1799596 1.8240611 -0.48706929 1.05120626 1.3255235 1.0663271
100287928 1.6328996 2.4457502 2.74413389 2.41523340 2.9603521 2.6653874
100287932 4.0930801 5.1297614 5.06033138 4.85708909 5.0251010 5.3257793
100288001 1.9131691 2.3136109 2.62191247 3.23439438 2.0399285 2.8180918
100288073 5.4263068 2.6784665 4.18018421 2.92153958 2.7793474 2.9994062
100288123 0.8248578 1.9180734 -0.02095203 0.73512119 0.8623099 1.3596923
100288198 2.1477474 4.1955464 2.41665819 2.03944872 2.4564998 2.5537948
100288241 -1.1799596 -1.1799596 -1.17995959 -1.17995959 -1.1799596 -1.1799596
100288413 3.9137344 5.8554788 2.55668600 2.52149857 3.1587073 3.1218478
100288513 -1.1799596 0.4802917 -0.02095203 0.07443772 -0.5760576 1.0663271
100288842 2.8260596 0.9044700 2.26156385 1.62834105 1.4518935 1.2204537
100289061 0.1458237 1.4985157 1.23028155 0.73512119 1.1870124 1.3596923
100289095 -1.1799596 -1.1799596 -1.17995959 0.73512119 0.1758826 -0.1304083
100289133 0.1458237 3.2838577 1.05242883 2.10927576 2.7303110 2.4328414
100289178 1.9131691 1.9180734 2.08776546 2.52149857 2.6795491 2.4328414
100289211 3.2856004 0.9044700 -0.02095203 2.30051418 1.9571052 1.8117679
100289259 2.1477474 0.9044700 1.99232702 2.03944872 0.6676798 0.8937434
100289274 4.5678072 3.0955008 2.80156901 2.57183315 3.0022650 1.6033656
100289341 0.8248578 3.1738183 1.38859560 0.32976980 0.4426365 0.8937434
100289373 2.3494648 2.7312193 1.66104499 0.90180299 1.3255235 1.6033656
100289388 -1.1799596 1.2318548 0.61334338 0.73512119 0.8623099 0.8937434
100289414 0.8248578 -1.1799596 -0.02095203 -0.23601344 -1.1799596 0.2012290
100289635 5.4263068 5.1297614 5.16251418 4.97399803 5.0750526 5.0557115
100289640 2.1477474 0.7079145 0.84952653 1.31033212 1.5680803 1.6033656
100289678 4.0357402 3.2114384 3.39360859 3.13745690 3.5463953 2.2299708
100293516 3.6335861 3.8822803 3.39360859 3.61651928 3.8516614 3.5862224
100294362 1.6328996 1.2318548 0.61334338 1.05120626 0.4426365 1.2204537
1003 -1.1799596 -0.1231278 1.38859560 0.73512119 1.1870124 1.7113265
100302692 4.7921418 2.7312193 2.48837031 2.62047065 2.3948993 3.4680706
100302736 0.1458237 -0.1231278 0.84952653 1.18657916 1.1870124 1.2204537
100303728 2.5264069 3.5997608 3.19359132 3.26531155 3.0022650 3.6418573
100303755 0.8248578 1.0774291 1.38859560 1.72046900 1.1870124 1.3596923
100312828 2.3494648 0.4802917 1.05242883 0.54663527 0.1758826 0.4707002
100312850 0.8248578 0.4802917 -0.02095203 -0.23601344 0.4426365 0.6976727
10036 3.0740503 3.3528147 2.96131034 4.40839341 4.6299973 4.1438009
100379345 -1.1799596 0.9044700 -0.48706929 0.32976980 0.8623099 0.6976727
10038 5.0455425 3.3860954 5.51990628 5.44824546 5.7274016 5.2472432
100381270 3.2856004 0.2099028 1.23028155 1.62834105 1.5680803 1.0663271
10039 4.5678072 3.5418730 2.91000365 4.06611873 3.8516614 3.9590330
1004 3.3807762 5.0592990 5.06033138 5.11645708 5.7765353 5.6580834
10040 4.3498827 3.0126865 4.18018421 4.08357124 3.8744088 3.9145495
100418710 0.8248578 2.1681371 1.23028155 0.73512119 2.1925453 0.6976727
100418735 2.5264069 1.3713375 1.05242883 2.17587860 1.5680803 1.7113265
100418744 0.8248578 2.0063325 1.23028155 1.52992623 1.0337769 0.8937434
100418770 -1.1799596 -1.1799596 -0.48706929 -1.17995959 -1.1799596 -1.1799596
100418781 0.1458237 2.3136109 1.78012705 1.05120626 1.5680803 1.7113265
100418819 2.1477474 2.3136109 2.17728021 1.96606935 2.4564998 1.2204537
100418829 1.2847265 -0.1231278 0.84952653 0.73512119 0.1758826 0.6976727
100418888 1.2847265 1.8240611 1.38859560 0.90180299 1.3255235 1.2204537
100418889 2.3494648 2.8312686 2.80156901 2.30051418 2.6795491 3.1980588
100418910 -1.1799596 0.2099028 0.61334338 0.90180299 -0.5760576 0.2012290
100418919 3.4700599 2.7821111 2.55668600 2.46934417 2.4564998 2.5537948
100419028 1.6328996 2.0895020 1.23028155 0.90180299 1.4518935 1.9938306
100419185 -1.1799596 0.4802917 -1.17995959 -0.23601344 -0.1516428 -1.1799596
100419416 -1.1799596 1.2318548 1.23028155 0.73512119 1.3255235 1.6033656
100419515 1.9131691 0.9044700 -1.17995959 0.73512119 0.6676798 0.4707002
100419645 0.8248578 0.2099028 -0.02095203 -1.17995959 -1.1799596 0.2012290
100419758 2.1477474 1.4985157 1.38859560 1.80706530 1.6756035 1.2204537
100419928 0.8248578 2.7312193 1.78012705 2.10927576 1.0337769 1.4866674
10042 4.8924536 4.4991445 5.06033138 5.18273670 5.2152996 5.5747756
100420028 1.9131691 -0.1231278 1.66104499 0.90180299 0.4426365 0.6976727
100420050 0.1458237 0.4802917 -0.48706929 0.90180299 0.1758826 -0.5617745
100420110 2.9553769 2.7821111 3.01085488 2.92153958 3.2309949 3.3053203
100420187 2.1477474 -0.5568616 0.84952653 -1.17995959 -0.1516428 -0.5617745
100420259 4.0930801 3.9506120 4.11371128 3.95672295 3.7070874 3.7722252
100420307 1.6328996 1.7234928 1.23028155 1.18657916 -0.5760576 1.2204537
100420341 6.0790834 5.3225891 5.49400783 5.71781614 5.1138049 5.4633836
100420423 0.8248578 -0.5568616 1.38859560 0.73512119 0.8623099 0.4707002
100420591 -1.1799596 1.3713375 0.61334338 1.05120626 1.3255235 0.8937434
100420707 3.1836995 2.9248273 2.80156901 2.95984515 3.4885916 2.9115955
100420752 2.5264069 1.0774291 1.53124218 1.31033212 1.1870124 1.9056693
100420869 2.9553769 3.9726884 4.02003035 3.97554139 4.2498422 3.9590330
100420981 5.2858188 6.3360580 5.86117372 5.81505321 5.8414731 6.2612133
100421093 3.9760267 4.5292483 3.69581385 4.04845249 4.0644455 3.9145495
100421109 0.1458237 -0.1231278 0.84952653 1.62834105 0.4426365 1.3596923
100421160 0.8248578 -0.1231278 1.05242883 0.73512119 0.4426365 0.8937434
100421175 0.1458237 -0.5568616 0.84952653 -0.23601344 0.6676798 0.2012290
100421246 -1.1799596 0.4802917 0.61334338 1.05120626 -0.1516428 0.8937434
100421311 -1.1799596 1.8240611 1.66104499 1.62834105 1.7756659 1.6033656
100421372 1.6328996 2.3136109 2.17728021 2.35901376 1.1870124 1.4866674
100421400 1.2847265 0.9044700 2.08776546 2.03944872 1.7756659 1.3596923
100421415 -1.1799596 0.4802917 0.61334338 -1.17995959 1.1870124 0.8937434
100421429 1.6328996 -0.1231278 -0.02095203 0.32976980 -0.5760576 0.8937434
100421465 -1.1799596 2.0063325 1.23028155 1.62834105 1.3255235 1.2204537
100421468 2.1477474 2.7821111 2.62191247 1.62834105 2.5723307 3.0413853
100421506 -1.1799596 0.7079145 0.84952653 1.72046900 1.0337769 1.2204537
100421569 0.1458237 0.4802917 -1.17995959 0.73512119 0.8623099 0.8937434
100421595 -1.1799596 -0.5568616 -1.17995959 -0.63212330 0.1758826 -1.1799596
100421794 -1.1799596 -0.5568616 -1.17995959 -1.17995959 -0.5760576 -1.1799596
100422106 1.9131691 1.2318548 1.53124218 2.03944872 0.6676798 2.6106698
100422338 2.6839992 3.0126865 2.68431708 2.92153958 2.2631976 2.5537948
100422546 0.1458237 1.4985157 1.05242883 0.73512119 1.0337769 1.6033656
100422561 2.5264069 2.5667956 3.27695426 3.03353382 3.3972971 3.6418573
10043 5.4484468 5.5598220 5.43170639 5.47494240 5.1042140 5.6848169
10044 -1.1799596 1.0774291 -0.02095203 1.18657916 1.3255235 1.4866674
10045 -1.1799596 0.7079145 0.61334338 0.73512119 -1.1799596 -1.1799596
10046 1.2847265 2.3811929 0.33077777 1.42430323 1.1870124 1.9938306
10048 6.4953135 6.8228816 6.65216408 6.60098427 6.5124771 6.6786143
10049 5.4702521 4.8956161 6.42431123 5.95911222 6.2067041 6.0817475
100499177 2.6839992 1.9180734 3.31689632 2.99715991 3.3972971 3.7969424
100499483 2.9553769 1.7234928 3.10511442 3.66369735 2.9603521 2.6653874
1005 -1.1799596 -0.1231278 -1.17995959 -0.23601344 0.8623099 -1.1799596
100500719 -1.1799596 0.4802917 -0.02095203 -0.23601344 0.4426365 -0.1304083
100505385 1.9131691 3.2114384 2.68431708 2.35901376 2.9603521 2.7181053
100505501 1.2847265 1.2318548 1.23028155 0.32976980 1.6756035 1.3596923
100505538 0.8248578 1.4985157 1.66104499 1.05120626 0.4426365 0.4707002
100505549 1.2847265 1.2318548 1.53124218 1.72046900 0.4426365 -1.1799596
100505573 5.8320347 6.7156979 6.55530851 6.09008334 6.1378654 5.9989508
100505576 2.1477474 2.3811929 2.68431708 2.95984515 2.9603521 2.5537948
100505616 -1.1799596 0.9044700 -0.02095203 0.54663527 1.0337769 -1.1799596
100505624 1.9131691 1.7234928 1.23028155 0.07443772 1.5680803 1.2204537
100505635 0.8248578 -0.1231278 -0.02095203 0.32976980 0.1758826 -0.5617745
100505641 2.9553769 2.5075420 2.85680485 2.66752176 2.2631976 2.6106698
100505648 3.0740503 2.7821111 2.91000365 2.71308672 2.4564998 3.4369562
100505678 3.3807762 1.3713375 1.99232702 2.71308672 2.7303110 1.3596923
100505696 5.5337578 4.9743171 5.18427109 4.44935660 4.5755104 4.2727491
100505715 1.2847265 1.2318548 1.05242883 1.42430323 0.4426365 1.9056693
100505738 -1.1799596 -1.1799596 -1.17995959 -1.17995959 -1.1799596 -1.1799596
100505741 1.6328996 2.6237112 1.78012705 1.05120626 0.8623099 1.3596923
100505758 3.4700599 3.3187482 3.15003102 2.92153958 3.1587073 3.3393723
100505761 4.0357402 1.9180734 3.43048741 3.38275212 2.9603521 3.3053203
100505771 1.2847265 2.3136109 2.80156901 2.41523340 1.6756035 1.3596923
100505783 3.2856004 2.6784665 2.62191247 3.32522651 3.0429945 2.9115955
100505806 4.2525758 4.1766506 4.38194420 4.27802580 4.5332507 4.3911116
100505812 0.8248578 -0.1231278 0.61334338 1.62834105 0.8623099 1.3596923
100505832 1.6328996 3.0546878 1.89012497 3.03353382 1.5680803 2.6106698
100505854 4.3020495 4.4683990 3.99562777 3.56774612 3.4587975 4.0021859
100505876 5.0743032 6.6959279 6.31515170 5.37925830 5.5829616 5.6580834
100505894 4.0357402 3.3860954 4.15836512 3.93765580 3.9830580 3.6954262
100505933 -1.1799596 0.2099028 -0.48706929 -0.63212330 0.6676798 -0.1304083
100505994 1.9131691 3.7606696 -1.17995959 0.32976980 0.6676798 -0.5617745
100506020 0.8248578 1.3713375 1.66104499 0.73512119 1.1870124 0.4707002
100506033 4.4410391 3.6824574 4.49071149 4.57806446 4.6165673 4.0232878
100506054 0.1458237 2.1681371 2.26156385 2.62047065 2.3305508 2.3008118
100506068 2.1477474 2.5075420 1.38859560 0.54663527 1.3255235 -0.1304083
100506070 2.8260596 0.7079145 2.68431708 2.23954190 1.9571052 1.4866674
100506083 1.2847265 0.9044700 0.84952653 -0.23601344 -0.5760576 -0.1304083
100506100 -1.1799596 -0.5568616 0.61334338 -0.63212330 -0.5760576 0.2012290
100506119 1.9131691 4.3720243 1.05242883 1.05120626 1.4518935 1.9056693
100506127 2.1477474 0.4802917 1.89012497 2.62047065 1.8692360 0.8937434
100506142 2.6839992 -0.1231278 0.61334338 0.32976980 0.1758826 0.2012290
100506144 1.6328996 -0.1231278 1.05242883 1.72046900 0.4426365 0.6976727
100506161 -1.1799596 0.4802917 0.84952653 0.07443772 0.6676798 0.2012290
100506211 -1.1799596 2.1681371 2.08776546 3.66369735 3.7322117 4.5449490
100506235 -1.1799596 2.6784665 1.53124218 0.73512119 1.4518935 1.9056693
100506258 2.3494648 2.1681371 2.08776546 0.54663527 1.1870124 1.3596923
100506282 3.7804496 2.5075420 3.10511442 3.23439438 2.4564998 2.7181053
100506286 1.2847265 1.7234928 -0.02095203 1.05120626 2.1925453 1.4866674
100506302 2.1477474 1.9180734 1.99232702 1.42430323 0.6676798 1.0663271
100506321 2.3494648 -0.1231278 0.61334338 -0.23601344 0.1758826 0.8937434
100506325 1.6328996 1.2318548 1.38859560 1.42430323 1.5680803 0.2012290
100506343 0.8248578 2.3136109 -0.48706929 1.18657916 1.0337769 -0.1304083
100506365 5.4917328 5.2789606 5.62705247 5.73448429 5.6958210 5.7684303
100506368 0.8248578 -0.1231278 -0.02095203 -0.23601344 -0.1516428 -0.1304083
100506380 3.2856004 3.9726884 4.30459219 3.89874844 4.0840947 4.0645875
100506392 3.1836995 1.9180734 2.96131034 3.10364088 2.7793474 3.0821775
100506394 2.3494648 3.9054190 2.41665819 2.46934417 2.5723307 2.0769133
100506411 1.2847265 1.0774291 1.05242883 0.73512119 1.1870124 -0.1304083
100506433 3.3807762 1.4985157 3.86701063 3.23439438 3.2658244 2.6653874
100506462 1.2847265 3.0126865 1.05242883 1.05120626 1.3255235 1.8117679
100506469 5.4484468 4.5142749 4.93760223 4.72986435 4.4448259 4.9046973
100506495 0.1458237 3.0126865 1.78012705 0.73512119 1.1870124 0.2012290
100506504 1.9131691 1.2318548 1.89012497 1.62834105 1.3255235 1.8117679
100506540 -1.1799596 0.7079145 0.84952653 1.18657916 1.1870124 0.4707002
100506581 -1.1799596 0.2099028 0.84952653 0.90180299 1.0337769 1.2204537
100506606 1.2847265 0.2099028 0.61334338 -0.23601344 0.6676798 1.3596923
100506658 2.5264069 -1.1799596 -0.02095203 1.88875676 0.4426365 1.2204537
100506668 3.3807762 2.5075420 3.63391535 2.23954190 2.2631976 2.4945853
100506686 2.3494648 2.3136109 1.89012497 2.35901376 1.9571052 2.2299708
100506691 1.2847265 -1.1799596 -0.48706929 0.32976980 -1.1799596 2.0769133
100506696 2.5264069 1.9180734 1.89012497 2.10927576 0.8623099 2.7181053
100506697 1.6328996 2.0895020 0.61334338 1.18657916 1.8692360 0.4707002
100506710 7.0600584 7.0578702 6.77553946 6.63689155 6.7646401 6.8478485
100506713 0.1458237 -0.1231278 0.84952653 0.73512119 -0.1516428 -0.1304083
100506725 3.0740503 3.5711072 2.55668600 3.87889407 3.5744513 3.3726391
100506731 2.3494648 4.1575040 2.74413389 2.03944872 1.5680803 1.8117679
100506757 -1.1799596 0.2099028 0.61334338 0.32976980 -0.1516428 -1.1799596
100506779 1.6328996 -0.5568616 1.05242883 -1.17995959 1.0337769 0.6976727
100506804 -1.1799596 0.2099028 0.33077777 0.54663527 1.1870124 0.6976727
100506826 1.2847265 0.4802917 1.53124218 1.05120626 1.8692360 1.2204537
100506844 3.0740503 3.4815650 3.01085488 3.51726621 2.8726866 3.0413853
100506866 8.2273299 5.6854433 5.63497407 6.24933638 6.4188658 6.1360333
100506881 0.1458237 1.0774291 1.66104499 0.90180299 0.4426365 1.3596923
100506885 0.1458237 0.9044700 -1.17995959 -0.63212330 -0.1516428 0.2012290
100506911 0.8248578 0.4802917 -0.02095203 0.54663527 0.8623099 0.4707002
100506922 0.8248578 2.5667956 1.38859560 0.07443772 1.3255235 0.6976727
100506930 4.3961807 3.8105506 4.18018421 3.59233880 3.8744088 3.3726391
100506994 -1.1799596 -0.1231278 0.84952653 0.73512119 1.8692360 1.0663271
100507003 3.2856004 -1.1799596 1.38859560 1.52992623 1.6756035 1.2204537
100507032 -1.1799596 0.4802917 0.61334338 1.80706530 1.4518935 1.2204537
100507034 2.5264069 4.4838536 2.68431708 3.35427602 2.7793474 2.9115955
100507050 -1.1799596 2.0895020 -1.17995959 0.07443772 -1.1799596 1.7113265
100507053 1.6328996 3.0955008 2.48837031 0.73512119 1.3255235 1.6033656
100507057 1.2847265 2.9694256 0.84952653 0.90180299 0.6676798 0.2012290
100507062 1.2847265 -0.1231278 0.61334338 -1.17995959 -0.5760576 0.2012290
100507071 0.1458237 -0.1231278 1.89012497 1.05120626 1.0337769 0.2012290
100507156 3.4700599 2.0063325 2.74413389 3.32522651 3.2309949 3.7969424
100507171 3.5541387 0.9044700 2.26156385 2.57183315 2.6269357 3.1604565
100507173 -1.1799596 -0.5568616 0.61334338 0.54663527 -0.1516428 -0.1304083
100507178 0.8248578 2.2427069 0.33077777 1.31033212 -1.1799596 0.8937434
100507244 1.2847265 0.7079145 -1.17995959 -1.17995959 0.8623099 -1.1799596
100507246 2.6839992 3.0955008 3.15003102 2.80011413 3.2658244 3.5575792
100507250 0.1458237 -1.1799596 -1.17995959 1.05120626 -1.1799596 -0.1304083
100507254 0.8248578 0.7079145 -1.17995959 -1.17995959 0.4426365 -1.1799596
100507266 2.1477474 0.4802917 1.23028155 1.52992623 1.5680803 -1.1799596
100507290 4.8263599 4.3885405 4.49071149 4.76273772 4.2146200 4.6839516
100507291 2.9553769 2.0063325 2.80156901 2.30051418 2.4564998 2.8180918
100507303 2.8260596 2.8312686 2.80156901 2.57183315 2.7793474 2.8180918
100507308 1.2847265 -0.1231278 0.33077777 0.07443772 0.6676798 0.2012290
100507316 3.2856004 2.0895020 1.89012497 2.84173521 1.3255235 2.0769133
100507331 2.9553769 2.6784665 2.48837031 2.03944872 2.3305508 1.6033656
100507347 1.9131691 2.5075420 1.78012705 1.31033212 1.7756659 2.2299708
100507373 0.8248578 2.6237112 1.66104499 2.41523340 3.0022650 1.3596923
100507392 -1.1799596 0.9044700 -1.17995959 0.32976980 -0.1516428 0.2012290
100507398 1.6328996 3.6554151 1.78012705 2.17587860 2.3948993 0.8937434
100507401 1.2847265 -0.1231278 0.84952653 -0.63212330 1.3255235 0.2012290
100507420 -1.1799596 1.2318548 1.38859560 0.54663527 1.1870124 0.6976727
100507433 2.1477474 0.9044700 3.10511442 1.18657916 1.8692360 2.1554709
100507436 0.8248578 0.7079145 -1.17995959 0.32976980 -0.1516428 -0.1304083
100507437 1.6328996 2.8312686 1.53124218 2.57183315 1.4518935 1.9056693
100507459 2.6839992 3.9281924 2.80156901 2.41523340 3.0826056 3.0821775
100507463 1.6328996 2.6784665 2.48837031 0.73512119 0.6676798 1.9056693
100507487 3.0740503 3.5997608 2.08776546 0.73512119 1.1870124 0.8937434
100507495 3.3807762 2.3136109 2.17728021 1.88875676 2.2631976 2.2299708
100507516 0.8248578 1.4985157 -1.17995959 1.05120626 -1.1799596 0.4707002
100507551 2.3494648 0.7079145 1.53124218 1.05120626 0.1758826 1.3596923
100507557 0.8248578 1.4985157 1.89012497 2.17587860 -1.1799596 1.0663271
100507564 -1.1799596 -1.1799596 -0.02095203 -0.23601344 -1.1799596 -1.1799596
100507567 0.8248578 1.7234928 0.84952653 0.32976980 1.1870124 1.8117679
100507588 1.2847265 1.2318548 -0.02095203 1.31033212 -0.5760576 1.2204537
100507599 -1.1799596 1.7234928 1.05242883 1.42430323 0.8623099 -1.1799596
100507602 2.5264069 2.0063325 2.74413389 2.46934417 2.3948993 3.5862224
100508120 2.3494648 0.9044700 2.96131034 1.80706530 1.4518935 2.7181053
10051 5.8320347 5.7184809 6.10309376 6.93488187 7.0000531 6.5608824
10052 1.9131691 2.4457502 0.61334338 2.03944872 2.2631976 1.9938306
100526737 2.5264069 2.0063325 2.34119416 1.18657916 1.5680803 1.4866674
100526760 0.1458237 0.4802917 0.61334338 0.32976980 0.1758826 -1.1799596
100526820 2.5264069 1.4985157 -1.17995959 1.31033212 1.1870124 0.4707002
100526835 4.2525758 4.0782709 3.78395013 3.64030116 3.3655350 3.1604565
100527978 -1.1799596 0.7079145 0.84952653 1.18657916 0.8623099 0.6976727
100529145 1.2847265 1.3713375 1.66104499 0.73512119 1.1870124 0.8937434
100529215 0.1458237 -0.5568616 0.33077777 1.05120626 -0.1516428 0.8937434
100532746 4.3020495 3.8822803 3.91984121 4.06611873 4.0243256 3.6954262
100533106 1.2847265 0.2099028 1.23028155 0.54663527 -0.1516428 0.6976727
100533182 1.9131691 1.4985157 1.38859560 1.42430323 1.3255235 1.4866674
100533619 -1.1799596 -0.1231278 -1.17995959 1.05120626 0.4426365 -0.1304083
100533629 1.6328996 0.2099028 0.61334338 1.05120626 0.1758826 0.4707002
100533695 0.8248578 0.7079145 -0.48706929 0.32976980 -0.1516428 0.2012290
100533970 0.1458237 1.9180734 1.66104499 0.54663527 0.1758826 0.6976727
100534593 2.5264069 2.0895020 1.38859560 1.18657916 1.1870124 1.0663271
10054 5.3577722 5.9860251 5.94002123 5.74549035 5.9737594 5.8709336
10056 5.0743032 5.4060770 5.92070965 5.75641308 5.5049298 5.7495606
10057 8.1982270 7.8185437 8.20257113 8.00047675 7.9394212 7.9887846
10058 5.7630456 6.6725152 6.27516065 4.94564690 5.0046259 5.5089776
10059 6.7393227 6.9562773 7.18193159 7.21180544 7.5324175 7.4388414
1006 6.5059088 7.7626214 7.69139512 5.97789971 6.3915281 6.3967497
10060 5.0455425 5.4617707 4.38194420 4.67335398 4.4749071 5.1924053
100616256 -1.1799596 1.4985157 0.61334338 0.54663527 0.1758826 1.6033656
10062 2.5264069 2.5667956 1.38859560 2.10927576 2.8267717 2.3008118
10063 3.0740503 4.4369840 4.45535908 4.10081516 3.8516614 4.7738527
100652739 0.8248578 0.2099028 0.33077777 0.90180299 -1.1799596 -1.1799596
100652758 -1.1799596 2.2427069 1.05242883 0.32976980 0.6676798 0.6976727
100652846 1.9131691 1.7234928 2.55668600 2.52149857 2.5723307 2.6653874
10066 5.9138757 5.6170081 5.71188598 5.91592387 5.6894211 5.8651014
10067 6.6077906 6.2116303 6.77195175 6.58575507 6.7150925 6.7372594
10068 3.8486307 3.3187482 3.27695426 3.23439438 3.2658244 3.4985280
10069 2.1477474 4.6018695 3.91984121 3.23439438 3.5177830 3.4985280
10072 3.3807762 4.3720243 4.59185038 4.63835380 4.8410328 4.7360075
10073 3.7804496 4.1575040 3.75516551 4.03056725 4.0243256 4.1047378
10075 9.7125342 9.2873695 9.06522764 9.00095616 8.9327150 8.6273303
10076 5.4484468 7.3762567 6.45147956 5.44824546 5.1608257 5.4083031
10077 1.6328996 1.3713375 2.08776546 2.95984515 2.1182541 3.4051561
100775107 2.3494648 1.4985157 1.78012705 1.31033212 2.0399285 1.3596923
10078 3.6335861 4.5587369 4.88542989 4.32280345 4.7700218 4.5449490
10079 6.0504188 5.7571525 5.30834185 5.29186833 5.0148998 4.8228165
1008 3.4700599 5.9696525 6.58832149 3.95672295 4.1414859 3.9807708
10081 4.7570923 5.5670955 5.18427109 5.29186833 5.0046259 4.9929162
10082 7.6289620 5.1492772 7.45903603 7.37129554 7.3897060 7.2209799
100820829 4.7570923 4.9071254 5.57034883 5.58931790 5.5409228 5.5531746
10084 4.1482279 4.6437498 5.21630334 4.92643182 4.6030111 5.3921716
100847074 0.1458237 1.6153852 1.05242883 1.31033212 2.1182541 1.9938306
10085 9.1657483 8.5433596 9.43322326 9.34824396 9.3231728 9.0415343
100852407 1.2847265 -0.1231278 0.61334338 0.54663527 0.1758826 0.4707002
100861412 1.6328996 -0.5568616 -0.02095203 -0.23601344 -0.5760576 -0.1304083
100861548 5.2858188 4.6159651 4.62404682 3.79662595 3.8516614 4.0848023
100862671 0.8248578 -1.1799596 1.23028155 0.32976980 0.8623099 0.2012290
10087 6.1071896 6.5493891 6.50432789 5.94007683 6.1977132 6.3845705
100873257 0.8248578 0.7079145 -0.02095203 0.90180299 -0.5760576 -0.5617745
100873333 3.7088859 3.8105506 2.26156385 2.99715991 2.3948993 2.9994062
100873790 3.2856004 3.7858257 4.40065112 4.72986435 4.7455530 4.5449490
100873949 -1.1799596 0.2099028 -0.02095203 1.31033212 0.8623099 0.2012290
100873952 -1.1799596 1.4985157 -0.48706929 0.32976980 -0.5760576 0.4707002
100873965 0.1458237 1.3713375 2.26156385 1.18657916 1.1870124 2.7689646
100874006 1.2847265 1.2318548 -0.02095203 0.54663527 1.3255235 0.8937434
100874008 2.1477474 1.2318548 0.84952653 1.62834105 1.4518935 1.9938306
100874014 2.3494648 5.1199036 4.28458834 3.51726621 3.5463953 3.6954262
100874058 1.2847265 -0.1231278 -0.02095203 0.73512119 2.1182541 -0.1304083
100874080 0.8248578 -0.1231278 0.61334338 1.52992623 -0.1516428 0.4707002
100874097 2.1477474 2.3136109 2.48837031 1.80706530 1.7756659 2.1554709
100874201 -1.1799596 0.4802917 -0.02095203 -0.63212330 0.6676798 -0.1304083
100874212 1.6328996 1.0774291 1.53124218 1.52992623 1.0337769 0.8937434
100874217 0.1458237 0.4802917 1.05242883 0.73512119 0.8623099 0.8937434
100874235 0.1458237 -0.5568616 1.23028155 1.52992623 1.5680803 1.6033656
100874261 2.1477474 -0.5568616 -0.48706929 -0.63212330 0.4426365 0.2012290
100874291 0.1458237 1.2318548 -1.17995959 -1.17995959 -1.1799596 -0.5617745
100874362 3.4700599 3.2481024 2.48837031 2.23954190 2.3305508 2.0769133
100874523 -1.1799596 2.8788062 1.66104499 1.05120626 2.0399285 1.6033656
100885775 3.3807762 4.4369840 4.20167823 3.95672295 4.8752691 5.4710834
100885776 1.6328996 0.4802917 0.33077777 1.18657916 0.6676798 0.8937434
100885848 4.3961807 3.7606696 4.43735262 5.21476854 5.2417842 5.5089776
1009 9.3238084 8.4510398 9.01223416 9.83145607 9.9482360 9.6614353
10090 4.0930801 3.3860954 4.04402702 3.99411751 4.3667590 4.1244016
10092 7.1302205 6.8198402 7.33078914 7.56700933 7.6945893 7.6349500
10093 5.8978747 6.7156979 6.53004338 6.81983828 6.7307597 7.0464438
10094 4.6465256 5.4302094 5.50269241 5.11645708 5.0148998 5.2738997
10095 5.1301596 5.4302094 5.14042413 5.50115428 5.1792132 5.5531746
10097 7.5076828 8.3928770 8.21319269 8.29359866 8.4335196 8.4042011
10098 6.2273015 6.1596529 6.49129619 6.93968154 6.7245132 6.4326822
10099 7.7586616 8.6652864 8.10471184 8.13524584 8.0434514 8.0179881
100996246 -1.1799596 -0.1231278 -0.02095203 1.05120626 0.4426365 0.4707002
100996251 0.8248578 1.0774291 0.84952653 0.54663527 -0.1516428 0.4707002
100996307 -1.1799596 0.2099028 0.33077777 0.07443772 1.1870124 0.6976727
100996384 1.2847265 1.2318548 1.38859560 1.18657916 0.6676798 0.2012290
100996419 -1.1799596 0.9044700 1.23028155 1.18657916 2.1182541 1.7113265
100996485 0.1458237 2.2427069 0.84952653 1.80706530 1.0337769 1.9056693
100996539 0.1458237 2.5667956 0.84952653 0.90180299 0.8623099 -0.1304083
100996579 -1.1799596 1.4985157 -1.17995959 -1.17995959 -0.1516428 -1.1799596
100996696 0.8248578 2.0895020 2.68431708 2.17587860 2.4564998 2.3008118
100996842 0.1458237 0.9044700 0.61334338 1.05120626 1.0337769 0.8937434
100996851 2.6839992 -0.1231278 1.05242883 -0.23601344 -0.5760576 -1.1799596
100996939 0.8248578 1.6153852 1.99232702 1.18657916 0.8623099 0.8937434
101 2.5264069 3.2481024 2.62191247 2.35901376 2.2631976 1.2204537
1010 -1.1799596 -1.1799596 -1.17995959 0.32976980 -1.1799596 -0.1304083
10100 2.9553769 4.6159651 4.20167823 5.16645007 4.9305839 5.5459018
10101 5.3102042 5.1395523 5.79907475 5.28434115 4.7455530 4.6161237
10102 4.3020495 4.3040011 4.98795351 5.08213929 4.6825012 4.9713621
10103 0.8248578 1.4985157 1.66104499 -0.63212330 -0.1516428 -1.1799596
10105 5.6718943 7.0133028 6.29529474 6.66034266 6.6960645 6.9724255
10106 7.8065869 7.6761334 7.35975883 7.17970701 7.2224737 7.2458792
101060200 3.8486307 4.1381000 3.27695426 3.17049842 2.6269357 3.5283557
101060691 3.2856004 3.5711072 3.63391535 3.06901316 3.4283750 2.7181053
10109 7.3636611 8.7987136 8.47498708 8.16833745 8.1510006 8.3394248
10112 3.6335861 0.9044700 0.84952653 5.24610461 5.3990928 4.8107305
10113 6.0358701 6.0445169 6.11447055 5.96853655 6.1236945 5.9882590
10114 8.2652426 8.6533763 8.22636059 8.23036979 8.3548215 8.4652300
101154753 0.1458237 1.0774291 -0.02095203 -0.23601344 -0.1516428 -0.5617745
10116 8.0026221 8.2667740 8.06568340 7.93227737 8.2401801 8.3971457
10117 1.6328996 1.4985157 -1.17995959 1.31033212 -0.1516428 1.2204537
1012 7.9099275 6.9507269 7.39049980 7.34077694 7.4571859 7.5447930
10121 5.8816943 6.3275175 6.32497863 6.32832238 6.1795615 6.2478289
10123 7.2230457 8.5266685 7.56026309 7.17564402 7.4703112 7.6755030
H2O_24_H5 BPA_24_H5 PFOA_24_H5 EtOH_24_H5 TUN_2_H6 THA_2_H6
100 2.70360322 2.98558864 3.0613309 3.15516503 3.6014712 3.5097453
1000 11.32544243 11.29520088 11.2411811 11.24930730 11.4818922 10.8374740
10000 6.75667919 6.86254723 6.8022624 6.96144323 5.9850206 5.9938269
10001 4.20614683 4.44889820 4.2576453 4.29899618 4.1951518 4.6292519
10003 4.29808853 4.09268370 4.1252684 3.91324660 6.0869002 5.9637713
100037417 3.28586842 2.64580713 3.2181199 3.27472709 1.9075683 2.9794221
100049716 2.23032514 1.07271680 2.0125784 1.70651134 1.8201049 2.0579815
10005 4.51797555 4.11014478 4.4438563 4.18151206 4.0295655 4.2014588
10006 6.44764370 6.41637501 6.3683574 6.52014934 6.1994921 6.5638139
10007 4.70873872 4.80037217 4.6779032 5.19450731 5.0099377 4.8424686
10009 5.01001439 5.12632944 4.7820745 5.32027387 5.2877189 5.2352696
100093630 3.76546306 3.64282376 3.0193186 3.11300287 3.8862011 5.1399306
1001 4.20614683 3.46424800 3.9574271 3.48768974 6.0049890 5.6291527
10010 5.36211306 4.94360970 5.1562050 5.32950891 4.8424808 5.5638658
100101267 2.03037377 2.06382184 2.6302249 2.18478478 1.9900310 1.8976555
100101467 5.54211688 5.33378172 5.2590697 5.22451865 4.3119656 5.1127971
10011 5.82570800 5.72800103 5.3801997 5.69367332 5.0295665 5.4814097
100113386 1.41581037 1.83093027 1.3771581 2.47842723 1.1420275 2.0579815
100113397 0.89404163 0.75521570 -0.1194806 0.78596637 0.8200957 1.6178299
100113407 4.02067254 4.02064603 4.4117388 4.28006792 4.1420404 4.8090496
100125288 1.30197707 2.06382184 1.0829796 1.81569148 1.6274585 2.0579815
100127983 1.87980237 2.44027297 2.1744647 2.18478478 3.2124281 3.3943040
100128006 2.61103267 2.44027297 2.8854012 2.60550600 3.3746999 3.5372179
100128016 -0.63532892 1.44712987 1.7295721 1.70651134 0.6274480 1.9800444
100128025 -0.24088818 0.09034385 1.0829796 1.70651134 -0.1799227 -0.5987095
100128054 1.52131501 2.59710305 1.6213917 1.16182328 0.4050521 0.1352793
100128071 1.52131501 0.34752647 0.7130373 1.31844800 0.9900228 1.2703427
100128191 1.30197707 1.55306751 1.2375541 1.45972187 2.5749962 2.5101762
100128252 2.10014908 1.07271680 0.9098339 2.18478478 1.2795324 1.5110377
100128379 -1.17995959 -1.17995959 -0.1194806 0.27631047 0.6274480 0.1352793
100128398 4.59249845 4.51593475 4.1449394 3.81146323 4.2124298 4.7515713
100128494 2.70360322 3.22878140 3.1804910 3.31247616 2.7269998 3.1313630
100128569 1.95705154 1.83093027 2.0957910 1.81569148 1.2795324 2.4536272
100128640 0.72765460 -0.22285083 -0.1194806 0.27631047 -0.1799227 0.9812883
100128682 2.34972124 2.06382184 2.1744647 2.47842723 1.9075683 2.7165122
100128731 6.62971873 6.66994795 6.8145973 6.80140488 6.1688419 6.2435675
100128766 0.06853921 0.34752647 -1.1799596 -0.51882411 -0.5949725 0.1352793
100128782 1.17838658 1.99029078 1.5044371 2.01200950 2.4639644 2.5101762
100128822 3.28586842 2.73854395 3.1021543 2.18478478 2.6780901 3.6672420
100128833 2.40590734 2.44027297 2.4521981 2.60550600 2.7269998 3.0189337
100128881 1.79818171 2.54669715 2.7377690 2.60550600 3.0680378 2.9387979
100128893 6.05823046 5.74486666 5.9433035 5.34780351 5.9022626 6.5334414
100129001 0.72765460 1.33279231 1.0829796 1.45972187 0.9900228 0.3975686
100129013 2.70360322 2.20051401 1.8302034 1.91718722 2.2124246 2.6676283
100129029 0.32317923 -0.62344910 0.4850909 -0.51882411 -1.1799596 0.6194285
100129060 3.25560965 3.46424800 3.4253517 2.83032747 3.4639674 3.8752983
100129075 2.51211258 2.54669715 2.1744647 1.45972187 1.6274585 3.1669732
100129195 2.45998704 2.82567796 1.8302034 2.93083362 2.1420349 2.6170299
100129203 1.17838658 -1.17995959 -0.1194806 -1.17995959 0.1420128 0.6194285
100129250 1.87980237 2.49446617 1.8302034 1.58838721 1.7269949 2.0579815
100129259 0.53954562 -0.22285083 0.4850909 -0.06715709 0.6274480 0.3975686
100129361 5.90094891 5.85770836 6.0038045 5.55095390 5.6466620 5.9938269
100129398 1.17838658 0.34752647 0.2142449 -0.51882411 1.2795324 -0.1855317
100129434 0.72765460 2.20051401 1.7295721 2.18478478 0.6274480 0.9812883
100129461 0.72765460 0.56572446 0.9098339 0.98610034 -0.1799227 0.1352793
100129484 0.72765460 0.56572446 1.3771581 1.31844800 1.9900310 -0.1855317
100129550 4.25284997 3.78005576 3.8416574 3.70195016 3.6780926 3.9589373
100129583 1.04320809 1.07271680 1.2375541 1.16182328 1.1420275 1.1330427
100129662 0.32317923 -0.22285083 0.2142449 0.78596637 1.1420275 1.6178299
100129707 0.53954562 -0.22285083 0.4850909 -0.06715709 0.4050521 0.3975686
100129716 1.52131501 0.34752647 0.2142449 1.16182328 0.6274480 0.1352793
100129726 -0.63532892 1.20860713 0.2142449 0.98610034 -1.1799596 -0.5987095
100129774 3.34454611 3.26040375 3.8173454 3.91324660 4.0295655 3.9384778
100129781 0.32317923 -0.22285083 -0.1194806 -1.17995959 1.4050644 0.3975686
100129792 0.32317923 0.56572446 -0.5543974 0.27631047 1.9075683 1.2703427
100129794 1.30197707 2.20051401 1.5044371 2.47842723 1.9075683 1.9800444
100129842 0.53954562 -0.22285083 0.4850909 0.27631047 -1.1799596 0.1352793
100129917 1.04320809 1.99029078 -0.5543974 1.81569148 2.1420349 3.5372179
100129924 0.72765460 0.56572446 -0.5543974 -0.51882411 0.1420128 0.8116741
100129940 0.53954562 1.07271680 1.0829796 0.55352791 1.4050644 1.1330427
100129995 1.30197707 -1.17995959 1.9242708 0.98610034 0.9900228 2.8539478
10013 6.14745038 5.83163087 6.1618050 5.84944757 5.8257381 6.1127262
100130111 -0.63532892 0.75521570 -0.1194806 -1.17995959 1.4050644 0.6194285
100130197 -0.63532892 -0.22285083 -1.1799596 -1.17995959 -0.5949725 0.1352793
100130335 3.69955538 4.30468807 3.9574271 4.00831987 3.7508491 3.6421578
100130348 2.34972124 2.49446617 2.3876148 2.01200950 1.4050644 2.6676283
100130357 1.87980237 1.33279231 0.9098339 1.31844800 0.4050521 0.8116741
100130466 4.09090736 3.80171030 3.9574271 4.16096641 2.4639644 3.5097453
100130476 1.71166498 0.09034385 1.0829796 0.55352791 0.8200957 0.6194285
100130522 0.32317923 0.34752647 0.2142449 0.55352791 0.4050521 0.3975686
100130550 0.53954562 0.56572446 0.2142449 1.31844800 0.6274480 0.8116741
100130564 2.51211258 2.98558864 2.8854012 2.60550600 3.0295635 3.0948514
100130581 -0.63532892 -0.22285083 -1.1799596 0.55352791 -1.1799596 0.3975686
100130691 1.61962708 0.75521570 0.7130373 1.16182328 1.6274585 2.3947708
100130705 1.79818171 1.55306751 1.6213917 0.98610034 3.5480318 4.2520757
100130748 1.30197707 1.65175542 1.6213917 0.98610034 0.9900228 1.1330427
100130750 0.72765460 2.26429144 2.3876148 1.91718722 2.2795391 2.1319231
100130855 1.87980237 1.65175542 1.6213917 1.16182328 1.2795324 1.8102750
100130958 0.72765460 0.56572446 -0.1194806 -0.51882411 -1.1799596 -0.5987095
100131017 1.87980237 2.26429144 2.7377690 2.54336537 2.7269998 2.9794221
100131031 0.72765460 1.99029078 1.5044371 1.16182328 2.6780901 2.6170299
100131033 1.87980237 1.91280979 1.3771581 1.58838721 0.6274480 1.9800444
100131067 2.10014908 1.74412263 1.6213917 0.78596637 1.7269949 1.8976555
100131089 3.22470263 3.40888543 3.0193186 2.77732061 3.1420386 3.5097453
100131094 1.30197707 0.09034385 0.2142449 0.55352791 0.8200957 1.1330427
100131138 2.10014908 3.35131328 2.9314354 2.54336537 5.3899690 5.6669521
100131187 1.52131501 1.33279231 0.4850909 -0.06715709 2.7743057 1.8102750
100131193 2.95025369 2.73854395 2.7377690 3.45430815 3.5749989 3.7399793
100131211 2.95025369 2.94724178 2.6849988 3.11300287 3.4348210 3.2017256
100131213 2.03037377 1.55306751 2.0957910 0.98610034 1.9900310 1.1330427
100131471 1.71166498 2.26429144 2.3876148 1.91718722 1.9075683 2.1319231
100131656 2.98755367 3.22878140 2.6302249 2.77732061 3.2795424 3.7634324
100131685 1.61962708 2.32536841 0.9098339 1.58838721 1.8201049 1.9800444
100131691 1.87980237 1.91280979 1.9242708 2.01200950 2.2795391 2.6170299
100131740 0.06853921 1.07271680 -0.5543974 -0.06715709 -0.5949725 -0.5987095
100131801 3.45519334 2.94724178 3.1021543 2.77732061 2.9075727 2.8969966
100131827 -1.17995959 -1.17995959 -1.1799596 -1.17995959 -1.1799596 0.3975686
100131828 0.72765460 0.92268293 -0.5543974 1.70651134 -0.5949725 0.6194285
100131940 1.41581037 1.55306751 1.6213917 1.58838721 1.6274585 2.1319231
100132074 1.79818171 1.65175542 1.0829796 1.91718722 1.8201049 0.9812883
100132086 -1.17995959 -0.62344910 0.2142449 0.78596637 0.1420128 0.9812883
100132116 7.42202143 7.16574534 7.1549280 7.04790630 6.6904786 5.4814097
100132126 -1.17995959 0.34752647 -0.5543974 -0.06715709 0.1420128 -0.1855317
100132215 1.17838658 0.75521570 0.2142449 0.27631047 1.1420275 0.8116741
100132537 1.52131501 1.44712987 0.9098339 2.10098201 2.1420349 0.9812883
100132609 0.89404163 1.07271680 0.9098339 1.45972187 1.1420275 1.6178299
100132659 -0.24088818 0.09034385 0.4850909 -1.17995959 0.9900228 -0.5987095
100132891 2.29125798 2.44027297 2.4521981 2.66508024 -1.1799596 -1.1799596
100132972 1.04320809 0.75521570 -1.1799596 -1.17995959 1.7269949 -1.1799596
100133234 -1.17995959 0.75521570 1.0829796 -0.06715709 0.1420128 0.9812883
100133286 -0.24088818 -1.17995959 -1.1799596 -1.17995959 -0.5949725 -1.1799596
100133315 -0.24088818 -1.17995959 -1.1799596 0.98610034 0.9900228 0.8116741
100134934 2.23032514 1.91280979 2.4521981 1.16182328 1.6274585 1.8976555
10014 6.76475881 6.76119355 6.7454115 6.65481956 6.5205535 6.9913074
100144603 -0.63532892 -0.62344910 -0.5543974 -0.51882411 0.4050521 -1.1799596
100144748 1.95705154 2.06382184 1.3771581 1.81569148 -0.1799227 0.9812883
10015 7.56150824 7.44568461 7.4947685 7.35424133 7.3553893 7.5637880
10016 5.49756220 5.20968544 5.3035070 5.10053519 4.8535360 5.1218985
100170229 0.32317923 -0.22285083 1.5044371 -0.06715709 0.4050521 0.1352793
100170841 3.48157824 3.26040375 3.9122278 4.20176922 4.0868988 4.1490013
10018 3.45519334 3.54350138 3.3595273 3.11300287 3.4925366 4.8202755
100188847 1.17838658 1.07271680 1.7295721 1.81569148 1.5205425 0.8116741
10019 4.56808272 4.66515199 5.0454391 5.36586903 4.3279072 4.3482744
100190938 2.61103267 2.44027297 2.1744647 1.91718722 2.2124246 1.8102750
1002 0.32317923 1.33279231 0.7130373 -1.17995959 0.8200957 0.1352793
10020 3.37301360 3.35131328 3.6346213 3.45430815 3.7743081 3.5097453
10021 7.80686703 8.04936596 7.7294707 7.56829742 8.3426956 7.9974826
10023 1.41581037 1.74412263 2.0125784 1.81569148 1.2795324 1.8976555
10024 3.22470263 3.66662154 3.4253517 2.66508024 4.5205525 4.1129390
10026 6.08858764 5.75044501 5.8445067 5.87490154 6.0441153 5.0664089
100268168 0.32317923 0.34752647 -0.1194806 0.78596637 0.6274480 0.3975686
100270804 1.95705154 2.54669715 1.7295721 1.58838721 1.8201049 1.9800444
100270827 -1.17995959 0.34752647 -1.1799596 0.55352791 -0.1799227 0.8116741
100270840 3.88888010 3.96415444 3.8655665 3.78485440 4.4639689 3.9384778
100270854 3.96565740 4.43510882 4.6779032 4.49229880 4.4348225 4.2848598
100270865 5.40409952 5.33378172 5.6098740 5.39255010 4.8313403 4.9587795
100271271 3.12779840 3.12952993 3.1021543 2.77732061 3.1776626 3.1669732
100271332 -0.24088818 -1.17995959 -1.1799596 -0.06715709 -1.1799596 -0.1855317
100271415 1.61962708 1.83093027 1.5044371 1.91718722 1.9075683 2.4536272
100271479 1.17838658 1.44712987 -0.1194806 1.31844800 0.4050521 0.3975686
100271884 0.89404163 0.92268293 -0.1194806 0.27631047 -0.1799227 -0.5987095
100272147 2.65806029 2.32536841 2.8854012 3.55222145 1.6274585 2.5645921
100286844 1.71166498 1.07271680 1.5044371 1.58838721 0.8200957 1.7172589
100287015 1.79818171 1.20860713 1.0829796 1.31844800 0.9900228 1.5110377
100287049 1.41581037 0.56572446 1.6213917 1.58838721 0.9900228 1.7172589
100287074 0.32317923 1.55306751 0.7130373 1.58838721 1.2795324 0.1352793
100287616 3.34454611 2.86734779 2.6302249 3.02479165 2.2795391 2.9387979
100287722 1.52131501 1.74412263 1.7295721 0.55352791 0.8200957 1.1330427
100287808 1.04320809 0.34752647 -1.1799596 1.16182328 -0.1799227 -0.1855317
100287837 1.30197707 0.09034385 0.4850909 -1.17995959 -0.5949725 0.1352793
100287896 2.79059043 2.86734779 2.7886769 2.01200950 1.8201049 2.1319231
100287902 -0.24088818 0.09034385 -0.5543974 0.78596637 0.4050521 -0.1855317
100287928 2.16670486 2.26429144 2.5732891 2.01200950 2.2124246 2.5645921
100287932 5.01904931 5.41329934 5.3635057 5.06779987 5.5882978 5.5300799
100288001 3.31550556 2.59710305 2.7886769 2.18478478 2.2124246 2.2022591
100288073 2.29125798 3.02294258 2.4521981 1.91718722 2.8645038 4.4238131
100288123 1.79818171 1.74412263 0.9098339 0.78596637 1.7269949 0.8116741
100288198 1.95705154 1.91280979 2.0957910 0.55352791 1.8201049 3.1313630
100288241 -1.17995959 -1.17995959 -1.1799596 -1.17995959 -1.1799596 -1.1799596
100288413 2.91196369 2.94724178 2.7886769 3.52031638 4.1776644 2.9794221
100288513 -0.24088818 -1.17995959 -0.1194806 -0.06715709 -0.1799227 0.1352793
100288842 1.52131501 1.07271680 1.7295721 0.98610034 1.8201049 1.6178299
100289061 1.52131501 1.74412263 0.7130373 1.31844800 1.6274585 0.6194285
100289095 -1.17995959 0.56572446 0.4850909 0.55352791 0.6274480 -0.5987095
100289133 1.79818171 2.98558864 2.7886769 2.18478478 3.2124281 2.8095749
100289178 2.51211258 2.59710305 2.6302249 2.54336537 2.6780901 2.2693248
100289211 1.95705154 1.20860713 2.3200044 2.72229168 1.9900310 2.1319231
100289259 1.04320809 0.56572446 1.0829796 1.45972187 1.2795324 0.6194285
100289274 2.56242028 2.73854395 2.7377690 1.91718722 2.8645038 4.8534385
100289341 1.30197707 1.65175542 0.4850909 1.31844800 0.4050521 1.3957040
100289373 2.03037377 2.06382184 1.6213917 0.27631047 1.1420275 1.8102750
100289388 1.17838658 0.09034385 0.7130373 0.55352791 2.2124246 2.2693248
100289414 -0.24088818 -0.22285083 0.4850909 -1.17995959 0.1420128 0.8116741
100289635 5.16457077 5.54752262 5.2590697 5.16385838 5.2795449 5.1927130
100289640 1.04320809 0.75521570 -0.1194806 0.78596637 2.0680339 1.5110377
100289678 3.60671619 3.05935371 3.5187783 3.38513440 2.5205482 3.0948514
100293516 3.16082833 3.16337812 2.8378495 3.19612992 3.6014712 4.2520757
100294362 1.17838658 1.44712987 1.3771581 2.01200950 -0.1799227 0.9812883
1003 1.79818171 1.55306751 0.4850909 1.70651134 3.4050736 3.1313630
100302692 2.95025369 2.64580713 2.5732891 3.34926264 2.0680339 2.5645921
100302736 0.32317923 0.92268293 0.9098339 0.27631047 0.8200957 1.5110377
100303728 2.95025369 3.26040375 3.3928149 3.34926264 3.0295635 3.4817394
100303755 1.95705154 0.75521570 1.6213917 0.55352791 0.6274480 1.6178299
100312828 0.89404163 0.09034385 0.7130373 1.31844800 -0.1799227 0.3975686
100312850 1.17838658 0.34752647 0.2142449 0.27631047 0.1420128 1.3957040
10036 4.29808853 4.86350862 4.2933387 4.00831987 5.2958468 5.4383443
100379345 -0.24088818 0.75521570 0.2142449 1.16182328 1.2795324 1.5110377
10038 5.51682579 5.53464848 5.3635057 5.58990166 5.6718626 6.0663356
100381270 1.41581037 1.33279231 1.3771581 1.91718722 0.6274480 1.8102750
10039 3.48157824 3.78005576 4.0645930 3.75774557 3.6530016 3.3012257
1004 4.90670626 5.37047025 5.5447275 5.58990166 2.4050705 1.7172589
10040 3.90846087 3.92522579 3.7418501 3.81146323 3.7270023 3.7865102
100418710 1.71166498 0.75521570 2.0125784 0.98610034 0.6274480 1.7172589
100418735 1.17838658 2.20051401 0.9098339 1.81569148 1.9075683 2.1319231
100418744 1.61962708 0.92268293 1.6213917 1.70651134 1.4050644 1.8102750
100418770 -1.17995959 -1.17995959 -1.1799596 -1.17995959 -0.1799227 -1.1799596
100418781 0.89404163 1.91280979 1.2375541 1.16182328 1.9075683 1.3957040
100418819 2.03037377 1.33279231 1.3771581 2.41042778 2.4050705 2.2693248
100418829 1.61962708 0.92268293 0.2142449 0.27631047 1.5205425 0.6194285
100418888 0.32317923 1.44712987 0.4850909 2.54336537 0.6274480 0.3975686
100418889 2.61103267 2.32536841 2.5732891 2.33906405 2.2124246 2.1319231
100418910 -0.63532892 1.44712987 0.7130373 0.27631047 1.1420275 0.6194285
100418919 2.10014908 2.82567796 2.5140137 2.47842723 2.9075727 2.8969966
100419028 2.23032514 1.20860713 2.1744647 2.01200950 1.2795324 1.3957040
100419185 -1.17995959 -0.62344910 0.2142449 -1.17995959 0.9900228 0.9812883
100419416 1.04320809 0.56572446 0.4850909 1.58838721 -0.1799227 1.7172589
100419515 0.32317923 0.34752647 0.9098339 0.55352791 0.4050521 0.8116741
100419645 -1.17995959 -0.22285083 -1.1799596 -1.17995959 -1.1799596 -1.1799596
100419758 1.95705154 1.91280979 1.5044371 2.33906405 0.1420128 1.2703427
100419928 0.89404163 1.65175542 1.2375541 2.18478478 1.9075683 1.9800444
10042 5.51043313 4.98205195 5.3295269 5.46975458 4.6904776 5.6977123
100420028 1.87980237 2.06382184 0.4850909 0.27631047 0.4050521 0.3975686
100420050 0.06853921 -0.62344910 -1.1799596 -0.51882411 0.6274480 1.1330427
100420110 3.16082833 3.38038652 3.1021543 3.23596368 2.7743057 2.6170299
100420187 0.32317923 -0.62344910 -0.5543974 0.98610034 0.1420128 -0.1855317
100420259 3.88888010 3.49115245 4.1252684 3.55222145 3.9698592 4.1129390
100420307 1.04320809 1.74412263 1.3771581 1.31844800 0.1420128 0.9812883
100420341 5.45158758 5.68786376 4.9702494 5.36586903 5.5205532 5.2928155
100420423 0.89404163 0.92268293 1.6213917 1.70651134 1.5205425 1.5110377
100420591 0.32317923 0.92268293 0.7130373 -0.51882411 0.1420128 0.8116741
100420707 3.19311895 3.35131328 2.3200044 3.11300287 2.2124246 2.9387979
100420752 0.89404163 1.33279231 1.0829796 1.31844800 2.2124246 0.9812883
100420869 3.98422986 4.50277432 4.3108597 3.73011758 4.0680397 4.1310828
100420981 5.63319556 5.99562322 5.8384790 5.88119548 5.9596650 6.0897174
100421093 3.82849091 3.46424800 3.7674567 3.06957134 4.3279072 4.3789661
100421109 0.32317923 -0.22285083 0.4850909 0.55352791 1.1420275 0.6194285
100421160 -0.24088818 0.56572446 0.4850909 -0.06715709 -1.1799596 0.3975686
100421175 0.06853921 -1.17995959 -0.5543974 -0.51882411 0.6274480 0.6194285
100421246 0.53954562 0.34752647 0.7130373 0.27631047 0.9900228 0.9812883
100421311 1.41581037 1.33279231 0.9098339 2.18478478 1.4050644 2.4536272
100421372 1.30197707 1.74412263 1.5044371 2.10098201 2.6274638 2.8095749
100421400 2.03037377 2.26429144 1.6213917 1.81569148 2.7743057 2.3334109
100421415 0.06853921 1.20860713 -0.1194806 0.78596637 1.4050644 0.3975686
100421429 0.06853921 0.56572446 -0.5543974 -1.17995959 -0.1799227 0.3975686
100421465 0.53954562 1.44712987 1.0829796 0.98610034 0.9900228 1.5110377
100421468 3.02391354 2.64580713 2.5140137 2.54336537 2.0680339 2.5645921
100421506 0.53954562 -0.22285083 1.2375541 0.27631047 0.1420128 0.6194285
100421569 -0.24088818 -0.62344910 1.2375541 0.27631047 -0.1799227 0.8116741
100421595 -1.17995959 -1.17995959 -1.1799596 -0.51882411 0.1420128 -1.1799596
100421794 -0.24088818 -1.17995959 -1.1799596 -0.06715709 -0.5949725 -1.1799596
100422106 0.89404163 1.83093027 1.0829796 1.58838721 1.8201049 1.5110377
100422338 2.45998704 2.13378623 1.3771581 2.83032747 3.1055126 1.6178299
100422546 0.53954562 1.07271680 0.9098339 0.78596637 1.9075683 1.8102750
100422561 3.09399451 3.49115245 3.0193186 3.02479165 3.7027547 3.4240418
10043 5.59745107 5.47524941 5.5956491 5.51902047 5.9338558 5.8257694
10044 1.71166498 1.83093027 2.3876148 1.31844800 0.1420128 2.5101762
10045 0.06853921 -0.22285083 0.7130373 -0.06715709 -0.1799227 0.3975686
10046 1.30197707 1.20860713 1.2375541 1.70651134 0.9900228 0.1352793
10048 6.29235799 6.65217779 6.4693309 6.53219797 6.7973938 6.8776945
10049 5.90582816 6.07779190 6.2139548 6.04712337 5.9442349 6.0804101
100499177 3.42831689 3.64282376 3.7157808 3.70195016 2.7269998 3.8966670
100499483 2.95025369 2.54669715 2.5732891 3.02479165 1.9900310 2.9387979
1005 -1.17995959 -0.22285083 1.0829796 0.98610034 0.1420128 0.3975686
100500719 -1.17995959 0.34752647 -1.1799596 0.55352791 0.4050521 1.6178299
100505385 2.95025369 2.38396434 2.3876148 2.97857740 3.2463755 3.7634324
100505501 1.52131501 1.33279231 1.9242708 0.98610034 2.1420349 0.6194285
100505538 1.30197707 0.75521570 0.9098339 0.55352791 0.4050521 1.8976555
100505549 2.03037377 1.07271680 1.6213917 -0.06715709 -1.1799596 -0.5987095
100505573 6.15156437 5.94786718 5.7254371 5.94867497 6.1644096 6.4013896
100505576 2.74775234 3.12952993 3.4253517 2.01200950 1.9900310 2.5101762
100505616 -0.24088818 -0.62344910 0.4850909 0.55352791 0.6274480 -0.1855317
100505624 1.61962708 1.20860713 1.3771581 1.45972187 0.4050521 1.1330427
100505635 0.53954562 0.92268293 -0.1194806 -0.06715709 0.8200957 0.6194285
100505641 2.65806029 2.54669715 2.0957910 2.33906405 1.8201049 2.3334109
100505648 2.34972124 2.20051401 2.5732891 1.91718722 2.5205482 3.0189337
100505678 2.34972124 2.54669715 2.2490690 2.33906405 2.6780901 2.3947708
100505696 4.56808272 4.77869738 4.7046597 3.91324660 4.6014725 5.0378426
100505715 1.04320809 0.75521570 -0.1194806 1.16182328 0.9900228 0.3975686
100505738 -0.24088818 -0.62344910 -1.1799596 -0.51882411 3.1420386 3.4817394
100505741 1.95705154 1.91280979 0.9098339 1.16182328 0.6274480 1.2703427
100505758 3.53294311 2.38396434 3.6065209 2.77732061 4.1055145 3.6421578
100505761 3.16082833 3.29134782 3.2547922 3.27472709 3.1055126 2.8969966
100505771 1.41581037 2.54669715 0.7130373 1.81569148 2.6780901 2.5645921
100505783 2.65806029 2.86734779 3.4253517 3.11300287 2.8201095 2.7165122
100505806 4.76352550 4.16129475 4.6913435 4.07572658 5.3358132 5.7514801
100505812 1.61962708 1.07271680 1.3771581 1.45972187 0.8200957 2.5101762
100505832 2.34972124 2.20051401 2.8378495 2.60550600 1.4050644 2.6170299
100505854 3.50748926 3.40888543 2.6302249 3.38513440 3.5205510 5.5705290
100505876 5.50401202 5.44804392 5.3380969 5.32950891 4.5615798 4.5505510
100505894 4.05621731 3.59401713 3.8655665 3.70195016 3.1420386 4.0570970
100505933 0.32317923 0.34752647 -0.5543974 0.55352791 -0.1799227 1.2703427
100505994 -0.63532892 -1.17995959 -1.1799596 0.55352791 0.6274480 1.1330427
100506020 0.72765460 0.34752647 2.0957910 1.45972187 -0.1799227 0.3975686
100506033 4.54324666 4.27403187 4.0645930 4.07572658 4.9596645 4.9279769
100506054 2.23032514 2.69292055 2.3876148 2.41042778 2.4639644 2.0579815
100506068 2.23032514 1.65175542 -0.1194806 1.81569148 1.8201049 2.2022591
100506070 2.16670486 2.13378623 2.0957910 2.41042778 0.6274480 1.5110377
100506083 0.53954562 0.56572446 1.3771581 -0.06715709 -0.5949725 1.6178299
100506100 0.32317923 0.56572446 0.2142449 0.55352791 0.4050521 0.1352793
100506119 1.30197707 2.20051401 1.0829796 1.58838721 1.8201049 1.5110377
100506127 1.30197707 1.44712987 3.0613309 1.45972187 2.6274638 2.6170299
100506142 0.32317923 1.07271680 0.4850909 0.78596637 0.4050521 1.2703427
100506144 1.17838658 1.33279231 0.2142449 -0.51882411 0.4050521 0.9812883
100506161 0.32317923 0.34752647 0.7130373 0.55352791 0.1420128 1.7172589
100506211 4.23744964 3.46424800 4.6779032 4.63320692 3.4348210 4.6794308
100506235 0.06853921 2.06382184 1.6213917 1.45972187 1.7269949 1.8976555
100506258 1.04320809 1.33279231 0.7130373 1.31844800 0.6274480 1.1330427
100506282 2.65806029 3.22878140 2.3200044 3.02479165 2.2795391 2.6170299
100506286 2.03037377 1.07271680 0.9098339 1.45972187 -1.1799596 0.8116741
100506302 0.89404163 1.83093027 0.2142449 2.47842723 1.4050644 2.3334109
100506321 1.04320809 0.92268293 0.7130373 1.16182328 -0.1799227 0.8116741
100506325 1.87980237 0.75521570 0.2142449 -0.06715709 0.4050521 0.1352793
100506343 0.06853921 1.33279231 0.4850909 0.55352791 1.5205425 0.3975686
100506365 5.67380807 5.61022443 5.6517261 5.86223069 5.2877189 5.6033914
100506368 0.72765460 0.34752647 -1.1799596 -1.17995959 1.1420275 1.3957040
100506380 3.65388244 3.82304461 3.1418543 3.02479165 3.9900371 4.8090496
100506392 3.19311895 3.29134782 2.6302249 3.11300287 3.3746999 2.5101762
100506394 2.61103267 1.91280979 2.5140137 2.01200950 0.8200957 1.8976555
100506411 1.71166498 1.07271680 1.7295721 1.70651134 0.4050521 1.6178299
100506433 3.22470263 2.44027297 2.3200044 2.93083362 2.6274638 2.3334109
100506462 1.17838658 1.20860713 -0.5543974 1.45972187 0.9900228 0.8116741
100506469 5.06339421 4.72304145 4.3452758 4.24144969 4.3747014 4.8424686
100506495 1.71166498 1.33279231 0.7130373 1.58838721 0.4050521 1.1330427
100506504 2.03037377 1.20860713 0.9098339 2.01200950 0.9900228 1.3957040
100506540 1.61962708 1.55306751 1.3771581 0.98610034 1.6274585 0.6194285
100506581 1.30197707 0.92268293 0.4850909 0.98610034 1.4050644 0.8116741
100506606 0.06853921 1.55306751 1.0829796 0.98610034 0.8200957 1.2703427
100506658 1.04320809 0.75521570 0.9098339 0.98610034 2.5749962 2.6170299
100506668 2.65806029 2.94724178 2.2490690 2.26398573 2.4639644 2.8969966
100506686 2.56242028 2.32536841 1.8302034 2.47842723 2.1420349 1.8102750
100506691 0.06853921 0.56572446 0.9098339 -1.17995959 0.9900228 0.3975686
100506696 2.45998704 1.91280979 2.9760461 2.47842723 2.8645038 2.7637938
100506697 1.71166498 0.92268293 0.9098339 1.31844800 0.1420128 0.8116741
100506710 6.73764888 6.69330605 6.4809862 6.72298198 5.9390547 6.9356191
100506713 0.53954562 -0.22285083 0.2142449 -0.51882411 -0.1799227 -0.5987095
100506725 3.84890280 3.84406803 3.4883034 2.72229168 4.1951518 4.6419612
100506731 1.41581037 1.74412263 2.3200044 2.41042778 2.0680339 2.7165122
100506757 1.17838658 0.92268293 -1.1799596 -1.17995959 -1.1799596 0.3975686
100506779 0.32317923 -0.22285083 1.9242708 0.27631047 0.4050521 0.1352793
100506804 0.32317923 0.56572446 0.7130373 -0.06715709 0.4050521 0.1352793
100506826 2.03037377 2.20051401 1.2375541 1.31844800 1.7269949 1.7172589
100506844 2.95025369 2.73854395 2.9314354 2.72229168 2.8645038 3.5097453
100506866 6.10565205 6.26870289 6.3808541 6.41995677 6.9493969 6.6823664
100506881 1.52131501 0.75521570 0.4850909 1.81569148 0.4050521 0.1352793
100506885 -0.24088818 0.34752647 -0.1194806 -0.51882411 -0.1799227 0.9812883
100506911 0.72765460 0.75521570 0.7130373 0.27631047 0.9900228 0.6194285
100506922 0.89404163 0.34752647 0.2142449 -0.06715709 2.4050705 3.2688155
100506930 4.32747823 3.61862683 3.7418501 3.34926264 4.5480332 4.4529549
100506994 0.53954562 0.75521570 0.2142449 0.55352791 0.9900228 0.6194285
100507003 1.52131501 1.07271680 1.2375541 1.91718722 2.9075727 3.7634324
100507032 1.71166498 2.20051401 1.9242708 2.26398573 1.8201049 1.3957040
100507034 3.42831689 3.05935371 2.8854012 3.38513440 3.2124281 2.3334109
100507050 -1.17995959 -1.17995959 0.9098339 0.55352791 0.4050521 0.3975686
100507053 1.61962708 0.92268293 2.1744647 2.33906405 0.6274480 2.6676283
100507057 1.30197707 1.07271680 0.4850909 1.31844800 0.1420128 0.8116741
100507062 0.32317923 -1.17995959 0.2142449 0.55352791 0.4050521 1.2703427
100507071 2.03037377 1.20860713 0.9098339 0.98610034 -1.1799596 -0.1855317
100507156 2.74775234 3.05935371 3.4571709 3.38513440 3.4639674 3.6421578
100507171 3.31550556 3.09486847 3.0193186 2.66508024 3.2124281 3.3639403
100507173 0.89404163 0.09034385 0.4850909 -0.06715709 -1.1799596 1.3957040
100507178 0.53954562 0.34752647 0.7130373 0.78596637 0.4050521 1.1330427
100507244 0.89404163 1.44712987 0.2142449 -0.51882411 0.1420128 -0.1855317
100507246 3.09399451 3.38038652 3.1418543 2.33906405 2.7743057 2.5645921
100507250 0.06853921 0.09034385 -0.1194806 -0.51882411 0.8200957 1.1330427
100507254 0.72765460 -0.22285083 -1.1799596 0.55352791 -0.1799227 -1.1799596
100507266 1.04320809 0.75521570 0.2142449 0.78596637 1.1420275 2.0579815
100507290 4.60455309 4.77869738 4.4907305 5.05672093 4.6530029 5.2766067
100507291 2.23032514 2.20051401 2.4521981 1.70651134 1.8201049 2.6676283
100507303 2.65806029 2.90784776 2.7377690 2.60550600 3.3436729 3.3639403
100507308 0.06853921 0.75521570 0.9098339 0.55352791 0.6274480 1.3957040
100507316 1.79818171 2.06382184 1.5044371 0.98610034 1.9075683 2.4536272
100507331 2.03037377 1.33279231 1.5044371 2.72229168 1.4050644 2.0579815
100507347 1.41581037 1.07271680 0.9098339 0.98610034 1.2795324 0.8116741
100507373 2.16670486 2.20051401 2.8854012 2.77732061 1.8201049 1.2703427
100507392 0.32317923 0.75521570 -1.1799596 -1.17995959 0.4050521 -1.1799596
100507398 1.79818171 1.55306751 1.5044371 0.55352791 2.2124246 2.1319231
100507401 0.06853921 1.20860713 0.2142449 1.58838721 0.8200957 1.3957040
100507420 1.41581037 1.07271680 -0.1194806 -0.51882411 0.4050521 -0.5987095
100507433 2.23032514 0.75521570 1.0829796 1.81569148 0.6274480 1.3957040
100507436 0.06853921 0.34752647 -1.1799596 -1.17995959 -0.5949725 0.3975686
100507437 2.91196369 2.13378623 2.0957910 2.72229168 2.1420349 1.9800444
100507459 2.79059043 2.20051401 1.5044371 2.47842723 2.8201095 2.5101762
100507463 1.17838658 1.65175542 0.9098339 1.16182328 -0.1799227 -0.1855317
100507487 2.10014908 0.09034385 0.7130373 1.31844800 1.6274585 1.3957040
100507495 2.51211258 2.26429144 0.7130373 2.01200950 0.1420128 2.5645921
100507516 0.32317923 -0.22285083 0.7130373 0.27631047 0.6274480 0.1352793
100507551 2.03037377 1.99029078 0.9098339 0.55352791 1.4050644 1.8102750
100507557 1.87980237 0.56572446 0.9098339 0.98610034 0.6274480 0.3975686
100507564 -0.24088818 0.56572446 -0.1194806 -1.17995959 -1.1799596 -1.1799596
100507567 0.89404163 0.75521570 1.5044371 1.45972187 0.6274480 2.3334109
100507588 1.61962708 1.44712987 1.6213917 -0.51882411 -1.1799596 0.3975686
100507599 2.40590734 1.33279231 0.9098339 0.98610034 1.8201049 2.1319231
100507602 2.83219313 3.02294258 3.2181199 3.02479165 2.4050705 1.8976555
100508120 2.10014908 3.12952993 2.2490690 2.26398573 1.8201049 2.3334109
10051 6.69318466 7.05965275 6.7550436 6.74385466 7.6354973 7.5554149
10052 1.87980237 1.20860713 1.8302034 2.33906405 2.5205482 2.3947708
100526737 2.16670486 1.65175542 2.2490690 2.18478478 1.5205425 2.6170299
100526760 0.53954562 0.09034385 0.2142449 1.16182328 0.9900228 0.9812883
100526820 0.72765460 1.07271680 0.2142449 0.55352791 1.2795324 1.6178299
100526835 3.42831689 3.73574649 3.9795066 3.06957134 4.6274678 4.9689026
100527978 1.71166498 1.44712987 -0.1194806 2.10098201 1.4050644 1.6178299
100529145 1.52131501 1.07271680 1.9242708 0.55352791 0.9900228 2.1319231
100529215 0.32317923 -1.17995959 0.9098339 1.16182328 0.1420128 0.6194285
100532746 4.15788107 4.25845597 4.5656207 4.16096641 4.1238930 3.7161387
100533106 0.89404163 1.55306751 1.2375541 0.78596637 0.8200957 0.8116741
100533182 1.71166498 0.75521570 1.7295721 0.27631047 0.6274480 2.2022591
100533619 0.06853921 -0.62344910 -1.1799596 -1.17995959 -0.5949725 0.3975686
100533629 1.71166498 0.92268293 1.7295721 1.81569148 1.9075683 1.5110377
100533695 -0.24088818 0.92268293 -0.1194806 0.27631047 0.1420128 2.0579815
100533970 0.53954562 0.75521570 0.4850909 0.98610034 0.6274480 -0.5987095
100534593 0.89404163 1.91280979 1.7295721 1.31844800 0.1420128 1.8102750
10054 5.93476208 5.82635832 6.0410247 5.91839315 5.9799850 6.0897174
10056 6.08858764 6.04184896 5.8079565 5.67205629 6.1238944 5.6291527
10057 8.04884186 8.05049693 8.0003979 7.95142832 7.3650784 7.5436104
10058 5.04581948 5.21776216 5.6098740 6.20096130 4.5615798 4.7159519
10059 7.32700124 7.25478832 7.4793558 7.49631967 7.3785347 7.4291228
1006 6.16383642 6.07779190 6.2092910 6.06382012 3.7973917 3.4531790
10060 4.62836435 4.67691720 4.8909245 5.30162453 5.0775010 5.2766067
100616256 1.30197707 0.92268293 0.4850909 0.98610034 1.1420275 1.1330427
10062 2.45998704 2.69292055 2.6849988 2.47842723 1.6274585 2.3334109
10063 4.79542594 4.40712826 4.7309289 4.54081351 4.0295655 4.2685609
100652739 -0.63532892 1.07271680 1.0829796 -1.17995959 -0.1799227 -0.5987095
100652758 1.52131501 1.20860713 1.6213917 0.55352791 0.1420128 1.6178299
100652846 1.87980237 1.91280979 2.0125784 2.47842723 2.8645038 2.5101762
10066 5.92036765 5.87823620 5.8683690 5.74288799 6.2038180 5.9433806
10067 6.95095045 6.75288027 6.5490073 6.54810786 6.3239395 5.8750473
10068 3.02391354 3.22878140 3.4883034 2.88145559 2.8201095 3.3639403
10069 3.82849091 3.43683226 3.4253517 2.88145559 3.0295635 3.5372179
10072 4.56808272 4.97253699 4.9812337 4.58774972 4.7858973 4.3940705
10073 3.82849091 4.19441423 4.1053255 3.93760871 3.6780926 4.2353999
10075 8.87862305 8.86616576 8.8370468 8.95909440 8.8617732 8.5528804
10076 5.41782778 5.29613577 5.2500156 5.32950891 4.8313403 4.8314148
10077 2.10014908 1.55306751 2.5140137 2.88145559 4.8535360 5.5094220
100775107 0.89404163 1.55306751 1.0829796 1.45972187 1.2795324 1.5110377
10078 4.70873872 4.85317589 4.6779032 4.61821310 5.0099377 5.1665632
10079 4.47921899 4.84276863 4.6913435 5.08970574 4.6530029 3.8966670
1008 4.35628114 3.71307086 4.0012533 3.83759016 2.6274638 2.6170299
10081 5.26672036 5.01949639 5.3035070 5.15349565 5.0099377 5.4528428
10082 7.29202199 7.15946933 7.2802886 7.36550856 7.8355291 7.2372672
100820829 5.92036765 5.96236070 5.6990668 5.46975458 5.3975422 5.7278304
10084 5.31153272 4.94360970 4.9921350 5.11128396 5.0585179 5.3088443
100847074 1.79818171 1.74412263 1.5044371 1.81569148 1.8201049 2.0579815
10085 9.17030751 9.15717524 9.2198238 9.19463174 8.2568256 7.6033156
100852407 0.89404163 1.07271680 0.7130373 0.98610034 0.9900228 0.6194285
100861412 -1.17995959 1.33279231 -0.1194806 0.55352791 1.1420275 2.2022591
100861548 3.82849091 3.56898035 3.9122278 2.93083362 3.3119640 3.8752983
100862671 1.79818171 1.55306751 -0.1194806 -0.51882411 1.7269949 -0.5987095
10087 6.02273587 6.12149679 6.4848505 6.36263297 6.3159688 6.1969587
100873257 0.06853921 0.09034385 -0.5543974 -0.06715709 0.8200957 -0.1855317
100873333 2.79059043 3.02294258 3.1418543 2.33906405 3.4348210 2.3334109
100873790 4.70873872 4.61710754 4.5801433 4.85406385 4.3747014 4.1666999
100873949 0.53954562 0.75521570 1.0829796 1.16182328 1.4050644 1.2703427
100873952 0.72765460 0.09034385 -1.1799596 0.27631047 0.6274480 0.3975686
100873965 1.79818171 1.74412263 1.9242708 1.31844800 1.2795324 2.6170299
100874006 0.06853921 0.75521570 0.4850909 1.16182328 0.1420128 -0.5987095
100874008 1.71166498 1.55306751 1.7295721 2.01200950 1.1420275 0.3975686
100874014 3.65388244 3.61862683 3.2905554 3.23596368 3.1055126 3.6672420
100874058 1.71166498 1.83093027 -0.1194806 0.78596637 0.9900228 1.2703427
100874080 0.32317923 0.56572446 0.2142449 -0.06715709 0.4050521 0.9812883
100874097 2.61103267 2.49446617 2.3200044 2.01200950 1.8201049 1.1330427
100874201 1.04320809 -0.62344910 0.9098339 0.27631047 0.8200957 0.1352793
100874212 0.89404163 1.91280979 1.0829796 1.58838721 0.8200957 1.3957040
100874217 0.06853921 0.56572446 0.9098339 0.27631047 0.6274480 0.8116741
100874235 1.71166498 1.33279231 1.3771581 1.31844800 1.5205425 0.9812883
100874261 1.30197707 -0.62344910 -0.5543974 -0.06715709 0.1420128 0.6194285
100874291 -0.24088818 0.75521570 0.4850909 0.98610034 0.4050521 1.1330427
100874362 2.51211258 2.49446617 2.3876148 2.26398573 1.5205425 2.2022591
100874523 1.87980237 1.20860713 0.7130373 0.98610034 2.0680339 1.3957040
100885775 4.54324666 4.68858725 4.8192778 5.18436318 4.7389762 5.3788481
100885776 1.04320809 -0.22285083 1.7295721 -0.06715709 0.1420128 1.1330427
100885848 5.17269040 5.58546975 5.4530204 5.67205629 4.9286375 5.2519468
1009 9.79292929 9.73298744 9.6992190 9.68614278 9.2247235 8.3422194
10090 3.90846087 3.88521751 4.0645930 3.91324660 3.7027547 4.5639696
10092 7.65140803 7.65645600 7.4676872 7.47150633 7.0775018 7.0159268
10093 7.04904072 6.90318031 6.9153930 6.82771295 6.6812007 6.7775860
10094 5.31886796 5.05599351 5.3466163 5.12195323 5.3670078 4.7977357
10095 5.44489853 5.19339509 5.3295269 5.23438528 5.3975422 4.6164296
10097 8.32319448 8.30291734 8.1526922 8.21453246 7.8562876 7.5803896
10098 6.67900378 6.65812553 6.5818518 6.55992618 6.1908011 6.4954294
10099 8.10295548 8.09502382 7.9284448 8.00716493 8.3279087 7.8910442
100996246 0.32317923 -1.17995959 0.9098339 0.55352791 0.1420128 0.3975686
100996251 0.32317923 -0.22285083 0.4850909 0.55352791 0.9900228 -0.1855317
100996307 -0.63532892 -0.22285083 -0.1194806 -0.51882411 -0.5949725 0.6194285
100996384 1.71166498 0.75521570 2.3876148 1.31844800 1.6274585 1.1330427
100996419 1.87980237 1.55306751 2.0125784 1.58838721 1.9075683 2.2693248
100996485 1.52131501 1.44712987 1.9242708 2.26398573 2.6274638 1.5110377
100996539 -0.63532892 0.56572446 -1.1799596 0.55352791 -0.1799227 -0.1855317
100996579 -1.17995959 -1.17995959 -0.1194806 -1.17995959 0.6274480 1.8102750
100996696 1.41581037 3.29134782 2.8378495 2.66508024 2.7269998 3.0189337
100996842 1.04320809 1.55306751 0.9098339 0.27631047 0.9900228 2.1319231
100996851 -1.17995959 0.34752647 -0.1194806 -0.51882411 -0.5949725 0.8116741
100996939 1.30197707 1.33279231 0.7130373 1.16182328 0.1420128 1.5110377
101 3.12779840 2.86734779 2.0957910 1.58838721 1.9075683 1.8976555
1010 -1.17995959 -0.22285083 -1.1799596 -1.17995959 -1.1799596 0.1352793
10100 4.71986378 4.86350862 5.6098740 6.18578662 6.2124311 6.0989650
10101 5.15640518 5.16025193 5.0029546 4.97669051 5.2713244 5.8423831
10102 4.96397103 4.84276863 4.4752744 4.45902491 5.1147340 5.1488629
10103 0.32317923 -0.22285083 0.7130373 0.78596637 0.4050521 -0.1855317
10105 6.72941555 6.74731135 6.9296393 6.82771295 7.1666277 7.1487591
10106 7.27515213 7.10172169 7.2979678 7.19662701 6.9338561 7.1420646
101060200 2.95025369 3.16337812 3.0613309 2.88145559 2.4639644 2.8095749
101060691 3.48157824 3.16337812 3.5486227 3.02479165 2.4050705 2.3947708
10109 8.31588125 8.40901039 8.1368160 8.27314099 8.0320023 7.8641780
10112 5.01001439 5.16860938 5.0558676 4.47575778 6.1994921 5.6854869
10113 6.10140484 6.08222245 5.8324259 6.03588388 6.2795454 6.3127620
10114 8.06310783 8.11353937 8.4292574 8.61934019 8.1510309 8.6504511
101154753 0.53954562 0.34752647 -0.5543974 -0.06715709 1.1420275 0.8116741
10116 7.87064687 7.96191192 8.1695965 8.38698629 7.9812459 8.6991506
10117 0.72765460 0.75521570 -0.1194806 0.98610034 2.1420349 2.5101762
1012 7.20957960 7.38062591 7.3518589 7.32913924 6.7478918 6.1035667
10121 6.18003844 6.37001931 6.1276097 6.07484489 6.2998940 6.2724624
10123 7.34327893 7.39494337 7.3894506 7.59151352 6.0099382 6.2887176
DMSO_2_H6 TUN_24_H6 THA_24_H6 DOX_24_H6 NUTL_24_H6 DMSO_24_H6
100 2.43793980 3.67717935 3.2533550 4.19568603 3.2588629 3.5118694
1000 11.30820170 11.66244996 11.6879294 9.66364566 11.3650394 11.1268342
10000 5.45919637 6.36656505 6.4176280 5.52890199 5.8895967 5.7718266
10001 4.39044533 4.53298712 4.7006684 5.83036541 4.5213207 4.4972204
10003 5.98367546 5.97252212 5.6179133 6.07959363 6.7022145 5.7323126
100037417 3.09245991 2.07938214 2.2826436 1.91168399 3.0972291 3.5382965
100049716 0.99767049 2.68201555 2.6075472 2.17915803 2.7067831 2.6658544
10005 4.18372712 4.46954256 4.5115172 4.27397682 4.2252133 4.5501241
10006 6.03248605 6.62423991 6.5858025 6.35192825 6.5698115 6.2901374
10007 4.99370302 5.29595693 5.0608254 6.58860666 5.6541219 5.2630319
10009 4.97954757 5.09199744 5.1633358 5.19842238 5.3368009 5.0314900
100093630 3.54105773 4.95045686 4.3643354 3.44832665 3.7471252 3.2169768
1001 6.09946972 6.08263247 6.0078292 7.22284955 7.2461392 6.1168520
10010 5.20312059 5.05789273 5.1731973 6.03532343 5.1760594 5.0499753
100101267 0.99767049 2.43869013 1.5357153 2.00645986 2.1032091 2.4037110
100101467 4.69766693 5.21315720 5.3135609 4.84792618 4.9100669 4.6625083
10011 4.86100728 5.31773764 5.1027076 5.42120528 5.3796193 4.9253566
100113386 2.43793980 0.71069716 0.5105031 2.92496211 1.7146166 2.5143464
100113397 1.94982044 0.71069716 0.7401441 -0.07050463 0.3253876 1.4652192
100113407 4.30220497 3.92434177 4.5872303 6.08503310 4.3878590 3.6874347
100125288 1.20655264 3.26375572 2.1289848 3.34330014 2.5152597 1.6703038
100127983 2.35264327 1.93653486 3.0109646 1.31332003 2.7509392 2.7586853
100128006 2.98319041 2.32857294 2.9662895 2.53760523 3.2891250 2.5143464
100128016 1.82870574 1.59980854 1.9569875 2.00645986 0.5419215 1.5714026
100128025 0.75334040 0.71069716 0.2372591 1.91168399 0.5419215 0.7711668
100128054 0.75334040 1.28298262 0.9382017 0.78133143 0.7301570 1.0897770
100128071 0.99767049 1.28298262 0.2372591 4.15488752 1.3047779 0.7711668
100128191 1.69648385 2.14582969 1.5357153 4.15488752 3.6100035 2.7586853
100128252 1.38898133 1.85943145 1.7616737 1.91168399 1.4186574 2.2200150
100128379 0.08885748 0.30822628 -1.1799596 -0.52111235 0.7301570 -0.2123573
100128398 4.32477617 5.22088392 5.3046165 5.91831297 4.9766609 4.2317400
100128494 2.26198508 2.43869013 2.9201867 3.75171637 3.7028504 2.7130164
100128569 1.82870574 2.85086724 2.4215004 1.58307073 1.7146166 2.0831183
100128640 1.94982044 1.50173248 1.6531137 4.61209235 1.4186574 0.3616422
100128682 1.94982044 2.20935108 2.0455479 1.15682197 0.7301570 2.6170985
100128731 5.56726331 6.37004381 6.3055329 6.90690926 6.2192316 6.1386064
100128766 0.75334040 -0.25192668 -0.5412829 -0.52111235 -1.1799596 0.5808870
100128782 2.16524571 2.63652331 2.8725618 3.26877892 3.0972291 2.4600889
100128822 3.24225770 3.07203204 2.9201867 4.21566062 2.6612328 2.6658544
100128833 2.92528680 2.76891026 2.4215004 2.71647639 2.5655764 2.5666370
100128881 2.80200357 2.49074927 2.0455479 3.48170249 2.4090343 2.3450399
100128893 6.15720606 5.80272047 6.1791033 6.91303891 6.1631470 6.2823410
100129001 0.99767049 0.30822628 0.9382017 -0.52111235 0.3253876 0.1030030
100129013 1.69648385 1.15976496 1.4079105 1.70112283 1.5242018 2.0831183
100129029 0.45902181 0.87640885 -0.1001200 0.27235211 -0.2392554 0.7711668
100129060 4.25597472 3.48522615 3.6702910 3.01889736 3.9875456 3.7565945
100129075 2.16524571 2.68201555 2.6645879 4.19568603 3.5362239 2.6170985
100129195 2.73617217 2.68201555 2.7723192 3.75171637 3.5107678 2.4037110
100129203 0.08885748 -0.25192668 -0.1001200 6.69559636 1.7146166 0.7711668
100129250 0.45902181 1.50173248 2.4215004 3.19019771 2.5152597 1.6703038
100129259 -0.41034056 0.05516694 1.5357153 -1.17995959 0.3253876 -0.6165145
100129361 5.69404086 5.42196589 5.6814797 4.69979661 6.0616186 5.7884354
100129398 0.45902181 -0.64257408 0.2372591 1.81024143 0.3253876 0.5808870
100129434 0.75334040 1.39649960 1.9569875 2.87559668 1.1811328 1.3505953
100129461 -0.41034056 0.05516694 0.5105031 1.31332003 0.0705154 0.1030030
100129484 0.75334040 1.59980854 2.0455479 1.31332003 0.7301570 2.0831183
100129550 4.32477617 4.24545331 4.3294841 5.55265351 4.1447524 3.4575169
100129583 2.06155030 1.77797351 2.2826436 0.78133143 2.7509392 1.7628578
100129662 0.99767049 1.59980854 1.8626333 3.30652064 1.8828045 -0.2123573
100129707 0.99767049 1.50173248 -0.1001200 0.54917215 0.7301570 1.2260722
100129716 1.38898133 1.77797351 1.7616737 1.15682197 1.4186574 1.4652192
100129726 0.08885748 0.52345119 -0.1001200 3.14924147 1.5242018 0.3616422
100129774 3.57910689 4.18353595 3.6978791 2.47268886 3.7471252 3.8439342
100129781 0.75334040 0.71069716 -0.1001200 0.54917215 -1.1799596 -0.2123573
100129792 -0.41034056 1.15976496 1.2676735 -1.17995959 1.4186574 1.0897770
100129794 2.16524571 1.69163958 2.4215004 0.98125850 2.5655764 1.9318566
100129842 -1.17995959 0.30822628 -0.1001200 -0.52111235 1.3047779 0.3616422
100129917 2.43793980 3.53566139 3.2900708 1.31332003 2.2334154 1.7628578
100129924 1.38898133 1.15976496 -0.1001200 3.44832665 0.8966431 -0.6165145
100129940 1.55090994 -1.17995959 0.5105031 1.81024143 1.0458890 0.3616422
100129995 2.43793980 2.14582969 1.2676735 1.31332003 0.5419215 2.2200150
10013 6.20056720 6.23157251 6.7562214 6.88524805 6.1384269 6.1769563
100130111 -1.17995959 2.07938214 0.7401441 -0.07050463 0.0705154 1.0897770
100130197 0.99767049 0.05516694 0.2372591 -0.07050463 0.5419215 0.1030030
100130335 3.97125619 3.69947263 3.7249496 3.72409232 3.5612387 3.5642483
100130348 2.35264327 3.07203204 3.5238345 2.65928184 2.2943615 2.1531898
100130357 0.08885748 0.30822628 1.7616737 1.81024143 2.5655764 1.3505953
100130466 2.98319041 3.07203204 3.5543394 3.06366670 3.9117715 3.0059528
100130476 -0.41034056 -0.25192668 0.2372591 2.59972593 0.3253876 -1.1799596
100130522 2.06155030 0.71069716 0.9382017 3.41416035 0.0705154 0.9392495
100130550 0.99767049 -1.17995959 -1.1799596 0.27235211 0.8966431 0.3616422
100130564 3.09245991 3.07203204 2.6645879 2.25832660 3.5858271 3.0433373
100130581 0.08885748 -0.64257408 0.9382017 -0.07050463 0.3253876 0.7711668
100130691 1.94982044 1.93653486 2.1289848 2.33337583 1.9600750 1.7628578
100130705 4.74863957 5.11705709 4.9273487 2.97269413 2.1032091 2.5143464
100130748 1.94982044 1.02503241 0.5105031 2.47268886 2.1032091 1.5714026
100130750 1.38898133 2.20935108 2.2826436 2.00645986 1.3047779 2.2200150
100130855 1.38898133 1.85943145 1.4079105 2.97269413 2.1032091 1.7628578
100130958 0.99767049 0.71069716 0.9382017 1.91168399 -0.6342556 0.1030030
100131017 2.98319041 2.07938214 2.4215004 2.92496211 2.5152597 2.5666370
100131031 2.92528680 2.58954975 2.3537420 -0.07050463 1.6225484 1.9318566
100131033 1.38898133 1.59980854 1.6531137 3.10708849 2.1032091 2.2200150
100131067 2.59474859 3.72142666 2.9201867 4.79580362 3.7687632 2.4037110
100131089 3.33412514 3.53566139 3.9933570 2.87559668 4.1774772 3.5382965
100131094 1.20655264 1.15976496 1.4079105 0.78133143 0.0705154 1.2260722
100131138 5.12810577 5.81808393 5.6465113 4.84792618 4.1447524 5.4555849
100131187 2.06155030 1.50173248 2.3537420 3.23002327 2.5655764 2.7130164
100131193 3.94235439 2.72611702 2.5481580 1.81024143 3.5107678 4.0960053
100131211 2.51847362 2.89016343 3.3608129 2.97269413 3.9310914 3.2809749
100131213 1.20655264 2.00972576 1.4079105 3.51432364 0.7301570 1.0897770
100131471 1.94982044 2.20935108 2.5481580 1.45449086 2.1697807 2.6170985
100131656 3.65232092 2.96568356 3.7249496 4.82210028 4.0058832 3.1838807
100131685 0.45902181 1.59980854 1.4079105 0.78133143 0.7301570 0.1030030
100131691 0.99767049 2.32857294 2.7194589 5.37754415 2.7067831 1.4652192
100131740 0.99767049 0.71069716 -0.1001200 1.81024143 1.0458890 0.5808870
100131801 1.94982044 2.85086724 3.0963671 3.80542658 3.2891250 3.0433373
100131827 -1.17995959 -0.25192668 -0.1001200 1.45449086 0.3253876 0.7711668
100131828 0.45902181 1.02503241 0.2372591 2.09539151 0.8966431 1.3505953
100131940 0.99767049 2.58954975 1.6531137 2.09539151 1.8828045 1.7628578
100132074 0.99767049 1.15976496 1.4079105 1.81024143 0.8966431 2.1531898
100132086 0.08885748 0.87640885 -0.5412829 -1.17995959 -0.6342556 -0.2123573
100132116 6.38370815 4.40317908 3.5842126 5.18834960 5.5265683 6.1769563
100132126 0.45902181 -0.25192668 -0.5412829 -0.07050463 0.7301570 1.3505953
100132215 1.38898133 1.02503241 0.9382017 2.59972593 1.3047779 0.9392495
100132537 1.38898133 1.39649960 0.9382017 1.70112283 1.4186574 2.0094690
100132609 0.99767049 0.05516694 1.1123226 -0.07050463 0.7301570 0.7711668
100132659 0.75334040 0.30822628 1.2676735 0.54917215 0.8966431 1.0897770
100132891 -0.41034056 1.77797351 1.6531137 0.27235211 -0.2392554 0.3616422
100132972 -1.17995959 1.50173248 2.0455479 -1.17995959 0.3253876 1.0897770
100133234 -1.17995959 0.87640885 0.5105031 -0.07050463 0.0705154 -0.2123573
100133286 -0.41034056 -0.64257408 0.7401441 -0.52111235 -1.1799596 -0.2123573
100133315 -0.41034056 0.71069716 0.9382017 2.65928184 1.4186574 0.1030030
100134934 1.38898133 1.77797351 2.6075472 1.70112283 1.5242018 1.6703038
10014 6.76004490 6.21232169 6.4864766 6.55372240 6.6093253 6.8632680
100144603 -1.17995959 -0.64257408 -0.1001200 1.70112283 0.0705154 -0.2123573
100144748 0.75334040 1.50173248 1.5357153 6.32459743 1.5242018 0.5808870
10015 7.61781964 7.56898567 7.7115882 7.13904102 7.8514138 7.7546316
10016 5.00772093 4.84441055 4.8309692 6.21475303 4.9951365 4.8323092
100170229 0.45902181 0.71069716 -0.5412829 1.31332003 1.1811328 0.5808870
100170841 3.72199823 3.90528736 4.0797774 6.84092482 2.6141973 4.4140393
10018 4.08139954 4.48245664 4.7276871 6.13832869 4.7120920 3.8649673
100188847 1.20655264 1.69163958 2.0455479 1.70112283 1.6225484 1.2260722
10019 4.30220497 4.76207527 5.2404028 6.13308686 3.9875456 4.4282401
100190938 2.06155030 2.63652331 2.9201867 2.65928184 2.0334164 2.6170985
1002 0.75334040 -0.25192668 -1.1799596 -0.07050463 1.1811328 -0.2123573
10020 3.61617829 3.45933155 4.1809958 3.48170249 3.3187653 3.6874347
10021 8.03204648 7.30025399 7.7516287 6.97880018 8.4371471 8.0742777
10023 2.16524571 2.32857294 2.8233110 5.93648106 3.1640709 1.4652192
10024 4.27927501 4.08537296 3.3258754 5.15770228 5.8796872 4.2317400
10026 5.48948101 6.12442652 6.4341257 6.09585089 6.8717723 5.8156987
100268168 0.99767049 1.93653486 2.3537420 2.33337583 -0.2392554 0.1030030
100270804 2.16524571 2.00972576 2.6075472 2.00645986 2.8353927 1.5714026
100270827 0.45902181 1.15976496 1.5357153 2.00645986 0.8966431 0.7711668
100270840 4.05464197 4.19926619 4.1005972 3.75171637 4.1612076 3.9851062
100270854 4.62677494 4.87411387 4.2384846 4.69979661 4.4561326 4.9051918
100270865 5.21525243 5.16590717 5.3400663 5.07264295 4.7560883 5.3174524
100271271 2.16524571 2.92841759 3.0109646 3.48170249 3.0972291 3.5382965
100271332 -1.17995959 0.30822628 -1.1799596 -0.07050463 -0.2392554 -1.1799596
100271415 0.75334040 2.14582969 1.5357153 3.23002327 2.6141973 2.1531898
100271479 -1.17995959 0.52345119 0.5105031 0.98125850 0.5419215 0.7711668
100271884 0.75334040 -1.17995959 -1.1799596 -1.17995959 -0.6342556 -1.1799596
100272147 3.03885942 1.69163958 3.1769953 3.85720877 2.5655764 2.2838814
100286844 1.94982044 1.59980854 1.5357153 3.19019771 1.8828045 1.2260722
100287015 1.38898133 1.69163958 2.1289848 3.19019771 1.6225484 1.5714026
100287049 1.55090994 1.28298262 1.7616737 2.00645986 0.7301570 1.5714026
100287074 1.55090994 0.30822628 0.2372591 -0.07050463 1.1811328 1.3505953
100287616 1.20655264 2.76891026 2.0455479 1.81024143 2.6141973 2.2838814
100287722 0.75334040 0.87640885 1.2676735 1.31332003 0.8966431 0.7711668
100287808 1.38898133 0.30822628 1.1123226 5.05057076 0.7301570 -0.2123573
100287837 0.75334040 1.50173248 -1.1799596 1.15682197 1.0458890 -1.1799596
100287896 2.26198508 3.10580799 3.0109646 0.54917215 3.1310371 2.4037110
100287902 0.45902181 0.05516694 -0.1001200 2.17915803 -0.6342556 0.9392495
100287928 3.24225770 2.96568356 2.6075472 3.66720493 2.8353927 2.8459023
100287932 5.58607085 5.09199744 5.2590430 5.57602032 5.5202037 5.2787912
100288001 1.94982044 2.14582969 2.4862187 2.17915803 2.3528370 2.4037110
100288073 3.28892254 6.21232169 6.4943646 2.00645986 2.9534699 2.5666370
100288123 1.55090994 1.02503241 1.1123226 1.81024143 1.1811328 1.8498304
100288198 1.38898133 3.07203204 2.5481580 3.57743316 1.3047779 1.9318566
100288241 -1.17995959 -1.17995959 -1.1799596 -1.17995959 -1.1799596 -1.1799596
100288413 3.28892254 3.13881125 2.6645879 3.06366670 3.9310914 3.0433373
100288513 -0.41034056 -0.25192668 -1.1799596 0.27235211 -1.1799596 -0.2123573
100288842 1.38898133 2.68201555 2.5481580 0.98125850 2.0334164 1.6703038
100289061 1.20655264 -0.25192668 0.7401441 2.82448205 0.7301570 0.9392495
100289095 0.08885748 0.71069716 0.7401441 1.70112283 1.9600750 0.3616422
100289133 3.09245991 2.89016343 2.5481580 2.65928184 2.5655764 3.8009252
100289178 2.35264327 2.54099511 2.9201867 2.65928184 3.2891250 2.5666370
100289211 1.38898133 0.71069716 0.5105031 -1.17995959 2.1032091 1.3505953
100289259 1.38898133 2.14582969 1.6531137 0.54917215 1.0458890 0.9392495
100289274 2.66719261 5.14980690 5.4084550 4.72788527 3.8317958 2.7130164
100289341 2.51847362 0.87640885 1.6531137 3.57743316 0.0705154 0.7711668
100289373 1.82870574 2.58954975 2.5481580 4.38398091 1.8828045 1.5714026
100289388 1.38898133 2.43869013 2.7723192 2.82448205 2.5152597 0.7711668
100289414 1.20655264 1.02503241 1.1123226 -0.07050463 0.8966431 -1.1799596
100289635 5.08908309 5.73418744 5.8751646 4.00225818 5.8239338 5.4062193
100289640 1.94982044 2.20935108 2.2826436 2.09539151 2.1032091 2.7130164
100289678 3.03885942 3.26375572 3.4608187 4.15488752 2.8758351 2.5666370
100293516 4.25597472 3.48522615 3.3949242 2.71647639 3.6337814 3.5118694
100294362 0.99767049 2.27019320 1.4079105 1.81024143 1.3047779 0.3616422
1003 2.86496165 3.35083899 2.5481580 1.81024143 3.0626099 3.1153197
100302692 2.43793980 2.32857294 2.9201867 2.65928184 2.4631245 2.4037110
100302736 1.55090994 3.35083899 3.5238345 0.98125850 1.5242018 1.0897770
100303728 3.61617829 2.72611702 2.9201867 2.97269413 3.2891250 3.0059528
100303755 2.06155030 1.28298262 1.1123226 -1.17995959 1.5242018 1.9318566
100312828 0.08885748 1.69163958 1.7616737 0.54917215 1.3047779 0.9392495
100312850 -1.17995959 -0.25192668 0.2372591 -1.17995959 1.3047779 0.9392495
10036 4.95081305 4.34779882 3.6978791 4.29290323 6.2152971 5.0221577
100379345 1.55090994 2.14582969 1.5357153 0.54917215 0.5419215 1.5714026
10038 5.85776980 5.97709173 5.8871974 3.85720877 6.5667267 6.1895164
100381270 1.20655264 0.30822628 1.8626333 0.54917215 1.3047779 0.3616422
10039 3.28892254 3.90528736 4.2937701 2.09539151 3.3187653 3.7789301
1004 2.43793980 1.28298262 1.2676735 1.91168399 1.7146166 2.0094690
10040 3.91286173 4.72994638 4.9156476 3.19019771 4.3738078 3.9262870
100418710 1.20655264 1.15976496 1.2676735 2.25832660 0.7301570 1.5714026
100418735 1.82870574 0.52345119 1.5357153 1.58307073 1.8011600 1.3505953
100418744 1.20655264 1.50173248 -0.1001200 2.17915803 1.6225484 1.5714026
100418770 -0.41034056 -0.25192668 -1.1799596 -1.17995959 -1.1799596 -0.6165145
100418781 2.43793980 2.14582969 1.7616737 0.54917215 1.8011600 2.8029528
100418819 2.73617217 1.39649960 1.6531137 1.45449086 1.6225484 2.1531898
100418829 1.55090994 1.28298262 1.2676735 -1.17995959 0.5419215 1.7628578
100418888 0.08885748 0.71069716 1.6531137 0.78133143 0.8966431 0.1030030
100418889 3.24225770 2.68201555 2.4215004 2.40471328 2.9534699 2.6658544
100418910 0.45902181 -0.64257408 0.2372591 0.54917215 -1.1799596 1.0897770
100418919 0.45902181 2.58954975 2.7194589 2.53760523 2.8353927 2.2200150
100419028 2.35264327 1.15976496 2.4215004 2.25832660 1.7146166 1.8498304
100419185 1.38898133 0.87640885 1.5357153 -1.17995959 0.3253876 0.9392495
100419416 0.75334040 1.15976496 0.5105031 1.45449086 1.8828045 0.5808870
100419515 0.08885748 -1.17995959 -0.1001200 -1.17995959 -1.1799596 0.3616422
100419645 -0.41034056 -0.25192668 -0.1001200 -1.17995959 -0.2392554 0.1030030
100419758 1.94982044 1.28298262 1.4079105 2.09539151 2.3528370 1.0897770
100419928 2.26198508 2.54099511 2.9662895 1.31332003 2.4631245 2.5143464
10042 4.78164752 4.44336234 4.9618934 4.88581835 5.6482970 5.4762352
100420028 -1.17995959 1.39649960 1.1123226 1.91168399 0.0705154 -0.6165145
100420050 0.08885748 -0.25192668 -0.1001200 1.15682197 1.6225484 0.1030030
100420110 2.73617217 2.89016343 2.9201867 3.26877892 2.3528370 2.2200150
100420187 -1.17995959 -0.25192668 0.9382017 -0.07050463 -0.6342556 -0.2123573
100420259 4.49365865 3.94314779 4.0586527 3.66720493 4.1447524 4.6260111
100420307 0.08885748 0.05516694 -0.1001200 0.98125850 0.0705154 0.3616422
100420341 5.66779641 7.32555824 7.1820473 4.87329788 5.7222464 5.0499753
100420423 1.55090994 0.87640885 0.5105031 1.70112283 1.1811328 1.2260722
100420591 -0.41034056 0.30822628 0.2372591 0.27235211 0.0705154 1.2260722
100420707 2.66719261 3.10580799 2.7723192 2.09539151 2.9151746 2.6170985
100420752 1.82870574 2.58954975 2.2826436 1.58307073 1.6225484 1.0897770
100420869 4.47359827 4.08537296 4.1413565 5.18834960 4.7232175 4.2317400
100420981 6.04613389 5.95409756 6.0405206 6.02404031 6.0484101 5.8894041
100421093 3.99959035 3.86640654 3.6421650 4.33002708 3.6571737 4.0041916
100421109 -0.41034056 0.30822628 -0.5412829 0.54917215 1.0458890 -0.2123573
100421160 0.08885748 1.28298262 0.9382017 0.78133143 1.3047779 1.5714026
100421175 -1.17995959 0.30822628 1.1123226 2.00645986 2.4090343 1.2260722
100421246 -0.41034056 0.05516694 -0.1001200 0.54917215 0.0705154 0.5808870
100421311 1.38898133 1.85943145 1.9569875 1.70112283 1.3047779 1.8498304
100421372 2.66719261 2.14582969 1.9569875 3.37916525 2.5655764 1.3505953
100421400 2.26198508 1.69163958 2.2078590 2.17915803 2.1697807 2.8459023
100421415 1.55090994 -0.25192668 1.1123226 -1.17995959 1.1811328 -0.2123573
100421429 0.75334040 -1.17995959 0.2372591 -0.07050463 0.3253876 -0.2123573
100421465 1.55090994 0.05516694 1.2676735 -0.07050463 1.1811328 0.7711668
100421468 1.82870574 1.69163958 1.9569875 2.00645986 2.6612328 1.9318566
100421506 1.55090994 -0.25192668 0.9382017 2.25832660 0.7301570 1.3505953
100421569 1.55090994 1.02503241 1.1123226 1.91168399 1.1811328 0.3616422
100421595 -0.41034056 -0.25192668 -1.1799596 -1.17995959 -1.1799596 -1.1799596
100421794 -1.17995959 -0.25192668 -0.5412829 -1.17995959 -0.6342556 -1.1799596
100422106 1.20655264 0.71069716 1.4079105 1.45449086 1.4186574 1.8498304
100422338 2.26198508 2.58954975 2.4862187 2.71647639 2.9151746 2.6170985
100422546 -1.17995959 2.20935108 1.1123226 2.09539151 1.5242018 0.3616422
100422561 4.13347038 3.92434177 4.2195751 2.97269413 3.5612387 3.4849491
10043 5.59538347 5.67354153 5.5664606 5.11579940 5.7166906 5.7208212
10044 1.20655264 1.02503241 0.5105031 2.71647639 1.4186574 1.3505953
10045 0.08885748 0.52345119 0.7401441 1.31332003 -0.2392554 0.5808870
10046 0.75334040 0.52345119 -0.1001200 0.27235211 1.4186574 0.3616422
10048 6.89437588 6.47715366 6.7230390 7.20047124 7.1545941 7.0050192
10049 5.94777116 6.07412638 5.9343493 7.46111154 6.2503275 5.9497151
100499177 3.19403286 2.96568356 3.0109646 3.66720493 3.4315879 3.0433373
100499483 2.43793980 2.49074927 2.7194589 2.53760523 3.5612387 2.8459023
1005 -1.17995959 0.30822628 -0.5412829 2.92496211 1.3047779 -1.1799596
100500719 0.45902181 0.71069716 -0.1001200 1.31332003 -1.1799596 -1.1799596
100505385 3.14414011 1.93653486 2.4215004 2.97269413 3.1640709 1.7628578
100505501 0.99767049 2.07938214 2.2078590 3.41416035 1.0458890 2.1531898
100505538 0.75334040 1.39649960 2.2078590 4.31158456 2.0334164 1.0897770
100505549 1.20655264 1.69163958 0.9382017 0.54917215 1.6225484 0.1030030
100505573 6.35658075 5.85330826 6.0934121 7.06940035 6.8104995 6.9883431
100505576 3.28892254 2.54099511 2.8233110 3.72409232 3.3187653 2.6170985
100505616 0.75334040 0.30822628 1.1123226 1.70112283 1.1811328 -0.2123573
100505624 1.38898133 1.28298262 1.4079105 -0.52111235 1.6225484 1.8498304
100505635 -0.41034056 -1.17995959 -1.1799596 -0.07050463 -1.1799596 0.3616422
100505641 2.26198508 1.59980854 2.8725618 2.47268886 3.3762792 1.8498304
100505648 2.59474859 2.92841759 3.6134798 3.23002327 2.7509392 1.7628578
100505678 3.28892254 2.00972576 2.9201867 2.59972593 3.2588629 2.8029528
100505696 4.73184800 5.24381883 5.6814797 5.76409231 5.2080895 4.1484136
100505715 -1.17995959 1.28298262 0.5105031 0.27235211 1.1811328 1.0897770
100505738 3.33412514 2.68201555 2.9201867 3.34330014 2.6612328 2.4037110
100505741 1.20655264 1.28298262 1.2676735 2.92496211 1.3047779 0.5808870
100505758 3.97125619 3.82644878 3.4608187 3.60798198 3.9875456 3.8439342
100505761 2.80200357 4.10220433 4.5872303 3.19019771 3.4848544 3.3119399
100505771 3.14414011 1.28298262 1.9569875 2.00645986 1.8828045 1.7628578
100505783 2.66719261 2.96568356 3.5842126 5.73670647 2.6141973 2.5143464
100505806 4.82978525 6.42124299 6.0724876 4.79580362 5.0403161 5.0127647
100505812 1.55090994 2.68201555 1.5357153 -0.07050463 1.4186574 0.9392495
100505832 1.82870574 1.02503241 2.3537420 3.30652064 1.9600750 1.6703038
100505854 4.05464197 5.07504586 4.3643354 6.60762843 3.8921893 3.5382965
100505876 4.58997832 4.66345895 4.5872303 4.58163137 4.7008800 4.3705782
100505894 3.75561427 3.07203204 3.4608187 3.44832665 3.5107678 3.4575169
100505933 -0.41034056 0.87640885 1.2676735 1.31332003 0.5419215 1.2260722
100505994 -1.17995959 1.59980854 2.5481580 0.98125850 0.0705154 0.9392495
100506020 0.08885748 0.05516694 0.5105031 -1.17995959 1.1811328 0.9392495
100506033 5.03535463 4.98716499 4.6450640 5.14734011 5.4143554 4.7442409
100506054 -1.17995959 2.49074927 2.1289848 2.47268886 1.8828045 2.1531898
100506068 1.94982044 1.02503241 0.9382017 2.53760523 2.3528370 1.6703038
100506070 1.82870574 1.28298262 1.4079105 0.54917215 1.9600750 0.7711668
100506083 -0.41034056 1.28298262 1.8626333 0.78133143 1.8828045 0.3616422
100506100 0.75334040 -0.25192668 -0.1001200 -0.07050463 1.0458890 0.7711668
100506119 1.82870574 1.93653486 1.6531137 2.00645986 0.7301570 1.0897770
100506127 1.82870574 2.32857294 2.0455479 1.58307073 3.5612387 2.1531898
100506142 0.99767049 0.87640885 1.6531137 0.54917215 0.7301570 0.9392495
100506144 -1.17995959 2.27019320 1.2676735 -0.52111235 1.7146166 0.5808870
100506161 0.75334040 1.28298262 0.9382017 1.45449086 1.7146166 -0.2123573
100506211 4.15881758 2.07938214 1.1123226 -0.07050463 2.2334154 5.5879787
100506235 1.55090994 1.15976496 1.6531137 3.85720877 2.2943615 1.3505953
100506258 1.38898133 2.20935108 2.7723192 1.45449086 2.4631245 1.2260722
100506282 3.03885942 2.20935108 1.8626333 3.06366670 2.7509392 2.5143464
100506286 1.20655264 1.15976496 2.8233110 3.83154999 2.6141973 1.7628578
100506302 0.75334040 0.87640885 2.0455479 1.81024143 2.1032091 1.7628578
100506321 -1.17995959 0.71069716 1.1123226 1.31332003 0.3253876 0.7711668
100506325 0.08885748 1.50173248 1.2676735 1.45449086 1.4186574 0.5808870
100506343 -1.17995959 1.15976496 -0.1001200 2.00645986 1.3047779 0.9392495
100506365 5.39665049 5.67354153 5.7555509 4.72788527 5.5641773 5.6679463
100506368 0.08885748 0.87640885 0.2372591 0.54917215 1.0458890 1.0897770
100506380 4.25597472 4.36184445 4.1809958 3.44832665 4.3738078 4.4423025
100506392 3.78846483 3.98004000 3.6978791 2.82448205 3.4041986 3.8439342
100506394 1.82870574 1.69163958 0.9382017 3.34330014 1.8828045 0.7711668
100506411 2.51847362 1.59980854 1.2676735 4.11290160 2.1697807 1.3505953
100506433 2.66719261 2.72611702 3.6421650 2.47268886 4.1935654 2.7586853
100506462 -1.17995959 -0.64257408 0.5105031 4.19568603 1.0458890 0.9392495
100506469 5.47945660 4.99619792 5.4496081 4.50254042 5.1841339 4.5758659
100506495 -0.41034056 -0.25192668 0.5105031 3.54622345 1.8011600 0.9392495
100506504 2.26198508 1.69163958 1.8626333 2.97269413 1.6225484 1.8498304
100506540 1.38898133 0.52345119 0.9382017 2.87559668 2.3528370 0.9392495
100506581 0.08885748 0.71069716 1.7616737 0.78133143 1.1811328 1.3505953
100506606 1.38898133 1.50173248 1.8626333 2.17915803 0.3253876 1.2260722
100506658 2.26198508 4.19926619 3.9481247 3.72409232 1.8828045 2.5666370
100506668 -1.17995959 2.27019320 3.1372444 3.80542658 2.2943615 2.6658544
100506686 2.51847362 1.85943145 1.8626333 1.70112283 2.2334154 1.5714026
100506691 0.75334040 1.28298262 2.5481580 -0.07050463 0.7301570 0.3616422
100506696 2.73617217 2.96568356 2.7194589 4.17543099 1.8011600 3.3119399
100506697 0.08885748 2.32857294 1.4079105 -1.17995959 1.0458890 0.3616422
100506710 6.47734862 7.07579833 7.3059909 7.09118849 6.6331143 6.2427142
100506713 0.45902181 -0.25192668 -0.5412829 -0.07050463 0.5419215 0.3616422
100506725 4.05464197 3.65453616 2.7194589 2.47268886 3.9310914 3.5118694
100506731 1.94982044 2.38468190 2.0455479 3.90719658 2.2943615 1.4652192
100506757 0.08885748 0.52345119 0.5105031 1.91168399 0.5419215 0.3616422
100506779 0.08885748 -0.25192668 -1.1799596 2.00645986 0.0705154 0.1030030
100506804 0.45902181 0.30822628 0.5105031 1.91168399 1.1811328 0.7711668
100506826 1.55090994 1.02503241 1.2676735 0.78133143 1.7146166 1.5714026
100506844 3.14414011 3.82644878 4.0372142 3.41416035 3.5107678 3.1838807
100506866 7.41450045 6.94662495 6.5254923 5.18834960 6.8000295 7.1872366
100506881 0.45902181 1.02503241 -0.1001200 4.71390930 0.0705154 0.3616422
100506885 -1.17995959 0.30822628 1.2676735 1.15682197 0.3253876 0.7711668
100506911 1.20655264 0.30822628 0.2372591 0.27235211 1.0458890 1.3505953
100506922 2.26198508 3.17107637 3.2156803 4.95874166 2.6612328 2.6658544
100506930 4.51344391 4.69708564 4.7410090 4.25479882 4.8299940 4.4423025
100506994 0.45902181 0.30822628 0.5105031 1.81024143 1.4186574 0.9392495
100507003 3.28892254 2.85086724 3.7776127 1.15682197 1.8011600 2.4600889
100507032 0.75334040 2.63652331 2.4215004 2.09539151 2.0334164 2.0094690
100507034 2.80200357 3.63153192 3.3258754 4.02507613 3.3478088 2.6170985
100507050 0.08885748 -1.17995959 -1.1799596 2.09539151 -1.1799596 1.3505953
100507053 2.43793980 1.93653486 1.1123226 3.06366670 1.9600750 2.2838814
100507057 -1.17995959 2.38468190 2.3537420 1.81024143 1.8828045 0.3616422
100507062 1.55090994 0.30822628 0.5105031 4.46964868 1.3047779 0.3616422
100507071 0.99767049 0.05516694 1.2676735 0.54917215 0.5419215 0.7711668
100507156 3.42049124 2.58954975 2.1289848 3.14924147 2.1032091 2.7586853
100507171 3.14414011 3.76435720 3.7776127 2.65928184 2.8758351 3.0433373
100507173 0.08885748 1.28298262 0.9382017 0.54917215 0.8966431 -0.6165145
100507178 1.20655264 0.05516694 1.1123226 1.58307073 1.8828045 0.5808870
100507244 -0.41034056 0.05516694 -0.5412829 0.27235211 1.3047779 0.5808870
100507246 2.73617217 2.54099511 2.6075472 1.58307073 1.8828045 2.8459023
100507250 0.08885748 0.87640885 -0.1001200 -0.52111235 0.3253876 0.5808870
100507254 -1.17995959 0.05516694 -1.1799596 -1.17995959 -0.6342556 -0.2123573
100507266 0.75334040 1.85943145 1.4079105 1.70112283 -0.6342556 1.5714026
100507290 5.04897550 4.44336234 4.9956301 4.33002708 5.0579991 5.1390077
100507291 1.94982044 1.77797351 1.6531137 2.00645986 2.1697807 2.4600889
100507303 2.98319041 3.84656599 3.4926706 3.80542658 3.9117715 3.1153197
100507308 1.20655264 0.52345119 1.1123226 2.25832660 1.4186574 0.7711668
100507316 2.16524571 2.58954975 2.8725618 1.91168399 1.5242018 2.2200150
100507331 1.94982044 2.20935108 2.4215004 3.26877892 2.6141973 1.4652192
100507347 0.08885748 1.77797351 1.7616737 3.06366670 1.5242018 1.7628578
100507373 2.06155030 2.27019320 2.2826436 3.06366670 1.9600750 0.1030030
100507392 0.08885748 1.02503241 0.2372591 2.33337583 -1.1799596 0.3616422
100507398 2.35264327 1.59980854 2.7194589 3.51432364 2.2943615 1.0897770
100507401 1.20655264 0.71069716 1.4079105 1.70112283 1.8828045 0.1030030
100507420 0.08885748 -0.25192668 0.9382017 0.54917215 1.4186574 -1.1799596
100507433 1.55090994 1.59980854 1.6531137 3.97907353 2.2943615 2.4600889
100507436 0.99767049 -1.17995959 1.6531137 2.33337583 1.0458890 0.1030030
100507437 2.51847362 2.81047065 2.9201867 1.15682197 2.9151746 2.9281459
100507459 2.43793980 2.68201555 2.4862187 4.38398091 2.1697807 2.4037110
100507463 -1.17995959 0.30822628 -0.1001200 1.91168399 0.0705154 -0.2123573
100507487 2.16524571 2.68201555 3.0109646 3.34330014 2.4090343 0.3616422
100507495 2.98319041 3.07203204 1.4079105 3.97907353 2.3528370 2.1531898
100507516 0.45902181 1.02503241 -0.1001200 -1.17995959 0.3253876 -0.2123573
100507551 2.26198508 1.77797351 1.6531137 2.47268886 1.1811328 1.3505953
100507557 1.20655264 1.28298262 2.5481580 2.40471328 1.4186574 1.3505953
100507564 0.08885748 -0.64257408 -0.1001200 0.98125850 -0.2392554 -1.1799596
100507567 0.75334040 2.20935108 1.8626333 1.45449086 1.0458890 0.7711668
100507588 1.69648385 1.77797351 -0.5412829 0.78133143 -0.2392554 0.9392495
100507599 2.51847362 2.27019320 1.6531137 3.26877892 3.1640709 2.0831183
100507602 2.80200357 2.81047065 2.6075472 2.92496211 2.4631245 3.1153197
100508120 2.43793980 3.45933155 3.2156803 1.31332003 2.5152597 2.3450399
10051 7.40393931 6.74436735 6.5022097 7.19041280 8.9084670 7.5178673
10052 1.94982044 1.77797351 1.8626333 2.25832660 2.0334164 1.6703038
100526737 1.55090994 2.00972576 2.7194589 2.53760523 2.5152597 2.0831183
100526760 0.99767049 1.15976496 0.9382017 0.98125850 1.3047779 0.9392495
100526820 1.38898133 -0.25192668 1.2676735 1.70112283 1.8011600 1.0897770
100526835 4.45325502 3.96171181 3.8284210 0.27235211 4.0769880 3.5897414
100527978 2.06155030 1.69163958 2.3537420 0.54917215 1.4186574 0.5808870
100529145 2.06155030 1.39649960 1.9569875 -0.07050463 1.1811328 1.4652192
100529215 0.08885748 1.02503241 0.5105031 -1.17995959 1.0458890 0.5808870
100532746 4.23229192 3.90528736 4.2755760 5.33252034 4.1935654 3.9851062
100533106 1.82870574 1.59980854 1.4079105 0.54917215 1.4186574 0.7711668
100533182 1.55090994 1.02503241 1.6531137 2.59972593 1.5242018 0.5808870
100533619 0.45902181 0.05516694 1.2676735 4.40152626 0.8966431 -0.2123573
100533629 1.69648385 1.59980854 -0.1001200 1.45449086 1.3047779 1.8498304
100533695 0.08885748 0.71069716 0.5105031 1.91168399 0.3253876 0.1030030
100533970 0.45902181 0.87640885 0.5105031 2.47268886 1.3047779 1.8498304
100534593 1.69648385 1.93653486 0.9382017 2.40471328 2.2334154 1.5714026
10054 5.67659771 5.77674545 5.8071283 5.72281611 6.0919763 5.9644070
10056 5.91839017 5.92127732 6.0724876 5.12638977 6.4510372 5.7773841
10057 7.89358568 7.55224033 7.6721442 8.39834583 8.1116621 7.6509737
10058 5.14088225 5.62777700 5.6465113 5.35970288 4.5958469 5.5560018
10059 7.48633981 6.43791342 6.6294362 6.76840033 7.4574219 7.4323840
1006 4.57122198 3.10580799 4.2195751 2.40471328 3.4848544 4.1136871
10060 5.00772093 4.59375875 4.8058335 5.48019267 4.6781912 4.8535112
100616256 -1.17995959 0.05516694 -0.5412829 2.09539151 1.8828045 1.7628578
10062 1.82870574 2.63652331 3.0542977 1.58307073 2.8758351 1.7628578
10063 3.65232092 3.69947263 3.2533550 3.83154999 3.8921893 3.9262870
100652739 -1.17995959 0.71069716 0.5105031 -0.07050463 0.3253876 -1.1799596
100652758 1.82870574 0.52345119 2.0455479 4.00225818 0.5419215 -0.2123573
100652846 3.03885942 1.15976496 1.5357153 2.25832660 3.2891250 3.0059528
10066 6.44165152 6.58586147 6.5894895 6.29673882 6.3216000 6.5130335
10067 6.36749300 6.74971844 6.7129335 5.75729443 6.4643593 6.3170978
10068 3.42049124 3.17107637 3.6702910 4.84792618 3.6801928 3.4295530
10069 2.73617217 3.53566139 3.4926706 5.55265351 3.1963653 3.3119399
10072 4.58997832 3.65453616 4.1613123 5.73670647 4.7882268 4.9353343
10073 3.33412514 3.26375572 3.3608129 3.48170249 3.8921893 4.2478430
10075 8.52654736 8.81648521 8.9447714 9.02326591 9.2259807 8.7769329
10076 5.19088587 4.75144494 5.3046165 4.46964868 5.4549640 5.0314900
10077 5.42826235 2.89016343 4.5422809 3.06366670 4.4017746 5.0499753
100775107 1.69648385 1.39649960 1.4079105 0.27235211 1.4186574 1.0897770
10078 4.79787255 4.80383019 5.0923505 5.77759272 5.0042863 4.7999103
10079 3.99959035 4.90321795 5.6814797 4.46964868 5.2159871 4.2317400
1008 1.82870574 2.27019320 3.4282477 0.78133143 4.1112680 2.6170985
10081 5.17854651 5.51916882 5.3224502 6.71677508 5.5579768 5.3845344
10082 7.89735537 7.88204296 7.9539501 6.65959261 7.9879750 7.7949177
100820829 5.44895855 4.41669824 4.7930995 4.02507613 6.2920185 5.8264614
10084 5.38595738 5.09199744 5.2215185 4.62708501 5.4212033 5.1476161
100847074 2.16524571 2.14582969 2.5481580 2.09539151 1.8828045 2.2838814
10085 7.72776417 8.48467719 7.8455816 7.73466092 7.5848704 7.5045258
100852407 1.38898133 1.39649960 1.8626333 0.54917215 -0.6342556 0.7711668
100861412 1.55090994 1.59980854 -0.5412829 -0.07050463 1.0458890 0.5808870
100861548 3.99959035 4.65207359 4.9504701 5.68032410 4.1281074 3.9657651
100862671 0.45902181 0.05516694 1.9569875 0.98125850 1.0458890 1.6703038
10087 6.21875888 6.07412638 6.7627673 8.03366055 6.8078891 6.2346565
100873257 0.99767049 0.05516694 0.2372591 -0.07050463 0.5419215 0.1030030
100873333 3.09245991 3.26375572 3.2533550 3.80542658 3.6100035 3.0059528
100873790 4.78164752 3.78535272 3.6421650 5.05057076 4.8504327 4.4972204
100873949 1.38898133 1.15976496 1.5357153 -0.52111235 1.6225484 1.5714026
100873952 -0.41034056 0.71069716 0.7401441 0.78133143 0.0705154 -1.1799596
100873965 1.20655264 1.02503241 2.2078590 2.17915803 2.1032091 2.2838814
100874006 -0.41034056 0.30822628 0.7401441 -0.52111235 -1.1799596 -0.2123573
100874008 0.45902181 0.71069716 -0.1001200 2.33337583 2.3528370 0.5808870
100874014 3.03885942 3.51066415 3.2900708 0.78133143 3.8723377 2.8876101
100874058 0.99767049 1.59980854 0.9382017 0.54917215 1.0458890 0.7711668
100874080 0.45902181 -0.64257408 0.5105031 0.27235211 0.3253876 0.1030030
100874097 1.82870574 2.00972576 1.5357153 1.81024143 1.8011600 0.5808870
100874201 0.99767049 1.39649960 -0.1001200 -0.52111235 0.0705154 0.1030030
100874212 0.75334040 0.71069716 0.9382017 1.70112283 0.7301570 0.1030030
100874217 0.75334040 0.52345119 1.4079105 0.54917215 1.1811328 0.1030030
100874235 1.20655264 0.52345119 0.2372591 1.45449086 1.9600750 1.7628578
100874261 0.08885748 1.02503241 0.7401441 3.75171637 -0.6342556 0.7711668
100874291 0.99767049 -0.64257408 0.5105031 0.54917215 -1.1799596 1.3505953
100874362 1.20655264 2.43869013 2.4862187 4.74172714 2.7937838 1.9318566
100874523 2.35264327 2.20935108 2.2078590 -0.07050463 2.0334164 2.6658544
100885775 5.23921427 4.10220433 3.7776127 3.44832665 4.0418736 5.6619499
100885776 0.99767049 1.85943145 1.9569875 1.45449086 1.1811328 0.7711668
100885848 4.78164752 4.15155137 3.8775006 4.19568603 4.3161933 5.4830535
1009 8.64898988 8.31547564 8.1096959 6.22464377 8.4771279 8.1055425
10090 3.82058400 4.10220433 3.7515214 5.28604602 4.5340121 4.0416211
10092 6.96433061 6.86761449 6.8967648 6.67048839 6.6003023 6.7377592
10093 6.57001130 6.27304126 6.0882094 6.35643348 6.2994709 6.3170978
10094 5.06246897 5.53784752 5.4000816 5.38638273 5.0667600 5.0499753
10095 4.92149458 5.39489963 5.7620998 5.93045042 5.1182366 4.8847412
10097 7.43539359 7.65420183 7.7384050 7.67278840 7.7692629 7.6509737
10098 6.51218374 6.41114748 6.5138980 4.58163137 6.8767629 6.5908444
10099 8.28894709 8.35023643 8.1980801 8.07388335 8.4354570 8.2594119
100996246 -0.41034056 -0.25192668 -1.1799596 -0.52111235 0.7301570 0.7711668
100996251 1.38898133 0.30822628 0.2372591 2.87559668 0.3253876 1.2260722
100996307 0.99767049 -0.64257408 -0.1001200 0.27235211 0.0705154 -0.6165145
100996384 2.66719261 0.87640885 0.7401441 1.81024143 1.4186574 1.4652192
100996419 2.59474859 1.50173248 1.4079105 2.40471328 2.1032091 0.7711668
100996485 1.38898133 1.39649960 1.2676735 2.71647639 2.1697807 2.0831183
100996539 0.45902181 0.30822628 0.9382017 3.10708849 0.3253876 0.5808870
100996579 0.75334040 2.07938214 1.2676735 0.98125850 0.7301570 1.7628578
100996696 3.50197782 2.58954975 1.5357153 1.81024143 2.9907748 2.8029528
100996842 0.45902181 1.02503241 -0.1001200 1.45449086 0.7301570 0.9392495
100996851 0.75334040 0.05516694 0.2372591 0.78133143 0.7301570 -1.1799596
100996939 1.38898133 1.85943145 1.7616737 -1.17995959 1.9600750 1.2260722
101 2.59474859 2.89016343 2.6075472 3.41416035 2.7937838 2.5666370
1010 -1.17995959 -1.17995959 -1.1799596 -1.17995959 -1.1799596 -0.2123573
10100 6.50231638 4.03366757 3.9709181 4.65661084 4.8402495 6.7377592
10101 5.53858413 5.46163636 5.7357239 6.46472073 5.5641773 5.5166697
10102 4.74863957 5.18972561 4.7930995 4.17543099 5.5454953 4.7999103
10103 0.08885748 1.39649960 2.7194589 1.70112283 0.3253876 0.5808870
10105 7.11114227 6.39416304 6.2692134 7.02481135 6.8234810 7.3264295
10106 7.25029195 7.69776495 7.9568075 7.99950315 7.5894375 7.2182149
101060200 3.42049124 3.58439286 3.5238345 2.87559668 3.5362239 2.2200150
101060691 3.09245991 0.71069716 2.6645879 -0.07050463 2.4631245 2.3450399
10109 7.79397166 7.79024996 7.6493633 7.92411686 7.8615187 7.9689326
10112 6.20665661 5.45509991 4.1809958 6.31999152 7.9705744 6.3621748
10113 6.34558533 7.05649679 6.8636530 5.39516748 6.0703576 6.2666206
10114 8.23782992 7.60928221 7.9015248 8.71310615 8.2783880 8.3404893
101154753 0.08885748 0.87640885 0.7401441 0.54917215 0.0705154 0.3616422
10116 7.90111524 7.89175635 8.1032627 6.70974999 7.3430790 8.0342191
10117 2.26198508 2.76891026 3.1372444 3.63789732 1.5242018 2.6658544
1012 6.45194114 7.48965534 7.1942057 6.75481322 6.0790440 6.0587057
10121 6.43128799 5.96333925 5.9343493 6.09585089 6.5068258 6.3132770
10123 5.68534565 5.28862300 5.1927204 4.71390930 5.2080895 5.3250619
LPS_24_H6 TNFa_24_H6 H2O_24_H6 BPA_24_H6 PFOA_24_H6 EtOH_24_H6
100 3.06840174 3.8061577 2.96094181 3.7609699 3.7572007 3.4436449
1000 11.22909335 11.2853128 11.23431903 11.2179017 11.1374571 11.1495689
10000 5.34852879 5.7261794 5.22404047 5.5038158 5.9282177 5.8103307
10001 4.52092924 4.5025183 4.33398324 4.5995488 4.3885764 4.3333760
10003 6.21771183 5.7433829 6.30245572 6.1071505 6.3779118 6.1630564
100037417 3.67133902 3.3474228 3.60801616 3.4443126 3.0996925 3.4436449
100049716 2.74103362 3.0484518 2.27749031 2.1135302 2.5221029 2.3450801
10005 4.49695023 4.1875961 4.40715555 4.1836302 4.5496857 4.2826922
10006 6.34069355 6.1482878 6.09665572 6.3669474 6.3901253 6.2967751
10007 5.57155986 5.2762747 5.26398405 5.5267992 5.1328433 5.3258641
10009 4.92302982 4.9105157 4.91842936 4.6973324 4.8964490 4.7363161
100093630 3.51297158 4.0094465 3.58297012 3.7083275 3.3701599 3.6968923
1001 6.17301194 6.1134263 5.89265516 6.1571074 6.2226674 6.0614853
10010 4.94091478 5.2524392 4.79299238 4.5703485 5.3232181 4.9353776
100101267 2.01309332 2.2249073 2.33862238 2.2670128 1.9915281 1.7895428
100101467 5.13207871 4.8900639 5.17460095 5.1062210 5.0885621 5.2040473
10011 5.51298486 5.1269703 5.29516128 4.9675137 5.2844852 5.3669921
100113386 2.37065632 2.1580579 2.79636876 2.1135302 1.7090862 1.5816410
100113397 0.26090223 0.7751747 0.76595846 0.9249822 0.5868163 1.3386519
100113407 4.28925747 3.8061577 3.99735579 3.6536912 2.9091578 3.9343122
100125288 2.01309332 2.8509745 1.75674437 0.9249822 2.1144008 1.8832413
100127983 2.78129832 2.7637368 3.14332819 3.2736518 3.3199715 2.6417232
100128006 2.56769816 3.1204483 2.79636876 3.3094373 2.8396118 3.1738438
100128016 0.96723632 0.5846980 0.57593521 0.4986544 1.1433750 1.7895428
100128025 1.43933362 0.1061882 0.76595846 0.4986544 0.5868163 1.5816410
100128054 1.22251015 0.9434109 1.84366336 -0.1091572 0.8917693 1.6893337
100128071 1.22251015 1.0940615 1.08420798 0.9249822 2.1144008 1.4652562
100128191 1.87106914 1.6749591 2.00321163 2.6485924 1.7090862 1.5816410
100128252 1.87106914 1.0940615 1.45931564 2.1135302 1.3575483 1.5816410
100128379 -0.66524903 -1.1799596 -1.17995959 -1.1799596 1.3575483 -0.5705930
100128398 4.65699158 4.5025183 4.64353911 4.5405450 4.6945971 4.3333760
100128494 3.79448855 3.4062143 3.39430119 3.0380172 3.3701599 3.0580656
100128569 1.62778784 1.5760048 1.84366336 1.8475322 2.3326062 1.8832413
100128640 0.82038386 0.3651917 0.76595846 0.4986544 0.5868163 0.8743803
100128682 2.20292406 1.6749591 2.07682256 2.5322636 1.8572080 2.6943771
100128731 6.39684529 6.4040671 6.24373834 6.3325772 6.1237406 6.3052640
100128766 0.01294308 -0.6147654 -1.17995959 -0.5474115 -1.1799596 0.6791935
100128782 2.20292406 2.9332364 2.56013230 2.1923116 2.8396118 2.8876514
100128822 2.89575929 2.5193330 2.33862238 2.1923116 1.7090862 2.9321790
100128833 2.52090282 2.3499747 2.50786104 2.9039957 2.9755050 1.6893337
100128881 2.61302320 2.6708826 2.27749031 2.5916002 2.7665427 2.6943771
100128893 6.73338576 6.0129720 6.71643491 6.4292645 6.2696980 6.2925119
100129001 -0.28666343 0.1061882 0.57593521 0.4986544 -0.3311811 0.4534051
100129013 2.07918476 1.6749591 1.56541920 1.9417537 2.6082674 1.9712236
100129029 0.01294308 0.1061882 0.09886635 -1.1799596 -0.3311811 0.4534051
100129060 3.69260787 3.4627036 3.91946194 3.7609699 3.7944351 3.4740810
100129075 2.37065632 2.5716385 1.92564194 2.9947121 2.1144008 2.3450801
100129195 3.25152692 3.3171035 2.88100069 2.5322636 3.2679740 2.2776604
100129203 0.26090223 0.7751747 1.08420798 0.2265237 -0.3311811 -0.1435065
100129250 2.52090282 1.5760048 1.56541920 0.9249822 0.8917693 2.0541475
100129259 0.65687139 0.3651917 0.93384097 -0.1091572 0.8917693 1.1998593
100129361 5.54256962 5.7261794 6.02872035 5.8459624 5.9694997 5.8630319
100129398 -0.28666343 -0.2097145 -0.61878358 -0.5474115 0.5868163 -0.1435065
100129434 0.82038386 0.5846980 1.75674437 1.0986511 2.4304636 1.7895428
100129461 -0.28666343 -0.2097145 0.35703116 -0.1091572 0.8917693 0.1856029
100129484 -1.17995959 0.9434109 1.34478478 0.4986544 0.8917693 1.4652562
100129550 4.01313088 3.5434949 3.65684036 3.7609699 3.7189798 3.4740810
100129583 1.71352149 1.8545732 1.34478478 0.2265237 1.8572080 1.4652562
100129662 1.10051198 0.3651917 0.35703116 1.5211473 0.8917693 0.4534051
100129707 0.47242934 0.7751747 0.57593521 0.2265237 1.3575483 0.6791935
100129716 0.47242934 0.3651917 0.09886635 0.9249822 0.1996341 1.4652562
100129726 0.26090223 -0.2097145 0.35703116 -1.1799596 0.8917693 1.0462791
100129774 3.58298214 4.2531210 3.45077044 4.1445395 3.0996925 3.2104599
100129781 0.65687139 0.3651917 0.76595846 -0.5474115 -1.1799596 -0.1435065
100129792 1.10051198 0.7751747 1.92564194 1.0986511 1.3575483 1.4652562
100129794 1.87106914 2.0142810 1.84366336 2.0301970 1.7090862 1.8832413
100129842 0.47242934 -1.1799596 0.57593521 0.2265237 0.8917693 -0.5705930
100129917 1.62778784 0.9434109 1.92564194 1.6383403 2.6082674 1.5816410
100129924 0.65687139 0.3651917 0.93384097 1.0986511 0.5868163 0.1856029
100129940 1.71352149 -1.1799596 0.93384097 0.9249822 -0.3311811 0.4534051
100129995 3.00180285 2.4650596 3.27426527 2.8564047 2.6895745 2.1325629
10013 6.35076283 5.9697722 6.14451745 6.0126230 6.2893940 6.2403453
100130111 1.22251015 0.5846980 1.08420798 -0.1091572 -1.1799596 -1.1799596
100130197 -0.66524903 -0.2097145 -1.17995959 -0.5474115 -1.1799596 0.4534051
100130335 3.51297158 3.6446271 3.87887894 3.3784506 4.0312042 3.7476050
100130348 2.14238063 2.3499747 2.65931483 2.5322636 2.1144008 2.5302741
100130357 2.26102874 1.7675595 2.33862238 1.2536423 0.1996341 -1.1799596
100130466 3.03548656 3.3171035 2.92152488 3.4117574 3.2140321 3.0976997
100130476 1.33499137 -0.2097145 1.34478478 0.4986544 0.1996341 1.1998593
100130522 -0.28666343 1.0940615 0.76595846 0.9249822 1.8572080 1.5816410
100130550 0.01294308 0.5846980 -0.61878358 0.7275093 -1.1799596 0.4534051
100130564 2.69961281 2.9726728 2.70646103 3.2736518 3.5550866 2.4711454
100130581 -0.28666343 -1.1799596 -0.61878358 -0.5474115 -1.1799596 -1.1799596
100130691 2.01309332 2.0879598 2.27749031 1.9417537 1.7090862 1.7895428
100130705 2.61302320 1.7675595 2.21365280 1.5211473 2.4304636 2.6417232
100130748 0.01294308 1.2304576 1.92564194 2.4057257 2.2276250 0.6791935
100130750 2.01309332 2.0142810 2.27749031 2.0301970 2.5221029 2.3450801
100130855 2.26102874 1.6749591 2.33862238 2.4703815 2.3326062 1.8832413
100130958 1.10051198 -0.6147654 0.09886635 -1.1799596 0.1996341 -0.5705930
100131017 2.14238063 2.5193330 2.79636876 2.5916002 2.1144008 1.4652562
100131031 1.53663568 0.7751747 1.34478478 0.9249822 1.9915281 1.4652562
100131033 1.87106914 1.0940615 1.92564194 1.2536423 2.4304636 1.9712236
100131067 3.16286795 2.2249073 2.45362447 3.0380172 2.4304636 2.8417057
100131089 3.90794770 3.4347354 3.87887894 4.1043601 3.9344477 3.8670965
100131094 1.33499137 0.3651917 -0.21578803 1.5211473 1.5439982 -0.1435065
100131138 5.42040644 4.8900639 5.19953248 5.1757297 5.1034740 5.4687413
100131187 2.14238063 2.2887958 2.50786104 0.7275093 1.8572080 1.5816410
100131193 4.60184971 4.3610824 4.01618942 4.3982412 4.2877331 3.8439768
100131211 2.69961281 3.0484518 3.24262815 2.9039957 2.7665427 3.0580656
100131213 -0.28666343 2.0142810 0.76595846 0.4986544 0.1996341 0.8743803
100131471 1.79444484 2.0142810 1.92564194 1.2536423 2.9091578 1.6893337
100131656 3.27990913 2.9332364 2.33862238 3.5377898 2.6082674 2.9321790
100131685 0.65687139 -0.2097145 -0.21578803 0.4986544 0.8917693 0.4534051
100131691 1.71352149 2.0142810 2.39726902 1.6383403 2.6082674 1.6893337
100131740 0.01294308 0.1061882 0.35703116 -1.1799596 0.1996341 -0.1435065
100131801 2.82046971 3.3171035 3.14332819 3.1993026 2.6082674 3.0173118
100131827 0.96723632 0.3651917 -0.21578803 0.2265237 -0.3311811 -0.1435065
100131828 -1.17995959 -0.2097145 0.35703116 0.2265237 1.1433750 0.1856029
100131940 2.07918476 1.4697602 2.14685926 1.9417537 1.8572080 1.8832413
100132074 2.07918476 0.5846980 2.21365280 2.2670128 1.1433750 1.5816410
100132086 -0.66524903 0.1061882 -0.21578803 -0.1091572 -0.3311811 -1.1799596
100132116 5.94830518 6.3109782 5.95742720 6.0395079 6.5124863 6.5711855
100132126 0.26090223 0.5846980 0.35703116 0.9249822 0.8917693 0.6791935
100132215 0.82038386 1.4697602 -0.21578803 0.2265237 1.7090862 1.1998593
100132537 1.10051198 0.1061882 0.93384097 -0.5474115 0.8917693 1.3386519
100132609 1.33499137 0.9434109 1.22037151 1.0986511 0.8917693 1.1998593
100132659 0.47242934 -0.2097145 -0.21578803 -1.1799596 -0.3311811 0.8743803
100132891 0.65687139 -0.2097145 -1.17995959 -0.5474115 -1.1799596 -1.1799596
100132972 1.10051198 0.1061882 0.76595846 1.3935861 1.1433750 1.7895428
100133234 0.65687139 0.1061882 0.35703116 1.3935861 -0.3311811 0.4534051
100133286 -0.28666343 0.3651917 -0.61878358 -0.5474115 -1.1799596 0.1856029
100133315 0.82038386 -0.2097145 0.93384097 -0.5474115 -1.1799596 -0.1435065
100134934 2.01309332 2.5193330 2.45362447 1.6383403 1.8572080 2.2776604
10014 6.80349009 6.6119188 6.89493847 6.7874754 6.7817932 6.6532756
100144603 -1.17995959 -0.2097145 -0.61878358 0.7275093 -1.1799596 -1.1799596
100144748 0.26090223 0.7751747 0.76595846 1.2536423 2.2276250 0.1856029
10015 7.83332148 7.6608992 7.77275345 7.8129159 7.6426116 7.8314843
10016 4.98468057 5.0735591 5.07931217 5.1062210 5.0428785 4.6981482
100170229 0.82038386 0.7751747 0.35703116 -0.1091572 1.3575483 1.3386519
100170841 4.18805799 4.5025183 4.77098341 4.8750143 4.4127231 4.2653940
10018 3.75459541 4.0468799 4.19212446 4.0838427 3.9006977 4.1570091
100188847 1.94382820 1.4697602 1.45931564 1.6383403 1.1433750 1.8832413
10019 4.07922063 4.6557534 3.68064650 3.9542055 4.2345386 3.7476050
100190938 2.61302320 2.4650596 2.39726902 2.2670128 3.2140321 2.3450801
1002 0.26090223 0.3651917 0.35703116 -0.1091572 0.1996341 0.8743803
10020 3.27990913 3.2544837 3.39430119 3.5072988 3.6393593 3.2104599
10021 8.14242570 8.2008615 7.80153695 8.0024767 7.9781312 7.9253371
10023 2.31688358 2.0142810 2.50786104 2.7034185 1.5439982 2.5870746
10024 4.65699158 4.5683550 4.12430275 4.5101128 3.7944351 4.7237053
10026 6.00890741 5.7771863 6.06082201 6.0234371 6.0563646 5.8858505
100268168 0.65687139 0.3651917 1.45931564 0.2265237 1.1433750 0.8743803
100270804 2.20292406 1.9366359 2.50786104 2.3380357 2.2276250 2.0541475
100270827 0.82038386 -0.6147654 1.75674437 0.4986544 0.8917693 0.4534051
100270840 4.48480959 4.4753187 4.49032849 4.6281697 3.4186609 4.8796262
100270854 4.23230117 4.7495554 4.59425487 4.2403493 5.1616267 4.6851978
100270865 4.85862648 4.8900639 4.78202986 5.1062210 5.3484741 5.1295222
100271271 3.48885883 3.4062143 3.24262815 3.4117574 3.1579948 3.6173156
100271332 -1.17995959 -0.2097145 -1.17995959 -1.1799596 -1.1799596 -0.1435065
100271415 2.61302320 2.0142810 2.96094181 2.6485924 1.7090862 2.4094893
100271479 1.53663568 0.9434109 1.22037151 0.4986544 0.8917693 1.4652562
100271884 1.22251015 -1.1799596 -1.17995959 -0.5474115 -1.1799596 0.8743803
100272147 2.96731386 2.4086644 3.27426527 2.6485924 2.4304636 2.8417057
100286844 0.65687139 -0.6147654 0.76595846 1.3935861 2.3326062 1.8832413
100287015 1.22251015 0.9434109 1.75674437 2.0301970 1.3575483 0.6791935
100287049 1.43933362 1.4697602 0.57593521 0.2265237 0.5868163 0.4534051
100287074 1.22251015 0.9434109 1.08420798 1.7467246 0.8917693 0.1856029
100287616 2.89575929 3.3474228 2.99931038 2.5322636 3.6797188 3.0580656
100287722 1.79444484 0.3651917 1.56541920 1.6383403 1.5439982 1.0462791
100287808 0.26090223 0.7751747 1.66425107 -1.1799596 0.1996341 0.8743803
100287837 0.65687139 -1.1799596 -1.17995959 -0.1091572 1.3575483 -0.1435065
100287896 2.93198015 2.0142810 2.61057572 2.7034185 3.2140321 2.1325629
100287902 0.96723632 0.7751747 0.35703116 0.4986544 1.1433750 0.4534051
100287928 2.96731386 2.8080149 3.03668492 2.9500668 3.4186609 3.3807760
100287932 5.47666323 5.4329312 5.59360813 5.3317821 5.4452963 5.7243219
100288001 2.31688358 2.8080149 2.14685926 2.9039957 2.9755050 2.0541475
100288073 2.07918476 1.4697602 1.08420798 1.6383403 3.3199715 2.6417232
100288123 1.62778784 1.2304576 1.34478478 1.5211473 1.9915281 1.5816410
100288198 1.10051198 2.0142810 1.75674437 2.4703815 2.3326062 2.4711454
100288241 -1.17995959 -0.6147654 -1.17995959 -1.1799596 -1.1799596 -1.1799596
100288413 2.85860558 4.0282846 3.60801616 3.4443126 2.5221029 3.4125529
100288513 0.01294308 -0.6147654 -1.17995959 0.2265237 -0.3311811 -1.1799596
100288842 1.22251015 1.6749591 0.76595846 1.9417537 1.7090862 1.1998593
100289061 0.65687139 1.9366359 1.34478478 1.0986511 0.8917693 1.1998593
100289095 1.22251015 1.2304576 1.08420798 0.2265237 1.1433750 1.1998593
100289133 3.06840174 3.7618217 3.10864900 2.7034185 3.2679740 3.3807760
100289178 2.65696754 2.6221137 2.33862238 3.0800602 1.3575483 3.1362740
100289211 1.22251015 1.4697602 2.21365280 1.7467246 1.1433750 0.8743803
100289259 2.20292406 0.7751747 0.57593521 0.9249822 1.5439982 1.1998593
100289274 2.78129832 2.9332364 2.99931038 2.9500668 1.9915281 3.0580656
100289341 0.65687139 0.7751747 1.22037151 -0.1091572 2.4304636 1.6893337
100289373 0.96723632 1.5760048 1.56541920 2.1135302 1.9915281 1.4652562
100289388 2.37065632 2.4650596 2.00321163 2.0301970 1.9915281 0.6791935
100289414 0.26090223 0.3651917 0.76595846 -0.1091572 -1.1799596 1.4652562
100289635 5.48887233 5.6491653 5.55549033 5.5343797 5.5138737 5.3990707
100289640 1.53663568 1.9366359 1.84366336 1.3935861 2.3326062 0.6791935
100289678 3.06840174 1.5760048 2.50786104 2.4703815 2.7665427 2.7942484
100293516 3.64975192 3.8491718 3.55748157 3.6812680 3.7572007 3.8670965
100294362 1.94382820 0.7751747 0.09886635 1.2536423 1.1433750 0.1856029
1003 3.00180285 4.3310518 3.85815115 2.5916002 3.2140321 3.7965955
100302692 1.87106914 2.2887958 2.00321163 2.9947121 2.6895745 2.4711454
100302736 1.43933362 1.4697602 1.34478478 1.7467246 1.9915281 1.3386519
100303728 3.38816353 3.2221241 3.27426527 2.9947121 3.8307326 3.4436449
100303755 1.79444484 0.5846980 2.00321163 0.2265237 0.8917693 1.4652562
100312828 1.10051198 1.5760048 1.22037151 0.4986544 -1.1799596 1.3386519
100312850 0.26090223 -0.2097145 0.35703116 0.4986544 -1.1799596 0.1856029
10036 4.92302982 5.4747342 5.12340689 5.3317821 5.0582677 5.1199300
100379345 1.10051198 1.5760048 1.34478478 1.0986511 2.1144008 1.4652562
10038 6.11511616 5.8688733 5.90281134 6.0017271 5.9365691 6.0863254
100381270 1.33499137 1.6749591 1.22037151 -0.5474115 1.7090862 1.0462791
10039 4.20295698 4.1875961 3.63263479 3.6812680 3.9674262 3.8439768
1004 2.01309332 2.3499747 2.14685926 1.6383403 2.6895745 2.6417232
10040 4.04655417 3.6926532 3.68064650 4.2027854 4.0620662 4.1381260
100418710 1.43933362 1.6749591 0.57593521 0.4986544 1.5439982 -1.1799596
100418735 0.65687139 1.7675595 1.92564194 1.0986511 1.9915281 1.0462791
100418744 0.82038386 1.2304576 0.76595846 0.9249822 1.5439982 1.3386519
100418770 -0.66524903 -0.6147654 -0.21578803 -0.5474115 0.1996341 -1.1799596
100418781 1.94382820 1.6749591 2.56013230 1.8475322 2.1144008 1.6893337
100418819 2.01309332 0.3651917 0.57593521 1.0986511 1.5439982 1.5816410
100418829 1.10051198 2.0142810 1.22037151 1.0986511 1.9915281 0.6791935
100418888 0.96723632 0.9434109 0.09886635 0.4986544 1.3575483 1.5816410
100418889 2.78129832 2.7637368 2.61057572 2.3380357 3.3701599 2.9753733
100418910 1.33499137 1.0940615 0.57593521 0.2265237 0.5868163 0.4534051
100418919 2.42249663 1.7675595 1.92564194 1.3935861 2.2276250 1.7895428
100419028 2.14238063 0.9434109 1.56541920 1.2536423 2.2276250 1.6893337
100419185 0.65687139 1.6749591 0.76595846 1.2536423 0.1996341 0.4534051
100419416 1.43933362 0.7751747 0.09886635 1.5211473 0.1996341 0.4534051
100419515 0.47242934 0.3651917 0.93384097 -0.5474115 0.1996341 -1.1799596
100419645 -0.66524903 -1.1799596 -0.21578803 -0.1091572 -0.3311811 0.1856029
100419758 1.62778784 0.5846980 2.27749031 2.9039957 2.1144008 2.9753733
100419928 2.31688358 2.4086644 2.56013230 2.1923116 2.5221029 1.8832413
10042 5.31463452 5.1093854 5.03382712 5.3317821 5.4799924 5.5566918
100420028 0.26090223 -0.2097145 -1.17995959 -1.1799596 0.8917693 0.8743803
100420050 0.47242934 0.1061882 -0.61878358 1.5211473 1.1433750 0.4534051
100420110 2.01309332 2.3499747 1.75674437 3.4443126 2.3326062 2.0541475
100420187 -1.17995959 -0.6147654 0.09886635 -0.5474115 0.5868163 -1.1799596
100420259 3.94386760 4.3310518 3.85815115 4.1245897 4.4828291 4.0193229
100420307 0.26090223 0.3651917 -0.21578803 0.9249822 1.1433750 1.1998593
100420341 5.41401810 5.3151459 5.46242520 5.5419206 5.4913748 5.6529518
100420423 1.33499137 1.2304576 2.07682256 1.2536423 0.8917693 1.6893337
100420591 0.01294308 0.3651917 -1.17995959 1.0986511 0.8917693 -0.1435065
100420707 2.61302320 2.5193330 2.56013230 2.1135302 2.9755050 2.5870746
100420752 0.82038386 1.4697602 0.09886635 1.8475322 0.1996341 0.8743803
100420869 4.33054597 4.3157987 4.24097709 4.6837626 4.4598369 4.3982982
100420981 6.04656334 6.3451862 6.01005066 6.1373317 6.1740518 6.2135371
100421093 3.64975192 3.8278250 3.68064650 3.5969041 3.9996676 3.9122531
100421109 0.47242934 0.3651917 0.76595846 0.4986544 0.5868163 -0.1435065
100421160 0.26090223 0.7751747 0.35703116 -0.1091572 -1.1799596 -0.5705930
100421175 0.65687139 0.3651917 0.09886635 -1.1799596 0.8917693 0.1856029
100421246 -1.17995959 1.2304576 0.09886635 1.0986511 0.5868163 1.0462791
100421311 1.79444484 1.9366359 1.34478478 1.2536423 1.7090862 1.0462791
100421372 1.33499137 2.3499747 2.33862238 0.9249822 2.3326062 1.4652562
100421400 2.74103362 2.9332364 2.56013230 2.9500668 2.4304636 2.4711454
100421415 2.01309332 0.9434109 1.22037151 1.7467246 -1.1799596 0.4534051
100421429 1.10051198 0.3651917 -0.21578803 -0.5474115 -0.3311811 -1.1799596
100421465 1.71352149 1.3550649 1.34478478 1.8475322 1.3575483 1.0462791
100421468 1.94382820 2.0142810 2.14685926 2.5916002 3.0996925 1.4652562
100421506 0.01294308 0.1061882 1.45931564 1.0986511 -0.3311811 0.4534051
100421569 0.82038386 -0.6147654 0.35703116 1.3935861 -1.1799596 1.3386519
100421595 -0.66524903 -1.1799596 -0.61878358 -0.5474115 -0.3311811 -1.1799596
100421794 -0.28666343 0.1061882 -1.17995959 -1.1799596 -1.1799596 0.4534051
100422106 2.01309332 1.9366359 1.08420798 2.0301970 2.1144008 2.0541475
100422338 2.37065632 1.7675595 2.61057572 1.5211473 2.3326062 2.2776604
100422546 0.01294308 1.0940615 2.27749031 -0.5474115 1.8572080 0.8743803
100422561 3.48885883 3.4062143 3.50511242 3.1993026 3.9344477 3.4125529
10043 6.07518654 5.7145954 6.00534524 5.8701270 5.8059181 5.5279666
10044 0.96723632 2.2249073 1.08420798 2.0301970 1.5439982 1.4652562
10045 0.96723632 0.1061882 -0.61878358 0.4986544 1.3575483 0.4534051
10046 1.33499137 1.6749591 1.34478478 2.0301970 0.8917693 1.1998593
10048 6.82772409 6.8342732 6.89748020 6.8404166 6.6457947 6.6632161
10049 6.06298893 5.9202046 6.01005066 6.0395079 5.8596064 6.0714727
100499177 3.25152692 2.9726728 3.63263479 3.4443126 3.6797188 3.4125529
100499483 3.00180285 2.0879598 3.14332819 3.0380172 2.9091578 2.4094893
1005 0.26090223 0.3651917 -0.21578803 -0.1091572 1.3575483 -0.1435065
100500719 0.82038386 -0.2097145 0.93384097 -0.1091572 -0.3311811 0.4534051
100505385 2.65696754 3.0110598 2.65931483 2.4057257 2.1144008 2.6417232
100505501 1.22251015 1.0940615 1.75674437 1.2536423 2.1144008 2.0541475
100505538 1.43933362 0.7751747 0.76595846 -1.1799596 1.3575483 0.6791935
100505549 0.96723632 0.7751747 1.22037151 0.4986544 1.1433750 0.8743803
100505573 7.10457732 6.5480843 6.96446705 7.3132808 7.1081195 6.9845479
100505576 2.82046971 2.8080149 2.45362447 3.1606399 2.6082674 2.6943771
100505616 0.01294308 0.5846980 0.57593521 0.7275093 -1.1799596 -0.1435065
100505624 0.65687139 1.3550649 1.75674437 1.3935861 0.5868163 1.3386519
100505635 0.82038386 -0.6147654 0.93384097 0.7275093 0.8917693 0.8743803
100505641 2.01309332 2.0879598 1.84366336 1.8475322 2.7665427 2.0541475
100505648 3.00180285 2.6708826 2.92152488 2.9947121 2.6082674 2.5870746
100505678 2.74103362 2.7180566 2.92152488 3.2369561 2.8396118 2.5870746
100505696 4.71010320 4.6435874 4.71444564 4.7503703 4.7141598 4.6186427
100505715 1.10051198 1.2304576 1.08420798 0.9249822 1.3575483 0.4534051
100505738 3.30774374 2.7637368 3.07311562 2.7562371 3.7944351 2.9321790
100505741 0.47242934 1.2304576 2.00321163 0.4986544 1.3575483 1.4652562
100505758 3.87111058 3.6446271 3.58297012 3.7609699 4.0620662 3.4740810
100505761 3.36185189 3.0484518 3.21028168 2.9500668 3.5978382 3.4436449
100505771 2.56769816 0.9434109 1.84366336 1.6383403 2.3326062 1.7895428
100505783 3.33505146 2.9726728 2.33862238 2.3380357 2.8396118 1.9712236
100505806 5.05205630 5.4115665 4.92840633 4.9675137 5.4799924 5.4148464
100505812 1.62778784 1.5760048 1.34478478 2.2670128 1.3575483 1.4652562
100505832 1.79444484 0.7751747 2.14685926 2.7562371 2.2276250 1.1998593
100505854 3.96149766 2.8926917 3.53153460 3.7083275 4.2613810 3.6443318
100505876 4.43519882 4.5554258 4.60673467 4.9220052 4.9469283 4.7488176
100505894 3.87111058 3.2221241 3.79411872 4.4946525 3.6797188 4.0996018
100505933 1.33499137 0.7751747 0.76595846 1.0986511 0.1996341 0.4534051
100505994 0.96723632 0.7751747 0.35703116 0.4986544 0.5868163 1.1998593
100506020 1.33499137 0.1061882 0.76595846 0.7275093 0.5868163 0.1856029
100506033 4.56772373 4.9003261 4.88807769 4.8264411 5.0582677 4.8097499
100506054 1.62778784 2.1580579 0.57593521 1.7467246 2.8396118 2.0541475
100506068 2.07918476 1.0940615 1.66425107 1.9417537 1.9915281 1.1998593
100506070 0.96723632 1.3550649 0.35703116 1.7467246 1.3575483 0.8743803
100506083 0.96723632 0.1061882 0.09886635 0.2265237 0.5868163 0.6791935
100506100 1.71352149 -0.2097145 -1.17995959 1.0986511 0.8917693 1.0462791
100506119 1.62778784 1.6749591 1.66425107 0.9249822 1.5439982 2.3450801
100506127 3.06840174 2.0879598 3.07311562 2.6485924 3.0389346 3.2810169
100506142 0.65687139 1.2304576 0.35703116 0.4986544 0.1996341 1.0462791
100506144 0.47242934 0.3651917 0.93384097 1.0986511 1.1433750 1.3386519
100506161 0.26090223 -0.6147654 1.08420798 -1.1799596 -1.1799596 1.0462791
100506211 5.83809861 5.4539841 5.63684222 5.6985664 5.7689827 5.5279666
100506235 2.26102874 0.5846980 1.22037151 1.2536423 1.3575483 1.4652562
100506258 1.94382820 1.6749591 1.45931564 1.0986511 1.1433750 1.6893337
100506282 2.61302320 1.6749591 2.70646103 2.9947121 3.0996925 3.0173118
100506286 1.94382820 1.7675595 1.34478478 1.2536423 1.5439982 1.5816410
100506302 1.33499137 1.8545732 1.45931564 1.3935861 2.1144008 1.3386519
100506321 1.10051198 0.1061882 0.76595846 -0.1091572 0.1996341 0.4534051
100506325 0.47242934 0.9434109 -0.21578803 1.3935861 0.8917693 0.6791935
100506343 1.22251015 1.7675595 0.35703116 0.4986544 1.3575483 1.3386519
100506365 5.38164501 5.4115665 5.49635606 5.6985664 5.5686322 5.5918123
100506368 0.26090223 -0.2097145 1.56541920 -0.1091572 0.8917693 0.8743803
100506380 4.18805799 3.8061577 4.12430275 4.1043601 3.9344477 3.3807760
100506392 4.21770368 3.4901398 4.01618942 4.0630294 4.3885764 4.1189925
100506394 1.62778784 1.9366359 1.92564194 2.1923116 2.3326062 1.8832413
100506411 1.33499137 2.0142810 1.75674437 1.2536423 1.1433750 1.4652562
100506433 2.85860558 2.4086644 3.53153460 3.1209126 3.5110294 1.8832413
100506462 0.01294308 1.2304576 0.93384097 0.4986544 0.1996341 0.4534051
100506469 4.83968483 4.6435874 4.24097709 4.3815271 4.3136124 4.3333760
100506495 0.47242934 1.5760048 1.22037151 2.1923116 0.1996341 0.8743803
100506504 2.52090282 1.2304576 1.84366336 2.5916002 1.8572080 1.1998593
100506540 1.10051198 1.6749591 1.66425107 0.9249822 1.9915281 0.4534051
100506581 0.82038386 0.1061882 1.84366336 0.9249822 0.8917693 1.0462791
100506606 1.22251015 0.3651917 0.93384097 0.9249822 0.1996341 0.1856029
100506658 1.79444484 2.5716385 2.14685926 1.5211473 0.8917693 1.6893337
100506668 2.07918476 2.5193330 2.27749031 2.6485924 2.7665427 2.9321790
100506686 1.62778784 1.9366359 1.66425107 2.6485924 1.3575483 1.7895428
100506691 -0.28666343 1.5760048 1.34478478 0.2265237 0.5868163 0.8743803
100506696 3.25152692 3.0110598 3.58297012 3.1606399 2.8396118 3.5897838
100506697 0.65687139 0.1061882 1.75674437 1.2536423 -1.1799596 0.4534051
100506710 6.36076231 6.2837996 6.38446961 6.3325772 6.3593956 6.2180399
100506713 0.65687139 0.5846980 -0.21578803 -1.1799596 -0.3311811 0.4534051
100506725 3.33505146 3.7841600 3.95893451 4.1445395 4.2345386 3.8439768
100506731 0.82038386 1.7675595 1.56541920 0.9249822 0.8917693 -0.5705930
100506757 0.82038386 0.7751747 1.22037151 0.9249822 0.1996341 -1.1799596
100506779 -0.28666343 0.5846980 -0.61878358 1.0986511 -1.1799596 0.1856029
100506804 0.47242934 -0.6147654 0.76595846 0.7275093 0.1996341 0.4534051
100506826 1.22251015 0.7751747 2.14685926 1.6383403 0.8917693 2.1325629
100506844 3.16286795 3.1204483 3.30522347 3.3443566 3.0996925 3.0976997
100506866 7.37344061 7.2112905 7.39691258 7.6427605 7.3863243 7.3451183
100506881 -0.28666343 1.0940615 0.35703116 -0.1091572 0.1996341 -0.1435065
100506885 0.65687139 -1.1799596 0.57593521 -0.1091572 1.1433750 0.1856029
100506911 1.33499137 0.7751747 1.08420798 1.3935861 -0.3311811 -0.1435065
100506922 3.16286795 2.8926917 3.17719330 2.4703815 2.8396118 2.2776604
100506930 4.37068563 4.1875961 4.60673467 4.3301907 4.4828291 4.3333760
100506994 0.96723632 0.1061882 0.35703116 -0.5474115 1.1433750 0.1856029
100507003 2.82046971 3.0110598 2.70646103 2.5322636 3.0389346 3.0580656
100507032 2.61302320 1.5760048 2.07682256 2.6485924 0.8917693 2.1325629
100507034 3.48885883 3.1551426 2.88100069 2.8071901 2.8396118 2.4711454
100507050 0.26090223 1.0940615 1.08420798 0.4986544 -1.1799596 1.4652562
100507053 1.87106914 2.2887958 2.70646103 2.4057257 1.9915281 2.8876514
100507057 1.79444484 1.5760048 2.00321163 2.3380357 1.3575483 0.8743803
100507062 1.33499137 0.9434109 1.08420798 0.9249822 0.1996341 1.1998593
100507071 0.01294308 1.2304576 0.35703116 1.5211473 0.1996341 0.8743803
100507156 3.53668794 3.3474228 3.10864900 3.5072988 2.8396118 3.4436449
100507171 2.47253860 2.6221137 2.45362447 3.4117574 2.9091578 2.8417057
100507173 0.26090223 0.7751747 -0.21578803 0.2265237 -1.1799596 -0.1435065
100507178 0.96723632 -0.2097145 0.93384097 -0.1091572 -1.1799596 1.6893337
100507244 0.01294308 0.9434109 0.76595846 0.7275093 -0.3311811 0.6791935
100507246 3.10058268 2.2887958 2.70646103 2.9500668 1.5439982 2.5302741
100507250 -0.28666343 0.5846980 0.35703116 0.4986544 0.1996341 0.1856029
100507254 -0.28666343 -1.1799596 -1.17995959 -1.1799596 0.8917693 -1.1799596
100507266 1.79444484 0.9434109 -0.21578803 1.8475322 1.8572080 1.4652562
100507290 4.97603298 5.0368205 4.94815562 5.2420430 4.8792222 4.4296956
100507291 1.53663568 1.2304576 2.07682256 2.1135302 1.7090862 2.2776604
100507303 3.58298214 2.8509745 3.53153460 2.9039957 2.9091578 3.3482835
100507308 0.96723632 0.7751747 1.56541920 0.7275093 1.5439982 0.8743803
100507316 2.07918476 2.0879598 1.92564194 2.1135302 1.7090862 1.1998593
100507331 1.94382820 2.0142810 1.66425107 1.3935861 2.1144008 1.5816410
100507347 1.10051198 0.3651917 0.76595846 0.9249822 1.5439982 0.8743803
100507373 1.71352149 1.6749591 2.14685926 2.0301970 1.3575483 1.9712236
100507392 -0.28666343 1.5760048 -1.17995959 -0.1091572 0.1996341 1.1998593
100507398 2.07918476 1.8545732 1.08420798 1.5211473 1.5439982 1.1998593
100507401 1.53663568 1.3550649 0.76595846 -0.1091572 0.5868163 1.0462791
100507420 0.65687139 0.7751747 0.35703116 -0.1091572 1.7090862 0.4534051
100507433 2.65696754 1.9366359 2.33862238 2.5322636 2.1144008 1.5816410
100507436 -1.17995959 0.5846980 1.34478478 -0.1091572 0.1996341 0.4534051
100507437 2.37065632 2.2887958 2.33862238 2.4057257 3.4655843 2.6417232
100507459 2.14238063 2.4086644 2.33862238 2.1135302 2.1144008 2.2776604
100507463 -0.66524903 0.5846980 -0.21578803 0.4986544 0.5868163 0.6791935
100507487 2.26102874 1.0940615 2.21365280 2.4057257 1.3575483 2.0541475
100507495 1.33499137 1.7675595 1.75674437 2.7562371 2.6082674 2.5870746
100507516 0.01294308 -1.1799596 0.35703116 1.2536423 0.1996341 -0.5705930
100507551 2.37065632 1.6749591 1.56541920 2.5916002 0.5868163 1.5816410
100507557 0.82038386 1.5760048 1.92564194 2.1923116 2.2276250 1.1998593
100507564 -0.28666343 -1.1799596 -0.61878358 -0.1091572 -1.1799596 -0.1435065
100507567 1.22251015 1.2304576 1.66425107 0.9249822 0.1996341 0.8743803
100507588 0.26090223 -0.6147654 0.09886635 -1.1799596 -0.3311811 0.4534051
100507599 2.47253860 1.6749591 1.56541920 2.2670128 1.7090862 1.8832413
100507602 1.79444484 2.7180566 3.03668492 2.3380357 3.4655843 2.5302741
100508120 2.20292406 1.2304576 2.07682256 1.9417537 1.5439982 1.4652562
10051 7.56581143 7.5414032 7.47556702 7.6427605 7.6927757 7.6534375
10052 2.52090282 2.6221137 1.84366336 2.0301970 2.2276250 2.4094893
100526737 2.20292406 1.5760048 2.14685926 2.4703815 2.1144008 1.9712236
100526760 1.33499137 0.5846980 0.09886635 0.7275093 -0.3311811 0.8743803
100526820 1.43933362 1.2304576 1.34478478 0.4986544 0.1996341 1.4652562
100526835 4.12687400 3.9113798 3.63263479 4.2403493 3.6797188 3.8204807
100527978 1.10051198 -0.2097145 1.22037151 1.6383403 0.5868163 0.4534051
100529145 1.43933362 1.6749591 1.08420798 2.2670128 1.7090862 2.2069350
100529215 0.82038386 0.1061882 1.56541920 0.2265237 -0.3311811 0.6791935
100532746 4.27522781 4.0094465 4.05313475 3.8847396 4.1218775 4.2301627
100533106 0.82038386 1.9366359 0.76595846 -0.5474115 0.1996341 1.0462791
100533182 1.62778784 -0.2097145 2.00321163 0.9249822 0.8917693 1.1998593
100533619 0.82038386 0.9434109 0.35703116 0.4986544 0.1996341 0.6791935
100533629 1.71352149 0.9434109 1.22037151 1.2536423 1.3575483 1.6893337
100533695 0.82038386 0.3651917 0.35703116 0.4986544 0.5868163 0.8743803
100533970 1.53663568 1.0940615 1.34478478 1.5211473 1.7090862 0.4534051
100534593 2.52090282 1.7675595 1.45931564 2.0301970 1.1433750 1.3386519
10054 6.00890741 5.8047632 6.16575873 5.9796855 5.9365691 6.0311012
10056 5.62784916 5.7087683 5.86175048 5.6223685 5.8770676 5.8222096
10057 7.90909645 7.6548507 7.77275345 7.7262142 7.7483873 7.4991983
10058 5.94830518 5.1700171 5.91289652 5.8026753 5.9198176 5.7740958
10059 7.31463833 7.2398562 7.36787999 7.4637811 7.2820445 7.3976664
1006 4.50898955 4.0468799 4.20859316 3.6536912 3.4655843 4.4905120
10060 5.23713972 4.1189529 4.71444564 5.3914353 4.7713049 4.6721302
100616256 0.96723632 1.0940615 1.08420798 0.2265237 0.5868163 0.8743803
10062 2.26102874 2.4650596 2.50786104 2.0301970 2.9091578 3.0173118
10063 4.02993931 4.0652385 3.30522347 3.8847396 4.0620662 4.2122191
100652739 -0.28666343 -1.1799596 0.35703116 -0.1091572 -0.3311811 -0.5705930
100652758 0.47242934 -0.2097145 0.09886635 0.2265237 1.3575483 -0.1435065
100652846 3.41400387 3.1551426 3.17719330 3.1993026 3.0996925 3.3150422
10066 6.35076283 6.3895707 6.28314758 6.2567029 6.2089436 6.3052640
10067 6.05068731 6.3032650 5.93780528 6.2521130 6.0331881 6.0413005
10068 3.46433620 3.1551426 3.81578018 2.6485924 2.7665427 3.4125529
10069 3.06840174 2.8509745 2.65931483 3.4117574 2.6082674 3.1738438
10072 4.54451620 4.9991218 4.65560153 4.8509321 5.1616267 4.7977676
10073 3.85233319 4.0282846 3.87887894 4.0419115 3.8661392 3.8898514
10075 8.79920833 8.7816371 8.76086573 8.8075945 8.8422211 8.6062100
10076 5.18556535 5.2444057 5.30285144 5.3576504 5.1616267 4.7488176
10077 5.34852879 4.8588322 5.64291409 5.5790448 5.4913748 4.9890544
100775107 0.82038386 1.0940615 1.56541920 0.9249822 0.5868163 1.3386519
10078 4.71010320 4.7034166 4.85707373 5.1062210 4.4598369 4.9243983
10079 3.85233319 4.6064616 4.17546559 4.1245897 3.8307326 4.2478859
1008 2.85860558 3.2861333 2.99931038 2.9947121 3.6797188 1.3386519
10081 5.07653249 5.2997229 5.40641922 5.2420430 5.4097451 5.2662410
10082 7.72523950 7.7712502 7.72059893 7.7229008 7.5639352 7.5801281
100820829 5.82852314 5.6307934 5.89265516 6.0288140 5.8240371 5.9194158
10084 5.29390902 5.4747342 5.34815095 5.2327542 5.0273235 5.1199300
100847074 1.71352149 1.9366359 1.66425107 1.7467246 2.1144008 1.6893337
10085 7.69525919 8.0291301 7.83108755 7.5690199 7.8754495 7.9376749
100852407 -0.28666343 0.3651917 0.76595846 1.0986511 0.5868163 0.8743803
100861412 0.96723632 0.7751747 -0.21578803 0.4986544 1.8572080 -0.1435065
100861548 3.73422740 3.6688400 3.33553128 3.4117574 3.2679740 4.1940495
100862671 1.43933362 0.1061882 1.22037151 1.9417537 1.9915281 0.6791935
10087 6.62693082 6.4396836 6.40247638 6.6719498 6.6457947 6.6632161
100873257 1.33499137 -0.6147654 0.09886635 -0.1091572 -0.3311811 -0.1435065
100873333 3.19303039 2.9332364 3.45077044 2.4057257 2.3326062 3.5330920
100873790 4.49695023 4.3157987 4.42135497 4.1642173 4.9796259 4.3333760
100873949 2.07918476 1.2304576 2.14685926 1.2536423 2.1144008 1.5816410
100873952 -0.28666343 -0.6147654 0.57593521 0.7275093 -1.1799596 -0.5705930
100873965 2.01309332 2.1580579 2.00321163 1.8475322 2.1144008 2.3450801
100874006 1.10051198 0.3651917 0.35703116 0.4986544 0.5868163 1.0462791
100874008 1.33499137 0.5846980 1.34478478 0.9249822 0.1996341 1.0462791
100874014 3.00180285 3.1551426 2.99931038 3.0800602 3.5550866 3.3482835
100874058 -0.28666343 0.1061882 -0.61878358 0.9249822 -1.1799596 0.4534051
100874080 1.10051198 0.9434109 1.22037151 -0.1091572 0.5868163 0.6791935
100874097 1.22251015 1.6749591 1.22037151 1.0986511 1.1433750 1.9712236
100874201 0.65687139 0.5846980 0.09886635 -1.1799596 1.3575483 -0.1435065
100874212 1.22251015 1.0940615 0.76595846 0.9249822 1.8572080 -0.1435065
100874217 0.26090223 1.0940615 1.34478478 0.9249822 1.5439982 0.6791935
100874235 2.31688358 0.9434109 1.92564194 1.8475322 1.7090862 1.9712236
100874261 -0.28666343 0.9434109 1.08420798 0.9249822 0.1996341 0.4534051
100874291 1.22251015 -0.2097145 2.14685926 1.7467246 1.8572080 1.6893337
100874362 2.42249663 2.2887958 1.92564194 2.2670128 1.5439982 2.5870746
100874523 2.56769816 1.2304576 1.34478478 2.0301970 2.5221029 1.5816410
100885775 5.01876171 5.3678639 5.34815095 5.1163582 5.1328433 5.7556312
100885776 0.26090223 0.5846980 0.76595846 1.7467246 -0.3311811 0.4534051
100885848 5.43309890 5.4678506 5.52950719 5.6152376 5.9198176 5.4762788
1009 8.32290331 8.8763032 8.51656766 8.3068583 8.7047452 8.6716876
10090 4.21770368 4.0094465 3.87887894 4.3475066 3.6393593 4.3166785
10092 6.78628078 6.8816579 6.82723094 6.7618733 7.1118116 7.0029297
10093 6.60185595 6.7713692 6.50270307 6.3412468 6.7298834 6.6926330
10094 5.01876171 5.3678639 5.17460095 5.1163582 5.2037528 5.2040473
10095 4.92302982 5.5418218 4.87781689 4.5703485 5.0582677 5.1102735
10097 7.59998215 7.9097592 7.63027176 7.6842391 7.8732759 7.8122560
10098 6.66239758 6.4710035 6.65166361 6.6123138 6.5456216 6.7119162
10099 8.22867573 8.1598068 8.21314271 8.2342441 8.2535023 8.3129585
100996246 0.65687139 1.2304576 1.22037151 -0.1091572 0.1996341 -0.1435065
100996251 0.65687139 0.3651917 1.22037151 1.5211473 -0.3311811 1.3386519
100996307 0.96723632 -0.2097145 1.22037151 1.2536423 -1.1799596 0.8743803
100996384 1.87106914 1.0940615 1.34478478 1.3935861 1.7090862 0.6791935
100996419 2.07918476 0.7751747 1.08420798 1.9417537 2.5221029 1.7895428
100996485 2.56769816 1.3550649 2.27749031 2.3380357 2.2276250 2.4094893
100996539 1.22251015 -1.1799596 0.57593521 0.2265237 0.5868163 -0.1435065
100996579 0.65687139 0.3651917 1.92564194 1.0986511 1.7090862 0.4534051
100996696 2.56769816 3.0848992 3.07311562 2.1135302 2.9091578 2.0541475
100996842 1.33499137 2.0879598 1.08420798 1.3935861 1.5439982 1.0462791
100996851 -0.28666343 -0.2097145 -0.61878358 0.7275093 -1.1799596 -1.1799596
100996939 1.53663568 1.2304576 0.76595846 0.7275093 1.5439982 0.6791935
101 2.52090282 2.3499747 2.00321163 3.0380172 2.6895745 2.5302741
1010 -1.17995959 -1.1799596 0.35703116 -1.1799596 0.5868163 -1.1799596
10100 6.38382839 6.2520982 6.74211631 6.9606332 6.9967180 6.7246300
10101 5.32147738 5.3529972 5.36294013 5.0007271 5.2175258 5.4381911
10102 4.94977480 5.1182046 5.04303958 5.2604429 5.1034740 4.9784776
10103 1.10051198 0.9434109 0.09886635 -1.1799596 1.3575483 0.8743803
10105 7.19863695 7.3599750 7.22543806 7.2246907 7.3492706 7.2884445
10106 7.29217225 7.1394667 7.08532299 7.0346595 7.1154943 6.9950805
101060200 3.33505146 3.1551426 2.79636876 3.5072988 2.3326062 2.8876514
101060691 2.52090282 1.7675595 2.07682256 2.5322636 1.7090862 2.3450801
10109 7.87345359 8.0774128 7.98719269 7.9296132 8.0587663 8.2648072
10112 6.16542543 6.0822158 6.03796537 6.1423011 6.2158218 6.3345879
10113 6.13078362 6.1439759 6.05172276 6.0017271 5.9531284 6.0564655
10114 8.44385671 8.1197470 8.35951309 8.4072924 8.4717708 8.2637187
101154753 -0.28666343 -0.2097145 0.35703116 -0.5474115 0.1996341 0.1856029
10116 7.94277086 7.8434965 7.81235278 7.9859857 7.8469345 7.7607204
10117 1.22251015 1.3550649 2.14685926 1.9417537 2.2276250 2.4711454
1012 6.11117256 6.7544982 6.28702994 6.3194743 6.3343317 6.5391562
10121 6.25393208 6.1738920 6.07885012 6.1373317 6.3023768 6.0714727
10123 5.27288144 5.6307934 4.89826603 4.9449389 5.0885621 5.6529518
TUN_2_H7 THA_2_H7 DMSO_2_H7 TUN_24_H7 THA_24_H7 DOX_24_H7
100 3.1794003 3.74194395 3.8748121 4.0701124 3.7008666 5.6920606
1000 11.3309264 10.91652875 11.2895160 11.3290128 11.4753754 9.8695647
10000 5.7609980 5.97275713 5.3922647 6.3304481 6.5070916 5.6590282
10001 4.2602589 4.06551353 3.7103025 4.1783329 3.7706258 4.7489601
10003 4.5619770 4.23368925 4.8753206 4.7918341 4.0763219 3.9685310
100037417 2.3774264 2.02290761 2.4946720 1.9747196 1.9944452 1.7004370
100049716 2.6746350 2.99012673 3.4066435 3.3271899 2.6414149 4.1506611
10005 3.8488354 3.90033450 4.5110183 3.9119023 3.9616943 3.7348994
10006 6.3126776 6.34755248 6.3650327 6.5941183 6.4497661 5.8700289
10007 4.6499893 4.66006360 5.0526839 5.1694090 4.9411143 5.8700289
10009 5.3419631 5.62489707 5.5742471 5.3344456 5.3810091 6.2663467
100093630 4.1438216 4.87885359 4.0423803 4.8905942 4.7813083 3.8090448
1001 6.4066345 5.90584267 6.6702982 6.2541873 6.0193540 8.0275842
10010 5.0239545 5.72003547 5.1749762 5.0977182 5.1777633 5.3797112
100101267 2.1058721 1.17165012 2.8513949 1.6126968 1.4309107 2.4829822
100101467 4.1678730 5.02359910 4.7598010 5.3653026 5.0712137 3.3930896
10011 5.4635378 5.62489707 5.4897537 5.1781249 5.4464140 4.8693691
100113386 0.9465181 1.17165012 0.8451782 1.9747196 2.2106564 2.3568238
100113397 0.4145415 0.99561542 1.5488093 0.8071874 1.2473525 0.1934833
100113407 3.9354487 3.99702447 3.9185638 3.9119023 4.2328078 6.0438708
100125288 1.6396477 -0.51431550 0.8451782 2.8483176 2.1065973 4.1506611
100127983 2.4576626 3.16679298 2.3098863 1.9747196 2.3077122 2.1441300
100128006 2.3774264 3.56399464 2.6058994 3.3885592 1.8728340 1.5926084
100128016 0.4145415 2.02290761 2.0979069 2.1968383 2.1065973 1.2102541
100128025 1.4950437 -0.51431550 -0.1631525 0.3935837 -1.1799596 2.8062898
100128054 1.1534072 -0.06056847 0.6513460 1.2654449 1.0369876 -0.1369039
100128071 1.6396477 0.79507679 1.1687667 1.1282546 -0.3893400 2.9875107
100128191 2.0026695 1.82639511 1.3068736 1.9747196 2.2106564 3.8329367
100128252 1.1534072 1.46999765 0.6513460 1.1282546 1.7400202 0.1934833
100128379 -1.1799596 -1.17995959 -1.1799596 -0.1885155 -1.1799596 -1.1799596
100128398 3.8488354 3.84944561 4.2956450 4.9220670 4.7981094 5.2614506
100128494 3.1794003 2.61685396 3.0996488 3.1960169 2.8491542 2.9442946
100128569 2.2924636 1.46999765 1.6560888 2.3279400 2.7140362 2.5989901
100128640 0.7049121 0.56209200 1.4329070 -0.1885155 0.4933489 4.2952579
100128682 2.0026695 0.79507679 1.4329070 1.9747196 1.9944452 0.8841515
100128731 6.0726353 6.49141589 6.4935405 6.1693044 6.5914344 7.0543609
100128766 -0.4372633 -1.17995959 -1.1799596 -1.1799596 -1.1799596 -0.5661510
100128782 2.2924636 1.82639511 2.0979069 1.7120683 3.0307109 3.8564393
100128822 2.3774264 3.46604914 3.2442045 2.8483176 3.0864845 3.8795652
100128833 2.8030435 2.27509761 2.4356679 3.0891649 2.8491542 3.1484874
100128881 2.1058721 2.67646395 1.9370321 1.8923702 2.5649435 2.8062898
100128893 5.2771048 5.34160673 5.4153539 5.1429407 5.4140822 5.5261189
100129001 -0.4372633 -0.06056847 -0.1631525 0.1316953 0.1184844 -0.1369039
100129013 2.6746350 2.02290761 2.0197107 0.6151570 1.5937283 0.4621297
100129029 0.0506126 0.56209200 0.6513460 0.3935837 0.7906250 1.9826382
100129060 3.2710739 3.82331181 3.9610277 3.0517134 2.7140362 2.0656425
100129075 0.9465181 1.59882996 1.5488093 2.1968383 2.2106564 3.9685310
100129195 2.1058721 2.61685396 2.6584544 1.8050341 1.5937283 2.8997438
100129203 1.4950437 0.79507679 0.1621137 1.1282546 0.7906250 6.1475339
100129250 1.7710690 1.59882996 2.0979069 0.6151570 1.4309107 1.8007638
100129259 0.0506126 0.56209200 0.4273692 0.6151570 0.1184844 -0.1369039
100129361 5.7609980 5.88704146 5.5810699 5.3029142 5.7866201 4.4108862
100129398 -1.1799596 -0.06056847 -0.1631525 -1.1799596 0.1184844 0.4621297
100129434 0.7049121 0.28409641 1.6560888 1.3907147 1.4309107 2.8062898
100129461 -1.1799596 -0.06056847 -0.1631525 1.1282546 1.4309107 2.0656425
100129484 2.0026695 0.56209200 1.5488093 2.5046447 2.8491542 2.7063601
100129550 3.4386025 3.46604914 3.5526296 4.7918341 3.8042799 6.1331732
100129583 0.7049121 2.11195991 -1.1799596 2.4481143 1.7400202 1.3492726
100129662 1.7710690 1.92799470 2.3741475 2.7109187 2.3986481 4.8808752
100129707 0.0506126 0.56209200 -0.1631525 0.3935837 -0.3893400 -0.5661510
100129716 0.0506126 1.92799470 0.6513460 1.2654449 1.5937283 1.4760648
100129726 -1.1799596 -1.17995959 -1.1799596 -1.1799596 -1.1799596 3.3605846
100129774 4.1678730 2.61685396 4.2277043 4.1431538 3.9912163 3.2227055
100129781 0.7049121 -1.17995959 -0.1631525 -1.1799596 0.7906250 0.4621297
100129792 1.1534072 0.79507679 -0.1631525 0.1316953 0.7906250 -1.1799596
100129794 2.2021823 2.78876780 2.7091619 1.7120683 2.1065973 0.1934833
100129842 -1.1799596 -0.06056847 -1.1799596 1.3907147 0.7906250 0.1934833
100129917 1.6396477 2.48969381 1.6560888 3.8477947 3.3369707 2.3568238
100129924 -1.1799596 -0.06056847 1.0160259 -0.1885155 1.4309107 3.2227055
100129940 0.9465181 -0.06056847 0.4273692 -0.1885155 0.7906250 -0.5661510
100129995 1.3343145 1.46999765 0.8451782 0.3935837 -1.1799596 2.2185669
10013 6.2909404 6.08149450 6.1011713 6.5477918 6.4865086 6.4513577
100130111 0.9465181 -0.06056847 1.0160259 0.3935837 0.7906250 1.2102541
100130197 0.4145415 -0.51431550 -0.1631525 0.3935837 -0.3893400 0.4621297
100130335 4.2602589 4.08763926 3.3113903 3.2299451 4.0763219 2.8997438
100130348 2.7402674 3.20777477 2.8513949 3.4182919 3.8042799 2.2893509
100130357 1.1534072 0.28409641 0.8451782 -1.1799596 -0.3893400 -0.1369039
100130466 3.1794003 3.24762451 3.6071245 3.0517134 2.4841905 2.2893509
100130476 -1.1799596 0.56209200 1.4329070 -0.6006954 -1.1799596 0.6885173
100130522 0.7049121 0.56209200 0.8451782 1.1282546 0.1184844 3.4864285
100130550 0.9465181 1.17165012 0.1621137 1.1282546 -1.1799596 -0.1369039
100130564 3.2259651 2.89295741 3.1371682 2.5590434 1.9944452 2.9442946
100130581 -1.1799596 0.79507679 -0.1631525 0.3935837 1.0369876 -1.1799596
100130691 1.1534072 0.99561542 1.0160259 1.1282546 1.8728340 0.1934833
100130705 2.2021823 2.02290761 3.2442045 4.5311237 4.0763219 3.4559816
100130748 1.6396477 1.17165012 0.8451782 0.9766342 0.4933489 0.8841515
100130750 1.7710690 1.71709480 2.1720818 1.3907147 2.5649435 1.3492726
100130855 2.7402674 2.35023273 1.8493256 1.6126968 2.1065973 1.7004370
100130958 0.0506126 -0.06056847 0.8451782 1.3907147 1.8728340 2.4212815
100131017 2.3774264 3.28640305 2.6584544 2.5590434 2.5649435 3.6021704
100131031 2.2924636 0.99561542 2.1720818 1.7120683 1.5937283 1.4760648
100131033 2.2021823 -0.06056847 2.0197107 1.2654449 1.7400202 2.4212815
100131067 2.5336706 2.84180296 2.7581476 2.3892781 3.2419290 3.5740938
100131089 1.8915117 3.03636250 3.1371682 3.6108489 3.1919523 2.4212815
100131094 0.7049121 0.79507679 0.6513460 1.1282546 1.0369876 0.4621297
100131138 4.6328111 4.96504283 4.6342201 5.3729149 5.2405700 3.3605846
100131187 3.2259651 3.43186506 3.7103025 2.8039562 3.0307109 3.3605846
100131193 2.5336706 3.71376854 3.0215496 2.7109187 1.4309107 2.8062898
100131211 3.3985086 3.39685130 3.2442045 3.5039811 3.5894642 3.6297111
100131213 1.4950437 0.56209200 0.6513460 0.1316953 2.1065973 3.1098956
100131471 2.3774264 2.27509761 2.0197107 2.7581873 1.4309107 1.3492726
100131656 3.0299464 3.79669585 3.1737364 3.7341808 4.1825085 4.6582645
100131685 0.0506126 1.17165012 0.8451782 0.1316953 1.7400202 0.8841515
100131691 1.3343145 2.42164777 2.0197107 2.5046447 1.8728340 4.7236236
100131740 0.7049121 -0.51431550 0.1621137 -0.1885155 0.4933489 0.4621297
100131801 2.8030435 3.28640305 2.8513949 2.7581873 2.9122461 3.9247338
100131827 0.0506126 -0.51431550 -1.1799596 -0.1885155 0.4933489 1.4760648
100131828 0.0506126 -0.51431550 0.8451782 0.3935837 0.4933489 0.6885173
100131940 1.6396477 1.32852242 1.6560888 1.9747196 1.9944452 1.7004370
100132074 0.9465181 2.02290761 1.8493256 1.3907147 1.0369876 2.8997438
100132086 0.0506126 -0.06056847 -1.1799596 0.6151570 0.1184844 -1.1799596
100132116 6.3234246 6.09247791 6.3167983 4.3424076 5.2157744 5.7745642
100132126 0.7049121 0.28409641 1.3068736 -0.1885155 0.4933489 -0.5661510
100132215 0.0506126 0.79507679 -0.1631525 1.2654449 0.4933489 1.4760648
100132537 2.6058738 2.84180296 2.8513949 2.1968383 2.1065973 1.7004370
100132609 0.0506126 1.59882996 1.1687667 -0.1885155 1.0369876 -0.1369039
100132659 0.0506126 -0.06056847 0.6513460 0.9766342 0.1184844 -0.1369039
100132891 0.0506126 -0.51431550 -0.5837706 1.5059710 1.2473525 -1.1799596
100132972 0.7049121 0.28409641 0.4273692 1.3907147 1.0369876 -1.1799596
100133234 0.4145415 1.59882996 1.1687667 0.8071874 0.1184844 1.2102541
100133286 0.0506126 -0.06056847 0.1621137 0.6151570 0.4933489 -0.1369039
100133315 0.0506126 1.46999765 -0.5837706 0.3935837 -1.1799596 0.8841515
100134934 0.9465181 2.67646395 2.4356679 2.5590434 2.3077122 -0.1369039
10014 6.1288549 6.65222745 6.8016946 6.2746500 6.7292138 6.1758335
100144603 0.4145415 0.56209200 0.4273692 0.8071874 0.1184844 1.2102541
100144748 2.6746350 2.11195991 1.0160259 1.8923702 2.1065973 6.7310894
10015 7.5125967 7.37770748 7.5503490 7.5359334 7.5881290 7.5175620
10016 4.9144881 5.21666635 5.2877074 4.9528678 4.6942364 5.8642439
100170229 0.4145415 0.56209200 0.8451782 0.1316953 0.1184844 -0.1369039
100170841 3.0815039 4.27283911 3.5245903 3.4474242 3.2902323 7.0157416
10018 2.9209512 4.27283911 3.6071245 4.2462179 3.9315556 6.5662751
100188847 0.9465181 0.56209200 1.8493256 1.5059710 1.8728340 1.3492726
10019 4.0171553 4.85325181 3.8968538 5.0125642 4.8311357 5.8526038
100190938 1.6396477 0.56209200 -1.1799596 1.2654449 0.7906250 -0.1369039
1002 0.7049121 -0.06056847 -1.1799596 -1.1799596 0.1184844 -0.5661510
10020 3.3572685 4.10943078 3.6071245 4.1070953 3.6646799 4.2604445
10021 8.1479413 7.92268443 8.1060724 7.3784620 7.7040947 8.0796871
10023 0.7049121 2.61685396 1.8493256 1.8050341 2.6414149 5.5039670
10024 3.7880624 4.04304318 3.5526296 1.3907147 1.4309107 2.8997438
10026 6.3759904 5.72003547 6.2369676 6.4682985 6.3044638 6.0692365
100268168 1.1534072 1.59882996 0.4273692 1.8050341 1.4309107 2.7571900
100270804 0.7049121 1.32852242 1.7559401 1.8923702 1.2473525 0.8841515
100270827 -1.1799596 -0.06056847 -0.1631525 1.5059710 1.2473525 1.0563972
100270840 3.9632016 3.56399464 3.9610277 3.9119023 4.4396864 3.4864285
100270854 3.9904306 4.04304318 4.0022773 4.2462179 4.5627700 3.6832637
100270865 5.2548208 5.17593994 5.0914282 5.0415109 5.4675729 4.1506611
100271271 3.0815039 2.67646395 2.6058994 2.6620487 2.6414149 2.7571900
100271332 0.0506126 -1.17995959 -1.1799596 -1.1799596 0.1184844 -0.5661510
100271415 2.5336706 2.94236000 1.7559401 2.4481143 1.4309107 1.4760648
100271479 0.0506126 -0.51431550 0.8451782 1.2654449 -1.1799596 0.4621297
100271884 -1.1799596 0.79507679 -1.1799596 0.1316953 0.1184844 -0.1369039
100272147 2.4576626 2.11195991 2.4946720 2.9737614 1.9944452 3.0294699
100286844 1.4950437 1.59882996 -0.1631525 1.7120683 1.7400202 1.7004370
100287015 2.0026695 1.46999765 1.6560888 2.2638779 2.7831765 3.0702431
100287049 0.9465181 0.99561542 2.0197107 1.3907147 1.0369876 0.4621297
100287074 0.7049121 1.59882996 0.6513460 0.3935837 1.4309107 1.3492726
100287616 3.3572685 3.59521919 3.5526296 2.8913556 2.3986481 3.4248783
100287722 0.9465181 1.17165012 0.6513460 0.8071874 0.7906250 2.3568238
100287808 0.0506126 0.56209200 -0.1631525 0.3935837 -1.1799596 4.0725379
100287837 0.0506126 1.92799470 1.1687667 -0.1885155 1.0369876 0.8841515
100287896 1.1534072 2.55467443 2.8958516 2.8039562 3.1919523 -1.1799596
100287902 2.0026695 1.32852242 -1.1799596 0.9766342 -0.3893400 1.5926084
100287928 2.6746350 2.48969381 2.5513573 2.5590434 3.0307109 2.5989901
100287932 4.7489725 5.33237083 5.6080427 5.1340089 5.1120975 5.0330092
100288001 1.7710690 2.42164777 1.9370321 1.6126968 2.1065973 1.8945651
100288073 2.9209512 4.58427890 2.5513573 6.6977678 5.9383115 1.4760648
100288123 1.1534072 2.73370836 1.1687667 -0.1885155 1.5937283 0.6885173
100288198 1.4950437 0.28409641 2.4356679 2.1265311 3.0864845 3.3930896
100288241 -1.1799596 -1.17995959 -1.1799596 -1.1799596 -1.1799596 -1.1799596
100288413 3.1312823 2.78876780 2.9389793 2.8913556 3.5101103 6.1475339
100288513 0.9465181 -1.17995959 -0.5837706 0.6151570 -0.3893400 -0.5661510
100288842 2.0026695 2.02290761 1.3068736 0.8071874 0.7906250 -0.1369039
100289061 1.6396477 0.28409641 1.9370321 0.9766342 0.1184844 2.4829822
100289095 0.7049121 0.79507679 0.8451782 1.8050341 1.0369876 1.5926084
100289133 4.4089353 3.68503190 3.5526296 3.0132638 3.2419290 3.1860736
100289178 2.3774264 1.32852242 2.6584544 2.0526213 2.2106564 2.0656425
100289211 0.0506126 0.56209200 0.8451782 0.8071874 0.4933489 0.4621297
100289259 0.0506126 0.56209200 0.8451782 0.9766342 2.3077122 1.4760648
100289274 2.6058738 4.34808893 1.8493256 5.4469063 4.9105379 4.5614826
100289341 2.1058721 -0.06056847 1.3068736 1.2654449 1.7400202 3.9685310
100289373 0.7049121 0.99561542 1.6560888 1.2654449 1.5937283 3.2227055
100289388 0.9465181 1.32852242 2.0979069 1.8050341 1.8728340 1.0563972
100289414 0.0506126 0.56209200 0.4273692 -1.1799596 0.1184844 -0.1369039
100289635 5.0757228 5.43085252 5.2193828 5.7745586 5.6170846 3.9899409
100289640 1.7710690 1.59882996 0.1621137 1.8923702 1.0369876 1.9826382
100289678 3.3572685 2.94236000 3.1371682 3.1256686 3.7361678 3.8564393
100293516 3.6582514 4.43694669 3.5801344 2.9331468 2.7831765 2.0656425
100294362 1.1534072 1.46999765 0.8451782 1.6126968 2.3077122 1.7004370
1003 1.4950437 1.82639511 0.1621137 0.8071874 1.2473525 0.8841515
100302692 3.1794003 3.36096658 2.4356679 3.0132638 2.3077122 2.2185669
100302736 1.1534072 1.59882996 1.7559401 2.9737614 3.1919523 0.8841515
100303728 3.4386025 2.94236000 3.9399520 3.0891649 3.7706258 3.6297111
100303755 1.6396477 1.82639511 1.6560888 1.8050341 1.5937283 0.1934833
100312828 0.4145415 0.99561542 -0.1631525 0.1316953 2.3077122 0.1934833
100312850 -1.1799596 1.17165012 2.3741475 1.2654449 1.2473525 0.6885173
10036 4.6499893 4.71794952 4.4966564 2.8913556 3.2902323 4.8460778
100379345 1.6396477 1.32852242 1.6560888 0.1316953 0.7906250 -0.1369039
10038 5.3419631 5.54719112 5.5184715 5.7860076 4.9411143 3.0702431
100381270 0.0506126 0.56209200 0.4273692 -0.1885155 0.4933489 1.2102541
10039 3.5526031 3.20777477 3.4668219 3.5584043 4.1036102 1.7004370
1004 5.1858261 5.14462245 4.4226211 4.0512593 3.5894642 3.3605846
10040 3.9071514 4.59975767 4.0224682 4.4470790 4.8792995 3.1484874
100418710 -0.4372633 1.17165012 1.3068736 0.9766342 2.2106564 1.9826382
100418735 1.1534072 0.99561542 1.5488093 0.9766342 0.7906250 0.4621297
100418744 0.9465181 2.67646395 1.6560888 0.6151570 0.7906250 2.2893509
100418770 -0.4372633 -1.17995959 -0.5837706 -1.1799596 -1.1799596 -1.1799596
100418781 2.5336706 2.61685396 2.5513573 1.2654449 1.7400202 1.8945651
100418819 1.1534072 2.02290761 2.0979069 0.9766342 1.8728340 1.9826382
100418829 2.5336706 1.59882996 1.4329070 0.8071874 1.4309107 0.6885173
100418888 0.4145415 0.56209200 2.1720818 0.6151570 1.2473525 0.4621297
100418889 2.2021823 3.39685130 2.6584544 2.9331468 2.6414149 2.4212815
100418910 1.3343145 0.56209200 0.1621137 0.1316953 -0.3893400 -0.1369039
100418919 2.0026695 2.61685396 2.8055245 2.8039562 2.2106564 2.8062898
100419028 2.0026695 1.17165012 1.6560888 1.9747196 2.1065973 2.8997438
100419185 0.0506126 -0.06056847 -1.1799596 0.3935837 0.4933489 0.8841515
100419416 0.9465181 1.32852242 0.8451782 1.1282546 -1.1799596 1.5926084
100419515 0.0506126 -1.17995959 0.4273692 0.6151570 0.4933489 -0.1369039
100419645 0.9465181 0.99561542 0.8451782 -1.1799596 1.0369876 0.4621297
100419758 0.4145415 2.02290761 0.8451782 1.7120683 0.7906250 2.2893509
100419928 1.7710690 2.02290761 2.6584544 1.8050341 2.1065973 1.3492726
10042 5.2435484 5.32307543 5.0128703 4.8031473 4.7643093 4.7363474
100420028 -1.1799596 -0.06056847 0.1621137 0.6151570 0.1184844 1.3492726
100420050 0.0506126 0.79507679 -1.1799596 0.8071874 0.1184844 -1.1799596
100420110 2.8632016 2.94236000 3.3113903 3.1612715 3.4687341 3.8564393
100420187 -0.4372633 0.56209200 -1.1799596 -0.1885155 0.4933489 0.4621297
100420259 4.1678730 3.94948936 3.6851915 3.7576307 3.8371669 3.8564393
100420307 0.9465181 0.99561542 0.8451782 -0.1885155 -1.1799596 0.4621297
100420341 5.4340910 5.12335995 5.4678338 7.2664508 6.8589835 4.7861495
100420423 1.1534072 2.11195991 0.4273692 1.5059710 0.1184844 1.0563972
100420591 0.4145415 0.56209200 0.8451782 -0.1885155 1.0369876 0.4621297
100420707 1.8915117 1.17165012 2.1720818 2.8913556 1.4309107 2.0656425
100420752 0.9465181 1.92799470 2.1720818 2.6114652 1.2473525 -0.1369039
100420869 4.4874845 4.15205054 4.0620213 3.8694820 3.4261362 4.7861495
100420981 5.7688823 5.76191520 5.8475554 5.9062909 5.8921093 5.3958411
100421093 3.6238878 3.92512127 3.5526296 3.9931750 3.8371669 4.5031166
100421109 -1.1799596 -0.51431550 0.1621137 0.3935837 0.1184844 1.2102541
100421160 0.0506126 0.99561542 0.6513460 0.3935837 0.7906250 0.1934833
100421175 -0.4372633 -0.06056847 -0.5837706 -0.1885155 -1.1799596 0.8841515
100421246 0.7049121 0.56209200 0.1621137 0.6151570 0.1184844 1.2102541
100421311 0.4145415 -1.17995959 1.3068736 1.2654449 1.7400202 2.0656425
100421372 2.1058721 1.59882996 1.6560888 1.8050341 2.3986481 4.0725379
100421400 2.0026695 1.46999765 1.9370321 2.4481143 1.4309107 0.4621297
100421415 0.4145415 1.46999765 1.4329070 2.3892781 1.2473525 -1.1799596
100421429 0.4145415 -1.17995959 -0.5837706 0.3935837 1.0369876 -0.1369039
100421465 0.7049121 1.32852242 0.8451782 1.6126968 1.0369876 1.2102541
100421468 2.9209512 2.35023273 2.0979069 1.8923702 2.1065973 2.4212815
100421506 0.4145415 0.56209200 0.4273692 1.1282546 -1.1799596 1.5926084
100421569 0.4145415 1.17165012 -0.1631525 1.2654449 -0.3893400 1.5926084
100421595 -0.4372633 -0.06056847 -1.1799596 -0.6006954 0.1184844 -0.1369039
100421794 -1.1799596 -1.17995959 -1.1799596 -1.1799596 -1.1799596 -1.1799596
100422106 1.3343145 1.32852242 1.1687667 1.5059710 1.8728340 2.3568238
100422338 2.6058738 1.32852242 2.7091619 2.0526213 1.9944452 2.6536737
100422546 0.0506126 0.56209200 0.1621137 0.6151570 0.1184844 1.9826382
100422561 3.5526031 3.16679298 3.6336190 3.8477947 3.5101103 2.7063601
10043 5.5484349 5.74808993 5.9721645 5.6485177 5.8443784 5.4038390
10044 0.4145415 0.99561542 0.1621137 -0.1885155 -1.1799596 2.4212815
10045 -1.1799596 -0.06056847 0.4273692 -0.1885155 0.4933489 1.8945651
10046 0.7049121 -0.06056847 -0.5837706 -0.1885155 0.4933489 1.4760648
10048 6.5043210 6.73516261 6.5744037 6.7944672 6.5573000 7.4554310
10049 6.1288549 6.35669200 5.8700143 6.1517116 6.3393174 6.5698339
100499177 3.1794003 2.94236000 2.1720818 2.7581873 2.7140362 1.7004370
100499483 2.2924636 3.20777477 2.9389793 3.1256686 2.3077122 2.1441300
1005 -1.1799596 0.56209200 -0.1631525 -1.1799596 -1.1799596 -0.1369039
100500719 0.7049121 0.56209200 1.7559401 0.8071874 0.1184844 1.4760648
100505385 2.4576626 4.04304318 2.7091619 2.0526213 3.2419290 3.7093125
100505501 1.6396477 2.11195991 0.8451782 2.3892781 2.5649435 1.3492726
100505538 0.0506126 0.99561542 0.8451782 0.8071874 -1.1799596 3.3605846
100505549 1.1534072 0.79507679 1.9370321 0.8071874 2.2106564 0.6885173
100505573 6.2294173 5.96081945 6.1200331 5.9010356 6.2926563 7.3225156
100505576 0.7049121 1.82639511 1.1687667 2.1968383 -1.1799596 2.5421519
100505616 -1.1799596 0.99561542 0.4273692 0.6151570 0.1184844 0.1934833
100505624 0.9465181 1.17165012 2.1720818 0.8071874 -0.3893400 0.6885173
100505635 1.3343145 -0.06056847 0.8451782 -0.6006954 -1.1799596 -1.1799596
100505641 2.6746350 2.67646395 2.8055245 2.7109187 2.3986481 2.4212815
100505648 2.2021823 1.92799470 2.7581476 3.1256686 2.4841905 1.8945651
100505678 2.0026695 2.19583345 2.5513573 2.3892781 2.7831765 2.2893509
100505696 4.9144881 5.09086683 4.5110183 5.1606401 4.6393538 5.2789502
100505715 -0.4372633 0.28409641 1.1687667 0.9766342 1.7400202 0.6885173
100505738 3.3148148 3.49944196 3.9399520 3.0132638 3.6275622 4.2779562
100505741 1.4950437 1.32852242 2.6058994 1.8050341 1.5937283 2.3568238
100505758 3.4776122 3.46604914 3.1371682 3.6363732 3.4261362 3.0702431
100505761 2.4576626 2.78876780 2.8513949 3.6861057 3.8371669 2.6536737
100505771 2.6058738 1.32852242 2.9808551 2.2638779 2.3077122 2.6536737
100505783 2.4576626 2.67646395 2.0197107 3.0132638 2.8491542 4.6715754
100505806 4.2148053 5.26600902 4.4226211 5.4965313 5.2157744 4.0318304
100505812 0.7049121 0.79507679 2.1720818 2.1265311 1.5937283 1.2102541
100505832 1.3343145 0.99561542 1.6560888 2.8039562 1.0369876 2.4212815
100505854 3.7246164 5.15513733 3.2781885 4.9730423 4.5228976 5.6920606
100505876 5.2321872 5.69863071 5.7049241 5.5309608 5.7696839 5.1132433
100505894 3.4386025 2.89295741 2.3098863 3.2954978 3.0307109 2.3568238
100505933 0.4145415 -1.17995959 0.1621137 0.1316953 0.1184844 0.6885173
100505994 0.0506126 1.32852242 0.1621137 0.9766342 1.0369876 -1.1799596
100506020 2.2924636 2.27509761 1.4329070 1.7120683 0.7906250 0.6885173
100506033 4.5978287 4.38429138 4.4073469 4.3578337 4.3051141 4.2604445
100506054 1.6396477 -0.06056847 1.3068736 0.6151570 0.4933489 1.4760648
100506068 1.4950437 1.32852242 1.6560888 0.3935837 0.1184844 2.6536737
100506070 0.7049121 2.61685396 1.1687667 1.8923702 2.1065973 0.6885173
100506083 1.4950437 0.28409641 0.1621137 1.1282546 0.7906250 0.6885173
100506100 1.1534072 -1.17995959 0.6513460 -0.6006954 0.7906250 0.6885173
100506119 0.9465181 1.71709480 2.2426288 1.3907147 1.9944452 3.2584302
100506127 1.3343145 2.84180296 1.7559401 0.8071874 1.5937283 2.4829822
100506142 0.4145415 -0.06056847 -1.1799596 -0.6006954 0.7906250 -0.1369039
100506144 1.7710690 0.79507679 0.6513460 1.8050341 2.5649435 0.6885173
100506161 0.0506126 1.59882996 -0.1631525 1.1282546 -1.1799596 -0.1369039
100506211 2.6058738 3.65571120 4.0813986 2.2638779 1.7400202 0.1934833
100506235 1.6396477 1.59882996 1.8493256 2.0526213 2.1065973 3.0294699
100506258 1.8915117 1.17165012 2.5513573 1.8050341 1.5937283 1.4760648
100506282 2.8030435 2.55467443 2.6584544 2.7581873 2.7140362 2.5421519
100506286 -1.1799596 0.99561542 1.1687667 1.5059710 0.1184844 3.7348994
100506302 1.3343145 1.82639511 1.7559401 -0.1885155 1.4309107 1.8945651
100506321 -0.4372633 1.71709480 0.4273692 -0.1885155 0.1184844 0.4621297
100506325 0.7049121 0.28409641 1.1687667 1.5059710 0.4933489 1.7004370
100506343 -0.4372633 0.79507679 0.6513460 0.6151570 -0.3893400 3.1098956
100506365 5.1739992 5.52303906 5.3449471 5.5909363 5.4780371 3.2227055
100506368 0.0506126 -0.06056847 -0.1631525 0.8071874 -1.1799596 0.4621297
100506380 3.1794003 4.15205054 3.8748121 3.8694820 4.4181114 4.0725379
100506392 3.8488354 3.94948936 3.2442045 3.6108489 3.5503327 2.4829822
100506394 1.4950437 2.19583345 1.6560888 3.0517134 2.1065973 5.1229659
100506411 1.6396477 1.46999765 1.3068736 0.6151570 1.4309107 3.1098956
100506433 2.5336706 3.24762451 2.2426288 3.0132638 2.4841905 1.2102541
100506462 -0.4372633 0.99561542 0.1621137 0.3935837 0.7906250 3.1098956
100506469 4.8711976 4.80064360 4.9404381 5.0222778 5.2769821 4.8224044
100506495 1.6396477 1.46999765 1.3068736 1.3907147 0.4933489 2.8537734
100506504 1.3343145 1.92799470 1.3068736 2.3279400 2.1065973 1.9826382
100506540 1.3343145 2.19583345 1.0160259 0.6151570 -1.1799596 2.4829822
100506581 1.3343145 -0.06056847 1.4329070 1.2654449 2.3077122 0.6885173
100506606 0.9465181 1.71709480 0.4273692 0.9766342 1.0369876 3.0702431
100506658 1.6396477 1.59882996 1.6560888 2.6114652 2.3077122 3.1484874
100506668 2.2924636 2.42164777 2.1720818 2.7581873 1.9944452 2.5421519
100506686 0.4145415 0.79507679 1.6560888 1.8050341 2.7140362 0.8841515
100506691 0.4145415 0.28409641 1.5488093 0.9766342 1.4309107 0.1934833
100506696 2.0026695 1.71709480 2.6058994 2.4481143 2.9726941 3.5454598
100506697 0.7049121 0.79507679 0.4273692 0.1316953 -1.1799596 0.4621297
100506710 6.6734664 6.75948575 6.3571048 7.2947786 7.1083619 7.2600035
100506713 0.4145415 -0.51431550 0.4273692 -0.6006954 -1.1799596 0.1934833
100506725 4.9286343 4.81397659 4.5252385 4.2627015 2.6414149 1.3492726
100506731 2.0026695 2.35023273 1.1687667 1.5059710 2.5649435 3.0294699
100506757 -1.1799596 -0.51431550 -1.1799596 1.9747196 1.5937283 2.1441300
100506779 -1.1799596 -0.51431550 0.6513460 0.1316953 -0.3893400 0.8841515
100506804 1.6396477 0.56209200 0.6513460 0.3935837 0.7906250 1.7004370
100506826 1.6396477 2.55467443 1.7559401 1.5059710 1.0369876 0.8841515
100506844 3.2710739 2.99012673 2.6584544 3.5039811 3.7361678 2.3568238
100506866 6.7865232 6.57210072 6.6956675 6.8225348 6.2985721 4.6175789
100506881 0.9465181 0.56209200 0.1621137 1.1282546 0.7906250 4.1881915
100506885 0.0506126 0.79507679 -1.1799596 -1.1799596 0.1184844 1.0563972
100506911 1.3343145 0.56209200 0.8451782 0.3935837 1.7400202 -0.1369039
100506922 -0.4372633 0.28409641 0.4273692 -0.1885155 -0.3893400 3.6297111
100506930 3.8187689 4.04304318 3.9610277 4.1431538 4.0485075 3.2227055
100506994 0.4145415 -1.17995959 0.4273692 0.9766342 0.1184844 1.5926084
100507003 2.2021823 1.82639511 0.4273692 1.9747196 2.9726941 -0.1369039
100507032 0.4145415 0.99561542 1.4329070 0.8071874 1.2473525 1.8945651
100507034 2.5336706 3.08116239 2.8513949 2.5046447 2.9122461 3.7348994
100507050 1.1534072 0.56209200 1.9370321 -0.1885155 0.1184844 3.6297111
100507053 1.1534072 0.79507679 0.4273692 1.6126968 0.7906250 2.5989901
100507057 0.4145415 0.56209200 -0.1631525 0.6151570 0.4933489 1.5926084
100507062 0.4145415 0.99561542 -0.1631525 1.5059710 0.4933489 3.6021704
100507071 0.9465181 -0.06056847 0.6513460 0.9766342 -0.3893400 0.1934833
100507156 3.1312823 2.99012673 2.8055245 2.4481143 2.7140362 3.9467986
100507171 2.8030435 2.99012673 2.9389793 3.7103435 4.0485075 1.2102541
100507173 1.1534072 0.99561542 0.4273692 1.1282546 0.4933489 -0.1369039
100507178 0.7049121 0.28409641 0.4273692 1.3907147 1.0369876 1.2102541
100507244 1.7710690 0.79507679 0.8451782 1.6126968 1.2473525 2.4829822
100507246 3.0299464 2.89295741 3.4066435 2.0526213 3.5503327 2.4829822
100507250 0.4145415 -0.06056847 -0.1631525 0.1316953 -1.1799596 -0.5661510
100507254 -1.1799596 0.56209200 0.4273692 -1.1799596 -1.1799596 -1.1799596
100507266 0.0506126 0.99561542 0.8451782 1.2654449 1.4309107 1.2102541
100507290 4.3679965 4.61507212 4.4821502 4.4897133 4.8792995 4.3459517
100507291 1.6396477 2.84180296 0.4273692 2.2638779 2.7140362 2.0656425
100507303 2.9209512 2.89295741 3.6071245 2.3279400 2.6414149 3.0294699
100507308 1.3343145 0.56209200 0.4273692 -0.1885155 0.4933489 0.4621297
100507316 2.0026695 1.32852242 2.0197107 1.3907147 2.9122461 2.7571900
100507331 1.6396477 2.27509761 1.9370321 2.0526213 2.7140362 2.5989901
100507347 1.4950437 1.82639511 1.4329070 1.2654449 1.2473525 2.5989901
100507373 2.1058721 1.32852242 2.1720818 2.5046447 2.3077122 2.8537734
100507392 1.1534072 1.46999765 0.8451782 -1.1799596 -1.1799596 0.4621297
100507398 1.1534072 0.56209200 1.3068736 2.2638779 2.6414149 4.0110377
100507401 0.7049121 0.99561542 1.0160259 0.6151570 -1.1799596 1.8007638
100507420 0.9465181 1.32852242 0.1621137 0.1316953 0.7906250 -0.1369039
100507433 2.0026695 2.35023273 1.9370321 1.9747196 1.4309107 2.5989901
100507436 0.0506126 -1.17995959 0.1621137 0.3935837 0.4933489 0.4621297
100507437 2.4576626 1.92799470 2.0979069 2.2638779 3.0307109 1.4760648
100507459 1.6396477 2.27509761 2.0979069 2.7581873 1.7400202 3.8090448
100507463 1.4950437 0.28409641 1.4329070 0.8071874 0.1184844 2.9442946
100507487 1.8915117 2.35023273 1.8493256 2.6620487 2.3077122 3.2584302
100507495 2.1058721 2.61685396 2.6058994 2.7109187 2.2106564 3.1098956
100507516 0.7049121 -0.06056847 0.4273692 -0.6006954 -1.1799596 -1.1799596
100507551 2.2924636 2.11195991 2.2426288 1.2654449 1.2473525 1.7004370
100507557 -1.1799596 -0.06056847 0.4273692 1.8050341 0.7906250 1.8007638
100507564 -0.4372633 -0.06056847 -1.1799596 -0.1885155 0.7906250 1.0563972
100507567 1.1534072 0.79507679 1.4329070 0.8071874 0.7906250 2.1441300
100507588 0.0506126 1.17165012 0.8451782 0.8071874 -0.3893400 0.6885173
100507599 1.6396477 1.32852242 1.4329070 1.9747196 1.2473525 1.7004370
100507602 2.6058738 3.12461291 3.2442045 2.6620487 2.6414149 2.3568238
100508120 2.9209512 3.43186506 2.8513949 3.5584043 3.3369707 0.1934833
10051 7.0257466 7.05729696 7.0157371 5.7099120 5.1387235 6.2924292
10052 1.7710690 1.59882996 1.4329070 0.9766342 1.7400202 1.8945651
100526737 2.1058721 2.11195991 1.9370321 2.4481143 1.5937283 2.4212815
100526760 0.4145415 0.56209200 -0.1631525 1.2654449 1.2473525 1.3492726
100526820 -0.4372633 1.17165012 -0.1631525 -0.6006954 1.4309107 1.3492726
100526835 4.9286343 5.24647399 4.7108724 4.3730966 4.3051141 -0.1369039
100527978 1.1534072 1.32852242 1.4329070 1.2654449 1.4309107 1.0563972
100529145 0.9465181 1.32852242 2.0197107 0.8071874 1.9944452 0.1934833
100529215 -1.1799596 -0.51431550 -0.1631525 0.9766342 0.7906250 -0.5661510
100532746 3.9632016 3.74194395 4.1924952 4.0887224 4.2328078 4.0523277
100533106 -0.4372633 1.17165012 1.1687667 -0.1885155 1.5937283 0.8841515
100533182 1.3343145 -0.51431550 -0.1631525 1.1282546 0.7906250 2.7063601
100533619 1.1534072 -0.06056847 0.4273692 -0.6006954 -1.1799596 2.1441300
100533629 1.7710690 1.32852242 1.3068736 0.9766342 0.1184844 -0.5661510
100533695 0.9465181 0.28409641 -0.1631525 0.3935837 0.7906250 0.6885173
100533970 -0.4372633 0.99561542 0.6513460 1.6126968 1.4309107 1.9826382
100534593 0.9465181 0.56209200 2.0197107 1.8923702 1.2473525 2.1441300
10054 5.2548208 5.73413089 5.4751775 5.6039323 5.5191510 5.6183644
10056 5.9462270 5.74808993 5.4153539 5.8364323 5.4884259 4.3949245
10057 7.7738750 7.45420812 7.6687711 7.7571086 7.5588531 8.4812805
10058 4.6669653 4.13089804 4.8071245 5.6978404 5.6728047 6.6693967
10059 7.3539222 7.35963701 7.0282725 6.4718473 6.4813166 6.7215221
1006 6.0339004 5.31371974 5.8475554 5.5034832 6.0960851 6.9045821
10060 4.1438216 2.73370836 4.1380160 4.2126746 4.4396864 3.9247338
100616256 1.1534072 0.56209200 1.3068736 0.6151570 0.4933489 1.0563972
10062 1.6396477 0.28409641 2.0197107 0.9766342 1.8728340 2.5421519
10063 4.0944814 4.27283911 3.6851915 4.2951142 4.5429715 4.1121282
100652739 0.0506126 0.28409641 -1.1799596 0.8071874 1.8728340 2.0656425
100652758 0.7049121 0.99561542 0.1621137 -0.1885155 1.5937283 3.7348994
100652846 2.7402674 2.55467443 3.0611276 2.2638779 1.8728340 1.8007638
10066 6.1591666 6.11957608 6.3885584 6.4894619 6.8347611 6.4552112
10067 6.3708192 5.78240782 6.2711204 6.6263210 6.7892686 5.8290381
10068 2.6746350 3.12461291 2.8055245 2.9331468 3.0864845 3.9899409
10069 4.5978287 4.41960758 4.3919093 4.6611562 4.7981094 6.2217999
10072 5.1009266 4.53682051 5.0914282 3.8477947 4.0201463 5.6723321
10073 3.7880624 4.31095458 3.5245903 3.6363732 4.0763219 3.7348994
10075 8.7889914 8.46723516 8.7307101 9.1571401 9.1250117 8.9153523
10076 5.6023786 5.21666635 5.6986639 5.6672119 5.8033597 7.0052661
10077 4.1193624 4.56863226 4.6857714 2.8913556 3.8042799 1.5926084
100775107 1.3343145 1.71709480 1.1687667 1.2654449 0.4933489 1.0563972
10078 4.5437113 5.03503046 4.5532654 4.5446672 5.0291374 5.3633988
10079 4.9144881 4.40205754 5.1476610 5.4251046 5.8033597 5.4431764
1008 4.2148053 3.97345268 4.4966564 3.5039811 4.1303919 4.3949245
10081 4.6328111 5.44805781 4.8529448 5.1429407 5.1648671 6.6187571
10082 8.1266237 7.36643999 8.1155022 8.3116864 7.9381019 7.0157416
100820829 5.2990498 5.68418237 5.7358242 4.6858132 4.7471075 3.6297111
10084 5.3733307 5.01207644 5.1198186 4.9830247 5.0849707 4.7861495
100847074 1.6396477 1.82639511 1.0160259 2.1265311 1.2473525 2.0656425
10085 8.5852943 8.34741833 8.3818705 8.3372037 8.5816297 8.5405186
100852407 0.4145415 1.59882996 0.6513460 2.0526213 2.1065973 1.5926084
100861412 0.7049121 1.59882996 0.8451782 1.9747196 0.1184844 -1.1799596
100861548 4.1915300 3.24762451 4.0813986 4.8143724 5.1387235 5.7929516
100862671 1.1534072 1.17165012 1.6560888 0.6151570 0.1184844 0.8841515
10087 6.0141358 6.12493516 6.0231567 6.3304481 6.7026905 7.7781724
100873257 0.0506126 0.56209200 0.6513460 0.9766342 0.1184844 0.6885173
100873333 3.0815039 2.78876780 3.1371682 2.5046447 3.2419290 3.5162461
100873790 4.0944814 4.19344729 4.3121417 3.6363732 3.1919523 4.1506611
100873949 0.9465181 1.17165012 0.6513460 0.9766342 0.1184844 -0.5661510
100873952 -0.4372633 1.17165012 -0.1631525 0.8071874 0.4933489 -0.5661510
100873965 0.7049121 2.02290761 2.3098863 1.9747196 2.6414149 1.3492726
100874006 0.7049121 -0.06056847 0.1621137 -0.6006954 0.7906250 -0.5661510
100874008 1.6396477 1.32852242 0.4273692 0.8071874 1.4309107 2.5421519
100874014 2.8030435 3.90033450 2.7091619 3.3271899 3.1919523 2.2893509
100874058 0.9465181 0.79507679 1.4329070 2.1968383 1.2473525 0.4621297
100874080 1.1534072 0.99561542 1.3068736 0.9766342 0.1184844 0.6885173
100874097 1.8915117 1.17165012 1.0160259 1.5059710 1.8728340 1.2102541
100874201 0.4145415 0.79507679 1.0160259 0.3935837 -0.3893400 -0.1369039
100874212 1.1534072 0.28409641 1.0160259 0.8071874 1.7400202 1.3492726
100874217 -0.4372633 1.17165012 0.4273692 1.1282546 0.4933489 -0.5661510
100874235 1.8915117 0.28409641 1.4329070 0.9766342 0.7906250 0.4621297
100874261 0.0506126 -0.06056847 0.8451782 0.9766342 -0.3893400 1.8007638
100874291 1.4950437 0.99561542 -0.1631525 -0.1885155 -1.1799596 -0.1369039
100874362 2.0026695 1.92799470 1.5488093 2.3892781 2.3986481 3.9685310
100874523 2.9209512 2.73370836 1.0160259 1.6126968 1.0369876 0.6885173
100885775 5.5756589 5.96081945 5.5466289 4.4325829 4.3284327 3.5162461
100885776 0.0506126 -0.06056847 0.4273692 2.0526213 2.9122461 1.0563972
100885848 5.1620746 5.46506032 5.2281025 3.9531109 3.7361678 3.9023263
1009 9.4245906 9.19607443 8.9302461 7.7158027 8.5852641 7.1382499
10090 4.3258619 3.90033450 4.3919093 4.2627015 4.3962089 5.1612142
10092 7.0388477 7.29454608 6.7175055 6.6135261 6.7160131 6.3432208
10093 6.7066824 6.97956003 6.8561473 6.1909979 6.2867161 6.1711553
10094 4.9565173 5.35078388 5.3687999 5.0792247 5.4140822 4.6037580
10095 5.2321872 5.56307075 5.7296969 5.2542859 5.4464140 5.9376978
10097 8.0782686 7.98589766 7.7129248 7.5477516 7.5977571 7.8176224
10098 7.0224527 6.79353679 7.0579203 6.7887876 6.5172741 6.1570290
10099 8.2903166 8.06609144 8.5134162 8.2133542 8.4009556 8.2523989
100996246 0.0506126 0.99561542 1.1687667 0.1316953 2.1065973 -0.1369039
100996251 -1.1799596 0.56209200 0.6513460 0.6151570 0.4933489 1.8945651
100996307 0.0506126 0.79507679 -0.5837706 0.8071874 -1.1799596 -0.1369039
100996384 0.7049121 -0.06056847 0.4273692 0.6151570 0.7906250 1.0563972
100996419 0.7049121 1.92799470 2.6058994 2.0526213 1.8728340 2.5421519
100996485 2.2021823 2.27509761 1.0160259 0.8071874 2.6414149 2.7571900
100996539 0.0506126 -1.17995959 1.1687667 0.3935837 0.7906250 2.8062898
100996579 -1.1799596 -0.51431550 -0.1631525 1.3907147 1.2473525 1.4760648
100996696 2.9764779 2.27509761 2.2426288 2.5046447 2.7831765 2.0656425
100996842 1.1534072 0.28409641 1.8493256 0.8071874 -0.3893400 0.8841515
100996851 0.0506126 -1.17995959 0.4273692 -1.1799596 -1.1799596 0.6885173
100996939 1.4950437 0.99561542 1.0160259 0.8071874 0.4933489 0.4621297
101 0.0506126 -0.06056847 1.7559401 2.3892781 2.3077122 3.3273304
1010 -1.1799596 -0.06056847 -1.1799596 -0.1885155 -1.1799596 -1.1799596
10100 5.9252150 5.91824206 6.1432689 3.5848649 4.7296982 4.9480489
10101 4.8415983 5.36896489 5.0914282 5.3422220 5.4780371 6.1283543
10102 4.5252115 4.89148610 4.7598010 4.2126746 4.6205856 3.1860736
10103 -1.1799596 0.56209200 -1.1799596 0.9766342 0.7906250 1.7004370
10105 6.7311020 6.93143623 6.7929058 5.9425513 6.1028625 6.7993755
10106 6.8172621 7.09601408 7.0554728 7.6992462 7.8031296 7.7673644
101060200 2.6746350 2.84180296 2.3098863 2.8483176 2.6414149 3.0294699
101060691 2.5336706 3.08116239 2.0197107 2.0526213 2.1065973 0.4621297
10109 8.2344715 8.29845758 8.2262764 7.7887535 7.9381019 8.0970560
10112 5.0629539 5.69863071 5.5878605 2.8913556 1.7400202 4.3787843
10113 6.0726353 6.49555912 6.1841728 7.3245249 7.0880118 6.5769253
10114 7.7777875 8.02511931 8.1832061 7.9347653 7.9974980 8.9083417
101154753 0.7049121 0.56209200 0.4273692 0.8071874 1.2473525 1.8945651
10116 7.5242883 8.23544279 7.5624660 7.8155355 7.5953561 7.3538169
10117 1.1534072 0.79507679 1.6560888 0.8071874 1.8728340 1.8007638
1012 5.9181424 5.48186479 5.9825081 6.1605348 6.2382929 6.1186681
10121 6.1770526 5.98459685 6.3411171 5.9219428 5.9533891 5.7868485
10123 5.9181424 6.61843084 5.7111573 5.0222778 5.9230745 6.1989998
NUTL_24_H7 DMSO_24_H7 LPS_24_H7 TNFa_24_H7 H2O_24_H7 BPA_24_H7
100 4.5513277 4.06502675 4.14079772 3.656996171 3.9758175 3.8280439
1000 10.9681203 11.17480131 11.08799747 11.161700660 11.0318898 11.1095409
10000 5.6489608 5.72307647 5.66743614 5.697662015 5.7927561 5.6409866
10001 4.2856335 4.86561709 4.49162125 4.181703172 4.6180472 4.2770519
10003 4.0194008 5.01158331 5.05399690 4.531532395 4.9416994 4.8952035
100037417 2.7645340 2.73324157 2.87202330 2.578829608 2.2787917 2.8120134
100049716 2.8546911 3.68454909 2.94964527 3.835350579 2.9067989 3.3239650
10005 4.3797409 4.68155252 4.18960731 3.748927773 3.9758175 4.5221341
10006 6.5170751 6.22764021 6.14268338 6.257814890 6.2371489 6.1944469
10007 5.5779460 5.07107555 5.03631457 5.186146407 4.6689707 5.1992050
10009 5.4391279 5.39087889 5.27364850 5.371103248 5.4389082 5.5640130
100093630 4.2022314 3.44857859 3.53232244 4.442553642 4.4340171 3.8076414
1001 7.1361280 6.32161887 6.39938157 6.406373812 6.4655544 6.5419101
10010 5.0289744 5.04587867 4.97266180 4.882182359 5.2173319 5.1186824
100101267 2.7172507 1.90281671 2.34913185 0.867627611 2.5919363 2.0111917
100101467 5.4536264 5.22118320 5.21197932 5.060212159 5.3992442 5.3193657
10011 6.0433550 5.33650167 5.53519641 5.437079297 5.3164868 5.1992050
100113386 1.8109670 1.97578766 1.71110667 1.681654357 1.3219244 2.4402024
100113397 -0.1851374 1.25181011 0.32276163 1.249735588 1.7579891 0.7118996
100113407 3.2695709 3.25694041 3.53232244 3.943073782 3.6772988 3.6097416
100125288 1.9807475 1.65874379 2.29067090 1.911221574 1.6267538 1.0263218
100127983 1.5117067 2.04524478 2.34913185 1.681654357 2.8490852 2.7704500
100128006 3.2364151 3.28592570 2.98694431 3.081421626 2.6606465 3.0735919
100128016 1.3963629 1.12921482 1.17786717 1.551539048 0.6939653 1.6930610
100128025 -0.1851374 0.28377768 1.04270104 0.630406142 1.8782755 0.8776595
100128054 -0.1851374 0.49710856 1.52076897 0.346351616 -1.1799596 0.8776595
100128071 2.3341331 1.56725880 0.53909632 1.551539048 1.6267538 1.1610862
100128191 1.1336750 2.29379643 1.41527186 1.911221574 2.1885982 1.5031223
100128252 0.3980950 1.82595738 1.17786717 1.249735588 1.3219244 0.5245921
100128379 -1.1799596 -1.17995959 -1.17995959 -1.179959587 -1.1799596 -0.2511454
100128398 4.9078502 4.72453302 4.67420521 4.740063478 4.3323780 4.5346020
100128494 3.5649392 3.68454909 3.53232244 3.453440407 3.2567318 3.3239650
100128569 2.0586892 1.90281671 2.22974057 2.510427501 2.3636767 2.0808566
100128640 0.6199927 0.84750736 0.32276163 0.867627611 0.6939653 -0.6420619
100128682 1.6185077 1.97578766 2.16612303 1.800999360 0.4045040 1.0263218
100128731 6.5342292 6.48676322 6.50921320 6.675984614 5.9724270 6.1983703
100128766 0.1357529 1.12921482 -0.24119687 -1.179959587 -0.4432933 -0.6420619
100128782 2.5109065 2.40366442 1.95647963 0.630406142 2.3636767 2.8120134
100128822 3.8323542 3.13479926 2.78998633 2.823990810 3.2567318 3.1403751
100128833 2.4543550 2.29379643 2.74714947 3.127821494 2.0923879 2.3300746
100128881 1.8109670 1.97578766 2.09957025 2.198887644 2.4438435 2.3861891
100128893 4.9390979 5.89754232 5.58469735 5.666567465 5.6896631 5.7731268
100129001 0.8122667 0.49710856 0.53909632 0.867627611 0.0420052 0.7118996
100129013 2.1326350 2.04524478 2.16612303 1.551539048 2.9622923 2.5910754
100129029 -0.5984469 -0.26991026 -0.24119687 0.867627611 0.6939653 0.8776595
100129060 3.3019819 3.39637228 3.48095847 3.718930123 3.3428865 3.5859786
100129075 2.6177645 2.77473096 1.30144732 1.911221574 1.9893002 2.3300746
100129195 2.3341331 2.29379643 3.09338260 2.363050640 1.7579891 2.8917117
100129203 1.3963629 1.12921482 1.30144732 0.630406142 1.6267538 1.3978700
100129250 1.8983533 2.55421203 1.87923449 1.071295295 1.7579891 1.3978700
100129259 1.3963629 0.03333457 0.53909632 1.071295295 0.0420052 0.3092859
100129361 5.3796313 5.73888554 5.37560633 5.720550872 5.8305250 5.6352092
100129398 -1.1799596 -0.65433680 -0.63553178 -1.179959587 0.4045040 0.7118996
100129434 0.3980950 -0.26991026 1.95647963 1.800999360 0.6939653 2.0111917
100129461 -1.1799596 0.28377768 0.53909632 0.346351616 1.4823752 1.5031223
100129484 3.0196822 2.29379643 1.41527186 1.800999360 0.9349419 1.5031223
100129550 4.7046589 3.76909584 3.92715287 2.983889734 3.3841082 3.4345427
100129583 1.7179443 1.65874379 1.41527186 1.551539048 1.1413698 1.6930610
100129662 2.5653246 1.82595738 1.52076897 1.681654357 2.1885982 2.5425166
100129707 0.3980950 1.25181011 0.32276163 1.071295295 0.6939653 0.0561141
100129716 1.7179443 0.49710856 0.72718134 -0.477897884 0.9349419 0.3092859
100129726 -0.1851374 0.68291994 -0.24119687 -0.007692304 -1.1799596 0.3092859
100129774 3.9997759 3.82940533 3.86840414 3.863044793 3.5742072 3.7869463
100129781 -1.1799596 0.03333457 0.72718134 -1.179959587 0.0420052 0.8776595
100129792 -0.5984469 0.84750736 0.06816556 0.630406142 -1.1799596 0.5245921
100129794 2.8977413 2.17486665 1.87923449 1.551539048 2.4438435 2.5910754
100129842 0.6199927 0.68291994 0.72718134 -0.007692304 0.0420052 0.0561141
100129917 1.7179443 1.25181011 1.30144732 1.249735588 1.9893002 0.3092859
100129924 0.8122667 -0.65433680 0.89354964 0.630406142 -1.1799596 0.7118996
100129940 0.3980950 1.12921482 -0.24119687 1.408514912 -1.1799596 0.3092859
100129995 0.3980950 1.46957735 2.56182323 2.283302879 1.4823752 2.0808566
10013 5.9995620 5.89754232 6.23083111 6.338944834 6.0892027 5.9923492
100130111 1.7179443 0.68291994 1.52076897 0.346351616 0.6939653 0.8776595
100130197 0.6199927 0.03333457 -0.24119687 0.630406142 0.6939653 0.3092859
100130335 3.8974351 3.16631758 3.78615512 3.835350579 3.8042087 3.1726420
100130348 2.5109065 2.77473096 2.56182323 2.198887644 2.8490852 2.8524128
100130357 0.9819030 1.46957735 0.06816556 0.630406142 1.4823752 1.1610862
100130466 3.1321147 3.66261489 2.74714947 2.706611571 2.8490852 2.8120134
100130476 0.3980950 0.99522613 1.04270104 -0.477897884 1.1413698 -0.2511454
100130522 0.9819030 0.49710856 1.41527186 -0.007692304 0.6939653 1.2843304
100130550 0.1357529 0.28377768 0.32276163 -1.179959587 0.4045040 -0.6420619
100130564 3.5649392 2.96596932 2.83158785 3.656996171 3.2116450 2.7276535
100130581 0.3980950 0.28377768 0.32276163 -1.179959587 -1.1799596 1.0263218
100130691 1.5117067 1.74477181 2.29067090 1.911221574 0.9349419 1.0263218
100130705 1.6185077 2.55421203 0.89354964 0.630406142 0.9349419 1.8608776
100130748 1.5117067 0.99522613 1.41527186 1.408514912 1.1413698 0.8776595
100130750 1.8983533 1.90281671 1.79761834 1.249735588 2.1885982 1.7794080
100130855 1.3963629 1.46957735 2.16612303 1.408514912 2.2787917 1.9379914
100130958 1.8983533 0.03333457 0.32276163 0.867627611 1.3219244 1.0263218
100131017 2.8103167 2.55421203 2.22974057 2.983889734 2.7889661 2.4402024
100131031 1.3963629 1.25181011 2.09957025 0.630406142 0.6939653 1.8608776
100131033 1.5117067 1.25181011 1.04270104 2.198887644 2.0923879 0.7118996
100131067 2.9395440 2.89248716 2.56182323 2.578829608 1.9893002 1.7794080
100131089 2.5109065 3.25694041 2.87202330 2.766494625 3.1651036 3.2949436
100131094 1.3963629 0.03333457 1.30144732 -0.007692304 -0.4432933 -0.2511454
100131138 4.4097936 4.41911793 4.03792645 4.812872216 4.8996765 4.8757354
100131187 3.6926621 3.72744171 3.37239582 4.043309356 4.3323780 4.2164339
100131193 2.7172507 3.42271157 3.45457404 3.524531679 3.1170106 3.4609118
100131211 3.3646979 2.29379643 3.34392888 3.656996171 3.6093960 3.2350884
100131213 2.1326350 1.65874379 1.79761834 1.911221574 0.9349419 1.5031223
100131471 1.9807475 2.50575429 2.16612303 0.630406142 2.4438435 2.1473118
100131656 3.2695709 3.39637228 3.28525235 2.823990810 2.7889661 3.3239650
100131685 0.1357529 1.25181011 1.79761834 -0.007692304 0.9349419 0.8776595
100131691 2.7172507 2.11151099 2.22974057 2.510427501 2.7262325 1.7794080
100131740 0.1357529 0.28377768 -0.63553178 -0.007692304 0.0420052 0.0561141
100131801 3.4539387 2.96596932 2.87202330 2.766494625 3.0157300 2.8120134
100131827 0.8122667 0.28377768 1.87923449 1.071295295 -0.4432933 0.7118996
100131828 0.3980950 0.99522613 0.06816556 0.630406142 0.0420052 1.1610862
100131940 1.8109670 1.46957735 2.65746014 2.198887644 1.4823752 2.0111917
100132074 2.5653246 1.46957735 1.41527186 2.510427501 1.1413698 1.1610862
100132086 0.8122667 -0.26991026 -1.17995959 -0.007692304 0.0420052 0.0561141
100132116 5.4679807 6.05737671 6.28424474 5.898364026 6.4462216 6.4428624
100132126 0.3980950 0.03333457 0.32276163 0.346351616 0.0420052 -0.2511454
100132215 1.2709895 1.12921482 0.89354964 0.867627611 0.0420052 0.3092859
100132537 1.7179443 1.36479869 2.91135626 2.578829608 2.5919363 2.0111917
100132609 -0.1851374 1.97578766 1.52076897 1.800999360 1.8782755 1.3978700
100132659 0.1357529 0.49710856 0.53909632 1.249735588 -0.4432933 0.0561141
100132891 0.9819030 0.84750736 1.04270104 0.867627611 1.4823752 1.1610862
100132972 0.3980950 0.49710856 1.30144732 0.346351616 -1.1799596 0.7118996
100133234 1.5117067 0.68291994 0.32276163 -0.477897884 0.4045040 -0.2511454
100133286 0.1357529 0.68291994 0.06816556 -0.007692304 0.9349419 1.0263218
100133315 0.9819030 -0.26991026 0.53909632 -1.179959587 0.6939653 0.7118996
100134934 1.8109670 1.97578766 2.09957025 1.249735588 1.6267538 2.5910754
10014 6.6892936 6.83939910 6.66978538 6.411071690 6.7281880 6.7882701
100144603 0.3980950 0.49710856 0.53909632 -1.179959587 -1.1799596 0.3092859
100144748 4.0387624 2.17486665 1.79761834 -0.007692304 1.7579891 2.0111917
10015 7.8527131 7.84028478 7.70072984 7.787502713 7.6039285 7.6714534
10016 5.2773893 4.95856146 4.98192881 4.754922151 5.4389082 4.9796984
100170229 1.5117067 1.36479869 -0.63553178 1.071295295 0.9349419 -0.2511454
100170841 1.2709895 3.19716203 3.58192041 3.835350579 3.7100881 2.8917117
10018 3.9392466 4.04820703 3.92715287 3.656996171 3.4631781 3.8280439
100188847 1.8983533 1.65874379 2.34913185 1.249735588 0.9349419 1.1610862
10019 3.7407448 4.11434039 4.47858648 4.347724278 3.9758175 3.9447468
100190938 -1.1799596 0.99522613 0.72718134 -0.477897884 0.4045040 -0.6420619
1002 -1.1799596 -0.26991026 -1.17995959 -1.179959587 -1.1799596 0.3092859
10020 3.2364151 3.10257694 3.48095847 3.416536420 3.6437468 3.3239650
10021 8.1550874 7.98539857 7.92508909 7.959314249 8.0837358 8.1067375
10023 2.3954960 2.29379643 2.02979823 2.438620142 1.4823752 2.0808566
10024 -0.5984469 3.44857859 3.28525235 3.299798116 3.5011452 3.7230179
10026 6.5170751 6.60073323 6.48985573 6.149533007 6.4462216 6.5419101
100268168 1.9807475 1.82595738 0.72718134 0.630406142 -0.4432933 0.3092859
100270804 2.6683650 0.99522613 1.52076897 -0.007692304 0.9349419 2.0808566
100270827 1.2709895 -0.65433680 0.72718134 0.346351616 0.0420052 1.0263218
100270840 4.1497732 3.84896096 4.00193876 4.018895763 4.2896288 3.8481618
100270854 4.0387624 4.06502675 4.14079772 4.565642130 4.0798391 4.1851422
100270865 4.6172069 5.08763226 5.00937795 5.141613644 5.2173319 5.3828025
100271271 2.8103167 2.40366442 3.02330329 2.823990810 3.0672589 2.4922663
100271332 -0.1851374 -1.17995959 -1.17995959 -1.179959587 -1.1799596 -1.1799596
100271415 2.3954960 2.04524478 1.30144732 1.408514912 1.4823752 1.9379914
100271479 -0.1851374 0.84750736 0.72718134 0.630406142 0.0420052 0.7118996
100271884 0.6199927 -0.26991026 0.53909632 -1.179959587 0.6939653 -0.2511454
100272147 2.7172507 2.64650208 2.29067090 2.879283133 2.8490852 2.8120134
100286844 1.3963629 1.25181011 1.41527186 2.283302879 1.1413698 1.3978700
100287015 2.1326350 0.99522613 0.06816556 2.109224430 2.0923879 1.2843304
100287049 1.3963629 0.84750736 0.89354964 0.630406142 -0.4432933 1.1610862
100287074 0.3980950 0.99522613 0.72718134 0.630406142 1.1413698 0.3092859
100287616 3.0581415 3.54764413 2.65746014 3.835350579 3.7100881 3.4345427
100287722 1.5117067 0.28377768 0.32276163 0.867627611 0.9349419 1.1610862
100287808 -0.1851374 0.68291994 -0.24119687 -0.007692304 1.1413698 0.3092859
100287837 1.1336750 0.49710856 1.04270104 -1.179959587 1.1413698 0.0561141
100287896 3.4248009 3.06961848 2.40531582 2.438620142 2.9067989 2.3300746
100287902 -0.1851374 0.49710856 0.72718134 0.346351616 -0.4432933 0.7118996
100287928 2.8546911 2.40366442 2.45939354 2.766494625 2.5197893 2.5425166
100287932 5.0482087 5.12018634 5.40346097 5.291811796 5.1352057 5.3265536
100288001 1.8109670 2.04524478 1.71110667 1.911221574 2.1885982 2.3300746
100288073 1.5117067 1.36479869 1.71110667 2.109224430 1.8782755 2.6835486
100288123 1.1336750 0.84750736 1.87923449 2.013617205 1.3219244 1.6930610
100288198 1.9807475 1.90281671 1.95647963 1.681654357 2.3636767 2.3861891
100288241 -1.1799596 -1.17995959 -1.17995959 -1.179959587 -1.1799596 -1.1799596
100288413 3.2695709 3.03588943 2.65746014 2.879283133 1.1413698 3.5618176
100288513 -1.1799596 0.03333457 -0.24119687 1.071295295 -1.1799596 -1.1799596
100288842 2.0586892 2.23555670 1.17786717 2.438620142 1.4823752 1.8608776
100289061 2.2029748 1.36479869 2.56182323 2.510427501 2.4438435 1.7794080
100289095 -0.5984469 0.84750736 1.30144732 -0.007692304 0.9349419 0.8776595
100289133 2.8103167 3.49896151 4.10731576 3.592283709 3.5011452 3.5372450
100289178 2.1326350 2.11151099 1.95647963 2.283302879 1.8782755 2.1473118
100289211 0.6199927 -0.26991026 0.72718134 0.630406142 1.3219244 -0.2511454
100289259 1.2709895 1.25181011 1.30144732 1.681654357 0.0420052 -0.2511454
100289274 2.4543550 2.92969603 2.56182323 2.109224430 3.2116450 3.0735919
100289341 0.6199927 1.25181011 1.04270104 -0.477897884 1.9893002 1.6012152
100289373 1.1336750 1.12921482 1.17786717 1.408514912 0.0420052 0.7118996
100289388 1.2709895 1.74477181 1.30144732 0.630406142 1.1413698 1.6930610
100289414 0.6199927 0.28377768 0.53909632 0.630406142 0.0420052 -0.2511454
100289635 5.3872040 5.26551478 4.95394727 5.427836868 5.1230822 5.6000503
100289640 0.9819030 0.84750736 0.72718134 1.681654357 1.3219244 -0.2511454
100289678 3.9597065 3.61771996 3.28525235 3.216370851 3.6093960 3.0035667
100293516 3.8543757 3.34220565 3.34392888 3.416536420 3.2116450 2.7704500
100294362 0.1357529 1.65874379 1.87923449 0.867627611 0.9349419 1.0263218
1003 -0.5984469 1.12921482 1.87923449 2.109224430 0.6939653 1.7794080
100302692 3.4824997 3.36954316 2.61043402 2.879283133 3.2116450 2.0111917
100302736 1.1336750 1.65874379 1.52076897 0.867627611 1.7579891 1.6930610
100303728 3.6173928 3.90608598 3.92715287 3.968793092 3.9758175 3.5372450
100303755 1.8109670 1.46957735 0.89354964 1.071295295 1.7579891 1.7794080
100312828 0.9819030 1.36479869 0.89354964 0.867627611 0.4045040 1.2843304
100312850 1.8109670 1.56725880 1.04270104 1.249735588 2.6606465 0.8776595
10036 3.3336807 4.94044545 4.43876031 4.694546585 4.4917320 4.6306466
100379345 0.8122667 1.25181011 1.30144732 1.071295295 1.9893002 1.2843304
10038 5.4318236 5.72836543 5.70149283 5.794326119 5.5607660 5.7731268
100381270 1.8983533 1.12921482 1.04270104 1.249735588 0.6939653 1.1610862
10039 3.8099914 4.04820703 4.02004482 4.267100561 4.6855534 3.9259402
1004 4.6678266 4.97645280 4.54261360 4.868584158 4.6689707 4.8054505
10040 4.6802088 4.62596118 3.80716114 4.582399267 4.3942165 4.3494094
100418710 1.3963629 0.68291994 -1.17995959 -1.179959587 -1.1799596 1.6930610
100418735 1.9807475 1.82595738 1.30144732 1.911221574 2.1885982 1.0263218
100418744 2.2029748 0.49710856 1.41527186 2.013617205 1.7579891 1.2843304
100418770 -1.1799596 -0.26991026 -0.63553178 -1.179959587 -0.4432933 -0.6420619
100418781 2.2700439 2.45561219 2.65746014 2.438620142 2.2787917 2.3861891
100418819 1.6185077 1.82595738 1.52076897 2.510427501 0.9349419 2.0111917
100418829 0.6199927 2.04524478 2.09957025 0.867627611 1.1413698 1.6930610
100418888 1.2709895 1.90281671 1.17786717 1.551539048 1.1413698 0.3092859
100418889 2.7645340 2.64650208 3.02330329 2.823990810 2.7262325 1.9379914
100418910 -0.1851374 -0.65433680 -0.24119687 -1.179959587 0.4045040 -0.6420619
100418919 2.3341331 2.69052361 2.22974057 1.681654357 2.6606465 2.4922663
100419028 1.2709895 1.46957735 1.17786717 1.408514912 2.1885982 2.0111917
100419185 0.3980950 0.84750736 0.89354964 0.346351616 0.4045040 0.3092859
100419416 0.1357529 0.99522613 0.89354964 1.071295295 1.8782755 1.1610862
100419515 0.8122667 0.28377768 -0.63553178 -1.179959587 0.0420052 1.0263218
100419645 -1.1799596 -0.26991026 -0.24119687 -0.007692304 -1.1799596 -0.2511454
100419758 1.9807475 0.99522613 2.22974057 2.109224430 1.1413698 1.6930610
100419928 2.0586892 2.40366442 1.52076897 1.551539048 2.3636767 1.9379914
10042 4.7287014 4.93130142 4.62773059 5.118820939 4.9554393 4.8855023
100420028 0.6199927 -0.26991026 -0.63553178 0.867627611 -1.1799596 -0.6420619
100420050 -0.5984469 0.49710856 -0.24119687 -0.007692304 0.0420052 -0.6420619
100420110 3.5105062 3.13479926 3.05876842 2.983889734 2.7262325 3.0035667
100420187 0.8122667 0.68291994 0.06816556 -1.179959587 0.4045040 -0.6420619
100420259 4.0953353 4.09808908 4.14079772 3.863044793 4.3942165 4.1531568
100420307 0.8122667 0.49710856 -1.17995959 0.346351616 0.9349419 0.3092859
100420341 5.2692160 5.40415888 5.44425979 5.446262892 5.7221758 5.3965286
100420423 1.6185077 -0.65433680 1.30144732 1.408514912 0.9349419 1.6930610
100420591 0.1357529 0.28377768 -0.24119687 0.630406142 0.6939653 1.6012152
100420707 1.8109670 2.60109491 2.56182323 2.109224430 3.2567318 3.1726420
100420752 1.3963629 0.68291994 0.89354964 1.681654357 1.1413698 2.1473118
100420869 3.9597065 4.55629431 4.22125312 4.405366486 4.2677696 4.2470613
100420981 5.6615053 5.73363507 5.74023543 6.283661500 5.9520112 5.8549420
100421093 3.8543757 3.72744171 3.42769807 3.778314373 4.1291661 3.8481618
100421109 -0.5984469 0.28377768 0.32276163 0.346351616 0.4045040 0.0561141
100421160 0.8122667 0.28377768 -1.17995959 -1.179959587 1.1413698 -0.2511454
100421175 -0.5984469 0.28377768 -1.17995959 -1.179959587 -0.4432933 0.0561141
100421246 0.9819030 0.49710856 0.89354964 0.346351616 0.6939653 1.2843304
100421311 0.6199927 1.46957735 1.04270104 1.551539048 1.1413698 1.6012152
100421372 1.5117067 0.99522613 2.16612303 1.681654357 1.6267538 1.6930610
100421400 1.9807475 2.29379643 1.87923449 1.551539048 1.8782755 1.5031223
100421415 2.2029748 2.11151099 1.41527186 2.013617205 1.8782755 2.3861891
100421429 -1.1799596 1.12921482 0.06816556 -0.477897884 0.0420052 -0.2511454
100421465 -0.1851374 0.49710856 0.53909632 1.071295295 0.0420052 1.1610862
100421468 2.3341331 1.56725880 1.30144732 1.681654357 1.1413698 2.6380528
100421506 -0.5984469 -0.65433680 0.72718134 1.408514912 1.1413698 -0.2511454
100421569 0.6199927 -0.26991026 0.06816556 1.071295295 -1.1799596 0.5245921
100421595 0.1357529 -0.65433680 0.32276163 -1.179959587 -0.4432933 -0.6420619
100421794 -1.1799596 -0.65433680 0.06816556 -0.007692304 -1.1799596 -0.6420619
100422106 1.6185077 1.82595738 0.89354964 2.438620142 1.3219244 2.0111917
100422338 2.3341331 2.55421203 2.29067090 2.510427501 0.4045040 1.6012152
100422546 0.3980950 1.12921482 0.89354964 0.630406142 1.3219244 0.0561141
100422561 2.8103167 3.13479926 3.45457404 3.378663596 3.7735124 3.1073699
10043 5.9492913 5.78021522 5.78856581 5.794326119 5.6896631 5.9417575
10044 -0.1851374 0.68291994 0.89354964 -1.179959587 0.6939653 0.3092859
10045 0.8122667 -0.26991026 -0.24119687 -0.007692304 1.3219244 0.0561141
10046 0.3980950 0.49710856 1.04270104 0.630406142 1.8782755 1.0263218
10048 6.7697099 6.68747070 6.37848173 6.545333035 6.4462216 6.6575742
10049 6.3254228 6.18596009 6.07933808 6.263021389 6.0124117 6.2672264
100499177 3.4248009 2.89248716 2.87202330 3.172775436 2.7262325 3.0390041
100499483 3.1321147 3.44857859 2.87202330 2.510427501 3.0157300 2.9672369
1005 -1.1799596 0.49710856 -1.17995959 1.071295295 -1.1799596 0.3092859
100500719 1.3963629 0.99522613 0.06816556 0.630406142 0.4045040 1.3978700
100505385 2.8977413 2.69052361 3.22408782 2.983889734 3.1651036 3.1403751
100505501 2.4543550 2.04524478 2.02979823 1.911221574 2.0923879 2.2716889
100505538 0.8122667 0.49710856 0.72718134 1.071295295 0.0420052 0.0561141
100505549 1.8983533 2.29379643 0.32276163 -1.179959587 1.9893002 1.1610862
100505573 7.2105764 6.59205578 6.84251704 6.579121810 6.3866183 6.7513580
100505576 1.7179443 0.84750736 1.04270104 -0.007692304 1.1413698 1.6012152
100505616 0.1357529 0.28377768 -0.24119687 -0.007692304 -0.4432933 -0.2511454
100505624 0.3980950 1.25181011 1.41527186 1.249735588 1.7579891 1.5031223
100505635 -0.1851374 -0.26991026 0.89354964 0.346351616 -0.4432933 1.0263218
100505641 2.8103167 1.97578766 2.34913185 2.706611571 2.4438435 2.7704500
100505648 3.3019819 3.34220565 2.45939354 2.879283133 2.5919363 1.6930610
100505678 3.2024792 2.60109491 2.70300167 2.283302879 2.9067989 2.3861891
100505696 4.9996333 4.62596118 4.65115503 4.548688068 4.4727491 4.8659019
100505715 1.6185077 0.28377768 1.41527186 0.346351616 1.3219244 1.6012152
100505738 3.3019819 3.16631758 3.40031192 3.524531679 2.9067989 3.3524141
100505741 2.3954960 1.82595738 2.02979823 2.198887644 1.7579891 2.0808566
100505758 3.5914044 3.44857859 3.28525235 3.718930123 3.1170106 3.3803130
100505761 3.8099914 3.25694041 3.22408782 2.766494625 3.9485964 3.3524141
100505771 2.6683650 1.90281671 2.09957025 1.911221574 2.4438435 2.4922663
100505783 3.2364151 1.65874379 2.91135626 2.198887644 2.5919363 2.3861891
100505806 4.3490488 4.48309182 4.50453930 4.531532395 4.8416713 5.0333985
100505812 -0.1851374 0.99522613 0.72718134 1.551539048 -0.4432933 -0.2511454
100505832 1.5117067 1.56725880 1.04270104 1.071295295 2.0923879 2.1473118
100505854 3.6429214 3.74841910 3.19250482 3.558805380 3.3004522 2.9299685
100505876 6.2443545 5.56060003 5.41034140 5.626732460 5.5057998 5.7140606
100505894 3.3019819 3.49896151 3.22408782 3.558805380 3.2116450 3.2350884
100505933 -1.1799596 0.28377768 0.32276163 -0.007692304 0.0420052 0.8776595
100505994 -0.1851374 0.68291994 0.53909632 1.249735588 0.0420052 0.5245921
100506020 2.5653246 1.90281671 2.45939354 1.408514912 2.3636767 1.8608776
100506033 4.9183415 4.80683341 4.74122518 4.514170259 4.4535131 4.9048399
100506054 1.2709895 1.56725880 1.17786717 1.249735588 0.4045040 0.7118996
100506068 2.2029748 1.90281671 1.17786717 1.800999360 1.3219244 0.8776595
100506070 1.9807475 1.74477181 1.79761834 -0.007692304 1.4823752 1.9379914
100506083 1.5117067 1.46957735 -0.63553178 1.911221574 0.4045040 1.0263218
100506100 -1.1799596 0.68291994 -0.24119687 -0.477897884 0.0420052 0.5245921
100506119 2.0586892 2.11151099 1.30144732 1.408514912 1.8782755 2.4922663
100506127 1.8983533 2.29379643 1.95647963 2.879283133 1.7579891 1.9379914
100506142 0.6199927 0.68291994 1.30144732 -0.477897884 -0.4432933 1.5031223
100506144 1.2709895 1.90281671 1.41527186 2.013617205 1.6267538 2.0808566
100506161 -0.1851374 -0.26991026 -0.24119687 -0.007692304 0.9349419 0.8776595
100506211 2.2700439 5.15987238 5.37560633 5.301964846 4.6689707 5.1913520
100506235 2.2029748 0.99522613 1.52076897 0.346351616 1.8782755 1.6930610
100506258 2.8546911 1.82595738 1.95647963 2.198887644 2.1885982 2.0111917
100506282 2.6683650 2.40366442 2.29067090 2.644134861 2.6606465 2.3861891
100506286 1.3963629 0.28377768 1.71110667 1.071295295 0.0420052 1.6930610
100506302 2.0586892 1.25181011 1.41527186 1.681654357 1.3219244 1.6930610
100506321 0.1357529 0.49710856 0.06816556 0.346351616 0.6939653 0.0561141
100506325 1.3963629 0.68291994 0.53909632 1.408514912 -0.4432933 1.1610862
100506343 0.6199927 1.12921482 0.89354964 -1.179959587 0.6939653 0.5245921
100506365 5.3872040 5.42385244 5.16393343 5.197068079 5.4389082 5.2454459
100506368 0.3980950 0.03333457 1.04270104 -0.007692304 0.0420052 0.3092859
100506380 3.7169037 3.78948041 4.18960731 3.863044793 4.2455741 4.0352695
100506392 3.0196822 3.74841910 3.58192041 3.592283709 3.8042087 3.4609118
100506394 2.5109065 1.56725880 1.79761834 2.644134861 1.9893002 1.9379914
100506411 0.6199927 1.82595738 0.89354964 1.911221574 1.1413698 1.5031223
100506433 4.5103060 3.25694041 3.45457404 2.706611571 3.2116450 3.4076826
100506462 1.2709895 1.12921482 1.30144732 1.071295295 1.6267538 1.3978700
100506469 5.0386236 4.83652463 4.77360268 4.679049472 4.7019477 4.8659019
100506495 1.5117067 1.36479869 1.04270104 -1.179959587 0.0420052 -0.2511454
100506504 0.9819030 1.46957735 1.95647963 1.800999360 0.6939653 0.8776595
100506540 0.9819030 1.56725880 1.30144732 1.071295295 0.9349419 1.0263218
100506581 1.5117067 1.12921482 1.30144732 -1.179959587 1.7579891 1.0263218
100506606 0.8122667 1.36479869 1.52076897 0.630406142 0.6939653 1.1610862
100506658 0.3980950 0.99522613 1.61907450 2.198887644 1.6267538 0.7118996
100506668 2.2700439 1.97578766 2.09957025 3.033479716 1.7579891 2.2716889
100506686 1.6185077 2.77473096 2.56182323 2.644134861 1.4823752 2.0808566
100506691 0.9819030 1.56725880 0.72718134 1.408514912 1.8782755 0.8776595
100506696 1.9807475 2.50575429 3.53232244 2.283302879 1.8782755 2.7276535
100506697 0.1357529 0.99522613 0.89354964 1.551539048 1.4823752 1.1610862
100506710 6.7609929 6.52980670 6.59324458 6.501952879 6.2315134 6.4884374
100506713 0.6199927 0.03333457 -1.17995959 1.071295295 0.6939653 0.0561141
100506725 3.2364151 4.11434039 3.65325980 3.656996171 4.2677696 4.3634554
100506731 1.7179443 1.25181011 1.17786717 1.071295295 1.7579891 0.3092859
100506757 0.3980950 0.49710856 0.32276163 0.630406142 0.0420052 0.8776595
100506779 0.3980950 -0.26991026 0.06816556 -1.179959587 0.0420052 0.5245921
100506804 -0.5984469 1.36479869 1.41527186 -0.007692304 -1.1799596 0.0561141
100506826 2.3341331 1.97578766 2.16612303 1.551539048 1.4823752 2.3861891
100506844 1.9807475 3.10257694 2.02979823 2.283302879 2.6606465 3.3803130
100506866 6.3175180 7.16996563 6.87272210 6.777705775 6.9468592 7.1027795
100506881 -0.5984469 -1.17995959 1.04270104 1.681654357 0.4045040 0.5245921
100506885 -1.1799596 0.68291994 -0.24119687 0.346351616 0.4045040 -0.2511454
100506911 0.9819030 0.03333457 -0.24119687 -1.179959587 0.0420052 -0.2511454
100506922 0.6199927 0.49710856 0.89354964 -0.007692304 -0.4432933 0.7118996
100506930 4.3797409 3.97889586 3.62986978 4.181703172 3.8342655 4.1531568
100506994 0.1357529 0.68291994 0.32276163 -0.477897884 1.1413698 1.1610862
100507003 1.1336750 1.90281671 1.71110667 2.283302879 1.6267538 1.2843304
100507032 1.3963629 0.84750736 1.04270104 1.408514912 2.1885982 1.9379914
100507034 3.3019819 3.64034205 2.74714947 3.216370851 3.3841082 3.0035667
100507050 -1.1799596 1.46957735 1.52076897 1.681654357 1.3219244 0.3092859
100507053 2.6177645 1.56725880 1.79761834 1.551539048 1.8782755 1.1610862
100507057 1.1336750 0.99522613 1.17786717 0.867627611 0.0420052 -0.2511454
100507062 1.1336750 1.25181011 1.61907450 -0.007692304 0.0420052 -0.6420619
100507071 0.1357529 0.84750736 1.04270104 -1.179959587 0.0420052 1.0263218
100507156 1.8109670 2.60109491 3.05876842 3.258687447 2.9067989 2.6380528
100507171 2.1326350 2.50575429 3.05876842 3.127821494 2.1885982 3.0390041
100507173 0.8122667 0.68291994 0.32276163 0.630406142 0.0420052 0.7118996
100507178 1.3963629 0.28377768 1.71110667 1.551539048 0.6939653 1.3978700
100507244 1.3963629 0.99522613 0.53909632 -0.007692304 0.4045040 1.2843304
100507246 2.9395440 1.90281671 3.05876842 3.416536420 2.9622923 3.1073699
100507250 0.3980950 0.03333457 -0.24119687 -0.007692304 -0.4432933 0.3092859
100507254 -1.1799596 -1.17995959 -1.17995959 -1.179959587 -1.1799596 -0.2511454
100507266 -0.5984469 0.49710856 0.32276163 0.346351616 0.0420052 1.3978700
100507290 5.0482087 4.49555309 5.00937795 4.679049472 4.9416994 4.8460315
100507291 2.2029748 2.69052361 0.89354964 1.408514912 1.6267538 1.2843304
100507303 3.1677259 2.64650208 2.29067090 2.283302879 3.4241848 2.6835486
100507308 1.6185077 0.68291994 0.32276163 0.346351616 0.9349419 1.0263218
100507316 2.6683650 1.82595738 2.09957025 2.510427501 1.4823752 1.7794080
100507331 2.2700439 2.23555670 1.79761834 2.198887644 1.8782755 1.9379914
100507347 1.3963629 1.36479869 1.71110667 1.071295295 0.6939653 0.8776595
100507373 2.4543550 2.17486665 2.34913185 2.438620142 2.2787917 2.9672369
100507392 -0.1851374 -1.17995959 -1.17995959 -0.007692304 -0.4432933 0.7118996
100507398 1.7179443 1.65874379 1.79761834 2.109224430 0.9349419 2.2108403
100507401 1.2709895 0.28377768 0.06816556 0.346351616 0.0420052 0.3092859
100507420 0.8122667 0.99522613 1.71110667 1.800999360 0.6939653 -0.2511454
100507433 2.6177645 2.40366442 1.41527186 2.109224430 0.6939653 1.9379914
100507436 0.3980950 -1.17995959 -0.24119687 -1.179959587 -0.4432933 -0.2511454
100507437 1.2709895 2.34977604 2.70300167 2.013617205 1.1413698 2.5425166
100507459 2.2700439 2.11151099 2.56182323 2.510427501 2.5197893 2.9672369
100507463 2.6683650 0.28377768 1.71110667 1.249735588 0.4045040 0.7118996
100507487 3.0196822 2.23555670 2.83158785 1.681654357 1.9893002 2.2716889
100507495 2.2029748 1.25181011 1.95647963 2.283302879 1.8782755 2.3861891
100507516 -1.1799596 -0.26991026 -1.17995959 -0.007692304 0.6939653 -1.1799596
100507551 1.5117067 1.82595738 1.17786717 1.551539048 2.1885982 1.6012152
100507557 1.3963629 0.49710856 1.30144732 1.681654357 -0.4432933 1.1610862
100507564 0.1357529 -0.65433680 -1.17995959 -0.007692304 -0.4432933 -1.1799596
100507567 0.3980950 0.68291994 -0.24119687 -0.477897884 1.3219244 1.1610862
100507588 0.8122667 0.84750736 0.72718134 -0.007692304 1.9893002 0.5245921
100507599 2.1326350 1.46957735 0.72718134 1.551539048 2.3636767 1.2843304
100507602 2.5109065 2.45561219 2.40531582 2.879283133 2.4438435 2.8120134
100508120 2.7645340 3.57138295 2.29067090 2.644134861 2.7262325 2.4402024
10051 5.6426475 6.80727061 6.64957444 6.620274464 6.8508812 6.7646496
10052 1.7179443 1.74477181 1.71110667 2.283302879 1.8782755 0.8776595
100526737 1.8983533 2.34977604 1.87923449 1.800999360 2.0923879 1.8608776
100526760 0.1357529 0.03333457 1.04270104 1.071295295 0.4045040 0.7118996
100526820 0.6199927 0.84750736 -1.17995959 -0.007692304 1.4823752 0.0561141
100526835 4.2856335 4.04820703 3.82786569 4.114165096 3.5381387 4.4317045
100527978 0.8122667 1.25181011 1.41527186 1.800999360 1.1413698 1.2843304
100529145 1.8983533 1.25181011 1.87923449 1.911221574 2.1885982 1.7794080
100529215 1.5117067 1.36479869 0.06816556 0.346351616 -0.4432933 1.0263218
100532746 4.4822956 4.22324535 4.31222727 4.531532395 4.2677696 4.3634554
100533106 0.3980950 0.99522613 -0.24119687 0.630406142 -0.4432933 0.0561141
100533182 2.2029748 1.36479869 1.61907450 0.346351616 0.4045040 1.8608776
100533619 0.1357529 0.68291994 -0.24119687 -1.179959587 -1.1799596 0.5245921
100533629 0.9819030 0.28377768 1.41527186 0.630406142 1.6267538 0.0561141
100533695 0.1357529 0.28377768 0.89354964 0.346351616 0.4045040 0.0561141
100533970 1.1336750 0.03333457 0.32276163 0.630406142 1.9893002 1.1610862
100534593 3.0581415 0.84750736 2.09957025 1.800999360 2.2787917 1.9379914
10054 5.6041758 5.56060003 5.41718917 5.409172461 5.4192125 5.3689445
10056 5.6489608 5.91155938 5.55395886 5.918300677 5.9243329 6.0629079
10057 8.4490199 8.03426123 8.07008726 7.868298348 7.9867114 7.9711337
10058 5.9796634 5.33650167 5.56633296 5.332002192 5.1352057 4.9978214
10059 6.8757942 7.21775559 7.16689444 7.245780422 7.2044376 7.2096628
1006 7.8568097 5.53668163 6.02657984 6.188362904 6.0189694 5.7836111
10060 4.3490488 3.90608598 4.03792645 4.090931044 4.0798391 4.2918167
100616256 0.9819030 1.36479869 1.52076897 1.071295295 0.9349419 0.7118996
10062 2.2700439 1.82595738 2.83158785 1.681654357 2.5919363 2.4922663
10063 4.2361730 4.49555309 4.38388862 4.598963999 4.6180472 3.9259402
100652739 0.1357529 0.28377768 0.72718134 -1.179959587 0.0420052 1.1610862
100652758 0.8122667 0.99522613 -0.63553178 0.346351616 -1.1799596 0.7118996
100652846 3.6680061 3.03588943 3.05876842 2.578829608 3.0157300 3.4609118
10066 6.5376357 6.33554881 6.45367804 6.415754319 6.3506775 6.4094043
10067 6.6202841 6.34590870 6.40628143 6.263021389 6.4559204 6.2139582
10068 3.7407448 3.52350816 3.45457404 3.890217382 2.8490852 3.2653264
10069 4.3948455 4.81679853 4.38388862 4.709878999 4.8563927 4.9239218
10072 4.7523499 5.03738096 4.79479092 4.909000187 5.2058820 4.7097411
10073 4.1137104 3.76909584 4.03792645 3.863044793 4.0025344 3.9447468
10075 9.2716644 9.11558928 8.87238335 8.909058300 8.9515781 9.0266859
10076 6.7374868 5.81045358 5.97181879 5.950928153 5.8305250 5.9229116
10077 4.3017506 4.49555309 4.63949035 4.754922151 4.6689707 4.0352695
100775107 1.9807475 1.12921482 1.87923449 1.551539048 0.9349419 1.3978700
10078 5.0094801 4.54434894 4.62773059 4.631533577 4.8563927 4.5469631
10079 5.6552467 4.86561709 5.00028614 4.935328591 5.1352057 4.9144124
1008 6.5511818 4.39271235 4.20551698 4.267100561 4.0798391 4.1692381
10081 4.9797357 5.35713405 4.92541227 5.218666468 5.0985253 4.9520796
10082 8.0154770 7.80317241 8.00453334 8.080750475 7.8898616 8.0729445
100820829 5.2855165 5.49384585 5.50337302 5.569048395 5.7696109 5.7249814
10084 5.5102059 5.33650167 5.17205302 5.560616259 5.1352057 5.3337058
100847074 1.5117067 1.65874379 1.04270104 0.867627611 2.0923879 1.7794080
10085 8.7912437 8.16872601 8.41268262 8.418339633 8.4504700 8.4114006
100852407 0.6199927 0.03333457 0.72718134 0.346351616 0.0420052 0.5245921
100861412 0.3980950 0.99522613 0.06816556 0.867627611 0.6939653 0.3092859
100861548 4.6924856 4.19295938 4.12415387 3.835350579 3.5742072 4.0352695
100862671 0.6199927 0.03333457 0.32276163 0.630406142 -0.4432933 0.5245921
10087 6.4643538 6.51151652 6.27296427 6.536760728 6.4364571 6.4195234
100873257 0.1357529 0.03333457 0.89354964 0.346351616 -0.4432933 -0.2511454
100873333 2.8546911 3.49896151 3.50686903 3.216370851 3.2567318 3.0035667
100873790 4.1497732 4.04820703 4.28253543 4.615340695 4.1291661 4.3773659
100873949 1.6185077 1.56725880 0.53909632 1.408514912 1.4823752 2.0808566
100873952 0.6199927 0.28377768 0.53909632 -1.179959587 0.0420052 -0.6420619
100873965 1.8983533 1.97578766 2.40531582 2.706611571 2.4438435 1.7794080
100874006 0.1357529 0.03333457 0.32276163 -0.007692304 0.0420052 0.3092859
100874008 2.1326350 1.56725880 1.79761834 0.867627611 1.1413698 1.0263218
100874014 4.0953353 2.69052361 3.05876842 3.339769690 2.9067989 3.0035667
100874058 1.8983533 1.12921482 0.53909632 -0.007692304 0.6939653 1.5031223
100874080 1.8109670 0.68291994 0.72718134 0.346351616 1.9893002 1.3978700
100874097 1.2709895 2.11151099 1.52076897 0.630406142 1.4823752 1.6012152
100874201 -0.5984469 0.84750736 0.89354964 1.249735588 0.4045040 0.5245921
100874212 0.8122667 1.25181011 0.72718134 1.071295295 1.1413698 -0.2511454
100874217 0.3980950 1.12921482 0.72718134 -0.007692304 1.1413698 1.0263218
100874235 2.2700439 2.04524478 2.29067090 1.681654357 1.3219244 2.2716889
100874261 0.3980950 -0.26991026 1.04270104 0.346351616 -1.1799596 -0.6420619
100874291 -0.1851374 0.28377768 -1.17995959 -0.007692304 -1.1799596 -0.2511454
100874362 3.3019819 2.23555670 2.51151724 2.932534325 2.4438435 2.7704500
100874523 1.3963629 2.04524478 1.79761834 1.800999360 2.2787917 2.3300746
100885775 3.8974351 5.19085346 5.55395886 5.674404157 5.1472281 5.2301964
100885776 1.2709895 0.49710856 0.53909632 0.630406142 0.0420052 1.2843304
100885848 3.9997759 5.12821136 5.26608248 5.281586787 4.4535131 5.3828025
1009 8.1461888 8.71848237 8.90258594 8.945945400 9.0054069 8.8415249
10090 4.2022314 3.80958098 4.20551698 4.405366486 4.1291661 3.8481618
10092 6.3681421 6.71703653 6.83742081 6.987259747 7.0368484 6.9224062
10093 6.5812032 6.59495407 6.63496271 6.872724769 6.7946653 6.6801957
10094 5.3720187 5.26551478 5.19614114 5.552134549 5.2841865 5.3549521
10095 5.1934951 5.64691996 5.84043308 5.836845742 5.6137146 5.5145188
10097 7.7075334 7.75345345 7.77857126 8.012835421 7.8013363 7.9257077
10098 7.1338791 7.28210868 7.16078720 7.136556297 7.2130422 7.2518043
10099 8.2557304 8.40091227 8.25248814 8.127171590 8.4852209 8.4046242
100996246 0.8122667 1.12921482 0.72718134 2.109224430 0.6939653 0.3092859
100996251 -0.1851374 1.25181011 0.53909632 -0.007692304 1.3219244 1.5031223
100996307 -1.1799596 0.68291994 0.53909632 0.867627611 0.4045040 0.5245921
100996384 0.3980950 1.46957735 1.52076897 1.551539048 1.7579891 1.8608776
100996419 2.3954960 1.36479869 1.30144732 1.911221574 2.4438435 1.5031223
100996485 2.0586892 2.55421203 2.22974057 2.766494625 2.0923879 2.2716889
100996539 2.0586892 0.84750736 0.32276163 0.346351616 -1.1799596 -1.1799596
100996579 1.8109670 1.25181011 0.32276163 1.071295295 0.0420052 0.3092859
100996696 1.9807475 2.34977604 1.95647963 2.198887644 2.5197893 2.6380528
100996842 1.6185077 0.84750736 1.04270104 0.867627611 1.4823752 0.0561141
100996851 0.1357529 -0.65433680 -0.24119687 -0.007692304 -1.1799596 0.3092859
100996939 0.3980950 0.49710856 1.04270104 1.681654357 0.6939653 0.8776595
101 2.5653246 2.50575429 2.56182323 1.681654357 2.1885982 2.6380528
1010 -1.1799596 -1.17995959 -0.24119687 -1.179959587 -1.1799596 -1.1799596
10100 4.8210548 5.97522972 6.35727467 6.628365983 6.1077784 6.1505699
10101 5.4608214 5.32258097 5.18815637 5.197068079 5.0608879 4.8359928
10102 4.4963688 4.62596118 4.39780344 4.961185114 4.4535131 4.4581250
10103 1.1336750 0.03333457 1.30144732 0.630406142 1.4823752 -0.2511454
10105 5.9896470 6.78713761 6.82974254 6.942530878 6.8174152 6.8936574
10106 7.1803850 7.03134896 7.15260378 7.159072683 7.0336136 7.0985869
101060200 3.1321147 2.55421203 2.51151724 3.339769690 3.1651036 2.8917117
101060691 2.6683650 1.65874379 1.87923449 2.109224430 1.1413698 2.5910754
10109 8.4562378 8.21467331 8.33796867 8.252869567 8.3552163 8.3270091
10112 1.1336750 5.22118320 4.95394727 4.840997096 5.1591512 5.1351505
10113 6.0385542 6.29691308 6.41998295 6.343867111 6.2759929 6.2216894
10114 8.0056712 8.13028538 7.97234903 8.049454193 8.0214171 8.1600168
101154753 0.3980950 0.68291994 0.53909632 -1.179959587 1.3219244 -0.2511454
10116 7.4096058 7.48007687 7.56857382 7.617034594 7.4834448 7.4225234
10117 1.3963629 0.68291994 1.52076897 -1.179959587 0.6939653 0.3092859
1012 5.4751046 5.78529917 5.72375869 5.618631749 5.7696109 5.4435670
10121 6.4096326 6.48363899 6.31390178 6.343867111 6.2483543 6.2332091
10123 5.9130296 5.59575016 6.04879737 5.905040235 5.4290940 5.5821442
PFOA_24_H7 EtOH_24_H7
100 3.81229516 3.5669481
1000 11.11830990 11.1968189
10000 5.62717885 6.0568267
10001 4.13023370 4.0451043
10003 4.40751881 4.7034905
100037417 2.78106643 2.5352942
100049716 1.96527710 3.6495749
10005 3.98000511 4.2707041
10006 6.25533566 6.2279312
10007 5.08063746 4.9075405
10009 5.27751624 5.4966180
100093630 3.36976178 3.8018577
1001 5.73832567 6.1916231
10010 4.68232221 4.7788472
100101267 2.43008177 1.3431396
100101467 4.77648765 4.6509732
10011 5.11193720 5.1726339
100113386 1.27531357 0.8785083
100113397 0.94540292 0.8785083
100113407 3.83748074 3.9175286
100125288 0.74702885 1.3431396
100127983 2.49483378 2.5921107
100128006 2.92899255 3.0632127
100128016 1.96527710 0.8785083
100128025 0.24311486 0.8785083
100128054 1.41570893 1.3431396
100128071 0.51696221 0.4570902
100128191 0.51696221 1.3431396
100128252 1.41570893 1.2042513
100128379 -1.17995959 -1.1799596
100128398 4.04631299 4.4194046
100128494 3.29899961 3.4793001
100128569 1.66115471 1.5862754
100128640 -0.09518615 0.1889309
100128682 2.05390053 1.2042513
100128731 6.59879609 6.2144225
100128766 -1.17995959 -0.5687184
100128782 1.96527710 1.8880267
100128822 3.10523540 3.1028546
100128833 2.49483378 2.5352942
100128881 2.13739354 2.4144731
100128893 5.50674901 5.5762270
100129001 0.51696221 1.0505540
100129013 1.96527710 2.2118510
100129029 -0.09518615 0.1889309
100129060 3.46979444 3.2513519
100129075 2.05390053 2.6467741
100129195 2.88134945 2.5921107
100129203 0.74702885 0.4570902
100129250 0.51696221 1.6940257
100129259 -0.09518615 0.1889309
100129361 5.66986860 5.6583388
100129398 -1.17995959 -0.5687184
100129434 0.94540292 1.8880267
100129461 -0.09518615 -0.1407189
100129484 1.11976813 1.8880267
100129550 3.22458681 3.9175286
100129583 0.94540292 1.7942847
100129662 -0.09518615 1.9760475
100129707 0.94540292 0.4570902
100129716 1.11976813 1.5862754
100129726 0.51696221 -1.1799596
100129774 4.35616221 4.2531945
100129781 -0.09518615 -0.1407189
100129792 0.74702885 0.4570902
100129794 1.41570893 2.5352942
100129842 -1.17995959 0.8785083
100129917 1.27531357 1.6940257
100129924 -0.09518615 0.4570902
100129940 -1.17995959 -0.1407189
100129995 2.55680395 1.2042513
10013 6.10788545 6.0668840
100130111 -1.17995959 0.4570902
100130197 0.24311486 0.4570902
100130335 3.91050221 3.5950195
100130348 2.43008177 1.7942847
100130357 -0.09518615 0.4570902
100130466 2.49483378 2.5921107
100130476 -1.17995959 0.1889309
100130522 1.27531357 0.8785083
100130550 0.74702885 0.1889309
100130564 3.01980358 3.1028546
100130581 0.51696221 0.1889309
100130691 0.94540292 0.4570902
100130705 1.76980956 1.6940257
100130748 1.54364525 0.6831322
100130750 1.87085124 2.1374514
100130855 2.21631777 2.0590054
100130958 0.51696221 0.8785083
100131017 1.87085124 2.8468062
100131031 1.54364525 1.4698234
100131033 1.27531357 1.3431396
100131067 1.66115471 1.2042513
100131089 2.72818365 2.5921107
100131094 -0.53793164 1.3431396
100131138 4.64000480 4.5106529
100131187 3.50165453 3.6495749
100131193 2.83207911 3.2156358
100131211 2.88134945 3.7021422
100131213 1.27531357 2.2826012
100131471 1.96527710 2.2118510
100131656 3.33481450 3.0224507
100131685 0.94540292 1.6940257
100131691 2.29114739 2.0590054
100131740 0.74702885 -0.5687184
100131801 2.72818365 2.8468062
100131827 -0.09518615 -0.1407189
100131828 -0.09518615 -0.5687184
100131940 0.94540292 1.8880267
100132074 2.21631777 1.8880267
100132086 -0.09518615 -0.5687184
100132116 6.29223713 6.6850440
100132126 0.51696221 0.4570902
100132215 0.24311486 1.6940257
100132537 3.18588980 2.2826012
100132609 0.94540292 0.1889309
100132659 -0.09518615 0.1889309
100132891 0.24311486 1.4698234
100132972 0.51696221 0.6831322
100133234 -0.53793164 -0.1407189
100133286 0.51696221 -0.1407189
100133315 0.24311486 -1.1799596
100134934 1.76980956 1.3431396
10014 6.73570226 6.3889168
100144603 -0.09518615 -1.1799596
100144748 1.27531357 2.3500434
10015 7.60287030 7.6538647
10016 5.21162145 4.9516308
100170229 -0.09518615 0.6831322
100170841 4.72343364 3.5669481
10018 2.92899255 3.5669481
100188847 1.27531357 1.8880267
10019 4.35616221 4.2531945
100190938 -1.17995959 -0.1407189
1002 -0.09518615 -0.1407189
10020 3.62249303 3.2156358
10021 7.71922513 7.9043634
10023 1.76980956 1.2042513
10024 2.55680395 3.1028546
10026 6.28767573 6.3441338
100268168 0.74702885 1.0505540
100270804 -0.09518615 1.5862754
100270827 1.27531357 1.0505540
100270840 4.35616221 4.3715207
100270854 4.40751881 4.3386918
100270865 5.30486085 5.2974695
100271271 3.06315177 2.9372998
100271332 -1.17995959 -0.1407189
100271415 1.76980956 1.6940257
100271479 0.24311486 -0.1407189
100271884 0.51696221 0.8785083
100272147 3.50165453 3.0224507
100286844 1.76980956 1.4698234
100287015 1.54364525 1.2042513
100287049 0.51696221 0.6831322
100287074 0.94540292 -0.1407189
100287616 3.67931723 3.2513519
100287722 1.11976813 0.6831322
100287808 0.51696221 1.2042513
100287837 -1.17995959 0.1889309
100287896 2.36228639 3.0632127
100287902 1.27531357 0.1889309
100287928 2.83207911 2.4761481
100287932 5.52236409 5.2094169
100288001 2.13739354 2.2118510
100288073 1.11976813 1.4698234
100288123 0.51696221 -0.5687184
100288198 1.41570893 2.0590054
100288241 -1.17995959 -1.1799596
100288413 2.36228639 2.8927624
100288513 -0.09518615 0.6831322
100288842 0.51696221 1.9760475
100289061 1.66115471 1.4698234
100289095 1.41570893 -1.1799596
100289133 2.55680395 3.9395901
100289178 0.94540292 2.2826012
100289211 0.51696221 1.0505540
100289259 0.51696221 0.4570902
100289274 1.96527710 2.6994418
100289341 0.51696221 1.9760475
100289373 0.51696221 1.5862754
100289388 0.74702885 0.4570902
100289414 -0.09518615 0.1889309
100289635 4.90116741 5.2452854
100289640 1.66115471 0.6831322
100289678 1.54364525 2.2826012
100293516 2.67328842 3.2513519
100294362 1.27531357 1.3431396
1003 1.27531357 1.5862754
100302692 2.05390053 2.8927624
100302736 1.11976813 1.7942847
100303728 4.17043172 3.6760980
100303755 0.74702885 1.2042513
100312828 -1.17995959 -0.1407189
100312850 0.94540292 0.4570902
10036 4.10970672 4.2354697
100379345 1.27531357 0.8785083
10038 5.29580345 5.4202248
100381270 0.24311486 1.8880267
10039 2.88134945 3.9613194
1004 4.56659481 5.0562991
10040 4.04631299 3.8492447
100418710 2.13739354 -0.5687184
100418735 1.11976813 1.4698234
100418744 1.87085124 0.1889309
100418770 -1.17995959 -1.1799596
100418781 1.87085124 2.2826012
100418819 1.87085124 1.3431396
100418829 1.66115471 1.5862754
100418888 1.27531357 -0.1407189
100418889 2.61622150 2.8927624
100418910 -0.53793164 -0.5687184
100418919 1.66115471 2.0590054
100419028 2.49483378 1.5862754
100419185 -0.09518615 -0.1407189
100419416 1.54364525 0.8785083
100419515 0.51696221 -1.1799596
100419645 -0.09518615 -0.5687184
100419758 0.74702885 1.6940257
100419928 1.87085124 1.7942847
10042 4.85258071 5.0359641
100420028 -1.17995959 -1.1799596
100420050 0.24311486 -0.1407189
100420110 2.36228639 2.7993378
100420187 0.74702885 -1.1799596
100420259 4.00244806 4.1048968
100420307 0.74702885 0.8785083
100420341 5.62717885 5.7610215
100420423 1.41570893 1.5862754
100420591 0.51696221 0.4570902
100420707 1.96527710 2.7993378
100420752 1.54364525 1.3431396
100420869 4.13023370 3.9613194
100420981 6.03355365 5.7548135
100421093 3.70691147 4.2707041
100421109 -0.53793164 0.8785083
100421160 0.94540292 1.0505540
100421175 -1.17995959 1.3431396
100421246 0.24311486 -1.1799596
100421311 2.43008177 1.2042513
100421372 2.13739354 1.3431396
100421400 0.74702885 1.6940257
100421415 1.11976813 1.2042513
100421429 0.24311486 -0.1407189
100421465 0.94540292 -1.1799596
100421468 2.13739354 1.6940257
100421506 0.51696221 -0.5687184
100421569 -0.09518615 0.4570902
100421595 -1.17995959 0.4570902
100421794 -1.17995959 -1.1799596
100422106 1.76980956 1.3431396
100422338 1.87085124 2.2118510
100422546 -0.09518615 0.1889309
100422561 3.67931723 3.3534829
10043 6.08703570 5.5477839
10044 -1.17995959 -0.1407189
10045 0.24311486 0.1889309
10046 1.41570893 0.1889309
10048 6.70524196 6.6520211
10049 6.24596091 6.3441338
100499177 3.14612615 2.5921107
100499483 2.43008177 3.1028546
1005 -1.17995959 0.4570902
100500719 0.51696221 0.8785083
100505385 2.49483378 3.0224507
100505501 1.41570893 1.4698234
100505538 -1.17995959 0.8785083
100505549 -1.17995959 2.1374514
100505573 6.54629922 6.4439739
100505576 1.41570893 1.6940257
100505616 -1.17995959 -1.1799596
100505624 1.66115471 1.5862754
100505635 -0.53793164 0.4570902
100505641 2.21631777 1.7942847
100505648 1.76980956 2.2118510
100505678 1.96527710 3.1414363
100505696 4.13023370 4.8849795
100505715 0.51696221 1.0505540
100505738 2.97511246 2.7993378
100505741 1.76980956 2.0590054
100505758 3.26227292 3.5383197
100505761 2.67328842 3.5669481
100505771 2.21631777 2.0590054
100505783 2.92899255 2.7993378
100505806 4.22870363 4.6642829
100505812 -1.17995959 0.8785083
100505832 1.87085124 0.6831322
100505854 3.43721485 3.3859808
100505876 5.68382235 5.7977184
100505894 3.14612615 2.9805034
100505933 0.51696221 1.0505540
100505994 -0.09518615 -0.5687184
100506020 1.11976813 2.0590054
100506033 4.70985958 4.3715207
100506054 0.94540292 0.8785083
100506068 0.94540292 1.5862754
100506070 1.11976813 2.1374514
100506083 -1.17995959 0.6831322
100506100 -0.09518615 0.4570902
100506119 1.54364525 1.9760475
100506127 2.97511246 2.4144731
100506142 1.11976813 -0.1407189
100506144 0.94540292 2.4761481
100506161 0.51696221 -1.1799596
100506211 5.59061299 4.8387706
100506235 0.94540292 1.3431396
100506258 1.41570893 2.1374514
100506282 2.43008177 2.5352942
100506286 1.96527710 0.8785083
100506302 0.74702885 1.2042513
100506321 -0.09518615 0.8785083
100506325 -0.09518615 0.8785083
100506343 0.51696221 1.2042513
100506365 5.39243838 5.3312390
100506368 0.51696221 -0.1407189
100506380 3.70691147 3.4488594
100506392 2.83207911 3.7277246
100506394 2.78106643 1.2042513
100506411 0.94540292 1.7942847
100506433 2.21631777 3.7277246
100506462 1.11976813 1.6940257
100506469 4.20953999 4.4958400
100506495 1.11976813 0.6831322
100506504 2.05390053 1.4698234
100506540 0.51696221 0.6831322
100506581 0.94540292 1.6940257
100506606 -0.09518615 1.2042513
100506658 1.11976813 2.2826012
100506668 2.49483378 2.6467741
100506686 1.66115471 2.2826012
100506691 1.11976813 0.8785083
100506696 3.43721485 2.2826012
100506697 0.51696221 -0.1407189
100506710 6.63156252 6.3274981
100506713 0.74702885 -0.5687184
100506725 4.10970672 4.5253153
100506731 0.74702885 1.3431396
100506757 1.11976813 1.3431396
100506779 -1.17995959 -0.1407189
100506804 -0.53793164 0.1889309
100506826 1.27531357 1.0505540
100506844 2.88134945 2.6994418
100506866 7.04769386 6.8801782
100506881 -1.17995959 0.1889309
100506885 -0.09518615 0.8785083
100506911 1.54364525 0.1889309
100506922 -0.09518615 0.4570902
100506930 3.70691147 4.1623094
100506994 1.11976813 1.2042513
100507003 1.76980956 1.8880267
100507032 2.13739354 1.5862754
100507034 2.72818365 2.8927624
100507050 2.61622150 0.4570902
100507053 0.24311486 1.7942847
100507057 0.24311486 0.6831322
100507062 1.27531357 -0.1407189
100507071 1.11976813 0.6831322
100507156 3.10523540 2.8927624
100507171 2.97511246 2.9805034
100507173 -0.09518615 0.4570902
100507178 -0.53793164 -0.5687184
100507244 0.51696221 0.6831322
100507246 3.59321896 2.7993378
100507250 -0.09518615 -0.5687184
100507254 -1.17995959 1.2042513
100507266 0.51696221 -0.5687184
100507290 4.77648765 4.7788472
100507291 1.96527710 1.8880267
100507303 2.49483378 3.0632127
100507308 0.24311486 1.3431396
100507316 1.96527710 2.0590054
100507331 1.76980956 2.2826012
100507347 -0.09518615 0.6831322
100507373 1.76980956 2.8468062
100507392 -0.53793164 0.8785083
100507398 1.76980956 1.3431396
100507401 1.27531357 1.0505540
100507420 0.94540292 1.6940257
100507433 1.54364525 1.3431396
100507436 0.51696221 0.1889309
100507437 0.51696221 1.8880267
100507459 2.61622150 2.1374514
100507463 0.24311486 -0.5687184
100507487 1.27531357 1.7942847
100507495 0.74702885 1.8880267
100507516 0.24311486 -0.1407189
100507551 1.96527710 1.8880267
100507557 -0.09518615 2.0590054
100507564 0.74702885 -1.1799596
100507567 0.94540292 0.4570902
100507588 0.24311486 1.0505540
100507599 -0.09518615 1.6940257
100507602 3.18588980 2.2118510
100508120 2.78106643 2.8927624
10051 6.22225399 6.7012763
10052 1.41570893 0.4570902
100526737 1.87085124 2.2118510
100526760 0.74702885 0.8785083
100526820 0.51696221 0.4570902
100526835 3.06315177 4.0451043
100527978 0.74702885 1.3431396
100529145 1.27531357 1.2042513
100529215 -0.09518615 0.6831322
100532746 4.47326855 4.3050984
100533106 -0.53793164 1.0505540
100533182 0.94540292 1.2042513
100533619 -1.17995959 0.1889309
100533629 0.51696221 1.2042513
100533695 0.74702885 -1.1799596
100533970 0.74702885 0.1889309
100534593 1.66115471 1.9760475
10054 5.58318727 5.6847027
10056 5.42603312 6.0158812
10057 7.52168025 7.7997002
10058 5.56822018 4.9624461
10059 7.38316329 7.3770517
1006 5.59061299 6.1449141
10060 4.82765964 4.0852400
100616256 1.11976813 0.6831322
10062 2.49483378 1.6940257
10063 4.68232221 4.4808735
100652739 0.94540292 -1.1799596
100652758 0.74702885 0.8785083
100652846 3.22458681 3.0632127
10066 6.26464989 6.2279312
10067 6.37196822 6.1064265
10068 2.83207911 3.1790130
10069 4.33862889 4.8031161
10072 4.76340593 4.6905393
10073 4.19011837 4.0653117
10075 8.68513370 8.8732558
10076 5.55309619 5.9192704
10077 5.10157922 4.1623094
100775107 1.41570893 0.1889309
10078 4.55145368 4.4808735
10079 4.58157868 5.3804558
1008 3.73398782 4.2880037
10081 5.29580345 4.8269834
10082 7.91677706 8.1189435
100820829 5.58318727 5.6583388
10084 4.80230052 5.1819179
100847074 1.66115471 1.3431396
10085 8.24083515 8.8924693
100852407 0.94540292 0.6831322
100861412 0.24311486 1.0505540
100861548 3.91050221 4.0038200
100862671 1.27531357 -0.1407189
10087 6.44342750 6.4555033
100873257 0.24311486 0.1889309
100873333 2.92899255 3.2513519
100873790 4.24761605 4.2880037
100873949 1.66115471 2.0590054
100873952 0.51696221 -0.1407189
100873965 2.72818365 1.6940257
100874006 0.74702885 0.4570902
100874008 1.41570893 1.6940257
100874014 2.55680395 2.9372998
100874058 1.87085124 1.6940257
100874080 1.41570893 1.2042513
100874097 1.11976813 1.0505540
100874201 0.51696221 1.3431396
100874212 1.27531357 1.2042513
100874217 0.51696221 1.6940257
100874235 1.96527710 1.8880267
100874261 1.11976813 -0.5687184
100874291 0.51696221 -1.1799596
100874362 2.21631777 1.7942847
100874523 1.87085124 2.1374514
100885775 5.89647726 5.7548135
100885776 0.24311486 0.1889309
100885848 5.33169679 5.2094169
1009 8.74292455 9.3501849
10090 4.22870363 4.3219929
10092 6.78184248 7.0083456
10093 6.63515772 6.8830272
10094 5.27751624 5.2889022
10095 5.31386174 5.6977062
10097 7.77079798 8.1500245
10098 7.24881716 7.1895638
10099 8.26540153 8.3099419
100996246 0.94540292 1.3431396
100996251 0.24311486 0.8785083
100996307 -0.53793164 0.6831322
100996384 1.66115471 0.6831322
100996419 1.11976813 1.5862754
100996485 1.76980956 1.7942847
100996539 0.24311486 0.4570902
100996579 0.24311486 1.2042513
100996696 2.67328842 2.0590054
100996842 1.66115471 0.8785083
100996851 0.94540292 0.8785083
100996939 0.94540292 0.8785083
101 2.13739354 2.6994418
1010 -1.17995959 -1.1799596
10100 7.31531425 6.1161451
10101 4.95968645 4.8031161
10102 4.17043172 4.4194046
10103 0.51696221 -0.1407189
10105 7.43770736 6.7077184
10106 6.99270478 7.0393228
101060200 2.49483378 2.5921107
101060691 0.51696221 2.2118510
10109 8.30994383 8.3403178
10112 4.42423929 5.0461674
10113 6.16868557 6.1870197
10114 8.38553021 7.9754940
101154753 -0.53793164 -0.1407189
10116 8.13562373 7.5302879
10117 0.51696221 -0.1407189
1012 5.89647726 6.0002220
10121 6.18839590 6.2457482
10123 6.00048613 5.9737397
[ reached getOption("max.print") -- omitted 13227 rows ]
#I want to remove my outlier that I've had from PCAs - PFOA_24_H3
hc_cpm_matrix <- hc_cpm_matrix %>% as.data.frame() %>%
dplyr::select(-PFOA_24_H3)
as.matrix(hc_cpm_matrix)
TUN_2_C1 THA_2_C1 DMSO_2_C1 TUN_24_C1 THA_24_C1
100 3.05279451 2.99891245 2.94932083 2.5874338 2.29154642
1000 11.05270288 10.75283044 11.02653900 11.1462419 11.24847505
10000 6.23231196 6.52593732 6.57158173 6.7563188 6.71956711
10001 4.99406456 4.36957558 4.75152965 4.3591863 4.36285157
10003 3.44851979 3.22383206 3.45650813 3.3546168 2.00177258
100037417 -1.17995959 -1.17995959 -1.17995959 -1.1799596 -1.17995959
100049716 2.22402662 0.94479235 2.25697091 2.0544939 2.92000195
10005 3.12119630 3.20285392 2.82864525 3.2561270 3.82385592
10006 6.16099277 6.10474420 6.15171698 6.3507205 6.32989760
10007 4.29129088 4.48702624 4.31937475 4.6090816 4.87313152
10009 5.03895857 5.36829225 5.09020874 4.9923079 5.26277934
100093630 6.20104897 6.07619046 6.26940587 5.8107153 6.68500853
1001 6.93454838 6.59800753 6.79133662 7.0543517 6.22039347
10010 5.29728381 5.28590562 5.00923139 5.3907760 5.42114431
100101267 1.51543239 2.29042668 1.75930462 1.5717702 1.63878247
100101467 3.08740075 3.36271219 3.11328930 3.6925668 3.97862079
10011 5.83417301 5.73632394 5.99931155 5.3791233 5.65337871
100113386 -1.17995959 -1.17995959 -0.74586447 -0.3605375 -0.32604702
100113397 -0.24421103 0.47034406 0.08562892 0.8410921 0.59495932
100113407 3.69283813 3.78589527 3.81523356 3.5749152 4.69603686
100125288 1.03774623 -0.49187594 0.99336987 1.4874540 2.12474931
100127983 2.55598700 2.78973502 2.69694660 1.8669923 2.53273949
100128006 0.53470674 1.30122695 2.20942898 2.3212802 1.93611587
100128016 0.31868230 0.60436346 0.74926531 0.8410921 0.75583419
100128025 0.31868230 -1.17995959 0.74926531 0.1588344 -0.69072705
100128054 1.41000900 1.37809639 1.75930462 1.9946607 1.93611587
100128071 -1.17995959 -0.49187594 -0.41262148 -0.0776049 -0.32604702
100128191 1.41000900 1.30122695 0.60974551 1.3979025 0.59495932
100128252 2.55598700 2.07644544 2.16026684 2.3691902 3.22500468
100128379 0.72255732 -0.02791639 0.60974551 0.8410921 1.15259929
100128398 3.67018614 3.38150426 3.39408774 3.8528027 4.27263530
100128494 2.34337067 3.32437738 2.82864525 3.0657205 3.16894571
100128569 0.88874221 1.65017807 1.10149973 1.0901191 1.26382673
100128640 -1.17995959 -0.49187594 -0.41262148 -0.3605375 -1.17995959
100128682 -1.17995959 -0.49187594 -1.17995959 -1.1799596 -1.17995959
100128731 6.07307059 6.13827904 6.13590987 6.2196508 6.39548920
100128766 2.02417268 2.29042668 2.69694660 2.6662560 2.57649123
100128782 0.31868230 0.72698447 0.08562892 1.3024224 0.90055607
100128822 -1.17995959 -1.17995959 -1.17995959 -1.1799596 -1.17995959
100128833 2.22402662 1.45107645 1.38439035 1.3979025 1.86732807
100128881 1.70564996 1.71087442 1.29611644 1.6514295 1.63878247
100128893 4.30605897 4.32172778 4.47824920 3.1775799 4.07328137
100129001 0.53470674 0.32258793 0.08562892 1.6514295 1.15259929
100129013 1.51543239 1.45107645 2.30299601 1.7986553 0.75583419
100129029 0.06451611 -0.02791639 0.45527425 -0.0776049 0.59495932
100129060 2.22402662 2.76131924 2.73101540 2.5040549 3.25223792
100129075 -0.24421103 1.58681555 1.10149973 0.8410921 1.03207479
100129195 1.79211206 1.98109705 2.10937014 1.2001725 1.86732807
100129203 0.53470674 0.60436346 0.74926531 0.5399233 0.20673651
100129250 2.45359207 2.02955881 1.88566896 1.3979025 1.79509555
100129259 1.29627029 1.45107645 1.38439035 0.6983523 1.26382673
100129361 5.71750272 5.39165454 5.74800472 5.5077633 5.59075124
100129398 0.31868230 0.60436346 1.10149973 0.5399233 0.59495932
100129434 -1.17995959 0.83999490 0.08562892 -0.3605375 -0.32604702
100129461 -0.24421103 1.30122695 -0.41262148 0.6983523 1.86732807
100129484 0.53470674 1.37809639 0.60974551 0.3619256 2.73932600
100129550 3.97747021 4.37895762 4.03569981 4.2224127 4.45948829
100129583 -0.24421103 -1.17995959 -1.17995959 -0.3605375 1.36708928
100129662 -1.17995959 -0.02791639 0.08562892 -0.3605375 -1.17995959
100129707 0.72255732 0.72698447 0.87647427 0.5399233 1.03207479
100129716 1.61367390 1.22003011 1.94492922 0.9709721 1.46345182
100129726 -1.17995959 0.72698447 1.10149973 0.3619256 1.55377900
100129774 2.78408098 2.73233252 3.32884401 3.2304169 3.25223792
100129781 3.18650127 1.30122695 2.00185104 2.1671939 0.90055607
100129792 0.06451611 -0.49187594 0.08562892 0.1588344 -0.69072705
100129794 1.41000900 1.52054182 1.20208727 0.5399233 1.93611587
100129842 0.06451611 0.47034406 0.60974551 0.3619256 0.90055607
100129917 0.53470674 1.65017807 1.46757307 1.3024224 3.14007763
100129924 -0.24421103 -0.79527867 1.10149973 -0.0776049 0.41386733
100129940 2.28493236 2.12185614 2.69694660 2.5040549 0.90055607
100129995 -0.24421103 -1.17995959 -0.41262148 -1.1799596 -1.17995959
10013 5.36936478 5.36357405 5.49891872 5.3132942 5.65337871
100130111 -1.17995959 -1.17995959 0.28225809 -0.0776049 0.41386733
100130197 0.06451611 -0.49187594 0.08562892 -0.7128372 0.20673651
100130335 2.60458213 2.16588099 2.66205378 2.6273831 3.08054850
100130348 3.47489961 3.40005470 3.28364911 3.0945089 3.84189501
100130357 -0.24421103 -0.49187594 -1.17995959 -1.1799596 0.20673651
100130466 3.12119630 2.81760190 3.45650813 2.9757391 2.98637941
100130476 -1.17995959 0.32258793 1.46757307 0.3619256 0.41386733
100130522 -0.24421103 -0.02791639 0.45527425 0.1588344 0.41386733
100130550 0.31868230 0.32258793 0.28225809 0.8410921 0.90055607
100130564 2.90541838 3.20285392 3.57378794 3.5749152 2.88563171
100130581 1.29627029 0.94479235 0.45527425 0.6983523 2.00177258
100130691 1.03774623 0.47034406 1.10149973 1.4874540 2.00177258
100130705 1.29627029 0.83999490 0.60974551 1.0901191 1.55377900
100130748 1.03774623 1.22003011 -0.14209281 0.9709721 -0.03519931
100130750 -1.17995959 0.15795412 -1.17995959 -1.1799596 -1.17995959
100130855 1.03774623 1.93095065 1.38439035 1.3979025 0.90055607
100130958 0.88874221 0.60436346 0.45527425 -0.3605375 0.20673651
100131017 -1.17995959 -1.17995959 -1.17995959 -1.1799596 -1.17995959
100131031 1.51543239 2.70275143 2.47368338 1.9946607 2.73932600
100131033 0.88874221 1.45107645 0.74926531 1.9322383 1.03207479
100131067 1.70564996 0.60436346 1.62080030 0.8410921 2.12474931
100131089 0.88874221 0.60436346 1.10149973 1.0901191 0.90055607
100131094 0.31868230 -0.02791639 0.45527425 0.1588344 1.03207479
100131138 1.95088969 2.25009440 2.10937014 1.9322383 2.73932600
100131187 -1.17995959 -0.02791639 -1.17995959 -0.3605375 -0.32604702
100131193 1.87368408 1.93095065 2.39086251 1.0901191 0.20673651
100131211 3.15421827 3.26489482 3.28364911 2.8463074 4.04241285
100131213 1.51543239 0.94479235 0.74926531 0.5399233 0.59495932
100131471 1.79211206 2.20860207 1.88566896 2.4604859 1.63878247
100131656 3.33789492 2.97436477 3.06067692 3.1775799 3.56617413
100131685 3.39426742 3.74294306 3.41519604 3.5122843 2.61895511
100131691 2.02417268 1.58681555 1.10149973 1.6514295 2.29154642
100131740 -0.24421103 0.32258793 0.28225809 0.1588344 1.03207479
100131801 2.74125629 2.87177104 2.66205378 2.8463074 2.77731675
100131827 -1.17995959 -1.17995959 0.08562892 -0.3605375 -0.03519931
100131828 -1.17995959 -1.17995959 -0.74586447 -0.7128372 -0.69072705
100131940 1.17279131 0.83999490 0.99336987 -0.3605375 1.63878247
100132074 -1.17995959 -1.17995959 -1.17995959 -1.1799596 -1.17995959
100132086 0.72255732 0.47034406 0.99336987 -0.0776049 0.41386733
100132116 9.39468879 9.09733608 9.25266840 9.0088343 7.27373260
100132126 -0.63751189 -0.49187594 -0.41262148 -0.3605375 0.75583419
100132215 0.06451611 0.94479235 -1.17995959 0.8410921 1.36708928
100132537 2.34337067 2.02955881 2.51337653 3.0063607 2.39291127
100132609 0.53470674 0.15795412 0.45527425 0.5399233 1.46345182
100132659 0.06451611 -0.79527867 -0.74586447 -0.7128372 0.59495932
100132891 0.06451611 -0.02791639 -0.14209281 0.5399233 1.15259929
100132972 -0.63751189 0.32258793 -0.41262148 0.1588344 0.20673651
100133234 -0.63751189 0.83999490 -1.17995959 -0.7128372 0.75583419
100133286 -0.24421103 0.47034406 0.08562892 0.1588344 0.20673651
100133315 0.06451611 0.32258793 0.08562892 0.5399233 -0.32604702
100134934 1.17279131 2.12185614 1.69171394 1.3024224 2.00177258
10014 5.29728381 5.68807778 5.40707704 5.6454539 5.96044272
100144603 1.17279131 1.37809639 1.46757307 1.5717702 1.63878247
100144748 0.72255732 1.45107645 0.45527425 1.2001725 1.26382673
10015 7.24923961 7.20009307 7.30821967 7.2996887 7.22645330
10016 5.54148267 5.20908643 5.39118517 5.3375810 5.54192939
100170229 0.53470674 1.04249012 1.10149973 1.2001725 1.03207479
100170841 3.78004862 3.89454999 3.41519604 3.4468105 3.80558842
10018 2.98098750 2.87177104 2.66205378 3.0945089 4.14768114
100188847 2.34337067 1.37809639 1.38439035 1.4874540 1.46345182
10019 4.90955747 4.74821921 4.46818491 4.5889902 5.04648586
100190938 2.82567104 2.54500057 2.82864525 2.4604859 2.61895511
1002 0.06451611 -0.02791639 -0.14209281 -0.0776049 0.41386733
10020 3.27922980 3.95852528 3.59244008 3.9346886 4.94164962
10021 7.26633131 7.23925401 7.31244488 7.0689315 6.11678330
10023 1.17279131 0.83999490 1.54621999 0.5399233 1.26382673
10024 2.55598700 2.70275143 0.87647427 2.5463466 1.15259929
10026 5.84432606 5.59453369 5.96393647 5.8492334 6.26786853
100268168 0.53470674 0.15795412 0.45527425 -0.3605375 1.26382673
100270804 1.51543239 1.52054182 0.45527425 1.4874540 0.90055607
100270827 -1.17995959 -0.49187594 -0.41262148 -1.1799596 0.20673651
100270840 3.90171170 3.52362963 3.75027179 3.1504176 3.73011359
100270854 1.03774623 2.20860207 2.76429819 2.3691902 2.18251774
100270865 3.36635649 3.34367211 3.83102703 3.2304169 3.67079779
100271271 3.78004862 3.36271219 3.00607300 3.1504176 3.62985422
100271332 2.90541838 2.51126958 2.92008500 2.7409939 3.19724746
100271415 0.31868230 0.83999490 1.75930462 1.2001725 0.75583419
100271479 -1.17995959 -1.17995959 -1.17995959 -0.3605375 -0.69072705
100271884 0.72255732 -0.02791639 0.28225809 0.9709721 0.75583419
100272147 2.09391245 1.87899826 1.82386986 2.1119441 2.88563171
100286844 -0.24421103 -0.02791639 -0.14209281 0.6983523 0.59495932
100287015 -0.24421103 -0.02791639 -0.74586447 -1.1799596 -1.17995959
100287049 -0.63751189 0.47034406 -0.41262148 0.1588344 -0.03519931
100287074 2.60458213 2.07644544 2.10937014 2.0544939 1.79509555
100287616 4.72406553 4.24170897 4.43756380 4.4399238 4.21843154
100287722 0.88874221 1.52054182 1.29611644 0.9709721 1.15259929
100287808 0.06451611 -0.24132526 0.08562892 0.6983523 -1.17995959
100287837 -0.24421103 0.72698447 -0.41262148 -0.7128372 -0.69072705
100287896 2.82567104 2.20860207 2.34759809 2.2204057 2.88563171
100287902 -0.24421103 -0.49187594 -0.41262148 0.5399233 -1.17995959
100287928 2.45359207 2.02955881 2.47368338 2.7041089 2.44104231
100287932 5.52263932 5.49881055 5.34793056 5.3009958 5.30890163
100288001 2.28493236 1.87899826 2.58962956 1.0901191 1.26382673
100288073 3.92102754 4.40674313 3.76678851 3.9024898 7.29843753
100288123 0.72255732 0.15795412 1.62080030 1.2001725 1.55377900
100288198 3.15421827 3.28499607 2.76429819 2.6273831 3.76834451
100288241 0.53470674 0.60436346 1.20208727 1.5717702 0.59495932
100288413 2.16043589 1.52054182 1.94492922 2.3212802 3.01845694
100288513 0.06451611 -0.02791639 0.99336987 0.1588344 -0.32604702
100288842 0.88874221 0.83999490 0.28225809 -0.3605375 1.15259929
100289061 -0.63751189 -0.79527867 0.28225809 0.1588344 -0.03519931
100289095 1.61367390 1.04249012 0.87647427 -0.0776049 0.90055607
100289133 2.02417268 1.45107645 1.46757307 1.2001725 0.90055607
100289178 1.79211206 2.16588099 2.05661199 1.9946607 2.18251774
100289211 0.06451611 0.15795412 0.99336987 1.0901191 1.26382673
100289259 -0.24421103 0.32258793 0.45527425 1.0901191 1.03207479
100289274 1.61367390 2.92397968 1.94492922 1.6514295 4.19054634
100289341 1.87368408 0.94479235 0.99336987 -0.0776049 1.46345182
100289373 -1.17995959 -1.17995959 -1.17995959 -1.1799596 -1.17995959
100289388 0.88874221 1.13398943 -0.14209281 1.7269196 2.12474931
100289414 -0.24421103 0.72698447 -0.14209281 -0.0776049 0.75583419
100289635 4.54889491 4.79101693 4.70942840 5.3009958 5.66355731
100289640 1.51543239 1.87899826 1.88566896 0.9709721 1.86732807
100289678 1.79211206 2.40506975 2.00185104 2.6273831 3.04983674
100293516 3.67018614 3.78589527 3.69955583 3.7659878 3.38118845
100294362 1.29627029 2.29042668 2.00185104 1.7986553 2.12474931
1003 -1.17995959 0.60436346 -0.41262148 0.1588344 -1.17995959
100302692 1.03774623 1.58681555 2.05661199 0.8410921 2.12474931
100302736 2.16043589 1.37809639 2.05661199 1.9322383 2.73932600
100303728 2.98098750 2.94939217 3.13889306 3.1227340 2.73932600
100303755 0.88874221 0.60436346 1.88566896 1.4874540 1.36708928
100312828 -1.17995959 -0.79527867 0.28225809 -0.0776049 -0.32604702
100312850 -1.17995959 -1.17995959 0.28225809 -1.1799596 0.20673651
10036 4.32067742 4.46956766 4.47824920 3.9970074 3.67079779
100379345 2.69712140 2.51126958 2.69694660 1.7269196 2.70030771
10038 4.58567193 5.00002141 4.98825638 4.9377469 5.06195917
100381270 0.72255732 0.32258793 0.87647427 1.4874540 0.20673651
10039 6.13641411 5.88200895 6.16423913 6.0790782 5.87542299
1004 6.78970592 6.65704000 6.75454413 7.5746201 5.68370159
10040 2.78408098 2.57796089 2.79683044 2.4604859 3.58771466
100418710 0.31868230 0.47034406 0.28225809 1.8669923 1.79509555
100418735 4.04944820 3.65300078 3.69955583 3.5543389 3.14007763
100418744 0.06451611 2.02955881 1.62080030 1.2001725 1.03207479
100418770 2.74125629 2.54500057 2.39086251 2.9124743 2.44104231
100418781 1.03774623 1.93095065 1.10149973 1.3024224 1.03207479
100418819 0.72255732 1.30122695 0.74926531 0.5399233 1.46345182
100418829 2.02417268 2.47673103 2.97797596 2.2204057 2.57649123
100418888 1.51543239 1.58681555 1.10149973 1.4874540 1.36708928
100418889 2.02417268 2.57796089 2.55200678 1.9946607 2.98637941
100418910 1.87368408 1.76911995 1.82386986 2.2204057 1.36708928
100418919 2.28493236 2.02955881 2.20942898 2.4155601 1.79509555
100419028 1.41000900 0.94479235 1.38439035 1.7986553 0.20673651
100419185 -0.24421103 -0.24132526 -0.41262148 0.8410921 0.41386733
100419416 1.70564996 1.76911995 0.87647427 0.6983523 0.59495932
100419515 -0.24421103 0.47034406 -0.41262148 0.5399233 0.75583419
100419645 0.31868230 0.60436346 0.45527425 0.3619256 -0.69072705
100419758 -1.17995959 -1.17995959 -0.74586447 -0.7128372 -1.17995959
100419928 1.51543239 1.30122695 1.38439035 1.0901191 2.00177258
10042 5.12476111 5.18254336 5.10976230 5.0595558 4.99098377
100420028 1.03774623 0.60436346 0.60974551 0.3619256 -0.03519931
100420050 0.53470674 0.72698447 -1.17995959 -0.3605375 -0.69072705
100420110 3.94008818 3.34367211 2.82864525 3.4014499 3.33098270
100420187 1.51543239 1.37809639 1.82386986 2.2717244 1.93611587
100420259 4.03178756 3.81383571 3.99421973 3.8013431 4.01086938
100420307 -0.24421103 0.15795412 0.45527425 -0.3605375 1.15259929
100420341 5.39030505 4.91228210 5.00227354 5.0812927 6.49858751
100420423 1.17279131 0.60436346 1.20208727 0.1588344 0.75583419
100420591 0.72255732 0.60436346 0.87647427 0.8410921 2.06457088
100420707 2.09391245 1.98109705 2.39086251 2.2204057 1.15259929
100420752 1.95088969 1.65017807 1.94492922 1.7986553 2.53273949
100420869 4.16736611 3.66838597 3.83102703 3.6349400 3.49955291
100420981 5.50354659 5.49017867 5.47900876 5.2823492 5.75683245
100421093 3.92102754 3.86814381 3.51633945 3.9346886 3.25223792
100421109 -0.24421103 0.32258793 1.20208727 0.1588344 -0.32604702
100421160 -0.24421103 1.04249012 0.08562892 0.9709721 0.20673651
100421175 1.03774623 0.32258793 0.08562892 1.5717702 1.15259929
100421246 1.41000900 1.22003011 1.38439035 1.9322383 2.29154642
100421311 2.55598700 2.25009440 0.99336987 2.5040549 2.81433269
100421372 1.51543239 1.13398943 1.38439035 1.9322383 2.34311891
100421400 2.39953372 2.07644544 1.94492922 2.0544939 2.57649123
100421415 0.06451611 -1.17995959 -0.41262148 -0.3605375 -0.32604702
100421429 0.31868230 -0.24132526 -1.17995959 -0.3605375 -0.03519931
100421465 2.28493236 1.13398943 1.62080030 2.3212802 2.12474931
100421468 2.22402662 1.98109705 0.87647427 1.7986553 1.55377900
100421506 -1.17995959 0.15795412 0.74926531 -0.7128372 -0.32604702
100421569 -0.63751189 0.72698447 0.45527425 0.1588344 0.20673651
100421595 1.41000900 2.12185614 1.62080030 1.2001725 1.79509555
100421794 2.94369767 2.64170501 2.92008500 2.8797701 3.33098270
100422106 1.41000900 1.37809639 1.29611644 1.4874540 1.26382673
100422338 2.09391245 1.65017807 1.38439035 2.7041089 1.86732807
100422546 1.03774623 0.60436346 -0.41262148 -0.3605375 0.59495932
100422561 4.26129329 3.92048152 4.45804991 4.0271855 4.45948829
10043 5.25984623 5.22997479 5.10976230 5.3315475 5.55292237
10044 2.78408098 3.04678921 2.97797596 3.6152079 1.36708928
10045 -0.24421103 -0.02791639 -1.17995959 0.5399233 2.57649123
10046 1.70564996 1.52054182 1.75930462 1.9946607 1.79509555
10048 6.44072491 6.20309709 6.42058328 6.2294183 6.87875333
10049 5.50354659 5.29584593 5.05701876 5.3907760 5.73286504
100499177 2.78408098 3.40005470 2.79683044 2.7409939 3.67079779
100499483 0.72255732 0.60436346 0.28225809 1.2001725 1.93611587
1005 1.51543239 0.72698447 0.45527425 1.3024224 1.55377900
100500719 0.31868230 -0.02791639 -0.41262148 0.5399233 0.41386733
100505385 2.69712140 3.32437738 3.03363328 2.5040549 1.63878247
100505501 1.29627029 1.22003011 1.20208727 1.2001725 1.79509555
100505538 0.31868230 -0.02791639 -0.14209281 -0.7128372 0.20673651
100505549 -1.17995959 -0.79527867 0.08562892 -1.1799596 -1.17995959
100505573 5.50993895 5.41464453 5.29197228 5.1307738 5.11484507
100505576 4.41905792 4.18934537 4.26227540 3.9186790 3.60893829
100505616 0.31868230 -0.02791639 -1.17995959 0.1588344 0.20673651
100505624 1.51543239 1.58681555 1.20208727 1.8669923 1.15259929
100505635 0.88874221 1.87899826 0.99336987 1.2001725 1.26382673
100505641 2.09391245 2.97436477 2.25697091 2.2717244 2.61895511
100505648 2.34337067 2.36785851 2.55200678 2.7769594 2.95357239
100505678 1.79211206 1.76911995 1.69171394 1.6514295 1.03207479
100505696 3.78004862 4.00773832 3.73356378 3.7479799 3.94563483
100505715 -1.17995959 -0.79527867 -1.17995959 -0.0776049 -0.32604702
100505738 2.09391245 1.04249012 0.74926531 1.3024224 1.55377900
100505741 1.51543239 1.04249012 0.74926531 1.2001725 0.90055607
100505758 3.01733771 3.04678921 2.85977358 2.9757391 3.11062008
100505761 1.03774623 1.37809639 1.75930462 1.7986553 1.93611587
100505771 2.39953372 3.32437738 3.45650813 2.8120500 2.18251774
100505783 -1.17995959 -1.17995959 -0.14209281 -1.1799596 -1.17995959
100505806 3.44851979 3.20285392 2.73101540 2.0544939 3.27896659
100505812 -1.17995959 -1.17995959 -0.41262148 -1.1799596 -1.17995959
100505832 -1.17995959 -0.79527867 -1.17995959 -0.3605375 -1.17995959
100505854 -0.24421103 -0.02791639 0.08562892 0.6983523 0.59495932
100505876 5.45136170 5.17178787 5.35886640 4.6961833 5.74249984
100505894 1.17279131 0.60436346 0.99336987 0.1588344 1.46345182
100505933 0.53470674 -1.17995959 -0.14209281 -0.0776049 1.26382673
100505994 -1.17995959 -0.49187594 -0.41262148 -0.3605375 2.00177258
100506020 0.53470674 0.32258793 0.74926531 1.3024224 0.90055607
100506033 4.13464714 4.12389222 3.71666001 3.8861168 3.71061138
100506054 0.31868230 -0.02791639 -0.74586447 0.5399233 -0.69072705
100506068 -0.24421103 -0.49187594 0.08562892 0.1588344 -1.17995959
100506070 -1.17995959 0.15795412 -0.41262148 -0.3605375 0.90055607
100506083 0.88874221 0.32258793 0.60974551 0.6983523 1.15259929
100506100 -0.24421103 1.22003011 0.08562892 0.3619256 -0.32604702
100506119 0.72255732 0.32258793 0.45527425 -0.3605375 0.59495932
100506127 1.17279131 0.32258793 1.29611644 2.2204057 2.18251774
100506142 -1.17995959 -0.24132526 -1.17995959 -1.1799596 -0.03519931
100506144 0.88874221 0.32258793 0.99336987 -0.0776049 1.15259929
100506161 0.53470674 -0.79527867 0.08562892 1.0901191 1.15259929
100506211 2.28493236 3.26489482 3.51633945 2.6662560 1.93611587
100506235 0.53470674 1.65017807 1.54621999 0.9709721 1.03207479
100506258 -0.63751189 -0.79527867 -0.41262148 -1.1799596 -1.17995959
100506282 1.03774623 0.47034406 1.62080030 1.0901191 2.12474931
100506286 -0.63751189 -0.02791639 0.08562892 -0.3605375 -0.03519931
100506302 0.53470674 0.83999490 0.60974551 0.3619256 0.90055607
100506321 0.72255732 0.72698447 0.28225809 0.3619256 0.20673651
100506325 -1.17995959 0.32258793 0.28225809 -0.3605375 0.59495932
100506343 -0.24421103 0.72698447 0.99336987 1.3024224 0.41386733
100506365 4.41905792 4.57944538 4.66606150 4.6677297 5.03868653
100506368 -1.17995959 0.32258793 -1.17995959 -0.7128372 0.41386733
100506380 1.17279131 2.29042668 2.05661199 2.1671939 2.23806178
100506392 2.55598700 3.50661102 3.61085415 3.4014499 4.05792967
100506394 -1.17995959 -0.02791639 -1.17995959 -0.3605375 1.03207479
100506411 1.70564996 -0.02791639 0.74926531 0.8410921 1.03207479
100506433 0.06451611 1.13398943 0.74926531 0.8410921 0.41386733
100506462 -0.24421103 -0.02791639 0.08562892 0.1588344 -0.03519931
100506469 1.61367390 2.02955881 1.75930462 1.2001725 2.70030771
100506495 -0.24421103 0.32258793 0.45527425 -1.1799596 0.20673651
100506504 1.29627029 1.76911995 2.00185104 2.1671939 1.36708928
100506540 1.17279131 1.22003011 1.82386986 1.0901191 0.59495932
100506581 2.50569778 2.44134528 2.76429819 2.8463074 3.67079779
100506606 -1.17995959 -0.24132526 -1.17995959 -0.7128372 -0.03519931
100506658 0.53470674 0.83999490 0.28225809 0.3619256 1.93611587
100506668 2.09391245 2.02955881 2.25697091 1.5717702 2.98637941
100506686 0.31868230 0.32258793 0.60974551 0.9709721 2.23806178
100506691 -0.24421103 0.72698447 -0.14209281 -1.1799596 0.59495932
100506696 0.72255732 -0.02791639 0.60974551 -0.0776049 0.20673651
100506697 1.29627029 0.60436346 1.20208727 1.3979025 0.59495932
100506710 3.64717281 4.11268873 3.59244008 4.1141077 5.00706058
100506713 -0.24421103 -0.49187594 -0.14209281 0.9709721 -0.03519931
100506725 3.55126281 2.70275143 2.97797596 3.0063607 1.86732807
100506731 0.06451611 0.83999490 0.74926531 0.1588344 1.79509555
100506757 0.88874221 -0.49187594 0.45527425 0.1588344 1.86732807
100506779 -0.24421103 -0.79527867 -0.74586447 -0.7128372 -0.03519931
100506804 -1.17995959 -0.02791639 0.45527425 -1.1799596 -0.69072705
100506826 1.17279131 0.47034406 0.99336987 -0.3605375 0.90055607
100506844 2.02417268 1.22003011 1.82386986 1.3024224 2.06457088
100506866 3.86228643 4.13500938 4.68356500 4.0857116 4.16211152
100506881 2.02417268 2.07644544 2.00185104 1.9322383 2.34311891
100506885 0.72255732 0.94479235 0.74926531 0.3619256 -1.17995959
100506911 0.06451611 0.60436346 -0.14209281 -1.1799596 -0.03519931
100506922 0.31868230 -0.79527867 -1.17995959 -1.1799596 -1.17995959
100506930 3.36635649 3.45431641 3.11328930 3.1504176 4.07328137
100506994 0.31868230 0.94479235 0.74926531 -0.7128372 -0.69072705
100507003 -0.63751189 -0.49187594 -0.74586447 -1.1799596 -0.32604702
100507032 -1.17995959 -1.17995959 -1.17995959 -1.1799596 -1.17995959
100507034 2.94369767 3.18156623 3.28364911 2.9124743 3.52210354
100507050 -1.17995959 0.94479235 -0.14209281 0.5399233 0.90055607
100507053 -1.17995959 -0.49187594 -1.17995959 -1.1799596 -0.03519931
100507057 -0.63751189 -0.79527867 -0.41262148 -0.3605375 -0.03519931
100507062 0.06451611 -0.49187594 0.74926531 -0.3605375 0.20673651
100507071 0.53470674 0.47034406 -0.41262148 0.1588344 0.75583419
100507156 3.80105171 4.06698393 4.37429998 3.9505225 4.44775682
100507171 2.28493236 2.07644544 2.25697091 2.2717244 3.76834451
100507173 -1.17995959 -0.02791639 -1.17995959 -0.3605375 0.41386733
100507178 -0.63751189 -0.24132526 -1.17995959 -1.1799596 0.75583419
100507244 1.41000900 1.04249012 1.20208727 1.8669923 1.63878247
100507246 3.67018614 3.71358095 3.41519604 3.6349400 3.74935568
100507250 0.06451611 0.32258793 0.74926531 -0.0776049 -0.03519931
100507254 1.51543239 2.29042668 1.38439035 1.2001725 -0.03519931
100507266 -0.24421103 -0.24132526 0.60974551 -0.3605375 1.26382673
100507290 4.36366449 4.77689162 4.27387749 4.3710006 4.75434449
100507291 -1.17995959 -0.24132526 -0.14209281 -1.1799596 0.59495932
100507303 2.65159361 2.61018498 2.43286718 2.0544939 2.70030771
100507308 1.29627029 1.87899826 0.45527425 1.4874540 0.90055607
100507316 -1.17995959 0.32258793 -0.41262148 -1.1799596 -0.32604702
100507331 1.17279131 1.30122695 1.75930462 1.7986553 2.44104231
100507347 2.28493236 2.29042668 1.75930462 1.7269196 2.81433269
100507373 1.61367390 1.22003011 2.00185104 2.3212802 2.44104231
100507392 0.88874221 1.30122695 1.20208727 1.0901191 0.20673651
100507398 -0.24421103 -0.24132526 0.99336987 -0.7128372 1.55377900
100507401 -0.24421103 0.83999490 0.87647427 0.8410921 0.59495932
100507420 -0.24421103 -0.49187594 -1.17995959 0.9709721 -0.32604702
100507433 -0.24421103 1.30122695 1.38439035 0.1588344 1.55377900
100507436 0.31868230 -0.79527867 0.60974551 0.1588344 -0.32604702
100507437 1.29627029 0.47034406 1.10149973 0.5399233 1.15259929
100507459 0.31868230 0.60436346 -0.14209281 1.0901191 0.75583419
100507463 0.06451611 -0.49187594 -0.14209281 0.3619256 0.41386733
100507487 1.03774623 1.22003011 1.10149973 0.3619256 2.95357239
100507495 3.15421827 3.57351310 3.87739583 4.0420411 3.97862079
100507516 -0.24421103 -0.02791639 0.60974551 0.1588344 -0.69072705
100507551 -0.63751189 -0.02791639 0.08562892 -0.3605375 -0.03519931
100507557 0.53470674 1.52054182 0.28225809 1.0901191 2.29154642
100507564 0.06451611 0.83999490 0.60974551 0.3619256 0.20673651
100507567 -0.24421103 0.32258793 -1.17995959 -0.0776049 0.75583419
100507588 -0.63751189 -0.02791639 0.60974551 0.5399233 1.63878247
100507599 -0.24421103 -0.49187594 0.08562892 0.1588344 -0.32604702
100507602 4.57351679 4.39754062 4.36348095 3.9346886 4.19054634
100508120 0.53470674 1.04249012 1.29611644 -0.3605375 1.03207479
10051 5.71750272 5.86207606 6.03042405 6.0862627 4.92482275
10052 1.29627029 0.83999490 1.20208727 1.3024224 0.41386733
100526737 1.79211206 2.02955881 1.69171394 1.3024224 1.79509555
100526760 1.03774623 1.13398943 1.10149973 1.3979025 1.63878247
100526820 0.31868230 0.32258793 -0.14209281 -0.3605375 -1.17995959
100526835 3.33789492 3.18156623 3.49667010 2.4604859 3.38118845
100527978 -0.63751189 -0.79527867 -0.41262148 -0.3605375 0.20673651
100529145 1.29627029 0.72698447 1.69171394 0.9709721 1.71905500
100529215 -0.63751189 -0.49187594 -1.17995959 0.8410921 1.15259929
100532746 3.42164861 3.45431641 3.49667010 3.5952022 3.76834451
100533106 -0.24421103 -0.02791639 0.60974551 -0.3605375 0.41386733
100533182 -0.24421103 -0.24132526 0.28225809 0.3619256 -1.17995959
100533619 -1.17995959 -1.17995959 -0.41262148 -0.3605375 -1.17995959
100533629 -0.63751189 0.47034406 0.45527425 -0.3605375 -0.32604702
100533695 0.88874221 0.60436346 0.08562892 0.6983523 -0.03519931
100533970 0.31868230 1.37809639 0.74926531 -0.7128372 1.63878247
100534593 0.31868230 -0.79527867 0.60974551 0.5399233 0.41386733
10054 6.17312683 5.97774045 6.10051232 6.0646010 6.34894432
10056 5.47115290 5.36829225 5.66232115 5.5395169 5.83095731
10057 6.44072491 6.38870247 6.52379402 6.4543045 7.10660337
10058 5.07389430 4.81194892 4.80048117 5.0956042 6.15335759
10059 6.68626035 6.79659760 6.85644513 6.9733558 6.72443715
1006 3.33789492 3.28499607 3.73356378 2.9124743 2.88563171
10060 2.09391245 1.71087442 1.54621999 2.2717244 1.63878247
100616256 0.31868230 -0.79527867 -0.41262148 0.5399233 0.41386733
10062 0.53470674 0.94479235 1.20208727 0.1588344 1.63878247
10063 3.08740075 3.55707618 3.61085415 3.1227340 3.49955291
100652739 0.06451611 -0.02791639 0.08562892 -0.0776049 0.41386733
100652758 1.70564996 0.60436346 1.10149973 0.3619256 2.34311891
100652846 -0.63751189 1.45107645 1.10149973 0.9709721 0.20673651
10066 6.33668705 6.31729946 6.33456288 6.0969728 6.52673981
10067 5.67262364 5.33010740 5.44861896 5.3907760 5.70849273
10068 2.74125629 2.99891245 2.94932083 2.3212802 3.47664418
10069 2.16043589 2.67255109 2.97797596 3.2561270 3.42970565
10072 4.85033772 4.89276593 4.83221645 4.8974715 4.50548289
10073 3.24897772 3.45431641 3.79926528 3.3546168 3.62985422
10075 8.31898295 8.71429944 8.70368837 8.8437816 8.81429999
10076 5.39030505 5.01814804 4.80848067 5.0595558 5.40303319
10077 0.06451611 0.15795412 -0.41262148 -0.0776049 1.15259929
100775107 0.06451611 0.83999490 0.45527425 0.3619256 1.15259929
10078 4.99406456 4.74821921 4.57520940 4.4621854 4.83761223
10079 4.76739594 4.56307629 4.93809517 5.2183939 5.35359498
1008 4.48543652 4.06698393 4.48824376 4.4058738 4.07328137
10081 4.43258022 4.39754062 4.28538703 4.3472745 4.67606528
10082 7.53276276 7.25717158 7.45685509 7.0377712 6.76754326
100820829 3.78004862 4.00773832 3.68224643 3.2304169 2.92000195
10084 5.28242515 5.13349936 5.00923139 4.7783243 4.81951917
100847074 2.22402662 1.71087442 1.54621999 2.3691902 2.23806178
10085 10.11904455 9.85745051 10.02941325 10.0480855 9.79548311
100852407 1.29627029 1.22003011 1.94492922 1.4874540 1.71905500
100861412 -0.24421103 0.32258793 0.08562892 -0.3605375 1.71905500
100861548 4.18345147 3.85475724 4.16593836 4.4949467 5.37852584
100862671 0.06451611 1.13398943 0.08562892 0.1588344 -0.03519931
10087 5.90378806 5.99919253 5.61749226 5.7621968 6.28115076
100873257 -1.17995959 -0.49187594 -0.74586447 -0.7128372 -1.17995959
100873333 1.70564996 2.70275143 2.66205378 3.1775799 1.93611587
100873790 2.22402662 2.76131924 1.94492922 2.3212802 1.79509555
100873949 -0.24421103 0.15795412 0.87647427 0.5399233 -0.03519931
100873952 -0.24421103 -0.49187594 0.08562892 0.1588344 0.59495932
100873965 1.87368408 1.22003011 1.38439035 1.4874540 1.46345182
100874006 1.61367390 2.40506975 1.88566896 1.7986553 2.53273949
100874008 1.70564996 1.37809639 0.99336987 0.6983523 1.26382673
100874014 1.41000900 1.13398943 1.46757307 1.9322383 0.90055607
100874058 1.03774623 1.52054182 0.45527425 0.6983523 1.86732807
100874080 1.17279131 1.22003011 1.10149973 1.4874540 1.03207479
100874097 1.29627029 1.04249012 1.46757307 1.8669923 2.00177258
100874201 0.53470674 0.60436346 0.28225809 0.1588344 -0.32604702
100874212 1.03774623 1.13398943 0.99336987 1.2001725 1.15259929
100874217 0.53470674 0.47034406 0.45527425 0.5399233 1.15259929
100874235 -0.24421103 -0.49187594 -0.41262148 0.3619256 0.41386733
100874261 1.17279131 0.32258793 1.69171394 1.3024224 2.00177258
100874291 0.72255732 0.60436346 0.28225809 -1.1799596 -0.32604702
100874362 0.31868230 1.30122695 1.10149973 1.0901191 2.06457088
100874523 1.51543239 1.13398943 2.05661199 1.8669923 1.26382673
100885775 2.22402662 2.54500057 2.82864525 2.2717244 2.06457088
100885776 0.72255732 0.72698447 0.45527425 -0.0776049 1.03207479
100885848 4.62153469 4.72633463 4.93809517 4.7514602 3.80558842
1009 10.66334939 10.50733101 10.59666756 10.6701566 9.71028698
10090 4.79906052 4.35062646 4.44784322 4.8974715 5.06195917
10092 7.87860240 7.65484755 7.84982416 7.7646102 7.64128605
10093 7.47512355 7.30224880 7.36220514 7.3257221 6.97588759
10094 3.73710226 3.68360882 3.83102703 3.7112753 4.08847144
10095 6.22066758 6.04999979 6.20420141 6.3114089 6.14611654
10097 8.85858662 8.81968269 8.77889884 8.9014324 8.40808209
10098 6.40344309 6.49822401 6.27518998 6.5431361 6.31383097
10099 7.76561265 7.54557409 7.58346195 7.5212828 7.85510410
100996246 2.09391245 1.58681555 1.94492922 2.4604859 1.63878247
100996251 -0.24421103 -1.17995959 0.28225809 -0.0776049 1.36708928
100996307 1.51543239 0.47034406 1.54621999 2.1119441 1.71905500
100996384 0.72255732 0.60436346 0.74926531 0.3619256 0.59495932
100996419 0.53470674 0.32258793 0.28225809 -0.7128372 -0.03519931
100996485 2.34337067 1.71087442 1.46757307 1.7269196 1.93611587
100996539 -0.24421103 -0.02791639 0.28225809 -1.1799596 0.20673651
100996579 -1.17995959 -0.02791639 -1.17995959 -1.1799596 -0.32604702
100996696 2.45359207 3.20285392 2.76429819 2.8120500 3.19724746
100996842 1.79211206 1.93095065 2.10937014 0.8410921 2.06457088
100996851 -0.63751189 -0.02791639 0.60974551 0.6983523 -0.03519931
100996939 0.88874221 0.83999490 1.38439035 0.9709721 1.79509555
101 0.31868230 0.47034406 0.08562892 -0.7128372 1.26382673
1010 1.03774623 1.22003011 0.60974551 0.5399233 0.75583419
10100 5.07389430 4.61163670 4.74320712 4.3231518 3.08054850
10101 4.62153469 4.71896538 4.27387749 4.3472745 4.82859406
10102 4.79906052 4.61957353 4.50802755 4.2986187 4.67606528
10103 -0.24421103 -0.49187594 0.08562892 -0.0776049 1.79509555
10105 6.11560710 6.06169883 5.98526543 5.6503095 6.02107296
10106 7.25305530 7.19346164 7.15979293 7.0851597 7.74797342
101060200 1.79211206 2.73233252 2.66205378 2.0544939 3.30520906
101060691 1.51543239 0.15795412 0.45527425 1.6514295 2.48761931
10109 8.89322993 8.71984779 8.83626807 8.8953098 8.57645267
10112 4.39162705 4.23138719 4.26227540 4.5889902 1.93611587
10113 6.06874713 6.35106108 6.21928151 6.3144712 6.88093600
10114 7.23387511 7.29483306 7.27973087 7.2365144 7.42947231
101154753 0.06451611 0.47034406 -0.41262148 -0.3605375 0.41386733
10116 7.62398840 7.79898250 7.63047256 7.5999397 7.69685516
10117 0.53470674 0.72698447 0.99336987 -1.1799596 0.20673651
1012 8.73920084 8.48535044 8.64849491 8.8148798 9.11755185
10121 6.11560710 6.01130916 6.16735276 6.2196508 6.02896784
10123 7.00638625 7.02888934 6.92978498 6.6512414 7.06112919
101241892 3.44851979 3.86814381 3.75027179 3.3062122 3.60893829
10125 0.06451611 0.32258793 1.20208727 1.4874540 1.79509555
10126 2.82567104 3.28499607 2.73101540 3.5334648 3.49955291
DOX_24_C1 NUTL_24_C1 DMSO_24_C1 LPS_24_C1 TNFa_24_C1
100 2.74826350 3.08315735 2.2512235 3.60425323 2.47567487
1000 10.90445741 10.93865628 11.0110334 10.93508398 11.02710880
10000 5.73045433 6.35954434 6.7348328 6.51282348 6.79320291
10001 4.26862223 4.74869377 4.4619780 4.40442961 4.50804205
10003 4.67537699 3.08315735 3.4276290 2.83042671 2.09830050
100037417 -1.17995959 -1.17995959 -1.1799596 -1.17995959 -1.17995959
100049716 0.72805590 1.92165536 1.6234261 2.01705598 1.75172008
10005 2.74826350 3.80710444 3.3950899 3.00259388 3.08551111
10006 4.84761291 6.09923446 6.3196211 6.13013065 6.33175954
10007 4.47975527 5.19342662 4.6391472 4.62075905 4.49639921
10009 2.98807034 5.11895267 5.7080594 4.70295815 5.39712543
100093630 5.04635927 6.19791589 6.1641652 6.10389555 6.55582945
1001 7.22582419 7.20343551 6.7118980 6.91968515 6.32848004
10010 4.51851212 5.30145505 5.1778073 5.09421030 6.06637336
100101267 -1.17995959 2.31036894 1.2394847 1.81008890 1.67116141
100101467 2.74826350 3.05438145 3.5210617 3.37273349 2.95548951
10011 4.91694874 6.43961341 5.4072340 5.65498873 5.95594458
100113386 0.53992662 0.35407598 0.4867173 0.60712969 0.62171366
100113397 1.04363804 0.35407598 1.0848599 -0.02577209 1.06168687
100113407 5.36265429 3.84119730 3.7441465 3.68737143 3.74701452
100125288 2.95076956 2.26085023 1.7316311 1.16637279 0.78374281
100127983 1.04363804 1.71654911 2.0979208 1.88242756 2.88580290
100128006 0.89445882 1.08063686 1.0848599 1.38133181 2.15863958
100128016 0.32353335 0.68964609 0.4867173 0.21736109 -0.01445173
100128025 2.23082080 -0.08398883 -0.1182440 -0.31835381 -1.17995959
100128054 0.06885607 0.35407598 0.2157166 1.95131159 0.92939797
100128071 1.30242625 0.96170402 0.2157166 1.04555240 -0.30910349
100128191 2.51261736 0.83207853 0.9116512 0.91368123 0.92939797
100128252 0.89445882 2.20957126 2.1766074 2.54860255 2.15863958
100128379 0.06885607 0.96170402 0.4867173 -0.68576948 0.62171366
100128398 2.29175576 3.73640218 3.7697545 3.62548601 3.74701452
100128494 2.35022098 2.72981480 3.1827502 3.09682305 3.39235794
100128569 1.41626698 0.83207853 1.5064426 1.56837658 1.29463549
100128640 1.71213837 -0.36571344 -1.1799596 -1.17995959 -1.17995959
100128682 -1.17995959 -1.17995959 -1.1799596 -1.17995959 -1.17995959
100128731 7.44117889 6.50753190 6.0642292 6.33412929 6.52177616
100128766 3.19363966 2.44947706 2.7399868 3.06609212 2.42744112
100128782 1.30242625 0.15160703 0.4867173 0.60712969 -0.30910349
100128822 -1.17995959 -1.17995959 -1.1799596 -1.17995959 -1.17995959
100128833 0.72805590 1.56158145 1.2394847 1.81008890 2.69526393
100128881 1.79865940 2.31036894 2.3221694 2.07993448 1.96947924
100128893 4.50570851 3.36676102 3.9818150 3.82221483 3.70716585
100129001 1.52177801 -0.08398883 0.9116512 1.16637279 0.23010767
100129013 0.32353335 1.71654911 1.6234261 1.38133181 1.49514733
100129029 0.32353335 0.15160703 1.0848599 0.76853240 -0.67979605
100129060 0.89445882 2.76576074 2.6872107 3.12691301 2.42744112
100129075 2.70411326 0.15160703 1.2394847 0.91368123 0.78374281
100129195 2.23082080 2.40458170 1.5064426 2.40864175 2.09830050
100129203 4.12531608 0.35407598 1.2394847 -0.31835381 1.06168687
100129250 2.91247872 1.98401898 -1.1799596 2.19802284 2.09830050
100129259 0.06885607 0.96170402 0.2157166 1.04555240 1.82801733
100129361 3.28639077 5.76815325 5.3742263 5.43212109 5.69580893
100129398 1.04363804 -0.71613884 0.9116512 0.60712969 1.18285779
100129434 0.06885607 0.53159580 -1.1799596 -0.31835381 0.23010767
100129461 1.04363804 0.53159580 1.0848599 1.38133181 1.96947924
100129484 2.23082080 2.31036894 1.0848599 0.91368123 0.23010767
100129550 4.50570851 4.90997388 4.4140644 4.05912082 3.80479685
100129583 0.32353335 -1.17995959 -1.1799596 0.42536838 -0.30910349
100129662 0.89445882 -1.17995959 -0.1182440 -1.17995959 0.62171366
100129707 -1.17995959 0.68964609 0.4867173 0.76853240 0.92939797
100129716 0.53992662 1.38794214 -0.1182440 0.76853240 0.92939797
100129726 2.46049027 0.83207853 0.9116512 0.42536838 -0.30910349
100129774 2.95076956 2.83507243 3.4905848 2.45681988 3.26090585
100129781 1.30242625 2.35824423 2.0146936 1.88242756 1.58583700
100129792 1.04363804 -0.71613884 -0.1182440 0.42536838 -0.30910349
100129794 -1.17995959 1.71654911 -0.1182440 0.21736109 0.78374281
100129842 -0.24062641 1.08063686 0.2157166 0.42536838 1.39837211
100129917 -0.24062641 1.71654911 0.2157166 2.01705598 1.06168687
100129924 0.53992662 -0.36571344 0.9116512 -0.31835381 1.29463549
100129940 -1.17995959 0.83207853 -0.5535614 0.42536838 0.78374281
100129995 -1.17995959 -0.36571344 -0.1182440 -1.17995959 -1.17995959
10013 5.37678604 4.90192028 5.6333054 5.45602237 5.31996214
100130111 -0.24062641 -1.17995959 -1.1799596 -0.68576948 -0.01445173
100130197 -0.24062641 0.35407598 0.7147731 -0.68576948 0.78374281
100130335 2.95076956 2.86851827 2.8876342 2.90177739 3.23311451
100130348 1.30242625 3.45747339 3.5801493 3.12691301 3.11626466
100130357 -1.17995959 -0.08398883 1.2394847 -0.68576948 -1.17995959
100130466 3.34506945 3.13904246 3.1441104 3.39763057 3.02196458
100130476 1.17882701 1.08063686 -0.1182440 -0.68576948 0.43915729
100130522 2.03086178 -0.36571344 -0.1182440 0.76853240 -0.30910349
100130550 0.32353335 0.15160703 0.9116512 0.42536838 1.29463549
100130564 3.12831789 2.53528207 3.2570572 2.75536284 2.84965527
100130581 1.71213837 1.56158145 1.2394847 1.73393072 0.78374281
100130691 1.52177801 0.96170402 1.3791296 0.60712969 2.15863958
100130705 2.79110264 0.53159580 0.7147731 1.04555240 1.29463549
100130748 -0.24062641 0.68964609 0.2157166 -0.31835381 1.18285779
100130750 -0.24062641 -1.17995959 -1.1799596 -1.17995959 -1.17995959
100130855 1.71213837 1.47737257 1.8322836 0.60712969 1.49514733
100130958 1.52177801 0.53159580 1.2394847 1.27785216 0.43915729
100131017 -1.17995959 -1.17995959 -1.1799596 -1.17995959 -1.17995959
100131031 0.72805590 1.92165536 1.9263696 2.45681988 2.77452391
100131033 1.17882701 1.78820710 2.0979208 2.30717242 2.09830050
100131067 0.72805590 1.78820710 1.6234261 2.25362962 1.29463549
100131089 0.72805590 0.35407598 0.4867173 0.60712969 0.62171366
100131094 -1.17995959 0.83207853 1.5064426 0.91368123 0.23010767
100131138 2.29175576 1.98401898 2.1766074 1.88242756 1.18285779
100131187 0.72805590 0.15160703 1.0848599 1.16637279 -0.30910349
100131193 1.04363804 -0.08398883 1.3791296 1.38133181 0.92939797
100131211 3.31602842 3.24470965 3.4905848 3.66703650 3.51282649
100131213 3.19363966 0.96170402 0.7147731 1.04555240 0.78374281
100131471 1.17882701 2.40458170 1.3791296 2.07993448 1.82801733
100131656 3.98476171 3.02501990 2.8876342 2.79338292 3.68682101
100131685 2.83270633 2.96444090 3.7949158 3.51605199 3.60244521
100131691 2.29175576 1.98401898 1.3791296 1.04555240 1.67116141
100131740 0.53992662 1.08063686 -0.5535614 0.42536838 0.62171366
100131801 4.03908681 3.08315735 2.9782878 3.37273349 2.42744112
100131827 1.04363804 -0.36571344 -0.1182440 -1.17995959 0.23010767
100131828 -0.24062641 -0.08398883 -0.5535614 -0.31835381 -0.67979605
100131940 0.32353335 0.15160703 1.2394847 0.42536838 1.06168687
100132074 -1.17995959 -0.08398883 -1.1799596 -0.68576948 -1.17995959
100132086 -1.17995959 0.83207853 1.0848599 0.91368123 0.43915729
100132116 8.76023329 8.09931228 9.1070016 9.16900103 8.81255713
100132126 -1.17995959 0.35407598 0.4867173 -0.02577209 0.43915729
100132215 1.71213837 0.35407598 1.3791296 1.27785216 0.43915729
100132537 2.10063988 2.10119852 2.5162051 2.45681988 2.15863958
100132609 0.06885607 0.83207853 0.2157166 -0.31835381 1.29463549
100132659 -0.63515687 0.15160703 0.2157166 -0.68576948 0.23010767
100132891 -1.17995959 2.10119852 0.4867173 -0.31835381 1.29463549
100132972 -1.17995959 0.53159580 -0.1182440 -0.68576948 1.06168687
100133234 1.17882701 -0.71613884 1.0848599 -0.31835381 0.78374281
100133286 -0.24062641 0.15160703 1.0848599 0.42536838 0.43915729
100133315 0.32353335 0.53159580 1.5064426 -1.17995959 0.62171366
100134934 0.89445882 1.98401898 0.7147731 1.65352709 2.21655604
10014 5.31207374 5.52765834 5.8647971 5.82981120 5.12959249
100144603 -0.24062641 1.78820710 1.2394847 2.01705598 1.75172008
100144748 5.74686870 2.57634375 1.2394847 0.60712969 0.23010767
10015 5.98688923 7.42192899 7.4641862 7.21057880 7.49216569
10016 4.85772439 5.63358726 5.5095738 5.25271146 5.41578821
100170229 1.62009562 1.08063686 0.4867173 1.04555240 0.23010767
100170841 6.42797149 3.19284326 4.3475990 3.85853481 4.01523655
10018 5.78974867 4.34747227 1.9263696 3.24136411 3.60244521
100188847 1.52177801 1.92165536 1.9263696 1.47788336 1.39837211
10019 5.49162516 4.86924865 5.1092528 4.57783380 5.36547408
100190938 1.52177801 1.19050744 2.3221694 2.83042671 2.88580290
1002 0.32353335 -0.71613884 -0.1182440 0.42536838 0.23010767
10020 2.03086178 3.80710444 3.2203821 3.91135585 3.60244521
10021 6.13973071 6.62715994 7.1278936 6.66925007 6.60001846
10023 2.91247872 1.78820710 -1.1799596 1.38133181 1.06168687
10024 2.16719819 -1.17995959 3.1441104 1.73393072 2.52234804
10026 6.95620891 5.89529397 5.7916840 5.77385827 5.71602829
100268168 1.17882701 -0.08398883 0.4867173 -0.02577209 0.62171366
100270804 0.72805590 0.53159580 -0.1182440 -1.17995959 1.18285779
100270827 -0.24062641 -0.08398883 0.2157166 -1.17995959 -0.30910349
100270840 3.42884156 3.80710444 3.6088097 3.87635757 3.70716585
100270854 2.79110264 2.10119852 2.3897894 1.88242756 2.47567487
100270865 3.96618905 3.54281788 3.2570572 3.56082654 3.80479685
100271271 3.42884156 3.36676102 2.3221694 3.44617168 3.02196458
100271332 1.52177801 2.53528207 2.1766074 2.79338292 3.08551111
100271415 0.72805590 0.83207853 1.0848599 0.76853240 1.29463549
100271479 -0.63515687 -0.36571344 -0.1182440 -1.17995959 -0.30910349
100271884 0.72805590 -0.08398883 -0.5535614 -0.68576948 1.06168687
100272147 2.61154025 1.92165536 2.4543815 1.16637279 2.42744112
100286844 0.06885607 -0.08398883 -0.5535614 -1.17995959 -0.01445173
100287015 -1.17995959 0.53159580 0.2157166 0.91368123 -0.30910349
100287049 0.53992662 0.15160703 0.7147731 -0.31835381 0.78374281
100287074 2.16719819 2.61626900 1.9263696 2.45681988 2.88580290
100287616 2.74826350 3.52195039 4.4302131 4.69293576 5.36547408
100287722 0.53992662 0.53159580 0.4867173 1.04555240 0.78374281
100287808 3.45571843 -0.08398883 -0.1182440 0.21736109 -1.17995959
100287837 0.53992662 -0.71613884 -0.5535614 -0.31835381 -0.30910349
100287896 -1.17995959 2.96444090 2.2512235 1.88242756 2.37753883
100287902 1.04363804 -1.17995959 0.4867173 -0.31835381 -1.17995959
100287928 2.46049027 2.44947706 0.9116512 2.50344098 2.47567487
100287932 3.98476171 5.26424410 5.2882439 5.29969849 4.87469514
100288001 1.41626698 2.15640225 1.7316311 2.19802284 0.78374281
100288073 2.40640889 3.90705726 4.2779231 3.80370610 3.80479685
100288123 0.32353335 0.96170402 0.9116512 0.21736109 0.23010767
100288198 2.03086178 3.08315735 2.6324305 2.40864175 2.92106693
100288241 0.53992662 1.08063686 0.7147731 0.91368123 1.06168687
100288413 2.10063988 2.15640225 1.6234261 1.16637279 2.15863958
100288513 0.53992662 0.53159580 -0.1182440 0.42536838 0.23010767
100288842 -1.17995959 1.29259956 0.7147731 0.21736109 0.92939797
100289061 2.10063988 -0.08398883 0.4867173 0.60712969 -1.17995959
100289095 1.71213837 1.08063686 1.2394847 1.88242756 1.18285779
100289133 0.89445882 -0.36571344 1.7316311 1.27785216 1.67116141
100289178 2.61154025 2.15640225 1.6234261 2.14018655 0.92939797
100289211 -1.17995959 0.68964609 -0.5535614 0.21736109 0.62171366
100289259 0.32353335 0.68964609 0.2157166 0.91368123 0.78374281
100289274 3.40145447 2.31036894 2.1766074 1.27785216 2.61139506
100289341 3.37353740 1.56158145 1.3791296 1.65352709 0.92939797
100289373 1.88028387 -0.36571344 -1.1799596 0.21736109 -1.17995959
100289388 1.41626698 2.04379812 1.0848599 1.27785216 0.62171366
100289414 1.04363804 -0.71613884 -0.1182440 -0.31835381 -0.30910349
100289635 3.02443096 5.16678787 5.1488248 4.97520532 5.22439049
100289640 1.52177801 1.38794214 1.9263696 0.42536838 1.58583700
100289678 1.71213837 2.35824423 1.9263696 2.50344098 2.32584840
100293516 1.17882701 3.69970777 4.0249873 3.91135585 4.03146259
100294362 1.04363804 1.29259956 1.9263696 1.95131159 1.96947924
1003 1.30242625 0.83207853 -0.1182440 1.73393072 2.15863958
100302692 0.32353335 1.08063686 1.9263696 1.16637279 1.75172008
100302736 1.62009562 1.08063686 1.2394847 1.56837658 1.75172008
100303728 2.29175576 3.24470965 2.5162051 2.96976499 3.05408770
100303755 -1.17995959 1.47737257 1.3791296 1.27785216 1.29463549
100312828 -1.17995959 0.15160703 0.7147731 0.60712969 0.23010767
100312850 -0.24062641 -1.17995959 -0.1182440 -1.17995959 0.23010767
10036 2.83270633 3.45747339 4.0874160 3.92854167 3.68682101
100379345 0.32353335 2.26085023 2.1766074 2.19802284 2.61139506
10038 2.95076956 4.71231462 4.7844112 4.73261421 4.73306059
100381270 -0.24062641 0.68964609 0.2157166 0.60712969 1.58583700
10039 5.67435045 5.79449357 6.0796680 6.19547999 6.05847710
1004 6.18460446 8.12721428 7.2374868 7.04513585 7.04172634
10040 2.83270633 3.13904246 2.4543815 2.25362962 3.08551111
100418710 2.56292651 1.71654911 1.9263696 2.01705598 2.32584840
100418735 4.07419936 3.66205564 3.6369118 3.24136411 3.08551111
100418744 1.17882701 2.31036894 1.2394847 1.73393072 1.06168687
100418770 1.17882701 1.08063686 2.1766074 2.19802284 1.96947924
100418781 0.06885607 0.96170402 1.0848599 1.65352709 0.62171366
100418819 -0.24062641 0.53159580 -0.1182440 0.91368123 1.29463549
100418829 0.53992662 1.98401898 2.6324305 2.67617797 1.18285779
100418888 1.71213837 1.56158145 1.7316311 0.91368123 0.43915729
100418889 0.72805590 2.10119852 2.1766074 1.65352709 2.09830050
100418910 0.72805590 2.26085023 0.7147731 1.56837658 1.58583700
100418919 2.03086178 1.85647367 2.7909001 1.73393072 2.15863958
100419028 -1.17995959 0.53159580 1.3791296 0.91368123 0.78374281
100419185 0.53992662 0.83207853 -1.1799596 0.60712969 1.67116141
100419416 -0.24062641 1.08063686 0.4867173 0.76853240 1.49514733
100419515 -1.17995959 -0.36571344 0.2157166 0.60712969 -0.30910349
100419645 0.06885607 -0.71613884 -0.1182440 -0.68576948 0.92939797
100419758 -0.63515687 -1.17995959 -1.1799596 -0.31835381 0.43915729
100419928 -1.17995959 0.53159580 0.7147731 1.27785216 1.82801733
10042 3.09451334 5.27675470 5.0266958 5.20414245 5.28655152
100420028 1.62009562 0.15160703 0.9116512 0.21736109 0.23010767
100420050 -0.63515687 0.15160703 0.4867173 -0.31835381 -0.30910349
100420110 2.29175576 3.62339446 3.0215642 3.34739920 3.51282649
100420187 1.04363804 1.64114502 1.6234261 2.01705598 0.92939797
100420259 2.79110264 3.80710444 3.3950899 3.74671106 4.21314815
100420307 0.06885607 1.47737257 0.2157166 1.04555240 -0.01445173
100420341 4.79596435 4.48320941 4.9944769 4.86347770 4.99541146
100420423 0.89445882 0.15160703 1.5064426 0.76853240 0.92939797
100420591 0.72805590 0.53159580 2.1766074 1.16637279 0.62171366
100420707 1.71213837 2.35824423 2.2512235 2.01705598 2.73543815
100420752 1.30242625 1.98401898 1.0848599 1.81008890 1.49514733
100420869 3.60724347 3.62339446 3.7949158 4.24893892 3.39235794
100420981 5.73045433 5.46890361 5.3058552 5.36427446 5.87733110
100421093 3.37353740 3.64285455 3.6369118 3.32161207 3.76653357
100421109 0.06885607 0.15160703 1.0848599 0.42536838 0.43915729
100421160 -1.17995959 0.53159580 0.4867173 -0.02577209 0.92939797
100421175 1.71213837 -0.36571344 1.8322836 1.38133181 1.18285779
100421246 1.17882701 1.92165536 1.5064426 1.81008890 1.58583700
100421311 2.74826350 2.20957126 2.0979208 1.56837658 1.90048145
100421372 1.52177801 0.53159580 2.2512235 1.04555240 0.78374281
100421400 1.52177801 1.47737257 2.4543815 1.73393072 2.47567487
100421415 -1.17995959 -0.36571344 0.4867173 -0.02577209 -1.17995959
100421429 -0.24062641 -0.08398883 -0.5535614 1.16637279 0.23010767
100421465 0.89445882 1.56158145 1.9263696 2.19802284 2.09830050
100421468 -0.24062641 0.35407598 1.6234261 1.38133181 1.90048145
100421506 -0.63515687 -0.71613884 0.2157166 -0.31835381 -1.17995959
100421569 0.32353335 -1.17995959 0.4867173 0.60712969 0.62171366
100421595 -1.17995959 1.08063686 0.7147731 1.16637279 0.78374281
100421794 2.95076956 2.96444090 3.1044071 3.09682305 2.61139506
100422106 0.72805590 1.29259956 1.3791296 1.88242756 1.58583700
100422338 1.88028387 1.98401898 2.1766074 1.88242756 2.42744112
100422546 0.72805590 0.68964609 0.4867173 0.42536838 1.06168687
100422561 2.98807034 4.53620217 4.0249873 4.42879020 4.53104959
10043 4.20668085 5.06947686 5.0372775 5.06342307 4.84745882
10044 2.74826350 0.15160703 3.7180758 2.79338292 3.11626466
10045 -0.63515687 -0.36571344 0.2157166 1.27785216 -0.01445173
10046 0.53992662 0.83207853 2.7909001 1.81008890 0.62171366
10048 6.15621038 6.30867012 6.1250175 5.93134325 6.40831079
10049 6.11886282 5.53808861 5.5396562 5.42608338 5.51143985
100499177 1.52177801 2.96444090 2.9336729 1.95131159 2.84965527
100499483 1.79865940 0.15160703 0.7147731 0.91368123 0.92939797
1005 1.88028387 0.15160703 2.0146936 1.65352709 -0.30910349
100500719 0.72805590 0.53159580 0.4867173 -1.17995959 1.06168687
100505385 2.35022098 3.60366828 2.8876342 2.54860255 2.61139506
100505501 2.65856914 0.15160703 -0.1182440 0.21736109 1.75172008
100505538 2.79110264 1.47737257 0.2157166 1.38133181 0.23010767
100505549 -1.17995959 0.53159580 -1.1799596 -1.17995959 -1.17995959
100505573 5.34119369 6.44516612 5.4553713 5.43212109 5.35905962
100505576 4.28370078 3.60366828 4.3304930 3.76596067 3.66618516
100505616 0.53992662 0.35407598 0.4867173 -1.17995959 -1.17995959
100505624 1.04363804 0.83207853 1.2394847 1.47788336 1.06168687
100505635 -1.17995959 -0.08398883 1.2394847 2.14018655 1.18285779
100505641 2.61154025 2.69295029 3.1044071 2.30717242 2.95548951
100505648 0.72805590 2.40458170 2.3221694 2.67617797 2.03532723
100505678 1.17882701 1.56158145 2.2512235 1.81008890 2.03532723
100505696 2.23082080 3.84119730 4.1275832 3.37273349 3.28817194
100505715 -0.24062641 -0.71613884 -0.1182440 -1.17995959 -1.17995959
100505738 1.62009562 1.64114502 1.2394847 1.47788336 0.92939797
100505741 1.71213837 1.19050744 1.3791296 0.21736109 1.67116141
100505758 2.56292651 2.40458170 2.9336729 2.96976499 2.95548951
100505761 1.95753646 1.78820710 0.9116512 1.88242756 0.43915729
100505771 2.35022098 3.58366864 3.1044071 2.90177739 2.92106693
100505783 0.72805590 0.15160703 -1.1799596 -1.17995959 -1.17995959
100505806 1.95753646 2.72981480 2.7909001 2.35879898 2.65393886
100505812 -1.17995959 -1.17995959 -0.1182440 -0.31835381 -1.17995959
100505832 -0.24062641 -1.17995959 -1.1799596 -1.17995959 -1.17995959
100505854 2.51261736 0.15160703 1.2394847 0.21736109 -0.30910349
100505876 4.65232648 5.81179035 4.7590643 5.06342307 5.30669060
100505894 -1.17995959 1.38794214 0.7147731 1.16637279 -0.30910349
100505933 0.72805590 -0.36571344 -0.5535614 -0.02577209 -0.67979605
100505994 -1.17995959 -0.71613884 -0.1182440 -0.31835381 -1.17995959
100506020 -1.17995959 1.71654911 0.7147731 0.42536838 0.62171366
100506033 3.55848225 4.00053156 3.6088097 3.92854167 4.15509193
100506054 0.72805590 0.96170402 -1.1799596 -1.17995959 -0.01445173
100506068 1.17882701 -1.17995959 0.4867173 -0.31835381 -0.30910349
100506070 0.06885607 -0.36571344 0.2157166 0.91368123 -0.30910349
100506083 0.32353335 0.83207853 0.4867173 -0.31835381 1.06168687
100506100 0.32353335 0.15160703 -0.1182440 -0.31835381 -1.17995959
100506119 1.30242625 1.08063686 -0.1182440 0.21736109 -0.30910349
100506127 1.17882701 1.92165536 2.0979208 0.60712969 1.18285779
100506142 -1.17995959 -0.36571344 -1.1799596 -0.68576948 -0.01445173
100506144 1.04363804 1.78820710 -0.1182440 1.16637279 1.06168687
100506161 0.32353335 1.08063686 0.9116512 -0.68576948 0.78374281
100506211 -1.17995959 2.44947706 3.2203821 4.07464253 3.72722776
100506235 -0.24062641 -0.08398883 0.7147731 -0.31835381 1.58583700
100506258 -0.24062641 -0.36571344 -0.1182440 -1.17995959 -0.01445173
100506282 1.30242625 1.19050744 2.0146936 1.16637279 1.06168687
100506286 3.22522390 -1.17995959 -1.1799596 0.21736109 -1.17995959
100506302 0.32353335 1.29259956 0.2157166 1.27785216 0.43915729
100506321 0.06885607 0.68964609 -0.1182440 -0.02577209 0.62171366
100506325 1.04363804 -0.36571344 -0.1182440 0.76853240 -0.01445173
100506343 0.72805590 0.53159580 0.2157166 -0.02577209 0.43915729
100506365 3.31602842 4.51523806 4.6110890 4.02756725 4.86567338
100506368 -0.63515687 -0.36571344 -1.1799596 -1.17995959 -0.67979605
100506380 -0.24062641 2.20957126 1.5064426 1.38133181 1.90048145
100506392 1.62009562 2.61626900 3.3618000 3.44617168 3.26090585
100506394 0.72805590 0.35407598 -1.1799596 -1.17995959 -0.01445173
100506411 1.71213837 -0.08398883 -1.1799596 0.21736109 0.78374281
100506433 -0.24062641 0.53159580 0.4867173 -0.31835381 -0.30910349
100506462 0.53992662 0.68964609 -0.5535614 0.21736109 0.23010767
100506469 2.65856914 1.64114502 1.3791296 1.95131159 1.90048145
100506495 1.04363804 0.83207853 -0.1182440 -0.02577209 0.23010767
100506504 0.32353335 1.64114502 2.2512235 1.27785216 1.49514733
100506540 1.71213837 0.35407598 1.2394847 0.76853240 0.92939797
100506581 2.40640889 3.08315735 2.8876342 2.63489373 3.28817194
100506606 0.72805590 0.15160703 -1.1799596 0.21736109 -0.30910349
100506658 2.16719819 -1.17995959 0.4867173 0.21736109 0.23010767
100506668 2.51261736 3.02501990 1.5064426 2.90177739 2.56755847
100506686 0.32353335 1.29259956 0.9116512 0.91368123 0.43915729
100506691 -1.17995959 -1.17995959 -1.1799596 -0.02577209 -0.30910349
100506696 3.12831789 -0.71613884 -0.1182440 0.21736109 0.62171366
100506697 0.72805590 0.15160703 1.0848599 0.76853240 1.49514733
100506710 3.28639077 4.54657108 4.1472550 3.85853481 4.15509193
100506713 0.89445882 0.35407598 0.2157166 0.21736109 1.18285779
100506725 2.29175576 1.47737257 2.3221694 2.71631361 2.42744112
100506731 3.58306886 0.68964609 0.2157166 1.27785216 1.82801733
100506757 1.17882701 -0.08398883 1.3791296 1.27785216 0.62171366
100506779 0.53992662 -0.36571344 -1.1799596 0.42536838 0.43915729
100506804 0.72805590 -0.36571344 -1.1799596 -1.17995959 -0.30910349
100506826 0.53992662 0.35407598 -0.1182440 0.60712969 0.78374281
100506844 1.95753646 1.71654911 1.8322836 0.91368123 0.43915729
100506866 4.07419936 3.50077663 4.3645046 3.58270328 3.82355454
100506881 4.22241729 2.69295029 1.6234261 1.95131159 2.15863958
100506885 -0.24062641 -0.71613884 1.0848599 1.27785216 -0.01445173
100506911 -0.24062641 0.35407598 0.2157166 0.21736109 0.78374281
100506922 1.71213837 -1.17995959 -0.5535614 -0.31835381 -0.30910349
100506930 2.16719819 2.90120626 2.6324305 3.24136411 3.68682101
100506994 1.62009562 0.53159580 0.7147731 -0.31835381 0.62171366
100507003 -1.17995959 -0.71613884 -1.1799596 0.21736109 -1.17995959
100507032 -1.17995959 -1.17995959 -1.1799596 -1.17995959 -1.17995959
100507034 3.86956050 2.93317001 3.1827502 3.06609212 3.05408770
100507050 2.83270633 0.35407598 -0.1182440 1.16637279 1.18285779
100507053 -0.24062641 -1.17995959 -1.1799596 -0.02577209 -0.67979605
100507057 0.06885607 -1.17995959 -1.1799596 0.42536838 -0.67979605
100507062 1.71213837 -1.17995959 0.2157166 -0.68576948 -0.30910349
100507071 -0.24062641 0.83207853 0.7147731 0.60712969 1.18285779
100507156 4.28370078 4.14400573 3.9597345 4.12023016 4.34882277
100507171 1.71213837 2.40458170 2.8400778 2.01705598 3.31493226
100507173 0.06885607 0.15160703 -0.5535614 0.42536838 -1.17995959
100507178 -0.24062641 0.53159580 0.4867173 -0.02577209 -0.01445173
100507244 1.79865940 2.10119852 1.0848599 1.16637279 1.18285779
100507246 1.95753646 3.47928747 3.3618000 3.29535561 3.66618516
100507250 -0.63515687 -0.08398883 0.2157166 0.21736109 -0.67979605
100507254 -0.24062641 -0.36571344 1.5064426 0.91368123 0.78374281
100507266 -0.24062641 -0.36571344 -0.1182440 -0.31835381 0.23010767
100507290 3.16134844 4.18440596 4.6802371 4.56689992 3.80479685
100507291 0.06885607 -1.17995959 1.2394847 -0.68576948 -1.17995959
100507303 2.10063988 1.56158145 2.0979208 1.04555240 1.82801733
100507308 1.41626698 -1.17995959 1.0848599 0.76853240 -0.01445173
100507316 0.53992662 0.15160703 -1.1799596 -1.17995959 -1.17995959
100507331 1.95753646 2.35824423 0.2157166 1.47788336 1.67116141
100507347 0.53992662 2.15640225 1.7316311 1.81008890 1.82801733
100507373 1.79865940 2.04379812 2.6324305 1.65352709 1.29463549
100507392 1.30242625 1.78820710 0.2157166 1.47788336 0.92939797
100507398 1.30242625 0.35407598 0.9116512 1.16637279 0.78374281
100507401 1.52177801 -0.36571344 0.7147731 1.27785216 1.29463549
100507420 0.06885607 0.15160703 -1.1799596 0.21736109 0.78374281
100507433 2.65856914 1.85647367 1.5064426 0.60712969 0.23010767
100507436 0.53992662 1.29259956 -1.1799596 -0.31835381 -0.01445173
100507437 -0.24062641 0.35407598 0.2157166 0.42536838 -0.01445173
100507459 0.32353335 -0.36571344 1.2394847 1.16637279 0.43915729
100507463 0.72805590 0.68964609 -0.5535614 1.16637279 1.67116141
100507487 1.62009562 1.78820710 1.9263696 1.56837658 1.18285779
100507495 3.37353740 3.52195039 3.9145330 3.68737143 3.94844345
100507516 -0.24062641 -0.36571344 1.3791296 0.21736109 0.62171366
100507551 0.72805590 0.35407598 -0.1182440 0.42536838 0.43915729
100507557 2.03086178 1.64114502 1.3791296 0.91368123 0.78374281
100507564 0.06885607 1.56158145 -0.1182440 0.91368123 0.92939797
100507567 -0.63515687 -0.08398883 0.7147731 -0.31835381 -0.30910349
100507588 -1.17995959 -0.08398883 0.7147731 -0.02577209 0.78374281
100507599 0.32353335 0.15160703 -0.1182440 0.21736109 -0.30910349
100507602 4.32801330 3.98536706 4.1275832 4.23519203 4.46089607
100508120 0.06885607 0.53159580 -0.1182440 0.60712969 0.62171366
10051 5.25200892 5.26424410 6.2302170 5.76431811 5.97284740
10052 0.53992662 0.68964609 0.2157166 0.91368123 1.06168687
100526737 0.53992662 1.71654911 1.3791296 0.91368123 1.58583700
100526760 1.17882701 1.29259956 0.7147731 1.56837658 1.96947924
100526820 -0.24062641 0.15160703 -1.1799596 0.42536838 -0.30910349
100526835 1.52177801 3.24470965 2.4543815 2.35879898 2.81257861
100527978 -1.17995959 -0.71613884 -1.1799596 0.76853240 -1.17995959
100529145 0.72805590 2.44947706 1.6234261 2.07993448 1.39837211
100529215 0.32353335 0.15160703 0.2157166 -0.68576948 0.43915729
100532746 3.82902102 4.21072431 3.3950899 3.51605199 3.48952412
100533106 0.32353335 0.15160703 -1.1799596 -0.31835381 -0.67979605
100533182 1.30242625 0.35407598 -0.1182440 -0.02577209 -0.67979605
100533619 3.42884156 -0.36571344 -1.1799596 -1.17995959 0.23010767
100533629 0.06885607 -0.36571344 -0.5535614 -0.68576948 -0.30910349
100533695 0.53992662 -0.71613884 -0.1182440 -0.02577209 -0.30910349
100533970 1.17882701 0.15160703 1.6234261 0.60712969 0.92939797
100534593 1.04363804 0.35407598 -0.5535614 -0.02577209 -0.01445173
10054 5.12381283 5.96652582 5.7979203 6.21311932 6.28853330
10056 4.23798394 5.41898552 5.8408354 5.23209606 5.64925187
10057 6.85636726 6.75784423 6.5513709 6.61189422 6.56700424
10058 5.57978319 6.20774942 4.9048670 5.35794539 5.06799966
10059 5.76846799 6.71711537 6.9404863 6.50138363 6.88088779
1006 3.31602842 6.00463035 3.0635802 3.18527321 3.66618516
10060 2.87314382 2.31036894 2.6872107 1.88242756 2.32584840
100616256 -0.24062641 -0.71613884 -0.1182440 0.21736109 -0.67979605
10062 1.62009562 1.71654911 1.0848599 0.91368123 1.06168687
10063 4.03908681 3.13904246 3.4594503 3.87635757 3.58055702
100652739 1.95753646 0.96170402 1.3791296 0.21736109 -0.30910349
100652758 3.28639077 0.35407598 0.7147731 0.91368123 1.29463549
100652846 1.17882701 0.53159580 1.2394847 0.91368123 0.92939797
10066 5.32670718 6.63932158 6.3832163 6.11144010 6.31196977
10067 5.31207374 5.88307240 5.6122273 5.53668985 5.81308105
10068 3.60724347 3.38997942 2.6324305 2.75536284 2.69526393
10069 3.78730937 2.65511905 3.2570572 3.06609212 3.23311451
10072 5.07264187 5.02567521 4.9277966 5.30628772 5.19587967
10073 1.95753646 3.89087198 3.4276290 3.87635757 3.82355454
10075 7.90327665 8.58382388 8.8303211 8.70126111 8.72360490
10076 4.66389777 6.42844347 4.7462219 5.35158844 5.01186073
10077 0.32353335 -1.17995959 -1.1799596 -0.02577209 -0.30910349
100775107 0.32353335 -0.08398883 0.2157166 0.42536838 1.18285779
10078 3.63101967 4.76654503 4.7462219 4.78072525 4.43673245
10079 5.26726119 4.77538850 4.9391262 4.82728352 4.87469514
1008 4.12531608 7.09104541 4.3304930 4.36709965 4.79139331
10081 5.32670718 4.32355380 4.7590643 4.37965060 4.49639921
10082 7.89593579 6.96529511 7.0065958 6.91968515 7.08512408
100820829 2.79110264 3.29477592 3.5509079 2.86654310 3.14637630
10084 3.63101967 4.77538850 4.9391262 5.05562250 5.27977553
100847074 2.70411326 1.38794214 1.5064426 1.56837658 2.03532723
10085 10.87955141 10.14034273 10.0749932 9.64893669 9.70715429
100852407 1.41626698 1.08063686 1.3791296 1.27785216 1.90048145
100861412 -1.17995959 -0.36571344 0.4867173 1.04555240 1.06168687
100861548 5.19731917 4.73061886 4.3645046 4.04343030 4.25520678
100862671 0.32353335 -0.08398883 0.2157166 1.04555240 0.43915729
10087 5.86686716 6.14088988 6.0486233 5.67549298 6.03452566
100873257 0.06885607 -1.17995959 -1.1799596 -0.31835381 -0.67979605
100873333 3.48210374 2.99504834 2.5754879 2.54860255 3.11626466
100873790 2.46049027 2.10119852 2.1766074 2.75536284 2.47567487
100873949 -0.24062641 0.83207853 0.4867173 -0.31835381 0.62171366
100873952 -0.63515687 0.35407598 -0.5535614 -0.02577209 -0.30910349
100873965 -0.24062641 1.98401898 0.7147731 1.95131159 1.67116141
100874006 0.72805590 1.19050744 2.3221694 1.65352709 1.90048145
100874008 1.79865940 0.68964609 1.0848599 0.91368123 0.62171366
100874014 0.32353335 1.19050744 1.3791296 0.60712969 1.49514733
100874058 -0.24062641 1.29259956 1.6234261 2.25362962 1.29463549
100874080 1.62009562 0.53159580 1.0848599 1.56837658 0.92939797
100874097 1.62009562 1.38794214 2.0979208 1.47788336 2.09830050
100874201 0.06885607 -0.08398883 -0.5535614 -0.68576948 -0.01445173
100874212 0.32353335 0.83207853 0.9116512 0.76853240 0.43915729
100874217 -0.24062641 -0.71613884 0.4867173 1.38133181 1.06168687
100874235 0.06885607 0.15160703 0.2157166 -0.31835381 -0.30910349
100874261 -1.17995959 1.08063686 1.6234261 2.19802284 1.39837211
100874291 -1.17995959 0.53159580 -0.1182440 1.47788336 -1.17995959
100874362 1.88028387 2.10119852 0.2157166 1.27785216 -0.67979605
100874523 0.06885607 1.47737257 0.7147731 2.14018655 1.96947924
100885775 3.16134844 2.31036894 1.2394847 1.88242756 2.61139506
100885776 0.32353335 1.19050744 0.4867173 -0.02577209 -0.67979605
100885848 4.85772439 4.00053156 4.4930587 4.63129373 4.94490747
1009 8.87606397 9.93294158 10.5894856 10.43778075 10.18938371
10090 4.80644304 4.78417809 4.5384591 4.76167293 5.15202833
10092 5.81072001 7.78914201 7.9533394 7.76749315 8.05922926
10093 7.37231684 7.37760690 7.5827008 7.60730203 7.65941551
10094 2.29175576 3.84119730 3.8196459 3.96231108 3.72722776
10095 6.21638496 6.60748554 6.3790627 6.31138095 6.20873194
10097 8.88597867 8.70390983 8.9666598 8.62226692 8.95281013
10098 5.01055400 6.67992069 6.5697102 6.63039233 6.66386338
10099 8.35530736 7.62515903 7.7236743 7.64157670 7.69423023
100996246 2.35022098 2.44947706 2.3897894 2.67617797 2.77452391
100996251 0.32353335 -0.36571344 1.0848599 1.04555240 -1.17995959
100996307 0.32353335 1.08063686 1.0848599 1.27785216 1.06168687
100996384 1.79865940 0.35407598 -0.1182440 0.76853240 -0.30910349
100996419 0.89445882 0.35407598 0.7147731 -0.02577209 0.23010767
100996485 2.40640889 1.78820710 1.7316311 1.88242756 2.03532723
100996539 0.89445882 -0.36571344 -0.5535614 -0.31835381 -0.30910349
100996579 -1.17995959 -1.17995959 -1.1799596 -0.31835381 -0.30910349
100996696 2.98807034 3.05438145 2.6324305 2.59239320 2.61139506
100996842 1.88028387 0.53159580 1.8322836 1.88242756 2.32584840
100996851 -1.17995959 0.83207853 0.4867173 -0.31835381 -0.30910349
100996939 -0.63515687 0.83207853 0.7147731 1.38133181 1.18285779
101 1.41626698 0.68964609 -0.1182440 1.27785216 0.43915729
1010 0.72805590 0.15160703 0.4867173 0.91368123 -0.30910349
10100 4.37100523 3.75440522 4.2779231 4.63129373 4.85659485
10101 4.76406372 4.62694403 4.4619780 4.48795065 4.07907365
10102 3.19363966 4.57723803 4.5968526 4.84549411 4.44886485
10103 -0.24062641 1.08063686 -0.1182440 0.60712969 -0.30910349
10105 5.66286303 5.54327561 5.9456612 5.96087763 6.36735043
10106 6.45486442 6.98829783 7.1278936 7.47025838 7.48334555
101060200 2.65856914 3.08315735 2.7399868 2.83042671 2.73543815
101060691 -0.63515687 1.56158145 0.7147731 1.04555240 1.06168687
10109 8.83506981 9.33153830 8.8386633 8.96393634 9.02600077
10112 3.92831067 0.35407598 4.9163774 4.22131289 4.18441205
10113 4.45332658 6.21101243 6.2621425 6.44577003 6.10904675
10114 7.73794809 7.51858597 7.2759707 7.11435717 7.45505398
101154753 0.32353335 -0.08398883 0.2157166 -1.17995959 0.23010767
10116 6.35489560 7.69323812 7.7350941 7.18040871 7.52834663
10117 2.46049027 -1.17995959 0.4867173 -1.17995959 -0.30910349
1012 9.10817880 9.29587351 8.8234596 8.84112348 8.99116639
10121 5.88675441 6.48344794 6.3453965 6.28493591 6.30197215
10123 4.90724532 6.76007358 6.6885928 6.62513131 6.03049481
101241892 2.10063988 3.66205564 4.0035626 3.56082654 2.81257861
10125 2.56292651 1.38794214 1.6234261 0.60712969 1.96947924
10126 3.25613148 3.08315735 3.3277238 3.85853481 3.36700828
H2O_24_C1 BPA_24_C1 PFOA_24_C1 EtOH_24_C1 TUN_2_C2
100 2.18145263 2.13711861 2.30691719 2.687217945 1.66143013
1000 10.97739031 11.18569433 11.07792700 11.135833141 11.01308720
10000 6.79235778 6.88846296 6.85225105 6.914272776 6.06885963
10001 4.80746269 3.94587878 4.60659069 4.797705314 4.09129116
10003 3.02828052 3.58130590 2.66333979 2.644599897 3.27738149
100037417 -1.17995959 -1.17995959 -1.17995959 -1.179959587 -1.17995959
100049716 0.62647930 2.01959484 0.56697445 1.932057985 2.80198828
10005 3.30608084 3.09226701 3.18720473 3.426630590 3.23630146
10006 6.13035203 6.22775829 6.17402270 6.133063482 6.81835597
10007 4.37556479 4.57543401 4.52204156 4.900896587 4.30502980
10009 5.44604408 5.24607453 5.50811752 5.209446765 5.21674563
100093630 6.39888845 5.74902666 5.96573033 5.948299490 5.81355145
1001 6.80053400 7.17622945 6.90745649 6.864075446 5.37651930
10010 5.14584518 5.04270477 5.04568706 5.047135478 5.34787859
100101267 1.96574405 1.59565526 1.83249024 1.211733070 1.23064496
100101467 2.97147695 2.52990460 3.39165468 2.919450291 3.69624621
10011 5.17128992 5.35319290 5.51360209 5.575498459 5.77821056
100113386 -0.40288629 -0.06257334 -1.17995959 -1.179959587 0.61366186
100113397 1.48733814 0.86225102 1.00103722 0.810417669 0.61366186
100113407 3.77299550 3.70066224 3.43854049 3.781611023 4.15880165
100125288 0.89435038 1.11236630 0.87034246 0.810417669 1.99272497
100127983 2.36906442 2.01959484 1.76050683 1.211733070 2.62232799
100128006 1.64094095 1.42125853 2.08911825 2.067277380 2.48878271
100128016 0.09939399 -0.70503539 0.56697445 -0.292788880 -1.17995959
100128025 -1.17995959 -0.70503539 -0.70203275 -1.179959587 -0.02070486
100128054 0.76662302 0.71879685 0.38744189 1.324025028 0.61366186
100128071 0.29726565 -0.34833331 -0.70203275 -1.179959587 1.23064496
100128191 0.89435038 0.86225102 1.00103722 1.324025028 1.99272497
100128252 1.96574405 2.13711861 2.53976777 1.702016330 2.48878271
100128379 0.09939399 0.17583522 1.00103722 0.252513915 0.33106831
100128398 3.77299550 3.66196367 3.10239272 3.913104884 3.89410205
100128494 3.18639072 3.06286231 2.91616517 2.768853505 2.80198828
100128569 1.01168355 1.51109048 0.72661778 1.089957541 2.74455201
100128640 -1.17995959 0.17583522 -1.17995959 -1.179959587 0.61366186
100128682 -1.17995959 -1.17995959 -1.17995959 -1.179959587 -1.17995959
100128731 6.59731017 6.25726462 6.23505575 6.041585686 6.12620310
100128766 2.49531901 2.57225873 2.08911825 2.728613071 2.62232799
100128782 0.62647930 1.11236630 0.72661778 0.647305082 2.26197026
100128822 -1.17995959 -1.17995959 -1.17995959 -1.179959587 -1.17995959
100128833 0.89435038 1.67553646 2.30691719 1.782841701 2.34160278
100128881 1.84445047 1.75122578 1.52011871 2.067277380 1.89051928
100128893 3.94513027 3.33298347 3.71097741 3.781611023 5.88838216
100129001 0.76662302 0.38037678 0.87034246 0.956947576 1.23064496
100129013 1.31541101 2.13711861 2.08911825 1.859378142 0.84986451
100129029 0.09939399 0.38037678 0.38744189 0.005474457 0.33106831
100129060 2.07762612 2.44127303 2.62331374 2.687217945 2.85722518
100129075 0.47124272 -0.70503539 -0.05680823 0.647305082 1.53162144
100129195 2.32439881 2.13711861 1.83249024 1.859378142 2.68473395
100129203 1.01168355 0.86225102 0.18234948 0.252513915 0.61366186
100129250 1.22109899 1.42125853 1.33426120 1.211733070 1.78051714
100129259 1.77975200 1.82314131 1.33426120 1.428204401 1.38896776
100129361 5.35460242 5.15146653 5.39974168 5.535237939 5.57903055
100129398 0.89435038 1.11236630 -0.70203275 0.252513915 2.08816659
100129434 0.09939399 -0.70503539 -0.70203275 0.252513915 -0.02070486
100129461 1.64094095 1.82314131 1.00103722 1.616392659 1.05278119
100129484 1.01168355 1.22284365 0.18234948 1.702016330 1.38896776
100129550 3.90018402 3.97773991 3.74867430 4.248065418 4.65598016
100129583 -0.40288629 -0.34833331 -1.17995959 0.252513915 0.61366186
100129662 -0.40288629 -1.17995959 -1.17995959 -0.292788880 1.66143013
100129707 0.76662302 0.17583522 1.23150715 0.956947576 1.38896776
100129716 0.62647930 0.55948726 0.56697445 0.956947576 2.17768414
100129726 0.47124272 0.17583522 -0.34364625 0.647305082 -0.02070486
100129774 2.75295381 3.17704759 2.74020701 2.989236495 3.86744470
100129781 1.96574405 1.11236630 0.38744189 2.001251316 1.23064496
100129792 0.09939399 -0.70503539 -0.70203275 -0.669227813 -0.48689857
100129794 0.89435038 1.11236630 1.33426120 1.211733070 1.78051714
100129842 -0.40288629 1.32545943 0.18234948 0.810417669 -1.17995959
100129917 1.22109899 -0.70503539 1.00103722 0.956947576 2.34160278
100129924 0.29726565 0.71879685 -0.05680823 -0.669227813 1.23064496
100129940 1.01168355 0.86225102 -1.17995959 1.525364818 1.23064496
100129995 -1.17995959 -0.34833331 -1.17995959 -1.179959587 -1.17995959
10013 5.29218809 5.00454915 5.52450909 5.642005572 5.51176829
100130111 0.09939399 -0.34833331 -0.05680823 0.005474457 -0.02070486
100130197 0.29726565 0.55948726 0.38744189 0.252513915 -0.02070486
100130335 2.53506246 2.34683793 2.74020701 2.358493824 3.35619057
100130348 2.88184437 2.87261349 2.84833488 2.919450291 3.39403739
100130357 -1.17995959 -1.17995959 0.18234948 -1.179959587 0.84986451
100130466 3.28292404 2.76717093 3.24109697 3.119431517 4.04446265
100130476 0.29726565 -0.34833331 -0.34364625 -0.292788880 -0.02070486
100130522 -0.12999679 0.86225102 -0.70203275 0.252513915 1.99272497
100130550 1.12018767 0.71879685 0.18234948 -0.292788880 0.84986451
100130564 3.30608084 3.33298347 3.18720473 3.375424239 3.39403739
100130581 1.22109899 0.71879685 1.33426120 1.089957541 1.89051928
100130691 0.62647930 1.22284365 2.08911825 1.324025028 1.53162144
100130705 1.56618283 0.55948726 1.23150715 1.702016330 1.89051928
100130748 -0.12999679 0.99272209 0.87034246 0.463371818 1.05278119
100130750 -1.17995959 -1.17995959 -0.34364625 -1.179959587 -1.17995959
100130855 1.77975200 1.42125853 0.87034246 1.932057985 1.66143013
100130958 -0.40288629 0.99272209 0.18234948 0.463371818 1.38896776
100131017 -1.17995959 -1.17995959 -1.17995959 -1.179959587 -1.17995959
100131031 1.96574405 2.01959484 2.02911282 2.460298399 3.46687670
100131033 1.77975200 1.22284365 1.76050683 0.810417669 2.62232799
100131067 0.89435038 0.86225102 1.00103722 0.810417669 1.78051714
100131089 0.62647930 0.17583522 0.18234948 0.005474457 1.78051714
100131094 0.47124272 0.55948726 -0.05680823 -0.669227813 -0.02070486
100131138 2.23069196 1.51109048 1.96650289 2.190902056 2.48878271
100131187 -1.17995959 -1.17995959 -0.34364625 -1.179959587 1.38896776
100131193 1.01168355 0.55948726 1.00103722 0.252513915 2.26197026
100131211 3.23546463 3.23092081 3.31833893 3.965986345 4.36342953
100131213 1.12018767 1.51109048 1.33426120 1.211733070 0.33106831
100131471 2.23069196 2.19247504 1.68474233 2.304764360 1.89051928
100131656 2.97147695 2.76717093 2.66333979 2.989236495 3.31732409
100131685 3.66965882 3.94587878 3.83882001 3.658499362 1.53162144
100131691 1.56618283 1.32545943 2.35659106 2.001251316 2.26197026
100131740 0.29726565 1.11236630 1.00103722 -1.179959587 0.84986451
100131801 2.78627196 2.73023839 2.49610754 3.087967612 3.46687670
100131827 0.76662302 0.55948726 -1.17995959 0.252513915 -0.48689857
100131828 -1.17995959 -1.17995959 -1.17995959 -0.669227813 -0.48689857
100131940 -0.12999679 -0.06257334 0.38744189 0.463371818 1.05278119
100132074 -1.17995959 -1.17995959 -1.17995959 -1.179959587 -0.02070486
100132086 0.29726565 1.22284365 1.23150715 0.647305082 0.33106831
100132116 9.17048679 8.96263449 9.13549096 8.988536648 8.53169420
100132126 0.09939399 -0.34833331 -0.34364625 0.252513915 0.61366186
100132215 0.29726565 0.99272209 1.00103722 0.956947576 1.66143013
100132537 2.61140832 2.69233550 2.40461137 2.248956216 2.41706880
100132609 0.62647930 0.71879685 -0.05680823 1.089957541 0.33106831
100132659 -0.40288629 -0.34833331 -0.34364625 -0.669227813 1.05278119
100132891 0.47124272 0.71879685 -0.34364625 1.089957541 -1.17995959
100132972 -0.40288629 -0.06257334 1.23150715 0.463371818 1.23064496
100133234 -0.12999679 -0.34833331 1.23150715 1.089957541 1.23064496
100133286 1.12018767 0.38037678 0.56697445 0.463371818 -0.02070486
100133315 0.47124272 -0.34833331 0.87034246 0.252513915 1.23064496
100134934 1.56618283 2.01959484 1.23150715 0.647305082 1.05278119
10014 5.77130142 5.56201822 5.68380308 5.731266129 6.37357882
100144603 1.77975200 1.42125853 2.14672724 0.956947576 2.48878271
100144748 1.12018767 1.82314131 1.33426120 1.211733070 0.61366186
10015 7.27555587 7.38369487 7.42958456 7.294497552 7.49474605
10016 5.45643061 5.01226143 5.16201073 5.355329824 5.27875257
100170229 0.89435038 1.22284365 0.87034246 0.810417669 1.38896776
100170841 4.49120830 3.47369677 3.83882001 3.679761438 4.74653522
10018 2.81883800 2.29719639 2.94892070 3.119431517 3.01127798
100188847 1.84445047 2.07955310 1.60477736 1.089957541 1.66143013
10019 4.45022061 4.95738910 4.71530391 4.643922807 4.41955694
100190938 2.23069196 1.82314131 2.40461137 2.508627610 2.26197026
1002 -0.12999679 0.38037678 -0.34364625 -1.179959587 3.01127798
10020 3.66965882 3.66196367 3.71097741 3.401254589 3.86744470
10021 6.98761343 7.41603162 7.06889747 7.177922157 8.18424007
10023 1.31541101 0.71879685 0.18234948 0.956947576 0.61366186
10024 2.53506246 2.24578569 2.77715744 2.304764360 3.72622754
10026 5.91001367 5.93903544 5.81840849 5.642005572 6.28066563
100268168 -0.12999679 0.38037678 0.38744189 0.647305082 0.61366186
100270804 0.09939399 -0.34833331 -0.34364625 -0.669227813 2.26197026
100270827 -0.40288629 -1.17995959 -0.70203275 0.252513915 -1.17995959
100270840 3.35130832 3.45117712 3.65251827 2.989236495 3.19401733
100270854 2.45444961 1.75122578 2.14672724 2.555390169 2.34160278
100270865 3.72225218 3.14933730 3.39165468 3.547218191 3.10553906
100271271 3.70493323 2.90611531 3.15948437 3.267213726 2.74455201
100271332 2.49531901 2.73023839 2.74020701 2.460298399 2.62232799
100271415 2.13047318 1.51109048 1.12086948 1.089957541 1.66143013
100271479 -1.17995959 -1.17995959 -0.05680823 -0.669227813 -1.17995959
100271884 0.29726565 0.55948726 0.18234948 1.089957541 -0.02070486
100272147 2.13047318 2.07955310 2.20212387 1.782841701 2.62232799
100286844 1.22109899 0.17583522 0.18234948 1.428204401 0.61366186
100287015 -0.40288629 0.38037678 -1.17995959 -1.179959587 -1.17995959
100287049 -1.17995959 -0.34833331 -0.05680823 0.005474457 1.38896776
100287074 2.49531901 2.29719639 2.70228528 2.460298399 1.89051928
100287616 4.59826602 4.43330563 4.68645794 4.945467867 2.17768414
100287722 0.89435038 1.22284365 0.72661778 1.932057985 1.23064496
100287808 0.62647930 0.38037678 -0.34364625 -0.292788880 0.61366186
100287837 -0.12999679 -1.17995959 -0.34364625 -1.179959587 -1.17995959
100287896 2.49531901 2.24578569 2.25547181 2.001251316 3.19401733
100287902 -0.73972442 -1.17995959 -1.17995959 -0.669227813 -0.02070486
100287928 1.90637159 2.34683793 2.49610754 2.555390169 3.63434704
100287932 5.26880540 4.97328102 5.28896919 5.361921873 5.51176829
100288001 1.77975200 1.42125853 1.52011871 2.067277380 2.26197026
100288073 3.97433488 4.43330563 4.00379194 3.636919238 4.22329374
100288123 0.47124272 0.17583522 0.56697445 0.252513915 1.05278119
100288198 2.02276939 2.01959484 2.20212387 1.702016330 3.94598308
100288241 1.64094095 0.86225102 1.60477736 1.702016330 1.05278119
100288413 1.40393415 1.75122578 1.43018081 2.130413490 4.28502580
100288513 -0.40288629 0.55948726 1.00103722 0.463371818 -1.17995959
100288842 0.76662302 1.59565526 1.12086948 0.463371818 1.89051928
100289061 0.09939399 0.55948726 0.18234948 0.252513915 1.66143013
100289095 1.12018767 1.11236630 1.23150715 0.810417669 1.53162144
100289133 1.71201532 0.99272209 1.68474233 0.463371818 0.33106831
100289178 1.96574405 2.24578569 1.83249024 1.525364818 2.26197026
100289211 -0.40288629 0.71879685 0.72661778 -0.292788880 -1.17995959
100289259 0.89435038 0.71879685 0.87034246 1.089957541 1.05278119
100289274 1.40393415 1.75122578 2.08911825 2.358493824 3.01127798
100289341 1.77975200 0.17583522 1.68474233 1.616392659 1.05278119
100289373 -0.40288629 -1.17995959 -1.17995959 -1.179959587 -1.17995959
100289388 1.96574405 1.67553646 1.12086948 2.130413490 2.62232799
100289414 -0.73972442 0.55948726 0.18234948 0.252513915 -0.48689857
100289635 5.35460242 5.35319290 5.30803204 5.231212296 5.27875257
100289640 1.77975200 1.11236630 1.83249024 1.089957541 1.66143013
100289678 2.27830607 2.97087166 2.35659106 2.687217945 0.61366186
100293516 3.75627859 3.68144271 4.00379194 3.570171717 4.34422442
100294362 1.77975200 1.75122578 0.87034246 1.932057985 1.66143013
1003 0.09939399 0.38037678 0.87034246 1.211733070 -1.17995959
100302692 1.56618283 1.75122578 1.33426120 1.428204401 1.38896776
100302736 1.22109899 1.32545943 1.96650289 1.525364818 1.99272497
100303728 2.85068511 2.61340483 2.49610754 2.508627610 3.31732409
100303755 1.56618283 0.86225102 1.43018081 1.702016330 1.89051928
100312828 -0.40288629 0.38037678 -0.34364625 0.252513915 0.61366186
100312850 -1.17995959 -0.70503539 -1.17995959 -1.179959587 -0.02070486
10036 4.05856075 4.06930725 4.07970386 4.098202508 5.23771213
100379345 3.02828052 2.01959484 1.60477736 1.932057985 2.68473395
10038 4.87870085 4.61649092 4.96791428 5.079492563 5.38594123
100381270 1.12018767 0.86225102 0.72661778 0.810417669 0.84986451
10039 6.03655106 5.83416211 6.12111217 5.862575212 5.84804727
1004 7.28869390 7.94741141 7.24737630 7.437105320 5.86161792
10040 3.10950052 1.95703626 3.01228171 3.523893559 3.81260519
100418710 0.62647930 0.99272209 0.87034246 1.324025028 1.66143013
100418735 3.66965882 3.51770819 3.21440248 4.066266994 3.75559848
100418744 1.22109899 1.11236630 1.68474233 0.005474457 -0.02070486
100418770 2.41238861 2.01959484 2.30691719 2.358493824 1.05278119
100418781 1.40393415 1.32545943 0.72661778 0.647305082 -0.48689857
100418819 1.84445047 1.59565526 1.52011871 1.211733070 1.38896776
100418829 2.27830607 2.48626934 2.70228528 2.358493824 1.66143013
100418888 1.31541101 1.11236630 1.43018081 1.702016330 0.61366186
100418889 2.64811777 2.52990460 2.25547181 2.600684464 2.55710003
100418910 1.71201532 1.75122578 2.30691719 1.211733070 1.05278119
100418919 2.18145263 2.52990460 2.25547181 2.304764360 1.23064496
100419028 1.12018767 1.22284365 1.68474233 1.089957541 1.05278119
100419185 -0.40288629 -1.17995959 -0.05680823 0.463371818 1.05278119
100419416 0.89435038 1.11236630 1.52011871 2.001251316 -0.48689857
100419515 -0.40288629 0.17583522 -0.05680823 -0.292788880 -0.48689857
100419645 0.29726565 -0.06257334 0.56697445 -0.292788880 -0.02070486
100419758 -0.40288629 0.55948726 -0.34364625 -1.179959587 -0.02070486
100419928 1.01168355 1.32545943 1.60477736 1.211733070 1.05278119
10042 5.43032273 4.93321808 5.16201073 5.223993543 5.56250669
100420028 -0.40288629 -0.34833331 1.23150715 0.956947576 -1.17995959
100420050 -0.12999679 0.55948726 0.56697445 0.647305082 -0.02070486
100420110 3.37340125 3.09226701 3.48395041 3.349122971 3.15045637
100420187 1.12018767 1.51109048 1.76050683 1.932057985 1.89051928
100420259 4.00296002 3.71962909 4.01929724 3.839438968 4.38238233
100420307 1.48733814 0.86225102 0.87034246 0.647305082 -0.02070486
100420341 4.75793811 5.15843389 4.78952048 5.149746964 5.00071290
100420423 0.47124272 1.22284365 0.87034246 -0.292788880 -0.02070486
100420591 1.31541101 1.11236630 -0.05680823 0.810417669 1.38896776
100420707 2.02276939 1.67553646 2.70228528 2.555390169 3.53621454
100420752 1.48733814 1.51109048 1.52011871 1.702016330 2.08816659
100420869 3.82201452 3.58130590 3.90708868 3.839438968 4.02046577
100420981 5.68560614 5.03515395 5.63933997 5.581159331 6.15404216
100421093 3.55834537 4.09858220 3.67226903 3.839438968 3.50196213
100421109 1.01168355 0.71879685 0.72661778 0.647305082 -0.02070486
100421160 0.29726565 0.71879685 0.18234948 0.956947576 0.84986451
100421175 1.01168355 -0.70503539 0.56697445 1.089957541 0.84986451
100421246 1.56618283 1.32545943 1.60477736 0.810417669 1.89051928
100421311 2.36906442 1.22284365 2.25547181 2.555390169 2.68473395
100421372 1.77975200 1.22284365 1.00103722 1.525364818 -0.02070486
100421400 1.84445047 2.52990460 2.66333979 1.702016330 2.62232799
100421415 0.09939399 0.17583522 -1.17995959 -0.292788880 -1.17995959
100421429 0.09939399 -0.70503539 0.38744189 0.956947576 -0.02070486
100421465 2.27830607 1.59565526 2.08911825 1.932057985 2.62232799
100421468 1.64094095 1.11236630 1.33426120 1.324025028 1.78051714
100421506 -0.40288629 -1.17995959 -0.70203275 -1.179959587 -0.48689857
100421569 0.47124272 -0.70503539 0.38744189 0.252513915 -0.48689857
100421595 1.48733814 1.59565526 1.43018081 1.324025028 1.99272497
100421794 2.94221384 2.69233550 3.63249337 2.989236495 3.10553906
100422106 1.48733814 1.22284365 1.60477736 0.956947576 1.89051928
100422338 2.18145263 1.32545943 2.30691719 1.859378142 1.38896776
100422546 0.76662302 0.38037678 0.18234948 0.810417669 -0.48689857
100422561 4.41869710 4.09858220 4.01929724 4.113909022 3.81260519
10043 5.17128992 5.01993270 4.86010519 5.209446765 5.74198215
10044 3.65169284 3.64221803 2.94892070 3.055802178 1.38896776
10045 0.47124272 -0.70503539 0.87034246 0.956947576 -0.48689857
10046 1.90637159 2.29719639 1.96650289 1.525364818 2.26197026
10048 6.35515071 6.23766094 6.33756613 6.330827846 6.32542377
10049 5.72480009 5.25260065 5.53533424 5.546856046 5.69727192
100499177 2.71884796 2.69233550 2.62331374 3.087967612 3.19401733
100499483 0.29726565 0.71879685 0.38744189 1.324025028 -1.17995959
1005 1.71201532 1.67553646 0.72661778 0.647305082 -0.02070486
100500719 0.76662302 -1.17995959 0.18234948 -0.292788880 -0.02070486
100505385 2.88184437 2.65340989 2.40461137 3.022903219 2.41706880
100505501 0.62647930 1.22284365 1.43018081 1.211733070 2.08816659
100505538 0.09939399 -0.34833331 -1.17995959 0.810417669 1.99272497
100505549 -1.17995959 -0.34833331 -1.17995959 -1.179959587 -0.02070486
100505573 5.46159596 4.83226863 5.34541834 5.179905645 5.03704818
100505576 4.11209794 4.11299988 4.58591338 4.434730077 4.20211510
100505616 -1.17995959 -0.06257334 -1.17995959 -0.669227813 -0.48689857
100505624 1.48733814 1.22284365 0.72661778 1.782841701 0.33106831
100505635 0.47124272 1.11236630 1.23150715 0.956947576 -0.48689857
100505641 3.02828052 2.69233550 2.49610754 2.460298399 2.55710003
100505648 2.13047318 2.24578569 2.25547181 1.782841701 3.27738149
100505678 1.77975200 2.24578569 1.68474233 2.067277380 1.99272497
100505696 3.43771985 3.62219839 3.52797453 3.741729803 4.28502580
100505715 -0.40288629 -1.17995959 -0.70203275 0.252513915 -1.17995959
100505738 0.09939399 0.55948726 1.76050683 2.001251316 2.48878271
100505741 0.29726565 0.86225102 1.00103722 1.525364818 1.05278119
100505758 2.49531901 3.28285450 3.10239272 3.087967612 3.23630146
100505761 1.56618283 1.95703626 2.08911825 1.211733070 1.78051714
100505771 2.45444961 2.83831517 2.53976777 3.087967612 3.10553906
100505783 -1.17995959 -0.70503539 -1.17995959 -0.669227813 -0.48689857
100505806 2.71884796 2.24578569 2.40461137 2.555390169 3.23630146
100505812 -1.17995959 -0.34833331 -1.17995959 -1.179959587 0.33106831
100505832 -1.17995959 -1.17995959 -0.34364625 -1.179959587 0.61366186
100505854 -0.40288629 0.55948726 0.87034246 -0.292788880 1.05278119
100505876 5.19629365 5.02756340 5.20332268 5.111139828 5.95319790
100505894 0.89435038 0.71879685 0.87034246 1.089957541 3.39403739
100505933 -0.12999679 -0.34833331 1.00103722 0.463371818 0.84986451
100505994 -0.12999679 -0.06257334 -1.17995959 -0.292788880 -0.48689857
100506020 0.89435038 0.38037678 0.72661778 0.647305082 -1.17995959
100506033 3.80585920 4.21008020 3.97227229 4.248065418 5.42302542
100506054 -0.12999679 -0.34833331 -0.34364625 0.647305082 1.05278119
100506068 -1.17995959 -0.34833331 -0.70203275 -0.292788880 -0.02070486
100506070 0.47124272 -0.06257334 0.72661778 -0.292788880 -0.02070486
100506083 0.62647930 0.17583522 -0.05680823 0.463371818 -1.17995959
100506100 0.09939399 -0.34833331 -0.34364625 -0.292788880 -0.48689857
100506119 1.12018767 0.71879685 0.72661778 0.252513915 0.84986451
100506127 1.31541101 0.99272209 1.96650289 0.956947576 2.26197026
100506142 0.29726565 -1.17995959 -0.05680823 0.252513915 -0.02070486
100506144 0.29726565 1.22284365 0.38744189 1.211733070 0.33106831
100506161 1.12018767 0.55948726 -0.05680823 0.956947576 1.38896776
100506211 3.70493323 2.01959484 3.10239272 2.989236495 5.25837828
100506235 0.62647930 0.71879685 1.00103722 1.211733070 1.99272497
100506258 -0.40288629 -0.70503539 -0.05680823 -0.292788880 0.33106831
100506282 1.31541101 1.75122578 0.87034246 1.428204401 2.85722518
100506286 0.76662302 -1.17995959 -0.05680823 -0.292788880 -1.17995959
100506302 0.62647930 0.38037678 0.18234948 -0.292788880 1.23064496
100506321 0.29726565 0.99272209 0.72661778 0.463371818 -0.02070486
100506325 -0.73972442 0.86225102 0.18234948 -0.292788880 -0.02070486
100506343 1.31541101 -0.34833331 1.00103722 1.525364818 0.84986451
100506365 4.46057722 4.46736916 4.58591338 5.030680660 5.47692341
100506368 -0.12999679 0.17583522 -1.17995959 -0.669227813 0.33106831
100506380 2.45444961 1.51109048 2.25547181 1.932057985 1.38896776
100506392 2.71884796 3.06286231 3.26730650 3.401254589 4.18062092
100506394 -0.40288629 -0.06257334 -1.17995959 0.647305082 1.38896776
100506411 1.22109899 0.38037678 0.18234948 1.324025028 1.23064496
100506433 -0.40288629 0.38037678 0.56697445 -1.179959587 2.91042497
100506462 0.62647930 0.86225102 0.87034246 0.810417669 0.61366186
100506469 1.40393415 0.99272209 1.43018081 1.782841701 3.53621454
100506495 -0.40288629 -0.34833331 0.56697445 -0.292788880 -0.02070486
100506504 1.64094095 1.22284365 -0.34364625 2.001251316 -0.02070486
100506540 1.01168355 0.99272209 0.38744189 1.211733070 1.38896776
100506581 3.02828052 2.29719639 2.66333979 3.295036732 2.34160278
100506606 -1.17995959 0.17583522 -0.34364625 -0.669227813 0.61366186
100506658 -0.40288629 1.67553646 1.00103722 0.252513915 -0.48689857
100506668 1.90637159 2.24578569 2.53976777 2.728613071 2.74455201
100506686 1.22109899 1.32545943 0.38744189 0.252513915 1.38896776
100506691 0.29726565 0.55948726 0.18234948 0.463371818 -0.02070486
100506696 -0.40288629 -1.17995959 -0.05680823 0.956947576 -0.48689857
100506697 0.29726565 1.11236630 1.68474233 1.616392659 -1.17995959
100506710 3.88488529 4.23665846 4.33644823 3.930948279 4.87252743
100506713 0.29726565 0.38037678 0.56697445 0.005474457 -0.48689857
100506725 2.27830607 2.39482803 2.98094902 2.304764360 4.09129116
100506731 -0.12999679 0.71879685 1.00103722 0.810417669 1.99272497
100506757 0.09939399 -1.17995959 1.12086948 0.005474457 1.38896776
100506779 -0.40288629 -1.17995959 -0.70203275 -1.179959587 0.84986451
100506804 -0.12999679 -0.34833331 -1.17995959 -1.179959587 0.33106831
100506826 0.76662302 0.17583522 0.38744189 0.252513915 1.66143013
100506844 1.56618283 1.32545943 1.12086948 1.324025028 2.74455201
100506866 4.26173079 4.03942593 4.10898443 4.383815518 6.69112274
100506881 2.13047318 1.82314131 2.30691719 1.616392659 2.08816659
100506885 -0.12999679 1.75122578 -0.70203275 0.810417669 0.84986451
100506911 -0.73972442 0.17583522 -0.34364625 -1.179959587 0.61366186
100506922 -0.73972442 -1.17995959 -1.17995959 -0.669227813 0.84986451
100506930 3.55834537 3.60189702 3.65251827 3.679761438 3.84028550
100506994 0.62647930 1.11236630 0.56697445 0.005474457 -0.48689857
100507003 -0.40288629 0.17583522 -1.17995959 -1.179959587 -1.17995959
100507032 -1.17995959 -1.17995959 -1.17995959 -1.179959587 -1.17995959
100507034 2.75295381 3.30813670 3.18720473 2.555390169 2.96173257
100507050 1.56618283 0.55948726 0.18234948 0.810417669 1.38896776
100507053 -1.17995959 -1.17995959 -1.17995959 -1.179959587 -0.48689857
100507057 -1.17995959 -0.70503539 -0.34364625 0.956947576 -1.17995959
100507062 0.09939399 -1.17995959 -1.17995959 -0.292788880 0.61366186
100507071 0.76662302 0.17583522 -0.34364625 -0.292788880 1.53162144
100507156 4.01706238 3.73834982 3.90708868 3.930948279 2.68473395
100507171 2.85068511 2.83831517 2.62331374 2.508627610 2.55710003
100507173 -0.12999679 -0.06257334 0.18234948 -1.179959587 -1.17995959
100507178 -0.40288629 0.17583522 -0.05680823 0.647305082 -0.48689857
100507244 1.56618283 2.01959484 1.43018081 1.702016330 0.84986451
100507246 2.78627196 3.62219839 3.61218661 3.615011406 3.99606299
100507250 1.01168355 -0.34833331 -0.70203275 0.005474457 1.38896776
100507254 2.02276939 2.29719639 2.14672724 2.304764360 2.68473395
100507266 0.09939399 -1.17995959 -1.17995959 0.810417669 0.84986451
100507290 4.55058583 4.22343054 4.34877416 4.219312406 4.83174048
100507291 0.09939399 -0.34833331 -0.05680823 0.463371818 0.84986451
100507303 1.31541101 2.39482803 2.45108467 2.600684464 0.61366186
100507308 0.47124272 0.55948726 1.23150715 1.211733070 1.38896776
100507316 0.09939399 -1.17995959 -1.17995959 -1.179959587 -1.17995959
100507331 1.64094095 1.22284365 1.68474233 1.859378142 1.89051928
100507347 2.07762612 1.75122578 2.30691719 1.616392659 0.84986451
100507373 1.90637159 2.29719639 1.33426120 2.001251316 3.05917822
100507392 0.76662302 -0.34833331 1.33426120 1.211733070 -1.17995959
100507398 0.09939399 -1.17995959 -0.70203275 0.463371818 1.38896776
100507401 -0.12999679 -0.70503539 -0.34364625 0.463371818 1.38896776
100507420 0.47124272 -1.17995959 0.18234948 0.647305082 -1.17995959
100507433 0.62647930 0.55948726 1.33426120 0.810417669 2.55710003
100507436 0.62647930 -0.34833331 0.18234948 -0.292788880 -1.17995959
100507437 1.01168355 -0.06257334 1.23150715 -0.669227813 -0.48689857
100507459 0.62647930 0.38037678 1.12086948 0.647305082 1.23064496
100507463 -0.73972442 -0.06257334 -0.70203275 0.005474457 -0.48689857
100507487 1.01168355 1.89164156 -0.34364625 0.647305082 1.38896776
100507495 3.75627859 3.70066224 3.50613039 3.679761438 4.30502980
100507516 0.62647930 0.71879685 1.00103722 1.211733070 1.23064496
100507551 -0.73972442 -0.06257334 -0.70203275 -1.179959587 -0.02070486
100507557 2.18145263 0.86225102 1.00103722 1.324025028 1.99272497
100507564 1.56618283 -0.34833331 1.00103722 0.463371818 0.61366186
100507567 -0.73972442 -0.70503539 -0.34364625 -0.292788880 -0.48689857
100507588 0.89435038 0.55948726 1.33426120 -0.669227813 0.61366186
100507599 -1.17995959 -0.34833331 -0.34364625 0.252513915 0.61366186
100507602 4.45022061 4.19660517 4.24708571 4.248065418 3.92027576
100508120 -0.12999679 0.17583522 1.12086948 1.089957541 -0.02070486
10051 6.15606905 5.85575553 6.04740395 6.279524087 7.24066346
10052 0.89435038 0.86225102 0.18234948 1.324025028 0.84986451
100526737 1.71201532 0.99272209 1.96650289 1.324025028 1.78051714
100526760 1.56618283 0.86225102 1.33426120 1.616392659 1.66143013
100526820 0.76662302 0.55948726 -0.34364625 0.005474457 1.99272497
100526835 2.68391628 2.61340483 2.58214543 2.919450291 5.22726697
100527978 -0.40288629 -0.06257334 0.38744189 0.005474457 1.05278119
100529145 1.22109899 1.42125853 1.68474233 2.190902056 1.53162144
100529215 -0.12999679 -0.70503539 0.18234948 0.463371818 -1.17995959
100532746 4.00296002 3.49587030 3.72994898 3.721368004 3.89410205
100533106 -0.40288629 -0.70503539 -0.34364625 0.252513915 0.61366186
100533182 -0.12999679 -0.34833331 0.38744189 -1.179959587 0.33106831
100533619 -0.40288629 -1.17995959 -1.17995959 -0.292788880 -1.17995959
100533629 -0.73972442 -1.17995959 0.18234948 0.252513915 0.84986451
100533695 -0.12999679 -0.34833331 -0.05680823 -0.669227813 -0.48689857
100533970 0.76662302 0.86225102 1.23150715 0.463371818 0.84986451
100534593 -0.12999679 0.17583522 -0.34364625 0.647305082 0.84986451
10054 5.99796488 6.00622962 6.21162651 6.049774599 6.05711227
10056 5.63163411 5.37728202 5.73634935 5.609135223 5.98454550
10057 6.24263153 6.59432319 6.43037668 6.720138643 7.12445502
10058 5.01844760 5.18597166 4.70575253 4.954219234 6.50044247
10059 6.78413496 6.71265021 6.89700283 6.994945566 7.20650725
1006 3.18639072 3.14933730 3.61218661 3.119431517 3.15045637
10060 2.49531901 3.00219148 2.70228528 2.190902056 2.80198828
100616256 -0.73972442 -0.34833331 -0.34364625 0.005474457 0.84986451
10062 0.89435038 1.75122578 1.60477736 1.089957541 1.05278119
10063 3.86942259 3.09226701 3.48395041 3.476081574 4.62448641
100652739 0.29726565 -0.34833331 -0.70203275 0.252513915 -0.48689857
100652758 1.40393415 0.71879685 0.87034246 0.647305082 1.38896776
100652846 0.62647930 0.55948726 0.72661778 1.428204401 1.38896776
10066 6.28695268 6.28299526 6.21499693 6.251397347 6.26543227
10067 5.41974584 5.50302932 5.39380578 5.231212296 5.73462601
10068 2.32439881 2.83831517 2.66333979 2.728613071 2.80198828
10069 3.05586504 3.30813670 3.01228171 2.989236495 3.01127798
10072 5.01844760 5.00454915 4.88570884 4.980159256 4.36342953
10073 3.90018402 3.64221803 3.67226903 3.570171717 3.72622754
10075 8.50062522 8.79168697 8.63064433 8.802975560 8.52744354
10076 4.75793811 4.83226863 4.96791428 4.665399198 4.45579768
10077 0.29726565 0.38037678 -0.34364625 0.810417669 1.38896776
100775107 1.12018767 0.38037678 0.56697445 0.463371818 -0.02070486
10078 4.90168608 4.32600602 4.53288517 4.845527222 4.06806689
10079 4.83955912 5.25909738 5.03809575 5.216738489 3.86744470
1008 4.56984741 4.81473499 4.65702341 4.643922807 3.01127798
10081 4.61690546 4.64653457 4.72479248 4.409497391 5.12969292
10082 7.06939881 6.94193535 7.07261793 6.984303886 7.33367200
100820829 3.63350029 3.84584267 3.83882001 3.761808216 6.21874265
10084 4.64442070 4.72372043 5.02279225 4.707416028 4.73183195
100847074 2.45444961 2.19247504 1.96650289 1.859378142 2.26197026
10085 9.99995499 10.02696424 10.04971968 10.016915667 8.71387324
100852407 1.31541101 1.32545943 1.43018081 1.859378142 0.61366186
100861412 0.29726565 0.55948726 0.38744189 0.252513915 -0.48689857
100861548 4.01706238 4.14141006 3.83882001 3.761808216 4.15880165
100862671 -0.40288629 -0.34833331 -0.05680823 -0.292788880 1.89051928
10087 6.07075576 5.91866181 6.12828004 6.086060158 6.69491810
100873257 -0.40288629 -1.17995959 -1.17995959 -1.179959587 0.33106831
100873333 2.94221384 2.13711861 2.91616517 2.687217945 2.34160278
100873790 2.81883800 2.24578569 2.25547181 2.190902056 3.89410205
100873949 0.29726565 0.38037678 0.72661778 0.252513915 -0.48689857
100873952 -0.40288629 -0.70503539 0.18234948 -0.292788880 -0.02070486
100873965 1.31541101 1.95703626 2.02911282 1.428204401 1.66143013
100874006 2.02276939 1.51109048 1.68474233 2.067277380 1.38896776
100874008 -0.12999679 1.42125853 1.23150715 0.005474457 0.33106831
100874014 1.01168355 0.17583522 1.00103722 1.089957541 2.85722518
100874058 1.48733814 -0.34833331 0.18234948 1.525364818 0.33106831
100874080 1.12018767 0.86225102 1.43018081 2.001251316 1.05278119
100874097 1.77975200 1.11236630 1.43018081 1.859378142 1.89051928
100874201 -1.17995959 0.38037678 0.18234948 0.463371818 0.33106831
100874212 1.01168355 0.86225102 0.87034246 0.956947576 0.61366186
100874217 0.47124272 0.99272209 1.00103722 0.647305082 -0.02070486
100874235 -0.40288629 0.55948726 0.56697445 0.252513915 1.23064496
100874261 1.22109899 1.42125853 1.68474233 1.702016330 -0.02070486
100874291 -0.40288629 -1.17995959 0.56697445 1.211733070 1.05278119
100874362 1.40393415 1.32545943 1.43018081 0.956947576 0.61366186
100874523 2.27830607 1.22284365 1.52011871 1.616392659 1.38896776
100885775 1.84445047 1.89164156 2.14672724 2.600684464 1.89051928
100885776 -0.40288629 0.38037678 -0.34364625 0.005474457 1.05278119
100885848 4.76631117 4.59610851 4.61681926 4.787947725 5.57903055
1009 10.55201566 10.66184564 10.62722706 10.637431547 9.33192758
10090 4.79114267 4.72372043 4.56493541 4.370801083 3.15045637
10092 7.89824495 7.75283490 7.99676655 7.980716800 7.21710324
10093 7.57983703 7.45899068 7.57044086 7.405547471 7.02242882
10094 3.78952093 3.58130590 3.92366276 3.679761438 3.46687670
10095 6.16242731 6.31764188 6.34065511 6.133063482 4.95079696
10097 8.92148458 8.92839766 8.99306771 8.976237175 7.98165171
10098 6.73378883 6.61219546 6.58424991 6.768076960 5.58722205
10099 7.68073364 7.64410949 7.69875978 7.680667394 7.95499598
100996246 2.45444961 2.19247504 2.14672724 2.508627610 -0.02070486
100996251 1.01168355 0.17583522 0.87034246 0.005474457 1.23064496
100996307 0.89435038 0.55948726 0.18234948 0.252513915 2.26197026
100996384 1.22109899 0.17583522 0.87034246 -0.669227813 2.55710003
100996419 -1.17995959 0.17583522 -0.34364625 -0.292788880 0.84986451
100996485 1.56618283 1.89164156 1.33426120 1.702016330 2.17768414
100996539 -0.12999679 -0.34833331 0.56697445 0.005474457 0.84986451
100996579 -1.17995959 -1.17995959 -1.17995959 -1.179959587 0.84986451
100996696 2.78627196 2.83831517 2.98094902 2.644599897 3.60237217
100996842 1.48733814 1.67553646 0.72661778 0.463371818 2.68473395
100996851 0.47124272 0.17583522 0.38744189 1.211733070 -0.48689857
100996939 1.22109899 0.99272209 1.23150715 0.463371818 0.84986451
101 0.47124272 1.32545943 0.56697445 0.647305082 1.05278119
1010 0.09939399 1.32545943 0.56697445 1.324025028 2.80198828
10100 4.56984741 4.14141006 4.65702341 4.554669879 6.01522644
10101 4.52120252 4.46736916 4.42059689 4.447182832 4.96343879
10102 4.35350522 4.61649092 4.36099568 4.422168898 4.34422442
10103 -1.17995959 0.17583522 -0.34364625 0.647305082 0.61366186
10105 6.10416824 5.84283830 6.00908780 5.741413340 6.93527206
10106 7.33023161 7.06383336 7.29910605 7.122709344 7.25615920
101060200 2.18145263 2.44127303 2.40461137 3.119431517 3.01127798
101060691 1.40393415 0.17583522 1.52011871 1.211733070 2.74455201
10109 9.00699449 8.76168947 8.98667331 8.845343172 8.22155478
10112 4.64442070 4.18300310 4.61681926 4.599986441 5.86835567
10113 6.21537019 6.24749608 6.19806553 6.229936483 6.18675508
10114 7.29738658 7.19159440 7.30227839 7.418253567 8.24245201
101154753 -0.40288629 -0.34833331 -0.34364625 0.005474457 -0.48689857
10116 7.58457961 7.46180964 7.52499983 7.610433236 8.15008769
10117 -1.17995959 0.17583522 0.18234948 -1.179959587 -0.48689857
1012 8.79266140 8.99315776 8.88137058 8.768038121 6.96386503
10121 6.39078799 6.09968532 6.32825932 6.125335172 5.95952214
10123 6.65706692 6.70553240 6.62535905 6.852419204 6.09207124
101241892 3.37340125 3.62219839 2.91616517 3.547218191 5.44121607
10125 0.62647930 1.59565526 0.56697445 0.956947576 0.61366186
10126 3.57750431 3.06286231 3.36762771 2.954765315 3.15045637
THA_2_C2 DMSO_2_C2 TUN_24_C2 THA_24_C2 DOX_24_C2
100 1.93597151 2.1177338 2.47044399 2.89065389 6.02660543
1000 10.77031460 10.8435167 11.06714802 11.45258188 9.32754411
10000 5.78455694 6.1168752 6.37188901 6.59612849 6.28164945
10001 4.47985317 4.6327666 4.36383284 4.30421319 4.78968842
10003 3.88386407 4.2073537 3.06135660 3.21627933 2.55702637
100037417 -1.17995959 -1.1799596 -1.17995959 -1.17995959 -1.17995959
100049716 2.35847434 2.5365873 3.30419058 2.39780381 3.99209448
10005 3.75066743 3.7911187 4.39913829 3.76404810 3.17576018
10006 6.65749172 6.5807053 6.61649427 6.88516568 6.67049594
10007 4.02899284 4.2449205 4.71151140 5.05175525 6.41840871
10009 5.02097359 4.8310487 4.69739912 4.89149001 4.86253748
100093630 6.24207591 5.9161108 6.75919375 6.60807979 6.28695269
1001 5.43109990 5.2280304 5.38396953 5.47364512 7.22326130
10010 5.72898032 5.6621430 5.16558158 5.26805864 5.87286862
100101267 2.20398709 2.2712645 2.59746470 1.97405731 3.85599429
100101467 3.66441642 3.3488337 4.15250905 3.67595362 3.38805092
10011 6.21198681 5.9675775 5.59659797 5.49953997 6.22751643
100113386 0.56842154 -1.1799596 0.27080491 -1.17995959 -1.17995959
100113397 1.17890742 0.2294402 0.77951919 1.51383609 1.45069323
100113407 4.75491642 4.6883626 4.34585075 4.22364573 4.37734090
100125288 2.20398709 2.3423080 3.74935740 2.99142307 4.78968842
100127983 2.12006166 2.7606121 2.33115063 2.94191811 0.90603046
100128006 3.04489882 2.1965405 2.65701343 2.15873446 0.37948236
100128016 0.28985351 0.2294402 1.15486614 -0.03227164 0.66664639
100128025 1.72490730 0.5018743 1.15486614 0.59874137 -1.17995959
100128054 1.72490730 1.2574574 1.45244497 1.51383609 -1.17995959
100128071 -1.17995959 0.2294402 0.54746930 -0.49487818 0.90603046
100128191 1.72490730 0.9285758 2.33115063 2.72493219 1.29094919
100128252 2.56301893 1.8516393 3.44598639 2.06934890 2.40923535
100128379 0.28985351 -0.1067031 0.77951919 1.37151746 1.45069323
100128398 4.26220902 4.8433468 4.65421461 5.28800700 4.29551094
100128494 2.99864730 2.6529437 2.87330452 2.15873446 2.62560675
100128569 2.03095087 2.4746896 0.97936518 1.97405731 2.48502251
100128640 -0.05569319 -1.1799596 -0.52200603 -1.17995959 1.72526173
100128682 0.56842154 -0.5457485 -1.17995959 -0.49487818 0.02058583
100128731 6.14985792 6.3673508 6.64250752 6.41296453 7.29870782
100128766 2.56301893 2.7606121 3.34096733 2.32243162 2.69107448
100128782 1.17890742 2.3423080 1.45244497 1.64336731 0.37948236
100128822 -1.17995959 -1.1799596 -1.17995959 -1.17995959 -1.17995959
100128833 2.35847434 2.5365873 2.87330452 2.53767343 3.12927836
100128881 1.47758444 2.6529437 2.40247777 2.15873446 2.55702637
100128893 5.79812289 5.7819865 5.99878371 5.75019522 6.49372783
100129001 1.83429577 1.6423579 0.77951919 0.59874137 1.45069323
100129013 1.47758444 -0.5457485 0.77951919 0.83402553 -0.45825209
100129029 0.80180789 0.2294402 0.97936518 0.83402553 1.84515070
100129060 3.60391091 3.6300902 3.77646095 3.54944601 3.64091241
100129075 1.33596144 2.4746896 2.76920852 2.06934890 3.93918494
100129195 2.62522697 3.2037583 2.82219518 2.06934890 3.42700239
100129203 -0.05569319 0.7309434 0.97936518 0.59874137 4.29551094
100129250 1.83429577 1.6423579 2.09320465 2.06934890 2.24455820
100129259 1.00264378 2.4100167 1.80810965 0.83402553 2.24455820
100129361 5.66378561 5.4850943 5.11339152 5.37451084 5.80794954
100129398 1.17890742 0.7309434 0.77951919 -0.03227164 0.66664639
100129434 -0.05569319 -1.1799596 -0.07181269 -0.49487818 0.37948236
100129461 0.80180789 1.2574574 0.97936518 0.83402553 0.66664639
100129484 1.93597151 0.9285758 3.01659132 0.83402553 4.52826860
100129550 4.54566967 4.7153773 4.95633735 4.58784769 5.79311759
100129583 1.33596144 1.3974811 1.80810965 1.64336731 2.48502251
100129662 0.80180789 0.5018743 -0.07181269 1.76222079 2.98010951
100129707 1.00264378 1.1023680 0.77951919 1.03626438 0.37948236
100129716 1.72490730 0.5018743 2.25611282 1.51383609 2.24455820
100129726 0.80180789 1.1023680 0.97936518 1.37151746 3.17576018
100129774 3.80543039 3.6014139 4.02270335 3.58212801 3.64091241
100129781 1.72490730 0.5018743 1.80810965 1.03626438 0.37948236
100129792 1.17890742 0.9285758 -0.07181269 -0.49487818 -0.45825209
100129794 1.93597151 2.4100167 2.40247777 2.06934890 0.66664639
100129842 0.28985351 -0.5457485 -1.17995959 -0.03227164 0.02058583
100129917 3.88386407 3.0424463 3.77646095 3.48177339 2.69107448
100129924 -0.05569319 0.5018743 0.27080491 1.51383609 1.72526173
100129940 1.33596144 1.1023680 1.31131454 0.83402553 2.75369988
100129995 -0.05569319 -1.1799596 -1.17995959 -0.49487818 1.72526173
10013 5.67853005 5.5540585 5.96972316 6.03033025 5.89387498
100130111 0.80180789 0.7309434 0.54746930 1.21360734 1.29094919
100130197 -0.51097514 -0.5457485 0.97936518 1.03626438 0.90603046
100130335 2.99864730 3.7128500 3.14692395 3.21627933 3.50188561
100130348 3.40549461 3.6014139 4.30919986 3.95082271 3.70570454
100130357 -0.05569319 0.7309434 0.54746930 -0.49487818 1.29094919
100130466 3.29501637 3.6014139 3.22769914 3.25733155 4.61516180
100130476 -0.05569319 -1.1799596 -1.17995959 -1.17995959 -0.45825209
100130522 1.60653925 -0.1067031 0.54746930 -0.03227164 1.95583670
100130550 1.47758444 0.5018743 -1.17995959 1.03626438 -1.17995959
100130564 3.36960040 3.5721560 2.65701343 2.60283129 3.50188561
100130581 2.03095087 1.5251088 2.17695695 2.15873446 2.24455820
100130691 0.28985351 1.1023680 2.09320465 2.46943301 1.59449951
100130705 1.47758444 2.8608002 1.31131454 1.87202366 2.05863244
100130748 1.33596144 1.3974811 0.27080491 1.37151746 1.11128922
100130750 -1.17995959 -1.1799596 -0.07181269 -1.17995959 -1.17995959
100130855 1.83429577 1.1023680 2.40247777 1.37151746 2.24455820
100130958 1.93597151 0.5018743 1.69901518 1.51383609 3.82716279
100131017 -1.17995959 -1.1799596 -1.17995959 -1.17995959 -1.17995959
100131031 2.62522697 2.3423080 2.17695695 2.78231410 1.11128922
100131033 2.12006166 2.2712645 2.17695695 0.83402553 3.08124895
100131067 1.83429577 2.4746896 2.17695695 2.24290356 2.92675035
100131089 2.12006166 2.2712645 2.09320465 2.24290356 0.66664639
100131094 0.28985351 0.9285758 0.54746930 1.21360734 1.29094919
100131138 1.47758444 1.7507902 2.71420134 2.53767343 0.37948236
100131187 1.47758444 0.7309434 2.00428902 1.37151746 1.45069323
100131193 3.08971351 2.9544802 2.47044399 -1.17995959 0.02058583
100131211 4.13969164 4.4193474 4.13166970 4.20278068 4.77466655
100131213 -0.05569319 0.7309434 0.77951919 1.21360734 0.90603046
100131471 2.12006166 2.1965405 1.45244497 2.15873446 2.48502251
100131656 3.66441642 3.7128500 1.90953136 2.78231410 3.85599429
100131685 2.68486316 2.0343723 1.80810965 0.83402553 0.66664639
100131691 2.68486316 2.7606121 2.71420134 3.29724787 4.25278695
100131740 0.80180789 0.7309434 0.54746930 -0.03227164 1.45069323
100131801 3.40549461 3.4488034 3.90482943 3.33608945 4.69711741
100131827 -0.51097514 -1.1799596 -1.17995959 -1.17995959 0.02058583
100131828 -0.05569319 0.5018743 -0.52200603 -1.17995959 -0.45825209
100131940 -1.17995959 0.5018743 -0.07181269 1.37151746 1.45069323
100132074 -1.17995959 -0.1067031 -1.17995959 -0.49487818 0.37948236
100132086 -0.51097514 0.9285758 1.45244497 -0.03227164 1.45069323
100132116 8.32279809 8.7026340 7.45028763 7.28071821 5.55013007
100132126 0.56842154 -0.1067031 -0.07181269 0.83402553 0.02058583
100132215 1.72490730 1.3974811 2.09320465 0.83402553 -0.45825209
100132537 2.28329758 2.1177338 1.80810965 2.39780381 2.24455820
100132609 -0.05569319 0.5018743 2.40247777 1.37151746 1.72526173
100132659 -0.05569319 -0.5457485 1.45244497 0.83402553 1.11128922
100132891 -1.17995959 -1.1799596 -0.07181269 -1.17995959 -1.17995959
100132972 1.00264378 0.7309434 0.77951919 1.64336731 0.02058583
100133234 -0.51097514 1.7507902 1.15486614 0.59874137 1.45069323
100133286 0.56842154 0.5018743 0.54746930 -0.49487818 0.66664639
100133315 1.17890742 0.2294402 1.15486614 0.31746277 1.45069323
100134934 1.00264378 1.7507902 2.53535182 2.32243162 -0.45825209
10014 6.64252956 6.2475421 6.60897494 6.43101847 6.80225536
100144603 1.00264378 1.2574574 1.69901518 2.46943301 1.59449951
100144748 1.33596144 1.2574574 2.53535182 1.37151746 6.22751643
10015 7.47381070 7.5229849 7.55378290 7.72126114 8.33430926
10016 5.17448570 5.3450859 5.36623822 4.96767602 6.40871120
100170229 0.80180789 0.9285758 0.27080491 0.83402553 0.02058583
100170841 5.42236659 4.4356840 5.31169800 4.53874123 4.47350422
10018 3.63448083 3.7128500 3.47935998 3.70592013 6.43283383
100188847 1.72490730 1.3974811 1.58099133 1.51383609 2.15458837
10019 4.71256216 4.3691973 4.50014899 4.00002818 4.91827892
100190938 2.85026942 2.8115756 3.88005326 3.87371713 0.66664639
1002 1.47758444 2.0343723 0.27080491 -1.17995959 0.02058583
10020 4.37513142 3.3488337 4.29051924 4.36181706 2.75369988
10021 8.24692502 8.0098792 7.43548479 7.57873206 8.00324067
10023 2.20398709 1.3974811 1.15486614 2.60283129 2.62560675
10024 4.22251481 4.2815338 2.33115063 1.64336731 2.40923535
10026 5.69312533 5.9562981 6.09880625 6.50957675 5.35185403
100268168 1.47758444 0.2294402 0.27080491 1.21360734 0.66664639
100270804 0.56842154 2.1965405 1.58099133 1.64336731 1.11128922
100270827 -0.05569319 0.5018743 -0.52200603 -1.17995959 0.66664639
100270840 2.99864730 3.2037583 3.44598639 3.08561092 3.26445880
100270854 2.12006166 2.0343723 2.53535182 2.39780381 2.62560675
100270865 2.85026942 3.0424463 3.90482943 3.08561092 3.38805092
100271271 3.04489882 2.8608002 2.97039241 3.29724787 3.53791836
100271332 2.95086374 1.8516393 2.53535182 2.89065389 2.48502251
100271415 1.47758444 1.8516393 2.09320465 1.87202366 2.62560675
100271479 -0.51097514 0.5018743 -0.52200603 0.31746277 0.02058583
100271884 -0.05569319 0.5018743 1.15486614 -0.03227164 1.84515070
100272147 2.90144316 3.5422925 3.54387672 2.94191811 3.79774334
100286844 2.90144316 2.1177338 2.59746470 1.87202366 2.32924514
100287015 -1.17995959 0.5018743 -0.07181269 -0.03227164 0.66664639
100287049 0.56842154 1.5251088 1.31131454 1.03626438 1.59449951
100287074 1.83429577 2.1965405 2.33115063 1.76222079 2.55702637
100287616 2.42992699 2.3423080 2.82219518 2.94191811 2.48502251
100287722 2.20398709 1.9458970 1.90953136 2.06934890 1.72526173
100287808 0.56842154 -0.1067031 -0.07181269 -0.49487818 1.11128922
100287837 1.33596144 -0.1067031 -0.52200603 -1.17995959 0.02058583
100287896 3.50811114 2.6529437 3.18787679 2.66517309 1.95583670
100287902 -0.05569319 -0.1067031 -1.17995959 0.31746277 1.59449951
100287928 3.36960040 3.3829325 3.44598639 2.94191811 4.01783895
100287932 5.62625143 5.6270069 5.72039756 5.59870757 5.86579797
100288001 1.00264378 1.3974811 2.00428902 2.06934890 1.45069323
100288073 5.96977587 3.8892802 7.44818222 7.31028038 2.62560675
100288123 0.28985351 0.7309434 1.15486614 1.64336731 2.40923535
100288198 3.50811114 2.8608002 3.37682984 3.51600645 4.11645487
100288241 1.83429577 1.3974811 0.27080491 -0.49487818 1.29094919
100288413 4.26220902 4.3172409 5.29304990 5.77160637 6.48913385
100288513 -1.17995959 -0.5457485 -1.17995959 -0.49487818 0.02058583
100288842 0.56842154 -0.1067031 0.97936518 0.83402553 1.11128922
100289061 1.47758444 1.2574574 1.31131454 1.03626438 1.29094919
100289095 1.33596144 0.9285758 1.90953136 -0.03227164 -1.17995959
100289133 -0.05569319 1.2574574 0.77951919 0.83402553 1.59449951
100289178 1.83429577 2.5365873 1.69901518 1.51383609 1.72526173
100289211 1.47758444 1.5251088 1.15486614 1.37151746 -0.45825209
100289259 1.00264378 -0.5457485 1.31131454 0.83402553 1.29094919
100289274 4.72681885 3.2414176 5.03700053 4.69631932 3.76771146
100289341 1.00264378 1.3974811 2.33115063 1.64336731 3.67367217
100289373 -1.17995959 -0.1067031 -1.17995959 -1.17995959 0.37948236
100289388 2.42992699 2.5959382 1.90953136 2.06934890 3.76771146
100289414 0.28985351 0.9285758 0.77951919 -0.03227164 1.11128922
100289635 5.73604562 5.5982686 5.58897394 5.61459248 5.01092646
100289640 1.60653925 1.7507902 1.90953136 1.76222079 1.72526173
100289678 1.93597151 2.1965405 2.65701343 2.24290356 1.84515070
100293516 4.65408334 3.7128500 3.82918671 4.22364573 3.88426088
100294362 0.56842154 1.8516393 1.45244497 1.51383609 1.72526173
1003 -1.17995959 -1.1799596 -1.17995959 -0.03227164 -1.17995959
100302692 1.72490730 2.4100167 1.80810965 1.37151746 1.84515070
100302736 1.83429577 0.9285758 2.59746470 2.60283129 1.11128922
100303728 3.29501637 3.2414176 3.01659132 2.60283129 4.23094092
100303755 1.00264378 0.7309434 1.69901518 1.21360734 0.37948236
100312828 -0.51097514 0.5018743 -0.52200603 -1.17995959 0.37948236
100312850 0.28985351 -1.1799596 -1.17995959 -1.17995959 0.37948236
10036 5.13226623 5.0162468 3.74935740 3.44670824 4.14009043
100379345 2.12006166 2.0343723 2.17695695 2.24290356 1.72526173
10038 5.43109990 5.4533525 5.81493226 5.24783058 4.18623070
100381270 1.00264378 0.2294402 -0.07181269 -0.49487818 0.66664639
10039 5.85114596 6.0494743 6.13066326 6.16587018 5.37195592
1004 5.49079613 5.5540585 5.93405970 6.85873259 4.63192961
10040 4.00579604 3.5422925 4.53230648 3.97563521 2.87134160
100418710 1.47758444 0.9285758 0.54746930 1.76222079 2.40923535
100418735 3.40549461 4.0250329 2.87330452 3.44670824 3.30684355
100418744 0.56842154 -0.5457485 0.27080491 -0.03227164 1.84515070
100418770 1.00264378 0.9285758 0.97936518 1.76222079 -1.17995959
100418781 -0.05569319 0.5018743 -0.52200603 0.59874137 1.29094919
100418819 1.33596144 1.3974811 -0.52200603 2.15873446 1.45069323
100418829 1.72490730 2.5365873 2.59746470 2.72493219 2.24455820
100418888 0.56842154 1.1023680 0.97936518 1.76222079 1.59449951
100418889 2.35847434 2.6529437 3.18787679 2.46943301 2.98010951
100418910 1.00264378 0.9285758 -1.17995959 -0.49487818 0.02058583
100418919 2.42992699 2.1177338 1.69901518 1.37151746 2.48502251
100419028 -0.05569319 0.5018743 1.15486614 2.06934890 1.84515070
100419185 0.80180789 -1.1799596 0.54746930 0.83402553 -0.45825209
100419416 -0.51097514 -0.5457485 0.97936518 -0.49487818 2.15458837
100419515 -1.17995959 0.5018743 0.77951919 0.59874137 0.66664639
100419645 0.56842154 0.5018743 0.27080491 0.31746277 0.90603046
100419758 -0.05569319 -1.1799596 -1.17995959 -1.17995959 1.95583670
100419928 1.00264378 1.3974811 1.15486614 1.51383609 1.95583670
10042 5.79135586 5.5007071 5.37513112 5.07490455 5.44967446
100420028 -1.17995959 0.5018743 -0.07181269 -1.17995959 0.66664639
100420050 -0.51097514 0.2294402 -0.52200603 -0.49487818 0.37948236
100420110 2.90144316 2.7606121 3.34096733 3.25733155 3.17576018
100420187 1.60653925 2.5365873 1.80810965 0.59874137 2.55702637
100420259 3.90908884 3.9587527 3.10477457 3.41076954 3.57307304
100420307 -0.05569319 -0.5457485 -0.07181269 -1.17995959 1.11128922
100420341 5.17448570 5.1108414 6.55129492 6.42652612 4.77466655
100420423 1.17890742 -0.1067031 1.15486614 1.03626438 1.11128922
100420591 1.72490730 1.5251088 0.27080491 2.06934890 1.45069323
100420707 3.25622675 2.5365873 2.59746470 2.99142307 2.81371951
100420752 1.17890742 0.9285758 2.47044399 1.97405731 0.66664639
100420869 4.02899284 4.2262594 4.21327966 3.73527685 4.20875900
100420981 5.91479662 6.1519046 6.07171062 6.31428679 6.30274644
100421093 3.93388013 3.4488034 3.54387672 3.17402467 3.85599429
100421109 -0.05569319 1.2574574 0.54746930 -1.17995959 1.45069323
100421160 0.80180789 0.7309434 -0.07181269 0.59874137 -1.17995959
100421175 0.28985351 1.7507902 1.15486614 0.83402553 2.05863244
100421246 0.80180789 1.2574574 1.58099133 0.83402553 2.75369988
100421311 0.56842154 1.1023680 2.00428902 3.08561092 1.95583670
100421372 2.56301893 0.9285758 1.45244497 1.03626438 -0.45825209
100421400 2.74213173 1.8516393 1.31131454 0.83402553 1.84515070
100421415 1.00264378 0.2294402 0.54746930 0.59874137 -1.17995959
100421429 -0.51097514 0.2294402 1.45244497 0.59874137 1.45069323
100421465 2.28329758 2.3423080 0.77951919 1.76222079 2.75369988
100421468 0.56842154 1.3974811 1.15486614 0.31746277 0.90603046
100421506 0.28985351 -0.1067031 -0.07181269 -1.17995959 0.66664639
100421569 0.80180789 1.5251088 0.97936518 -1.17995959 1.11128922
100421595 1.17890742 0.5018743 0.77951919 1.51383609 0.90603046
100421794 3.60391091 3.3488337 3.51197897 2.89065389 4.23094092
100422106 1.47758444 1.7507902 1.90953136 1.37151746 2.87134160
100422338 1.72490730 1.5251088 1.45244497 1.87202366 2.32924514
100422546 -0.05569319 -0.5457485 -0.07181269 0.83402553 1.29094919
100422561 3.21636530 4.1491032 4.63952766 3.73527685 3.53791836
10043 5.92719658 5.8627400 6.06072825 5.42041793 6.12464377
10044 2.03095087 1.5251088 1.58099133 -0.03227164 1.95583670
10045 0.80180789 -1.1799596 1.80810965 1.87202366 1.95583670
10046 2.03095087 1.3974811 1.45244497 1.03626438 1.59449951
10048 6.63876464 6.6970831 6.57464438 6.68155554 7.24249603
10049 5.47399062 5.8135827 5.61172620 5.66122401 5.12191930
100499177 2.95086374 2.9544802 3.47935998 3.25733155 1.72526173
100499483 1.33596144 0.7309434 1.45244497 -0.03227164 0.02058583
1005 -1.17995959 -0.1067031 1.58099133 0.59874137 1.11128922
100500719 1.17890742 -0.1067031 1.31131454 0.59874137 2.15458837
100505385 2.79721352 2.1965405 2.00428902 0.83402553 3.38805092
100505501 2.20398709 1.2574574 2.33115063 2.06934890 2.05863244
100505538 0.80180789 1.1023680 1.90953136 1.64336731 2.75369988
100505549 -1.17995959 -0.1067031 -1.17995959 0.59874137 -1.17995959
100505573 5.57200695 5.2466687 5.79518979 5.48232848 7.04381005
100505576 4.37513142 4.5451366 4.60969745 4.13831145 3.34801854
100505616 0.80180789 -0.5457485 -0.52200603 -1.17995959 -0.45825209
100505624 1.93597151 1.8516393 2.09320465 1.64336731 2.15458837
100505635 -0.05569319 -1.1799596 0.97936518 0.59874137 -1.17995959
100505641 2.28329758 1.8516393 2.65701343 0.59874137 1.59449951
100505648 3.66441642 3.4162439 4.21327966 3.92557598 3.53791836
100505678 2.56301893 2.6529437 2.25611282 2.53767343 1.11128922
100505696 4.72681885 4.3520856 4.43360034 3.92557598 4.35731441
100505715 -0.05569319 -0.1067031 -0.07181269 -0.49487818 -1.17995959
100505738 1.83429577 2.6529437 2.00428902 2.39780381 2.32924514
100505741 0.56842154 1.8516393 1.31131454 1.03626438 2.32924514
100505758 3.17537113 3.6300902 3.54387672 3.44670824 3.30684355
100505761 2.20398709 2.9084004 3.41182246 2.78231410 2.24455820
100505771 2.74213173 3.3139095 3.14692395 2.39780381 4.01783895
100505783 -0.05569319 -1.1799596 -1.17995959 -1.17995959 0.02058583
100505806 2.90144316 3.3139095 2.87330452 3.37391266 1.95583670
100505812 1.00264378 0.5018743 -1.17995959 -0.49487818 0.02058583
100505832 1.33596144 0.2294402 0.77951919 0.59874137 1.45069323
100505854 1.00264378 1.2574574 1.58099133 -0.03227164 2.69107448
100505876 5.81156247 5.7496829 5.70637235 6.05382310 7.37040413
100505894 3.83205156 3.3829325 2.82219518 2.72493219 2.62560675
100505933 1.00264378 -0.5457485 0.77951919 1.03626438 -1.17995959
100505994 0.28985351 -0.5457485 1.31131454 2.24290356 2.87134160
100506020 -0.05569319 -0.1067031 0.54746930 -0.03227164 0.90603046
100506033 5.57200695 5.3708013 4.80661134 4.81105536 5.19143760
100506054 1.17890742 0.9285758 0.77951919 1.03626438 0.37948236
100506068 -1.17995959 -0.5457485 0.54746930 -1.17995959 1.45069323
100506070 1.93597151 0.7309434 1.15486614 0.31746277 1.29094919
100506083 -0.51097514 -0.5457485 1.69901518 -0.03227164 0.37948236
100506100 -0.05569319 -0.1067031 -0.52200603 -0.49487818 0.02058583
100506119 -1.17995959 -1.1799596 -1.17995959 -1.17995959 4.06798936
100506127 2.03095087 2.9084004 2.40247777 2.39780381 1.45069323
100506142 -0.51097514 0.5018743 0.77951919 0.59874137 0.90603046
100506144 -0.05569319 -0.5457485 0.27080491 0.83402553 1.11128922
100506161 -0.05569319 0.5018743 1.15486614 0.59874137 0.02058583
100506211 5.36882653 5.3792723 5.84724762 5.79966907 4.75948662
100506235 1.47758444 1.9458970 1.31131454 1.64336731 2.40923535
100506258 -1.17995959 -0.5457485 0.77951919 0.31746277 0.37948236
100506282 2.79721352 2.4100167 2.25611282 2.06934890 2.87134160
100506286 -1.17995959 0.9285758 1.15486614 -0.03227164 1.29094919
100506302 1.00264378 2.1177338 2.17695695 1.87202366 1.95583670
100506321 0.28985351 1.2574574 -0.52200603 0.59874137 1.29094919
100506325 -0.05569319 0.9285758 1.45244497 0.83402553 0.02058583
100506343 -0.51097514 -0.5457485 0.97936518 -0.03227164 2.05863244
100506365 5.54006907 5.3537087 5.28363468 5.24783058 4.66489167
100506368 -1.17995959 0.9285758 0.54746930 -1.17995959 0.66664639
100506380 2.12006166 2.0343723 2.25611282 1.87202366 1.95583670
100506392 4.37513142 4.4836125 4.46725835 4.41720897 3.82716279
100506394 1.00264378 1.1023680 1.31131454 1.51383609 2.15458837
100506411 2.12006166 2.1177338 0.27080491 1.03626438 1.11128922
100506433 2.90144316 2.6529437 2.76920852 2.53767343 1.45069323
100506462 0.28985351 0.7309434 0.97936518 0.31746277 1.45069323
100506469 3.47471010 3.6582076 3.60563138 3.33608945 2.87134160
100506495 1.47758444 0.9285758 0.54746930 0.59874137 1.29094919
100506504 1.60653925 1.5251088 2.00428902 1.87202366 1.84515070
100506540 1.17890742 1.9458970 1.58099133 1.64336731 1.11128922
100506581 2.49800717 2.9084004 3.60563138 2.89065389 3.08124895
100506606 1.17890742 0.7309434 -0.52200603 1.21360734 1.11128922
100506658 1.00264378 -0.5457485 2.00428902 1.76222079 1.45069323
100506668 2.99864730 2.3423080 3.63554491 2.99142307 1.72526173
100506686 1.83429577 1.2574574 2.71420134 2.78231410 1.45069323
100506691 -1.17995959 -0.5457485 -1.17995959 -0.03227164 -1.17995959
100506696 1.00264378 -0.1067031 0.27080491 1.21360734 1.45069323
100506697 1.60653925 -1.1799596 0.54746930 -1.17995959 1.29094919
100506710 5.19514097 4.8555409 5.34828627 5.32709482 5.16863502
100506713 0.28985351 0.2294402 0.27080491 -1.17995959 -0.45825209
100506725 4.09642597 2.9084004 3.54387672 3.08561092 1.72526173
100506731 2.42992699 2.1177338 2.09320465 1.64336731 4.18623070
100506757 1.00264378 1.3974811 2.47044399 2.06934890 1.59449951
100506779 -0.05569319 0.9285758 -0.52200603 -0.03227164 0.90603046
100506804 -1.17995959 -0.1067031 -0.52200603 -0.03227164 1.11128922
100506826 1.47758444 2.5365873 1.45244497 1.21360734 1.72526173
100506844 3.25622675 3.0424463 4.25241630 3.70592013 3.34801854
100506866 6.69423201 6.8297083 6.53947693 6.51381816 5.09798165
100506881 2.03095087 2.0343723 2.65701343 2.46943301 3.46492980
100506885 1.33596144 1.2574574 0.54746930 -0.03227164 2.87134160
100506911 -0.51097514 0.9285758 0.27080491 -1.17995959 -1.17995959
100506922 0.28985351 0.2294402 -0.52200603 0.31746277 1.95583670
100506930 3.83205156 4.1089204 4.50014899 4.22364573 3.34801854
100506994 0.28985351 1.3974811 0.54746930 -0.03227164 1.29094919
100507003 -0.51097514 -1.1799596 -0.07181269 -1.17995959 -1.17995959
100507032 -1.17995959 -1.1799596 -1.17995959 -1.17995959 -1.17995959
100507034 2.95086374 2.7606121 3.22769914 3.21627933 5.30033864
100507050 0.28985351 -0.5457485 0.77951919 1.03626438 3.53791836
100507053 -1.17995959 -1.1799596 0.54746930 -0.03227164 1.45069323
100507057 1.00264378 -1.1799596 -0.07181269 -0.03227164 2.92675035
100507062 1.83429577 0.7309434 -0.07181269 0.83402553 0.90603046
100507071 0.56842154 1.3974811 0.27080491 -0.03227164 -1.17995959
100507156 2.68486316 2.5365873 2.87330452 2.83750073 1.59449951
100507171 3.29501637 2.0343723 3.14692395 3.13049498 0.02058583
100507173 -1.17995959 -0.1067031 -1.17995959 -0.03227164 -1.17995959
100507178 0.28985351 -1.1799596 0.27080491 1.21360734 0.66664639
100507244 1.00264378 1.3974811 1.58099133 0.59874137 1.72526173
100507246 4.24249843 3.4488034 4.27159356 3.84707150 3.57307304
100507250 0.80180789 1.2574574 1.45244497 0.59874137 0.37948236
100507254 2.03095087 2.1965405 -0.07181269 -1.17995959 -1.17995959
100507266 0.56842154 1.3974811 2.00428902 -0.49487818 -1.17995959
100507290 5.32264010 4.9381304 5.12398166 4.58784769 4.63192961
100507291 -0.05569319 0.2294402 -0.52200603 -1.17995959 -0.45825209
100507303 2.28329758 2.5959382 3.18787679 2.53767343 2.32924514
100507308 1.33596144 1.1023680 -0.07181269 1.64336731 0.37948236
100507316 0.56842154 1.3974811 -0.07181269 -1.17995959 1.45069323
100507331 1.83429577 2.3423080 2.47044399 2.78231410 2.40923535
100507347 1.93597151 2.0343723 2.25611282 2.39780381 3.99209448
100507373 2.68486316 2.1177338 2.53535182 2.53767343 1.84515070
100507392 -1.17995959 -0.5457485 0.97936518 -0.03227164 1.11128922
100507398 0.56842154 1.1023680 0.97936518 0.83402553 3.26445880
100507401 0.80180789 0.5018743 -0.07181269 0.59874137 -0.45825209
100507420 -1.17995959 -0.1067031 -1.17995959 -1.17995959 1.45069323
100507433 3.75066743 3.3488337 3.14692395 3.64535143 2.98010951
100507436 0.28985351 -0.1067031 1.15486614 -1.17995959 0.37948236
100507437 1.17890742 1.5251088 1.80810965 1.21360734 2.32924514
100507459 1.33596144 0.5018743 2.09320465 2.24290356 2.05863244
100507463 -1.17995959 0.5018743 0.27080491 -0.49487818 1.72526173
100507487 0.80180789 0.5018743 1.58099133 2.60283129 3.88426088
100507495 4.44578360 4.6041439 4.43360034 4.89149001 3.96588225
100507516 0.56842154 -0.1067031 0.54746930 -0.03227164 1.45069323
100507551 0.56842154 -0.1067031 0.77951919 -1.17995959 1.29094919
100507557 1.47758444 1.1023680 2.25611282 2.15873446 0.90603046
100507564 1.60653925 0.9285758 1.80810965 1.76222079 0.37948236
100507567 0.28985351 -0.1067031 -0.52200603 0.31746277 0.90603046
100507588 -1.17995959 0.5018743 1.69901518 -0.03227164 2.24455820
100507599 0.56842154 1.5251088 0.54746930 1.03626438 0.66664639
100507602 3.98222016 3.5721560 4.66875355 4.65082633 3.99209448
100508120 1.00264378 1.7507902 2.00428902 1.87202366 0.02058583
10051 7.28439075 7.2617885 5.88509419 5.52497821 6.19403402
10052 1.93597151 2.4746896 1.45244497 0.59874137 1.11128922
100526737 2.12006166 2.1965405 2.17695695 2.66517309 2.98010951
100526760 1.60653925 -0.1067031 2.00428902 1.64336731 1.11128922
100526820 -0.05569319 0.9285758 0.54746930 1.21360734 2.05863244
100526835 5.11068395 4.8796243 4.48379740 4.66615061 3.57307304
100527978 -0.51097514 -0.1067031 -0.52200603 0.59874137 -1.17995959
100529145 1.72490730 1.8516393 2.25611282 1.51383609 0.02058583
100529215 -0.51097514 -1.1799596 -0.07181269 0.31746277 -0.45825209
100532746 3.50811114 3.6857875 4.25241630 3.58212801 4.01783895
100533106 0.56842154 0.9285758 0.97936518 0.59874137 0.37948236
100533182 -0.05569319 -0.1067031 -0.07181269 -0.03227164 0.02058583
100533619 -0.05569319 0.5018743 0.54746930 -0.03227164 0.02058583
100533629 -1.17995959 0.5018743 1.15486614 -1.17995959 0.66664639
100533695 -0.51097514 -0.1067031 -0.52200603 -0.49487818 0.37948236
100533970 1.33596144 1.6423579 0.27080491 0.83402553 2.32924514
100534593 0.28985351 0.5018743 0.97936518 1.21360734 2.40923535
10054 6.35652389 6.0441568 6.25149069 6.33840096 6.17127277
10056 5.91479662 5.9219209 6.15668373 6.12208997 5.39178158
10057 7.38445726 7.4034901 7.48766898 7.23520717 7.55536601
10058 6.31466259 6.2930838 7.82925367 7.25307690 8.09377621
10059 7.26008990 7.3354670 6.73521852 6.58810559 6.65006317
1006 3.54075635 3.5721560 2.87330452 3.48177339 4.35731441
10060 3.21636530 3.2037583 3.66485078 3.51600645 2.81371951
100616256 0.28985351 0.5018743 0.54746930 0.59874137 0.37948236
10062 1.47758444 0.7309434 0.54746930 1.87202366 1.29094919
10063 4.46291895 4.5299998 4.72548697 4.83836823 4.47350422
100652739 1.33596144 -0.1067031 1.45244497 -1.17995959 1.11128922
100652758 1.83429577 1.7507902 2.33115063 2.46943301 3.38805092
100652846 2.35847434 1.8516393 1.31131454 1.51383609 0.90603046
10066 6.60828632 6.4257656 6.90140469 6.88188791 6.43761033
10067 5.95168126 6.0861579 6.49529671 6.23942726 6.21087235
10068 3.50811114 3.4488034 3.85484416 3.73527685 3.64091241
10069 2.68486316 2.5365873 2.47044399 3.37391266 4.01783895
10072 4.26220902 4.2815338 3.26645175 3.64535143 3.82716279
10073 3.60391091 3.3829325 3.82918671 3.89987956 3.60739144
10075 8.61492711 8.5260290 8.52137445 8.45995309 8.47802326
10076 4.35691419 3.4806443 4.39913829 4.76909135 7.18684469
10077 0.80180789 1.2574574 0.77951919 0.31746277 0.02058583
100775107 1.72490730 1.1023680 0.97936518 1.37151746 1.59449951
10078 4.84916011 4.7286973 4.97984782 4.52199382 4.89067739
10079 3.60391091 3.9811862 4.57923741 5.04003979 4.06798936
1008 2.62522697 2.6529437 3.10477457 3.41076954 4.41657870
10081 5.32264010 5.1209790 5.47777786 5.18538691 5.96838274
10082 7.02072729 7.2033539 6.51554649 6.70028504 5.32116605
100820829 6.19157303 6.0861579 5.26461787 4.43521019 4.39709319
10084 4.90037253 5.1006320 4.99146093 4.53874123 4.71296431
100847074 1.83429577 1.9458970 2.25611282 1.64336731 1.59449951
10085 8.12842485 8.7252379 8.75648085 9.00229083 8.32273720
100852407 1.33596144 0.7309434 0.97936518 0.59874137 -1.17995959
100861412 -1.17995959 0.7309434 0.97936518 -1.17995959 -1.17995959
100861548 3.50811114 3.8410342 4.90813482 5.24783058 4.91827892
100862671 2.20398709 0.7309434 1.45244497 0.59874137 -1.17995959
10087 6.36566372 6.4660882 6.51151921 6.78694962 6.62933685
100873257 1.33596144 0.5018743 0.54746930 1.21360734 1.59449951
100873333 2.35847434 2.4100167 1.69901518 2.24290356 2.55702637
100873790 3.29501637 3.6014139 3.22769914 2.60283129 4.23094092
100873949 1.00264378 1.1023680 0.77951919 -1.17995959 0.37948236
100873952 0.28985351 -0.1067031 0.27080491 1.03626438 0.90603046
100873965 1.72490730 2.0343723 1.80810965 0.59874137 2.48502251
100874006 1.47758444 0.9285758 0.97936518 1.87202366 0.90603046
100874008 1.47758444 1.1023680 0.97936518 0.59874137 -1.17995959
100874014 2.49800717 2.1965405 3.18787679 2.15873446 4.54607097
100874058 1.60653925 1.1023680 2.00428902 2.39780381 1.84515070
100874080 1.60653925 1.3974811 1.31131454 1.64336731 0.02058583
100874097 1.93597151 1.6423579 1.31131454 2.39780381 2.75369988
100874201 0.80180789 0.2294402 -0.52200603 0.59874137 -0.45825209
100874212 -0.05569319 0.9285758 -0.07181269 0.59874137 0.66664639
100874217 0.56842154 1.1023680 -0.07181269 1.51383609 -1.17995959
100874235 -0.51097514 0.7309434 -0.52200603 -0.03227164 -1.17995959
100874261 1.72490730 -0.5457485 0.54746930 0.83402553 -0.45825209
100874291 0.28985351 0.5018743 0.54746930 -0.03227164 1.84515070
100874362 -0.05569319 0.2294402 2.00428902 2.66517309 2.69107448
100874523 1.72490730 1.5251088 0.54746930 0.83402553 2.48502251
100885775 2.12006166 1.9458970 1.15486614 0.59874137 2.40923535
100885776 1.33596144 0.2294402 2.53535182 1.64336731 0.66664639
100885848 5.85114596 5.7691517 5.10272306 5.20650320 4.33700602
1009 9.15654458 9.3552288 8.35716224 9.26007750 7.55096446
10090 3.13317795 3.2037583 4.83266981 3.64535143 4.54607097
10092 7.25271911 7.2845153 7.01386466 6.89820280 6.48452519
10093 6.60828632 6.8961465 6.89523576 6.91433525 7.18115964
10094 3.72248618 3.5117977 3.82918671 4.00002818 3.96588225
10095 4.37513142 4.7807805 4.90813482 5.41135263 5.20270514
10097 7.68569080 7.7971855 7.97090903 7.95444791 8.11927041
10098 5.44840950 5.6481910 5.85997378 5.91960459 6.13644307
10099 7.74467972 8.0907637 8.46417918 8.38436928 8.41644834
100996246 1.60653925 1.6423579 2.97039241 1.97405731 1.95583670
100996251 1.83429577 -0.5457485 0.27080491 2.24290356 1.29094919
100996307 1.83429577 1.9458970 2.17695695 1.51383609 1.95583670
100996384 2.20398709 2.4746896 1.80810965 1.76222079 1.59449951
100996419 1.00264378 2.1965405 1.31131454 1.03626438 0.02058583
100996485 1.93597151 1.9458970 0.54746930 1.51383609 2.81371951
100996539 1.17890742 0.5018743 0.27080491 -1.17995959 1.84515070
100996579 -0.05569319 -0.1067031 0.97936518 0.83402553 1.72526173
100996696 3.83205156 3.6300902 3.26645175 3.25733155 2.98010951
100996842 2.20398709 1.8516393 1.69901518 2.53767343 2.24455820
100996851 0.56842154 -0.5457485 -1.17995959 0.31746277 0.66664639
100996939 1.00264378 0.2294402 1.45244497 0.83402553 1.29094919
101 1.47758444 2.2712645 1.90953136 1.21360734 3.60739144
1010 3.04489882 3.4488034 3.10477457 2.94191811 1.29094919
10100 5.68584615 5.7691517 5.04816431 4.66615061 4.23094092
10101 5.16404610 5.2280304 5.98722964 5.09768826 5.92821986
10102 4.57748515 4.6468677 5.09197512 4.78321541 4.77466655
10103 -1.17995959 -1.1799596 -0.52200603 1.03626438 1.45069323
10105 6.91574573 7.1449384 6.83849527 6.56376567 7.66533232
10106 7.11316844 7.0258988 7.71481832 7.77348977 7.39025097
101060200 3.13317795 3.5422925 3.14692395 2.39780381 4.09242562
101060691 2.79721352 2.5365873 2.82219518 1.64336731 1.29094919
10109 8.02694087 8.2505072 8.19712397 8.08702887 8.84277089
10112 6.25688835 5.8383707 3.47935998 1.03626438 3.50188561
10113 6.27155026 6.3800689 7.50802536 6.35267834 6.35922112
10114 8.27023051 8.1389505 7.87385708 8.04807940 8.71581039
101154753 -0.51097514 0.2294402 -0.07181269 0.59874137 -0.45825209
10116 8.21441066 8.0660529 7.77317033 8.10962340 7.68555147
10117 -0.05569319 -0.1067031 -0.07181269 -0.03227164 -1.17995959
1012 6.62741059 6.9931592 7.60759734 7.82560053 6.87096113
10121 6.05699363 5.6270069 5.74804543 5.98216476 6.15975604
10123 5.82487801 5.5084506 5.25501463 6.67399513 8.00645903
101241892 5.04392956 5.5836819 4.65421461 5.30768328 4.81927091
10125 1.00264378 2.1177338 1.15486614 0.59874137 1.45069323
10126 3.75066743 3.1650895 3.95314070 3.17402467 3.70570454
NUTL_24_C2 DMSO_24_C2 LPS_24_C2 TNFa_24_C2 H2O_24_C2
100 3.49222261 2.90755888 2.3969061 2.88436556 2.60654978
1000 11.11111337 11.02624335 10.9341646 10.91311787 10.99926203
10000 6.45593620 6.29733277 6.3186522 6.09304732 6.24178249
10001 4.92197396 4.34482131 4.4852179 4.42865975 4.50975586
10003 4.24296445 3.67068949 3.7772731 3.40436050 3.70303737
100037417 -1.17995959 -1.17995959 -1.1799596 -1.17995959 -1.17995959
100049716 2.86189404 2.63126184 2.5233765 2.46327989 2.34009128
10005 3.72731899 3.70002106 3.8271730 4.37397318 3.98622646
10006 6.22302516 6.74006608 6.4518561 6.51981300 6.79920329
10007 5.06371626 4.76130923 4.8292639 5.00972378 5.06891043
10009 4.53620551 4.66046847 5.2870382 4.37397318 4.90548082
100093630 6.01661764 6.07469038 5.8485451 6.09867949 5.86969689
1001 6.24483904 5.64027796 5.7613953 5.31080870 5.72311718
10010 5.35199218 5.42001175 5.2417605 5.94458438 5.05783137
100101267 2.74430401 2.36441497 2.5233765 1.75640544 1.81667579
100101467 4.28568164 3.98853786 3.6990299 4.08715979 4.28116773
10011 6.18967316 5.55455770 5.7485042 5.90655864 5.60630622
100113386 0.01491387 -0.05217198 0.4920440 -1.17995959 -0.51841030
100113397 1.58591750 1.00771355 0.4920440 1.20819520 0.98697503
100113407 3.56339112 4.14602807 3.6990299 3.63890065 4.20286760
100125288 2.86189404 2.50399927 1.3855836 2.65895222 2.60654978
100127983 1.58591750 3.13935052 2.0216164 2.98510783 3.02585600
100128006 3.49222261 2.28920835 2.9856231 2.15270965 2.54440556
100128016 0.65939339 0.80666409 1.0910161 -1.17995959 -0.51841030
100128025 0.89834924 0.57298912 0.2205380 1.03101893 0.98697503
100128054 1.10329327 1.00771355 0.2205380 0.59400634 2.41145975
100128071 0.89834924 1.73054007 0.2205380 1.03101893 0.27702581
100128191 0.65939339 1.18414161 0.9176014 1.36597318 0.55431494
100128252 1.58591750 2.36441497 2.1048910 1.86614444 2.10199163
100128379 -1.17995959 1.00771355 0.9176014 -1.17995959 0.98697503
100128398 5.08805559 4.69000646 4.4537954 4.04110233 4.78971399
100128494 3.29723745 2.69091682 2.6396482 2.31633577 3.07063756
100128569 1.44226565 2.36441497 1.8390923 2.23684122 0.98697503
100128640 -1.17995959 -1.17995959 -0.1141915 -1.17995959 -0.06655198
100128682 0.01491387 -0.05217198 -1.1799596 -0.03593674 0.27702581
100128731 6.55530002 6.20316340 6.5064763 6.57338156 6.27564799
100128766 2.04964507 2.95699236 2.9856231 2.77605687 2.83138302
100128782 1.28271217 0.80666409 0.2205380 1.63762680 1.31937427
100128822 -1.17995959 -1.17995959 -1.1799596 -1.17995959 -1.17995959
100128833 1.58591750 2.63126184 1.3855836 1.96812293 2.10199163
100128881 1.58591750 2.56903336 2.4615267 2.46327989 2.10199163
100128893 5.91143336 6.11335789 5.9250114 5.75787181 6.39049285
100129001 1.28271217 1.18414161 0.4920440 1.50818448 0.98697503
100129013 1.44226565 0.80666409 0.2205380 1.36597318 0.98697503
100129029 0.65939339 -0.50856034 -0.1141915 0.59400634 -0.06655198
100129060 3.81742046 3.72876815 3.5285331 3.99352588 3.23703634
100129075 1.83633371 2.20986462 1.7383703 2.71869241 2.26500771
100129195 3.11973118 2.74820272 2.8473694 3.07927218 2.88251357
100129203 1.58591750 0.57298912 -0.1141915 0.59400634 -0.06655198
100129250 -0.46220201 2.43589460 2.1836201 2.53149564 2.26500771
100129259 1.71655206 1.34132613 1.6300850 1.75640544 0.55431494
100129361 5.94513465 5.48042503 5.4709321 5.50992598 5.45406556
100129398 1.28271217 1.48305520 1.6300850 0.59400634 1.46066672
100129434 -1.17995959 -0.05217198 -1.1799596 -1.17995959 -0.51841030
100129461 1.83633371 0.57298912 1.5130077 0.59400634 1.46066672
100129484 2.04964507 1.34132613 0.9176014 1.50818448 0.78680375
100129550 5.14716586 4.64546954 4.4537954 4.31713171 4.33722436
100129583 -0.46220201 -1.17995959 -0.1141915 1.03101893 -1.17995959
100129662 0.89834924 -1.17995959 0.4920440 0.59400634 0.78680375
100129707 -1.17995959 0.29400943 -0.5508202 1.20819520 0.98697503
100129716 1.71655206 1.61209794 1.3855836 1.75640544 2.01301176
100129726 -1.17995959 2.03674921 1.2458049 1.75640544 -0.06655198
100129774 3.37842019 3.81172448 3.8754045 3.72881179 3.58452013
100129781 1.10329327 1.00771355 -0.1141915 1.36597318 0.78680375
100129792 -0.46220201 -0.05217198 -0.1141915 0.31314764 -0.06655198
100129794 2.04964507 1.73054007 2.1048910 3.03295813 0.98697503
100129842 0.01491387 -0.05217198 -1.1799596 -1.17995959 -1.17995959
100129917 2.74430401 2.20986462 2.1836201 1.96812293 1.70748457
100129924 0.89834924 1.00771355 1.2458049 0.59400634 0.78680375
100129940 1.83633371 1.61209794 1.8390923 1.63762680 0.55431494
100129995 -1.17995959 -1.17995959 -1.1799596 -1.17995959 -0.06655198
10013 5.34190698 5.79100382 5.7993916 6.15382393 5.70902266
100130111 0.37284598 -1.17995959 -1.1799596 0.59400634 -1.17995959
100130197 0.37284598 0.29400943 -0.5508202 0.31314764 -0.51841030
100130335 2.32007504 3.33900504 3.0289123 3.07927218 2.97963976
100130348 3.45527700 2.90755888 2.6944490 3.25095372 3.61507464
100130357 0.37284598 0.80666409 1.0910161 1.03101893 0.55431494
100130466 3.56339112 3.18155310 3.0289123 3.32969518 2.93189387
100130476 -1.17995959 -1.17995959 -1.1799596 0.31314764 -1.17995959
100130522 1.58591750 1.18414161 1.5130077 -0.03593674 1.46066672
100130550 1.10329327 -0.05217198 -1.1799596 0.82899691 1.70748457
100130564 3.59770072 3.30122356 3.6444062 1.96812293 3.11407084
100130581 2.14553226 2.12590197 1.9332389 1.20819520 1.70748457
100130691 1.58591750 1.73054007 2.2582743 1.36597318 0.27702581
100130705 1.71655206 1.48305520 2.2582743 1.50818448 0.98697503
100130748 1.71655206 1.34132613 1.7383703 1.63762680 1.46066672
100130750 -1.17995959 -1.17995959 -1.1799596 -1.17995959 -0.06655198
100130855 1.58591750 2.12590197 0.7204572 2.23684122 2.47946350
100130958 1.71655206 0.80666409 0.7204572 0.82899691 -0.06655198
100131017 -1.17995959 -1.17995959 -1.1799596 -1.17995959 -1.17995959
100131031 1.44226565 2.56903336 2.7472441 3.12414557 2.18580093
100131033 1.28271217 1.83999179 1.7383703 2.31633577 1.91818111
100131067 1.10329327 1.34132613 0.9176014 -1.17995959 2.10199163
100131089 0.37284598 2.90755888 2.9856231 2.88436556 1.58934745
100131094 -1.17995959 1.00771355 1.0910161 -0.49740248 -0.51841030
100131138 1.71655206 2.56903336 2.5826834 1.96812293 2.01301176
100131187 1.83633371 0.57298912 0.9176014 1.36597318 1.31937427
100131193 1.83633371 2.69091682 1.9332389 2.46327989 2.47946350
100131211 3.98231825 4.16718624 4.1152103 4.06431485 4.07682250
100131213 0.65939339 -0.05217198 -0.1141915 -0.03593674 0.78680375
100131471 1.83633371 1.83999179 0.4920440 1.96812293 0.78680375
100131656 2.91727986 3.05105081 2.5233765 2.31633577 2.88251357
100131685 2.14553226 1.00771355 2.3969061 1.75640544 2.60654978
100131691 3.56339112 2.43589460 2.5826834 3.03295813 1.81667579
100131740 1.58591750 0.57298912 0.7204572 0.59400634 0.27702581
100131801 3.84624575 3.30122356 3.4025342 3.40436050 3.02585600
100131827 -1.17995959 -1.17995959 -1.1799596 -1.17995959 -1.17995959
100131828 0.37284598 -1.17995959 -0.5508202 -0.49740248 -1.17995959
100131940 1.28271217 0.80666409 0.7204572 -0.03593674 0.55431494
100132074 -1.17995959 -0.05217198 0.4920440 -1.17995959 -0.51841030
100132086 0.65939339 1.18414161 0.7204572 1.20819520 1.16272671
100132116 8.09278579 8.76451328 8.5951139 8.44887133 8.78822078
100132126 1.44226565 1.00771355 -1.1799596 1.03101893 0.98697503
100132215 1.94692823 1.34132613 1.2458049 1.63762680 1.70748457
100132537 1.71655206 2.28920835 2.3292547 1.75640544 1.91818111
100132609 0.89834924 -0.05217198 0.4920440 0.82899691 0.78680375
100132659 1.28271217 0.29400943 0.2205380 0.31314764 0.55431494
100132891 -1.17995959 -1.17995959 -0.1141915 1.20819520 0.55431494
100132972 0.89834924 0.57298912 0.4920440 0.59400634 1.16272671
100133234 0.01491387 1.34132613 0.2205380 -1.17995959 0.78680375
100133286 0.37284598 -0.50856034 0.7204572 0.59400634 0.27702581
100133315 0.01491387 1.00771355 0.2205380 0.82899691 0.98697503
100134934 1.10329327 1.00771355 1.9332389 2.15270965 1.46066672
10014 6.35424519 6.82239342 6.4676740 6.30763678 6.75186640
100144603 1.28271217 1.48305520 1.2458049 3.03295813 1.58934745
100144748 3.56339112 2.50399927 1.6300850 1.63762680 0.98697503
10015 7.52986932 7.62685783 7.6609423 7.61788600 7.57136917
10016 5.34190698 5.11709992 5.1368461 4.77663566 4.90548082
100170229 1.28271217 -0.05217198 -0.1141915 -0.49740248 0.27702581
100170841 3.72731899 5.00405566 4.5159705 4.64425691 5.02407438
10018 3.75798232 4.01211667 3.2277844 3.25095372 3.11407084
100188847 1.28271217 2.50399927 1.8390923 2.15270965 1.31937427
10019 3.56339112 3.83834940 4.2309512 4.19625414 3.42121480
100190938 2.14553226 2.95699236 3.3002435 3.25095372 3.52139847
1002 1.44226565 0.80666409 1.3855836 1.03101893 2.47946350
10020 3.78800747 4.50296294 3.7772731 3.50957784 3.78594374
10021 8.75599933 8.22216403 8.3674357 7.95400022 8.17265233
10023 1.28271217 1.61209794 1.5130077 1.03101893 0.55431494
10024 -1.17995959 3.44675257 2.8949414 3.12414557 3.02585600
10026 6.45593620 6.33053372 6.2052918 5.96938924 5.93169948
100268168 0.01491387 -0.50856034 -1.1799596 0.82899691 0.78680375
100270804 0.65939339 1.48305520 1.5130077 1.63762680 1.81667579
100270827 0.37284598 -1.17995959 0.2205380 0.82899691 0.98697503
100270840 3.07171900 3.75695361 3.5285331 3.66949788 3.38621224
100270854 1.28271217 2.95699236 2.5233765 2.71869241 2.01301176
100270865 3.33839978 3.44675257 3.3351525 3.20991043 3.58452013
100271271 3.11973118 3.41172330 3.5285331 3.32969518 2.60654978
100271332 2.23544165 2.12590197 2.0216164 2.23684122 2.41145975
100271415 2.32007504 2.12590197 1.7383703 1.75640544 2.10199163
100271479 -1.17995959 -1.17995959 0.2205380 1.03101893 0.27702581
100271884 0.65939339 1.00771355 -0.1141915 1.36597318 0.55431494
100272147 2.54772690 2.95699236 2.6944490 2.98510783 3.78594374
100286844 2.97061777 1.48305520 2.0216164 1.50818448 1.81667579
100287015 -1.17995959 0.29400943 0.4920440 0.31314764 0.78680375
100287049 0.37284598 0.29400943 -0.1141915 -0.49740248 0.98697503
100287074 2.04964507 1.48305520 2.4615267 2.06336642 2.72334180
100287616 1.94692823 2.50399927 3.3692367 3.20991043 2.60654978
100287722 0.65939339 2.43589460 2.1048910 2.15270965 2.01301176
100287808 0.01491387 0.57298912 0.7204572 -0.03593674 -0.06655198
100287837 -1.17995959 -1.17995959 -1.1799596 -0.49740248 -1.17995959
100287896 2.68170789 3.44675257 3.4350805 3.20991043 3.48877084
100287902 -0.46220201 0.29400943 -0.1141915 -1.17995959 -0.06655198
100287928 2.91727986 3.33900504 3.2277844 3.16766522 3.35033928
100287932 5.38183155 5.14935529 5.4865433 5.42280809 5.52818493
100288001 2.32007504 2.12590197 1.7383703 1.75640544 2.18580093
100288073 4.60528742 3.89016900 3.6162987 3.72881179 3.67430827
100288123 1.44226565 1.34132613 1.2458049 1.20819520 0.27702581
100288198 3.41736033 2.56903336 3.0289123 3.29086159 2.10199163
100288241 1.58591750 1.61209794 1.3855836 2.15270965 0.55431494
100288413 4.36749908 4.71895180 4.6328171 4.49849280 4.55773346
100288513 0.01491387 -1.17995959 -0.1141915 -1.17995959 0.27702581
100288842 0.01491387 1.00771355 0.7204572 1.03101893 1.16272671
100289061 0.37284598 1.34132613 0.2205380 2.15270965 2.01301176
100289095 0.65939339 0.80666409 0.4920440 1.63762680 -0.06655198
100289133 0.01491387 1.34132613 0.2205380 -0.03593674 0.27702581
100289178 3.02205382 2.69091682 2.8473694 2.77605687 2.34009128
100289211 1.10329327 1.73054007 0.7204572 1.03101893 1.16272671
100289259 0.37284598 -0.05217198 1.5130077 0.31314764 0.78680375
100289274 2.97061777 3.09587610 2.1048910 2.77605687 2.60654978
100289341 1.58591750 0.80666409 0.9176014 1.50818448 1.16272671
100289373 0.01491387 -1.17995959 -1.1799596 -1.17995959 -1.17995959
100289388 2.74430401 1.83999179 2.0216164 2.15270965 1.58934745
100289414 -0.46220201 0.29400943 0.9176014 0.82899691 0.55431494
100289635 5.50444616 5.56256436 5.6686407 5.41379983 5.33062192
100289640 1.71655206 1.83999179 0.7204572 1.50818448 0.55431494
100289678 1.71655206 1.18414161 1.7383703 2.23684122 2.18580093
100293516 4.48213278 3.78459894 3.9220755 4.33632878 3.61507464
100294362 0.89834924 1.61209794 2.4615267 1.50818448 0.55431494
1003 -1.17995959 -1.17995959 -0.1141915 2.06336642 -1.17995959
100302692 2.23544165 1.83999179 1.6300850 -0.03593674 1.58934745
100302736 0.89834924 1.18414161 1.7383703 1.63762680 1.46066672
100303728 2.80429675 3.61017431 3.1901429 3.63890065 3.15623465
100303755 1.83633371 1.73054007 1.0910161 1.75640544 1.31937427
100312828 -1.17995959 -0.50856034 -0.1141915 -0.03593674 -1.17995959
100312850 -1.17995959 -0.50856034 0.2205380 -1.17995959 -1.17995959
10036 2.14553226 4.48622371 4.3552004 4.37397318 4.73512138
100379345 2.40001747 2.20986462 2.5233765 3.36751081 2.83138302
10038 5.25858211 5.48042503 5.4149227 5.45828898 5.63640753
100381270 0.65939339 1.00771355 -1.1799596 0.59400634 0.55431494
10039 5.99747089 6.12421804 6.1718868 6.59346658 6.41240415
1004 7.44289937 7.13851661 7.2725052 7.16553590 7.51779900
10040 4.08263059 4.03531632 3.5583855 3.40436050 3.83868079
100418710 0.89834924 0.57298912 0.4920440 1.36597318 0.78680375
100418735 3.84624575 3.83834940 3.4980499 3.84058987 3.31355155
100418744 0.65939339 0.57298912 -0.5508202 0.82899691 1.16272671
100418770 0.65939339 1.18414161 0.7204572 1.36597318 1.16272671
100418781 -1.17995959 -0.05217198 0.7204572 0.59400634 -1.17995959
100418819 0.37284598 1.48305520 1.0910161 0.31314764 1.31937427
100418829 0.89834924 1.18414161 1.5130077 2.46327989 1.58934745
100418888 -0.46220201 2.63126184 1.3855836 1.03101893 1.46066672
100418889 2.32007504 1.73054007 2.5826834 2.59663101 3.02585600
100418910 0.37284598 1.00771355 1.5130077 1.03101893 -0.06655198
100418919 1.28271217 2.20986462 1.6300850 1.63762680 2.10199163
100419028 0.89834924 1.83999179 0.4920440 1.63762680 1.31937427
100419185 1.71655206 0.57298912 -0.1141915 0.31314764 -1.17995959
100419416 0.65939339 1.18414161 0.4920440 -0.03593674 0.27702581
100419515 0.37284598 -1.17995959 -0.1141915 0.59400634 0.98697503
100419645 0.01491387 -0.05217198 0.9176014 1.03101893 0.55431494
100419758 0.65939339 0.29400943 0.2205380 0.59400634 0.55431494
100419928 1.28271217 2.03674921 1.2458049 1.36597318 1.70748457
10042 5.14716586 5.48885263 5.3309381 5.46702451 5.35797780
100420028 0.65939339 -0.05217198 -0.1141915 -1.17995959 -1.17995959
100420050 0.37284598 -1.17995959 -0.1141915 -0.03593674 -0.06655198
100420110 2.86189404 3.30122356 2.8473694 3.03295813 2.66612732
100420187 1.83633371 1.34132613 2.1836201 1.75640544 2.01301176
100420259 3.45527700 3.51435838 4.0536608 3.57568782 3.75883423
100420307 1.28271217 0.80666409 0.4920440 1.03101893 0.27702581
100420341 5.02641960 5.03890859 5.3566508 4.91074568 4.92999226
100420423 0.65939339 1.34132613 -0.5508202 0.59400634 1.31937427
100420591 1.10329327 2.20986462 1.3855836 1.03101893 1.46066672
100420707 3.25486611 2.95699236 2.7981752 2.23684122 2.88251357
100420752 1.28271217 2.20986462 0.9176014 0.82899691 1.70748457
100420869 4.24296445 4.08062553 3.6444062 4.39243332 3.67430827
100420981 5.74538290 6.17210170 6.1227823 6.61720522 6.04824123
100421093 3.52824567 3.75695361 3.5583855 3.69945964 3.11407084
100421109 0.37284598 0.29400943 -1.1799596 -0.49740248 0.55431494
100421160 0.01491387 0.57298912 -0.5508202 -0.03593674 0.55431494
100421175 1.10329327 2.56903336 0.4920440 1.03101893 1.70748457
100421246 0.37284598 -0.05217198 1.8390923 2.65895222 0.98697503
100421311 1.94692823 2.20986462 1.7383703 2.59663101 1.81667579
100421372 1.28271217 1.18414161 1.0910161 0.31314764 1.91818111
100421400 2.54772690 2.28920835 2.7472441 3.12414557 2.18580093
100421415 -1.17995959 1.00771355 0.4920440 -1.17995959 -1.17995959
100421429 -1.17995959 0.80666409 -1.1799596 -0.49740248 -0.06655198
100421465 1.28271217 2.50399927 1.6300850 2.65895222 1.91818111
100421468 -1.17995959 0.80666409 0.4920440 1.20819520 0.27702581
100421506 -1.17995959 0.57298912 -0.1141915 -1.17995959 -0.06655198
100421569 0.65939339 1.00771355 -1.1799596 0.59400634 0.55431494
100421595 1.83633371 1.94172217 0.9176014 0.59400634 1.91818111
100421794 2.97061777 3.22255616 3.1901429 3.25095372 3.19720111
100422106 1.58591750 1.34132613 1.0910161 1.50818448 2.18580093
100422338 0.37284598 2.12590197 2.0216164 1.20819520 0.78680375
100422546 -1.17995959 1.00771355 0.2205380 0.31314764 -1.17995959
100422561 3.59770072 3.75695361 3.9893678 3.66949788 3.55330449
10043 5.67482190 6.00589226 5.9811918 5.88063967 5.79159543
10044 0.65939339 2.12590197 1.7383703 1.86614444 0.78680375
10045 -1.17995959 -0.05217198 -0.1141915 1.36597318 0.78680375
10046 1.28271217 1.00771355 0.7204572 1.75640544 1.70748457
10048 6.17838225 6.48596148 6.3700556 6.56526861 6.58053093
10049 5.99747089 5.60969300 5.5985351 5.34911608 5.52818493
100499177 3.63121330 3.30122356 3.2644688 3.03295813 3.67430827
100499483 0.65939339 0.29400943 1.3855836 0.31314764 0.27702581
1005 0.01491387 0.57298912 0.4920440 1.36597318 0.98697503
100500719 -0.46220201 -0.05217198 0.4920440 -1.17995959 0.55431494
100505385 2.74430401 1.73054007 2.7472441 2.23684122 2.34009128
100505501 0.65939339 1.48305520 1.5130077 1.03101893 0.98697503
100505538 2.14553226 1.18414161 1.3855836 1.03101893 2.01301176
100505549 0.01491387 -0.50856034 -1.1799596 -1.17995959 -1.17995959
100505573 6.60252811 5.72832483 5.7549642 5.93202017 6.05939389
100505576 4.30657509 4.08062553 4.2675561 3.96913607 4.31877978
100505616 0.37284598 -0.50856034 0.2205380 -1.17995959 0.55431494
100505624 2.14553226 1.00771355 1.5130077 0.82899691 0.98697503
100505635 -0.46220201 0.29400943 0.9176014 -0.03593674 0.78680375
100505641 2.14553226 1.94172217 1.6300850 1.50818448 2.01301176
100505648 4.19894375 3.75695361 3.3692367 2.93561586 3.15623465
100505678 2.74430401 2.56903336 2.5826834 1.75640544 2.72334180
100505696 4.67121202 3.94019166 3.5285331 3.44029235 4.39118411
100505715 -0.46220201 -1.17995959 -1.1799596 -0.03593674 -1.17995959
100505738 2.91727986 2.20986462 2.5826834 2.06336642 2.01301176
100505741 1.44226565 0.57298912 2.1048910 1.75640544 1.16272671
100505758 2.97061777 3.33900504 2.9409946 3.44029235 3.11407084
100505761 2.68170789 2.95699236 2.7472441 2.15270965 3.15623465
100505771 2.68170789 2.56903336 3.4980499 3.36751081 2.97963976
100505783 -1.17995959 -1.17995959 -1.1799596 -1.17995959 -0.06655198
100505806 2.54772690 2.56903336 2.7472441 2.39167788 3.19720111
100505812 0.01491387 -1.17995959 0.4920440 -1.17995959 -0.06655198
100505832 0.01491387 1.00771355 0.2205380 2.06336642 0.27702581
100505854 2.32007504 0.80666409 0.7204572 -0.03593674 0.55431494
100505876 6.51995446 5.69228935 5.8960789 5.75787181 6.08690409
100505894 2.40001747 3.18155310 2.6396482 2.77605687 2.97963976
100505933 0.37284598 0.57298912 0.2205380 0.59400634 0.55431494
100505994 -0.46220201 0.57298912 -1.1799596 -0.49740248 -0.06655198
100506020 1.94692823 1.00771355 0.9176014 0.59400634 0.55431494
100506033 4.98813309 4.80245842 4.6743048 4.94866265 4.84231588
100506054 0.37284598 1.48305520 0.2205380 -0.49740248 -0.51841030
100506068 0.01491387 -0.05217198 -1.1799596 -0.03593674 -0.06655198
100506070 1.10329327 0.57298912 1.2458049 1.50818448 1.46066672
100506083 0.01491387 0.80666409 1.3855836 0.82899691 0.27702581
100506100 1.71655206 1.00771355 1.2458049 1.03101893 0.98697503
100506119 -1.17995959 -0.50856034 -0.1141915 -1.17995959 1.31937427
100506127 2.40001747 2.90755888 1.8390923 1.36597318 2.97963976
100506142 1.10329327 0.57298912 -0.1141915 -0.03593674 0.55431494
100506144 0.01491387 0.57298912 0.4920440 1.63762680 -0.06655198
100506161 1.71655206 -0.05217198 2.0216164 0.82899691 0.27702581
100506211 3.92941916 6.38121033 6.3909446 6.75197610 6.39490181
100506235 2.23544165 0.80666409 1.6300850 1.36597318 1.81667579
100506258 0.37284598 -1.17995959 -1.1799596 -1.17995959 0.78680375
100506282 2.68170789 2.63126184 2.1836201 2.53149564 2.77837355
100506286 1.10329327 0.57298912 1.2458049 -1.17995959 0.98697503
100506302 2.14553226 1.94172217 1.2458049 1.63762680 2.01301176
100506321 0.37284598 0.29400943 0.9176014 0.59400634 -0.06655198
100506325 -1.17995959 -0.05217198 -0.1141915 0.82899691 -0.06655198
100506343 1.28271217 1.61209794 0.4920440 1.03101893 0.98697503
100506365 4.79465876 5.08410687 5.1169231 5.29126670 5.11239495
100506368 1.10329327 0.57298912 0.9176014 0.82899691 -0.06655198
100506380 1.44226565 1.00771355 0.7204572 1.63762680 1.58934745
100506392 3.92941916 3.89016900 4.4053400 4.27795381 4.37342084
100506394 1.10329327 -1.17995959 0.9176014 0.82899691 0.78680375
100506411 0.89834924 1.73054007 0.9176014 1.86614444 1.70748457
100506433 3.25486611 2.69091682 2.5826834 3.36751081 3.27580114
100506462 0.37284598 -0.05217198 0.4920440 0.31314764 0.55431494
100506469 3.07171900 3.54700922 2.3969061 3.36751081 2.47946350
100506495 0.37284598 -0.05217198 0.2205380 1.20819520 -1.17995959
100506504 2.23544165 1.73054007 1.9332389 2.06336642 2.34009128
100506540 1.10329327 1.18414161 1.0910161 0.59400634 0.98697503
100506581 2.23544165 2.63126184 3.1117788 2.53149564 2.01301176
100506606 0.01491387 -0.05217198 -0.1141915 -1.17995959 0.55431494
100506658 0.89834924 1.00771355 0.4920440 -1.17995959 -0.06655198
100506668 3.21121260 2.43589460 3.1117788 2.71869241 2.60654978
100506686 -1.17995959 1.73054007 1.8390923 2.59663101 2.88251357
100506691 -1.17995959 -0.05217198 -0.1141915 -1.17995959 0.55431494
100506696 -1.17995959 -0.50856034 -0.1141915 -0.49740248 0.98697503
100506697 0.01491387 -1.17995959 0.2205380 -1.17995959 -1.17995959
100506710 5.32152258 5.36613587 4.9691815 5.44950023 5.18547488
100506713 1.28271217 -0.50856034 0.4920440 -0.03593674 -1.17995959
100506725 3.98231825 3.13935052 4.0536608 3.86723175 4.07682250
100506731 2.04964507 1.61209794 2.2582743 2.06336642 0.98697503
100506757 0.37284598 2.12590197 1.2458049 1.75640544 2.01301176
100506779 -0.46220201 -0.05217198 -0.1141915 -0.03593674 -1.17995959
100506804 -1.17995959 0.57298912 -0.5508202 -1.17995959 -0.06655198
100506826 2.47576175 0.57298912 1.9332389 2.23684122 1.46066672
100506844 2.86189404 3.09587610 3.3351525 1.03101893 2.34009128
100506866 6.60674589 6.90657958 6.6726405 6.46417843 6.59209664
100506881 2.14553226 1.61209794 2.0216164 1.96812293 2.34009128
100506885 0.65939339 0.80666409 1.5130077 0.82899691 0.27702581
100506911 -1.17995959 0.29400943 -0.5508202 -0.03593674 -0.51841030
100506922 0.01491387 -0.05217198 -1.1799596 0.59400634 -0.51841030
100506930 3.87450637 3.67068949 3.7772731 3.54301148 3.61507464
100506994 0.89834924 0.80666409 0.4920440 0.82899691 -0.06655198
100507003 -1.17995959 -1.17995959 -1.1799596 0.31314764 -1.17995959
100507032 -1.17995959 -1.17995959 -1.1799596 -1.17995959 -1.17995959
100507034 2.54772690 2.85637130 2.5826834 3.20991043 3.55330449
100507050 -1.17995959 1.00771355 2.7472441 3.60764042 1.58934745
100507053 -1.17995959 -1.17995959 -1.1799596 -0.03593674 -0.51841030
100507057 -1.17995959 -1.17995959 -0.1141915 -0.49740248 -1.17995959
100507062 1.71655206 1.00771355 -0.1141915 -0.03593674 0.55431494
100507071 0.37284598 0.29400943 0.2205380 0.31314764 0.78680375
100507156 3.02205382 3.05105081 2.4615267 3.16766522 3.11407084
100507171 1.83633371 1.61209794 2.1836201 2.71869241 2.54440556
100507173 0.01491387 0.29400943 -1.1799596 -1.17995959 -0.06655198
100507178 0.65939339 -0.50856034 -0.1141915 0.31314764 0.27702581
100507244 1.71655206 1.61209794 0.9176014 1.03101893 0.78680375
100507246 3.33839978 3.37582228 3.8989287 3.91908347 3.31355155
100507250 0.37284598 1.00771355 0.7204572 0.59400634 1.16272671
100507254 -1.17995959 1.61209794 1.7383703 -0.03593674 0.98697503
100507266 0.89834924 0.57298912 0.4920440 -1.17995959 0.78680375
100507290 4.74959495 5.08410687 5.0343602 5.24122125 5.21569607
100507291 0.01491387 -0.50856034 -1.1799596 -0.03593674 -1.17995959
100507303 2.54772690 1.94172217 2.1048910 2.23684122 1.16272671
100507308 0.37284598 0.57298912 -0.5508202 1.03101893 1.70748457
100507316 0.01491387 1.00771355 -1.1799596 -1.17995959 0.55431494
100507331 2.47576175 2.12590197 2.1836201 2.31633577 1.58934745
100507347 2.61627216 1.94172217 1.8390923 2.23684122 1.46066672
100507373 2.74430401 2.50399927 2.1048910 1.96812293 2.10199163
100507392 0.37284598 -0.05217198 -0.1141915 0.59400634 0.55431494
100507398 1.10329327 1.48305520 1.2458049 -0.49740248 0.98697503
100507401 0.01491387 2.12590197 1.6300850 1.86614444 -0.06655198
100507420 0.01491387 -1.17995959 -1.1799596 -0.03593674 -0.06655198
100507433 3.75798232 3.37582228 3.1514928 3.12414557 3.38621224
100507436 -0.46220201 0.80666409 0.2205380 0.59400634 -1.17995959
100507437 0.37284598 1.73054007 0.9176014 0.82899691 0.98697503
100507459 0.01491387 0.57298912 1.3855836 1.03101893 0.27702581
100507463 0.65939339 -0.50856034 1.3855836 1.96812293 -1.17995959
100507487 2.47576175 1.73054007 1.3855836 1.36597318 2.10199163
100507495 4.19894375 4.30719385 3.7516606 4.48134887 3.61507464
100507516 0.37284598 -1.17995959 -1.1799596 -0.03593674 -1.17995959
100507551 0.65939339 -0.50856034 -0.1141915 1.03101893 0.98697503
100507557 0.65939339 1.18414161 0.9176014 1.63762680 1.58934745
100507564 1.71655206 1.73054007 1.2458049 -0.49740248 0.78680375
100507567 -0.46220201 -0.05217198 -1.1799596 -0.49740248 -1.17995959
100507588 0.01491387 1.18414161 1.3855836 0.82899691 0.27702581
100507599 1.10329327 0.57298912 -1.1799596 1.03101893 0.55431494
100507602 4.19894375 3.67068949 4.3207789 4.42865975 4.18261006
100508120 2.32007504 1.00771355 1.0910161 2.06336642 1.91818111
10051 5.72224391 6.46047807 6.7130143 6.44661932 6.63745402
10052 1.83633371 1.83999179 1.7383703 1.03101893 0.78680375
100526737 2.47576175 1.83999179 1.5130077 1.03101893 2.34009128
100526760 1.83633371 1.73054007 1.7383703 1.75640544 1.46066672
100526820 0.89834924 0.80666409 1.8390923 0.82899691 1.16272671
100526835 4.85263446 4.38149230 4.1933932 4.19625414 4.26198748
100527978 0.65939339 -0.50856034 -0.5508202 -1.17995959 -0.51841030
100529145 1.28271217 1.94172217 2.1836201 1.03101893 2.01301176
100529215 1.10329327 0.29400943 -0.5508202 -0.49740248 0.27702581
100532746 3.63121330 4.10275745 3.8754045 4.31713171 3.88955785
100533106 1.10329327 0.29400943 0.2205380 1.36597318 0.27702581
100533182 0.65939339 -0.50856034 -1.1799596 -0.03593674 -0.51841030
100533619 -1.17995959 -0.05217198 0.4920440 -0.03593674 -1.17995959
100533629 1.10329327 -0.50856034 0.9176014 0.59400634 0.27702581
100533695 0.37284598 -1.17995959 0.2205380 -0.03593674 0.27702581
100533970 -0.46220201 0.57298912 0.4920440 1.20819520 1.16272671
100534593 0.37284598 1.18414161 1.0910161 0.31314764 0.78680375
10054 5.58361355 5.87055240 5.9477467 5.99980734 6.08690409
10056 6.08472537 5.84452054 6.2286877 5.88716320 5.99114682
10057 8.01874970 7.49082118 7.3036839 7.31816864 7.35083199
10058 6.93661098 6.64145988 6.5367838 6.58144915 6.48450750
10059 6.82519127 7.35681426 7.0383694 7.09402624 7.17485742
1006 6.01661764 3.89016900 3.9448568 4.17508526 3.73120553
10060 4.44492450 3.70002106 3.8989287 2.88436556 3.35033928
100616256 -0.46220201 0.29400943 0.7204572 -0.49740248 0.27702581
10062 2.47576175 0.80666409 1.0910161 0.31314764 1.58934745
10063 3.92941916 5.02738425 4.9802512 4.76251266 4.50975586
100652739 1.10329327 -0.50856034 0.7204572 0.31314764 -0.51841030
100652758 0.89834924 1.18414161 2.4615267 1.20819520 -0.51841030
100652846 2.68170789 2.28920835 2.2582743 2.39167788 1.91818111
10066 6.53773548 6.80224782 6.5102997 6.54890452 6.55711757
10067 6.42760561 6.08027816 6.0030654 6.36484623 6.05939389
10068 3.11973118 4.05814879 3.2644688 3.47535099 3.11407084
10069 3.16619687 2.20986462 2.9856231 2.39167788 2.54440556
10072 3.92941916 4.36327332 4.6328171 4.71929467 4.18261006
10073 3.59770072 3.61017431 3.9448568 3.81344673 3.70303737
10075 8.80546103 8.39577874 8.5136483 8.33657413 8.41874367
10076 5.05139087 4.55204593 4.5006761 4.37397318 3.96265975
10077 -1.17995959 0.80666409 -0.5508202 -0.03593674 0.55431494
100775107 1.71655206 1.00771355 1.0910161 -0.49740248 0.78680375
10078 4.76477316 4.64546954 4.6467793 4.97339808 4.50975586
10079 4.30657509 4.38149230 4.5006761 4.17508526 4.40873134
1008 6.31353888 3.70002106 3.8514903 3.94432682 3.88955785
10081 4.92197396 4.93171737 4.7667074 4.92349572 4.98950857
10082 6.89583030 6.61090024 6.8670632 6.77326287 6.83857711
100820829 5.54016902 5.79780298 5.9756712 5.54335163 5.99695902
10084 4.77979334 4.41725422 4.7409050 4.91074568 4.64915206
100847074 1.58591750 2.12590197 1.9332389 1.96812293 2.01301176
10085 9.25370235 8.86180931 8.7751217 8.49444580 8.84168384
100852407 1.10329327 1.00771355 -0.1141915 1.03101893 0.78680375
100861412 1.10329327 0.29400943 -1.1799596 0.31314764 -0.06655198
100861548 4.22112199 4.05814879 3.7516606 4.15360115 3.38621224
100862671 1.71655206 0.80666409 0.4920440 1.50818448 0.55431494
10087 6.85386324 6.66767866 6.7715324 6.76265874 6.65593999
100873257 1.28271217 -0.05217198 -0.5508202 1.20819520 1.81667579
100873333 2.40001747 2.50399927 2.9856231 1.75640544 2.54440556
100873790 3.29723745 3.37582228 3.1514928 3.81344673 3.38621224
100873949 1.83633371 1.34132613 0.2205380 0.31314764 0.55431494
100873952 1.10329327 -0.05217198 1.2458049 0.82899691 0.55431494
100873965 1.71655206 1.34132613 2.2582743 2.23684122 2.18580093
100874006 0.01491387 1.18414161 1.8390923 1.75640544 1.16272671
100874008 1.28271217 1.00771355 1.2458049 0.59400634 0.98697503
100874014 2.80429675 3.41172330 2.8949414 2.71869241 3.02585600
100874058 1.10329327 0.57298912 1.6300850 1.03101893 1.70748457
100874080 1.10329327 1.00771355 -0.5508202 1.50818448 0.55431494
100874097 1.71655206 1.94172217 1.5130077 1.75640544 0.78680375
100874201 -0.46220201 -0.50856034 0.2205380 -0.49740248 -0.06655198
100874212 0.01491387 1.00771355 0.7204572 0.59400634 1.31937427
100874217 0.01491387 0.29400943 1.2458049 0.31314764 1.16272671
100874235 1.28271217 1.18414161 -0.5508202 0.59400634 0.27702581
100874261 0.01491387 -0.50856034 0.4920440 0.59400634 -0.06655198
100874291 -1.17995959 1.61209794 1.5130077 1.63762680 -1.17995959
100874362 1.10329327 0.29400943 0.9176014 0.82899691 0.27702581
100874523 1.58591750 1.00771355 1.0910161 1.03101893 0.78680375
100885775 0.65939339 1.94172217 3.1901429 3.81344673 2.26500771
100885776 1.44226565 0.29400943 -1.1799596 1.03101893 0.55431494
100885848 5.69080306 5.83793851 6.2608173 6.13201843 5.86969689
1009 9.21278275 9.55239255 9.5070478 9.32901532 9.65132590
10090 3.87450637 3.33900504 3.6719765 3.32969518 3.15623465
10092 7.10110816 7.31476978 7.3449482 7.34210826 7.29058728
10093 6.87149811 6.61860106 6.9816619 7.12195098 6.89569351
10094 3.59770072 3.64074917 4.0536608 3.86723175 3.52139847
10095 5.02641960 4.94402845 4.8045658 5.35853608 4.61931825
10097 8.11664359 8.03054529 8.2094276 8.12104781 8.14935581
10098 6.19528564 5.69228935 5.8424917 5.63921894 5.77815734
10099 8.14736993 7.99844151 8.0596218 8.03847600 7.95553949
100996246 1.83633371 2.74820272 2.3292547 3.20991043 2.10199163
100996251 2.14553226 2.03674921 1.8390923 0.82899691 1.46066672
100996307 1.83633371 1.34132613 2.1836201 2.15270965 2.41145975
100996384 1.71655206 2.12590197 2.1836201 2.15270965 1.81667579
100996419 -0.46220201 0.57298912 0.7204572 0.82899691 0.55431494
100996485 2.47576175 1.48305520 1.6300850 2.53149564 2.01301176
100996539 1.10329327 1.48305520 -0.5508202 0.82899691 0.27702581
100996579 -1.17995959 -0.50856034 0.9176014 0.31314764 -0.06655198
100996696 3.25486611 3.91539712 3.5285331 4.19625414 3.61507464
100996842 1.58591750 2.36441497 0.9176014 2.65895222 2.34009128
100996851 -1.17995959 0.29400943 -0.5508202 -0.49740248 0.27702581
100996939 0.89834924 0.57298912 0.2205380 1.75640544 1.16272671
101 2.14553226 0.57298912 1.2458049 2.06336642 1.70748457
1010 2.54772690 3.33900504 3.0709404 3.07927218 2.01301176
10100 5.02641960 5.78417245 6.1621987 5.97552438 6.09776295
10101 4.92197396 5.31964951 5.1068574 5.27145635 4.95409421
10102 4.96203237 4.84246642 4.6044806 5.06830514 4.61931825
10103 2.04964507 -0.05217198 0.4920440 -0.03593674 -0.06655198
10105 5.92500849 6.71872865 6.9111113 7.10246056 6.76214159
10106 7.08608156 7.07835999 7.2814824 7.06842332 7.06571569
101060200 3.11973118 3.37582228 3.4350805 2.59663101 2.97963976
101060691 2.23544165 1.83999179 1.6300850 2.39167788 1.81667579
10109 8.50121102 8.30801389 8.3213881 8.49871207 8.30504420
10112 0.01491387 4.90677549 4.9467841 4.89788195 4.69277698
10113 5.90459759 6.25842900 6.1077190 6.52818489 6.08690409
10114 8.27211024 8.10232985 8.1952467 8.03994044 8.03112716
101154753 0.01491387 -1.17995959 -0.5508202 -0.49740248 -0.51841030
10116 7.63065546 7.71210806 7.7379642 7.76327424 7.80133246
10117 0.01491387 -0.05217198 -1.1799596 -1.17995959 -1.17995959
1012 7.63272517 7.48240511 7.7215666 7.84596759 7.41084008
10121 6.24483904 5.98221065 5.9866914 5.88063967 5.90721727
10123 5.98456374 5.82468368 6.3826253 5.93831595 5.59868172
101241892 5.73771107 5.25194462 5.4942861 5.30107079 5.51203991
10125 0.65939339 -0.05217198 0.9176014 -0.03593674 0.55431494
10126 3.41736033 3.70002106 3.6990299 2.88436556 3.73120553
BPA_24_C2 PFOA_24_C2 EtOH_24_C2 TUN_2_C3 THA_2_C3
100 1.99683251 2.3136554 2.524840414 1.55158356 1.6457063
1000 11.08443407 10.9593061 10.969873360 11.15359367 10.8445421
10000 6.35464020 6.5383783 6.209348603 5.62192943 5.5352966
10001 4.12350041 4.4370319 4.709898377 4.43339767 4.6365963
10003 3.50392321 3.8588118 3.187631591 3.96629262 3.2074707
100037417 -1.17995959 -1.1799596 -1.179959587 -1.17995959 -1.1799596
100049716 2.52761069 2.8313144 2.213010288 2.06225953 3.2074707
10005 3.96855760 3.6554623 3.764034337 3.34375673 3.6051713
10006 6.33664792 6.5420742 6.667920169 6.57080068 6.4857867
10007 4.92417796 5.0899677 4.725233590 4.56062823 3.9165963
10009 4.64598101 4.5441159 4.196941927 5.34978077 5.5123118
100093630 6.12233529 6.0235690 6.041860421 6.38126853 6.5053195
1001 5.88917356 5.6585059 5.592904522 4.41667495 4.4231660
10010 5.24673085 5.1100262 5.099356570 5.34978077 5.7338142
100101267 1.69177642 1.2318945 2.123251228 2.56545468 2.2000645
100101467 4.12350041 3.9727359 3.958244570 4.39975612 4.4874347
10011 5.52614606 5.3140166 5.559072262 6.12748917 6.3583976
100113386 -1.17995959 -1.1799596 0.001015679 0.95261529 -0.5443604
100113397 0.54162447 0.7079502 0.356565808 -0.53456626 -0.1046558
100113407 3.89669617 4.1766982 3.958244570 4.27541994 4.3559004
100125288 2.39479835 1.8241038 1.564815017 -0.53456626 -0.1046558
100127983 2.96248476 2.5668408 2.027535016 2.84085132 2.5995529
100128006 2.32350676 2.4457951 2.377334035 4.07685990 3.8200693
100128016 0.26549561 0.2099330 0.001015679 0.24898515 0.2318726
100128025 0.77329784 -1.1799596 -0.471860680 1.12722400 0.9315716
100128054 -0.07629974 0.9045073 1.421546732 1.28296315 1.2606373
100128071 1.30442772 0.9045073 0.356565808 -0.53456626 0.2318726
100128191 1.80078773 1.7235351 0.001015679 2.56545468 1.1054663
100128252 1.80078773 1.8241038 2.123251228 0.24898515 0.9315716
100128379 0.26549561 1.0774677 1.262466393 1.66920350 2.3458681
100128398 4.22479704 3.9054664 3.958244570 5.02514689 4.3730131
100128494 2.70638564 3.0127326 2.297510468 2.78981785 3.3525640
100128569 2.16939619 2.5668408 0.879482182 1.28296315 2.0378517
100128640 -0.07629974 -0.5568445 -1.179959587 -1.17995959 0.2318726
100128682 -1.17995959 0.9045073 0.001015679 -0.09023682 1.1054663
100128731 6.53508588 6.4584936 6.417196064 5.99857825 6.1408706
100128766 2.70638564 3.3187948 3.096228059 2.43866828 3.0881929
100128782 2.52761069 1.9181165 2.297510468 1.97357329 2.5401900
100128822 -1.17995959 -1.1799596 -1.179959587 -1.17995959 -1.1799596
100128833 2.32350676 1.9181165 2.998639489 1.97357329 1.5284106
100128881 2.52761069 2.1681812 1.083645731 2.37083616 1.9493498
100128893 6.29997588 6.0445654 6.159419184 6.03738171 6.3280062
100129001 1.14815036 1.0774677 0.879482182 1.28296315 0.7338066
100129013 0.54162447 1.6154270 1.083645731 1.42351627 0.9315716
100129029 0.54162447 0.9045073 1.083645731 0.52343471 0.5045591
100129060 3.96855760 3.6279034 3.314718374 3.15501140 3.0028176
100129075 1.80078773 2.2427511 1.564815017 2.43866828 2.8644625
100129195 2.81433872 2.8788522 2.893967681 2.62490045 2.4135923
100129203 1.69177642 -0.1231025 1.083645731 0.75392586 1.4007276
100129250 1.57384988 1.9181165 1.083645731 2.93780230 2.4135923
100129259 1.30442772 1.4985569 1.421546732 1.55158356 0.5045591
100129361 5.74656318 5.4142144 5.795361585 5.86935099 5.9992682
100129398 1.69177642 1.2318945 1.421546732 0.52343471 0.7338066
100129434 -0.52506967 -1.1799596 -0.471860680 -1.17995959 -1.1799596
100129461 1.57384988 0.9045073 -1.179959587 -0.53456626 0.5045591
100129484 1.80078773 1.0774677 1.564815017 1.12722400 1.2606373
100129550 4.68916118 4.6019174 4.401695904 4.86178830 4.8348873
100129583 -0.07629974 -0.1231025 0.641587334 1.66920350 1.6457063
100129662 0.97286465 0.2099330 -0.471860680 -0.53456626 -0.1046558
100129707 -0.07629974 0.9045073 1.421546732 0.52343471 1.4007276
100129716 0.77329784 0.7079502 0.879482182 1.28296315 1.7541784
100129726 0.77329784 -0.1231025 0.356565808 2.14580828 2.6565694
100129774 3.50392321 3.9727359 3.905371532 4.05541397 3.3525640
100129781 -0.07629974 -0.1231025 1.262466393 1.66920350 1.4007276
100129792 0.26549561 0.2099330 0.001015679 1.55158356 1.1054663
100129794 2.16939619 2.3136554 2.027535016 3.07200951 2.7642574
100129842 -1.17995959 -1.1799596 -1.179959587 0.52343471 0.5045591
100129917 2.24850828 2.0895458 1.925014355 2.43866828 3.1290578
100129924 0.77329784 1.0774677 1.695132333 1.87907612 2.0378517
100129940 1.57384988 0.4803251 0.001015679 1.66920350 -0.1046558
100129995 0.97286465 -0.1231025 -1.179959587 0.95261529 -0.5443604
10013 5.96726032 5.6585059 5.816993962 6.00977186 6.0744238
100130111 0.54162447 0.4803251 1.083645731 -0.09023682 -1.1799596
100130197 0.97286465 0.2099330 -1.179959587 0.95261529 0.2318726
100130335 3.00866875 2.6785119 3.187631591 2.37083616 2.9581574
100130348 2.70638564 3.0955471 3.431510814 2.98393922 3.7948936
100130357 1.69177642 0.9045073 -0.471860680 -0.09023682 -0.1046558
100130466 2.64922057 3.5711542 3.504429930 3.23349667 2.9581574
100130476 0.54162447 -1.1799596 -1.179959587 -0.09023682 -1.1799596
100130522 0.77329784 1.8241038 0.641587334 0.52343471 0.7338066
100130550 0.26549561 -0.1231025 0.001015679 0.75392586 0.9315716
100130564 3.36880601 3.7607169 3.672069172 3.84654294 3.3176357
100130581 1.57384988 1.6154270 0.641587334 2.29965670 2.3458681
100130691 1.14815036 1.3713781 2.123251228 2.22478231 1.5284106
100130705 1.57384988 1.6154270 2.213010288 0.95261529 1.7541784
100130748 1.69177642 1.8241038 1.421546732 1.42351627 1.5284106
100130750 -1.17995959 -1.1799596 -1.179959587 -1.17995959 0.2318726
100130855 2.08569290 2.0063759 1.925014355 2.06225953 1.7541784
100130958 2.39479835 0.4803251 0.001015679 1.42351627 0.2318726
100131017 -1.17995959 -1.1799596 -1.179959587 -1.17995959 -1.1799596
100131031 3.00866875 2.6237566 2.893967681 3.30793159 2.8152298
100131033 1.44541898 1.7235351 2.377334035 1.77795279 2.1212367
100131067 1.14815036 1.3713781 2.123251228 2.50345381 2.7114180
100131089 2.46273229 2.1681812 1.925014355 1.97357329 2.2000645
100131094 1.14815036 0.2099330 0.356565808 -0.09023682 -0.5443604
100131138 2.24850828 1.7235351 2.658654354 3.98909438 4.1920017
100131187 1.99683251 1.2318945 0.879482182 -0.09023682 1.5284106
100131193 3.05342003 2.3812376 2.998639489 1.77795279 1.5284106
100131211 4.40826501 3.9054664 3.764034337 3.74302861 3.2451348
100131213 -0.07629974 -0.1231025 0.641587334 -1.17995959 0.5045591
100131471 1.44541898 2.5075871 2.213010288 0.75392586 2.4782793
100131656 3.36880601 1.9181165 3.504429930 3.34375673 3.0028176
100131685 1.69177642 2.6237566 2.452971602 2.29965670 2.6565694
100131691 2.39479835 2.2427511 2.998639489 2.43866828 1.7541784
100131740 0.54162447 1.6154270 0.356565808 0.24898515 0.9315716
100131801 3.92104987 3.5419200 3.607331768 3.02864630 3.0461367
100131827 -1.17995959 0.2099330 -1.179959587 0.75392586 1.2606373
100131828 -0.07629974 -1.1799596 0.356565808 -0.53456626 -1.1799596
100131940 1.44541898 0.7079502 0.001015679 0.52343471 1.4007276
100132074 -1.17995959 -0.1231025 0.001015679 -0.09023682 -0.5443604
100132086 0.77329784 1.0774677 0.001015679 0.24898515 1.4007276
100132116 8.98816857 9.0049711 8.832966325 6.60071980 6.3497795
100132126 -0.52506967 0.9045073 0.356565808 0.75392586 -0.1046558
100132215 1.57384988 1.7235351 2.213010288 1.97357329 1.1054663
100132537 1.30442772 1.4985569 2.658654354 1.55158356 0.9315716
100132609 1.14815036 0.9045073 1.083645731 0.52343471 0.7338066
100132659 0.54162447 -0.1231025 0.356565808 1.12722400 1.4007276
100132891 -1.17995959 -1.1799596 -1.179959587 -1.17995959 -1.1799596
100132972 1.44541898 0.7079502 1.262466393 0.24898515 1.4007276
100133234 1.57384988 -0.5568445 -0.471860680 -0.09023682 1.4007276
100133286 1.14815036 0.7079502 1.262466393 0.24898515 0.7338066
100133315 0.54162447 1.6154270 -0.471860680 1.55158356 0.9315716
100134934 0.97286465 1.8241038 2.123251228 2.29965670 1.8550620
10014 6.78109755 6.6725638 6.468216358 6.65163014 6.7410609
100144603 1.90213758 2.4457951 2.027535016 1.55158356 2.4135923
100144748 1.80078773 1.0774677 2.027535016 1.28296315 1.2606373
10015 7.44403024 7.4331396 7.715577776 7.53875624 7.4822299
10016 4.81144985 5.0593472 5.134240195 4.95738772 5.0416569
100170229 1.14815036 0.4803251 0.641587334 0.24898515 -0.1046558
100170841 5.19773509 4.7877275 4.694398404 4.49841504 4.8099711
10018 2.96248476 3.4504854 3.539552398 3.98909438 4.4066414
100188847 1.57384988 1.8241038 1.262466393 1.28296315 1.9493498
10019 4.18512772 3.5711542 3.734025969 4.07685990 4.1529053
100190938 3.43794585 3.3528615 3.573840090 0.95261529 0.9315716
1002 2.08569290 1.9181165 0.641587334 2.84085132 2.6565694
10020 3.59755519 3.7607169 3.703380138 3.60222807 4.0070679
10021 8.55543191 8.1698256 7.997182795 8.27705614 8.2205303
10023 0.54162447 1.8241038 -1.179959587 1.87907612 2.7114180
10024 3.43794585 2.9694717 2.838638933 4.01154136 4.5934444
10026 6.32756693 6.0907190 6.017153825 6.58209319 5.9315783
100268168 -1.17995959 -1.1799596 0.001015679 -1.17995959 0.5045591
100270804 0.97286465 1.2318945 1.925014355 2.06225953 2.8644625
100270827 -0.52506967 0.9045073 -1.179959587 0.52343471 -0.5443604
100270840 3.40379007 3.3528615 3.539552398 2.89014106 3.2074707
100270854 1.69177642 2.6785119 2.593298279 1.87907612 1.5284106
100270865 2.76137167 3.7607169 3.504429930 3.23349667 3.6051713
100271271 3.00866875 3.0547340 3.822241047 3.02864630 3.0461367
100271332 1.14815036 2.0895458 2.213010288 1.97357329 2.5995529
100271415 1.14815036 1.8241038 1.421546732 2.73691271 1.6457063
100271479 -1.17995959 0.2099330 -1.179959587 -1.17995959 -0.5443604
100271884 0.77329784 1.3713781 0.001015679 0.52343471 1.2606373
100272147 3.13896180 3.7351143 3.273587573 2.68199340 2.5995529
100286844 2.39479835 2.5668408 1.814647243 2.29965670 2.0378517
100287015 0.26549561 -0.1231025 -1.179959587 1.12722400 -1.1799596
100287049 0.26549561 0.7079502 0.879482182 0.24898515 1.5284106
100287074 2.32350676 1.9181165 2.027535016 1.97357329 2.8152298
100287616 2.52761069 3.3187948 2.781103358 1.77795279 2.2000645
100287722 2.16939619 2.5668408 2.027535016 1.42351627 1.4007276
100287808 0.54162447 -0.1231025 0.879482182 1.77795279 0.9315716
100287837 -0.07629974 0.2099330 -1.179959587 -1.17995959 -0.1046558
100287896 3.43794585 3.5711542 3.187631591 3.07200951 3.0461367
100287902 -1.17995959 -1.1799596 1.083645731 0.52343471 -0.1046558
100287928 3.47131165 3.6279034 3.793431222 3.30793159 3.5460439
100287932 5.42759703 5.3312070 5.658278039 5.72739928 5.4967826
100288001 1.44541898 1.7235351 1.695132333 1.77795279 1.2606373
100288073 3.68547896 3.5998078 3.607331768 3.47877310 5.2780370
100288123 0.77329784 1.2318945 1.421546732 2.50345381 2.1212367
100288198 2.96248476 3.5711542 2.947252658 3.47877310 3.7431845
100288241 1.30442772 1.4985569 1.262466393 0.52343471 0.5045591
100288413 4.63129557 4.5876827 4.580969173 2.89014106 2.1212367
100288513 -1.17995959 -1.1799596 -1.179959587 -0.53456626 -1.1799596
100288842 1.80078773 2.2427511 0.641587334 0.52343471 2.0378517
100289061 0.97286465 -0.5568445 1.083645731 2.06225953 1.1054663
100289095 1.69177642 1.3713781 0.356565808 0.52343471 1.2606373
100289133 -0.07629974 0.2099330 0.356565808 1.12722400 1.1054663
100289178 2.70638564 1.9181165 2.658654354 3.02864630 2.1212367
100289211 0.54162447 0.7079502 2.027535016 1.66920350 2.0378517
100289259 0.54162447 1.0774677 -0.471860680 1.77795279 1.1054663
100289274 0.26549561 2.2427511 2.593298279 3.76961178 5.1348958
100289341 0.97286465 0.9045073 0.001015679 1.55158356 1.9493498
100289373 -1.17995959 -1.1799596 -1.179959587 -1.17995959 -0.5443604
100289388 1.90213758 2.5075871 1.083645731 2.78981785 2.9581574
100289414 -0.52506967 0.4803251 0.879482182 0.24898515 0.9315716
100289635 5.30341048 5.4302578 5.443294170 5.76090936 5.7922292
100289640 0.77329784 0.2099330 0.001015679 2.29965670 1.9493498
100289678 1.30442772 1.8241038 1.814647243 1.87907612 2.1212367
100293516 3.99173740 3.9727359 3.878190150 4.56062823 5.1248286
100294362 1.99683251 1.6154270 1.564815017 1.12722400 2.1212367
1003 -1.17995959 -0.1231025 -1.179959587 -0.09023682 0.5045591
100302692 1.57384988 0.4803251 1.564815017 2.78981785 2.0378517
100302736 0.54162447 1.3713781 1.262466393 1.42351627 1.8550620
100303728 3.65676233 3.7090492 3.048258768 3.19478769 3.9849763
100303755 0.97286465 1.8241038 2.123251228 2.06225953 1.2606373
100312828 -0.52506967 0.9045073 -1.179959587 0.95261529 -0.1046558
100312850 0.54162447 -0.1231025 -1.179959587 -0.53456626 0.5045591
10036 4.71724628 4.0370080 4.740407510 5.14166540 5.6866866
100379345 1.99683251 2.4457951 1.421546732 3.02864630 3.4199818
10038 5.50213270 5.5671439 5.497886827 5.90575818 5.9658202
100381270 1.14815036 0.4803251 0.641587334 1.12722400 0.9315716
10039 6.38121476 6.3059912 6.029560011 6.14789737 6.0426925
1004 7.34175204 7.3257422 7.335670822 7.50948264 7.4259465
10040 3.40379007 3.9727359 3.539552398 3.11410729 4.1529053
100418710 1.14815036 0.9045073 1.814647243 1.28296315 2.5401900
100418735 4.26340470 3.6279034 4.382479712 3.34375673 3.5759105
100418744 -0.07629974 0.4803251 0.001015679 1.28296315 1.1054663
100418770 -0.52506967 0.7079502 1.421546732 1.66920350 1.8550620
100418781 -0.52506967 0.4803251 0.879482182 1.28296315 0.9315716
100418819 0.77329784 1.2318945 1.083645731 1.77795279 1.8550620
100418829 1.90213758 2.2427511 1.421546732 1.77795279 1.9493498
100418888 1.44541898 1.7235351 1.814647243 1.87907612 1.4007276
100418889 2.39479835 2.9694717 1.925014355 1.66920350 2.9581574
100418910 0.77329784 1.0774677 0.356565808 -0.09023682 1.2606373
100418919 0.97286465 1.4985569 0.001015679 2.43866828 0.7338066
100419028 1.69177642 1.7235351 1.695132333 1.77795279 2.2000645
100419185 -1.17995959 -0.5568445 -1.179959587 -0.53456626 0.5045591
100419416 0.77329784 1.2318945 0.356565808 1.12722400 0.2318726
100419515 -0.07629974 0.4803251 1.083645731 0.95261529 0.9315716
100419645 0.54162447 0.4803251 0.001015679 -0.53456626 -1.1799596
100419758 -1.17995959 -0.1231025 -1.179959587 1.55158356 0.9315716
100419928 1.44541898 2.0063759 1.695132333 1.12722400 1.9493498
10042 5.42759703 5.5525601 5.533167013 5.17187526 6.0744238
100420028 -1.17995959 -1.1799596 -1.179959587 0.52343471 -0.1046558
100420050 -0.52506967 0.2099330 1.262466393 -0.53456626 0.2318726
100420110 2.70638564 3.1352373 2.452971602 3.44618503 3.4843893
100420187 2.24850828 1.3713781 1.262466393 1.28296315 2.2000645
100420259 3.47131165 3.6554623 3.734025969 3.82135230 3.6338504
100420307 -0.52506967 0.4803251 1.083645731 -1.17995959 0.5045591
100420341 5.02873260 5.5229427 5.122705785 5.53936966 5.1146906
100420423 0.97286465 0.2099330 1.262466393 -0.53456626 -0.1046558
100420591 1.99683251 1.8241038 1.083645731 -0.09023682 1.8550620
100420707 2.16939619 2.7312649 2.452971602 3.23349667 3.6338504
100420752 0.97286465 1.2318945 1.421546732 1.97357329 0.7338066
100420869 4.18512772 4.4839015 4.511909479 4.36531133 3.8930632
100420981 5.71208700 6.0445654 6.324583294 5.79365872 5.9488009
100421093 3.62746246 3.6825045 4.034089377 4.48243333 4.2671528
100421109 -0.52506967 -1.1799596 0.641587334 0.24898515 1.1054663
100421160 0.97286465 1.0774677 1.083645731 -1.17995959 0.5045591
100421175 1.44541898 1.2318945 0.356565808 2.43866828 0.9315716
100421246 1.14815036 1.0774677 0.641587334 1.55158356 2.1212367
100421311 1.99683251 1.8241038 0.641587334 2.22478231 2.5995529
100421372 1.14815036 -0.5568445 1.421546732 1.77795279 2.2000645
100421400 2.39479835 2.4457951 2.781103358 2.89014106 1.7541784
100421415 0.54162447 1.0774677 0.001015679 0.95261529 0.2318726
100421429 -0.07629974 0.7079502 0.641587334 -0.53456626 1.5284106
100421465 2.24850828 1.3713781 1.695132333 1.77795279 1.6457063
100421468 -0.07629974 -0.5568445 1.083645731 1.12722400 1.4007276
100421506 -0.07629974 -0.5568445 -1.179959587 -1.17995959 -1.1799596
100421569 0.77329784 0.2099330 0.879482182 1.28296315 0.5045591
100421595 1.14815036 1.2318945 0.641587334 1.66920350 1.1054663
100421794 2.86542980 3.5711542 3.354708980 3.27119413 3.5460439
100422106 1.80078773 1.0774677 2.893967681 1.66920350 2.8152298
100422338 1.57384988 1.8241038 1.814647243 2.14580828 2.1212367
100422546 -0.07629974 0.4803251 -0.471860680 -0.09023682 -0.1046558
100422561 3.87192429 3.9282399 4.009248185 4.09799169 4.0070679
10043 6.15863263 6.0022626 5.743587725 5.79365872 5.7922292
10044 1.80078773 0.9045073 2.297510468 0.95261529 0.7338066
10045 0.54162447 -0.1231025 0.001015679 1.87907612 1.4007276
10046 2.64922057 1.4985569 1.083645731 0.52343471 -0.1046558
10048 6.34116707 6.2528556 6.569398303 6.43207700 6.7864726
10049 5.58829371 5.6170565 5.396167155 5.45998148 5.1248286
100499177 3.00866875 3.2481490 3.607331768 3.91957862 3.5759105
100499483 1.57384988 1.3713781 1.564815017 0.95261529 0.2318726
1005 -0.07629974 1.7235351 1.083645731 1.28296315 0.9315716
100500719 0.54162447 -0.1231025 0.356565808 0.52343471 0.9315716
100505385 2.39479835 2.2427511 2.297510468 1.28296315 3.1687969
100505501 1.80078773 0.7079502 2.123251228 0.52343471 1.5284106
100505538 0.54162447 1.2318945 1.564815017 1.28296315 1.5284106
100505549 -0.52506967 0.2099330 0.001015679 -1.17995959 -1.1799596
100505573 6.12233529 5.7635466 6.176255054 6.24582025 6.3192041
100505576 4.39093318 4.2326590 4.564011687 2.62490045 3.2451348
100505616 0.26549561 -0.1231025 0.641587334 -0.09023682 -0.1046558
100505624 1.30442772 1.8241038 0.879482182 1.55158356 1.4007276
100505635 -0.52506967 -0.1231025 0.356565808 -0.09023682 -0.1046558
100505641 1.99683251 1.4985569 1.695132333 1.97357329 2.5995529
100505648 3.25845630 3.4186725 2.893967681 3.63150898 3.3866667
100505678 2.32350676 2.0063759 2.721177576 3.41284380 2.9120705
100505696 3.99173740 3.8105979 4.009248185 4.11881842 3.9625412
100505715 -0.07629974 -0.5568445 0.001015679 -0.09023682 -1.1799596
100505738 2.24850828 1.2318945 1.925014355 -1.17995959 -1.1799596
100505741 1.14815036 0.4803251 1.083645731 0.24898515 0.7338066
100505758 3.40379007 3.4504854 3.703380138 3.34375673 3.7431845
100505761 3.33295249 3.5711542 3.640063556 3.57234054 3.1290578
100505771 2.86542980 3.3528615 3.231249646 3.74302861 2.9120705
100505783 -0.07629974 -1.1799596 -1.179959587 -0.09023682 0.2318726
100505806 2.70638564 2.9694717 2.947252658 3.34375673 3.7692707
100505812 -0.07629974 -1.1799596 -1.179959587 0.95261529 -1.1799596
100505832 0.26549561 0.4803251 0.879482182 0.24898515 1.5284106
100505854 0.97286465 1.8241038 1.925014355 1.42351627 1.2606373
100505876 5.64055999 5.9251098 5.907157869 5.95870220 6.0744238
100505894 2.64922057 2.9694717 2.593298279 3.11410729 2.5995529
100505933 1.30442772 1.6154270 0.001015679 0.75392586 0.9315716
100505994 -0.07629974 -1.1799596 -1.179959587 -0.09023682 0.2318726
100506020 0.54162447 0.7079502 0.001015679 -0.09023682 0.7338066
100506033 4.88757196 4.9633817 5.297027095 4.75940163 4.5030642
100506054 0.97286465 0.2099330 0.356565808 -1.17995959 -0.1046558
100506068 0.77329784 0.7079502 0.641587334 -0.09023682 -1.1799596
100506070 1.90213758 0.9045073 1.814647243 1.66920350 1.1054663
100506083 0.26549561 0.2099330 1.564815017 0.24898515 0.7338066
100506100 1.57384988 -1.1799596 0.879482182 0.75392586 0.9315716
100506119 -0.07629974 0.7079502 0.641587334 0.75392586 0.5045591
100506127 2.08569290 2.8313144 2.593298279 2.84085132 2.5995529
100506142 0.54162447 0.4803251 -0.471860680 0.24898515 -0.5443604
100506144 -0.52506967 1.7235351 0.641587334 -1.17995959 0.2318726
100506161 0.97286465 1.4985569 2.027535016 1.55158356 2.0378517
100506211 6.46227662 6.5272334 6.655966645 4.95738772 5.4572123
100506235 1.30442772 1.3713781 1.695132333 1.55158356 1.9493498
100506258 -0.52506967 0.4803251 -0.471860680 1.12722400 2.2000645
100506282 2.64922057 3.3528615 2.297510468 3.02864630 2.5401900
100506286 1.30442772 1.9181165 1.695132333 -0.09023682 1.2606373
100506302 2.08569290 1.9181165 2.297510468 2.50345381 2.4135923
100506321 -0.07629974 1.3713781 -0.471860680 0.52343471 0.9315716
100506325 -1.17995959 1.2318945 -0.471860680 0.75392586 0.9315716
100506343 0.97286465 1.0774677 1.083645731 -0.09023682 0.9315716
100506365 4.82441907 5.3140166 5.443294170 5.45998148 5.6237398
100506368 0.54162447 -0.1231025 0.356565808 0.52343471 0.5045591
100506380 1.57384988 1.6154270 1.421546732 2.68199340 2.9120705
100506392 3.87192429 4.2326590 4.476099052 4.60558846 4.5787688
100506394 1.57384988 0.2099330 0.641587334 0.95261529 1.6457063
100506411 0.26549561 2.0895458 1.421546732 1.97357329 2.2000645
100506433 3.13896180 3.0955471 2.893967681 2.68199340 2.7642574
100506462 0.26549561 -0.5568445 0.879482182 1.12722400 0.9315716
100506469 3.00866875 2.7821568 2.721177576 3.84654294 4.1127198
100506495 0.77329784 0.9045073 0.641587334 1.12722400 1.1054663
100506504 1.80078773 2.0063759 2.377334035 2.29965670 2.5995529
100506540 1.30442772 1.6154270 0.641587334 2.06225953 1.5284106
100506581 2.81433872 2.9248733 2.524840414 2.43866828 3.1687969
100506606 -1.17995959 -1.1799596 -1.179959587 0.75392586 -0.5443604
100506658 -0.07629974 1.0774677 -1.179959587 0.95261529 0.5045591
100506668 3.29618518 2.6237566 2.838638933 3.30793159 3.3176357
100506686 2.08569290 2.0895458 1.083645731 1.28296315 1.7541784
100506691 -0.07629974 -1.1799596 0.001015679 -0.09023682 0.9315716
100506696 -0.07629974 0.2099330 -1.179959587 -0.09023682 -0.1046558
100506697 -0.52506967 -1.1799596 0.001015679 -0.09023682 -1.1799596
100506710 4.95987808 4.8723665 5.190568234 5.01407240 4.7325314
100506713 -0.52506967 -0.5568445 0.356565808 -0.09023682 -0.5443604
100506725 3.82106677 3.8588118 4.511909479 5.37596905 5.6093707
100506731 1.14815036 1.6154270 0.356565808 1.55158356 2.0378517
100506757 1.57384988 2.2427511 2.658654354 1.77795279 0.7338066
100506779 0.77329784 0.4803251 -1.179959587 0.24898515 -0.5443604
100506804 -0.07629974 -0.5568445 -0.471860680 1.42351627 1.5284106
100506826 1.99683251 1.9181165 1.695132333 2.29965670 1.5284106
100506844 2.91477328 3.3861422 2.027535016 2.22478231 2.1212367
100506866 6.49509073 6.8380418 6.811335439 7.45729066 6.9321372
100506881 2.39479835 1.4985569 1.421546732 1.28296315 2.2000645
100506885 0.97286465 -0.5568445 2.027535016 0.52343471 0.7338066
100506911 0.77329784 1.7235351 0.356565808 -0.53456626 0.2318726
100506922 -0.07629974 -0.5568445 0.356565808 0.24898515 0.5045591
100506930 3.99173740 3.5120811 3.672069172 -1.17995959 -1.1799596
100506994 1.30442772 1.6154270 -1.179959587 1.12722400 0.2318726
100507003 -1.17995959 -1.1799596 0.001015679 -0.09023682 -0.5443604
100507032 -1.17995959 -1.1799596 -1.179959587 -1.17995959 -1.1799596
100507034 3.29618518 2.8313144 2.781103358 3.19478769 3.2818406
100507050 1.80078773 1.2318945 1.083645731 -0.09023682 -1.1799596
100507053 -1.17995959 -1.1799596 -0.471860680 -0.09023682 -1.1799596
100507057 -1.17995959 -0.1231025 0.001015679 -1.17995959 -0.1046558
100507062 -0.52506967 -0.5568445 0.001015679 1.42351627 1.5284106
100507071 1.30442772 1.4985569 0.356565808 1.12722400 1.4007276
100507156 2.91477328 2.6237566 2.781103358 2.93780230 2.8644625
100507171 2.16939619 1.9181165 2.947252658 2.73691271 3.7166179
100507173 -0.52506967 -0.5568445 0.001015679 -0.53456626 0.2318726
100507178 0.26549561 -0.5568445 2.027535016 -1.17995959 -0.1046558
100507244 0.26549561 1.6154270 0.879482182 1.28296315 0.7338066
100507246 3.59755519 3.2839043 3.905371532 4.43339767 4.4066414
100507250 0.97286465 0.9045073 0.356565808 1.55158356 0.5045591
100507254 -0.07629974 0.4803251 1.083645731 -1.17995959 0.5045591
100507266 1.44541898 0.9045073 1.262466393 1.66920350 -0.1046558
100507290 5.22733176 5.0798329 4.725233590 4.49841504 4.9533955
100507291 -1.17995959 -0.1231025 0.001015679 0.75392586 1.8550620
100507303 2.86542980 2.6237566 1.925014355 1.77795279 2.5401900
100507308 1.69177642 1.2318945 0.641587334 -1.17995959 -0.1046558
100507316 -0.52506967 -0.1231025 0.356565808 -0.09023682 -0.1046558
100507331 1.14815036 2.3136554 2.524840414 0.95261529 1.2606373
100507347 0.77329784 2.2427511 0.879482182 2.56545468 1.2606373
100507373 2.08569290 2.5668408 2.377334035 2.22478231 1.6457063
100507392 -1.17995959 -1.1799596 0.001015679 -0.09023682 1.1054663
100507398 1.69177642 1.4985569 1.083645731 1.66920350 0.7338066
100507401 1.14815036 1.3713781 1.421546732 0.95261529 0.7338066
100507420 -0.07629974 -0.5568445 0.001015679 0.52343471 -1.1799596
100507433 2.81433872 3.2481490 2.947252658 2.98393922 2.9120705
100507436 -0.52506967 -1.1799596 0.001015679 0.24898515 0.5045591
100507437 0.97286465 1.7235351 1.695132333 1.28296315 1.6457063
100507459 1.30442772 1.3713781 1.814647243 1.12722400 0.9315716
100507463 -0.07629974 -0.1231025 0.001015679 0.24898515 -0.1046558
100507487 2.76137167 2.4457951 2.123251228 1.66920350 1.6457063
100507495 3.76835072 4.1575517 4.152257767 4.21866762 4.3899252
100507516 0.54162447 0.4803251 0.641587334 2.29965670 1.4007276
100507551 -1.17995959 0.7079502 -1.179959587 -0.53456626 0.7338066
100507557 0.77329784 2.1681812 1.925014355 1.42351627 2.0378517
100507564 1.69177642 1.2318945 1.083645731 0.52343471 1.2606373
100507567 -0.07629974 -1.1799596 -1.179959587 -0.53456626 -0.5443604
100507588 1.44541898 1.3713781 1.083645731 0.75392586 0.9315716
100507599 0.54162447 -0.1231025 0.001015679 1.28296315 0.9315716
100507602 4.31944552 4.4049176 4.457854896 4.96890423 4.5185263
100508120 0.97286465 0.7079502 1.262466393 2.06225953 1.2606373
10051 6.62677930 6.5309580 6.594666673 7.34687614 7.5095690
10052 1.90213758 1.6154270 1.083645731 1.55158356 2.4135923
100526737 2.39479835 1.8241038 2.027535016 1.97357329 1.7541784
100526760 1.69177642 1.3713781 1.695132333 1.87907612 2.4135923
100526820 1.30442772 1.4985569 1.083645731 -0.09023682 1.5284106
100526835 4.20509872 3.9282399 4.439377068 6.31513339 6.2091636
100527978 -1.17995959 -0.1231025 -1.179959587 0.24898515 0.2318726
100529145 1.90213758 1.2318945 1.925014355 1.12722400 1.4007276
100529215 -1.17995959 -1.1799596 1.083645731 0.24898515 -0.1046558
100532746 4.05912264 3.8588118 3.573840090 4.03364443 3.5460439
100533106 0.26549561 0.2099330 1.695132333 1.55158356 1.1054663
100533182 -0.07629974 -0.1231025 -0.471860680 -0.53456626 -1.1799596
100533619 -1.17995959 0.4803251 0.001015679 0.52343471 1.2606373
100533629 -1.17995959 -0.1231025 0.356565808 1.42351627 0.9315716
100533695 -1.17995959 -1.1799596 -1.179959587 0.24898515 0.2318726
100533970 1.30442772 1.4985569 1.695132333 2.14580828 0.7338066
100534593 0.54162447 -0.1231025 1.695132333 1.66920350 2.1212367
10054 6.06338485 6.2116788 6.209348603 6.06983083 6.1899789
10056 5.97309552 6.0652606 5.880010440 6.21229805 5.9141477
10057 7.44403024 7.3491372 7.199559958 7.64666844 7.3990493
10058 6.64882016 6.6384440 6.615390752 6.41533888 5.8298986
10059 7.03649448 7.1933437 7.177431373 7.60483627 7.4703526
1006 3.92104987 3.9727359 3.958244570 1.55158356 1.4007276
10060 3.74125231 3.2481490 3.850486801 4.48243333 4.7192108
100616256 0.77329784 0.7079502 0.356565808 -0.09023682 0.2318726
10062 1.30442772 1.9181165 2.213010288 0.24898515 1.1054663
10063 4.28232788 4.7110051 4.476099052 4.74607687 4.8471859
100652739 0.26549561 -0.5568445 0.001015679 0.52343471 1.4007276
100652758 1.80078773 1.2318945 1.814647243 1.12722400 1.8550620
100652846 2.24850828 1.6154270 2.452971602 2.78981785 3.0028176
10066 6.67411599 6.4545770 6.590485892 6.47713000 6.4579887
10067 6.39432070 6.0549501 6.095950207 5.83200121 5.7003094
10068 2.81433872 3.3528615 3.573840090 3.23349667 3.8691399
10069 2.76137167 2.5668408 2.781103358 3.23349667 2.9581574
10072 4.61645910 4.5292963 3.932050254 3.94312469 4.2853444
10073 4.01455066 3.6554623 3.703380138 3.57234054 4.0713828
10075 8.42101135 8.4092063 8.154139417 8.84970125 8.8878647
10076 4.53989801 3.9944796 4.106145261 4.38263652 4.7717708
10077 -1.17995959 -0.5568445 1.925014355 0.95261529 0.9315716
100775107 1.90213758 0.9045073 1.083645731 0.52343471 1.1054663
10078 4.68916118 4.8723665 4.439377068 3.87130127 4.9071537
10079 4.37339061 4.0159005 3.764034337 4.51422165 4.4874347
1008 3.74125231 3.5120811 3.734025969 3.23349667 2.2000645
10081 4.73108642 5.0174818 5.001986689 4.81150306 5.3489426
10082 6.79763327 6.9255310 6.611269683 7.28832928 7.0324797
100820829 6.04133672 5.8965238 5.946944578 6.53250756 6.1947991
10084 4.77182763 4.6574921 4.709898377 4.95738772 5.0309151
100847074 2.46273229 2.0063759 1.925014355 2.14580828 2.1212367
10085 8.71888820 8.8740040 8.946088245 7.22730563 6.9000310
100852407 1.14815036 1.3713781 0.001015679 1.55158356 1.9493498
100861412 -0.07629974 0.2099330 1.083645731 1.28296315 1.7541784
100861548 3.99173740 3.3187948 3.354708980 4.31205131 3.8930632
100862671 0.54162447 0.7079502 0.879482182 1.55158356 0.5045591
10087 6.64516999 6.6453328 6.745175208 6.15799421 6.3147828
100873257 -0.07629974 1.2318945 1.564815017 1.66920350 0.7338066
100873333 2.32350676 2.5075871 2.123251228 2.89014106 2.5995529
100873790 3.79494952 3.3528615 3.504429930 4.21866762 3.5155460
100873949 0.77329784 0.4803251 0.641587334 0.75392586 1.6457063
100873952 0.77329784 -0.1231025 0.879482182 0.75392586 -0.1046558
100873965 1.14815036 1.3713781 1.925014355 1.28296315 1.2606373
100874006 1.30442772 1.9181165 0.356565808 0.24898515 0.7338066
100874008 1.80078773 0.7079502 -1.179959587 -0.09023682 0.7338066
100874014 3.43794585 3.1352373 2.838638933 3.41284380 3.3525640
100874058 0.97286465 0.9045073 0.879482182 1.12722400 1.6457063
100874080 0.77329784 1.2318945 1.083645731 0.95261529 0.5045591
100874097 0.77329784 2.0063759 2.123251228 1.28296315 0.9315716
100874201 -0.52506967 -0.5568445 -1.179959587 0.24898515 -0.1046558
100874212 -0.52506967 0.2099330 0.001015679 0.95261529 1.1054663
100874217 0.26549561 -0.1231025 1.262466393 1.42351627 1.1054663
100874235 1.57384988 0.7079502 0.001015679 0.95261529 1.6457063
100874261 -0.07629974 0.4803251 0.641587334 0.24898515 -0.1046558
100874291 1.30442772 2.0895458 2.658654354 1.87907612 1.8550620
100874362 0.97286465 1.7235351 1.925014355 -1.17995959 0.5045591
100874523 1.90213758 1.6154270 0.356565808 1.77795279 1.9493498
100885775 -0.07629974 2.4457951 2.297510468 3.98909438 3.7692707
100885776 1.14815036 0.2099330 0.641587334 1.12722400 0.5045591
100885848 6.08510110 6.1500464 6.268116183 5.97592707 6.1458573
1009 9.61414557 9.5640718 9.556035049 8.35702162 8.2919994
10090 3.87192429 3.2839043 3.539552398 3.79571398 3.3866667
10092 7.22434552 7.3041398 7.370223423 7.48763141 7.5382972
10093 6.95037910 7.1767975 6.843311517 6.49715260 6.5772220
10094 4.03700877 3.7351143 3.932050254 3.47877310 3.3866667
10095 5.20766826 5.1298096 4.883966041 4.60558846 3.8930632
10097 8.22954600 8.3248294 8.216508786 7.74036343 7.6995987
10098 5.85165673 5.8010455 5.913865652 5.23999807 5.2318835
10099 8.01863332 8.1781625 8.131297440 7.96544785 7.6548234
100996246 2.24850828 2.5668408 2.893967681 2.43866828 1.6457063
100996251 1.44541898 2.3136554 0.001015679 2.37083616 1.8550620
100996307 1.90213758 2.3812376 2.593298279 2.98393922 1.9493498
100996384 2.64922057 2.5668408 2.123251228 2.14580828 2.4782793
100996419 -0.07629974 0.9045073 1.083645731 1.12722400 -0.5443604
100996485 1.90213758 0.9045073 2.123251228 1.55158356 1.4007276
100996539 -0.52506967 0.7079502 0.001015679 0.24898515 1.1054663
100996579 0.97286465 0.9045073 -0.471860680 0.95261529 0.2318726
100996696 3.71363514 4.0783185 3.703380138 4.01154136 3.6895529
100996842 1.90213758 1.3713781 2.297510468 2.73691271 3.4843893
100996851 0.26549561 -0.5568445 -1.179959587 0.24898515 -1.1799596
100996939 0.77329784 1.0774677 0.356565808 0.24898515 0.9315716
101 1.57384988 1.4985569 1.695132333 1.28296315 2.8152298
1010 2.52761069 3.4816119 3.314718374 2.14580828 1.9493498
10100 5.81313818 5.9697010 6.148085121 5.81295734 5.7271752
10101 5.39319241 5.2156238 4.755423493 4.59075685 5.3575657
10102 4.94807592 4.6844967 4.580969173 4.48243333 4.7588092
10103 -1.17995959 0.9045073 -1.179959587 -0.09023682 0.9315716
10105 6.68482274 6.8320162 6.807738395 6.97657606 7.2748101
10106 7.15673507 7.0860400 7.194059550 6.87617880 7.1363517
101060200 3.43794585 3.5120811 2.781103358 3.71594641 3.3176357
101060691 1.69177642 1.6154270 1.814647243 2.84085132 2.2000645
10109 8.35103503 8.4233026 8.467379337 7.93934216 7.9208264
10112 4.75837466 4.6437978 4.828244858 5.91769257 6.2467841
10113 6.51522690 6.1305405 6.153763283 6.00977186 6.1899789
10114 8.04102846 8.1840880 8.138474484 8.38737764 8.6435796
101154753 -0.52506967 -1.1799596 -1.179959587 -0.53456626 -0.5443604
10116 7.47725723 7.7610854 7.858032546 7.93934216 8.3665168
10117 -0.07629974 -1.1799596 0.641587334 0.52343471 -1.1799596
1012 7.47520282 7.4529069 7.473724183 6.25525668 5.9601694
10121 6.01329410 6.0288469 5.674168823 5.98729711 6.2233865
10123 6.00761957 5.9475777 5.859309285 4.98032954 5.3315402
101241892 5.51818594 5.2521841 5.212497753 5.48425996 5.5875450
10125 1.30442772 -0.1231025 0.356565808 1.77795279 2.4135923
10126 4.01455066 3.7090492 3.850486801 3.71594641 3.3525640
DMSO_2_C3 TUN_24_C3 THA_24_C3 DOX_24_C3 NUTL_24_C3
100 1.34476119 2.14114442 1.40229684 2.6354796 2.74853911
1000 11.20002798 11.32781103 11.67041929 9.7943443 11.55199067
10000 5.42664360 6.37525242 6.35111294 6.2380846 5.61775705
10001 4.53762344 4.37985910 4.41677240 5.6190148 4.30754586
10003 3.28315121 2.76404266 1.67522194 3.7473210 2.95733194
100037417 -1.17995959 -1.17995959 -1.17995959 -1.1799596 -1.17995959
100049716 3.23802418 2.76404266 3.12073789 3.4467768 2.90789775
10005 3.14330107 4.26540197 4.06005235 3.0031898 3.61052134
10006 6.59056608 6.93287021 6.85160388 6.5248010 6.60739278
10007 4.48064675 5.02077104 4.30068096 6.5360623 4.85591416
10009 5.42664360 5.48019927 5.23257237 5.2870526 5.23235788
100093630 6.29803677 6.99105526 6.97982450 5.6295668 6.46511493
1001 4.57439499 4.60050110 4.96658544 7.2814760 5.52243577
10010 5.26732865 5.53886448 5.48393606 5.7697217 5.57088352
100101267 2.38900934 2.30463334 2.10252819 2.7169020 2.43622528
100101467 4.15616047 4.87224987 5.11145469 3.8228259 4.88174946
10011 6.38340544 5.97496133 6.19727310 5.9986094 7.03333727
100113386 1.16355880 0.30487866 -0.01183807 1.7344777 1.34162346
100113397 1.50572315 -0.50223099 1.54520369 -1.1799596 1.73085223
100113407 4.57439499 4.70666548 4.41677240 7.0730799 4.12490591
100125288 0.95628348 2.87229125 3.07435037 4.0281809 2.21019031
100127983 3.28315121 1.95673234 2.10252819 -0.3180702 0.29423987
100128006 3.60087690 2.76404266 2.27651970 0.6075777 3.18189563
100128016 0.42301719 0.58492886 1.40229684 1.1668795 0.80693329
100128025 1.34476119 0.58492886 -0.01183807 3.6260942 0.57324235
100128054 1.16355880 1.85486034 -0.01183807 1.3818557 1.00799456
100128071 0.05788737 0.81935371 1.40229684 3.1858733 0.80693329
100128191 1.78209240 1.85486034 1.54520369 4.8370385 1.34162346
100128252 1.16355880 1.85486034 1.54520369 -1.1799596 0.80693329
100128379 1.65051550 2.05188293 1.90463785 0.9141642 2.03707053
100128398 4.51888013 4.91083800 5.62739312 4.4172790 4.88174946
100128494 3.09350038 2.87229125 2.69965600 3.9629239 2.69125225
100128569 1.16355880 2.37991731 2.00697337 2.5491857 2.21019031
100128640 -1.17995959 -0.04295545 -0.01183807 4.2358080 0.29423987
100128682 0.71415037 -1.17995959 -1.17995959 0.2177524 -0.05197669
100128731 6.02005397 6.28510438 6.58001985 6.7781716 6.25384938
100128766 3.14330107 2.58472683 2.81699573 2.6354796 2.21019031
100128782 2.68641728 1.62661050 2.35623101 2.8671356 1.61240600
100128822 -1.17995959 -1.17995959 -1.17995959 -1.1799596 -1.17995959
100128833 2.46930353 2.70671189 2.27651970 2.1407541 1.18443172
100128881 2.98842470 2.22520350 1.90463785 2.7169020 3.13969252
100128893 6.15969327 5.32692944 5.58666016 6.5527911 5.74987893
100129001 1.16355880 0.58492886 0.62507616 0.2177524 1.48335840
100129013 0.05788737 1.19781249 -0.01183807 2.0176179 1.18443172
100129029 -0.43215846 0.30487866 0.86197468 1.5689134 0.57324235
100129060 3.45074305 3.31741613 3.74171207 2.2542020 3.26276947
100129075 3.19143989 2.51963491 3.12073789 4.6630637 3.48129726
100129195 2.68641728 1.95673234 2.00697337 3.3982349 2.36474415
100129203 0.71415037 1.62661050 0.62507616 6.8385396 1.34162346
100129250 2.01393481 2.45146682 1.90463785 2.8671356 2.50433130
100129259 1.50572315 1.95673234 1.40229684 1.1668795 0.57324235
100129361 5.74157165 5.58731746 5.65129206 4.0906134 5.90909751
100129398 1.65051550 -0.50223099 0.86197468 1.1668795 1.34162346
100129434 -1.17995959 -1.17995959 -1.17995959 0.2177524 -1.17995959
100129461 1.16355880 1.49733975 0.34148501 1.5689134 0.80693329
100129484 1.34476119 3.06710046 2.27651970 3.0031898 1.34162346
100129550 4.88366102 5.64186297 4.52421388 5.7013455 5.13903896
100129583 0.42301719 1.19781249 2.10252819 1.7344777 1.34162346
100129662 1.50572315 -1.17995959 0.62507616 1.8829828 1.00799456
100129707 1.34476119 0.30487866 1.67522194 1.3818557 1.00799456
100129716 2.01393481 2.30463334 2.35623101 1.8829828 0.29423987
100129726 2.11723321 0.58492886 1.06540441 4.2631723 2.21019031
100129774 4.20387911 3.98103800 3.77109372 3.4937386 4.39983657
100129781 0.05788737 1.02095771 0.86197468 -1.1799596 0.80693329
100129792 0.42301719 1.02095771 0.62507616 1.1668795 -0.50842636
100129794 2.68641728 2.92351465 2.87227052 -1.1799596 2.56936662
100129842 -0.43215846 1.49733975 1.40229684 2.3593754 1.84030745
100129917 2.11723321 4.07464945 3.61780906 2.8671356 2.90789775
100129924 1.65051550 1.95673234 1.67522194 3.7080331 2.63159624
100129940 1.50572315 -0.04295545 -1.17995959 1.8829828 1.48335840
100129995 -1.17995959 -1.17995959 -0.01183807 -1.1799596 -1.17995959
10013 5.96572723 5.91294511 6.00663935 6.4009256 6.00624982
100130111 0.05788737 0.30487866 -1.17995959 0.9141642 -1.17995959
100130197 0.42301719 0.58492886 -0.01183807 1.5689134 -0.50842636
100130335 3.32690939 2.05188293 3.12073789 2.3593754 2.36474415
100130348 3.09350038 4.16255512 4.23893312 3.6260942 3.61052134
100130357 -0.43215846 0.81935371 -0.01183807 0.9141642 1.00799456
100130466 3.09350038 3.06710046 2.92550546 3.5833107 2.80363781
100130476 -1.17995959 0.58492886 -0.01183807 2.9367660 -1.17995959
100130522 1.16355880 0.58492886 1.67522194 4.0281809 -1.17995959
100130550 0.42301719 0.30487866 2.00697337 0.2177524 0.80693329
100130564 3.70403860 2.51963491 3.25157110 3.5833107 3.09621755
100130581 2.61761358 2.51963491 2.35623101 3.5833107 1.94204085
100130691 1.65051550 3.02080838 1.90463785 1.3818557 1.18443172
100130705 2.21362697 1.19781249 1.54520369 3.5392197 2.74853911
100130748 0.42301719 -0.04295545 -0.01183807 2.1407541 2.12622561
100130750 -1.17995959 -0.04295545 -1.17995959 -1.1799596 -1.17995959
100130855 1.65051550 1.95673234 1.40229684 1.7344777 1.84030745
100130958 0.42301719 -0.04295545 0.86197468 2.1407541 -0.50842636
100131017 -1.17995959 -1.17995959 -1.17995959 -1.1799596 -1.17995959
100131031 3.36937932 2.87229125 3.12073789 -0.3180702 2.50433130
100131033 2.30398158 1.74524467 2.35623101 2.7169020 1.61240600
100131067 2.87509064 1.49733975 2.27651970 3.0666896 2.12622561
100131089 2.01393481 2.37991731 1.79448528 2.6354796 -0.05197669
100131094 0.71415037 0.30487866 0.34148501 1.1668795 1.34162346
100131138 4.51888013 4.28511992 4.45348250 3.0031898 3.37616702
100131187 2.01393481 1.02095771 0.86197468 2.3593754 2.03707053
100131193 2.21362697 0.81935371 0.34148501 3.2419654 2.12622561
100131211 4.00273421 3.80100637 3.79988891 2.1407541 3.54735566
100131213 -0.43215846 0.30487866 -1.17995959 3.6676453 -0.05197669
100131471 2.21362697 2.51963491 2.00697337 0.9141642 1.61240600
100131656 3.36937932 3.19768039 2.97684575 4.6000753 2.50433130
100131685 1.78209240 1.95673234 1.54520369 2.2542020 1.94204085
100131691 1.50572315 1.95673234 2.97684575 5.2188102 2.90789775
100131740 1.50572315 0.58492886 1.90463785 1.5689134 0.29423987
100131801 3.48976645 2.81918198 3.12073789 4.9922733 3.83869833
100131827 0.05788737 1.62661050 1.40229684 0.2177524 1.00799456
100131828 0.05788737 -0.50223099 0.34148501 -0.3180702 -0.50842636
100131940 0.95628348 0.58492886 -0.01183807 1.7344777 -0.05197669
100132074 0.05788737 -1.17995959 -1.17995959 -1.1799596 -1.17995959
100132086 0.42301719 0.81935371 0.62507616 -0.3180702 0.80693329
100132116 6.48829419 4.53613304 5.05284985 5.3134707 6.41291442
100132126 -1.17995959 -1.17995959 -0.01183807 -1.1799596 0.57324235
100132215 3.23802418 1.49733975 1.54520369 2.6354796 2.50433130
100132537 1.34476119 0.30487866 -0.01183807 2.0176179 0.29423987
100132609 0.71415037 1.19781249 -0.48076819 -1.1799596 -0.50842636
100132659 0.95628348 1.19781249 1.24366209 1.1668795 0.57324235
100132891 -1.17995959 -0.04295545 1.40229684 -1.1799596 -0.05197669
100132972 1.16355880 2.14114442 1.67522194 0.2177524 0.29423987
100133234 0.05788737 0.58492886 1.40229684 1.5689134 1.48335840
100133286 -0.43215846 0.30487866 0.34148501 -0.3180702 -0.50842636
100133315 0.05788737 -0.04295545 -0.48076819 2.3593754 -1.17995959
100134934 2.21362697 0.58492886 1.24366209 1.1668795 1.18443172
10014 5.97950191 6.27527899 6.47233937 6.3823278 6.50721741
100144603 3.19143989 2.30463334 1.67522194 2.2542020 2.56936662
100144748 1.78209240 1.49733975 2.19214532 6.9224606 2.12622561
10015 7.62718382 7.58731116 7.57043467 6.4962571 7.79125700
10016 5.24469275 5.15541946 5.38288088 6.2654061 5.42915501
100170229 0.71415037 0.81935371 0.34148501 -0.3180702 1.34162346
100170841 3.76893022 4.45141142 4.25981076 7.4984943 2.63159624
10018 4.35946323 4.09713309 3.98680784 7.0259318 4.26891046
100188847 1.65051550 1.85486034 1.54520369 2.0176179 1.34162346
10019 3.91943423 4.69196912 4.76228912 5.9234187 3.70036887
100190938 1.78209240 1.19781249 0.86197468 2.6354796 0.29423987
1002 3.48976645 1.62661050 1.24366209 2.4573999 2.85670940
10020 3.36937932 4.80555012 4.47149309 3.8228259 3.41206841
10021 8.02932659 7.09525209 7.70402000 7.4155619 8.17107075
10023 0.05788737 2.58472683 2.00697337 5.1471788 2.12622561
10024 4.00273421 2.14114442 3.16568025 4.1208449 2.90789775
10026 6.79912631 6.60833645 6.96400891 7.0378641 7.30561683
100268168 -0.43215846 -1.17995959 1.67522194 2.2542020 -1.17995959
100270804 2.61761358 1.85486034 2.35623101 2.0176179 1.84030745
100270827 1.34476119 1.35533555 -0.48076819 0.9141642 1.00799456
100270840 3.91943423 3.39205289 2.57192086 2.2542020 2.56936662
100270854 1.90266576 2.64700826 2.35623101 2.8671356 2.12622561
100270865 3.70403860 2.92351465 3.29267208 3.1858733 3.54735566
100271271 3.32690939 3.56332001 3.02642164 2.7939735 3.09621755
100271332 1.65051550 2.58472683 2.63720166 0.9141642 1.34162346
100271415 2.68641728 2.05188293 2.92550546 3.6260942 1.61240600
100271479 -0.43215846 1.19781249 -1.17995959 0.6075777 -0.50842636
100271884 1.34476119 -1.17995959 -0.48076819 0.9141642 0.29423987
100272147 3.23802418 2.81918198 3.20926477 3.7855673 2.74853911
100286844 2.61761358 2.64700826 2.75951849 1.7344777 2.56936662
100287015 0.05788737 0.30487866 -1.17995959 0.6075777 0.80693329
100287049 2.01393481 1.19781249 0.34148501 1.5689134 -0.50842636
100287074 2.38900934 1.95673234 2.10252819 2.0176179 2.80363781
100287616 1.65051550 2.81918198 2.35623101 2.0176179 2.36474415
100287722 2.01393481 1.19781249 1.06540441 2.2542020 1.18443172
100287808 0.71415037 -1.17995959 -0.01183807 4.9423615 -0.05197669
100287837 -1.17995959 -1.17995959 -1.17995959 0.6075777 -1.17995959
100287896 3.36937932 3.31741613 3.68109030 0.9141642 3.64109647
100287902 0.95628348 -0.50223099 -1.17995959 2.0176179 -0.50842636
100287928 3.70403860 3.59526215 3.16568025 3.8591463 3.78494745
100287932 5.76562083 5.78722280 5.55322495 5.4387579 5.55491436
100288001 1.65051550 1.95673234 1.40229684 3.4937386 2.50433130
100288073 3.86110288 7.81630601 7.72293829 2.2542020 4.46964084
100288123 0.95628348 1.35533555 1.06540441 1.3818557 0.57324235
100288198 3.09350038 3.42797152 3.16568025 3.4937386 2.74853911
100288241 -0.43215846 0.81935371 1.06540441 0.6075777 1.34162346
100288413 2.98842470 3.77335059 4.28039058 3.9959213 2.80363781
100288513 -1.17995959 -1.17995959 -1.17995959 -1.1799596 -1.17995959
100288842 2.01393481 2.45146682 1.67522194 0.9141642 2.28953588
100289061 -1.17995959 0.81935371 0.34148501 2.7939735 -0.50842636
100289095 0.71415037 -1.17995959 0.86197468 2.1407541 0.57324235
100289133 1.34476119 0.30487866 -0.48076819 1.1668795 1.34162346
100289178 2.61761358 1.74524467 1.90463785 2.7939735 3.13969252
100289211 2.54536352 0.58492886 0.86197468 -0.3180702 1.73085223
100289259 0.42301719 1.85486034 1.24366209 0.6075777 0.57324235
100289274 3.76893022 5.84814283 5.56165668 5.0871974 3.81207320
100289341 1.78209240 1.95673234 1.90463785 4.2358080 -0.05197669
100289373 -1.17995959 -1.17995959 -1.17995959 3.3480026 -1.17995959
100289388 2.98842470 2.14114442 2.81699573 2.3593754 2.63159624
100289414 -0.43215846 0.30487866 0.34148501 0.6075777 0.57324235
100289635 5.74157165 6.08028538 6.06117780 3.3480026 5.69264632
100289640 1.78209240 2.76404266 2.10252819 3.6676453 1.73085223
100289678 1.16355880 2.64700826 2.35623101 3.0031898 1.94204085
100293516 4.59243517 4.02860286 4.19624900 2.2542020 4.82960776
100294362 0.05788737 1.19781249 2.19214532 1.7344777 1.48335840
1003 -1.17995959 -1.17995959 -0.01183807 0.6075777 0.57324235
100302692 1.90266576 2.58472683 3.64979662 1.5689134 2.12622561
100302736 1.65051550 2.87229125 3.25157110 1.8829828 1.48335840
100303728 3.60087690 3.15545347 2.57192086 2.7939735 3.57928417
100303755 0.95628348 1.19781249 1.24366209 -1.1799596 1.61240600
100312828 0.71415037 -1.17995959 0.62507616 -1.1799596 -0.05197669
100312850 -1.17995959 1.02095771 1.06540441 -1.1799596 -0.05197669
10036 4.57439499 3.85477657 3.79988891 4.8906609 4.28835749
100379345 3.04191895 2.58472683 2.43176777 -0.3180702 2.43622528
10038 5.80483283 6.42052884 5.87751281 3.3480026 5.79136098
100381270 -0.43215846 -0.50223099 0.34148501 -0.3180702 0.57324235
10039 6.05949727 5.99305801 5.75050977 5.3134707 6.06380711
1004 7.34807824 5.94428643 6.69944935 6.2586241 7.92306638
10040 3.52776205 4.14107573 4.54136787 2.6354796 3.96491713
100418710 1.90266576 0.81935371 2.00697337 2.2542020 2.21019031
100418735 3.83102826 3.15545347 3.16568025 4.0281809 3.37616702
100418744 1.90266576 1.02095771 1.06540441 2.3593754 -0.05197669
100418770 1.34476119 1.95673234 2.10252819 0.2177524 1.34162346
100418781 1.16355880 0.81935371 0.86197468 -0.3180702 0.29423987
100418819 0.71415037 2.30463334 1.24366209 1.5689134 1.48335840
100418829 2.01393481 2.51963491 2.35623101 -1.1799596 1.34162346
100418888 1.65051550 0.58492886 1.67522194 -0.3180702 1.48335840
100418889 2.68641728 2.30463334 2.81699573 1.8829828 2.69125225
100418910 0.42301719 0.30487866 -0.01183807 -0.3180702 1.48335840
100418919 1.50572315 2.30463334 2.10252819 2.7939735 2.43622528
100419028 2.30398158 2.05188293 1.67522194 0.9141642 1.61240600
100419185 0.95628348 1.35533555 1.54520369 0.2177524 1.34162346
100419416 1.16355880 0.58492886 1.54520369 2.1407541 0.80693329
100419515 1.50572315 -0.50223099 -0.01183807 -1.1799596 1.00799456
100419645 0.42301719 0.81935371 -0.01183807 -1.1799596 -0.05197669
100419758 1.16355880 1.62661050 1.24366209 2.0176179 1.34162346
100419928 1.34476119 2.58472683 2.19214532 1.7344777 1.94204085
10042 5.53321957 4.92347471 4.86123591 4.4885689 5.21213574
100420028 -1.17995959 -0.04295545 -0.01183807 1.3818557 -0.05197669
100420050 -0.43215846 0.58492886 -0.01183807 1.1668795 -0.05197669
100420110 3.45074305 3.62651237 3.90964494 3.5392197 3.26276947
100420187 1.34476119 2.45146682 1.24366209 2.5491857 1.61240600
100420259 3.73684923 3.53065460 3.98680784 3.2419654 4.24919771
100420307 1.16355880 0.30487866 1.24366209 0.9141642 -0.05197669
100420341 5.49536933 7.06134915 6.84471098 4.9253330 5.32942347
100420423 -1.17995959 -0.04295545 0.34148501 0.6075777 1.34162346
100420591 2.11723321 1.49733975 1.24366209 1.1668795 0.57324235
100420707 3.41063469 2.51963491 3.07435037 3.0666896 3.00512822
100420752 1.65051550 2.51963491 2.35623101 1.5689134 1.18443172
100420869 4.76141915 3.88092836 4.01163815 4.7622934 4.51986328
100420981 5.96572723 5.73082392 5.91747855 5.4743165 5.69992580
100421093 4.15616047 3.77335059 4.12975727 4.3422823 3.54735566
100421109 0.42301719 1.02095771 -0.01183807 1.3818557 0.57324235
100421160 0.05788737 0.58492886 0.34148501 0.6075777 0.57324235
100421175 1.78209240 1.85486034 1.67522194 4.0597348 0.80693329
100421246 2.11723321 2.05188293 1.06540441 1.5689134 0.80693329
100421311 2.61761358 2.45146682 1.67522194 1.5689134 2.63159624
100421372 1.34476119 0.81935371 1.54520369 2.4573999 1.84030745
100421400 2.11723321 2.45146682 1.79448528 0.9141642 2.21019031
100421415 1.90266576 1.19781249 1.40229684 -1.1799596 1.61240600
100421429 0.71415037 0.81935371 1.40229684 0.2177524 0.57324235
100421465 0.71415037 1.19781249 1.79448528 0.2177524 -0.50842636
100421468 1.50572315 0.30487866 0.62507616 0.6075777 0.29423987
100421506 -0.43215846 0.30487866 -0.01183807 0.2177524 -1.17995959
100421569 0.42301719 -0.04295545 0.34148501 1.3818557 1.18443172
100421595 1.16355880 1.62661050 0.86197468 2.0176179 1.48335840
100421794 2.93287028 3.88092836 3.20926477 3.5392197 2.36474415
100422106 2.01393481 1.85486034 1.90463785 1.1668795 1.48335840
100422338 2.01393481 2.22520350 1.79448528 0.6075777 1.94204085
100422546 1.16355880 1.19781249 -0.01183807 1.5689134 -1.17995959
100422561 3.83102826 4.09713309 4.08366351 2.0176179 3.57928417
10043 5.85799853 5.53886448 5.57003941 5.3003221 5.85142996
10044 0.05788737 1.49733975 -0.01183807 2.2542020 1.34162346
10045 0.42301719 2.22520350 2.63720166 1.8829828 0.57324235
10046 0.71415037 0.30487866 -1.17995959 1.1668795 0.29423987
10048 6.20729710 6.75340907 6.70326496 7.2814760 6.46511493
10049 4.86893534 5.31738573 5.59489928 6.8294151 5.61775705
100499177 3.36937932 3.82814196 3.33263450 2.4573999 3.78494745
100499483 1.34476119 1.02095771 1.67522194 2.3593754 2.03707053
1005 0.71415037 1.02095771 0.62507616 1.7344777 0.57324235
100500719 0.05788737 0.81935371 1.24366209 1.8829828 1.00799456
100505385 1.34476119 1.74524467 1.40229684 3.4937386 3.18189563
100505501 0.05788737 2.81918198 2.10252819 3.3480026 1.34162346
100505538 1.34476119 2.22520350 1.67522194 4.0597348 1.18443172
100505549 -0.43215846 -1.17995959 0.34148501 -1.1799596 -1.17995959
100505573 6.20143181 6.06895530 6.03113354 7.1074566 6.81941392
100505576 2.98842470 3.27859799 3.07435037 1.8829828 3.00512822
100505616 0.05788737 -0.04295545 0.62507616 0.9141642 0.29423987
100505624 1.50572315 0.81935371 2.00697337 0.2177524 0.80693329
100505635 -0.43215846 -1.17995959 -1.17995959 -1.1799596 -1.17995959
100505641 2.46930353 2.37991731 2.63720166 2.0176179 2.56936662
100505648 3.45074305 3.71639590 3.68109030 3.1858733 3.64109647
100505678 3.41063469 2.37991731 2.00697337 1.1668795 2.63159624
100505696 4.27262214 4.14107573 3.98680784 2.0176179 4.43516085
100505715 0.42301719 0.58492886 0.86197468 -1.1799596 1.00799456
100505738 -1.17995959 -0.04295545 -1.17995959 -1.1799596 -1.17995959
100505741 0.95628348 1.19781249 1.90463785 3.2419654 0.80693329
100505758 3.36937932 3.95665428 3.40938433 3.1275119 3.30156748
100505761 3.52776205 3.53065460 3.07435037 4.0281809 3.48129726
100505771 3.60087690 3.39205289 3.77109372 2.3593754 3.86484098
100505783 -1.17995959 -1.17995959 -0.48076819 3.1275119 -1.17995959
100505806 3.14330107 4.05180985 3.90964494 1.8829828 2.43622528
100505812 -1.17995959 -0.50223099 -0.01183807 0.2177524 0.57324235
100505832 1.50572315 -0.04295545 -0.01183807 1.3818557 -1.17995959
100505854 2.54536352 1.49733975 0.34148501 3.8945748 0.57324235
100505876 5.90205993 5.82138433 6.16443385 5.5429076 5.72868187
100505894 3.14330107 1.95673234 2.10252819 1.3818557 2.74853911
100505933 0.42301719 1.35533555 0.34148501 2.0176179 1.61240600
100505994 0.05788737 1.95673234 3.02642164 -1.1799596 0.29423987
100506020 0.05788737 0.30487866 0.62507616 -0.3180702 0.80693329
100506033 4.83902526 5.19764737 5.05284985 4.8001499 5.35731382
100506054 0.95628348 -0.50223099 0.34148501 1.3818557 0.80693329
100506068 0.05788737 -0.04295545 -0.01183807 1.5689134 -1.17995959
100506070 2.11723321 1.62661050 -0.01183807 0.2177524 1.18443172
100506083 0.71415037 1.19781249 0.86197468 0.2177524 1.18443172
100506100 0.42301719 0.81935371 0.62507616 0.9141642 0.80693329
100506119 0.42301719 -0.04295545 -0.48076819 1.8829828 -0.50842636
100506127 2.93287028 1.74524467 2.10252819 2.8671356 3.05139167
100506142 1.16355880 1.02095771 0.34148501 0.6075777 1.00799456
100506144 -0.43215846 1.19781249 0.86197468 0.2177524 0.29423987
100506161 1.65051550 2.05188293 1.67522194 0.9141642 1.61240600
100506211 5.31156206 2.05188293 2.81699573 0.9141642 4.39983657
100506235 0.95628348 1.74524467 2.00697337 3.5392197 2.03707053
100506258 0.95628348 1.62661050 -0.48076819 1.8829828 2.28953588
100506282 2.98842470 1.95673234 2.87227052 2.8671356 2.90789775
100506286 1.78209240 0.58492886 -0.48076819 4.5565014 2.74853911
100506302 2.38900934 1.74524467 2.81699573 2.1407541 1.84030745
100506321 0.42301719 1.49733975 0.34148501 1.5689134 0.57324235
100506325 0.71415037 1.35533555 1.24366209 1.1668795 1.34162346
100506343 -1.17995959 0.81935371 0.34148501 1.8829828 1.00799456
100506365 5.27851480 5.50563415 5.60309161 5.1617924 5.13903896
100506368 0.71415037 -0.04295545 -0.01183807 0.2177524 1.48335840
100506380 2.68641728 3.19768039 3.74171207 2.0176179 2.63159624
100506392 4.69618103 4.66211952 4.35989408 2.8671356 4.18838990
100506394 1.16355880 -1.17995959 0.86197468 3.4937386 1.34162346
100506411 1.50572315 0.30487866 1.40229684 3.3480026 0.80693329
100506433 2.30398158 1.02095771 2.19214532 -1.1799596 2.90789775
100506462 0.71415037 -0.50223099 -0.01183807 3.8228259 1.48335840
100506469 4.18021707 3.93185134 4.32068992 4.3927108 3.48129726
100506495 0.05788737 -0.04295545 0.86197468 3.5833107 1.48335840
100506504 1.34476119 2.37991731 2.69965600 0.2177524 2.43622528
100506540 1.50572315 1.02095771 0.34148501 2.1407541 1.34162346
100506581 2.98842470 3.56332001 3.93582716 2.6354796 2.85670940
100506606 0.71415037 0.58492886 0.62507616 2.0176179 0.29423987
100506658 0.71415037 2.64700826 2.57192086 4.3422823 0.29423987
100506668 2.75208848 3.15545347 2.97684575 2.8671356 3.05139167
100506686 0.95628348 2.76404266 2.27651970 0.2177524 2.12622561
100506691 -0.43215846 0.30487866 -0.01183807 -0.3180702 -0.05197669
100506696 -1.17995959 -1.17995959 -1.17995959 3.4467768 -1.17995959
100506697 -1.17995959 0.58492886 -0.48076819 -1.1799596 -1.17995959
100506710 4.76141915 5.70177555 5.27421040 5.4743165 5.11745538
100506713 0.05788737 0.30487866 -1.17995959 -1.1799596 0.80693329
100506725 5.28961488 4.39808261 4.35989408 2.9367660 4.86888964
100506731 0.95628348 2.05188293 0.86197468 4.9423615 1.73085223
100506757 2.46930353 2.51963491 2.97684575 2.0176179 1.84030745
100506779 0.71415037 -1.17995959 -0.48076819 0.9141642 0.80693329
100506804 0.05788737 -0.04295545 0.34148501 3.0666896 0.57324235
100506826 1.50572315 1.19781249 1.79448528 1.7344777 2.12622561
100506844 3.09350038 4.30457201 3.58509616 3.3982349 3.44709804
100506866 7.17032498 6.65454759 6.19727310 5.4625607 6.28806274
100506881 2.75208848 2.37991731 2.43176777 5.3648984 1.94204085
100506885 -1.17995959 -0.04295545 0.62507616 1.5689134 0.29423987
100506911 0.05788737 0.81935371 -0.01183807 0.9141642 -0.50842636
100506922 0.05788737 0.58492886 0.86197468 3.6676453 -0.05197669
100506930 0.05788737 -1.17995959 -1.17995959 0.6075777 -0.05197669
100506994 0.95628348 -0.50223099 1.54520369 2.2542020 0.80693329
100507003 -1.17995959 -1.17995959 -1.17995959 -1.1799596 -1.17995959
100507032 -1.17995959 -1.17995959 -1.17995959 -1.1799596 -1.17995959
100507034 2.68641728 3.35521712 3.44628051 4.9922733 3.37616702
100507050 1.50572315 -1.17995959 -1.17995959 2.8671356 0.57324235
100507053 -1.17995959 -1.17995959 -1.17995959 0.2177524 -1.17995959
100507057 0.05788737 -0.04295545 -1.17995959 -0.3180702 -0.05197669
100507062 -0.43215846 -0.04295545 0.34148501 3.7080331 -0.05197669
100507071 1.34476119 -0.04295545 0.34148501 1.3818557 0.80693329
100507156 3.32690939 1.74524467 1.24366209 3.4467768 2.74853911
100507171 2.38900934 3.93185134 3.37151973 1.5689134 2.63159624
100507173 -1.17995959 0.81935371 0.34148501 -0.3180702 0.57324235
100507178 0.42301719 0.58492886 0.86197468 0.6075777 0.29423987
100507244 -1.17995959 1.02095771 1.06540441 1.3818557 1.84030745
100507246 3.86110288 3.71639590 4.10689447 2.9367660 3.98888789
100507250 1.90266576 1.74524467 0.86197468 1.5689134 0.57324235
100507254 0.71415037 -0.04295545 -0.01183807 -1.1799596 -1.17995959
100507266 1.16355880 0.58492886 0.34148501 0.6075777 -0.50842636
100507290 5.06255650 4.87224987 4.43524421 4.2631723 4.89449566
100507291 1.34476119 1.35533555 1.54520369 0.2177524 1.34162346
100507303 2.61761358 3.65710000 2.50354557 2.5491857 2.69125225
100507308 -1.17995959 -0.04295545 0.62507616 -1.1799596 -1.17995959
100507316 0.05788737 0.58492886 -0.01183807 0.2177524 -0.05197669
100507331 0.71415037 2.30463334 1.67522194 3.7080331 2.43622528
100507347 1.65051550 2.70671189 2.92550546 4.3163913 2.43622528
100507373 1.65051550 1.85486034 2.00697337 3.7473210 1.00799456
100507392 -1.17995959 -1.17995959 -0.01183807 0.2177524 -1.17995959
100507398 1.78209240 0.58492886 1.24366209 2.0176179 2.03707053
100507401 1.16355880 0.58492886 1.06540441 2.2542020 1.00799456
100507420 -1.17995959 -1.17995959 -0.01183807 -1.1799596 -1.17995959
100507433 2.75208848 2.45146682 2.19214532 3.9291541 3.18189563
100507436 0.42301719 1.02095771 0.62507616 1.8829828 1.34162346
100507437 1.78209240 1.85486034 1.67522194 1.1668795 2.74853911
100507459 1.50572315 1.19781249 1.54520369 3.6260942 2.21019031
100507463 -0.43215846 1.02095771 -1.17995959 1.5689134 -0.05197669
100507487 2.46930353 3.11195322 2.10252819 2.5491857 2.95733194
100507495 4.80848192 4.56867603 4.12975727 3.8228259 4.05849929
100507516 1.16355880 0.81935371 0.62507616 -1.1799596 1.94204085
100507551 -1.17995959 1.02095771 1.24366209 0.2177524 -0.05197669
100507557 2.54536352 2.51963491 2.00697337 2.6354796 1.18443172
100507564 2.54536352 1.49733975 2.19214532 0.9141642 1.94204085
100507567 -1.17995959 -1.17995959 -1.17995959 1.8829828 -0.50842636
100507588 0.95628348 1.19781249 1.06540441 0.6075777 0.29423987
100507599 0.05788737 -0.04295545 -0.01183807 2.0176179 1.61240600
100507602 4.59243517 4.55249629 5.20053575 4.0906134 4.28835749
100508120 2.11723321 2.51963491 1.54520369 0.2177524 2.50433130
10051 7.30769958 6.26041428 5.80833992 6.7201121 6.58003762
10052 1.90266576 1.62661050 1.79448528 2.2542020 2.12622561
100526737 2.46930353 2.22520350 2.27651970 1.5689134 2.43622528
100526760 1.65051550 2.45146682 2.50354557 1.3818557 2.43622528
100526820 1.16355880 -1.17995959 1.06540441 1.5689134 1.18443172
100526835 6.36777887 4.45141142 4.94096045 1.5689134 5.32000557
100527978 -1.17995959 0.30487866 1.06540441 0.9141642 1.00799456
100529145 1.65051550 0.30487866 2.10252819 1.1668795 1.94204085
100529215 0.71415037 0.58492886 0.34148501 1.5689134 -1.17995959
100532746 3.45074305 4.11927171 4.25981076 4.1208449 4.05849929
100533106 1.78209240 0.58492886 0.86197468 0.2177524 0.29423987
100533182 0.05788737 1.02095771 0.62507616 2.7939735 0.57324235
100533619 0.05788737 -0.04295545 0.62507616 4.6000753 1.00799456
100533629 1.34476119 0.81935371 -0.01183807 1.3818557 0.29423987
100533695 0.95628348 -0.04295545 0.34148501 0.6075777 -0.05197669
100533970 0.71415037 1.74524467 1.40229684 2.8671356 1.34162346
100534593 1.78209240 1.49733975 2.19214532 3.8591463 3.05139167
10054 6.14142892 6.34738844 6.31665637 6.1455374 6.01210999
10056 6.13528906 6.39806824 6.22938145 4.4651949 5.98852513
10057 7.70593774 7.39201681 7.49099275 8.0134502 8.24881912
10058 6.43929692 7.54704735 7.19563900 6.8294151 6.37248593
10059 7.59622694 6.54022826 6.46786039 6.6596179 7.38227674
1006 2.01393481 0.58492886 -1.17995959 1.3818557 1.61240600
10060 4.83902526 4.26540197 4.57507581 4.6213784 4.03566666
100616256 -1.17995959 -0.04295545 -0.48076819 0.2177524 0.57324235
10062 -0.43215846 1.02095771 1.90463785 1.5689134 2.36474415
10063 4.85405781 4.18371940 4.67171709 4.3422823 4.14637913
100652739 0.05788737 1.19781249 1.67522194 0.2177524 0.29423987
100652758 1.65051550 1.02095771 1.54520369 4.4172790 1.18443172
100652846 2.81490004 1.35533555 1.24366209 1.5689134 3.09621755
10066 6.71517209 7.25875051 7.20643356 6.0700747 6.95944087
10067 6.16573036 6.43383925 6.60878401 5.9319694 6.42174673
10068 2.98842470 1.95673234 2.87227052 4.8187121 3.18189563
10069 3.23802418 3.77335059 3.48225657 5.2464957 3.30156748
10072 4.40099908 2.92351465 4.12975727 4.7234166 4.32648237
10073 3.28315121 3.62651237 3.44628051 3.2959580 3.81207320
10075 8.59793326 8.78490994 8.82662429 8.9959985 8.84339201
10076 4.25006980 4.84593884 4.67171709 5.5976764 4.85591416
10077 2.21362697 1.35533555 2.19214532 1.3818557 -0.05197669
100775107 1.34476119 1.74524467 1.06540441 0.9141642 0.57324235
10078 4.38038063 4.92347471 5.06476282 5.4387579 4.38184471
10079 4.95511580 4.73561654 4.83365102 4.8730073 5.11745538
1008 2.68641728 2.30463334 2.57192086 0.9141642 4.36362563
10081 4.86893534 5.48872748 5.42969424 6.7923285 5.32000557
10082 7.16128875 7.11741937 7.12343415 7.0998878 7.50371311
100820829 6.31443293 4.67712152 4.68721282 3.9291541 6.34023911
10084 5.15042106 4.79183197 5.04083769 5.0562448 4.82960776
100847074 2.01393481 2.45146682 2.00697337 2.4573999 1.18443172
10085 7.08050918 7.28836211 7.37139002 7.6251704 7.56877569
100852407 0.05788737 1.85486034 1.24366209 0.6075777 -0.05197669
100861412 -1.17995959 1.19781249 0.86197468 0.9141642 -0.50842636
100861548 3.97549848 5.37372333 5.43887735 5.5090196 4.74768193
100862671 0.95628348 1.95673234 1.24366209 1.1668795 1.48335840
10087 6.43929692 6.42941608 6.92532876 7.7294047 6.67912953
100873257 1.50572315 1.74524467 0.86197468 2.0176179 1.73085223
100873333 2.93287028 2.51963491 2.50354557 2.8671356 2.56936662
100873790 4.10680935 3.46301756 3.12073789 4.3422823 3.61052134
100873949 1.34476119 0.81935371 1.24366209 0.6075777 1.48335840
100873952 0.05788737 0.58492886 -1.17995959 0.2177524 1.18443172
100873965 2.01393481 1.85486034 1.24366209 1.3818557 2.03707053
100874006 1.34476119 1.95673234 1.40229684 -0.3180702 1.34162346
100874008 0.95628348 1.02095771 1.79448528 3.0031898 -0.50842636
100874014 3.56478260 3.23870643 3.55162426 0.2177524 3.48129726
100874058 1.65051550 2.76404266 0.86197468 -1.1799596 2.21019031
100874080 1.34476119 1.02095771 -1.17995959 1.7344777 -0.05197669
100874097 0.95628348 1.02095771 1.90463785 1.3818557 1.18443172
100874201 0.05788737 0.58492886 0.86197468 -1.1799596 -0.50842636
100874212 0.95628348 1.35533555 0.62507616 -0.3180702 -1.17995959
100874217 0.95628348 0.30487866 0.86197468 0.2177524 0.80693329
100874235 2.01393481 0.30487866 0.62507616 0.2177524 1.84030745
100874261 -1.17995959 -1.17995959 -0.01183807 -1.1799596 0.29423987
100874291 1.34476119 0.81935371 1.40229684 -1.1799596 -0.05197669
100874362 0.05788737 1.35533555 0.62507616 1.5689134 -1.17995959
100874523 1.50572315 1.35533555 1.06540441 0.6075777 2.36474415
100885775 3.63609016 0.30487866 1.54520369 2.5491857 2.21019031
100885776 1.65051550 2.81918198 1.67522194 0.6075777 1.61240600
100885848 5.87283569 4.41607880 4.21774891 4.7035782 5.49758781
1009 8.11294047 7.38746333 7.67516913 6.8833164 8.67630811
10090 2.98842470 4.61615419 4.12975727 5.7601498 3.70036887
10092 7.25487543 7.33167020 7.33003553 6.5304426 7.23220468
10093 6.23052265 6.22512249 6.31665637 6.3054422 6.61125866
10094 3.45074305 3.46301756 3.71171958 3.6676453 3.13969252
10095 3.73684923 4.77798214 5.49278135 5.0405159 4.43516085
10097 7.64889612 7.49719888 7.73417133 8.0707135 7.95839869
10098 5.49536933 5.63419589 5.80123666 5.8621014 5.81836753
10099 8.03593331 8.26165492 8.37306338 7.6198880 7.96898248
100996246 2.11723321 2.22520350 1.40229684 0.9141642 1.84030745
100996251 2.30398158 1.49733975 1.24366209 1.5689134 1.00799456
100996307 1.50572315 1.35533555 1.54520369 1.1668795 1.61240600
100996384 2.75208848 1.49733975 1.54520369 3.1858733 2.56936662
100996419 0.95628348 1.02095771 1.24366209 2.6354796 1.00799456
100996485 2.11723321 1.49733975 1.24366209 1.8829828 2.03707053
100996539 1.16355880 1.35533555 -0.48076819 2.4573999 1.00799456
100996579 0.42301719 1.49733975 1.40229684 0.2177524 1.34162346
100996696 3.56478260 3.68705257 3.37151973 2.9367660 3.83869833
100996842 1.78209240 2.30463334 2.57192086 2.2542020 2.36474415
100996851 -1.17995959 -0.04295545 1.06540441 -0.3180702 -0.05197669
100996939 0.42301719 1.02095771 1.06540441 0.2177524 1.34162346
101 1.16355880 1.62661050 2.10252819 3.5833107 2.85670940
1010 2.21362697 1.62661050 1.54520369 -1.1799596 -0.05197669
10100 5.96572723 4.18371940 3.96154268 4.1794712 5.00441075
10101 5.07544098 5.48872748 5.47503620 6.4434103 5.05069685
10102 4.61025255 5.06706430 5.04083769 4.2079146 5.23235788
10103 0.71415037 1.02095771 1.06540441 2.2542020 1.84030745
10105 6.95366237 6.06325672 6.18094691 5.9986094 6.52781668
10106 6.80687292 7.58333497 7.66346527 7.9025354 7.20432256
101060200 3.41063469 3.82814196 3.74171207 3.4467768 3.44709804
101060691 1.16355880 2.14114442 1.40229684 1.3818557 1.18443172
10109 8.00090550 7.65896038 7.80157340 7.8197179 8.07075729
10112 5.34386924 3.85477657 3.37151973 5.1762595 4.55239919
10113 6.11671112 7.54295847 7.01094486 5.8350033 6.32619530
10114 8.35935290 7.94737852 8.15218791 9.0302487 8.10406175
101154753 0.95628348 0.30487866 0.34148501 0.2177524 -0.05197669
10116 8.02435161 7.94892454 7.96463915 6.8964828 7.31275670
10117 0.05788737 1.02095771 1.40229684 2.8671356 0.57324235
1012 6.07240898 6.37984454 6.49892512 6.7348475 6.88155411
10121 5.74963267 5.80098463 6.08477070 5.5650652 6.24889485
10123 4.85405781 4.51958207 5.41115078 5.9573215 5.18126091
101241892 5.79707523 4.69196912 5.14550790 4.4651949 5.30098330
10125 2.01393481 0.81935371 0.86197468 3.9629239 1.61240600
10126 3.41063469 2.97298153 2.69965600 3.2959580 3.30156748
DMSO_24_C3 LPS_24_C3 TNFa_24_C3 H2O_24_C3 BPA_24_C3 PFOA_24_C3
100 2.60150296 1.63577771 2.0534609 0.5109200 2.62025401 2.3233325
1000 11.24149521 11.31790461 11.3171949 11.3061837 11.32723515 11.2435452
10000 5.39796961 5.75652521 5.5569462 5.6705163 5.60965622 5.6205518
10001 4.41954890 4.16347432 4.3998115 4.3534026 3.98422859 4.2246105
10003 3.74884470 2.97222156 3.5969635 4.0449837 3.59740513 3.5813779
100037417 -1.17995959 -1.17995959 -1.1799596 -1.1799596 -1.17995959 -1.1799596
100049716 3.47441255 3.02568088 2.5212649 3.1106951 3.15025467 2.4555544
10005 3.82983172 3.61953991 3.9583699 3.3613910 3.37392137 3.9385497
10006 6.34290132 6.56447902 6.6900180 6.6781755 6.61412635 6.5303210
10007 4.74598525 4.82212844 4.8869670 4.8232338 4.62988586 5.0172941
10009 5.50047943 5.56217363 5.3286758 5.1900816 5.51105172 5.3671170
100093630 6.49342937 6.31893987 6.5744377 6.2636708 6.30110462 6.4923369
1001 4.52058889 4.48306381 5.4296911 4.8885650 4.47752717 4.9627795
10010 5.63614085 5.37917494 5.6887797 5.2658004 5.36234080 5.6553445
100101267 2.04563778 1.49124116 2.5863628 2.4220547 1.77359278 1.8334012
100101467 4.99455894 4.64555913 4.6486946 4.9662766 4.65851775 4.8945207
10011 7.08431040 6.65632070 7.0254588 6.7101508 6.67144357 6.7840549
100113386 0.28405821 -1.17995959 -0.0419923 1.6155496 1.27886712 1.2405219
100113397 0.03358485 0.70162498 0.3060138 0.8096807 0.75023235 1.6245190
100113407 4.48352319 3.39418807 3.8298529 4.0733583 4.58584354 3.6100392
100125288 2.64691112 2.19810589 1.4988296 2.5885809 2.36625878 1.8334012
100127983 2.23595552 1.49124116 2.5863628 1.6155496 2.14130309 2.3233325
100128006 3.42313351 3.12700026 3.2403897 2.4220547 3.10935770 2.9348749
100128016 0.28405821 -1.17995959 1.4988296 2.0171658 0.94875309 0.7157058
100128025 0.28405821 0.70162498 -0.0419923 1.2681669 0.51996830 0.2165075
100128054 0.84783949 1.76714337 2.1427336 2.2337677 1.66489399 1.2405219
100128071 -0.26970437 -0.43907615 -0.0419923 0.5109200 -1.17995959 0.4875912
100128191 1.82634265 0.70162498 0.3060138 1.0570609 0.24584096 1.7327373
100128252 1.82634265 2.10182551 0.5861753 0.5109200 1.27886712 0.9126276
100128379 1.46994728 1.63577771 0.5861753 1.6155496 2.22025050 2.0990649
100128398 4.80726652 5.20473719 4.9501614 5.2534534 4.80657672 4.6123416
100128494 2.60150296 3.02568088 2.1427336 2.6651499 2.05778415 2.5766691
100128569 2.35017800 2.28836087 1.3567969 1.8953076 1.54733313 2.3233325
100128640 -0.65420242 1.49124116 -1.1799596 0.1336867 -0.53636953 -0.1175793
100128682 0.99556876 -1.17995959 -1.1799596 -1.1799596 -0.53636953 0.4875912
100128731 6.41685459 5.91366581 6.2011300 5.7605193 6.11220252 6.0288163
100128766 3.42313351 2.60169165 2.8208374 2.6651499 3.50583029 2.5766691
100128782 3.00176872 1.63577771 2.0534609 2.2337677 2.83615502 2.3233325
100128822 -1.17995959 -1.17995959 -1.1799596 -1.1799596 -1.17995959 -1.1799596
100128833 2.35017800 2.60169165 2.2268027 2.0171658 2.43407126 2.2523809
100128881 2.45601684 1.63577771 1.6281240 2.1295279 2.67733304 3.0227706
100128893 6.54830588 6.05535918 6.0592897 6.0375246 6.62504822 6.4374210
100129001 0.99556876 1.33059533 1.6281240 1.0570609 0.75023235 1.7327373
100129013 0.03358485 1.33059533 1.4988296 0.1336867 -0.53636953 0.4875912
100129029 0.03358485 1.14979357 0.5861753 -1.1799596 -0.09288813 1.0858702
100129060 3.57180667 3.35295347 3.2403897 3.7255334 3.22872678 3.0647885
100129075 3.34262655 2.73605614 2.9746481 3.7255334 3.37392137 2.7411782
100129195 2.69093358 2.45351591 3.0224782 1.4522887 2.05778415 2.2523809
100129203 0.99556876 -1.17995959 0.5861753 1.2681669 1.66489399 0.9126276
100129250 1.36516333 2.28836087 2.1427336 1.2681669 2.56082333 2.2523809
100129259 1.36516333 1.33059533 0.5861753 0.5109200 1.41933587 2.0990649
100129361 6.10331880 5.70009659 5.8891251 5.3837852 5.52666726 5.8660631
100129398 0.28405821 1.14979357 1.4988296 1.6155496 0.75023235 1.7327373
100129434 -0.26970437 -1.17995959 -1.1799596 -1.1799596 0.24584096 -1.1799596
100129461 0.68323902 0.04802649 0.3060138 1.2681669 1.66489399 1.6245190
100129484 2.29419688 0.70162498 1.9582975 2.0171658 1.12323157 1.3801889
100129550 5.32999333 5.13347256 4.8998293 5.0255659 4.99797611 4.9403835
100129583 -1.17995959 -1.17995959 -1.1799596 0.1336867 -0.09288813 -1.1799596
100129662 0.68323902 -0.43907615 1.0223396 0.8096807 -0.53636953 -1.1799596
100129707 1.12956609 0.41152675 0.5861753 1.4522887 1.77359278 1.3801889
100129716 1.36516333 1.76714337 1.6281240 1.7621991 1.41933587 1.9274972
100129726 1.36516333 0.70162498 1.1992387 1.7621991 1.41933587 1.3801889
100129774 4.35260560 4.01276881 3.8826413 3.8290062 4.05054192 3.9157713
100129781 0.28405821 1.14979357 1.0223396 0.5109200 1.66489399 1.2405219
100129792 0.49741102 -1.17995959 -0.5015688 0.8096807 1.12323157 0.2165075
100129794 2.73365242 2.73605614 3.1136289 3.3146162 1.96913149 3.0647885
100129842 0.03358485 1.14979357 1.6281240 1.4522887 1.27886712 1.3801889
100129917 2.55461902 2.19810589 2.0534609 3.0548696 1.66489399 1.6245190
100129924 2.29419688 0.70162498 2.4530902 2.5885809 2.36625878 1.5075202
100129940 0.68323902 1.49124116 1.1992387 0.8096807 1.12323157 0.9126276
100129995 -1.17995959 0.04802649 -0.0419923 0.1336867 -0.09288813 -1.1799596
10013 6.15923270 5.92777611 6.4705018 5.9407361 5.74930517 5.9070619
100130111 -0.65420242 -1.17995959 1.3567969 0.1336867 0.51996830 1.0858702
100130197 0.03358485 -0.43907615 0.8206781 -0.3785154 -0.53636953 0.2165075
100130335 3.52393132 2.85896592 2.7083584 2.5077191 2.78513266 3.7453802
100130348 3.34262655 2.37330041 3.2403897 3.6893249 3.33896954 3.3289434
100130357 0.49741102 1.14979357 0.5861753 2.4220547 0.75023235 -1.1799596
100130466 3.10299439 3.07722983 3.1993613 2.4220547 3.15025467 2.3909577
100130476 0.03358485 0.04802649 -1.1799596 0.8096807 -1.17995959 -1.1799596
100130522 0.28405821 0.94304252 0.3060138 1.8953076 0.94875309 0.2165075
100130550 0.99556876 0.70162498 0.8206781 0.5109200 0.51996830 0.4875912
100130564 3.03630581 3.12700026 2.5212649 3.1106951 3.15025467 3.3963121
100130581 3.10299439 2.10182551 2.3815335 2.4220547 2.05778415 2.3233325
100130691 2.85470636 2.85896592 2.0534609 2.8070791 2.67733304 2.4555544
100130705 1.90320483 1.49124116 2.5863628 1.8953076 0.94875309 2.5766691
100130748 1.36516333 0.70162498 0.8206781 0.8096807 1.12323157 0.4875912
100130750 -0.26970437 -1.17995959 -0.0419923 0.5109200 -1.17995959 -1.1799596
100130855 1.90320483 2.19810589 1.6281240 2.1295279 1.77359278 1.7327373
100130958 0.49741102 -0.43907615 1.0223396 -0.3785154 0.24584096 0.4875912
100131017 -1.17995959 -1.17995959 -1.1799596 -1.1799596 -1.17995959 -1.1799596
100131031 2.45601684 2.79881954 3.1136289 3.3613910 2.78513266 3.0227706
100131033 1.74515392 1.99865732 1.8564108 2.6651499 0.94875309 1.5075202
100131067 2.64691112 2.52950530 1.9582975 1.8953076 2.49883887 1.7327373
100131089 1.36516333 2.19810589 1.1992387 2.1295279 2.14130309 1.2405219
100131094 0.28405821 -0.43907615 -0.5015688 1.0570609 -0.09288813 -1.1799596
100131138 4.08208121 3.81440057 4.1427974 3.6893249 3.86644733 3.8451956
100131187 1.12956609 1.33059533 2.3815335 1.6155496 2.49883887 1.8334012
100131193 1.56763332 1.14979357 1.6281240 1.6155496 1.77359278 0.7157058
100131211 3.97932359 3.39418807 3.1571319 3.7255334 3.91471970 3.4918104
100131213 -1.17995959 0.04802649 -1.1799596 -0.3785154 -1.17995959 -1.1799596
100131471 2.11190611 2.10182551 2.3815335 1.7621991 2.97921376 1.3801889
100131656 2.77514263 3.26677076 2.8739507 3.0548696 2.56082333 2.6336154
100131685 1.36516333 1.99865732 1.1992387 2.0171658 0.94875309 2.0990649
100131691 1.90320483 1.99865732 2.3062415 1.4522887 3.19002420 2.8412748
100131740 1.25216861 1.14979357 1.0223396 -0.3785154 1.27886712 1.3801889
100131801 3.22778013 3.39418807 3.4296650 3.3613910 2.97921376 3.6657082
100131827 1.65912234 1.76714337 1.1992387 1.6155496 0.51996830 1.3801889
100131828 -0.26970437 0.04802649 -0.0419923 -0.3785154 0.75023235 -0.5531120
100131940 0.49741102 0.04802649 0.5861753 1.0570609 1.12323157 1.0858702
100132074 -1.17995959 -0.43907615 -1.1799596 -1.1799596 -1.17995959 -0.1175793
100132086 1.12956609 0.04802649 0.3060138 0.1336867 0.51996830 0.9126276
100132116 6.74905205 6.78203170 6.2471504 6.8561119 6.79264261 6.9861654
100132126 0.84783949 0.70162498 1.3567969 0.8096807 0.24584096 0.2165075
100132215 1.36516333 1.88753935 1.7467781 1.4522887 1.77359278 2.5173824
100132537 0.49741102 0.94304252 1.0223396 1.0570609 -0.09288813 -0.5531120
100132609 0.28405821 0.70162498 -1.1799596 0.5109200 1.27886712 1.3801889
100132659 0.03358485 0.04802649 0.8206781 0.8096807 0.51996830 -0.1175793
100132891 -0.26970437 0.04802649 -0.5015688 -1.1799596 -1.17995959 -1.1799596
100132972 0.68323902 1.14979357 1.1992387 2.3309807 0.94875309 1.2405219
100133234 0.68323902 0.94304252 0.5861753 0.8096807 2.36625878 0.2165075
100133286 0.68323902 0.04802649 1.0223396 1.0570609 0.75023235 -0.1175793
100133315 1.12956609 0.70162498 0.8206781 -0.3785154 0.51996830 0.9126276
100134934 1.56763332 1.33059533 2.5212649 0.1336867 1.54733313 1.2405219
10014 6.65772438 6.43709549 6.6061757 6.4751642 6.70271116 6.6524622
100144603 2.85470636 2.91670482 2.3815335 1.7621991 2.62025401 2.8412748
100144748 2.29419688 1.14979357 1.8564108 1.2681669 0.94875309 1.2405219
10015 7.67114615 7.60787007 7.8146764 7.8118625 7.63268308 7.6371607
10016 5.16030699 4.59340148 5.5969868 5.0964073 4.95245380 5.1598103
100170229 -0.26970437 0.94304252 -0.0419923 1.0570609 0.75023235 0.9126276
100170841 4.16245318 3.58434179 3.9827545 3.2162556 3.93826340 3.9157713
10018 4.14673300 3.81440057 4.1427974 3.7953332 4.32512888 3.9609739
100188847 0.99556876 1.49124116 2.3815335 1.6155496 1.77359278 1.7327373
10019 3.44900085 3.72025765 4.1642774 3.9255518 3.53700558 3.2940414
100190938 1.36516333 1.49124116 1.3567969 0.8096807 1.41933587 1.8334012
1002 3.00176872 2.19810589 1.8564108 2.3309807 3.19002420 2.4555544
10020 3.74884470 3.72025765 2.9746481 3.4066967 3.53700558 3.9157713
10021 8.07471145 8.26373417 7.8987728 8.0695027 8.08828278 8.0373979
10023 2.11190611 0.70162498 1.9582975 0.8096807 0.94875309 1.3801889
10024 4.47095327 3.98604646 4.0988534 4.1552800 3.93826340 4.1288266
10026 6.92754838 6.78591002 6.5784433 7.0144922 6.84028383 6.8456077
100268168 0.68323902 -1.17995959 1.4988296 -0.3785154 -0.53636953 0.4875912
100270804 2.64691112 2.45351591 1.6281240 2.3309807 2.83615502 2.0990649
100270827 0.03358485 -0.43907615 1.1992387 1.0570609 0.75023235 -1.1799596
100270840 3.49938438 2.52950530 3.3937445 3.1106951 2.73223948 2.7920944
100270854 2.50616015 2.79881954 2.6486497 1.7621991 2.29510095 2.1777586
100270865 3.74884470 3.02568088 4.0763690 2.9362878 3.59740513 3.1839639
100271271 3.34262655 2.79881954 3.5969635 2.5885809 3.19002420 2.9794920
100271332 2.45601684 2.19810589 3.1571319 2.5077191 1.87467245 2.0990649
100271415 2.23595552 2.85896592 1.6281240 2.1295279 1.12323157 2.3233325
100271479 -0.26970437 0.04802649 0.5861753 -0.3785154 0.94875309 0.2165075
100271884 0.28405821 -1.17995959 0.8206781 1.2681669 0.75023235 -0.1175793
100272147 3.03630581 2.79881954 3.0687733 3.5749051 3.15025467 2.1777586
100286844 2.04563778 2.79881954 2.3815335 2.1295279 2.36625878 2.2523809
100287015 0.28405821 -1.17995959 -0.0419923 -1.1799596 -1.17995959 0.4875912
100287049 0.03358485 1.76714337 0.5861753 1.0570609 0.94875309 0.2165075
100287074 2.29419688 2.10182551 2.1427336 2.8070791 1.77359278 2.1777586
100287616 0.84783949 2.73605614 2.3815335 2.5885809 2.36625878 2.6336154
100287722 1.90320483 0.04802649 1.3567969 2.5077191 2.14130309 2.0990649
100287808 1.56763332 0.94304252 -1.1799596 0.1336867 0.51996830 0.4875912
100287837 -0.26970437 -1.17995959 -1.1799596 -1.1799596 -1.17995959 -1.1799596
100287896 3.94337762 3.22166859 3.6887579 4.2074192 3.71110966 3.5222883
100287902 0.28405821 -0.43907615 -0.0419923 -0.3785154 0.51996830 -0.5531120
100287928 3.66303960 3.72025765 3.4989292 3.7608554 3.73818873 3.2940414
100287932 5.90733896 5.84096687 5.7680822 5.6039973 5.66714782 5.5184167
100288001 2.45601684 2.19810589 2.4530902 2.2337677 1.96913149 2.0990649
100288073 4.03161709 4.25585332 4.1209927 4.3300749 4.39485580 3.9609739
100288123 1.82634265 0.94304252 1.0223396 1.0570609 1.27886712 0.9126276
100288198 3.22778013 3.31050556 3.0687733 3.6140620 3.50583029 3.6657082
100288241 1.12956609 1.14979357 1.6281240 1.0570609 0.75023235 0.7157058
100288413 2.50616015 1.99865732 3.7181024 3.4506228 2.97921376 2.8888338
100288513 -1.17995959 0.04802649 -1.1799596 -1.1799596 -1.17995959 0.2165075
100288842 1.65912234 0.70162498 2.3815335 1.2681669 1.66489399 2.0990649
100289061 0.68323902 0.70162498 0.8206781 -0.3785154 0.51996830 1.2405219
100289095 0.68323902 0.04802649 1.0223396 1.8953076 0.24584096 0.4875912
100289133 1.56763332 0.04802649 1.0223396 0.5109200 1.27886712 0.7157058
100289178 2.77514263 2.85896592 3.3191038 2.4220547 2.67733304 2.8888338
100289211 1.12956609 1.33059533 2.0534609 1.6155496 1.96913149 2.0158300
100289259 1.36516333 0.41152675 1.0223396 -1.1799596 1.54733313 0.2165075
100289274 3.68497404 3.58434179 3.8564885 3.7953332 3.73818873 3.5222883
100289341 1.36516333 1.49124116 0.8206781 1.2681669 1.41933587 1.6245190
100289373 -0.65420242 0.04802649 -0.0419923 -1.1799596 -1.17995959 -1.1799596
100289388 2.17526369 1.63577771 1.9582975 3.1644406 2.97921376 2.6336154
100289414 0.49741102 -0.43907615 -0.0419923 -1.1799596 0.51996830 1.2405219
100289635 5.65293125 5.78780610 5.8761666 5.9936583 5.76913374 5.7803954
100289640 1.82634265 2.19810589 1.1992387 3.4506228 1.87467245 2.5173824
100289678 1.25216861 2.60169165 1.6281240 2.7378592 2.49883887 2.0990649
100293516 4.86605048 4.59340148 4.3998115 4.7193309 4.49350780 4.6404002
100294362 1.46994728 2.37330041 1.4988296 2.2337677 1.77359278 2.2523809
1003 0.68323902 2.37330041 2.3815335 -1.1799596 0.94875309 1.2405219
100302692 2.29419688 2.67043757 2.5212649 2.6651499 2.43407126 1.5075202
100302736 1.25216861 0.04802649 1.4988296 1.6155496 1.12323157 1.3801889
100303728 3.82983172 3.47328160 3.1571319 2.9967967 3.33896954 2.7920944
100303755 0.84783949 1.49124116 2.2268027 1.4522887 1.12323157 1.6245190
100312828 0.49741102 1.33059533 0.5861753 -0.3785154 1.12323157 0.9126276
100312850 0.28405821 -1.17995959 -0.0419923 0.1336867 -0.09288813 -1.1799596
10036 5.11255087 4.82212844 5.0107035 4.6829644 5.05293055 4.8828235
100379345 3.00176872 3.22166859 3.2802835 3.6140620 2.83615502 2.4555544
10038 5.96225758 5.82597691 5.5157625 5.8857984 5.71563966 5.7991858
100381270 -0.65420242 -1.17995959 -0.0419923 0.1336867 0.24584096 -0.5531120
10039 6.11951654 6.13657481 6.3724020 5.8369843 6.04872566 6.3208897
1004 7.62224955 8.10048403 8.1682891 7.7842338 7.87610947 7.9795391
10040 3.96146256 4.23330718 3.6282151 3.9563494 4.02877440 3.6100392
100418710 1.25216861 1.88753935 1.8564108 0.8096807 1.77359278 1.0858702
100418735 3.47441255 3.43427679 3.0687733 3.8290062 3.10935770 3.2940414
100418744 0.49741102 -0.43907615 -0.0419923 0.5109200 0.51996830 -0.5531120
100418770 1.82634265 1.99865732 1.8564108 2.0171658 1.41933587 1.3801889
100418781 -0.65420242 1.49124116 1.1992387 1.2681669 0.24584096 1.3801889
100418819 0.99556876 1.14979357 1.7467781 1.4522887 0.75023235 1.2405219
100418829 1.25216861 2.37330041 1.8564108 1.0570609 1.54733313 2.0990649
100418888 0.99556876 2.19810589 0.8206781 0.8096807 1.27886712 0.7157058
100418889 2.60150296 1.49124116 2.0534609 2.5885809 2.05778415 2.5173824
100418910 0.99556876 0.70162498 1.1992387 0.8096807 1.12323157 1.2405219
100418919 2.64691112 1.88753935 3.1571319 1.8953076 2.36625878 2.1777586
100419028 1.90320483 1.88753935 0.5861753 2.0171658 1.12323157 0.4875912
100419185 2.04563778 0.94304252 1.7467781 2.0171658 0.51996830 1.7327373
100419416 0.03358485 0.70162498 0.5861753 1.2681669 0.51996830 -0.1175793
100419515 0.99556876 1.33059533 -0.0419923 2.0171658 0.24584096 1.6245190
100419645 0.99556876 -0.43907615 0.8206781 1.2681669 0.94875309 -0.1175793
100419758 1.46994728 0.70162498 1.4988296 2.2337677 1.27886712 0.7157058
100419928 2.40406777 1.33059533 1.9582975 1.0570609 2.22025050 1.9274972
10042 5.56103597 5.32689383 5.3937713 5.4502060 5.50318011 5.4166317
100420028 -1.17995959 0.04802649 -1.1799596 0.1336867 -0.09288813 -1.1799596
100420050 1.36516333 0.70162498 0.3060138 -1.1799596 0.24584096 0.4875912
100420110 3.19758091 2.45351591 3.3569068 2.8070791 2.62025401 3.2215973
100420187 1.97617834 1.88753935 -0.5015688 -0.3785154 1.12323157 0.7157058
100420259 3.19758091 3.90277473 3.2403897 3.7608554 3.53700558 3.9157713
100420307 -0.26970437 0.41152675 0.8206781 -1.1799596 1.54733313 -1.1799596
100420341 5.43726927 5.39956819 5.0801519 5.0255659 5.43861152 4.9516250
100420423 1.12956609 1.49124116 1.9582975 -0.3785154 0.24584096 -0.5531120
100420591 0.28405821 1.49124116 1.1992387 1.4522887 1.87467245 1.3801889
100420707 2.85470636 2.45351591 3.1993613 3.3146162 3.06726748 3.1839639
100420752 0.68323902 1.76714337 2.3062415 2.0171658 1.54733313 1.0858702
100420869 4.63768439 4.82212844 4.2268629 4.6829644 4.52494760 4.9848332
100420981 5.70216089 5.86316377 6.2114844 5.5745227 5.87662148 5.6415280
100421093 3.66303960 3.75232608 3.5650199 3.4066967 2.88543439 3.2582740
100421109 1.12956609 -0.43907615 0.3060138 0.8096807 0.75023235 -0.5531120
100421160 0.03358485 0.41152675 1.0223396 0.5109200 0.24584096 0.7157058
100421175 0.84783949 1.33059533 1.0223396 2.1295279 1.27886712 1.7327373
100421246 1.12956609 2.10182551 1.3567969 -0.3785154 0.75023235 1.0858702
100421311 1.97617834 2.45351591 2.3062415 1.4522887 2.43407126 2.9348749
100421372 1.25216861 1.14979357 1.4988296 1.0570609 1.54733313 0.7157058
100421400 2.81547291 2.19810589 3.1571319 2.5885809 2.36625878 2.0990649
100421415 1.25216861 1.99865732 0.3060138 1.2681669 1.27886712 1.0858702
100421429 0.03358485 1.88753935 0.3060138 1.0570609 -0.09288813 0.7157058
100421465 1.74515392 2.45351591 2.3062415 2.2337677 2.36625878 2.2523809
100421468 1.74515392 0.94304252 1.8564108 1.2681669 1.77359278 1.0858702
100421506 -1.17995959 0.04802649 -1.1799596 -1.1799596 0.94875309 0.9126276
100421569 -1.17995959 0.04802649 0.3060138 0.8096807 0.51996830 -1.1799596
100421595 0.99556876 0.04802649 -0.0419923 -1.1799596 1.12323157 0.9126276
100421794 3.03630581 3.39418807 3.3937445 3.5346556 2.83615502 3.2215973
100422106 2.04563778 2.19810589 1.6281240 1.8953076 0.94875309 2.0990649
100422338 2.17526369 2.73605614 2.2268027 1.2681669 2.83615502 2.1777586
100422546 0.28405821 -1.17995959 -1.1799596 1.2681669 -0.53636953 0.2165075
100422561 3.86868181 3.84446415 3.9827545 3.8290062 3.68351258 3.7193087
10043 5.64735613 5.21627975 5.2605039 5.1770662 5.37101719 5.6893178
10044 1.56763332 1.76714337 -1.1799596 0.8096807 2.29510095 1.5075202
10045 0.84783949 -0.43907615 0.8206781 1.7621991 0.24584096 1.5075202
10046 0.28405821 2.28836087 2.0534609 0.1336867 -0.53636953 1.2405219
10048 6.62689486 6.32428339 6.4178213 6.6264513 6.44364334 6.2360895
10049 5.47552671 5.22773069 5.2200516 5.1506778 5.40521019 5.4084963
100499177 3.47441255 3.39418807 4.0303209 4.1011856 3.50583029 3.3289434
100499483 1.36516333 -1.17995959 1.3567969 1.2681669 1.12323157 0.4875912
1005 0.28405821 0.70162498 1.0223396 0.1336867 1.27886712 1.7327373
100500719 1.12956609 0.04802649 1.3567969 -1.1799596 0.94875309 0.4875912
100505385 2.11190611 2.45351591 2.3815335 1.8953076 2.43407126 2.8412748
100505501 1.12956609 0.41152675 -1.1799596 1.6155496 1.87467245 0.4875912
100505538 0.99556876 1.14979357 1.0223396 2.0171658 1.96913149 1.2405219
100505549 -1.17995959 0.94304252 -1.1799596 -1.1799596 -0.09288813 -1.1799596
100505573 6.59249382 6.20189587 6.4043450 6.4374580 6.62504822 6.5303210
100505576 3.22778013 2.85896592 3.3937445 2.4220547 3.59740513 3.7453802
100505616 0.84783949 -1.17995959 -1.1799596 -1.1799596 -0.09288813 -1.1799596
100505624 2.04563778 1.76714337 0.3060138 1.0570609 1.12323157 1.5075202
100505635 -0.26970437 -1.17995959 -1.1799596 -1.1799596 0.24584096 0.2165075
100505641 2.04563778 1.76714337 2.4530902 2.5077191 2.29510095 2.2523809
100505648 3.86868181 3.43427679 3.8564885 3.6893249 3.33896954 3.7453802
100505678 3.03630581 3.39418807 3.2403897 3.4932510 2.73223948 2.7920944
100505696 3.81000718 3.78369716 3.5650199 3.9865033 4.11394064 4.0473400
100505715 0.99556876 0.04802649 0.3060138 0.1336867 0.24584096 0.7157058
100505738 -1.17995959 -1.17995959 -0.0419923 -1.1799596 -1.17995959 -0.5531120
100505741 0.84783949 1.63577771 1.6281240 1.4522887 0.75023235 1.5075202
100505758 4.04863535 3.07722983 3.3569068 3.5346556 3.26641818 3.2582740
100505761 3.59516146 3.78369716 3.5323530 4.0160398 3.56752141 4.1679065
100505771 3.70657997 4.21040310 4.0067337 3.5346556 4.00667342 3.7709889
100505783 0.03358485 0.04802649 -0.0419923 -1.1799596 -1.17995959 -1.1799596
100505806 3.49938438 3.47328160 3.0224782 2.7378592 3.84169161 3.1839639
100505812 0.49741102 1.14979357 -0.0419923 -1.1799596 0.51996830 -1.1799596
100505832 1.36516333 0.94304252 -1.1799596 1.7621991 1.12323157 1.2405219
100505854 0.84783949 0.04802649 1.1992387 1.2681669 0.51996830 -0.5531120
100505876 6.27221436 6.00300835 5.9583880 5.9862158 6.27360456 5.9012758
100505894 2.73365242 3.26677076 2.5212649 2.5885809 2.43407126 1.6245190
100505933 1.25216861 -0.43907615 1.4988296 -1.1799596 1.12323157 2.0158300
100505994 0.49741102 0.41152675 1.6281240 0.8096807 0.51996830 1.0858702
100506020 1.56763332 -0.43907615 0.5861753 0.5109200 -0.09288813 1.7327373
100506033 4.92253271 4.79159080 4.6638546 4.6829644 5.17686207 4.7730485
100506054 0.49741102 -0.43907615 0.5861753 -1.1799596 -0.09288813 -0.1175793
100506068 0.03358485 0.04802649 -0.5015688 0.5109200 -0.09288813 -1.1799596
100506070 1.46994728 -0.43907615 1.3567969 -1.1799596 2.43407126 1.9274972
100506083 0.84783949 0.70162498 1.0223396 -1.1799596 0.24584096 0.9126276
100506100 0.49741102 0.70162498 -0.5015688 -1.1799596 1.54733313 0.9126276
100506119 -0.26970437 0.04802649 0.5861753 0.5109200 -0.53636953 -1.1799596
100506127 2.55461902 2.73605614 2.4530902 2.8070791 2.43407126 2.0990649
100506142 0.28405821 0.04802649 1.4988296 1.4522887 0.75023235 0.7157058
100506144 0.68323902 0.94304252 0.3060138 0.8096807 0.51996830 -0.1175793
100506161 1.65912234 1.63577771 1.3567969 1.4522887 0.51996830 1.2405219
100506211 5.03781509 4.57558798 5.8095685 5.1101675 4.17467021 5.0490408
100506235 0.84783949 1.88753935 1.3567969 1.7621991 0.75023235 0.7157058
100506258 0.68323902 1.76714337 1.8564108 2.1295279 2.05778415 1.7327373
100506282 3.25736015 3.43427679 3.3569068 2.4220547 3.06726748 2.9348749
100506286 1.12956609 1.14979357 0.5861753 0.8096807 -0.09288813 -0.1175793
100506302 2.73365242 1.99865732 2.0534609 1.2681669 1.27886712 2.7411782
100506321 0.99556876 0.94304252 -1.1799596 -0.3785154 0.24584096 0.4875912
100506325 0.49741102 0.94304252 0.8206781 -0.3785154 0.51996830 1.5075202
100506343 0.68323902 -1.17995959 -0.5015688 1.2681669 0.24584096 0.4875912
100506365 5.78065174 5.76440925 5.5569462 5.4716837 5.23505148 5.6553445
100506368 0.28405821 0.41152675 0.5861753 0.1336867 -0.09288813 0.4875912
100506380 3.25736015 2.79881954 2.7083584 3.1644406 3.37392137 3.1453224
100506392 4.52058889 4.95207192 5.1355764 5.0255659 4.64427283 4.8350627
100506394 2.04563778 1.49124116 0.8206781 0.5109200 -0.09288813 0.4875912
100506411 1.97617834 1.76714337 1.4988296 0.8096807 1.77359278 2.1777586
100506433 3.07003540 1.76714337 3.3569068 3.7255334 2.67733304 2.4555544
100506462 0.99556876 -1.17995959 0.3060138 0.5109200 -1.17995959 0.2165075
100506469 3.74884470 3.26677076 3.9583699 4.0160398 3.50583029 3.7961509
100506495 1.25216861 0.41152675 0.8206781 1.2681669 1.87467245 0.2165075
100506504 2.04563778 1.63577771 2.0534609 2.0171658 1.96913149 2.3909577
100506540 1.97617834 1.88753935 2.1427336 1.7621991 1.54733313 1.7327373
100506581 3.47441255 2.97222156 2.6486497 1.8953076 3.50583029 3.3630209
100506606 0.03358485 0.04802649 -0.0419923 -1.1799596 -0.53636953 0.2165075
100506658 1.65912234 1.14979357 0.8206781 1.2681669 0.94875309 0.9126276
100506668 2.11190611 2.37330041 2.7083584 2.7378592 2.93308593 3.2582740
100506686 2.64691112 0.94304252 1.3567969 1.7621991 1.77359278 2.5766691
100506691 0.03358485 0.41152675 0.3060138 0.5109200 -0.09288813 0.2165075
100506696 0.28405821 0.94304252 -1.1799596 -0.3785154 -0.09288813 -0.1175793
100506697 0.03358485 -1.17995959 -0.0419923 -1.1799596 -0.53636953 0.2165075
100506710 5.29476512 5.21627975 5.2605039 5.4716837 5.23505148 5.1402927
100506713 0.28405821 0.04802649 -0.0419923 0.1336867 -0.53636953 0.4875912
100506725 5.13662652 5.47837521 5.2097587 5.4173778 5.40521019 5.4723295
100506731 1.25216861 0.41152675 0.5861753 0.8096807 -0.09288813 1.5075202
100506757 1.97617834 -1.17995959 2.4530902 2.3309807 1.87467245 2.0158300
100506779 0.03358485 0.04802649 -0.5015688 0.1336867 0.24584096 -0.5531120
100506804 -0.26970437 0.94304252 1.0223396 -0.3785154 0.51996830 0.4875912
100506826 3.07003540 2.19810589 2.2268027 2.5077191 2.22025050 2.3233325
100506844 3.34262655 3.12700026 3.1993613 3.2662740 2.49883887 3.5222883
100506866 6.83983746 6.91547302 6.9094107 7.2718166 6.90742946 6.7809072
100506881 1.36516333 0.04802649 1.4988296 2.2337677 1.41933587 2.0990649
100506885 0.49741102 -1.17995959 -0.0419923 0.1336867 0.51996830 0.4875912
100506911 -0.65420242 0.41152675 0.8206781 1.0570609 -0.09288813 0.7157058
100506922 0.84783949 0.94304252 0.5861753 0.1336867 0.24584096 0.7157058
100506930 0.28405821 -1.17995959 -0.0419923 0.5109200 -1.17995959 0.2165075
100506994 1.12956609 0.41152675 0.3060138 0.8096807 1.41933587 0.2165075
100507003 0.28405821 -1.17995959 -1.1799596 0.1336867 -0.53636953 -1.1799596
100507032 -1.17995959 -1.17995959 -1.1799596 -1.1799596 -1.17995959 -1.1799596
100507034 2.96638451 2.91670482 2.5212649 3.0548696 3.37392137 3.2215973
100507050 0.28405821 -1.17995959 0.5861753 0.1336867 -1.17995959 -0.1175793
100507053 -1.17995959 0.04802649 -0.0419923 0.1336867 -1.17995959 -0.1175793
100507057 -0.65420242 -1.17995959 -1.1799596 -1.1799596 -1.17995959 -1.1799596
100507062 0.28405821 0.94304252 1.6281240 1.6155496 -0.09288813 0.4875912
100507071 0.84783949 0.70162498 1.6281240 0.1336867 0.51996830 1.0858702
100507156 2.55461902 2.60169165 3.2802835 1.7621991 2.88543439 2.7411782
100507171 2.60150296 1.88753935 2.7656938 2.8070791 2.14130309 3.1453224
100507173 -0.26970437 -1.17995959 -0.0419923 0.1336867 -0.09288813 -0.5531120
100507178 0.99556876 0.94304252 1.3567969 0.8096807 -0.53636953 1.3801889
100507244 0.49741102 1.88753935 1.0223396 0.5109200 1.66489399 1.3801889
100507246 3.34262655 3.68746017 4.0303209 4.5479376 4.34287908 3.7193087
100507250 1.56763332 0.04802649 0.3060138 -0.3785154 1.27886712 0.9126276
100507254 0.49741102 0.04802649 1.0223396 0.1336867 0.94875309 1.0858702
100507266 1.65912234 0.04802649 -0.0419923 -1.1799596 0.24584096 0.7157058
100507290 4.43257272 4.50204945 4.5542289 4.4212043 4.84445196 4.8828235
100507291 1.12956609 0.41152675 -0.5015688 1.2681669 0.51996830 0.7157058
100507303 3.34262655 2.45351591 1.8564108 2.1295279 2.93308593 2.5173824
100507308 -0.26970437 0.94304252 -1.1799596 1.2681669 -0.09288813 0.4875912
100507316 1.12956609 -1.17995959 -1.1799596 -1.1799596 1.27886712 0.4875912
100507331 2.73365242 1.49124116 1.6281240 0.5109200 2.36625878 2.3233325
100507347 2.69093358 2.85896592 2.4530902 2.8070791 2.49883887 1.3801889
100507373 2.40406777 1.76714337 2.5863628 1.2681669 2.62025401 1.9274972
100507392 -0.26970437 -1.17995959 -0.5015688 -1.1799596 -0.53636953 -1.1799596
100507398 1.12956609 0.04802649 -0.0419923 0.8096807 1.87467245 1.5075202
100507401 0.84783949 0.04802649 0.3060138 -0.3785154 0.75023235 1.2405219
100507420 -1.17995959 0.04802649 -1.1799596 -1.1799596 -0.09288813 -1.1799596
100507433 2.69093358 3.02568088 3.4296650 2.5885809 2.67733304 2.5766691
100507436 0.68323902 1.14979357 0.5861753 0.1336867 0.75023235 0.9126276
100507437 0.99556876 1.99865732 1.0223396 1.2681669 2.05778415 1.8334012
100507459 1.25216861 2.37330041 1.8564108 1.6155496 1.96913149 1.2405219
100507463 0.99556876 1.33059533 1.4988296 0.5109200 -0.09288813 -0.1175793
100507487 1.74515392 2.10182551 1.4988296 1.6155496 2.43407126 2.7411782
100507495 4.66000473 4.36358344 4.5045705 4.1815851 4.50931334 3.8691065
100507516 1.65912234 0.41152675 0.8206781 1.0570609 1.96913149 0.4875912
100507551 0.68323902 0.41152675 0.3060138 1.0570609 1.12323157 0.2165075
100507557 1.82634265 1.88753935 1.9582975 -0.3785154 1.27886712 0.2165075
100507564 2.50616015 1.14979357 1.3567969 1.2681669 1.54733313 0.7157058
100507567 -1.17995959 -1.17995959 -0.0419923 0.1336867 -1.17995959 -0.5531120
100507588 0.68323902 1.33059533 0.8206781 -1.1799596 -1.17995959 0.7157058
100507599 1.25216861 0.04802649 -0.0419923 0.8096807 0.51996830 1.5075202
100507602 5.08806660 4.82212844 4.8343396 4.9044458 4.76768025 4.5545322
100508120 1.74515392 0.70162498 2.0534609 1.2681669 1.41933587 1.9274972
10051 7.18201914 7.14719721 7.0942172 7.0962741 7.16609404 7.1944964
10052 2.64691112 2.19810589 2.1427336 1.6155496 2.49883887 2.7411782
100526737 2.11190611 2.10182551 2.2268027 2.4220547 1.41933587 1.8334012
100526760 1.97617834 1.99865732 2.2268027 1.6155496 1.96913149 2.6336154
100526820 1.46994728 1.88753935 -1.1799596 2.0171658 0.51996830 1.5075202
100526835 5.13662652 5.08392879 5.3569343 5.3493917 5.16693150 5.3417075
100527978 0.49741102 0.70162498 0.5861753 0.1336867 0.75023235 -0.1175793
100529145 2.17526369 0.94304252 2.2268027 0.8096807 0.94875309 1.7327373
100529215 0.49741102 -0.43907615 0.3060138 0.8096807 0.94875309 0.4875912
100532746 3.99696621 3.51125958 3.6588041 4.1284864 4.28895955 3.9385497
100533106 0.68323902 0.94304252 1.1992387 0.5109200 1.12323157 -0.1175793
100533182 1.12956609 0.94304252 1.4988296 1.6155496 0.24584096 -0.1175793
100533619 0.28405821 0.04802649 -0.0419923 1.4522887 0.51996830 1.3801889
100533629 1.46994728 0.04802649 -0.0419923 0.8096807 1.41933587 0.7157058
100533695 0.03358485 0.04802649 0.5861753 0.1336867 -0.09288813 0.4875912
100533970 1.36516333 1.14979357 1.0223396 1.7621991 1.96913149 1.6245190
100534593 2.29419688 1.88753935 2.4530902 2.5077191 2.36625878 2.0158300
10054 6.18254796 5.98961834 5.9522270 5.9017095 6.27822446 6.2498148
10056 6.10331880 6.34546174 6.1099818 6.3120989 6.13784849 6.0020332
10057 7.89701276 7.72562238 7.7468882 7.9368063 7.84530711 7.7167347
10058 6.39705854 6.16067150 6.6638657 6.4374580 6.37628993 6.4009809
10059 7.53134330 7.47484873 7.4883549 7.6208242 7.46855907 7.4457181
1006 1.46994728 1.14979357 1.3567969 0.8096807 0.75023235 -0.1175793
10060 4.64888773 5.01950624 4.4355830 5.0109705 4.86916076 5.0903113
100616256 0.28405821 0.41152675 -0.0419923 0.5109200 -0.09288813 0.4875912
10062 0.68323902 1.49124116 1.0223396 1.0570609 1.27886712 0.9126276
10063 4.79723204 4.40451958 4.6937048 4.6644315 4.75447818 4.8591407
100652739 0.84783949 1.14979357 0.3060138 0.1336867 0.75023235 0.7157058
100652758 2.04563778 1.76714337 1.6281240 0.5109200 2.43407126 1.9274972
100652846 2.93011059 3.26677076 3.1136289 3.2662740 3.15025467 2.8888338
10066 6.87126605 6.65207735 6.7047521 7.0398767 6.90145282 6.9501887
10067 6.39705854 6.09341218 6.0419886 6.2575014 6.50405326 6.4009809
10068 3.00176872 3.22166859 3.6282151 2.9967967 3.53700558 2.8888338
10069 3.44900085 3.31050556 3.5323530 3.4932510 3.30314988 3.2215973
10072 4.36624507 4.23330718 4.9252148 3.7255334 4.61535397 3.7193087
10073 3.86868181 3.87391402 3.3937445 4.2577396 3.59740513 3.5521356
10075 8.51362311 8.63662236 8.6410686 8.7302954 8.51257108 8.5014369
10076 4.71433999 4.66253423 4.8739891 4.7012622 4.42849494 4.8105759
10077 1.97617834 -1.17995959 1.8564108 1.6155496 0.51996830 -0.1175793
100775107 0.68323902 1.49124116 1.8564108 0.8096807 0.75023235 0.7157058
10078 4.54478067 4.23330718 4.3254922 4.4431148 4.50931334 4.3657530
10079 4.19338882 4.71229306 4.6486946 4.1815851 4.65851775 4.2059557
1008 2.50616015 3.12700026 3.3937445 3.4066967 3.06726748 3.0647885
10081 5.21409515 4.69589673 5.3846498 5.0825146 4.86916076 5.2445122
10082 7.16065338 7.38565652 7.4407415 7.7538760 7.47057886 7.3059942
100820829 6.42012768 6.36633368 5.8432518 6.2325564 6.61412635 6.4846186
10084 4.89456799 4.88133038 4.7516139 4.3534026 5.17686207 5.0490408
100847074 1.56763332 1.88753935 1.8564108 1.8953076 2.22025050 2.2523809
10085 7.20876215 7.32564317 7.2071816 7.5392589 7.32188630 7.5022376
100852407 0.03358485 1.14979357 0.3060138 1.0570609 -0.09288813 0.9126276
100861412 0.84783949 0.04802649 0.5861753 -0.3785154 -0.09288813 0.4875912
100861548 3.90651308 4.38419670 3.7750594 4.4431148 4.30715756 3.8451956
100862671 1.25216861 0.41152675 1.6281240 0.8096807 1.12323157 1.0858702
10087 6.73597873 6.54630251 6.3397357 6.6312309 6.42709748 6.4132302
100873257 0.99556876 1.14979357 1.0223396 2.4220547 -0.09288813 1.8334012
100873333 2.77514263 2.28836087 2.8208374 2.8731295 2.36625878 2.5173824
100873790 3.57180667 3.78369716 4.0763690 4.1815851 4.05054192 3.8208816
100873949 2.11190611 1.14979357 2.3062415 1.8953076 0.51996830 0.7157058
100873952 0.28405821 1.33059533 0.5861753 0.5109200 -0.09288813 0.2165075
100873965 2.11190611 1.99865732 1.4988296 0.5109200 1.87467245 2.1777586
100874006 1.12956609 1.49124116 1.7467781 1.2681669 1.54733313 1.0858702
100874008 0.49741102 0.94304252 -0.0419923 -0.3785154 -0.09288813 0.4875912
100874014 3.19758091 3.51125958 3.1136289 3.6521842 3.26641818 3.1453224
100874058 2.23595552 2.19810589 2.2268027 2.8070791 1.54733313 1.9274972
100874080 -0.26970437 -0.43907615 -0.0419923 1.4522887 0.24584096 1.0858702
100874097 1.65912234 1.33059533 1.8564108 0.8096807 2.14130309 1.6245190
100874201 0.03358485 0.04802649 -0.5015688 -1.1799596 -1.17995959 0.2165075
100874212 -0.26970437 -0.43907615 -0.0419923 0.1336867 -0.09288813 -0.1175793
100874217 0.03358485 0.94304252 -0.0419923 0.5109200 0.24584096 0.4875912
100874235 1.90320483 1.76714337 1.6281240 1.7621991 0.75023235 1.8334012
100874261 0.03358485 0.41152675 -0.0419923 0.5109200 0.94875309 0.2165075
100874291 1.65912234 0.04802649 0.5861753 1.2681669 1.54733313 0.9126276
100874362 -0.26970437 0.41152675 1.0223396 -1.1799596 0.51996830 0.4875912
100874523 1.74515392 1.63577771 2.1427336 2.0171658 1.87467245 2.1777586
100885775 3.42313351 3.22166859 4.0303209 3.5346556 2.93308593 3.7193087
100885776 0.68323902 1.14979357 1.1992387 0.1336867 1.54733313 1.3801889
100885848 6.02809052 6.13048722 5.8298727 5.9862158 5.87051556 5.9299771
1009 8.47794700 8.61061719 8.7692569 8.6501471 8.63648541 8.7061226
10090 3.86868181 4.01276881 4.1209927 3.6521842 3.44138290 3.5222883
10092 7.30573744 7.54518202 7.6009362 7.4255492 7.52017598 7.5911795
10093 6.72278585 6.45181750 7.0047711 6.3357167 6.88640199 6.6763746
10094 2.93011059 3.35295347 3.7468620 3.4066967 3.79086817 3.6381422
10095 4.70363542 4.13942478 4.9125779 4.0733583 4.58584354 4.5247350
10097 7.99134948 8.10669927 8.0390891 8.0356537 8.05097348 8.1768381
10098 5.87431033 5.86316377 5.8432518 5.8857984 5.98232685 6.0341138
10099 8.15646531 7.89498866 7.9131176 8.1990856 8.05367066 8.1732413
100996246 1.65912234 1.76714337 1.1992387 1.2681669 1.27886712 1.2405219
100996251 1.56763332 1.99865732 1.8564108 2.9967967 2.05778415 1.5075202
100996307 2.23595552 0.70162498 1.7467781 1.7621991 1.41933587 0.9126276
100996384 2.50616015 1.99865732 2.1427336 2.3309807 2.14130309 2.5173824
100996419 1.90320483 1.14979357 1.0223396 1.4522887 1.41933587 -0.1175793
100996485 1.82634265 1.14979357 2.1427336 1.8953076 1.12323157 1.9274972
100996539 0.68323902 1.14979357 -0.0419923 -1.1799596 0.75023235 -0.1175793
100996579 1.56763332 0.70162498 -0.0419923 1.8953076 0.94875309 1.9274972
100996696 3.88772144 3.43427679 3.7181024 3.4506228 3.79086817 4.1288266
100996842 2.23595552 2.19810589 2.5212649 2.7378592 2.29510095 2.0158300
100996851 0.28405821 -1.17995959 -1.1799596 -1.1799596 -1.17995959 -0.1175793
100996939 1.65912234 0.70162498 1.1992387 0.8096807 0.94875309 1.3801889
101 2.29419688 2.52950530 1.8564108 2.0171658 2.62025401 2.7411782
1010 0.84783949 2.52950530 1.1992387 2.5077191 1.66489399 1.5075202
10100 5.77554980 5.84840385 5.7820440 6.1682391 5.80158750 6.0706611
10101 5.39796961 5.03262294 5.2605039 4.8398460 4.71413124 5.0903113
10102 5.03781509 4.99290954 4.8072881 4.8064280 5.24452556 5.2716760
10103 1.12956609 1.14979357 1.6281240 0.1336867 1.41933587 0.4875912
10105 7.08637206 6.87599283 7.0602476 6.7892594 6.85272687 7.0292472
10106 6.76972604 6.96420678 6.5744377 6.7236405 6.57335684 6.7295875
101060200 3.66303960 3.17511079 3.8826413 4.2577396 3.84169161 3.7453802
101060691 1.82634265 2.19810589 2.5212649 1.7621991 2.22025050 2.2523809
10109 8.18464433 7.99218946 8.2370535 8.0553472 8.09091117 8.0053912
10112 5.88855815 5.59791008 5.7539841 5.7071940 5.69505669 5.7485237
10113 6.43314630 6.13048722 6.4876429 6.0660448 6.20246974 6.2268662
10114 8.12572154 8.21134348 8.1196391 8.3179826 8.18371045 8.1144395
101154753 -0.65420242 0.04802649 -0.5015688 -0.3785154 0.51996830 -0.5531120
10116 7.55237696 7.74766429 7.7271781 7.6911739 7.82176593 7.6510189
10117 0.84783949 0.70162498 -0.5015688 0.1336867 -1.17995959 -0.5531120
1012 6.57791437 6.63497803 6.8837430 6.5925435 6.73331544 6.4807439
10121 6.02379389 5.96929739 5.8498951 5.9787347 5.98797830 5.9966165
10123 4.98574987 5.00626918 5.1993919 4.9356924 5.10586828 5.3502272
101241892 5.21409515 5.54396787 5.5890671 5.5942392 5.21591461 5.2626781
10125 1.12956609 2.45351591 2.3062415 1.8953076 -0.09288813 1.9274972
10126 3.84938753 3.47328160 3.4989292 3.4066967 3.98422859 3.3630209
EtOH_24_C3 TUN_2_C4 THA_2_C4 DMSO_2_C4 TUN_24_C4
100 2.6510944 2.22134782 1.32447593 2.21937650 2.07620352
1000 11.2660138 11.08503851 10.66594400 10.96156483 11.19814979
10000 5.8547123 7.38628661 7.48463712 7.47065344 8.05909028
10001 4.7044731 4.95012539 5.02790703 5.08427412 4.90638613
10003 4.0864641 4.48985111 3.97342499 4.60938969 4.24724659
100037417 -1.1799596 -1.17995959 -1.17995959 -1.17995959 -1.17995959
100049716 3.3922165 1.67572258 2.93773170 2.58058227 2.99865716
10005 3.9108808 3.54085101 4.01083198 3.74946665 3.83091440
10006 6.5276377 6.59983780 6.72042717 6.64456241 6.68934468
10007 4.8736792 3.80992361 3.91543056 4.06189464 4.88249841
10009 5.4778830 5.95694371 5.66618589 5.77509882 5.75372066
100093630 6.1985387 5.81363242 5.93298675 5.93701088 6.24079104
1001 4.3841615 5.37709747 4.93366556 5.19277465 5.41932682
10010 5.2385169 5.42719511 5.58790310 5.56359361 5.38573373
100101267 2.7237517 2.33067681 2.85787069 2.21937650 1.05861272
100101467 5.2872776 3.44683790 3.63309211 3.57089897 4.23472188
10011 6.7656295 5.35785308 6.12005556 5.51881646 5.12574214
100113386 1.6026239 -0.30670212 -1.17995959 -0.11537574 -0.37767568
100113397 1.0451676 1.59035353 1.43867848 -0.31707195 1.76391235
100113407 4.0302776 5.52820535 5.93785022 5.48429732 5.36289574
100125288 1.7490622 1.83265397 2.05480092 2.49069265 2.73969825
100127983 2.4081930 1.83265397 2.89835372 2.89280770 2.66698228
100128006 2.9220512 2.48054917 2.58775205 2.32718572 1.76391235
100128016 0.7983887 0.93346654 0.55865107 1.44880018 0.33587852
100128025 1.2558358 0.78768118 0.55865107 0.36117920 -1.17995959
100128054 1.8819967 1.18712381 3.45456348 1.38369867 2.18436704
100128071 1.2558358 -0.01151564 0.74777143 0.06154998 -0.72375291
100128191 1.2558358 1.83265397 1.43867848 2.39482794 1.95926857
100128252 1.0451676 2.22134782 2.58775205 2.29213689 2.50953571
100128379 1.7490622 -0.01151564 0.91494901 0.60915388 0.33587852
100128398 5.3459985 4.27413086 4.70172908 4.47520281 4.96821809
100128494 3.0963589 3.58565571 2.81621880 3.48038459 3.24335903
100128569 1.8819967 1.75632103 0.74777143 1.38369867 1.36479471
100128640 -1.1799596 -1.17995959 0.34094493 -1.17995959 0.81115441
100128682 -1.1799596 -0.67824314 -0.62667057 -0.83185000 -1.17995959
100128731 5.9024458 6.29379711 6.33439321 6.40313251 6.19949473
100128766 2.8589321 2.61630702 2.05480092 2.69233541 2.87498021
100128782 2.7237517 1.75632103 0.08444584 1.31552005 1.69243714
100128822 -1.1799596 -1.17995959 -1.17995959 -1.17995959 -1.17995959
100128833 2.4937854 2.52723570 2.72912401 2.18157228 2.46733467
100128881 2.2200803 1.18712381 2.77332854 2.52128240 2.01892046
100128893 6.0859056 4.58118821 4.23285676 4.44360930 4.88249841
100129001 0.7983887 0.93346654 1.20045002 1.62814031 1.45394059
100129013 1.2558358 2.70019745 1.82209645 1.83710394 1.61723542
100129029 0.5005055 0.93346654 0.55865107 1.08921801 0.51227961
100129060 3.3922165 2.92605263 3.42715551 3.06879130 3.19245488
100129075 3.5994973 1.40278077 1.20045002 1.24395895 0.33587852
100129195 1.6026239 2.27704770 1.43867848 2.71897162 2.13129871
100129203 1.2558358 1.06586282 -0.22773446 -0.11537574 0.51227961
100129250 2.3172005 1.18712381 2.31617039 1.83710394 2.42386189
100129259 1.0451676 1.75632103 1.90390672 1.16866214 1.89704343
100129361 5.7714698 5.79467454 6.15388950 5.85832506 5.44129538
100129398 1.2558358 0.23341162 0.74777143 1.08921801 -0.09876353
100129434 -1.1799596 0.44272980 0.08444584 0.82069229 0.66944273
100129461 1.4396247 1.59035353 1.73536664 1.16866214 1.83201300
100129484 -0.3849372 1.18712381 0.08444584 1.78763152 0.81115441
100129550 5.0394108 4.05266076 2.68352212 3.84929131 4.42313307
100129583 0.1246732 -0.30670212 1.06475040 -0.55162156 0.66944273
100129662 1.0451676 -0.67824314 -0.22773446 -0.11537574 -1.17995959
100129707 1.6026239 0.78768118 1.32447593 1.00514293 0.33587852
100129716 1.7490622 -0.67824314 0.74777143 0.06154998 1.36479471
100129726 0.7983887 1.67572258 1.32447593 1.16866214 1.45394059
100129774 4.0013419 3.44683790 3.37072623 3.24408045 3.72743707
100129781 -1.1799596 0.93346654 1.32447593 -0.55162156 0.81115441
100129792 0.7983887 -0.67824314 -1.17995959 0.06154998 0.13486409
100129794 2.6510944 0.78768118 2.37473086 0.91586339 2.73969825
100129842 2.1159472 0.62549085 0.91494901 0.06154998 1.05861272
100129917 2.5745829 1.67572258 2.31617039 2.36140323 3.83091440
100129924 2.4937854 -0.30670212 0.08444584 0.36117920 -0.09876353
100129940 1.4396247 1.40278077 0.55865107 0.49048782 0.66944273
100129995 -1.1799596 -0.67824314 -1.17995959 -0.11537574 -1.17995959
10013 5.8627784 5.85081681 5.45172284 5.92275952 5.87570335
100130111 -1.1799596 -0.67824314 1.06475040 -0.11537574 0.94018273
100130197 0.7983887 -0.01151564 0.34094493 -0.11537574 -0.09876353
100130335 3.4361238 2.52723570 2.43100674 2.77081261 2.80892433
100130348 3.0963589 3.34626873 3.48146046 3.33298337 3.57680149
100130357 1.2558358 -1.17995959 -0.62667057 0.21912929 -0.72375291
100130466 2.8589321 3.42234519 3.79194136 4.05145273 3.63514833
100130476 -1.1799596 -0.01151564 -0.22773446 -0.83185000 -1.17995959
100130522 0.7983887 -1.17995959 1.73536664 0.82069229 0.13486409
100130550 2.0037090 2.10304941 1.64308754 1.16866214 0.94018273
100130564 3.7109280 3.58565571 3.04980033 3.58544761 3.31649822
100130581 2.7237517 1.49961343 0.74777143 1.31552005 0.94018273
100130691 1.7490622 2.10304941 2.77332854 1.73640218 2.77472647
100130705 2.1159472 0.78768118 1.64308754 1.31552005 0.81115441
100130748 1.2558358 1.67572258 1.82209645 1.73640218 1.26977549
100130750 -1.1799596 -0.30670212 -0.22773446 -1.17995959 -1.17995959
100130855 1.2558358 1.97417726 2.19139654 1.83710394 1.36479471
100130958 0.1246732 0.62549085 0.55865107 1.08921801 0.51227961
100131017 -1.1799596 -1.17995959 -1.17995959 -1.17995959 -1.17995959
100131031 3.2018647 1.59035353 1.54450022 2.66519815 2.99865716
100131033 2.0037090 2.33067681 1.90390672 1.83710394 2.13129871
100131067 2.0037090 1.06586282 2.05480092 1.73640218 1.53789714
100131089 1.6026239 1.06586282 0.34094493 0.91586339 1.53789714
100131094 0.7983887 0.78768118 1.43867848 0.71879678 0.13486409
100131138 3.5603554 1.29897815 1.73536664 2.14275072 3.29252813
100131187 1.7490622 0.62549085 -0.62667057 0.71879678 1.16805406
100131193 1.4396247 1.97417726 1.64308754 2.21937650 1.53789714
100131211 3.7462377 3.84720249 4.30990971 4.36145923 4.71226093
100131213 -1.1799596 0.78768118 1.43867848 0.21912929 1.36479471
100131471 1.8819967 2.38238362 2.72912401 2.14275072 1.76391235
100131656 1.4396247 3.20981796 3.04980033 3.35012496 3.57680149
100131685 -0.3849372 3.67129509 2.93773170 3.31563567 2.96871763
100131691 2.9220512 1.59035353 1.54450022 1.38369867 2.01892046
100131740 0.5005055 0.44272980 0.34094493 1.31552005 1.05861272
100131801 2.7929246 3.58565571 2.58775205 3.38380895 3.49514314
100131827 1.2558358 1.06586282 0.34094493 0.71879678 1.05861272
100131828 -1.1799596 0.23341162 -1.17995959 -0.11537574 -0.09876353
100131940 -1.1799596 0.44272980 1.90390672 0.91586339 0.13486409
100132074 -1.1799596 -0.30670212 -1.17995959 -0.83185000 0.13486409
100132086 0.1246732 0.62549085 1.73536664 1.83710394 0.33587852
100132116 7.1421274 9.33832125 9.16171854 9.38358501 9.19916408
100132126 1.0451676 0.23341162 0.08444584 0.36117920 0.66944273
100132215 2.0037090 0.93346654 0.74777143 1.57080210 1.16805406
100132537 1.0451676 2.81754026 2.77332854 2.91601591 3.02798799
100132609 0.1246732 0.44272980 1.06475040 0.21912929 0.51227961
100132659 -0.3849372 -0.30670212 -1.17995959 0.06154998 0.66944273
100132891 0.1246732 -1.17995959 -1.17995959 -0.55162156 0.13486409
100132972 1.6026239 0.44272980 1.64308754 0.82069229 1.89704343
100133234 0.5005055 0.62549085 1.20045002 1.24395895 0.13486409
100133286 -1.1799596 -0.01151564 0.74777143 0.91586339 0.81115441
100133315 0.5005055 0.44272980 1.98132571 0.71879678 0.81115441
100134934 1.7490622 1.90515029 2.25513195 1.83710394 1.89704343
10014 6.5969732 6.34681843 6.54347800 6.33803728 6.79122085
100144603 2.4937854 1.18712381 2.12471475 2.18157228 2.28498371
100144748 1.2558358 1.40278077 2.05480092 1.24395895 1.89704343
10015 7.7648542 7.56053105 7.61788321 7.59269709 7.36711076
10016 5.3110535 5.67537744 5.53752881 5.66639201 5.55648383
100170229 0.1246732 0.93346654 0.91494901 1.51109040 1.45394059
100170841 3.4361238 4.58118821 4.84324114 4.69237993 4.70319810
10018 4.2674889 3.20981796 3.39921675 3.77507780 4.33200103
100188847 0.7983887 0.93346654 0.55865107 1.16866214 1.61723542
10019 3.5994973 4.50158952 4.76877082 4.18163571 4.68489984
100190938 1.0451676 3.12128933 2.43100674 2.71897162 3.43071556
1002 1.6026239 0.62549085 -1.17995959 -1.17995959 0.81115441
10020 3.3922165 3.47092173 4.13460877 4.09277444 4.65700979
10021 8.1062941 7.84020870 7.51261508 7.79558310 6.80822672
10023 0.7983887 1.83265397 2.43100674 1.38369867 2.87498021
10024 3.9108808 5.25758123 5.37490595 5.35440685 4.44504418
10026 6.8121912 6.36620959 6.05439544 6.36569371 6.46645064
100268168 -1.1799596 -0.30670212 0.55865107 0.36117920 0.94018273
100270804 2.0037090 0.62549085 0.34094493 0.49048782 0.51227961
100270827 0.7983887 1.06586282 0.55865107 0.06154998 -0.72375291
100270840 3.3469310 3.29322683 3.31199962 3.68337613 4.00326218
100270854 1.7490622 2.57245865 1.90390672 2.49069265 1.89704343
100270865 3.6376052 3.34626873 3.34166172 3.65606821 3.65408442
100271271 3.0963589 3.15140653 2.89835372 3.36706526 3.67277518
100271332 2.2200803 2.52723570 2.48516960 2.69233541 2.50953571
100271415 2.1159472 1.90515029 2.43100674 1.62814031 2.37903833
100271479 -1.1799596 -0.67824314 -0.22773446 0.49048782 0.13486409
100271884 0.1246732 0.44272980 0.34094493 0.91586339 0.33587852
100272147 3.1500760 1.75632103 1.43867848 1.24395895 2.42386189
100286844 1.2558358 1.06586282 1.20045002 1.78763152 1.76391235
100287015 0.1246732 0.93346654 -0.22773446 0.60915388 1.05861272
100287049 1.6026239 -0.01151564 0.55865107 1.31552005 0.66944273
100287074 1.6026239 2.16341081 2.72912401 2.66519815 1.95926857
100287616 1.0451676 3.73234530 3.68028997 3.82497520 4.52950514
100287722 2.2200803 0.78768118 1.98132571 2.29213689 1.69243714
100287808 0.7983887 -0.30670212 -0.22773446 0.21912929 1.61723542
100287837 -0.3849372 0.23341162 0.74777143 0.36117920 0.51227961
100287896 3.5201219 1.90515029 3.31199962 2.49069265 3.79723993
100287902 -0.3849372 0.23341162 -1.17995959 -0.31707195 -0.09876353
100287928 3.2518585 2.38238362 1.90390672 2.89280770 2.37903833
100287932 5.7012349 5.56782608 5.75153043 5.56726305 5.36289574
100288001 1.7490622 2.10304941 2.58775205 2.39482794 2.01892046
100288073 4.1926699 4.74815453 5.85285520 4.30103765 7.05079821
100288123 0.5005055 0.93346654 0.34094493 1.57080210 0.94018273
100288198 2.4937854 2.65886191 3.68028997 2.79605088 3.11256381
100288241 1.0451676 1.59035353 0.74777143 2.01959475 1.45394059
100288413 2.7929246 3.67129509 2.72912401 3.38380895 3.91181441
100288513 -1.1799596 2.16341081 1.06475040 1.31552005 0.13486409
100288842 1.8819967 1.29897815 1.90390672 1.24395895 1.76391235
100289061 0.1246732 -0.30670212 0.74777143 -0.31707195 0.66944273
100289095 0.1246732 2.22134782 1.98132571 2.21937650 1.26977549
100289133 1.2558358 0.23341162 0.08444584 0.82069229 1.16805406
100289178 2.7237517 2.04005183 1.82209645 1.16866214 1.89704343
100289211 1.7490622 0.62549085 0.91494901 0.21912929 0.51227961
100289259 1.2558358 0.44272980 0.34094493 1.16866214 0.51227961
100289274 3.6747324 3.62911076 4.93366556 3.24408045 5.47363344
100289341 1.0451676 1.75632103 1.20045002 1.68328652 2.07620352
100289373 -1.1799596 -0.67824314 -1.17995959 -0.31707195 -1.17995959
100289388 1.8819967 1.59035353 2.43100674 2.36140323 3.08491914
100289414 1.2558358 1.29897815 0.91494901 0.06154998 0.51227961
100289635 6.0439558 5.38978591 5.54392263 5.21633596 5.74049246
100289640 1.4396247 2.65886191 2.63643162 2.21937650 1.83201300
100289678 2.1159472 2.10304941 2.48516960 1.62814031 2.18436704
100293516 4.7915554 4.17499054 5.18342786 4.10292255 4.19648185
100294362 1.7490622 1.83265397 1.82209645 0.82069229 0.94018273
1003 1.2558358 0.93346654 1.06475040 1.38369867 0.13486409
100302692 2.7929246 1.59035353 1.43867848 0.91586339 2.23555235
100302736 1.2558358 1.97417726 2.31617039 2.14275072 2.99865716
100303728 3.2518585 2.77947668 2.25513195 3.00528630 3.08491914
100303755 1.4396247 1.06586282 1.43867848 1.08921801 1.16805406
100312828 0.5005055 -0.01151564 -1.17995959 1.31552005 0.51227961
100312850 0.1246732 -0.01151564 -1.17995959 -0.31707195 0.33587852
10036 4.9361701 5.64923189 5.98560390 6.07743421 4.96821809
100379345 2.1159472 2.74038156 3.15378747 2.98348120 2.55053731
10038 6.0650832 5.72127757 5.91829719 5.62121337 5.64906202
100381270 0.5005055 1.06586282 0.55865107 1.16866214 0.51227961
10039 5.9257331 6.07556428 5.70093185 5.81577038 6.03226153
1004 7.9042425 7.15871515 6.79736871 6.45555121 4.54986977
10040 4.2674889 4.36689425 4.74676793 4.22873617 5.09142147
100418710 1.4396247 1.67572258 1.06475040 1.68328652 1.95926857
100418735 4.3615696 4.67747173 4.24860009 4.30982578 4.17041353
100418744 2.0037090 0.44272980 1.73536664 -0.31707195 1.16805406
100418770 2.4081930 1.59035353 1.54450022 1.24395895 1.26977549
100418781 -0.3849372 0.78768118 0.08444584 -0.31707195 0.51227961
100418819 1.2558358 1.90515029 1.43867848 1.73640218 0.66944273
100418829 1.4396247 1.40278077 1.82209645 1.57080210 1.45394059
100418888 1.0451676 1.83265397 1.82209645 1.38369867 1.89704343
100418889 2.4081930 2.33067681 2.43100674 2.69233541 2.13129871
100418910 1.0451676 2.22134782 2.05480092 2.36140323 2.28498371
100418919 1.2558358 2.38238362 1.98132571 2.63754064 2.33277736
100419028 1.4396247 1.49961343 1.90390672 1.62814031 1.36479471
100419185 1.8819967 -0.30670212 0.34094493 -0.31707195 -0.37767568
100419416 0.1246732 1.06586282 0.91494901 1.00514293 0.66944273
100419515 -1.1799596 -0.30670212 0.55865107 0.60915388 -1.17995959
100419645 0.1246732 0.23341162 0.55865107 1.00514293 0.94018273
100419758 1.4396247 -0.01151564 -1.17995959 -1.17995959 -1.17995959
100419928 2.3172005 1.29897815 2.05480092 1.78763152 1.61723542
10042 5.3688336 6.00309316 6.37440603 5.99809651 5.82229281
100420028 -1.1799596 0.23341162 0.91494901 0.82069229 0.13486409
100420050 0.1246732 0.44272980 1.06475040 0.21912929 -0.72375291
100420110 3.1500760 3.29322683 3.74831213 2.91601591 3.63514833
100420187 0.7983887 1.06586282 2.12471475 1.88493597 2.33277736
100420259 3.8143657 4.51323320 4.29482483 4.18163571 4.01795540
100420307 0.1246732 1.40278077 0.74777143 1.31552005 0.81115441
100420341 5.3688336 5.35785308 5.27851223 5.04796683 6.56978631
100420423 0.7983887 1.29897815 0.74777143 0.21912929 1.26977549
100420591 0.5005055 1.90515029 1.90390672 0.91586339 1.26977549
100420707 3.2518585 2.33067681 2.12471475 2.36140323 3.02798799
100420752 1.6026239 2.22134782 1.54450022 2.29213689 2.18436704
100420869 4.1668424 4.42968219 4.16810704 4.42754926 4.28418123
100420981 5.7102035 5.50506661 5.57547347 5.61058350 5.93883575
100421093 3.6376052 4.63547027 4.20084512 3.99807850 3.57680149
100421109 0.7983887 1.40278077 0.55865107 0.60915388 0.51227961
100421160 1.0451676 0.62549085 1.32447593 0.60915388 0.33587852
100421175 1.6026239 1.97417726 2.37473086 2.36140323 2.23555235
100421246 1.7490622 1.40278077 2.31617039 2.18157228 2.13129871
100421311 1.8819967 2.70019745 2.25513195 2.91601591 2.84233029
100421372 0.7983887 1.90515029 2.53737239 1.62814031 2.01892046
100421400 1.8819967 2.52723570 2.58775205 2.74512496 2.37903833
100421415 1.7490622 0.23341162 -0.62667057 -1.17995959 0.81115441
100421429 0.7983887 1.59035353 0.74777143 1.24395895 1.05861272
100421465 0.7983887 2.77947668 2.63643162 2.63754064 2.07620352
100421468 0.5005055 1.59035353 1.32447593 2.25621534 1.69243714
100421506 -1.1799596 0.44272980 -1.17995959 -0.11537574 0.33587852
100421569 0.1246732 1.06586282 -0.22773446 -0.31707195 0.13486409
100421595 1.4396247 1.67572258 1.20045002 1.83710394 1.45394059
100421794 3.3469310 3.95358602 3.42715551 3.74946665 3.79723993
100422106 1.4396247 1.75632103 1.43867848 2.14275072 2.01892046
100422338 2.0037090 2.81754026 2.25513195 2.79605088 1.69243714
100422546 0.1246732 1.49961343 -1.17995959 0.49048782 0.33587852
100422561 3.5603554 4.09975826 4.43901345 4.42754926 4.10310433
10043 5.0251068 4.88887548 5.40331485 5.09955897 5.13250937
10044 0.1246732 4.72831032 5.15864427 4.31856071 4.28418123
10045 -0.3849372 0.44272980 1.20045002 0.21912929 2.46733467
10046 0.5005055 3.15140653 3.11995111 3.04793203 2.28498371
10048 6.3893021 6.69236615 6.93020876 6.90740447 6.83128723
10049 5.4778830 5.62260375 5.61244565 5.72669950 5.63005945
100499177 3.7807038 3.26595619 3.45456348 3.20692639 3.55681611
100499483 1.0451676 0.93346654 1.43867848 1.51109040 0.94018273
1005 0.1246732 -1.17995959 -0.22773446 0.21912929 0.81115441
100500719 1.4396247 0.23341162 0.08444584 -0.55162156 0.51227961
100505385 2.1159472 3.23816011 3.11995111 3.06879130 2.59040577
100505501 0.7983887 2.38238362 2.68352212 2.18157228 3.13968871
100505538 1.7490622 0.62549085 0.55865107 1.38369867 1.26977549
100505549 0.5005055 -0.30670212 -1.17995959 -1.17995959 -0.37767568
100505573 6.6445346 5.78029083 5.67203530 5.85232213 5.51046725
100505576 4.1137574 4.63547027 5.26309368 5.01610207 5.11894301
100505616 0.7983887 0.62549085 -0.62667057 -0.31707195 0.66944273
100505624 1.7490622 1.83265397 1.90390672 1.88493597 1.45394059
100505635 -1.1799596 1.59035353 1.06475040 1.44880018 0.94018273
100505641 2.4081930 2.99410977 3.04980033 3.22562302 2.70379835
100505648 3.4361238 2.89078098 2.81621880 2.45944022 3.51599511
100505678 3.5994973 1.83265397 0.34094493 1.83710394 1.26977549
100505696 3.8472601 3.56342728 3.83428982 3.90834680 3.65408442
100505715 -0.3849372 1.83265397 1.64308754 1.88493597 0.51227961
100505738 0.1246732 -1.17995959 -1.17995959 -1.17995959 -1.17995959
100505741 1.4396247 0.93346654 0.08444584 0.21912929 0.33587852
100505758 3.1500760 2.89078098 3.65688405 3.36706526 3.11256381
100505761 3.3922165 2.38238362 1.82209645 2.63754064 3.11256381
100505771 3.7462377 3.15140653 3.21916864 3.46473095 4.42313307
100505783 -1.1799596 -1.17995959 -1.17995959 -0.31707195 -0.37767568
100505806 3.6376052 2.57245865 3.34166172 3.02676673 3.26815304
100505812 -0.3849372 -0.67824314 -0.22773446 -0.31707195 -0.09876353
100505832 1.2558358 0.23341162 -0.22773446 -0.55162156 -1.17995959
100505854 0.1246732 1.06586282 1.32447593 0.21912929 0.51227961
100505876 5.9637288 5.57894926 5.43117512 5.66296652 5.89970291
100505894 3.0405640 1.75632103 0.91494901 1.57080210 1.45394059
100505933 1.2558358 -0.67824314 -0.22773446 -0.83185000 0.81115441
100505994 -1.1799596 -1.17995959 0.34094493 0.06154998 0.66944273
100506020 0.1246732 0.93346654 0.74777143 0.60915388 -0.37767568
100506033 5.0251068 5.28500914 5.40331485 5.21633596 5.56150734
100506054 1.2558358 0.62549085 0.91494901 0.21912929 0.94018273
100506068 -1.1799596 0.93346654 -0.22773446 0.49048782 -0.37767568
100506070 1.8819967 1.18712381 -0.22773446 0.71879678 1.61723542
100506083 0.5005055 1.40278077 0.55865107 1.31552005 1.16805406
100506100 -1.1799596 0.62549085 0.55865107 -0.11537574 -0.37767568
100506119 0.7983887 0.23341162 -0.22773446 -0.11537574 0.13486409
100506127 2.5745829 2.04005183 2.05480092 1.38369867 1.61723542
100506142 1.2558358 -0.67824314 -0.22773446 0.36117920 -0.72375291
100506144 -1.1799596 0.78768118 1.20045002 1.08921801 1.26977549
100506161 0.7983887 1.40278077 1.32447593 1.24395895 1.69243714
100506211 4.6117950 2.33067681 2.25513195 2.36140323 2.46733467
100506235 1.8819967 1.29897815 1.73536664 0.36117920 1.45394059
100506258 1.2558358 -1.17995959 -0.62667057 -0.11537574 -0.37767568
100506282 3.4361238 1.67572258 1.20045002 1.97609021 1.83201300
100506286 0.1246732 -0.01151564 -1.17995959 -0.11537574 -0.37767568
100506302 2.3172005 1.18712381 0.91494901 1.38369867 1.16805406
100506321 0.1246732 0.78768118 1.32447593 1.31552005 0.66944273
100506325 -0.3849372 -0.30670212 0.08444584 0.71879678 0.13486409
100506343 0.5005055 -0.67824314 -0.22773446 0.60915388 -0.09876353
100506365 5.4987375 4.79660273 5.23965242 5.04270467 5.38005803
100506368 -1.1799596 -0.01151564 1.06475040 0.49048782 -0.09876353
100506380 2.7237517 2.57245865 2.37473086 2.29213689 2.28498371
100506392 4.2674889 4.03661361 4.45267034 4.05145273 3.92746394
100506394 0.7983887 -1.17995959 -1.17995959 -1.17995959 0.13486409
100506411 2.3172005 1.29897815 1.54450022 0.60915388 0.94018273
100506433 3.0963589 1.18712381 1.43867848 1.16866214 2.37903833
100506462 -0.3849372 0.78768118 1.32447593 -0.11537574 0.51227961
100506469 3.4787341 2.38238362 2.48516960 2.77081261 2.59040577
100506495 1.8819967 -1.17995959 -1.17995959 -0.55162156 0.51227961
100506504 1.2558358 1.75632103 1.98132571 2.06182572 2.23555235
100506540 0.7983887 1.29897815 0.91494901 1.00514293 0.81115441
100506581 2.1159472 1.67572258 2.68352212 2.32718572 2.80892433
100506606 0.1246732 -0.67824314 -0.62667057 0.49048782 0.33587852
100506658 2.1159472 2.77947668 2.68352212 2.86922002 3.45251268
100506668 2.1159472 2.38238362 2.31617039 2.29213689 2.59040577
100506686 1.4396247 0.62549085 1.90390672 1.44880018 2.33277736
100506691 0.1246732 -0.30670212 -0.22773446 0.06154998 -1.17995959
100506696 -1.1799596 0.44272980 1.06475040 0.36117920 1.16805406
100506697 -1.1799596 1.06586282 0.74777143 1.51109040 1.26977549
100506710 5.2992145 4.40489395 5.40331485 4.65148148 4.99073852
100506713 1.0451676 0.93346654 1.20045002 0.36117920 0.33587852
100506725 5.6274049 3.62911076 3.81327097 3.12961838 4.32019385
100506731 1.0451676 0.93346654 0.55865107 0.49048782 1.61723542
100506757 2.4081930 -0.30670212 0.34094493 0.71879678 1.76391235
100506779 0.1246732 -0.01151564 -0.62667057 -0.11537574 -0.09876353
100506804 0.1246732 0.23341162 -1.17995959 0.21912929 -1.17995959
100506826 2.7929246 1.40278077 1.43867848 1.83710394 1.36479471
100506844 2.9220512 2.16341081 2.53737239 2.01959475 2.84233029
100506866 7.1052072 4.23247349 4.21693972 4.70575910 4.14386549
100506881 2.4081930 2.10304941 1.73536664 1.44880018 2.46733467
100506885 0.5005055 0.23341162 -0.22773446 0.06154998 1.36479471
100506911 -0.3849372 -1.17995959 -0.22773446 0.06154998 0.94018273
100506922 -0.3849372 -0.30670212 -0.22773446 -0.31707195 0.13486409
100506930 -1.1799596 -0.30670212 -0.22773446 -0.11537574 -0.37767568
100506994 1.0451676 0.62549085 1.06475040 0.82069229 0.94018273
100507003 -1.1799596 -1.17995959 -0.22773446 -0.11537574 0.13486409
100507032 -1.1799596 -1.17995959 -1.17995959 -1.17995959 -1.17995959
100507034 3.2018647 3.12128933 3.21916864 3.12961838 3.05673437
100507050 -1.1799596 -1.17995959 -1.17995959 -0.31707195 0.13486409
100507053 -1.1799596 -1.17995959 -0.22773446 0.06154998 -1.17995959
100507057 -1.1799596 -0.67824314 -1.17995959 -1.17995959 0.33587852
100507062 0.7983887 -0.30670212 0.74777143 0.21912929 0.33587852
100507071 0.1246732 0.23341162 0.74777143 0.60915388 0.81115441
100507156 2.7929246 2.96048247 3.55926749 3.44890560 2.37903833
100507171 2.4081930 2.96048247 2.89835372 2.63754064 3.63514833
100507173 0.1246732 0.62549085 1.32447593 0.82069229 1.36479471
100507178 -1.1799596 -0.67824314 -0.22773446 -0.83185000 -0.72375291
100507244 1.0451676 1.18712381 1.32447593 0.36117920 1.45394059
100507246 4.0013419 4.21831605 4.06518446 3.91987326 3.97341905
100507250 0.5005055 0.44272980 1.43867848 0.82069229 1.53789714
100507254 0.7983887 1.83265397 3.08530206 2.01959475 1.45394059
100507266 0.7983887 0.23341162 0.91494901 1.08921801 0.33587852
100507290 4.8895575 4.82490946 5.38918032 4.36145923 4.55994529
100507291 1.2558358 0.44272980 -1.17995959 0.21912929 0.13486409
100507303 1.8819967 2.10304941 1.20045002 2.60934253 2.59040577
100507308 1.8819967 -0.30670212 -0.22773446 -0.11537574 1.16805406
100507316 -1.1799596 -0.30670212 0.34094493 -1.17995959 0.51227961
100507331 1.8819967 1.97417726 0.08444584 1.68328652 1.83201300
100507347 1.7490622 1.40278077 1.64308754 1.38369867 2.01892046
100507373 1.7490622 1.67572258 0.91494901 1.88493597 2.37903833
100507392 -1.1799596 1.40278077 2.05480092 1.38369867 0.33587852
100507398 1.2558358 0.23341162 0.08444584 0.71879678 1.16805406
100507401 0.7983887 -0.01151564 1.20045002 0.49048782 0.66944273
100507420 -1.1799596 -0.30670212 -1.17995959 0.71879678 0.33587852
100507433 2.4937854 1.83265397 1.54450022 1.83710394 1.76391235
100507436 -1.1799596 1.06586282 0.74777143 0.21912929 0.81115441
100507437 -0.3849372 1.18712381 0.34094493 0.82069229 2.01892046
100507459 0.5005055 -0.67824314 0.34094493 1.24395895 1.76391235
100507463 -0.3849372 -0.01151564 -1.17995959 0.06154998 0.13486409
100507487 1.6026239 1.75632103 -0.22773446 1.08921801 1.95926857
100507495 4.0864641 4.57008234 4.38305515 4.30103765 4.49840884
100507516 1.0451676 0.62549085 1.43867848 0.49048782 0.51227961
100507551 0.7983887 0.23341162 0.08444584 0.21912929 -0.72375291
100507557 2.6510944 0.62549085 1.98132571 1.44880018 2.77472647
100507564 0.7983887 0.78768118 1.43867848 0.82069229 0.51227961
100507567 -0.3849372 -0.01151564 -0.22773446 -0.31707195 0.13486409
100507588 0.7983887 -1.17995959 1.43867848 0.49048782 0.94018273
100507599 1.6026239 0.23341162 0.74777143 -0.11537574 -0.37767568
100507602 4.7573506 4.35400195 4.60720028 4.65148148 4.72126718
100508120 1.0451676 0.62549085 0.55865107 -0.11537574 1.83201300
10051 7.2659008 8.07633634 8.01878314 8.01499329 6.73229942
10052 2.7929246 0.78768118 1.20045002 2.14275072 1.36479471
100526737 1.7490622 2.43230117 2.25513195 2.21937650 1.89704343
100526760 1.6026239 1.97417726 0.74777143 1.83710394 1.76391235
100526820 0.5005055 0.44272980 1.06475040 0.49048782 0.51227961
100526835 5.5294648 3.09052999 3.97342499 3.49587021 3.70944558
100527978 0.5005055 0.78768118 0.74777143 -0.55162156 0.66944273
100529145 1.6026239 1.75632103 1.32447593 1.62814031 2.46733467
100529215 1.0451676 0.23341162 0.91494901 1.08921801 -0.37767568
100532746 3.2518585 3.88354230 3.37072623 3.41672440 3.83091440
100533106 0.1246732 -0.67824314 -0.62667057 0.36117920 0.51227961
100533182 0.1246732 -0.30670212 1.06475040 -0.55162156 -1.17995959
100533619 0.1246732 -1.17995959 -0.22773446 0.21912929 -1.17995959
100533629 0.5005055 -0.30670212 0.34094493 -0.31707195 -0.09876353
100533695 0.1246732 0.78768118 0.91494901 -0.11537574 -0.72375291
100533970 1.7490622 1.67572258 1.32447593 1.08921801 1.16805406
100534593 2.6510944 0.44272980 0.34094493 0.21912929 1.05861272
10054 6.0225144 6.67950563 7.07630850 6.71241342 6.74560260
10056 6.0927802 6.39166558 6.51772291 6.38661287 6.10631844
10057 7.7712961 6.64022157 6.31583211 6.68396570 6.96240721
10058 6.2424768 5.27820089 5.00954480 4.94454820 6.21232765
10059 7.5317911 7.43607160 7.31930377 7.22333767 6.99247664
1006 0.7983887 1.18712381 1.54450022 1.83710394 1.45394059
10060 4.5925229 3.80992361 4.18456894 3.71017673 4.40088404
100616256 0.5005055 -0.01151564 0.34094493 -0.83185000 -0.72375291
10062 1.2558358 1.97417726 1.64308754 1.00514293 1.95926857
10063 4.5729898 4.26037829 3.81327097 4.13294550 3.83091440
100652739 -1.1799596 0.23341162 -0.62667057 0.36117920 -0.37767568
100652758 0.1246732 1.40278077 0.08444584 1.38369867 2.18436704
100652846 3.3469310 1.18712381 1.43867848 1.00514293 0.33587852
10066 6.8204978 6.96670656 6.92286852 6.83314975 6.86011373
10067 6.2486459 5.54531907 5.71799599 5.87322400 5.72714186
10068 3.1500760 3.58565571 3.70332222 3.54135403 3.49514314
10069 3.0405640 3.20981796 3.42715551 3.24408045 3.47398537
10072 4.2674889 4.84347669 4.58256756 4.93321798 4.41205144
10073 3.9108808 4.09975826 3.87543056 4.06189464 4.08925728
10075 8.6456091 8.57421079 8.43979319 8.62004296 8.61151745
10076 4.7223152 3.15140653 3.04980033 3.41672440 4.25966349
10077 -1.1799596 -1.17995959 -0.22773446 0.06154998 0.66944273
100775107 1.7490622 0.23341162 0.55865107 0.60915388 0.66944273
10078 4.7044731 4.94153301 5.17521388 5.05320986 4.92988475
10079 4.8413884 5.26448725 5.06394489 5.34160801 5.67246857
1008 2.9220512 0.93346654 0.34094493 1.62814031 1.45394059
10081 5.2752411 5.09663144 5.58170167 5.36287677 5.32203812
10082 7.5543783 6.44431273 6.31583211 6.32941983 7.01645483
100820829 6.6351470 3.05910052 3.45456348 3.57089897 2.73969825
10084 5.0394108 5.11202818 4.97210399 5.27136105 4.85820850
100847074 1.7490622 2.48054917 2.48516960 2.82085521 2.28498371
10085 7.5741633 9.36386780 8.97737471 9.24955456 9.99924451
100852407 0.7983887 1.29897815 1.20045002 0.60915388 1.76391235
100861412 -0.3849372 1.49961343 1.98132571 -0.11537574 1.05861272
100861548 4.0864641 4.20401829 3.97342499 4.21008011 5.04195813
100862671 0.7983887 1.29897815 1.20045002 1.08921801 0.81115441
10087 6.6951026 6.18516834 5.96669168 6.24258679 6.36379127
100873257 1.4396247 0.23341162 -0.62667057 0.06154998 -1.17995959
100873333 2.4937854 2.61630702 2.81621880 2.63754064 2.50953571
100873790 4.3152960 2.99410977 3.08530206 3.10962629 2.42386189
100873949 -0.3849372 1.18712381 1.06475040 0.91586339 0.66944273
100873952 1.0451676 -0.01151564 0.55865107 0.49048782 -0.37767568
100873965 1.4396247 1.49961343 1.98132571 2.45944022 1.45394059
100874006 0.1246732 2.10304941 1.82209645 1.83710394 2.07620352
100874008 0.7983887 1.18712381 0.34094493 1.16866214 1.36479471
100874014 3.3469310 1.49961343 1.20045002 1.44880018 1.76391235
100874058 0.7983887 1.49961343 1.43867848 1.62814031 2.23555235
100874080 0.5005055 1.90515029 1.54450022 1.24395895 0.81115441
100874097 1.4396247 2.16341081 1.82209645 1.57080210 2.18436704
100874201 -1.1799596 0.78768118 -0.22773446 0.21912929 0.51227961
100874212 0.7983887 0.78768118 0.34094493 1.24395895 0.94018273
100874217 0.1246732 0.78768118 1.32447593 -0.55162156 0.33587852
100874235 1.8819967 0.62549085 -0.62667057 0.71879678 -0.09876353
100874261 -0.3849372 -0.30670212 0.34094493 0.21912929 -0.37767568
100874291 0.7983887 1.40278077 1.73536664 0.71879678 1.16805406
100874362 0.7983887 1.49961343 1.20045002 0.91586339 0.81115441
100874523 2.2200803 1.83265397 2.05480092 2.10285556 0.94018273
100885775 2.7929246 2.43230117 2.25513195 2.84524028 1.36479471
100885776 0.7983887 1.06586282 1.73536664 0.91586339 1.53789714
100885848 6.0296970 5.33178794 5.17521388 5.33301193 4.81679381
1009 8.7207569 10.05901017 9.74388258 9.76635291 9.20559627
10090 4.1405441 3.98737258 4.24860009 3.98716254 4.75674028
10092 7.6057461 8.25945682 8.16282989 8.27211939 7.98437394
10093 6.7439579 7.64101193 7.47630398 7.81577549 7.15749795
10094 3.3001778 4.45405170 4.64337826 4.69908503 4.32019385
10095 4.3841615 6.15946455 5.71799599 5.79714126 5.41378201
10097 8.1645517 8.76098984 8.66840005 8.77285560 8.40415233
10098 5.8136914 6.52991316 6.49810031 6.35724037 5.71366655
10099 8.2469812 7.81338129 7.63445503 8.03831504 8.45700199
100996246 0.7983887 2.89078098 2.93773170 3.00528630 3.31649822
100996251 1.6026239 -0.67824314 1.06475040 1.51109040 0.66944273
100996307 1.2558358 2.61630702 2.89835372 2.32718572 2.46733467
100996384 2.6510944 0.93346654 0.55865107 0.82069229 1.16805406
100996419 1.0451676 0.23341162 -1.17995959 0.06154998 -0.09876353
100996485 1.7490622 2.65886191 2.77332854 2.49069265 1.53789714
100996539 0.7983887 -1.17995959 0.55865107 0.06154998 -0.09876353
100996579 -0.3849372 0.44272980 0.34094493 -0.31707195 0.66944273
100996696 3.6747324 3.65035710 3.72599254 3.55620213 2.50953571
100996842 2.5745829 2.33067681 1.98132571 2.32718572 2.37903833
100996851 1.0451676 0.44272980 0.55865107 -0.11537574 0.51227961
100996939 0.5005055 -0.30670212 1.20045002 1.16866214 1.83201300
101 0.7983887 0.62549085 0.91494901 -0.11537574 0.94018273
1010 2.7929246 0.23341162 0.08444584 0.71879678 -1.17995959
10100 5.8466009 4.60314672 4.29482483 4.52133253 4.34371235
10101 4.9207993 4.95866691 4.99094585 5.28924605 5.19202711
10102 5.2260648 4.95012539 4.89417490 5.07399351 4.85002012
10103 -1.1799596 -1.17995959 -0.22773446 -1.17995959 0.51227961
10105 6.9127372 6.24923467 6.29702909 6.52889189 6.03948064
10106 6.7351973 7.66600216 7.66703829 7.63264715 8.52929350
101060200 4.0013419 2.99410977 2.81621880 3.18798428 3.51599511
101060691 2.2200803 1.59035353 1.20045002 2.18157228 1.69243714
10109 8.0366995 9.08640484 8.95775512 8.99515355 8.55218695
10112 5.7885070 7.15314421 6.90062102 7.17244846 5.57150220
10113 5.8136914 6.52128980 6.82912764 6.46738207 6.97563977
10114 8.1823858 7.38628661 7.46287002 7.43695483 7.57515048
101154753 0.1246732 0.23341162 0.55865107 0.06154998 -0.09876353
10116 7.5766174 7.70332960 8.11960819 7.69015097 7.68855428
10117 0.1246732 1.18712381 0.74777143 2.01959475 1.26977549
1012 6.7699250 7.91782163 7.72164122 7.86803179 8.59752352
10121 6.0080411 6.38850804 6.27028624 6.41743364 6.18002875
10123 4.9207993 5.61721864 5.76253757 5.65264097 5.06336469
101241892 5.5890230 4.32786651 3.65688405 4.18163571 3.49514314
10125 2.1159472 0.93346654 0.74777143 1.00514293 0.51227961
10126 3.5994973 3.26595619 3.83428982 3.04793203 3.72743707
THA_24_C4 DOX_24_C4 NUTL_24_C4 DMSO_24_C4 LPS_24_C4
100 1.84525287 3.73123283 1.679668403 1.5208572 1.7703968
1000 11.50710042 9.65990236 11.219067916 11.1570971 11.0867736
10000 7.35309604 6.38129209 7.679668504 7.7531920 7.7096999
10001 4.54500524 5.61307787 4.866315946 5.0094807 4.9511463
10003 3.60976284 4.19167610 4.552101850 4.3979055 3.8968451
100037417 -1.17995959 -1.17995959 -1.179959587 -1.1799596 -1.1799596
100049716 2.96265138 3.78820737 2.663119809 2.0996637 2.9937925
10005 3.68239640 3.47775602 3.869925742 3.2853519 3.6461427
10006 6.64743278 6.60919591 6.579609729 6.7398441 6.5066977
10007 4.63315498 5.59189838 4.494338661 4.5046415 4.1907766
10009 5.60166007 5.24369639 5.760534644 6.0664318 5.6705373
100093630 6.30041679 6.52789200 5.978441856 5.8303111 5.8790588
1001 4.72771387 5.95745815 5.154336640 4.9912394 4.8358454
10010 5.29695316 6.16530210 5.400617954 5.3036250 5.4595311
100101267 2.61225707 3.14117742 2.225492542 2.2907657 1.7703968
100101467 4.65738205 3.94675942 3.654773780 3.4277980 4.0426425
10011 5.77774489 5.57580719 5.679915290 5.2585796 5.2946520
100113386 0.57721110 0.90144016 -0.304621820 0.3228291 0.5174287
100113397 0.93523471 0.59577885 0.936987347 1.6191637 1.6841321
100113407 5.26577548 4.59443037 5.544170979 5.8405365 5.1889842
100125288 3.17891717 2.98747268 1.909188979 1.7111968 1.6841321
100127983 1.84525287 2.18356295 1.836664900 1.6191637 2.8023203
100128006 1.56696132 1.46442432 2.576696834 2.4054114 2.8427017
100128016 1.56696132 1.55476274 0.628760121 0.7272578 0.7043491
100128025 0.35821916 1.15352725 0.236272171 -0.2411470 0.7043491
100128054 2.00482446 3.38229716 1.978241120 1.8793262 2.1380004
100128071 -0.21490441 1.03298272 0.236272171 -0.2411470 0.3026340
100128191 0.57721110 4.74592742 1.978241120 2.2298350 2.2014843
100128252 3.00102265 1.72005758 2.334853107 2.4054114 2.7179997
100128379 1.22184064 0.75668940 -0.676897119 1.3015329 -0.2560473
100128398 5.37937225 5.15261128 3.958033153 4.1573534 3.9896800
100128494 2.92323161 3.67191542 3.185262732 3.6299703 3.3977689
100128569 1.56696132 1.93714012 0.936987347 2.5116134 1.3892625
100128640 -0.61819934 3.01955164 -0.304621820 -1.1799596 -0.2560473
100128682 -1.17995959 -1.17995959 -1.179959587 -1.1799596 -1.1799596
100128731 6.24153922 6.65841510 6.502593993 6.4703387 6.6557985
100128766 2.56180900 1.86834581 2.576696834 3.0934814 3.2554574
100128782 2.14849098 2.18356295 1.503477243 1.7111968 0.8698059
100128822 -1.17995959 -1.17995959 -1.179959587 -1.1799596 -1.1799596
100128833 2.27913767 3.08164585 2.531463076 2.5619197 1.7703968
100128881 2.21529270 2.88672032 1.836664900 2.2907657 2.5329574
100128893 4.50551314 6.86232540 3.958033153 4.2975596 4.3810165
100129001 1.46083715 1.03298272 0.236272171 1.0427829 1.7703968
100129013 1.75832004 1.36804899 2.386574032 1.6191637 2.0019825
100129029 0.35821916 1.26477174 0.236272171 -0.2411470 1.1527884
100129060 3.85990827 4.26040515 3.426734353 2.8721212 3.0637907
100129075 1.75832004 4.19167610 0.791089597 1.5208572 1.1527884
100129195 2.07844531 3.14117742 2.704464367 2.5116134 2.5814902
100129203 1.34628226 4.61557299 1.836664900 0.3228291 0.0501696
100129250 1.66581108 2.81541781 2.386574032 1.1779511 1.3892625
100129259 1.66581108 2.00280276 1.679668403 1.5208572 1.5923793
100129361 5.65075683 5.97801117 5.780004717 5.6443800 5.5658763
100129398 1.56696132 1.15352725 1.302735478 1.7977093 0.8698059
100129434 -1.17995959 1.79610609 0.628760121 -1.1799596 0.7043491
100129461 2.07844531 1.26477174 2.167537799 1.4153588 1.3892625
100129484 0.93523471 3.25334204 1.679668403 -0.6354990 -1.1799596
100129550 4.86926744 4.95942379 4.149830058 3.8685052 4.0769006
100129583 0.76730055 1.93714012 0.236272171 -0.2411470 -1.1799596
100129662 0.93523471 1.03298272 -1.179959587 -0.2411470 -0.6452738
100129707 1.34628226 1.15352725 1.069476299 1.5208572 1.2758651
100129716 1.66581108 2.06560650 1.406595039 0.5391689 0.7043491
100129726 2.34027658 3.38229716 0.236272171 -0.2411470 0.3026340
100129774 3.42454978 3.05093279 3.155756821 3.3724956 3.2252295
100129781 -0.61819934 1.93714012 0.628760121 0.8936291 -0.2560473
100129792 -0.61819934 -0.69039400 -0.676897119 -0.6354990 -1.1799596
100129794 1.75832004 0.59577885 1.406595039 2.1662170 1.3892625
100129842 1.56696132 1.46442432 -1.179959587 -0.2411470 0.0501696
100129917 3.83887752 3.08164585 1.760301176 2.3492270 2.0715938
100129924 0.76730055 1.26477174 -0.676897119 0.0682259 0.0501696
100129940 -0.21490441 2.70138686 0.236272171 2.5116134 1.2758651
100129995 0.35821916 -1.17995959 -1.179959587 -1.1799596 -1.1799596
10013 5.99293587 6.05741463 5.695378583 5.7512197 5.8196046
100130111 0.76730055 -1.17995959 -0.676897119 -1.1799596 -1.1799596
100130197 0.35821916 0.20745159 -0.008972974 0.8936291 0.5174287
100130335 2.88270441 3.25334204 1.909188979 2.9497435 2.9574772
100130348 3.60976284 3.43081598 2.964800641 3.3149885 3.2252295
100130357 0.35821916 0.75668940 0.236272171 -1.1799596 -1.1799596
100130466 3.77388079 3.89582056 4.072988477 4.1074173 3.5760146
100130476 -1.17995959 1.55476274 -0.008972974 -0.6354990 -1.1799596
100130522 -0.21490441 0.59577885 0.236272171 1.0427829 1.2758651
100130550 1.56696132 1.03298272 1.406595039 1.4153588 0.8698059
100130564 2.79806593 2.88672032 3.499008473 3.6763773 3.4509824
100130581 1.56696132 2.18356295 0.936987347 1.7977093 1.0182244
100130691 2.61225707 2.29259982 2.334853107 2.8316856 2.2622921
100130705 1.08564315 0.59577885 0.936987347 0.8936291 0.5174287
100130748 0.35821916 1.93714012 2.044138615 1.5208572 1.4943925
100130750 -1.17995959 -1.17995959 -1.179959587 -0.2411470 -0.6452738
100130855 2.00482446 1.26477174 1.679668403 1.3015329 0.8698059
100130958 1.66581108 3.50066548 -1.179959587 1.6191637 0.3026340
100131017 -1.17995959 -1.17995959 -1.179959587 -1.1799596 -1.1799596
100131031 2.56180900 2.23911124 2.386574032 2.2907657 2.0019825
100131033 2.21529270 2.62002969 2.620555358 2.2298350 2.0019825
100131067 2.00482446 3.35741181 1.503477243 1.0427829 1.4943925
100131089 1.66581108 2.06560650 0.236272171 -0.2411470 1.3892625
100131094 1.22184064 0.75668940 -0.008972974 0.5391689 0.8698059
100131138 1.46083715 -0.32552973 0.936987347 0.0682259 1.0182244
100131187 -0.21490441 1.86834581 1.302735478 0.3228291 0.3026340
100131193 1.34628226 0.75668940 1.503477243 1.8793262 2.4827350
100131211 4.09092282 5.09355941 4.517722190 3.9651316 3.9158962
100131213 0.76730055 2.98747268 1.978241120 2.1662170 1.7703968
100131471 2.56180900 2.39397175 2.576696834 2.0298912 2.2014843
100131656 3.55922592 4.70705808 2.964800641 2.7900839 3.1305492
100131685 2.07844531 2.12578992 3.756562081 3.5820208 3.4509824
100131691 2.92323161 4.32600833 1.909188979 1.8793262 2.3767199
100131740 1.08564315 1.55476274 0.936987347 1.0427829 0.3026340
100131801 3.07483288 4.57297329 3.270323812 3.7213379 3.5023028
100131827 0.76730055 1.63977617 0.628760121 -0.2411470 0.7043491
100131828 -0.61819934 -0.32552973 -0.676897119 -0.6354990 -0.2560473
100131940 2.14849098 1.55476274 0.445822325 -0.2411470 -0.2560473
100132074 -1.17995959 -0.03456507 -0.008972974 -1.1799596 -0.6452738
100132086 -0.21490441 1.26477174 1.190815016 1.3015329 1.5923793
100132116 7.62595452 5.93240168 9.573075228 9.5164027 9.5162465
100132126 0.57721110 -0.32552973 0.628760121 0.7272578 0.0501696
100132215 1.56696132 1.46442432 0.936987347 1.5208572 0.0501696
100132537 3.36695013 1.93714012 3.125634835 3.6299703 3.2252295
100132609 0.57721110 1.03298272 1.069476299 0.3228291 0.8698059
100132659 0.57721110 0.20745159 0.791089597 0.7272578 -0.6452738
100132891 -0.21490441 -1.17995959 -1.179959587 -1.1799596 -1.1799596
100132972 1.34628226 1.55476274 -0.008972974 1.0427829 0.5174287
100133234 -0.61819934 -0.03456507 -0.008972974 1.1779511 0.0501696
100133286 0.09993199 1.26477174 0.445822325 0.8936291 1.0182244
100133315 -0.21490441 1.55476274 0.236272171 0.5391689 0.0501696
100134934 2.27913767 1.55476274 2.436504745 1.7111968 1.3892625
10014 6.22542408 6.95232552 6.232744183 6.2540688 6.2419212
100144603 1.08564315 2.44210598 1.978241120 1.8793262 1.8517931
100144748 1.92724375 5.05538562 1.594260852 1.3015329 1.5923793
10015 7.30789634 7.97859741 7.577668489 7.6435868 7.4272202
10016 5.67469254 6.55276786 5.437867393 5.4510520 5.3234739
100170229 0.93523471 -0.69039400 1.594260852 1.3015329 0.8698059
100170841 4.27442092 6.12900370 5.053946477 4.9634376 5.0579105
10018 4.09092282 6.58260048 3.696354787 3.7862560 3.7130194
100188847 1.46083715 0.75668940 1.190815016 1.1779511 1.5923793
10019 5.10771942 4.92596366 4.041068021 4.0731397 4.4215713
100190938 2.84100577 3.14117742 2.167537799 2.6105307 2.8427017
1002 -0.21490441 -0.69039400 -0.304621820 0.7272578 -0.6452738
10020 4.68120900 3.69196010 4.104217935 3.9079357 3.6910698
10021 6.75238100 7.28976073 7.848239979 8.0046374 7.9248164
10023 1.92724375 4.08959914 1.594260852 1.0427829 1.4943925
10024 4.21036216 6.08799146 5.176544137 5.1721560 5.1652979
10026 6.40427917 6.53067726 6.766899032 6.4769086 6.1280877
100268168 0.93523471 0.59577885 0.445822325 0.7272578 0.3026340
100270804 1.66581108 1.55476274 1.406595039 -0.2411470 1.0182244
100270827 0.93523471 -0.32552973 -0.304621820 -0.2411470 -0.2560473
100270840 3.53327771 3.92997885 4.008425297 3.4004118 3.5272942
100270854 2.66100053 1.03298272 2.620555358 2.0298912 2.4827350
100270865 3.47993778 3.43081598 3.297598380 3.3440286 3.4509824
100271271 3.53327771 3.89582056 2.895086319 3.0234018 3.1943547
100271332 1.84525287 2.29259982 2.895086319 2.8316856 2.4827350
100271415 1.66581108 2.62002969 1.909188979 1.8793262 1.5923793
100271479 0.35821916 -0.69039400 -1.179959587 -0.2411470 -1.1799596
100271884 0.09993199 0.90144016 1.406595039 0.8936291 1.9288413
100272147 2.34027658 3.28007170 1.679668403 2.2907657 2.1380004
100286844 2.27913767 2.95466419 1.679668403 1.1779511 1.4943925
100287015 -0.21490441 1.46442432 0.791089597 -1.1799596 -1.1799596
100287049 0.57721110 1.93714012 0.236272171 0.5391689 0.0501696
100287074 2.14849098 2.44210598 2.281208808 2.5116134 2.3767199
100287616 4.39458916 3.11171868 4.149830058 4.3839906 4.5119880
100287722 1.46083715 2.53380895 1.069476299 0.8936291 1.4943925
100287808 0.57721110 3.11171868 0.628760121 1.3015329 -0.2560473
100287837 -0.21490441 0.59577885 -0.304621820 -1.1799596 0.8698059
100287896 3.53327771 2.23911124 3.063435815 2.7472468 2.7607759
100287902 0.09993199 0.75668940 -0.304621820 -0.2411470 -0.6452738
100287928 2.14849098 2.70138686 1.978241120 2.0996637 2.3206402
100287932 5.50484212 5.59189838 5.674723807 5.6029342 5.6422181
100288001 1.92724375 2.66128169 2.663119809 2.3492270 1.6841321
100288073 7.81011501 3.22610778 4.371373808 4.5675517 4.2669428
100288123 0.93523471 1.63977617 0.236272171 0.3228291 0.7043491
100288198 2.70815079 4.23330515 2.436504745 2.7900839 2.5329574
100288241 2.07844531 2.34417597 1.836664900 1.3015329 2.1380004
100288413 3.88063684 4.84771435 3.031300921 3.9079357 3.7976231
100288513 0.57721110 2.18356295 1.406595039 0.7272578 0.8698059
100288842 0.93523471 1.36804899 0.791089597 1.0427829 1.7703968
100289061 0.35821916 0.75668940 0.236272171 0.7272578 0.5174287
100289095 1.92724375 1.72005758 1.836664900 0.8936291 1.6841321
100289133 -1.17995959 1.26477174 0.445822325 1.1779511 0.3026340
100289178 1.34628226 1.63977617 1.760301176 2.0298912 1.3892625
100289211 1.34628226 0.75668940 0.628760121 1.5208572 1.6841321
100289259 0.76730055 0.20745159 1.069476299 0.8936291 0.3026340
100289274 5.53784199 5.02410224 3.185262732 2.9870427 2.9937925
100289341 1.66581108 3.01955164 1.679668403 1.6191637 0.5174287
100289373 -1.17995959 0.59577885 -0.304621820 -1.1799596 -1.1799596
100289388 2.79806593 3.22610778 2.895086319 2.3492270 2.6284433
100289414 0.93523471 1.15352725 -0.676897119 1.3015329 0.7043491
100289635 6.48771518 5.53199869 5.679915290 5.5289909 5.6927990
100289640 2.50953273 2.57756333 2.620555358 2.3492270 2.2622921
100289678 2.45529078 2.81541781 2.281208808 1.7111968 2.4307011
100293516 3.96069534 4.28700546 4.319095025 4.5919673 4.3946618
100294362 2.50953273 2.06560650 1.406595039 0.8936291 2.0715938
1003 -0.21490441 -1.17995959 1.069476299 0.0682259 2.7607759
100302692 2.92323161 2.29259982 2.225492542 2.0996637 1.4943925
100302736 3.27599488 2.00280276 2.167537799 2.4054114 1.8517931
100303728 2.75380874 3.30631512 2.895086319 2.6575571 3.4509824
100303755 2.00482446 2.44210598 2.225492542 1.5208572 2.2014843
100312828 -0.21490441 0.90144016 0.628760121 -0.2411470 -0.2560473
100312850 -0.61819934 1.15352725 -0.304621820 -0.2411470 -1.1799596
10036 4.42312990 6.66603532 5.940012898 5.5848006 5.6817111
100379345 3.21200755 3.28007170 3.155756821 3.3724956 3.0637907
10038 6.00714504 5.34211124 5.549853197 5.4970264 5.8496380
100381270 1.22184064 0.41464162 0.628760121 0.7272578 0.8698059
10039 5.96409068 4.58374172 5.760534644 5.6846683 6.0908526
1004 4.62088714 5.85894976 7.029365408 6.2113688 6.5035527
10040 4.75041598 3.40676052 4.639966436 4.4786886 4.1907766
100418710 1.34628226 2.66128169 2.107157155 2.0298912 2.1380004
100418735 3.65858922 3.58882991 4.517722190 4.4253389 4.6320528
100418744 0.09993199 0.90144016 -0.008972974 0.7272578 -1.1799596
100418770 1.22184064 1.55476274 1.406595039 1.1779511 0.0501696
100418781 -1.17995959 1.03298272 -0.676897119 0.7272578 0.0501696
100418819 1.08564315 0.41464162 1.978241120 1.1779511 2.1380004
100418829 2.14849098 1.79610609 0.936987347 1.4153588 1.6841321
100418888 1.34628226 1.55476274 1.760301176 -0.2411470 2.0019825
100418889 2.96265138 2.95466419 2.531463076 2.4594894 1.9288413
100418910 0.93523471 1.03298272 1.909188979 1.5208572 1.9288413
100418919 2.00482446 3.17004665 2.744657013 2.9497435 2.8023203
100419028 -0.61819934 2.29259982 -0.008972974 1.9565720 1.0182244
100419185 -1.17995959 0.20745159 -0.676897119 -1.1799596 -0.2560473
100419416 1.08564315 0.41464162 0.236272171 0.7272578 1.2758651
100419515 0.93523471 0.75668940 0.628760121 1.3015329 0.3026340
100419645 0.35821916 0.20745159 -1.179959587 -0.6354990 0.3026340
100419758 -1.17995959 1.63977617 0.628760121 0.0682259 0.3026340
100419928 2.14849098 2.18356295 1.679668403 1.7977093 0.5174287
10042 5.26577548 5.82758316 5.944333682 6.1303384 5.4979661
100420028 -0.21490441 -0.32552973 0.791089597 0.3228291 0.3026340
100420050 0.57721110 0.90144016 0.445822325 -0.2411470 0.0501696
100420110 4.07302326 3.65158831 3.350647712 3.5324227 3.3977689
100420187 2.61225707 3.01955164 1.760301176 2.3492270 2.3206402
100420259 3.88063684 3.17004665 4.104217935 4.2056187 4.4215713
100420307 0.93523471 0.75668940 1.679668403 1.0427829 1.5923793
100420341 6.97352748 4.90893801 5.146857521 5.1227384 5.2577956
100420423 1.08564315 -0.69039400 1.069476299 1.3015329 2.2014843
100420591 2.21529270 1.36804899 1.069476299 1.7111968 1.0182244
100420707 2.21529270 3.33208967 2.044138615 1.0427829 2.8819836
100420752 2.50953273 2.00280276 2.386574032 2.3492270 2.2622921
100420869 4.30541431 4.91747595 4.517722190 4.5551872 4.2963179
100420981 5.76665147 6.42086423 5.503756197 5.6385316 5.8446756
100421093 3.42454978 3.92997885 4.024838980 3.9079357 3.6461427
100421109 -0.21490441 0.90144016 1.406595039 0.5391689 0.7043491
100421160 0.76730055 0.20745159 1.190815016 0.8936291 1.0182244
100421175 1.92724375 3.19834951 2.044138615 2.0996637 2.6284433
100421246 1.92724375 2.06560650 2.225492542 1.7977093 1.9288413
100421311 3.21200755 2.66128169 2.620555358 2.4594894 2.4827350
100421372 0.57721110 2.66128169 1.978241120 1.7977093 1.8517931
100421400 2.84100577 1.55476274 2.531463076 2.2907657 2.8427017
100421415 0.57721110 -1.17995959 0.445822325 0.0682259 -0.2560473
100421429 0.09993199 0.90144016 0.445822325 1.0427829 0.7043491
100421465 1.84525287 3.01955164 2.858923777 2.9870427 2.6739163
100421468 1.75832004 2.39397175 1.503477243 2.8316856 2.0715938
100421506 -1.17995959 0.20745159 -0.676897119 -0.2411470 -1.1799596
100421569 -0.21490441 1.55476274 -0.676897119 0.8936291 0.7043491
100421595 1.46083715 2.48868596 1.594260852 0.7272578 1.1527884
100421794 3.65858922 4.19167610 3.633525052 3.2550936 3.4768708
100422106 1.84525287 2.23911124 1.069476299 1.4153588 1.2758651
100422338 1.75832004 3.08164585 2.484765041 2.4054114 2.3767199
100422546 -1.17995959 0.59577885 0.628760121 0.7272578 1.4943925
100422561 4.53196096 3.19834951 4.470569873 3.8883552 4.1430688
10043 5.49142787 5.53754806 5.255166339 5.3036250 5.1330987
10044 2.00482446 3.91300080 4.820041151 4.6278329 4.6320528
10045 3.85990827 1.72005758 -0.304621820 -0.2411470 0.3026340
10046 1.75832004 2.66128169 2.964800641 3.2241871 3.0292161
10048 6.82636745 7.18757733 6.805411901 6.7288767 6.6242929
10049 5.44347075 5.26392377 6.007639031 5.7939406 5.9361596
100499177 3.99911798 3.30631512 2.930364534 2.9497435 2.8023203
100499483 1.34628226 -1.17995959 0.445822325 0.3228291 1.0182244
1005 -0.21490441 -0.32552973 0.236272171 -1.1799596 -1.1799596
100500719 -0.21490441 1.63977617 -0.304621820 0.7272578 -1.1799596
100505385 2.27913767 2.39397175 3.125634835 2.5619197 2.1380004
100505501 2.50953273 3.97974612 2.386574032 2.4594894 2.0019825
100505538 1.92724375 3.01955164 1.190815016 1.0427829 -0.6452738
100505549 -0.21490441 -0.32552973 -0.676897119 0.5391689 -0.2560473
100505573 5.31990207 6.25224295 6.068282922 5.9198305 5.6364870
100505576 4.78381305 3.84301712 5.069853146 4.6969953 4.8946474
100505616 1.75832004 1.36804899 -0.304621820 0.0682259 -1.1799596
100505624 1.75832004 1.63977617 1.760301176 2.0298912 1.4943925
100505635 -1.17995959 0.20745159 2.334853107 2.1662170 2.2622921
100505641 2.21529270 3.58882991 2.620555358 2.4594894 3.2554574
100505648 3.27599488 3.33208967 2.576696834 2.1662170 2.2014843
100505678 0.76730055 1.86834581 1.190815016 1.4153588 1.1527884
100505696 3.77388079 3.84301712 3.851639653 4.0020401 3.6461427
100505715 1.56696132 1.36804899 1.503477243 1.6191637 1.4943925
100505738 -1.17995959 -1.17995959 -1.179959587 -1.1799596 -1.1799596
100505741 1.22184064 2.34417597 1.503477243 0.8936291 -0.6452738
100505758 3.58471565 3.54542106 3.499008473 3.6763773 3.2850649
100505761 3.07483288 2.00280276 2.386574032 1.7111968 1.8517931
100505771 3.92122135 4.41311265 3.350647712 3.4546741 2.8427017
100505783 -1.17995959 0.90144016 -1.179959587 -0.6354990 -1.1799596
100505806 3.17891717 2.39397175 2.281208808 3.1603140 3.1305492
100505812 0.35821916 1.03298272 -1.179959587 0.3228291 -0.2560473
100505832 -0.21490441 -1.17995959 -0.008972974 -0.2411470 -1.1799596
100505854 0.35821916 2.66128169 0.936987347 0.5391689 -0.2560473
100505876 5.69823761 5.97392392 5.605477384 5.6208427 5.4200440
100505894 1.46083715 2.77839997 1.302735478 2.2907657 1.5923793
100505933 0.35821916 0.20745159 -0.676897119 0.0682259 -0.2560473
100505994 2.70815079 2.81541781 0.628760121 -1.1799596 0.0501696
100506020 0.93523471 0.90144016 1.069476299 1.0427829 1.0182244
100506033 5.45042015 5.67481234 5.387984642 5.0802234 5.4660084
100506054 -1.17995959 1.46442432 0.936987347 0.5391689 0.7043491
100506068 0.09993199 0.41464162 0.236272171 0.8936291 0.7043491
100506070 1.34628226 1.26477174 -1.179959587 -0.6354990 0.7043491
100506083 0.76730055 1.15352725 1.503477243 1.4153588 1.7703968
100506100 0.35821916 0.59577885 1.190815016 -1.1799596 0.0501696
100506119 0.09993199 2.98747268 -0.008972974 -0.2411470 -0.2560473
100506127 2.00482446 2.06560650 1.909188979 1.1779511 2.0715938
100506142 -0.61819934 -0.32552973 -1.179959587 -0.2411470 -0.2560473
100506144 1.56696132 0.41464162 1.069476299 1.1779511 1.0182244
100506161 1.56696132 1.79610609 1.069476299 -0.6354990 0.3026340
100506211 2.70815079 -1.17995959 1.978241120 4.6743076 4.9876193
100506235 1.46083715 2.85150952 0.445822325 1.0427829 0.7043491
100506258 0.35821916 0.90144016 -0.676897119 -1.1799596 -1.1799596
100506282 2.14849098 3.08164585 1.909188979 2.0996637 1.7703968
100506286 -0.21490441 0.20745159 -0.676897119 0.3228291 0.3026340
100506302 1.22184064 2.29259982 1.594260852 1.6191637 2.0715938
100506321 0.76730055 0.41464162 -0.008972974 0.8936291 0.8698059
100506325 -0.21490441 0.41464162 0.236272171 0.3228291 1.2758651
100506343 -1.17995959 1.26477174 1.406595039 0.0682259 0.7043491
100506365 5.24993028 5.10107444 5.116547181 5.0274943 4.8557135
100506368 -0.61819934 1.79610609 -0.008972974 -1.1799596 -1.1799596
100506380 2.84100577 2.44210598 2.663119809 2.8316856 1.8517931
100506392 4.79477578 3.65158831 3.991822723 3.5324227 3.0975560
100506394 -1.17995959 -0.32552973 -1.179959587 -0.6354990 -0.2560473
100506411 0.93523471 1.63977617 0.791089597 2.0996637 0.8698059
100506433 2.66100053 2.53380895 1.190815016 1.0427829 1.1527884
100506462 0.35821916 0.90144016 -0.676897119 -1.1799596 0.8698059
100506469 3.11036856 3.25334204 2.484765041 2.2298350 2.9937925
100506495 -1.17995959 0.41464162 -0.304621820 0.3228291 -0.2560473
100506504 2.56180900 1.63977617 2.107157155 2.6575571 1.5923793
100506540 1.84525287 1.72005758 1.190815016 0.7272578 1.2758651
100506581 2.79806593 2.48868596 2.704464367 2.0996637 3.0637907
100506606 0.57721110 0.59577885 -1.179959587 -1.1799596 -1.1799596
100506658 3.65858922 2.92109220 2.998433909 3.1926040 3.0637907
100506668 1.92724375 1.86834581 2.386574032 2.5116134 2.6284433
100506686 2.07844531 2.00280276 1.909188979 1.8793262 1.4943925
100506691 -0.21490441 0.20745159 -1.179959587 1.0427829 0.0501696
100506696 0.35821916 1.03298272 0.236272171 -1.1799596 0.7043491
100506697 -1.17995959 2.39397175 0.936987347 0.3228291 0.3026340
100506710 5.58280930 5.54858316 4.506077801 4.4522604 4.4479880
100506713 0.35821916 -0.03456507 0.445822325 0.0682259 0.5174287
100506725 2.21529270 3.14117742 2.484765041 3.0934814 2.8427017
100506731 -0.21490441 3.50066548 0.628760121 0.3228291 0.3026340
100506757 1.08564315 2.00280276 0.445822325 -1.1799596 1.4943925
100506779 -0.21490441 1.03298272 0.236272171 -0.2411470 -0.6452738
100506804 0.09993199 1.63977617 0.236272171 0.0682259 -0.2560473
100506826 1.22184064 2.29259982 1.503477243 0.3228291 0.8698059
100506844 3.36695013 3.08164585 1.909188979 1.1779511 2.0019825
100506866 4.43719130 3.58882991 3.991822723 4.9446009 4.8946474
100506881 2.70815079 3.17004665 2.167537799 1.8793262 2.2014843
100506885 -0.21490441 2.66128169 1.069476299 0.5391689 0.3026340
100506911 -0.61819934 0.59577885 0.236272171 -0.6354990 -0.2560473
100506922 -0.61819934 1.15352725 -0.304621820 0.0682259 -0.2560473
100506930 1.08564315 -1.17995959 -0.304621820 -0.2411470 -0.2560473
100506994 -0.21490441 1.63977617 0.936987347 0.8936291 0.7043491
100507003 0.93523471 -0.32552973 -0.304621820 -0.2411470 -0.2560473
100507032 -1.17995959 -1.17995959 -1.179959587 -1.1799596 -1.1799596
100507034 3.21200755 5.29701834 3.242523658 3.2853519 2.8023203
100507050 -1.17995959 2.29259982 -1.179959587 0.0682259 0.0501696
100507053 -0.21490441 1.55476274 -1.179959587 -0.6354990 0.0501696
100507057 -1.17995959 2.29259982 -0.304621820 -1.1799596 -0.2560473
100507062 -0.21490441 -0.69039400 -0.676897119 -0.2411470 -0.6452738
100507071 1.46083715 0.75668940 -0.008972974 0.5391689 0.5174287
100507156 2.79806593 3.87843327 3.094870498 3.2550936 3.6687811
100507171 3.90107180 0.41464162 2.484765041 2.4054114 3.2850649
100507173 0.93523471 -0.32552973 -0.008972974 0.7272578 0.7043491
100507178 1.34628226 0.59577885 -0.304621820 -1.1799596 0.0501696
100507244 1.84525287 2.70138686 0.936987347 1.4153588 1.9288413
100507246 3.83887752 3.30631512 3.155756821 3.9651316 3.9346989
100507250 0.35821916 1.36804899 1.503477243 0.7272578 0.5174287
100507254 0.76730055 -0.03456507 2.484765041 2.4054114 2.9202241
100507266 0.93523471 -0.32552973 0.791089597 0.8936291 -0.2560473
100507290 4.64531937 4.35143651 4.222785003 4.8865685 4.5612193
100507291 0.35821916 0.75668940 -0.676897119 0.5391689 -0.2560473
100507303 2.92323161 3.25334204 2.281208808 1.9565720 2.3206402
100507308 0.09993199 1.15352725 0.445822325 0.0682259 -0.2560473
100507316 -1.17995959 0.59577885 -1.179959587 -0.2411470 -0.2560473
100507331 2.27913767 2.12578992 0.936987347 1.3015329 1.6841321
100507347 2.39892952 5.52642790 1.594260852 2.5619197 2.0019825
100507373 2.50953273 3.19834951 1.760301176 1.7111968 2.5329574
100507392 1.22184064 2.92109220 1.069476299 1.5208572 1.2758651
100507398 1.66581108 2.39397175 1.190815016 0.3228291 0.8698059
100507401 0.35821916 1.15352725 -0.304621820 0.8936291 0.5174287
100507420 -1.17995959 2.12578992 0.936987347 -0.2411470 0.3026340
100507433 1.34628226 2.66128169 1.406595039 -0.6354990 1.3892625
100507436 1.22184064 0.59577885 -0.304621820 0.3228291 0.7043491
100507437 1.75832004 1.15352725 1.760301176 0.3228291 1.3892625
100507459 1.75832004 3.54542106 -0.304621820 1.5208572 0.7043491
100507463 1.46083715 1.26477174 -0.008972974 -0.6354990 -0.2560473
100507487 2.34027658 3.52321681 1.760301176 1.3015329 1.5923793
100507495 4.64531937 4.40098656 4.358480639 4.5427158 4.5244542
100507516 0.35821916 2.74040724 -0.304621820 -1.1799596 0.3026340
100507551 0.35821916 0.59577885 -1.179959587 0.0682259 1.0182244
100507557 2.39892952 2.70138686 0.936987347 0.8936291 1.3892625
100507564 0.93523471 0.59577885 0.936987347 -0.2411470 0.3026340
100507567 -0.21490441 0.75668940 -0.008972974 -0.2411470 -0.6452738
100507588 0.09993199 1.93714012 -0.676897119 0.3228291 0.8698059
100507599 0.76730055 2.66128169 0.628760121 0.3228291 0.3026340
100507602 4.64531937 3.40676052 4.801107478 4.1573534 4.3672409
100508120 2.34027658 0.20745159 1.594260852 1.7977093 0.5174287
10051 6.53424698 7.93616139 7.986644887 7.9143428 7.8047500
10052 1.66581108 1.15352725 1.836664900 1.8793262 1.4943925
100526737 2.07844531 2.81541781 1.836664900 2.1662170 2.3206402
100526760 1.56696132 1.46442432 1.594260852 0.8936291 1.6841321
100526820 0.57721110 1.79610609 1.594260852 1.3015329 1.1527884
100526835 3.21200755 3.19834951 2.821831430 2.6575571 2.7607759
100527978 -0.21490441 -0.32552973 0.236272171 0.0682259 0.0501696
100529145 2.34027658 1.86834581 1.594260852 1.4153588 1.6841321
100529215 1.08564315 -0.69039400 -0.304621820 0.0682259 -0.6452738
100532746 3.88063684 4.05905673 3.522317043 3.7649396 3.7130194
100533106 0.35821916 0.20745159 -0.304621820 -1.1799596 -0.2560473
100533182 0.57721110 1.03298272 0.236272171 -0.6354990 0.3026340
100533619 -0.21490441 1.03298272 -1.179959587 -1.1799596 -0.2560473
100533629 -1.17995959 -0.32552973 0.791089597 -0.6354990 0.0501696
100533695 -0.61819934 0.59577885 -0.676897119 -0.2411470 0.0501696
100533970 1.08564315 1.79610609 1.978241120 1.1779511 0.8698059
100534593 1.22184064 1.63977617 -0.008972974 0.0682259 -0.2560473
10054 6.31952053 6.74730417 6.663244682 6.6612620 6.7675161
10056 5.76665147 5.49824663 6.399369585 6.3960229 6.4781429
10057 7.19657429 7.74313738 6.699482406 6.6113754 6.4717199
10058 6.39710336 6.86232540 5.303056072 5.3473064 5.6479266
10059 6.60757683 6.89078724 7.172515816 7.1278751 7.2658236
1006 -0.21490441 2.62002969 3.696354787 0.7272578 1.2758651
10060 3.65858922 4.37642425 3.499008473 3.7213379 3.7130194
100616256 -0.21490441 1.26477174 1.069476299 -0.2411470 -0.2560473
10062 1.46083715 2.00280276 0.445822325 1.9565720 2.0715938
10063 3.58471565 3.84301712 4.292227625 4.3414223 3.8381344
100652739 0.09993199 1.26477174 -0.008972974 1.0427829 0.3026340
100652758 1.92724375 3.35741181 1.406595039 -1.1799596 1.3892625
100652846 1.08564315 0.20745159 1.594260852 1.6191637 0.8698059
10066 7.13751703 6.71583343 7.185349686 6.9193937 6.8240765
10067 6.32331111 5.87218659 6.091844265 5.8607723 5.7147225
10068 3.70581708 3.82497758 3.063435815 3.2853519 3.3140770
10069 3.90107180 5.07841089 2.663119809 3.0234018 3.3425172
10072 3.92122135 5.02410224 4.506077801 4.6856961 4.9042189
10073 4.03654381 4.70705808 3.795348197 3.6533604 4.3810165
10075 8.82081304 8.76430987 8.552135566 8.6964908 8.7136320
10076 3.53327771 4.95942379 3.242523658 2.8721212 3.1628046
10077 0.57721110 0.20745159 -0.304621820 -0.2411470 0.8698059
100775107 0.93523471 1.79610609 0.445822325 1.0427829 0.3026340
10078 5.19306011 5.32937073 4.996850011 4.9820316 5.1811319
10079 5.60788932 4.40098656 5.486082880 5.3966507 5.5718943
1008 1.08564315 3.11171868 4.134785680 1.8793262 1.4943925
10081 5.22583132 5.70964069 5.248193308 4.9446009 4.6320528
10082 6.56978310 4.30012392 6.757108002 6.6321263 6.5712064
100820829 1.66581108 3.52321681 3.499008473 3.6763773 3.2850649
10084 4.97906859 5.55406922 4.801107478 4.8363587 4.9965953
100847074 2.14849098 1.79610609 2.225492542 2.2907657 2.6739163
10085 9.46614583 8.77198074 9.774266366 9.6235405 9.4754956
100852407 2.00482446 0.75668940 0.236272171 1.3015329 1.1527884
100861412 2.39892952 1.03298272 0.445822325 1.5208572 0.5174287
100861548 5.40105639 5.31651670 4.596702942 4.2675590 4.4479880
100862671 0.76730055 1.03298272 1.069476299 -0.2411470 1.1527884
10087 6.51780023 7.15906025 6.418130642 6.2692880 6.2419212
100873257 0.57721110 0.90144016 -1.179959587 1.1779511 -0.2560473
100873333 2.34027658 2.23911124 3.125634835 2.6575571 2.3767199
100873790 2.61225707 4.21956184 2.821831430 2.6575571 2.6739163
100873949 0.93523471 0.20745159 0.791089597 0.0682259 0.7043491
100873952 0.35821916 0.90144016 -0.676897119 0.3228291 0.0501696
100873965 0.76730055 1.72005758 1.836664900 1.9565720 1.5923793
100874006 2.39892952 1.15352725 1.302735478 2.0298912 2.1380004
100874008 1.34628226 -0.03456507 0.628760121 2.1662170 2.2014843
100874014 1.22184064 2.66128169 2.436504745 1.7111968 1.6841321
100874058 2.66100053 1.79610609 1.503477243 1.5208572 1.4943925
100874080 -0.21490441 0.41464162 1.594260852 0.0682259 1.7703968
100874097 2.45529078 1.72005758 1.594260852 1.7111968 2.1380004
100874201 0.76730055 0.20745159 0.236272171 -0.6354990 0.5174287
100874212 0.57721110 1.46442432 1.302735478 1.4153588 1.1527884
100874217 0.57721110 0.75668940 1.069476299 0.5391689 0.8698059
100874235 -0.21490441 -0.03456507 -0.676897119 -0.2411470 -0.6452738
100874261 1.34628226 0.59577885 -0.676897119 -0.2411470 0.3026340
100874291 1.08564315 2.00280276 0.236272171 0.8936291 1.2758651
100874362 2.27913767 2.95466419 1.679668403 1.1779511 1.5923793
100874523 1.22184064 1.03298272 2.281208808 2.0298912 1.6841321
100885775 0.57721110 1.93714012 1.679668403 2.1662170 2.7179997
100885776 2.27913767 1.36804899 0.791089597 0.7272578 0.0501696
100885848 3.75154778 3.75047543 4.671583373 4.8157751 5.4267007
1009 8.75918224 8.06663161 10.187452297 10.1825894 10.1610377
10090 4.35069063 4.17752846 4.088687706 4.4786886 4.0426425
10092 7.50767397 7.44693768 8.147065807 8.2468375 8.1775812
10093 6.76915345 7.34302211 7.653517721 7.5915617 7.7014889
10094 4.40893011 4.64671708 4.681970229 4.7843382 4.5852190
10095 5.68061493 6.40577235 6.064318348 5.8096404 6.2229245
10097 8.04516760 8.56203765 8.812407441 8.7021093 8.8179578
10098 5.85833316 5.87657202 6.448866888 6.6869903 6.5831734
10099 8.18297359 8.69337243 8.178583208 8.1859876 8.0443366
100996246 2.70815079 2.48868596 2.998433909 2.9497435 3.0975560
100996251 0.57721110 1.15352725 0.628760121 1.1779511 1.3892625
100996307 3.11036856 2.77839997 2.998433909 2.9114544 2.1380004
100996384 -0.61819934 0.59577885 -0.304621820 0.3228291 0.0501696
100996419 1.46083715 0.75668940 -0.304621820 0.3228291 -0.2560473
100996485 2.84100577 2.81541781 2.386574032 1.3015329 2.2622921
100996539 0.93523471 1.79610609 -0.676897119 0.5391689 -1.1799596
100996579 -0.21490441 0.59577885 -0.304621820 -1.1799596 -0.2560473
100996696 2.70815079 3.50066548 3.401815354 3.2550936 2.7607759
100996842 2.34027658 3.35741181 1.594260852 1.7977093 1.5923793
100996851 -0.21490441 1.26477174 0.445822325 1.5208572 1.1527884
100996939 0.93523471 1.03298272 1.594260852 1.0427829 0.0501696
101 0.35821916 2.77839997 0.236272171 -1.1799596 -1.1799596
1010 -0.21490441 0.20745159 -0.304621820 0.3228291 -0.2560473
10100 2.75380874 3.61005416 4.194044198 4.8964041 4.7745444
10101 5.39386450 5.74844143 5.183871315 4.8566528 4.9603514
10102 4.42312990 5.15982567 5.021597123 4.8261036 4.8946474
10103 -1.17995959 -1.17995959 0.236272171 1.0427829 0.7043491
10105 5.78325977 6.57452530 6.122672516 6.1995006 6.3717770
10106 8.29434479 7.97553431 7.671872921 7.7409620 7.7042311
101060200 3.17891717 4.46062281 3.155756821 2.4054114 2.5329574
101060691 2.27913767 1.15352725 1.406595039 1.0427829 0.7043491
10109 8.36776105 8.73804006 9.143125755 9.0679187 9.1379567
10112 5.05398172 7.32227446 6.943477415 6.9072840 6.7249422
10113 7.36417812 6.46521512 6.439714575 6.4703387 6.5098358
10114 7.52093869 7.96115321 7.294297754 7.4129419 7.3953353
101154753 -0.21490441 0.41464162 -0.304621820 -0.2411470 0.7043491
10116 7.88126951 6.95440141 7.420618708 7.6036196 7.5813414
10117 0.76730055 2.62002969 -1.179959587 0.7272578 0.7043491
1012 8.86828957 7.69180247 8.149874617 7.9909319 8.2581659
10121 5.71564762 5.57580719 6.156584663 6.3960229 6.2494503
10123 4.91016854 6.38129209 5.462176550 5.3328924 5.3091349
101241892 3.94109335 4.23330515 4.345471206 4.1242554 4.4081793
10125 0.93523471 4.10463125 0.628760121 0.8936291 1.0182244
10126 3.70581708 4.54017717 3.324366866 3.7649396 3.5997714
TNFa_24_C4 H2O_24_C4 BPA_24_C4 PFOA_24_C4 EtOH_24_C4 TUN_2_C5
100 2.10125178 2.2293213 1.90362835 1.65363763 1.2382132 2.20782050
1000 11.01040976 11.0837440 11.09629892 11.02673247 10.9513902 11.04079455
10000 7.78164429 7.8748104 7.85228799 7.87648288 7.8261849 6.47796051
10001 5.11768723 4.9385623 4.86918772 4.71869471 4.9300417 4.56147986
10003 3.88159867 4.3941511 4.49989780 4.33259768 4.6406950 2.57271039
100037417 -1.17995959 -1.1799596 -1.17995959 -1.17995959 -1.1799596 -1.17995959
100049716 1.97239888 2.5441796 2.73877023 2.16951047 2.2974826 2.61804788
10005 3.20791001 3.5093841 3.44518242 3.33652693 3.4993125 3.67656641
10006 6.64880757 6.7628286 6.59264940 6.67884050 6.5930450 6.59596001
10007 4.62280829 4.3941511 4.69632664 4.76042886 4.1629932 4.69441476
10009 5.77347678 5.8849216 5.88982218 5.76410376 5.5381071 6.45002593
100093630 5.65251302 5.8154696 5.88982218 5.95592514 5.7471390 6.14393477
1001 4.41537913 4.9231076 4.99063464 4.80098960 5.0462391 5.85771703
10010 6.17221712 5.5088429 5.45593711 5.33753902 5.1451101 5.82425606
100101267 2.16160475 2.1251161 2.21978585 2.54872143 2.2335552 2.01791688
100101467 3.91704411 3.1859107 3.95190984 3.49325614 3.4993125 2.78636594
10011 5.46766381 5.5597007 5.53792804 5.61851718 5.6586281 5.57692433
100113386 0.62406075 0.1307554 -0.30748533 -0.27268504 -0.2050328 -0.28416142
100113397 0.62406075 1.1625305 1.49815751 0.99060528 1.3629688 0.97143037
100113407 5.70415256 5.6932458 5.73454766 5.51259861 5.5643301 3.93127713
100125288 1.40111182 1.8909832 1.97264582 2.23017658 2.4738453 1.22690221
100127983 2.73851039 2.6973883 2.16185554 2.16951047 2.1666631 1.71820861
100128006 2.81566219 1.9531738 2.92442752 2.10618092 2.7726648 1.79917166
100128016 1.18550881 1.7579310 0.78639714 0.99060528 0.5914416 0.97143037
100128025 -1.17995959 0.8060104 -0.01247312 -0.27268504 0.1118279 0.66077232
100128054 2.21953398 1.6113499 2.38080439 2.54872143 1.7758721 1.79917166
100128071 -0.01262748 -0.1023861 -0.67874972 -1.17995959 0.1118279 -0.66362214
100128191 2.43046152 2.0127940 2.27547955 2.28839426 1.7758721 2.08403479
100128252 3.02507605 2.1781593 2.65725720 1.73961753 2.6309779 1.33946016
100128379 1.06428189 0.3314101 -0.01247312 0.84302841 1.2382132 1.22690221
100128398 4.08227788 4.0825591 4.45236111 4.85013768 4.3704245 4.05182444
100128494 3.26404459 3.3335000 3.44518242 3.16067244 3.3565567 2.52590178
100128569 1.40111182 1.4481738 0.93214009 0.67861716 0.9507720 1.79917166
100128640 -0.30761158 -1.1799596 -0.01247312 0.27999558 -0.6116641 -1.17995959
100128682 -0.67883138 -0.3806051 -1.17995959 -1.17995959 -1.1799596 -0.28416142
100128731 6.59237244 6.6755966 6.53961418 6.55683823 6.5411755 6.19344822
100128766 3.05720310 2.9622293 2.47896033 2.54872143 2.9016726 2.37560965
100128782 0.62406075 0.9348906 1.06450140 1.35988036 0.9507720 0.66077232
100128822 -1.17995959 -1.1799596 -1.17995959 -1.17995959 -1.1799596 -1.17995959
100128833 2.52538561 2.5840339 2.47896033 2.59559002 2.3586972 2.14725487
100128881 1.67399595 1.9531738 1.40134356 1.46458765 2.2974826 1.87583154
100128893 4.06658052 3.8733264 4.14368442 4.64262249 4.4286811 4.17828592
100129001 1.18550881 1.4481738 1.29756243 1.24697479 1.8629580 0.66077232
100129013 1.49792275 2.0700479 2.03851174 1.56220705 2.0965181 2.70466021
100129029 1.06428189 1.0531957 0.62425931 0.84302841 1.3629688 0.01599174
100129060 2.65699844 2.6228168 3.17926650 3.22170355 2.9816842 2.97242346
100129075 1.49792275 1.6113499 1.58888119 1.56220705 0.3714741 1.22690221
100129195 2.43046152 1.8909832 2.16185554 2.72769882 3.0200853 2.78636594
100129203 -0.01262748 0.5075342 -1.17995959 1.35988036 0.9507720 0.97143037
100129250 2.16160475 2.0127940 1.75482120 2.03994325 2.0965181 2.01791688
100129259 1.90338294 1.8909832 0.62425931 2.10618092 2.2335552 1.22690221
100129361 5.81634531 5.8070746 5.65278881 5.49416407 5.7866563 5.58835966
100129398 1.49792275 1.0531957 0.23233427 0.67861716 1.3629688 1.10481377
100129434 0.78619011 0.6644775 0.62425931 1.35988036 -0.2050328 -0.66362214
100129461 1.40111182 2.5840339 1.75482120 1.46458765 1.9450850 0.26432476
100129484 1.18550881 1.2641598 1.18573306 0.99060528 1.5841420 1.22690221
100129550 4.05071049 3.6661368 4.25869269 4.04242813 3.7710585 4.23758888
100129583 -0.30761158 -1.1799596 -0.30748533 -1.17995959 -1.1799596 0.97143037
100129662 -0.30761158 0.5075342 -0.01247312 -0.65614721 0.5914416 -0.28416142
100129707 1.18550881 1.7579310 0.62425931 1.12447722 1.3629688 0.97143037
100129716 -1.17995959 0.5075342 -0.30748533 0.84302841 0.3714741 0.82444706
100129726 0.78619011 0.1307554 0.23233427 -0.27268504 0.7822652 1.10481377
100129774 3.05720310 3.0214840 3.11965154 3.22170355 3.1981080 3.89490040
100129781 1.18550881 1.3590987 0.23233427 1.56220705 0.7822652 1.44386842
100129792 -0.67883138 -1.1799596 -0.67874972 -0.65614721 -0.2050328 -0.28416142
100129794 1.06428189 1.8909832 1.49815751 1.24697479 2.1666631 0.97143037
100129842 -0.30761158 -0.1023861 -1.17995959 0.49303036 0.3714741 0.97143037
100129917 1.18550881 1.4481738 2.43071698 1.97051750 1.8629580 1.10481377
100129924 -0.01262748 0.3314101 0.23233427 0.99060528 0.3714741 0.82444706
100129940 1.67399595 1.0531957 1.18573306 1.89758117 1.2382132 1.94862268
100129995 -1.17995959 -1.1799596 -1.17995959 -0.27268504 -1.1799596 -0.28416142
10013 5.80692845 5.9125753 5.73950696 5.93329661 5.7123835 5.44476316
100130111 -1.17995959 0.5075342 -1.17995959 -0.27268504 1.1016395 -0.66362214
100130197 0.78619011 0.1307554 0.78639714 -0.65614721 -0.2050328 0.97143037
100130335 3.29131351 2.6228168 2.92442752 2.50027896 2.7269647 2.57271039
100130348 3.08863028 3.2368033 3.08889408 3.28025728 3.5786430 3.00691966
100130357 -0.30761158 -0.3806051 0.44156495 -1.17995959 -0.2050328 -1.17995959
100130466 3.75019654 3.8571528 3.82701172 3.82365241 3.9606849 3.13720393
100130476 -0.30761158 -0.1023861 1.29756243 0.27999558 0.5914416 -1.17995959
100130522 0.44137714 -1.1799596 -0.30748533 0.67861716 -1.1799596 0.26432476
100130550 0.62406075 1.4481738 1.49815751 2.10618092 0.5914416 0.47612371
100130564 3.29131351 3.7905818 3.84553007 4.14051458 3.7018749 3.75983330
100130581 0.23216057 0.8060104 0.93214009 0.49303036 1.6831898 0.66077232
100130691 1.67399595 2.1781593 2.47896033 1.97051750 2.0227875 0.26432476
100130705 1.40111182 0.6644775 1.97264582 0.49303036 0.9507720 0.82444706
100130748 1.75457936 1.6865013 1.83114252 0.67861716 1.3629688 0.47612371
100130750 -1.17995959 -0.1023861 -0.30748533 -1.17995959 -1.1799596 -1.17995959
100130855 1.29733416 1.9531738 2.03851174 1.12447722 0.5914416 0.97143037
100130958 0.23216057 -0.7256140 -0.30748533 0.02996074 -0.2050328 0.66077232
100131017 -1.17995959 -1.1799596 -1.17995959 -1.17995959 -1.1799596 -1.17995959
100131031 2.21953398 1.8909832 1.75482120 2.39822298 0.9507720 2.78636594
100131033 1.83089880 2.5441796 1.83114252 1.97051750 1.8629580 1.79917166
100131067 0.44137714 0.8060104 1.06450140 1.24697479 1.1016395 1.33946016
100131089 1.18550881 1.0531957 1.18573306 0.27999558 0.7822652 0.97143037
100131094 -0.01262748 -0.1023861 0.23233427 -0.27268504 0.1118279 0.47612371
100131138 1.58864378 1.6865013 2.03851174 1.73961753 1.1016395 2.26594565
100131187 0.44137714 1.0531957 0.93214009 -0.27268504 -1.1799596 -1.17995959
100131193 1.83089880 1.8909832 1.18573306 1.56220705 1.5841420 1.44386842
100131211 4.11316932 4.0112663 4.23078867 3.97312477 4.0561723 3.69783800
100131213 1.58864378 2.1251161 2.27547955 0.99060528 1.7758721 1.33946016
100131471 2.03826340 2.6973883 2.77786229 2.50027896 2.6797695 1.22690221
100131656 3.20791001 3.2115814 3.46926510 3.22170355 3.4718691 3.54189701
100131685 3.42042413 3.5898884 3.44518242 3.65688461 3.2952493 3.44458425
100131691 0.93192622 1.5320676 2.38080439 1.46458765 2.6797695 1.63243040
100131740 -0.01262748 0.3314101 0.93214009 0.49303036 0.9507720 0.97143037
100131801 3.29131351 3.6661368 3.42069090 3.72170233 4.0745341 3.28507816
100131827 -0.30761158 1.0531957 0.44156495 0.49303036 -0.6116641 0.01599174
100131828 -0.30761158 -1.1799596 -0.01247312 -1.17995959 -0.2050328 -1.17995959
100131940 0.44137714 2.1251161 -0.01247312 1.24697479 1.1016395 1.44386842
100132074 -1.17995959 0.1307554 -1.17995959 0.02996074 -1.1799596 0.01599174
100132086 0.78619011 0.8060104 1.06450140 1.82076024 0.7822652 0.82444706
100132116 9.12190996 9.8614169 9.77914848 9.81534868 9.7613518 9.19706285
100132126 -0.30761158 0.3314101 -0.01247312 0.27999558 -1.1799596 0.66077232
100132215 1.06428189 1.8259904 1.83114252 1.65363763 1.6831898 1.22690221
100132537 3.14950253 3.4885360 2.32910292 3.41701880 3.1642176 3.67656641
100132609 1.06428189 1.3590987 0.93214009 1.24697479 1.2382132 0.26432476
100132659 -0.67883138 0.3314101 0.23233427 0.67861716 1.1016395 -0.28416142
100132891 -1.17995959 -1.1799596 -1.17995959 -1.17995959 -1.1799596 0.82444706
100132972 -0.01262748 0.5075342 -0.30748533 -0.27268504 0.3714741 0.66077232
100133234 0.44137714 1.1625305 1.06450140 0.67861716 0.7822652 -0.66362214
100133286 -0.01262748 0.3314101 0.23233427 0.99060528 0.9507720 -0.28416142
100133315 0.23216057 1.3590987 1.06450140 1.65363763 1.6831898 0.82444706
100134934 1.29733416 2.1251161 2.27547955 0.99060528 1.8629580 1.44386842
10014 6.15376373 6.3454028 6.53676811 6.55979588 6.4976138 6.05194189
100144603 1.58864378 1.8259904 2.73877023 1.24697479 1.8629580 1.79917166
100144748 1.06428189 0.8060104 0.93214009 1.56220705 -0.2050328 0.97143037
10015 7.71272093 7.4944001 7.64722889 7.58863181 7.6181851 7.44323430
10016 5.38780343 5.4721446 5.50335803 5.52475873 5.5964525 5.27823437
100170229 1.29733416 0.9348906 1.06450140 0.99060528 1.2382132 0.82444706
100170841 5.18466024 5.2486026 4.98229087 5.10625472 5.1188102 3.56523309
10018 3.75019654 3.1331570 3.31834247 3.63461500 3.1981080 3.39335031
100188847 1.18550881 1.6113499 1.67423570 1.73961753 2.2974826 1.33946016
10019 4.45208849 4.0258095 4.25869269 3.44288147 3.9002038 4.56147986
100190938 3.05720310 2.6973883 2.61470593 2.92410301 2.9016726 1.63243040
1002 -0.67883138 -0.1023861 -1.17995959 -0.65614721 -1.1799596 2.26594565
10020 3.95163955 4.1101182 4.08254887 3.80383062 3.8584268 3.04061024
10021 7.87809935 7.6373949 7.69396383 7.61446450 7.7568159 7.98216638
10023 0.62406075 1.2641598 0.93214009 1.24697479 1.1016395 0.82444706
10024 4.98201652 5.1524735 5.24196398 4.87884243 5.2857129 2.93708218
10026 6.26110131 6.3626911 6.49632206 6.41378294 6.3659063 6.17839351
100268168 -0.30761158 -0.1023861 -0.30748533 1.24697479 -0.6116641 -1.17995959
100270804 0.44137714 0.5075342 0.62425931 0.67861716 1.3629688 2.01791688
100270827 -0.30761158 -1.1799596 0.78639714 0.49303036 -1.1799596 -0.28416142
100270840 3.64842399 3.4885360 4.18789382 3.09694501 3.9606849 3.25669106
100270854 1.90338294 2.2787309 1.58888119 2.54872143 2.5281468 1.87583154
100270865 3.58372583 3.4885360 3.34461830 3.51779887 3.3262286 3.04061024
100271271 3.08863028 3.0502230 3.49295235 3.28025728 3.8794665 2.93708218
100271332 2.47870413 2.8358775 2.65725720 2.80949593 1.6831898 2.42746625
100271415 0.93192622 2.1251161 1.18573306 1.97051750 1.6831898 2.01791688
100271479 -0.30761158 -1.1799596 -1.17995959 -1.17995959 -0.2050328 -0.28416142
100271884 0.62406075 1.5320676 1.67423570 1.35988036 0.3714741 0.82444706
100272147 1.97239888 1.6865013 2.38080439 1.97051750 2.0965181 1.44386842
100286844 0.23216057 0.8060104 2.32910292 0.99060528 1.4777896 0.82444706
100287015 -0.30761158 0.1307554 0.23233427 -0.65614721 -0.2050328 0.26432476
100287049 0.44137714 0.1307554 -0.30748533 0.02996074 0.1118279 0.01599174
100287074 2.57060383 2.9921608 2.32910292 2.34435349 2.8169617 2.42746625
100287616 4.64411758 4.4273940 4.61230766 4.37351462 4.1105712 2.82554662
100287722 1.40111182 0.9348906 -0.01247312 1.24697479 1.1016395 1.44386842
100287808 0.78619011 1.1625305 -0.30748533 0.27999558 1.1016395 -0.28416142
100287837 0.23216057 0.1307554 -0.30748533 -1.17995959 -1.1799596 0.97143037
100287896 2.95859257 2.2293213 1.97264582 2.28839426 2.6797695 2.70466021
100287902 0.44137714 0.5075342 -0.30748533 -0.65614721 -0.2050328 0.26432476
100287928 2.32884912 2.1781593 2.21978585 2.34435349 2.9016726 3.00691966
100287932 5.41285000 5.7203224 5.73454766 5.75380921 5.4494328 5.43212581
100288001 2.69833001 2.4175518 2.32910292 2.23017658 2.0227875 2.08403479
100288073 4.09780628 4.0685796 4.39064919 4.34636600 3.9206472 4.34934750
100288123 0.62406075 0.6644775 0.62425931 1.24697479 -0.6116641 1.22690221
100288198 2.92416546 2.3727462 3.17926650 2.96036774 2.8599388 2.78636594
100288241 1.40111182 2.2293213 2.38080439 1.56220705 2.0965181 1.44386842
100288413 3.82674214 3.3795218 3.51625697 3.63461500 3.6780563 2.26594565
100288513 0.62406075 0.8060104 1.67423570 1.46458765 1.6831898 0.66077232
100288842 1.29733416 1.1625305 1.49815751 1.24697479 1.5841420 0.26432476
100289061 -0.30761158 -1.1799596 0.23233427 0.49303036 0.9507720 0.01599174
100289095 1.40111182 1.4481738 1.58888119 2.23017658 2.0965181 0.97143037
100289133 0.62406075 0.5075342 0.23233427 0.49303036 1.3629688 0.47612371
100289178 1.97239888 1.8909832 2.21978585 1.97051750 2.0965181 2.01791688
100289211 1.29733416 1.1625305 1.18573306 1.35988036 0.9507720 1.54122788
100289259 1.06428189 1.0531957 0.78639714 0.49303036 -1.1799596 1.22690221
100289274 2.81566219 3.0502230 2.69858933 3.54193106 3.1642176 2.97242346
100289341 2.10125178 1.3590987 0.78639714 1.65363763 1.7758721 1.33946016
100289373 -1.17995959 -1.1799596 -0.30748533 -1.17995959 -1.1799596 -1.17995959
100289388 2.21953398 0.9348906 2.52564251 1.97051750 2.7726648 2.20782050
100289414 0.23216057 0.3314101 -1.17995959 -1.17995959 1.3629688 0.26432476
100289635 5.66298986 5.7858707 5.68399386 5.49416407 5.4773022 4.91933901
100289640 2.27522668 1.1625305 2.92442752 1.82076024 2.4738453 1.54122788
100289678 2.10125178 2.1251161 1.90362835 2.68499272 2.0965181 2.14725487
100293516 4.63350228 4.7055001 4.53454984 4.71869471 4.3554852 3.85758266
100294362 2.43046152 1.8909832 0.44156495 1.12447722 1.4777896 1.44386842
1003 2.99221724 0.9348906 -0.30748533 0.99060528 1.3629688 0.26432476
100302692 1.06428189 1.0531957 2.03851174 1.24697479 1.3629688 1.79917166
100302736 1.97239888 1.6865013 1.67423570 2.10618092 1.5841420 2.01791688
100303728 2.77760197 3.0214840 2.81592298 2.99574320 3.3862603 2.70466021
100303755 1.75457936 1.1625305 1.49815751 1.56220705 1.2382132 1.33946016
100312828 -0.30761158 -0.3806051 0.23233427 0.49303036 0.7822652 0.66077232
100312850 -1.17995959 -0.3806051 -0.30748533 0.27999558 -1.1799596 -1.17995959
10036 5.49723944 5.7943897 5.76405092 5.73299708 5.9596276 4.58450382
100379345 2.88889670 3.3099267 3.60588399 2.96036774 3.4718691 2.74609141
10038 5.52047102 5.5036571 5.58827781 5.59564260 5.8678583 5.16823292
100381270 1.18550881 -1.1799596 1.06450140 0.27999558 2.0227875 1.54122788
10039 6.03779358 5.9047282 5.91195613 5.87749459 5.9596276 5.78503984
1004 7.20232406 6.4887704 6.41806028 6.52086524 6.4596977 7.77259852
10040 4.61203445 4.3601241 4.33930566 4.15623303 4.8146245 3.51817725
100418710 2.03826340 1.8909832 1.67423570 2.16951047 2.0227875 1.63243040
100418735 4.43995553 4.5329773 4.57949469 3.90032351 4.1969121 4.17828592
100418744 1.06428189 0.6644775 0.93214009 0.67861716 0.7822652 1.79917166
100418770 1.58864378 1.5320676 1.40134356 0.49303036 0.9507720 2.14725487
100418781 0.44137714 -0.3806051 -0.30748533 0.02996074 0.1118279 0.82444706
100418819 1.40111182 0.8060104 2.10150140 0.67861716 0.7822652 0.82444706
100418829 2.10125178 1.7579310 0.78639714 0.99060528 1.3629688 2.37560965
100418888 1.83089880 1.8909832 1.49815751 1.82076024 1.1016395 0.47612371
100418889 2.77760197 1.9531738 2.21978585 2.39822298 2.3586972 2.14725487
100418910 2.38054974 2.8024815 2.10150140 2.64098379 2.1666631 1.22690221
100418919 3.14950253 2.4175518 2.99248005 2.54872143 2.4738453 2.01791688
100419028 1.49792275 1.4481738 1.97264582 1.46458765 1.6831898 0.97143037
100419185 0.23216057 -0.3806051 -1.17995959 -1.17995959 0.3714741 0.66077232
100419416 0.62406075 0.3314101 1.18573306 -0.27268504 0.9507720 0.97143037
100419515 1.40111182 0.9348906 0.62425931 0.84302841 -1.1799596 0.82444706
100419645 0.44137714 0.3314101 -0.67874972 0.27999558 -0.2050328 0.97143037
100419758 -0.67883138 -0.3806051 -1.17995959 0.02996074 0.5914416 -0.28416142
100419928 1.29733416 1.2641598 1.40134356 1.46458765 2.0227875 1.87583154
10042 5.97190711 5.9813424 5.84450872 6.05567502 5.7065086 5.08187643
100420028 0.44137714 -0.3806051 -0.30748533 0.67861716 -0.2050328 0.66077232
100420050 0.23216057 0.6644775 -0.67874972 -1.17995959 1.2382132 0.26432476
100420110 3.80798311 3.6285163 3.39577642 3.30866643 3.1295119 3.22773418
100420187 1.90338294 1.6865013 2.38080439 1.12447722 2.2974826 2.01791688
100420259 4.23051698 4.4273940 4.51154121 4.02541189 4.3403896 3.65497648
100420307 0.78619011 1.8909832 0.62425931 1.46458765 1.2382132 1.22690221
100420341 5.03943409 5.1852334 5.26278172 5.09813985 5.3398479 5.40003947
100420423 1.40111182 1.2641598 0.93214009 0.84302841 1.7758721 0.66077232
100420591 1.06428189 1.8909832 1.67423570 0.99060528 1.4777896 0.66077232
100420707 3.20791001 2.1251161 2.61470593 2.84871863 2.2335552 2.37560965
100420752 2.27522668 2.6605843 2.32910292 2.28839426 2.5804784 2.26594565
100420869 4.20206271 4.5830058 4.64439090 4.09230478 4.0745341 3.87636219
100420981 5.82570110 5.5036571 5.77857934 5.56652971 5.6525298 5.82908398
100421093 4.21635999 4.3828977 3.80825258 4.05924600 3.8154040 3.77992020
100421109 0.44137714 0.6644775 0.44156495 1.24697479 0.7822652 1.10481377
100421160 1.06428189 0.8060104 1.67423570 0.99060528 1.7758721 0.47612371
100421175 2.21953398 1.6113499 1.83114252 2.39822298 1.9450850 0.01599174
100421246 1.90338294 1.4481738 2.21978585 2.03994325 1.7758721 2.01791688
100421311 2.81566219 2.7682940 2.57086139 2.50027896 2.7269647 2.01791688
100421372 1.97239888 1.6113499 2.03851174 1.65363763 1.3629688 2.01791688
100421400 1.40111182 2.5441796 2.16185554 2.54872143 2.6797695 2.26594565
100421415 -1.17995959 -1.1799596 -0.30748533 0.27999558 -0.6116641 0.26432476
100421429 1.18550881 0.1307554 1.49815751 0.49303036 -0.6116641 0.01599174
100421465 2.43046152 2.9004362 2.27547955 2.28839426 2.1666631 1.94862268
100421468 2.03826340 2.2293213 2.16185554 1.56220705 2.1666631 1.44386842
100421506 -1.17995959 0.5075342 -1.17995959 -1.17995959 -0.2050328 -0.28416142
100421569 -0.01262748 0.5075342 0.44156495 0.27999558 0.3714741 0.01599174
100421595 1.40111182 1.3590987 1.58888119 0.67861716 1.5841420 1.44386842
100421794 3.37015774 3.5701795 4.15857192 3.54193106 3.4718691 2.86369131
100422106 2.47870413 1.0531957 1.58888119 1.97051750 2.0227875 1.10481377
100422338 2.27522668 2.3727462 2.88915836 1.89758117 2.2335552 2.26594565
100422546 0.23216057 0.9348906 -1.17995959 1.24697479 0.3714741 0.26432476
100422561 4.28579529 4.4383069 4.15857192 4.40016179 4.2463404 3.79973126
10043 5.04745319 4.9913862 5.36258958 5.30265328 5.2935719 5.66596530
10044 4.60117954 4.9764900 4.89608650 4.92544985 4.9097319 1.63243040
10045 0.93192622 0.1307554 -0.67874972 0.99060528 0.1118279 -0.28416142
10046 3.51598947 2.9622293 3.17926650 3.67881568 3.3862603 1.63243040
10048 6.68266861 6.7276768 6.79437597 6.76593771 6.6584109 6.50837746
10049 5.78311381 5.8444736 5.89871655 6.00449277 5.5381071 5.35388488
100499177 3.17900183 3.1597749 3.20817496 2.80949593 3.1295119 2.97242346
100499483 0.44137714 0.1307554 0.44156495 -0.65614721 0.5914416 0.82444706
1005 -0.30761158 -1.1799596 0.23233427 -1.17995959 -1.1799596 0.26432476
100500719 -0.30761158 0.6644775 0.23233427 -0.27268504 -0.6116641 0.97143037
100505385 2.43046152 2.3265042 2.47896033 3.03027196 3.3565567 3.10571919
100505501 2.27522668 2.0700479 2.43071698 2.34435349 2.4174198 0.82444706
100505538 1.06428189 1.1625305 0.62425931 0.99060528 0.9507720 -0.28416142
100505549 -0.30761158 -1.1799596 -0.67874972 0.27999558 -1.1799596 0.47612371
100505573 5.14035877 5.7729971 5.74444927 5.89633610 5.8939408 5.48202429
100505576 4.61203445 5.1324544 5.05570251 5.27412430 5.0462391 4.44050319
100505616 -0.01262748 -1.1799596 -1.17995959 -1.17995959 -0.2050328 -1.17995959
100505624 2.10125178 1.8259904 1.90362835 1.12447722 1.8629580 1.44386842
100505635 1.49792275 1.8909832 1.97264582 1.82076024 2.0965181 0.01599174
100505641 2.85274409 2.9004362 3.08889408 2.34435349 3.1295119 1.63243040
100505648 2.10125178 2.2293213 2.32910292 1.97051750 2.7269647 2.78636594
100505678 1.83089880 2.2293213 1.40134356 2.16951047 1.2382132 0.47612371
100505696 3.44491546 3.2859617 3.71061369 3.88153434 3.4153647 3.94912723
100505715 1.18550881 1.6865013 -0.30748533 1.46458765 1.3629688 -1.17995959
100505738 -1.17995959 -1.1799596 -1.17995959 -1.17995959 -1.1799596 2.70466021
100505741 -0.67883138 1.1625305 1.49815751 0.67861716 1.3629688 1.33946016
100505758 3.20791001 3.3099267 3.42069090 2.99574320 3.0939506 3.19818417
100505761 2.27522668 1.7579310 2.69858933 2.10618092 2.7269647 1.44386842
100505771 3.84526038 3.4459136 3.69026715 3.72170233 3.4993125 3.28507816
100505783 -1.17995959 -0.7256140 -1.17995959 -1.17995959 -1.1799596 -0.28416142
100505806 2.43046152 2.4175518 2.47896033 2.68499272 2.8599388 1.87583154
100505812 -1.17995959 0.1307554 -1.17995959 -0.27268504 -0.2050328 -0.28416142
100505832 -0.67883138 -0.3806051 -0.01247312 0.27999558 -0.2050328 -1.17995959
100505854 -0.01262748 0.5075342 0.62425931 0.99060528 -0.2050328 -1.17995959
100505876 5.56584114 5.5395722 5.59376528 5.50647990 5.4281716 5.53617145
100505894 1.58864378 1.0531957 0.93214009 1.97051750 0.5914416 1.44386842
100505933 -0.30761158 -0.3806051 0.44156495 -0.65614721 -1.1799596 0.47612371
100505994 0.62406075 -0.1023861 -0.01247312 -0.27268504 0.7822652 -0.66362214
100506020 0.78619011 -0.1023861 1.49815751 0.49303036 0.7822652 0.26432476
100506033 5.03943409 5.1852334 5.06363347 5.13826535 5.0647269 4.70495898
100506054 0.78619011 0.9348906 1.29756243 -0.65614721 0.7822652 -1.17995959
100506068 -0.30761158 0.6644775 0.78639714 0.84302841 0.1118279 0.01599174
100506070 -0.01262748 0.3314101 -0.30748533 1.56220705 0.1118279 0.26432476
100506083 1.29733416 1.5320676 1.49815751 0.49303036 1.1016395 0.66077232
100506100 -0.67883138 0.3314101 0.44156495 0.02996074 0.3714741 -1.17995959
100506119 0.23216057 1.5320676 0.44156495 -0.27268504 -0.2050328 1.10481377
100506127 2.21953398 1.5320676 1.83114252 2.28839426 1.7758721 1.44386842
100506142 -0.30761158 -0.1023861 -0.01247312 -0.65614721 -0.2050328 -0.66362214
100506144 1.49792275 0.5075342 0.23233427 1.35988036 1.2382132 0.66077232
100506161 -0.01262748 0.8060104 0.78639714 0.84302841 -0.6116641 0.66077232
100506211 4.80412819 4.2652550 4.12864169 4.77067645 4.3852107 2.14725487
100506235 1.18550881 0.5075342 1.18573306 1.56220705 1.3629688 0.97143037
100506258 -0.67883138 -1.1799596 -0.30748533 -0.27268504 0.1118279 -1.17995959
100506282 0.44137714 2.1251161 2.10150140 1.82076024 1.5841420 2.26594565
100506286 -0.30761158 0.8060104 -1.17995959 0.67861716 -0.2050328 -1.17995959
100506302 0.78619011 1.6865013 1.83114252 2.34435349 1.3629688 1.33946016
100506321 0.44137714 1.4481738 0.78639714 0.27999558 1.3629688 0.26432476
100506325 0.62406075 -0.7256140 -0.30748533 0.49303036 -0.2050328 0.01599174
100506343 1.29733416 0.1307554 -0.30748533 0.27999558 0.1118279 0.26432476
100506365 4.95669177 5.0636438 5.13311584 5.27412430 4.8891322 5.04914672
100506368 -1.17995959 -1.1799596 0.23233427 -1.17995959 -0.6116641 0.26432476
100506380 0.93192622 2.5441796 2.03851174 2.28839426 2.2974826 1.44386842
100506392 4.03466394 4.0402075 4.12864169 3.86249723 4.0375737 3.69783800
100506394 -1.17995959 -1.1799596 0.23233427 -1.17995959 -0.2050328 -1.17995959
100506411 0.23216057 1.9531738 1.75482120 0.27999558 0.3714741 1.44386842
100506433 0.93192622 1.2641598 1.75482120 1.56220705 1.7758721 1.22690221
100506462 0.23216057 0.1307554 -0.67874972 0.27999558 -0.2050328 -0.28416142
100506469 2.61444774 2.1251161 3.05746659 2.34435349 2.5281468 1.94862268
100506495 -1.17995959 -1.1799596 -0.30748533 -1.17995959 -1.1799596 0.26432476
100506504 2.10125178 2.1781593 2.10150140 2.03994325 2.4738453 1.22690221
100506540 1.06428189 0.8060104 1.06450140 0.27999558 -0.2050328 0.97143037
100506581 2.10125178 2.4610078 2.21978585 2.72769882 3.1642176 2.78636594
100506606 -0.67883138 -0.7256140 -0.01247312 -0.27268504 -0.2050328 0.47612371
100506658 2.69833001 2.9004362 2.65725720 2.99574320 2.7269647 1.33946016
100506668 2.57060383 2.1251161 1.18573306 2.76917701 2.4174198 2.26594565
100506686 1.83089880 1.5320676 1.58888119 2.10618092 0.9507720 1.10481377
100506691 0.78619011 0.1307554 0.44156495 -1.17995959 0.3714741 0.26432476
100506696 -0.01262748 -0.1023861 0.62425931 0.27999558 0.3714741 -1.17995959
100506697 0.23216057 1.3590987 1.06450140 1.24697479 1.1016395 0.47612371
100506710 4.72634011 4.4811513 4.42799219 4.56231466 4.4708800 4.46552370
100506713 0.93192622 0.8060104 0.62425931 0.67861716 0.3714741 -0.66362214
100506725 3.17900183 3.5501977 3.66962954 3.46828866 3.4718691 4.19334175
100506731 1.75457936 0.8060104 -0.01247312 1.35988036 1.5841420 0.26432476
100506757 0.62406075 0.5075342 -0.01247312 0.02996074 0.7822652 1.22690221
100506779 0.23216057 -0.7256140 -0.67874972 0.99060528 1.2382132 0.01599174
100506804 0.23216057 -1.1799596 -1.17995959 -1.17995959 -0.2050328 -0.28416142
100506826 0.23216057 0.9348906 0.62425931 0.02996074 1.3629688 0.82444706
100506844 1.75457936 2.4175518 1.67423570 2.34435349 1.5841420 1.79917166
100506866 4.89581239 4.1637056 4.73656973 4.77067645 4.5777245 5.21324488
100506881 1.75457936 2.0127940 1.83114252 1.12447722 2.1666631 1.94862268
100506885 0.93192622 1.0531957 0.62425931 0.99060528 0.1118279 0.47612371
100506911 -0.67883138 0.5075342 0.44156495 -0.27268504 0.7822652 -0.66362214
100506922 -0.30761158 -1.1799596 -0.30748533 -0.27268504 -1.1799596 0.26432476
100506930 0.93192622 -1.1799596 1.40134356 -0.27268504 0.3714741 1.94862268
100506994 0.44137714 0.6644775 0.62425931 0.49303036 0.3714741 -0.66362214
100507003 0.62406075 -1.1799596 -0.67874972 0.27999558 0.5914416 0.26432476
100507032 -1.17995959 -0.3806051 -1.17995959 -1.17995959 -1.1799596 -1.17995959
100507034 2.99221724 3.0214840 2.21978585 3.36385959 3.1295119 2.82554662
100507050 0.78619011 -0.3806051 -1.17995959 -1.17995959 -1.1799596 -0.28416142
100507053 -0.67883138 -0.3806051 -0.67874972 0.27999558 -0.2050328 -0.28416142
100507057 -1.17995959 -0.3806051 -0.01247312 -0.27268504 -0.2050328 -1.17995959
100507062 0.62406075 0.1307554 0.23233427 -1.17995959 0.5914416 0.01599174
100507071 1.06428189 0.5075342 0.23233427 0.67861716 0.7822652 0.26432476
100507156 3.51598947 3.0784007 3.02533920 3.16067244 3.4153647 3.10571919
100507171 2.61444774 2.9921608 2.65725720 3.25127746 2.6309779 2.20782050
100507173 -0.01262748 0.9348906 -0.67874972 -0.27268504 1.5841420 -0.28416142
100507178 -0.30761158 -1.1799596 -0.01247312 0.49303036 -0.2050328 0.47612371
100507244 1.06428189 1.9531738 2.03851174 2.50027896 0.9507720 1.63243040
100507246 4.03466394 3.9362664 3.73067727 3.61199623 3.5262436 3.51817725
100507250 -0.01262748 0.9348906 0.78639714 0.84302841 1.2382132 0.47612371
100507254 3.23625030 3.7561078 3.31834247 3.49325614 3.1981080 2.20782050
100507266 -0.01262748 -0.1023861 -0.01247312 0.02996074 -0.6116641 -0.28416142
100507290 4.60117954 4.6873186 4.66539008 4.50208543 4.5252911 4.22299010
100507291 -0.30761158 0.1307554 0.23233427 0.27999558 0.7822652 0.01599174
100507303 1.90338294 2.5840339 2.57086139 2.59559002 1.8629580 2.47752339
100507308 -0.01262748 0.8060104 -0.67874972 1.24697479 -1.1799596 0.82444706
100507316 -0.30761158 -0.7256140 -1.17995959 -0.27268504 -1.1799596 0.47612371
100507331 1.18550881 1.7579310 1.67423570 1.46458765 1.6831898 0.82444706
100507347 2.32884912 1.9531738 2.61470593 1.46458765 1.6831898 2.26594565
100507373 2.21953398 1.6865013 1.83114252 2.03994325 2.2974826 1.79917166
100507392 2.47870413 2.0127940 1.97264582 2.39822298 1.9450850 0.97143037
100507398 1.18550881 -0.1023861 0.78639714 0.84302841 0.9507720 -1.17995959
100507401 -0.30761158 0.9348906 -0.01247312 0.49303036 1.3629688 0.47612371
100507420 0.93192622 0.1307554 0.23233427 -0.27268504 -0.2050328 -0.28416142
100507433 1.18550881 0.6644775 1.75482120 0.49303036 1.4777896 1.33946016
100507436 -0.01262748 1.0531957 -0.30748533 1.12447722 0.3714741 -1.17995959
100507437 0.62406075 1.3590987 1.18573306 1.24697479 1.9450850 0.66077232
100507459 1.58864378 0.9348906 0.93214009 1.46458765 1.8629580 0.66077232
100507463 1.18550881 -1.1799596 -0.01247312 0.02996074 0.1118279 0.01599174
100507487 0.23216057 1.1625305 0.93214009 1.12447722 1.4777896 2.42746625
100507495 4.23051698 4.0112663 4.01870756 4.05924600 4.3097161 3.83855546
100507516 0.93192622 0.5075342 1.06450140 0.49303036 1.3629688 -1.17995959
100507551 -1.17995959 -0.7256140 0.23233427 -0.27268504 -1.1799596 0.26432476
100507557 1.75457936 1.6113499 1.29756243 1.46458765 0.7822652 0.47612371
100507564 0.23216057 1.4481738 1.18573306 0.27999558 -0.2050328 -0.28416142
100507567 -1.17995959 -0.7256140 -0.67874972 -1.17995959 -0.6116641 0.66077232
100507588 1.58864378 0.6644775 -0.01247312 1.12447722 -0.2050328 -0.28416142
100507599 0.62406075 0.1307554 0.62425931 0.27999558 0.7822652 0.26432476
100507602 4.62280829 4.7760178 4.61230766 4.51433411 4.7360583 4.05182444
100508120 0.93192622 0.6644775 0.23233427 0.84302841 1.3629688 0.47612371
10051 7.69240824 7.7707274 7.70160790 8.02298548 7.8248297 6.77925433
10052 0.78619011 1.5320676 2.21978585 0.84302841 1.5841420 1.33946016
100526737 1.67399595 2.2293213 2.27547955 2.39822298 1.8629580 2.26594565
100526760 1.58864378 1.4481738 0.23233427 1.56220705 1.4777896 1.54122788
100526820 0.78619011 0.5075342 0.93214009 0.27999558 1.1016395 0.97143037
100526835 3.17900183 3.3566944 2.85300533 2.96036774 2.6797695 4.46552370
100527978 -0.30761158 0.9348906 0.62425931 0.27999558 -0.6116641 -0.66362214
100529145 2.27522668 1.1625305 1.75482120 2.39822298 2.4174198 -0.28416142
100529215 0.23216057 0.8060104 0.44156495 0.49303036 0.1118279 -0.66362214
100532746 4.08227788 3.8571528 3.84553007 3.72170233 3.8794665 3.31291746
100533106 -0.30761158 0.1307554 -0.67874972 0.02996074 0.7822652 0.01599174
100533182 -0.30761158 -1.1799596 -1.17995959 -0.27268504 0.1118279 0.26432476
100533619 -0.67883138 -0.3806051 -0.01247312 -1.17995959 -1.1799596 0.82444706
100533629 -0.30761158 -0.7256140 -0.30748533 -0.27268504 0.3714741 0.66077232
100533695 -1.17995959 -0.1023861 1.06450140 -0.65614721 -1.1799596 0.97143037
100533970 1.97239888 0.8060104 1.58888119 1.24697479 2.0227875 1.44386842
100534593 -0.01262748 0.5075342 0.44156495 0.27999558 0.3714741 0.26432476
10054 6.72578217 6.8795239 6.55657372 6.77868730 6.6307588 6.03532672
10056 6.29517631 6.4622837 6.27168522 6.36050213 6.2655907 5.83389579
10057 6.37381537 6.4133466 6.62516787 6.55387450 6.4596977 6.85695170
10058 5.53765245 4.9764900 5.39438127 5.40487742 5.1963138 5.08187643
10059 7.16411234 7.3674071 7.26584090 7.21746539 6.9815124 7.03882378
1006 1.75457936 2.5031930 2.16185554 0.99060528 1.1016395 4.33584204
10060 3.80798311 3.6093316 3.66962954 3.78373268 3.5526812 3.07353198
100616256 -0.67883138 0.5075342 -0.01247312 -0.65614721 0.1118279 0.01599174
10062 1.40111182 0.8060104 1.40134356 1.35988036 1.4777896 1.33946016
10063 4.12837048 4.1371607 4.49989780 4.23235471 4.5385792 3.71880050
100652739 0.23216057 -0.3806051 -0.30748533 -0.27268504 -0.2050328 0.66077232
100652758 0.23216057 0.8060104 1.18573306 0.99060528 1.4777896 0.97143037
100652846 -0.01262748 1.3590987 0.93214009 0.84302841 1.1016395 1.33946016
10066 6.96471004 7.0041033 7.11181353 6.99078519 6.9815124 6.70240496
10067 5.97190711 5.8279714 5.88535435 5.98702041 5.9841163 5.82908398
10068 3.11938743 3.2115814 3.02533920 3.30866643 3.3262286 2.47752339
10069 3.31807655 3.0784007 3.14976693 3.49325614 2.6797695 2.86369131
10072 4.80412819 4.7145056 4.88717585 4.78085177 4.9500695 5.06560439
10073 4.24453639 4.0685796 3.96890145 4.00819255 3.8794665 3.34022970
10075 8.78978908 8.5192162 8.66987190 8.58697686 8.7388883 8.54627243
10076 3.08863028 2.8358775 3.51625697 3.12916057 3.3262286 4.10055568
10077 -0.30761158 0.6644775 -0.30748533 0.27999558 -1.1799596 -1.17995959
100775107 0.93192622 0.5075342 1.06450140 1.12447722 0.9507720 0.97143037
10078 4.51126836 4.5124697 4.77572067 4.78085177 5.0555126 4.70495898
10079 5.18466024 5.3732542 5.16295435 5.30969824 5.3168955 5.20583973
1008 1.97239888 1.0531957 1.58888119 1.65363763 2.2974826 4.83545069
10081 4.95669177 4.8595780 5.14063353 4.85013768 4.3554852 5.04914672
10082 6.47241366 6.7321179 6.53105906 6.60344807 6.5178828 6.46561187
100820829 2.38054974 3.4885360 3.37042410 3.65688461 3.8370758 4.74638173
10084 5.20631105 5.1722186 4.89608650 4.90698717 5.2212499 4.96391865
100847074 2.43046152 2.4175518 2.77786229 2.34435349 2.7726648 2.47752339
10085 9.36146356 9.6825228 9.66941484 9.66036167 9.5252024 9.87157235
100852407 1.49792275 0.5075342 1.18573306 0.27999558 1.2382132 1.54122788
100861412 0.93192622 1.1625305 1.06450140 0.67861716 1.2382132 0.01599174
100861548 4.27217301 4.0402075 4.11344046 4.31869669 4.0926652 3.94912723
100862671 0.93192622 0.6644775 0.23233427 0.84302841 0.9507720 -0.66362214
10087 6.28164273 6.2433184 6.19433062 6.42355768 6.1051596 6.17460515
100873257 0.23216057 -0.3806051 -0.67874972 0.99060528 -0.6116641 0.47612371
100873333 2.61444774 2.6605843 1.97264582 3.19151070 3.1642176 2.66200392
100873790 2.21953398 2.1781593 2.32910292 2.64098379 3.1295119 2.93708218
100873949 0.44137714 0.9348906 0.78639714 1.56220705 1.2382132 0.47612371
100873952 0.44137714 0.1307554 -0.01247312 0.02996074 -0.6116641 -0.66362214
100873965 2.32884912 2.2293213 1.83114252 1.89758117 2.2974826 1.94862268
100874006 1.75457936 1.7579310 1.75482120 2.03994325 1.4777896 1.71820861
100874008 1.06428189 1.0531957 1.75482120 0.49303036 1.2382132 0.66077232
100874014 1.90338294 1.0531957 1.29756243 1.73961753 1.1016395 2.08403479
100874058 1.67399595 1.8909832 1.97264582 1.56220705 1.7758721 1.63243040
100874080 1.75457936 1.0531957 1.49815751 1.24697479 1.1016395 0.26432476
100874097 1.18550881 2.3727462 2.16185554 1.73961753 2.4174198 1.63243040
100874201 -0.01262748 -0.1023861 -0.67874972 0.02996074 -1.1799596 -0.28416142
100874212 1.40111182 1.0531957 1.67423570 0.99060528 0.1118279 0.97143037
100874217 1.06428189 1.1625305 0.62425931 0.27999558 -0.6116641 0.82444706
100874235 -0.67883138 0.5075342 0.23233427 0.49303036 0.1118279 0.26432476
100874261 -1.17995959 -0.3806051 0.44156495 0.27999558 -0.2050328 0.82444706
100874291 0.62406075 0.5075342 0.44156495 1.56220705 0.3714741 0.82444706
100874362 0.78619011 1.6865013 1.75482120 1.73961753 0.9507720 0.66077232
100874523 1.58864378 2.0127940 1.97264582 1.82076024 0.7822652 2.14725487
100885775 2.16160475 1.7579310 1.75482120 2.10618092 2.2335552 3.00691966
100885776 -0.01262748 0.8060104 -0.01247312 1.24697479 1.1016395 -0.66362214
100885848 5.00690438 5.1590852 5.43162902 5.24501976 5.2457623 4.57303777
1009 10.26774146 10.2111652 10.00881593 10.07692394 9.9880353 10.37135817
10090 4.48788690 4.6218160 4.14368442 4.30466045 4.2624473 3.54189701
10092 8.37363730 8.3618999 8.31367227 8.40817071 8.3619742 7.80848757
10093 7.74882418 7.6897058 7.68756270 7.65513476 7.7582365 7.31832216
10094 4.61203445 4.7234553 4.62308155 5.04002053 4.6651333 3.89490040
10095 5.76863402 5.8968382 5.88535435 5.66869626 5.8519794 6.17839351
10097 8.92542231 8.8475925 8.85947700 8.95985401 8.7222437 9.01467337
10098 6.44838860 6.4161093 6.57888069 6.56274748 6.4171657 6.10066923
10099 7.89819280 8.1053992 8.05783703 8.00139244 8.0491439 7.97238037
100996246 3.26404459 2.9316636 2.85300533 2.68499272 2.8599388 2.20782050
100996251 1.29733416 1.0531957 1.06450140 0.02996074 0.1118279 0.82444706
100996307 2.03826340 2.8358775 2.65725720 2.16951047 2.6797695 1.71820861
100996384 -0.01262748 0.3314101 0.44156495 0.84302841 1.2382132 1.44386842
100996419 0.23216057 0.6644775 0.23233427 0.02996074 1.2382132 0.66077232
100996485 1.75457936 2.2787309 1.75482120 2.64098379 2.3586972 1.71820861
100996539 -0.01262748 0.6644775 0.23233427 -0.65614721 1.3629688 0.47612371
100996579 -1.17995959 0.3314101 -1.17995959 0.27999558 -1.1799596 0.26432476
100996696 3.34435215 3.1060386 3.53919112 2.92410301 3.1642176 2.90085338
100996842 2.16160475 1.6865013 1.97264582 2.16951047 1.4777896 0.66077232
100996851 -0.01262748 1.1625305 1.29756243 1.12447722 -1.1799596 0.01599174
100996939 0.62406075 1.3590987 0.62425931 0.49303036 0.7822652 1.10481377
101 0.62406075 0.5075342 -1.17995959 0.67861716 -1.1799596 1.10481377
1010 0.23216057 0.9348906 -0.30748533 0.27999558 -0.2050328 1.44386842
10100 4.68581452 4.8015979 4.85097247 4.97059859 4.6771989 4.32220895
10101 4.68581452 4.8514365 4.84177787 5.14615825 4.9795994 4.36272770
10102 4.85069849 4.5531973 4.99063464 5.14615825 4.9300417 4.69441476
10103 -0.30761158 -0.3806051 -0.30748533 0.02996074 -1.1799596 -1.17995959
10105 6.35455380 6.0505407 6.29208147 6.20294171 6.3357762 6.25573400
10106 7.73150779 7.8381996 7.79269816 7.71738295 7.8070954 6.89198028
101060200 2.65699844 2.6973883 3.14976693 2.64098379 2.9816842 2.20782050
101060691 0.62406075 1.7579310 1.58888119 2.16951047 1.8629580 2.14725487
10109 9.23067490 9.1846167 9.12171324 9.24443799 9.2087990 8.79477957
10112 6.81068424 6.7971443 6.90224282 6.87682019 6.9692979 5.08994414
10113 6.28164273 6.3131593 6.32214515 6.49018701 6.5345587 6.16318003
10114 7.55993431 7.4206542 7.42052143 7.21371464 7.2574339 7.59124479
101154753 -0.01262748 0.1307554 0.93214009 0.02996074 -1.1799596 -0.66362214
10116 7.58631968 7.4329826 7.45861330 7.55937566 7.4170373 7.74476408
10117 0.23216057 0.8060104 0.23233427 0.27999558 1.5841420 1.10481377
1012 8.30839780 8.1224153 8.15939576 8.01222936 8.0664485 8.71225658
10121 6.50189307 6.3826023 6.45470931 6.47146198 6.5178828 6.18969925
10123 5.19913015 5.2913611 5.43774455 5.59564260 5.2778108 7.43058349
101241892 4.29929015 3.7734478 4.09807734 4.04242813 3.9002038 3.94912723
10125 0.62406075 0.9348906 1.67423570 0.99060528 0.1118279 1.10481377
10126 3.56149854 3.5701795 3.88186857 3.72170233 3.3262286 3.16801622
DMSO_2_C5 TUN_24_C5 THA_24_C5 DOX_24_C5 NUTL_24_C5
100 2.59892017 2.4298464 2.43725013 3.87088751 2.78188362
1000 11.07021123 11.0996334 11.41470218 10.53711554 10.77295978
10000 6.56569089 6.8041154 6.52798287 6.07716475 6.72030966
10001 4.16141048 4.5562668 4.52474950 4.38002543 4.26289125
10003 2.59892017 1.9027920 2.02741464 3.20362507 2.48291807
100037417 -1.17995959 -1.1799596 -1.17995959 -1.17995959 -1.17995959
100049716 2.01873054 2.0536714 2.21746106 2.55064409 2.10535752
10005 3.68694103 4.0816254 3.37723541 2.34625229 3.54332569
10006 6.40421948 6.5675234 6.74682127 5.83787038 6.59418399
10007 4.72901623 5.3076139 4.67278174 5.03073102 5.44199836
10009 6.19892477 5.7223862 6.27704607 5.70861431 6.24481224
100093630 6.03204984 6.3945152 6.21150851 5.42653898 5.97223108
1001 5.90740329 5.3373396 5.28169000 6.98406421 6.33958234
10010 5.59052945 5.0082983 5.66024515 5.28097426 5.38600061
100101267 2.44797908 2.0536714 2.43725013 2.61280979 3.02940407
100101467 3.59413145 3.0486039 4.39955299 3.24346913 3.37453846
10011 5.78677365 5.6996788 5.70326462 5.20228599 6.45294125
100113386 -1.17995959 -1.1799596 0.27107354 0.28131946 0.62732759
100113397 0.71808712 1.5434277 2.15685190 0.55903805 0.93544468
100113407 4.27040348 3.6318733 4.52474950 5.95649218 4.30376347
100125288 0.53046387 2.3150186 2.83554063 4.10518419 3.06153657
100127983 2.73555420 2.4298464 2.58257773 1.92414268 1.59254896
100128006 2.50006730 1.3234349 1.72743900 1.32493109 2.66125444
100128016 -0.63942267 2.1902549 0.83245388 0.99222306 0.44446720
100128025 1.03295516 0.7468399 0.48340648 2.67240707 -0.30553358
100128054 1.70037177 2.6352576 1.88520945 -0.51592472 1.06789305
100128071 0.06099042 1.0637533 0.02200559 1.82258002 -0.01008727
100128191 1.40491900 1.5434277 0.97969393 3.52788764 0.93544468
100128252 1.51027082 3.0486039 2.53574314 0.79182841 1.40492388
100128379 0.71808712 0.3401216 1.34826255 -0.51592472 0.44446720
100128398 4.07818715 4.9517670 5.05135974 3.35679588 4.48053765
100128494 2.97522359 3.2495755 3.01699179 3.12047558 2.81995150
100128569 1.16788280 1.7342704 1.34826255 2.61280979 1.75855740
100128640 -1.17995959 -1.1799596 -1.17995959 3.12047558 -1.17995959
100128682 -0.24712173 -1.1799596 -1.17995959 -1.17995959 -1.17995959
100128731 6.36262041 5.8203660 6.07895318 7.14260550 6.44077680
100128766 1.86831491 2.6352576 1.80847984 2.83771345 2.57484010
100128782 1.16788280 2.4298464 1.45280023 1.82258002 1.40492388
100128822 -1.17995959 -1.1799596 -1.17995959 -1.17995959 -1.17995959
100128833 2.01873054 2.4298464 1.80847984 2.01902336 2.10535752
100128881 2.01873054 2.0536714 2.94712539 3.20362507 2.52961107
100128893 4.46641861 4.0096028 4.35977275 5.32806045 3.84969582
100129001 0.31474014 0.3401216 0.02200559 -0.06291901 1.97646070
100129013 2.08843900 0.7468399 1.55027222 0.79182841 1.75855740
100129029 0.06099042 0.7468399 -0.27922310 1.16814686 0.78959614
100129060 3.21226193 3.3695164 3.32310103 2.27113736 2.85704067
100129075 1.51027082 1.7342704 0.83245388 3.59102038 1.40492388
100129195 2.64591741 2.8971648 2.15685190 3.68082347 2.96290890
100129203 1.29126359 0.3401216 -1.17995959 4.59547892 0.62732759
100129250 2.08843900 1.9027920 1.64157347 2.98601098 1.75855740
100129259 1.40491900 1.3234349 1.80847984 0.79182841 1.75855740
100129361 5.61435649 4.7231816 5.28169000 3.87088751 5.89408774
100129398 0.88409413 1.0637533 0.27107354 0.99222306 1.40492388
100129434 -1.17995959 -1.1799596 0.27107354 0.55903805 -0.01008727
100129461 1.51027082 1.5434277 1.55027222 -1.17995959 1.06789305
100129484 1.94548213 2.3150186 2.33153705 3.35679588 2.38473821
100129550 4.28532288 5.2925182 4.77713847 5.64309576 5.11456753
100129583 -0.24712173 1.0637533 -1.17995959 0.99222306 0.62732759
100129662 0.53046387 1.3234349 1.11328869 3.42768536 0.44446720
100129707 0.06099042 1.0637533 -0.27922310 -0.51592472 -0.67748714
100129716 1.40491900 0.3401216 1.64157347 1.71332244 1.75855740
100129726 0.31474014 2.9748705 1.80847984 4.51637339 1.75855740
100129774 3.95296800 4.4239882 3.64333598 3.32000061 3.73483210
100129781 1.29126359 2.0536714 -0.27922310 1.16814686 0.62732759
100129792 -0.63942267 0.3401216 0.02200559 -1.17995959 -0.67748714
100129794 2.27938049 2.0536714 2.09358441 0.55903805 0.78959614
100129842 0.31474014 2.5362047 1.34826255 0.99222306 1.67793965
100129917 1.70037177 3.8120469 4.01175199 2.67240707 1.67793965
100129924 1.40491900 1.3234349 2.02741464 3.46186527 1.97646070
100129940 0.88409413 0.3401216 0.02200559 -0.06291901 1.59254896
100129995 -1.17995959 -1.1799596 -0.27922310 0.28131946 -1.17995959
10013 5.46510785 5.9121127 5.83965669 6.01521544 5.37964232
100130111 0.71808712 1.3234349 0.83245388 0.79182841 -1.17995959
100130197 0.53046387 0.3401216 0.02200559 0.55903805 0.44446720
100130335 2.50006730 2.6352576 2.21746106 3.35679588 2.61869418
100130348 3.04701400 4.1502227 3.66525961 3.20362507 3.61002593
100130357 -0.63942267 -0.2283449 -1.17995959 -1.17995959 0.93544468
100130466 3.08161253 3.3107920 3.37723541 3.94525585 3.39989396
100130476 -1.17995959 0.3401216 -0.27922310 2.19189567 0.44446720
100130522 0.06099042 -1.1799596 0.02200559 2.55064409 0.23501864
100130550 0.88409413 1.5434277 0.97969393 -0.06291901 1.40492388
100130564 3.36051242 3.2495755 3.26685589 4.22943345 3.32245010
100130581 0.88409413 2.0536714 0.66846066 2.55064409 1.18919774
100130691 1.86831491 2.0536714 1.45280023 1.59510763 0.44446720
100130705 0.53046387 0.7468399 0.97969393 2.67240707 1.97646070
100130748 1.03295516 0.7468399 0.97969393 0.99222306 1.06789305
100130750 -1.17995959 -1.1799596 -1.17995959 -1.17995959 -1.17995959
100130855 1.16788280 -1.1799596 0.83245388 2.10804729 1.40492388
100130958 1.70037177 0.3401216 1.34826255 2.61280979 1.18919774
100131017 -1.17995959 -1.1799596 -1.17995959 -1.17995959 -1.17995959
100131031 3.11540072 2.1902549 2.62793960 0.99222306 2.70259505
100131033 1.51027082 1.9027920 1.11328869 1.82258002 1.18919774
100131067 1.94548213 2.7279444 2.43725013 2.10804729 2.78188362
100131089 0.71808712 -0.2283449 1.23555416 1.32493109 0.62732759
100131094 0.53046387 1.5434277 1.23555416 1.16814686 0.44446720
100131138 1.51027082 2.1902549 1.23555416 0.28131946 1.18919774
100131187 -1.17995959 -1.1799596 -0.66040820 -1.17995959 -1.17995959
100131193 1.29126359 1.7342704 1.45280023 1.82258002 1.50178439
100131211 3.01156530 3.3107920 3.47976679 2.67240707 3.29568327
100131213 1.03295516 1.3234349 1.23555416 3.16264928 1.30108925
100131471 2.01873054 2.1902549 2.27562628 1.92414268 2.22367672
100131656 3.44266122 3.6318733 3.32310103 4.75560188 3.15385101
100131685 2.93794272 2.5362047 2.38536163 2.19189567 2.74278397
100131691 1.86831491 2.6352576 1.34826255 3.92088989 2.48291807
100131740 0.53046387 1.5434277 0.02200559 0.55903805 0.93544468
100131801 3.08161253 2.4298464 3.26685589 4.28776286 3.69441792
100131827 0.31474014 1.0637533 0.97969393 1.16814686 -0.30553358
100131828 -0.63942267 -1.1799596 -0.66040820 -0.51592472 0.23501864
100131940 -0.63942267 1.0637533 0.83245388 -0.06291901 1.40492388
100132074 -0.24712173 -1.1799596 -1.17995959 0.79182841 -1.17995959
100132086 1.51027082 1.5434277 0.66846066 0.55903805 0.44446720
100132116 9.22846253 7.8224384 7.26038649 8.46814691 8.11953536
100132126 0.31474014 -0.2283449 -0.66040820 -1.17995959 0.23501864
100132215 0.88409413 2.5362047 1.11328869 0.79182841 1.50178439
100132537 3.30302710 3.5830805 3.64333598 2.27113736 3.29568327
100132609 0.71808712 1.3234349 0.48340648 1.16814686 0.23501864
100132659 0.31474014 -0.2283449 0.27107354 -1.17995959 0.44446720
100132891 1.70037177 3.1187515 2.94712539 -0.06291901 1.67793965
100132972 0.31474014 1.0637533 0.27107354 -0.06291901 -1.17995959
100133234 0.06099042 0.3401216 0.27107354 1.71332244 -0.30553358
100133286 0.31474014 -0.2283449 0.02200559 -0.06291901 -0.01008727
100133315 -0.24712173 0.3401216 0.48340648 1.82258002 1.18919774
100134934 1.86831491 1.5434277 1.88520945 1.59510763 2.43466316
10014 6.15085722 6.1897715 6.02062200 5.93231684 6.40365568
100144603 2.21849864 2.3150186 1.64157347 1.92414268 2.33302346
100144748 1.51027082 2.1902549 1.95806347 6.40161446 3.37453846
10015 7.39874149 7.3180435 7.39275675 6.82574616 7.64622943
10016 5.68918388 5.2618444 5.45531071 5.74376758 6.00564762
100170229 1.29126359 -1.1799596 0.66846066 -0.06291901 0.78959614
100170841 3.81583847 3.8537816 3.35042212 7.12937479 2.85704067
10018 3.11540072 3.8120469 3.68685506 6.39278280 3.65283892
100188847 0.71808712 0.7468399 1.80847984 1.82258002 2.16572974
10019 4.34350386 4.4514320 4.23339431 5.66526753 3.67377820
100190938 2.08843900 1.0637533 2.15685190 1.82258002 1.30108925
1002 1.78678573 2.5362047 2.02741464 1.16814686 2.16572974
10020 3.27340203 4.4514320 4.01175199 2.88885855 3.47339158
10021 7.87127245 7.0572962 7.14029683 7.39563506 7.85772147
10023 0.31474014 2.0536714 1.45280023 3.92088989 1.40492388
10024 3.38841833 2.8971648 1.23555416 2.83771345 -1.17995959
10026 6.32340465 6.2140095 6.24100446 6.87414046 6.10919661
100268168 0.88409413 0.7468399 1.88520945 2.48567857 -0.30553358
100270804 1.51027082 0.3401216 1.88520945 1.16814686 2.33302346
100270827 -1.17995959 0.3401216 -0.27922310 -0.06291901 -1.17995959
100270840 3.49493836 3.0486039 2.75604798 3.07703181 2.96290890
100270854 2.01873054 2.5362047 1.34826255 1.46633471 1.59254896
100270865 2.97522359 2.0536714 3.17814996 3.28224229 2.89320019
100271271 3.38841833 2.9748705 3.11582992 3.68082347 3.32245010
100271332 1.78678573 1.7342704 1.95806347 1.46633471 2.10535752
100271415 2.59892017 0.7468399 0.97969393 2.19189567 2.61869418
100271479 -1.17995959 -1.1799596 -1.17995959 -0.06291901 -1.17995959
100271884 0.31474014 0.3401216 -0.27922310 -1.17995959 0.62732759
100272147 2.21849864 2.0536714 2.09358441 3.32000061 2.99653955
100286844 1.29126359 1.9027920 1.64157347 -0.51592472 1.40492388
100287015 -0.24712173 -0.2283449 0.48340648 0.99222306 0.44446720
100287049 0.06099042 -1.1799596 1.34826255 2.34625229 1.40492388
100287074 2.50006730 2.8971648 2.02741464 2.72963976 2.38473821
100287616 3.44266122 3.4802466 3.57549234 3.12047558 3.49708163
100287722 1.60845018 0.3401216 0.66846066 1.16814686 1.06789305
100287808 -0.63942267 0.3401216 0.83245388 3.94525585 -0.30553358
100287837 0.31474014 1.0637533 0.83245388 0.79182841 0.44446720
100287896 2.50006730 3.3695164 3.14732642 0.55903805 2.96290890
100287902 -0.63942267 -1.1799596 -0.27922310 2.01902336 -0.01008727
100287928 2.55034024 2.9748705 2.38536163 2.98601098 3.09296897
100287932 5.41850086 5.0978569 5.41058364 4.99616299 5.34089261
100288001 1.86831491 0.7468399 1.95806347 1.71332244 1.50178439
100288073 3.95296800 7.7689070 7.70469404 2.67240707 4.29026765
100288123 0.71808712 -0.2283449 1.55027222 1.59510763 1.50178439
100288198 2.86036010 2.4298464 3.11582992 2.78468836 2.89320019
100288241 -0.63942267 0.7468399 1.34826255 2.19189567 1.59254896
100288413 2.77836709 2.4298464 3.55214980 3.28224229 1.75855740
100288513 1.40491900 -0.2283449 0.66846066 0.99222306 0.93544468
100288842 -1.17995959 1.5434277 1.23555416 -1.17995959 0.93544468
100289061 -1.17995959 0.3401216 0.02200559 1.92414268 1.06789305
100289095 1.16788280 1.0637533 1.34826255 1.82258002 0.23501864
100289133 1.51027082 -0.2283449 -0.27922310 1.32493109 -0.01008727
100289178 2.21849864 1.7342704 1.72743900 1.92414268 2.04234816
100289211 1.60845018 -1.1799596 0.02200559 -1.17995959 0.93544468
100289259 0.06099042 0.7468399 0.66846066 -0.06291901 0.78959614
100289274 3.18069196 5.3076139 5.05135974 4.67047150 2.43466316
100289341 1.03295516 2.7279444 2.09358441 4.16864600 0.62732759
100289373 -0.24712173 -1.1799596 -1.17995959 1.16814686 -0.01008727
100289388 1.03295516 2.5362047 1.95806347 2.19189567 2.74278397
100289414 1.03295516 0.7468399 -0.27922310 1.32493109 1.18919774
100289635 4.95109658 5.9510882 5.53486647 3.49525410 5.37325588
100289640 1.70037177 2.5362047 1.11328869 2.61280979 1.67793965
100289678 1.29126359 2.8150342 3.20832870 2.61280979 2.22367672
100293516 4.16141048 3.5325796 3.29525254 2.01902336 3.88603759
100294362 1.78678573 2.1902549 2.09358441 1.16814686 1.40492388
1003 0.71808712 -1.1799596 -0.27922310 -1.17995959 -0.30553358
100302692 0.53046387 1.5434277 1.64157347 -1.17995959 1.90741957
100302736 1.94548213 3.1187515 2.83554063 1.46633471 1.97646070
100303728 2.93794272 2.7279444 2.43725013 3.55979932 3.26841042
100303755 1.40491900 1.5434277 1.11328869 -0.51592472 0.93544468
100312828 0.31474014 -1.1799596 -1.17995959 -1.17995959 0.23501864
100312850 -0.24712173 -1.1799596 0.27107354 0.55903805 0.23501864
10036 4.39942919 3.3695164 3.32310103 3.35679588 3.18335491
100379345 3.14841567 1.9027920 2.87370257 0.55903805 2.89320019
10038 5.19971309 5.7667562 5.64377627 2.67240707 5.01141740
100381270 1.03295516 -0.2283449 1.64157347 0.28131946 1.06789305
10039 5.79722044 5.9983720 5.71907186 4.99616299 6.01798193
1004 7.54072831 6.1230726 7.46952188 6.25824870 8.62461452
10040 3.36051242 3.1187515 3.88669824 2.98601098 3.71476652
100418710 1.51027082 1.0637533 0.97969393 1.82258002 1.18919774
100418735 4.25532818 4.3674829 3.84888303 4.64094059 4.11762853
100418744 0.71808712 2.0536714 1.72743900 1.46633471 1.67793965
100418770 2.39393955 1.5434277 0.48340648 -0.06291901 0.78959614
100418781 -0.24712173 -0.2283449 -0.27922310 -0.06291901 0.78959614
100418819 1.51027082 -0.2283449 0.66846066 0.79182841 1.18919774
100418829 2.55034024 1.3234349 2.21746106 1.59510763 1.06789305
100418888 1.51027082 2.3150186 1.34826255 2.34625229 2.27938581
100418889 2.08843900 2.7279444 2.58257773 1.82258002 2.38473821
100418910 1.16788280 -1.1799596 0.27107354 0.28131946 1.18919774
100418919 2.64591741 2.7279444 2.98248148 3.28224229 2.27938581
100419028 0.31474014 0.3401216 1.11328869 1.46633471 1.30108925
100419185 -0.63942267 0.3401216 0.02200559 0.79182841 -0.01008727
100419416 0.06099042 1.5434277 0.48340648 0.79182841 1.50178439
100419515 -0.24712173 0.3401216 1.55027222 -1.17995959 -0.30553358
100419645 1.03295516 1.3234349 -0.27922310 0.55903805 -0.30553358
100419758 -1.17995959 1.0637533 -1.17995959 1.82258002 -0.30553358
100419928 1.03295516 1.5434277 0.27107354 1.59510763 0.93544468
10042 5.40490326 4.6774292 5.02616751 4.41533940 5.16719899
100420028 -1.17995959 0.3401216 0.48340648 0.99222306 0.62732759
100420050 -0.63942267 0.3401216 -1.17995959 -0.51592472 -0.67748714
100420110 3.85636619 3.4802466 3.37723541 3.03223910 3.26841042
100420187 1.70037177 2.4298464 1.45280023 1.92414268 0.93544468
100420259 4.12869496 3.8943429 4.04557723 3.24346913 3.79340680
100420307 -0.63942267 0.7468399 0.02200559 0.99222306 1.40492388
100420341 5.41171808 6.8460769 6.73391247 4.64094059 4.80863175
100420423 0.53046387 1.0637533 0.48340648 0.28131946 -0.67748714
100420591 1.03295516 0.3401216 0.97969393 0.55903805 1.18919774
100420707 2.86036010 1.9027920 2.33153705 1.32493109 2.70259505
100420752 1.51027082 2.5362047 2.43725013 1.16814686 1.59254896
100420869 4.24009370 3.0486039 3.52842336 4.36203891 4.07103592
100420981 5.49107964 5.5038761 5.32365072 5.51872275 5.35392517
100421093 3.75282881 3.3107920 3.77014251 4.46674066 3.77414494
100421109 1.03295516 1.3234349 0.02200559 1.16814686 1.30108925
100421160 0.88409413 -0.2283449 -0.27922310 -0.06291901 1.06789305
100421175 1.03295516 -1.1799596 1.45280023 2.34625229 1.30108925
100421246 2.27938049 2.1902549 1.64157347 1.59510763 1.50178439
100421311 2.55034024 1.7342704 1.88520945 1.82258002 2.33302346
100421372 1.51027082 1.5434277 1.23555416 0.79182841 1.40492388
100421400 1.86831491 2.5362047 2.09358441 1.71332244 1.50178439
100421415 -1.17995959 -1.1799596 -0.27922310 0.55903805 0.93544468
100421429 -0.24712173 0.3401216 0.02200559 -0.51592472 1.06789305
100421465 1.40491900 2.5362047 1.64157347 1.71332244 1.59254896
100421468 1.60845018 2.4298464 0.66846066 1.16814686 0.93544468
100421506 -0.24712173 -1.1799596 -1.17995959 -1.17995959 -0.30553358
100421569 -0.24712173 -1.1799596 -0.27922310 1.32493109 1.06789305
100421595 1.94548213 1.5434277 1.72743900 0.99222306 1.40492388
100421794 2.97522359 3.5325796 2.43725013 3.12047558 3.02940407
100422106 1.40491900 1.7342704 1.11328869 1.59510763 1.18919774
100422338 2.21849864 1.9027920 2.09358441 1.92414268 1.50178439
100422546 0.88409413 1.9027920 -1.17995959 1.59510763 0.78959614
100422561 4.00796928 4.2473656 4.06219704 3.03223910 3.77414494
10043 5.51025619 5.7336073 5.53486647 4.41533940 6.00151263
10044 2.59892017 1.7342704 -0.27922310 2.61280979 0.93544468
10045 0.88409413 2.3150186 2.43725013 2.01902336 -0.01008727
10046 2.21849864 1.7342704 1.64157347 1.71332244 0.78959614
10048 6.30887589 6.4836111 6.56926394 6.90552436 6.37517428
10049 5.39117629 5.6531627 5.59321068 6.54003384 5.76831357
100499177 2.69143185 3.8537816 3.40355945 1.59510763 3.61002593
100499483 1.16788280 0.3401216 1.34826255 1.32493109 0.62732759
1005 0.31474014 0.3401216 2.09358441 0.99222306 0.62732759
100500719 1.40491900 0.3401216 1.23555416 -1.17995959 0.23501864
100505385 1.70037177 2.3150186 2.94712539 2.72963976 2.96290890
100505501 1.40491900 2.1902549 1.95806347 2.10804729 1.50178439
100505538 0.31474014 2.4298464 1.55027222 2.98601098 1.90741957
100505549 -1.17995959 1.0637533 -0.27922310 -1.17995959 -1.17995959
100505573 6.00976496 5.5426708 5.42350492 6.93927597 7.03951779
100505576 4.35768974 4.6301782 3.97711459 3.79247627 4.08673458
100505616 0.88409413 -1.1799596 0.02200559 1.71332244 0.44446720
100505624 1.16788280 2.4298464 1.72743900 -0.51592472 1.50178439
100505635 0.31474014 -1.1799596 -0.66040820 -0.51592472 -1.17995959
100505641 2.81994601 2.9748705 2.43725013 2.83771345 2.52961107
100505648 1.78678573 3.5830805 3.55214980 2.10804729 3.09296897
100505678 2.08843900 1.0637533 1.55027222 0.79182841 -0.01008727
100505696 3.85636619 4.1833358 3.70813201 3.24346913 3.97307800
100505715 -0.24712173 -0.2283449 1.23555416 -0.06291901 0.78959614
100505738 3.18069196 3.1187515 2.79634175 3.96921712 3.09296897
100505741 1.03295516 1.0637533 0.97969393 2.93825240 1.30108925
100505758 2.77836709 3.2495755 3.14732642 2.72963976 2.81995150
100505761 2.15493394 3.6790697 2.98248148 1.71332244 2.61869418
100505771 3.52038330 3.6790697 3.35042212 2.93825240 3.95608496
100505783 -1.17995959 -0.2283449 -1.17995959 1.82258002 -1.17995959
100505806 3.41579469 2.8150342 2.94712539 1.71332244 2.38473821
100505812 0.06099042 0.3401216 0.02200559 -1.17995959 0.23501864
100505832 -0.24712173 -1.1799596 -0.27922310 -1.17995959 -1.17995959
100505854 0.31474014 1.5434277 0.27107354 2.48567857 0.93544468
100505876 5.62025226 5.4640093 5.71382200 5.32806045 6.62407702
100505894 0.88409413 2.8150342 1.45280023 1.46633471 -0.01008727
100505933 -1.17995959 -0.2283449 1.23555416 -1.17995959 0.23501864
100505994 -0.24712173 1.9027920 3.52842336 -0.51592472 1.30108925
100506020 0.31474014 2.0536714 -0.27922310 -0.51592472 1.18919774
100506033 4.75067870 4.7004867 4.75686228 4.38002543 4.76050543
100506054 -1.17995959 0.3401216 -0.27922310 0.55903805 1.30108925
100506068 -0.24712173 -1.1799596 -1.17995959 1.82258002 -0.30553358
100506070 -1.17995959 0.3401216 0.48340648 0.28131946 -0.30553358
100506083 -0.63942267 1.9027920 0.02200559 0.55903805 0.62732759
100506100 0.31474014 0.3401216 0.27107354 -0.06291901 0.62732759
100506119 0.53046387 1.5434277 0.66846066 0.99222306 0.44446720
100506127 1.51027082 2.4298464 2.21746106 2.34625229 1.40492388
100506142 -0.24712173 -0.2283449 0.66846066 -0.51592472 0.23501864
100506144 1.60845018 0.7468399 0.02200559 0.79182841 1.06789305
100506161 0.53046387 2.5362047 0.66846066 -0.06291901 1.40492388
100506211 3.01156530 1.0637533 2.02741464 0.99222306 2.70259505
100506235 1.16788280 1.0637533 1.23555416 2.41764909 1.83490765
100506258 -1.17995959 -1.1799596 0.02200559 -1.17995959 -0.30553358
100506282 2.21849864 2.4298464 1.95806347 2.41764909 2.10535752
100506286 -0.24712173 -1.1799596 -0.27922310 3.07703181 0.93544468
100506302 1.16788280 1.5434277 1.45280023 1.32493109 1.67793965
100506321 1.29126359 0.3401216 1.34826255 1.59510763 0.44446720
100506325 0.31474014 1.7342704 0.02200559 0.55903805 0.23501864
100506343 0.88409413 -0.2283449 0.27107354 2.10804729 0.93544468
100506365 4.69590016 5.0626978 4.85550825 3.62158008 4.90032039
100506368 0.71808712 0.3401216 0.27107354 -1.17995959 -0.01008727
100506380 1.03295516 2.0536714 1.80847984 0.55903805 2.66125444
100506392 3.44266122 3.5830805 3.90524052 1.46633471 2.70259505
100506394 0.06099042 1.0637533 0.97969393 3.35679588 1.83490765
100506411 2.01873054 0.3401216 1.11328869 1.32493109 -0.30553358
100506433 1.51027082 2.3150186 1.45280023 -1.17995959 1.97646070
100506462 0.31474014 0.3401216 0.27107354 1.92414268 0.23501864
100506469 2.81994601 1.9027920 3.05069583 3.55979932 3.18335491
100506495 0.31474014 1.0637533 0.27107354 1.92414268 1.06789305
100506504 1.03295516 2.4298464 2.33153705 1.59510763 1.97646070
100506540 0.71808712 0.3401216 1.80847984 1.46633471 0.78959614
100506581 2.33779681 3.8120469 2.62793960 1.92414268 2.66125444
100506606 0.71808712 -1.1799596 0.02200559 0.55903805 -0.67748714
100506658 0.88409413 2.8150342 1.80847984 3.35679588 1.30108925
100506668 2.44797908 3.1187515 2.98248148 1.59510763 2.89320019
100506686 0.88409413 1.9027920 2.09358441 0.28131946 1.83490765
100506691 -0.63942267 0.3401216 -1.17995959 -1.17995959 -0.67748714
100506696 0.88409413 1.5434277 0.97969393 3.12047558 0.23501864
100506697 1.16788280 -0.2283449 -0.27922310 -0.06291901 1.40492388
100506710 4.41307823 5.6766082 5.48643040 4.69941005 5.11456753
100506713 -0.24712173 -0.2283449 0.48340648 -0.06291901 0.23501864
100506725 4.22469662 4.3086740 3.35042212 1.92414268 4.24900574
100506731 0.31474014 -0.2283449 0.02200559 4.03880185 1.06789305
100506757 1.29126359 1.3234349 1.88520945 0.99222306 0.23501864
100506779 -1.17995959 0.7468399 -1.17995959 1.46633471 -0.30553358
100506804 -1.17995959 -0.2283449 -0.66040820 0.99222306 -1.17995959
100506826 0.53046387 1.0637533 1.45280023 0.28131946 1.83490765
100506844 2.21849864 3.2495755 1.80847984 1.59510763 2.04234816
100506866 5.24620564 5.3225533 4.61762898 4.30669344 4.93542416
100506881 2.27938049 2.6352576 2.02741464 4.22943345 1.97646070
100506885 0.53046387 -1.1799596 0.83245388 1.59510763 1.67793965
100506911 0.06099042 0.3401216 0.48340648 0.79182841 0.62732759
100506922 -0.24712173 -1.1799596 0.66846066 2.27113736 -1.17995959
100506930 2.59892017 2.8150342 2.94712539 1.82258002 2.48291807
100506994 1.03295516 -1.1799596 0.48340648 1.59510763 0.62732759
100507003 -0.24712173 -1.1799596 -0.27922310 -1.17995959 -1.17995959
100507032 -1.17995959 -1.1799596 -1.17995959 -1.17995959 -1.17995959
100507034 2.93794272 2.5362047 3.45480896 4.76931440 2.61869418
100507050 -0.24712173 -1.1799596 0.66846066 3.16264928 -0.01008727
100507053 -1.17995959 -1.1799596 -1.17995959 -0.06291901 0.23501864
100507057 0.06099042 -1.1799596 -0.27922310 -0.06291901 -0.67748714
100507062 0.53046387 -0.2283449 -1.17995959 1.82258002 0.62732759
100507071 0.71808712 -1.1799596 0.02200559 0.79182841 1.18919774
100507156 3.66429235 3.7690688 3.35042212 3.81908970 3.32245010
100507171 2.21849864 3.5830805 3.32310103 1.92414268 2.38473821
100507173 0.06099042 1.0637533 -0.66040820 -0.06291901 0.23501864
100507178 -0.63942267 1.5434277 1.55027222 1.16814686 0.23501864
100507244 2.15493394 1.7342704 1.72743900 1.92414268 1.67793965
100507246 3.27340203 3.6790697 3.47976679 1.92414268 3.67377820
100507250 -0.63942267 -0.2283449 0.48340648 0.28131946 0.23501864
100507254 1.94548213 0.7468399 0.27107354 -1.17995959 0.23501864
100507266 0.88409413 0.3401216 0.48340648 -0.06291901 -0.30553358
100507290 4.16141048 4.3960122 4.57193655 3.94525585 4.63799678
100507291 0.31474014 1.0637533 -0.27922310 0.55903805 -0.01008727
100507303 2.55034024 2.3150186 2.67191856 1.59510763 1.67793965
100507308 2.01873054 2.1902549 2.58257773 -0.51592472 1.83490765
100507316 -1.17995959 -1.1799596 -0.27922310 0.55903805 -1.17995959
100507331 1.94548213 1.9027920 2.48733699 2.72963976 2.52961107
100507347 2.01873054 2.3150186 2.98248148 2.48567857 2.78188362
100507373 1.70037177 2.4298464 2.43725013 3.12047558 2.04234816
100507392 0.88409413 0.3401216 -1.17995959 1.32493109 -1.17995959
100507398 0.31474014 2.3150186 1.11328869 2.01902336 0.23501864
100507401 -1.17995959 -0.2283449 0.48340648 0.28131946 0.23501864
100507420 0.53046387 -1.1799596 -1.17995959 -0.06291901 -0.30553358
100507433 1.16788280 2.1902549 2.48733699 2.78468836 2.10535752
100507436 -1.17995959 -0.2283449 1.11328869 1.32493109 0.23501864
100507437 0.06099042 0.3401216 1.34826255 -0.51592472 0.23501864
100507459 -0.24712173 1.0637533 0.66846066 2.93825240 0.93544468
100507463 0.53046387 0.3401216 -0.27922310 2.10804729 -0.30553358
100507487 0.71808712 3.0486039 3.26685589 2.41764909 2.70259505
100507495 4.07818715 4.4783635 3.84888303 2.27113736 3.92148636
100507516 -1.17995959 0.3401216 0.27107354 -1.17995959 0.78959614
100507551 0.31474014 1.0637533 1.11328869 0.28131946 0.93544468
100507557 1.16788280 1.0637533 1.23555416 2.61280979 0.78959614
100507564 -1.17995959 1.5434277 1.45280023 -0.06291901 0.93544468
100507567 0.31474014 -0.2283449 1.23555416 -0.51592472 -0.01008727
100507588 -0.24712173 -0.2283449 1.23555416 1.46633471 0.93544468
100507599 0.31474014 0.3401216 -1.17995959 0.79182841 -0.30553358
100507602 4.22469662 3.7690688 4.46350888 3.89610532 4.20652889
100508120 1.03295516 1.0637533 0.66846066 -1.17995959 0.62732759
10051 6.69980182 5.0082983 5.60460163 5.52681822 5.35392517
10052 1.60845018 0.3401216 0.97969393 1.59510763 1.30108925
100526737 1.78678573 1.7342704 2.02741464 0.79182841 1.75855740
100526760 1.03295516 2.3150186 1.55027222 0.55903805 0.78959614
100526820 1.51027082 0.7468399 1.23555416 0.79182841 0.62732759
100526835 4.25532818 4.0460635 4.18868223 0.55903805 4.30376347
100527978 -1.17995959 0.3401216 -0.27922310 -0.51592472 -1.17995959
100529145 0.88409413 2.0536714 2.27562628 1.82258002 1.59254896
100529215 0.31474014 0.7468399 0.97969393 -0.51592472 -0.01008727
100532746 3.30302710 3.5830805 3.92354751 3.92088989 3.79340680
100533106 -0.24712173 0.7468399 -0.27922310 0.55903805 -0.30553358
100533182 -0.24712173 0.3401216 -0.66040820 1.82258002 -0.30553358
100533619 -0.24712173 0.3401216 -0.27922310 2.88885855 -0.30553358
100533629 0.06099042 0.3401216 0.27107354 -1.17995959 -0.01008727
100533695 0.53046387 0.3401216 0.02200559 -0.06291901 0.23501864
100533970 0.88409413 1.5434277 0.66846066 1.82258002 1.18919774
100534593 0.88409413 1.0637533 1.55027222 3.16264928 1.75855740
10054 6.18705719 6.2690297 6.00351340 5.58224910 5.75854580
10056 6.09691067 5.3808104 5.65477638 4.48347534 5.66752580
10057 6.75175210 7.0302509 7.15780059 7.30439744 7.58537003
10058 5.03293479 6.7387921 6.35667628 6.73432240 6.47696669
10059 6.95669821 6.5923905 6.67839771 5.87639404 6.75265285
1006 4.55526684 4.2473656 3.81004990 4.26858057 6.68979683
10060 2.81994601 4.1502227 3.45480896 2.67240707 3.26841042
100616256 0.06099042 -1.1799596 0.27107354 -0.51592472 0.44446720
10062 0.71808712 1.9027920 1.55027222 2.34625229 0.62732759
10063 3.77413927 3.6318733 3.86791453 3.73772973 4.31713421
100652739 0.06099042 0.7468399 0.48340648 2.27113736 0.78959614
100652758 1.29126359 1.3234349 0.66846066 3.89610532 1.59254896
100652846 1.40491900 1.5434277 -0.27922310 1.16814686 2.33302346
10066 6.82249944 6.9698531 7.03056524 6.53602870 6.84785193
10067 6.07989757 6.2612969 6.17376978 5.87639404 6.08204104
10068 3.21226193 3.7247709 3.66525961 3.39267599 3.69441792
10069 2.73555420 3.6790697 2.87370257 3.49525410 3.47339158
10072 4.91317867 4.2157059 4.18868223 5.17163503 4.77025998
10073 3.21226193 3.9337949 3.35042212 2.34625229 3.83117577
10075 8.38824148 8.8393253 8.76918786 8.31995861 8.65125292
10076 4.34350386 4.9324200 4.72590347 5.72277857 5.51922973
10077 1.16788280 0.7468399 0.02200559 -0.06291901 -0.30553358
100775107 0.71808712 -0.2283449 1.34826255 1.32493109 0.23501864
10078 4.42659935 5.0447916 4.47596674 4.74175777 4.65915102
10079 4.97889501 5.4774210 5.54080823 4.96074631 4.96120258
1008 4.83421540 4.8727719 4.56028369 5.07556986 7.23004382
10081 5.00616791 4.8105509 5.09239321 6.39278280 4.90917673
10082 6.45458629 6.3220284 6.09519504 6.66265849 6.11303459
100820829 4.89383932 3.7247709 3.45480896 3.32000061 4.07103592
10084 5.25381079 4.8727719 4.71543445 4.46674066 5.05994307
100847074 1.94548213 2.0536714 1.95806347 2.01902336 1.83490765
10085 9.94840283 9.7124536 9.88339200 10.20543030 9.85250798
100852407 1.16788280 2.5362047 1.88520945 1.71332244 1.50178439
100861412 0.06099042 0.3401216 1.23555416 -0.51592472 -0.01008727
100861548 4.46641861 4.5562668 5.21636791 5.28097426 4.73083968
100862671 0.88409413 1.0637533 0.27107354 0.79182841 0.78959614
10087 6.34492710 6.2299448 6.74682127 6.86459060 6.72282350
100873257 -0.63942267 -1.1799596 -1.17995959 -0.06291901 -1.17995959
100873333 2.08843900 1.9027920 1.88520945 2.93825240 2.52961107
100873790 2.44797908 2.4298464 2.48733699 1.59510763 2.81995150
100873949 -0.24712173 0.7468399 0.27107354 -0.06291901 0.78959614
100873952 -0.63942267 -0.2283449 0.02200559 0.28131946 0.23501864
100873965 0.88409413 1.5434277 0.83245388 1.32493109 1.97646070
100874006 1.40491900 2.4298464 1.80847984 1.46633471 1.50178439
100874008 0.53046387 1.5434277 1.64157347 1.16814686 -0.30553358
100874014 2.21849864 2.5362047 2.33153705 -1.17995959 2.96290890
100874058 1.86831491 2.6352576 2.27562628 0.99222306 2.27938581
100874080 1.03295516 1.0637533 0.48340648 0.79182841 0.62732759
100874097 1.78678573 2.0536714 2.02741464 2.19189567 1.97646070
100874201 0.53046387 0.7468399 0.02200559 -1.17995959 0.44446720
100874212 0.88409413 0.7468399 1.23555416 -0.06291901 1.40492388
100874217 0.06099042 -1.1799596 0.66846066 -0.51592472 -0.30553358
100874235 -0.63942267 -1.1799596 0.27107354 -0.06291901 0.62732759
100874261 -0.24712173 1.9027920 1.34826255 -0.06291901 0.93544468
100874291 1.51027082 -1.1799596 -0.27922310 -1.17995959 -0.30553358
100874362 1.16788280 1.0637533 1.55027222 2.93825240 2.52961107
100874523 0.88409413 1.3234349 1.34826255 -0.51592472 2.16572974
100885775 2.97522359 0.3401216 1.80847984 1.59510763 1.75855740
100885776 0.06099042 1.3234349 0.83245388 0.79182841 0.23501864
100885848 4.88407156 4.0816254 3.74976706 3.59102038 4.64861267
1009 10.31819968 8.8815509 9.49960770 8.49830792 9.50067142
10090 3.83624464 4.5813270 4.41257300 5.08656516 4.46860464
10092 7.90667928 7.4048329 7.52602713 6.56776277 7.76928615
10093 7.38841436 6.8818180 6.95693207 7.17901871 7.51023485
10094 3.85636619 2.9748705 4.04557723 3.68082347 3.90387085
10095 6.06700477 6.1978962 6.22264028 6.44070123 6.40990925
10097 8.90293553 8.3565297 8.30531437 8.82153005 8.83791395
10098 6.08416969 6.0351141 6.24464941 5.49416019 6.45898522
10099 8.00458986 8.0967833 7.96324316 8.52583311 7.83582537
100996246 2.69143185 2.7279444 2.62793960 1.59510763 2.70259505
100996251 1.03295516 0.7468399 1.11328869 0.55903805 0.62732759
100996307 1.94548213 1.9027920 2.09358441 -1.17995959 0.23501864
100996384 1.51027082 0.3401216 1.34826255 2.48567857 0.93544468
100996419 0.88409413 0.7468399 0.66846066 1.59510763 1.06789305
100996485 1.94548213 1.3234349 0.97969393 2.27113736 1.67793965
100996539 -0.63942267 0.3401216 -0.27922310 0.28131946 1.40492388
100996579 0.71808712 -1.1799596 0.83245388 0.55903805 1.40492388
100996696 3.04701400 2.4298464 3.08363042 2.78468836 2.81995150
100996842 2.08843900 2.1902549 1.72743900 0.28131946 1.67793965
100996851 -0.24712173 -1.1799596 0.48340648 0.28131946 0.23501864
100996939 0.88409413 0.7468399 0.02200559 -0.06291901 1.30108925
101 1.16788280 1.5434277 0.97969393 2.67240707 1.30108925
1010 1.03295516 1.0637533 1.34826255 0.55903805 1.06789305
10100 4.49236703 3.5325796 3.40355945 3.94525585 3.75462243
10101 4.47945116 5.2462595 4.89315243 5.58224910 4.61652773
10102 4.77202071 4.7891995 4.90241198 3.89610532 4.40741255
10103 0.71808712 -1.1799596 0.66846066 -1.17995959 0.93544468
10105 6.51911827 5.8516011 5.93297492 6.10986662 5.99320694
10106 6.83522843 7.7217894 7.52002407 7.28543651 6.96290386
101060200 2.55034024 3.1187515 3.40355945 3.65150585 2.52961107
101060691 1.60845018 2.1902549 1.45280023 -0.06291901 2.38473821
10109 8.84117219 8.4849201 8.56130611 8.56959335 9.20409981
10112 5.41171808 3.1187515 2.33153705 3.79247627 0.62732759
10113 6.28309307 7.3584710 6.93454019 6.04933528 6.24130970
10114 7.51564279 7.4767138 7.51701314 8.35788983 7.68928257
101154753 -0.24712173 -1.1799596 0.27107354 0.28131946 -0.30553358
10116 7.82479876 7.7330152 7.86128046 6.89618067 7.79579373
10117 0.71808712 1.5434277 0.97969393 1.82258002 0.62732759
1012 8.82976843 9.0243100 9.15105750 9.11459050 8.94460551
10121 6.19497975 5.6996788 5.61026356 5.72980889 6.45898522
10123 7.18268086 6.7608968 7.34940462 6.19868849 7.36651879
101241892 4.00796928 3.9337949 4.27676222 4.53254530 4.46860464
10125 0.06099042 -0.2283449 0.83245388 2.19189567 -0.30553358
10126 2.89967286 2.9748705 3.23788906 3.49525410 3.61002593
DMSO_24_C5 LPS_24_C5 TNFa_24_C5 H2O_24_C5 BPA_24_C5
100 2.81190142 2.35172197 2.93592409 2.78158010 1.06803609
1000 11.10148580 11.04961627 10.97766945 11.07379102 11.04076957
10000 6.70393666 6.75344880 6.25660241 6.82824247 6.78266097
10001 4.10619982 4.57023225 4.69936684 4.38649135 4.98566069
10003 2.94113780 2.16867995 1.78491782 2.78158010 2.48900495
100037417 -1.17995959 -1.17995959 -1.17995959 -1.17995959 -1.17995959
100049716 2.74266552 2.10211402 1.16616175 2.43659404 2.68739957
10005 3.74827949 3.65599595 3.24111366 3.73451852 4.03322864
10006 6.47228749 6.58696834 6.46232065 6.65901775 6.54762141
10007 4.84491315 4.50731974 4.61343498 4.44578121 5.05912736
10009 6.10947510 6.24526355 6.27910376 6.25715507 6.34955684
100093630 6.05339787 6.06478230 6.13234347 5.98472148 6.34221735
1001 5.80011045 5.69304100 5.37867527 5.84488988 5.83100380
10010 5.25854023 5.19894256 6.37100249 5.46014427 5.64667448
100101267 2.42677783 1.88173012 2.30693314 1.61999306 2.31996500
100101467 3.16933398 3.40302902 3.63921616 3.66968051 3.66090166
10011 6.18970439 5.87847586 6.16895138 5.83752951 6.34221735
100113386 -0.37631965 -0.23983989 1.16616175 -0.44644366 0.34365868
100113397 0.81353290 0.54107115 0.71652007 0.68823126 1.06803609
100113407 4.00635182 3.96778582 3.41374125 4.16916407 4.15551497
100125288 2.81190142 2.40791531 2.30693314 1.98228825 1.98502405
100127983 2.51246671 2.10211402 2.68943622 1.98228825 2.77722323
100128006 1.76667686 2.61306480 2.75511730 1.87133392 2.73301035
100128016 1.06111710 1.30377550 0.05975502 1.13506091 1.54803417
100128025 -0.09708724 0.54107115 -1.17995959 0.39924888 0.56156792
100128054 1.45660621 1.71356028 0.71652007 2.08531539 1.98502405
100128071 -1.17995959 -0.23983989 0.05975502 0.03750221 0.75084144
100128191 1.36742773 0.32459718 0.42519201 0.68823126 0.91813867
100128252 2.42677783 2.29325087 2.01682192 2.51250688 1.44216454
100128379 0.33794533 1.30377550 0.71652007 0.92887632 -0.62534318
100128398 4.46974112 4.53281489 4.15932126 4.46501512 4.64746793
100128494 3.14270677 3.16291057 1.78491782 2.43659404 2.25891064
100128569 1.83479653 1.95899297 1.78491782 1.13506091 1.44216454
100128640 -1.17995959 -1.17995959 -1.17995959 -1.17995959 -0.22572150
100128682 -1.17995959 -0.23983989 -1.17995959 -1.17995959 -1.17995959
100128731 6.21548574 6.17008083 6.16291421 6.26266136 6.68160105
100128766 2.38194603 2.16867995 2.87813680 3.00827053 2.64029960
100128782 1.36742773 1.52316871 1.16616175 1.13506091 2.05852234
100128822 -1.17995959 -1.17995959 -1.17995959 -1.17995959 -1.17995959
100128833 2.28787327 2.10211402 2.62062168 1.75113004 2.48900495
100128881 2.33567629 2.23230952 1.65330124 2.08531539 2.05852234
100128893 4.41516264 3.98635907 3.73998298 4.34556632 4.37279401
100129001 -0.09708724 0.72926140 1.34743945 1.13506091 1.32790621
100129013 1.89984430 1.41763853 2.12014477 1.87133392 1.32790621
100129029 0.33794533 0.32459718 0.71652007 1.13506091 0.34365868
100129060 3.22115792 3.25769876 3.14638027 3.45560350 3.37471193
100129075 1.36742773 1.18014996 -0.43084666 -0.44644366 2.05852234
100129195 2.81190142 2.29325087 2.47228642 2.58462416 2.31996500
100129203 0.33794533 -0.23983989 0.71652007 -0.44644366 1.32790621
100129250 2.23843189 2.35172197 1.50846082 1.47573335 2.05852234
100129259 0.51447424 0.89571200 1.50846082 0.92887632 1.06803609
100129361 5.58951367 5.67597940 5.62692802 5.55294870 5.69357013
100129398 1.06111710 1.52316871 0.42519201 1.13506091 0.34365868
100129434 -0.37631965 -1.17995959 0.05975502 0.39924888 0.08687741
100129461 1.17060759 1.88173012 1.65330124 2.18147290 2.43482955
100129484 1.76667686 1.80009418 0.42519201 2.18147290 2.19515786
100129550 4.46974112 4.46821180 4.55930656 3.99486104 4.28364917
100129583 -1.17995959 -1.17995959 -1.17995959 0.03750221 -1.17995959
100129662 0.67173878 0.72926140 1.65330124 0.03750221 1.32790621
100129707 0.81353290 0.32459718 0.42519201 0.39924888 -0.22572150
100129716 0.51447424 0.54107115 1.16616175 1.13506091 1.20381450
100129726 1.76667686 0.89571200 1.78491782 1.75113004 1.32790621
100129774 3.45556171 3.58465152 2.87813680 3.45560350 3.95839610
100129781 1.45660621 1.30377550 1.16616175 1.31542948 0.75084144
100129792 -0.09708724 0.32459718 -0.43084666 0.03750221 0.08687741
100129794 1.36742773 1.62150295 0.05975502 1.31542948 2.25891064
100129842 0.81353290 0.54107115 1.34743945 0.39924888 1.06803609
100129917 1.96208532 0.89571200 2.47228642 2.08531539 2.05852234
100129924 1.76667686 1.71356028 2.01682192 1.61999306 1.64666307
100129940 1.45660621 1.18014996 1.16616175 1.13506091 -0.22572150
100129995 -0.37631965 -1.17995959 -1.17995959 -1.17995959 -0.22572150
10013 5.61878987 5.51260219 5.60036954 5.76953974 5.50268165
100130111 0.51447424 0.06980802 0.95878782 0.92887632 1.06803609
100130197 0.94262955 0.06980802 0.05975502 0.68823126 -0.22572150
100130335 2.87796625 1.95899297 3.19452440 2.08531539 3.28568925
100130348 3.22115792 2.91402559 3.37248198 3.20413074 2.86178066
100130357 0.33794533 0.32459718 -1.17995959 0.03750221 0.56156792
100130466 3.16933398 3.22678954 3.28624535 2.78158010 2.64029960
100130476 -0.37631965 -0.23983989 0.05975502 -1.17995959 -0.22572150
100130522 0.13676485 1.04492954 -1.17995959 0.68823126 0.34365868
100130550 1.27237147 0.54107115 0.71652007 1.47573335 0.34365868
100130564 3.49819591 3.34664126 2.99148557 3.29291538 3.31597795
100130581 0.67173878 0.89571200 0.42519201 0.68823126 0.75084144
100130691 2.59335017 1.88173012 1.50846082 1.75113004 1.54803417
100130705 1.83479653 0.06980802 0.71652007 1.13506091 1.06803609
100130748 1.27237147 1.30377550 1.34743945 1.13506091 1.54803417
100130750 -1.17995959 -1.17995959 -1.17995959 -1.17995959 -1.17995959
100130855 1.36742773 -0.23983989 1.16616175 0.68823126 1.44216454
100130958 1.36742773 -0.23983989 0.05975502 0.39924888 1.54803417
100131017 -1.17995959 -1.17995959 -1.17995959 -1.17995959 -1.17995959
100131031 2.47025836 2.16867995 2.21655982 2.89937322 1.98502405
100131033 1.89984430 2.23230952 0.42519201 1.98228825 2.19515786
100131067 1.89984430 1.52316871 2.47228642 0.68823126 1.73897857
100131089 0.81353290 1.04492954 1.16616175 1.31542948 0.91813867
100131094 -0.37631965 0.54107115 -1.17995959 -0.44644366 0.34365868
100131138 0.94262955 1.95899297 1.50846082 0.39924888 1.44216454
100131187 -1.17995959 -1.17995959 -1.17995959 -1.17995959 -1.17995959
100131193 2.02175180 0.32459718 1.50846082 0.68823126 1.20381450
100131211 3.55987407 4.02280328 3.04498638 3.20413074 3.83832426
100131213 1.17060759 -1.17995959 0.71652007 1.13506091 0.56156792
100131471 2.02175180 2.16867995 2.87813680 1.87133392 1.54803417
100131656 3.34311522 2.79264107 4.00588600 3.05978426 3.25475098
100131685 3.49819591 3.12987814 2.87813680 3.66968051 2.43482955
100131691 1.96208532 0.72926140 2.39197746 2.51250688 2.86178066
100131740 -0.09708724 0.32459718 0.05975502 1.13506091 1.32790621
100131801 3.24638811 3.02598502 3.49288018 3.20413074 3.68430993
100131827 -0.37631965 -0.23983989 0.05975502 1.13506091 1.06803609
100131828 -0.72289094 -1.17995959 -1.17995959 -0.44644366 -1.17995959
100131940 0.51447424 0.89571200 1.90552450 0.03750221 -0.22572150
100132074 -0.37631965 -0.63463987 -1.17995959 -1.17995959 -1.17995959
100132086 1.06111710 0.72926140 2.21655982 0.92887632 1.06803609
100132116 9.06373410 8.97041941 8.30892502 9.04142838 8.73763860
100132126 -0.37631965 0.06980802 -0.43084666 0.03750221 0.75084144
100132215 1.61995578 0.54107115 0.05975502 1.13506091 1.20381450
100132537 3.69429544 2.98962212 2.99148557 3.79656746 2.31996500
100132609 1.27237147 1.30377550 0.95878782 1.47573335 -0.62534318
100132659 0.51447424 0.72926140 -0.43084666 0.39924888 0.75084144
100132891 1.76667686 2.16867995 2.54835966 0.68823126 1.64666307
100132972 0.51447424 -0.23983989 -1.17995959 -0.44644366 0.56156792
100133234 0.51447424 0.06980802 0.05975502 0.92887632 0.08687741
100133286 0.33794533 0.72926140 0.71652007 0.03750221 0.34365868
100133315 0.94262955 0.54107115 -1.17995959 0.03750221 0.75084144
100134934 1.36742773 1.95899297 1.90552450 1.98228825 1.90757943
10014 6.14680147 5.97927811 5.80804819 6.13037435 6.28211721
100144603 1.69518069 1.80009418 2.75511730 1.87133392 2.25891064
100144748 1.61995578 1.04492954 0.05975502 -0.44644366 2.05852234
10015 7.59191676 7.31456054 7.53781395 7.62413213 7.47039296
10016 5.59443448 5.47363913 5.65300641 5.43109749 5.66443946
100170229 1.06111710 1.41763853 1.65330124 1.31542948 0.75084144
100170841 3.03099325 3.83061316 3.73998298 2.95484911 3.63710731
10018 3.16933398 2.16867995 3.45385329 2.65330743 3.53779989
100188847 1.45660621 0.06980802 0.95878782 1.98228825 1.06803609
10019 4.16029905 4.37261334 4.88685354 4.50273035 4.45674963
100190938 2.42677783 2.35172197 1.65330124 3.00827053 2.12845706
1002 2.33567629 2.51413349 1.90552450 1.13506091 2.19515786
10020 3.36631661 3.65599595 3.19452440 3.82661905 3.37471193
10021 7.90677013 8.02206614 7.87345402 7.86398510 8.00910172
10023 1.06111710 0.32459718 0.05975502 0.03750221 0.08687741
10024 3.55987407 2.40791531 2.12014477 3.05978426 3.25475098
10026 6.43711013 6.12887901 5.93392143 6.29526492 6.27827651
100268168 0.81353290 0.89571200 0.05975502 0.03750221 0.56156792
100270804 2.28787327 1.04492954 1.34743945 1.47573335 0.75084144
100270827 0.94262955 -0.23983989 0.05975502 0.03750221 0.34365868
100270840 2.94113780 3.56006387 3.67359308 2.18147290 3.28568925
100270854 2.42677783 2.23230952 2.62062168 2.18147290 2.05852234
100270865 2.87796625 2.40791531 3.41374125 2.95484911 3.43114801
100271271 2.97171568 3.22678954 3.24111366 2.43659404 3.61291393
100271332 1.69518069 2.35172197 1.90552450 2.27161992 2.82012135
100271415 1.89984430 0.54107115 0.71652007 2.27161992 1.06803609
100271479 -0.37631965 -0.23983989 0.05975502 -1.17995959 -0.22572150
100271884 0.13676485 1.18014996 0.42519201 0.39924888 0.75084144
100272147 2.38194603 2.56444699 2.62062168 2.27161992 2.54121939
100286844 1.69518069 0.32459718 0.42519201 1.47573335 1.20381450
100287015 -0.37631965 1.30377550 0.05975502 -1.17995959 0.56156792
100287049 0.81353290 0.54107115 0.71652007 1.47573335 1.06803609
100287074 1.96208532 2.35172197 2.54835966 2.27161992 2.68739957
100287616 3.49819591 3.83061316 3.70716989 3.56660914 3.83832426
100287722 0.94262955 0.72926140 1.50846082 0.92887632 1.54803417
100287808 0.33794533 -0.63463987 -1.17995959 0.92887632 1.32790621
100287837 0.33794533 0.32459718 -1.17995959 -0.44644366 -1.17995959
100287896 2.90989776 2.87468803 2.99148557 2.18147290 2.59160990
100287902 0.13676485 -0.63463987 0.05975502 0.39924888 0.75084144
100287928 2.07904832 2.03232754 2.54835966 2.35646382 2.73301035
100287932 5.28921317 5.54428639 5.46952399 5.40145386 5.54804639
100288001 2.42677783 1.88173012 2.54835966 1.75113004 2.64029960
100288073 4.16029905 4.74401396 3.63921616 4.12147444 4.10437028
100288123 1.45660621 0.89571200 0.05975502 0.03750221 0.56156792
100288198 2.55347520 2.70564517 2.39197746 3.15760168 2.48900495
100288241 1.45660621 0.89571200 0.42519201 1.47573335 0.91813867
100288413 2.18723584 2.66009749 1.50846082 1.47573335 1.82574055
100288513 1.54059167 1.30377550 1.16616175 1.31542948 1.20381450
100288842 0.81353290 -0.23983989 0.71652007 1.13506091 0.34365868
100289061 0.51447424 0.32459718 -1.17995959 -0.44644366 -0.22572150
100289095 -0.72289094 0.32459718 0.71652007 0.92887632 0.34365868
100289133 0.67173878 1.41763853 1.65330124 0.03750221 0.56156792
100289178 2.38194603 1.80009418 2.47228642 2.27161992 2.19515786
100289211 0.94262955 1.04492954 1.50846082 1.47573335 1.54803417
100289259 0.13676485 0.06980802 0.42519201 1.13506091 1.06803609
100289274 2.97171568 2.83424773 2.75511730 3.05978426 3.22313469
100289341 0.81353290 1.30377550 0.05975502 2.35646382 1.73897857
100289373 -1.17995959 -1.17995959 0.71652007 -0.44644366 -1.17995959
100289388 2.02175180 2.35172197 2.39197746 1.98228825 2.05852234
100289414 0.94262955 0.89571200 0.05975502 0.39924888 -1.17995959
100289635 5.22085058 5.11703162 5.28171891 5.25444383 5.11187193
100289640 1.06111710 0.54107115 1.16616175 1.87133392 1.73897857
100289678 2.18723584 2.29325087 2.99148557 3.29291538 2.64029960
100293516 3.78317831 3.76758228 3.92258072 3.99486104 3.97747127
100294362 1.89984430 1.52316871 2.87813680 1.87133392 1.06803609
1003 0.13676485 1.04492954 1.78491782 0.03750221 1.32790621
100302692 2.33567629 1.88173012 2.75511730 2.51250688 0.56156792
100302736 2.02175180 2.16867995 1.50846082 1.75113004 1.64666307
100303728 3.14270677 3.58465152 3.04498638 2.18147290 3.63710731
100303755 1.27237147 1.41763853 2.12014477 1.47573335 1.32790621
100312828 -0.09708724 0.32459718 0.42519201 -1.17995959 -1.17995959
100312850 -1.17995959 -0.23983989 -1.17995959 -1.17995959 -1.17995959
10036 4.67878512 4.52012364 3.60400005 4.21532760 4.49696367
100379345 3.19547864 2.79264107 2.93592409 2.78158010 3.31597795
10038 5.55963105 5.43359451 5.34707499 5.40145386 5.09450379
100381270 1.17060759 1.04492954 -0.43084666 -1.17995959 1.06803609
10039 5.95735083 6.14962700 6.06271677 6.22930392 6.16636291
1004 8.09908350 7.98790922 8.18928067 8.43163157 9.10755049
10040 3.27118463 3.19520358 3.49288018 2.95484911 3.68430993
100418710 0.13676485 2.10211402 1.34743945 1.31542948 1.54803417
100418735 4.11991600 4.50731974 4.13485534 4.04684723 4.17216806
100418744 1.96208532 0.72926140 1.78491782 1.47573335 1.32790621
100418770 1.61995578 2.29325087 1.78491782 1.98228825 1.54803417
100418781 0.94262955 0.32459718 0.05975502 0.39924888 0.08687741
100418819 1.27237147 1.88173012 0.42519201 0.68823126 0.75084144
100418829 1.83479653 2.03232754 1.50846082 1.61999306 1.73897857
100418888 -0.09708724 1.52316871 1.50846082 0.03750221 0.91813867
100418889 2.90989776 2.66009749 1.90552450 2.95484911 2.59160990
100418910 1.27237147 1.80009418 0.42519201 1.98228825 1.64666307
100418919 1.83479653 2.16867995 2.12014477 2.58462416 2.77722323
100419028 1.36742773 1.52316871 0.71652007 1.47573335 0.91813867
100419185 -1.17995959 -0.63463987 0.05975502 0.39924888 1.44216454
100419416 0.51447424 1.18014996 0.05975502 0.68823126 1.54803417
100419515 0.13676485 0.89571200 1.50846082 1.31542948 -0.22572150
100419645 0.13676485 1.04492954 1.50846082 0.03750221 0.75084144
100419758 -1.17995959 -1.17995959 -1.17995959 -1.17995959 -0.22572150
100419928 1.96208532 0.32459718 0.71652007 1.87133392 1.06803609
10042 5.14238225 5.38542613 5.43987222 5.38134755 5.46938207
100420028 1.17060759 1.30377550 0.71652007 0.39924888 0.34365868
100420050 -0.09708724 -1.17995959 0.05975502 0.03750221 0.56156792
100420110 3.19547864 3.06145389 3.92258072 3.49356235 3.61291393
100420187 2.18723584 1.71356028 1.65330124 1.31542948 1.20381450
100420259 3.93054887 4.05834950 3.95088700 3.96814816 3.93906534
100420307 0.13676485 -0.23983989 0.42519201 -1.17995959 0.75084144
100420341 5.26472721 5.34281895 5.40959821 5.34027424 5.19570822
100420423 1.17060759 1.04492954 1.34743945 1.31542948 -0.22572150
100420591 0.51447424 0.54107115 0.05975502 0.39924888 1.20381450
100420707 2.42677783 2.79264107 2.99148557 2.51250688 2.64029960
100420752 1.36742773 1.71356028 1.90552450 1.87133392 1.06803609
100420869 3.80031616 4.16001720 4.20704250 3.99486104 4.12162075
100420981 5.30730871 5.51899494 5.83107421 5.27638488 5.50268165
100421093 3.36631661 4.02280328 3.41374125 4.30344638 3.91947204
100421109 0.51447424 0.89571200 -0.43084666 1.47573335 0.56156792
100421160 1.17060759 -0.23983989 0.71652007 0.68823126 1.20381450
100421175 -0.72289094 1.30377550 1.16616175 1.47573335 0.56156792
100421246 1.27237147 1.88173012 1.50846082 1.47573335 2.31996500
100421311 2.02175180 2.79264107 2.01682192 2.65330743 2.59160990
100421372 1.17060759 0.72926140 0.05975502 1.47573335 1.98502405
100421400 2.13415596 1.62150295 1.65330124 2.18147290 1.32790621
100421415 -1.17995959 0.32459718 -1.17995959 -0.44644366 0.34365868
100421429 0.81353290 -0.63463987 1.50846082 -1.17995959 -0.22572150
100421465 2.23843189 2.35172197 2.54835966 1.31542948 2.25891064
100421468 1.54059167 0.89571200 1.65330124 1.31542948 1.06803609
100421506 -1.17995959 -0.63463987 -1.17995959 0.03750221 -0.22572150
100421569 1.27237147 0.54107115 -1.17995959 0.03750221 -1.17995959
100421595 0.33794533 1.30377550 0.95878782 1.47573335 0.75084144
100421794 2.74266552 3.06145389 3.09657390 2.51250688 2.37854013
100422106 1.83479653 1.41763853 2.21655982 1.61999306 1.06803609
100422338 2.07904832 1.52316871 2.21655982 2.08531539 1.32790621
100422546 0.13676485 -1.17995959 0.71652007 0.39924888 0.91813867
100422561 3.89907617 4.07579948 4.38355295 3.66968051 4.13866740
10043 5.58457602 5.48020649 5.60927680 5.83013140 5.68779086
10044 2.42677783 2.03232754 2.21655982 1.98228825 2.64029960
10045 -0.72289094 0.32459718 1.16616175 -0.44644366 -0.62534318
10046 1.61995578 1.52316871 0.71652007 1.98228825 1.73897857
10048 6.38694209 6.51523618 6.40208856 6.35318921 6.61616597
10049 5.44988052 5.67024707 5.58238832 5.83752951 5.85182729
100499177 3.03099325 3.09607163 3.41374125 3.24920594 3.25475098
100499483 2.07904832 1.62150295 1.65330124 2.27161992 0.91813867
1005 0.81353290 0.32459718 -1.17995959 0.03750221 0.75084144
100500719 1.27237147 0.06980802 0.71652007 -1.17995959 -0.22572150
100505385 1.96208532 3.06145389 2.12014477 2.43659404 2.54121939
100505501 1.06111710 1.71356028 1.16616175 -0.44644366 1.20381450
100505538 0.81353290 1.71356028 -0.43084666 1.31542948 0.34365868
100505549 0.13676485 -1.17995959 -1.17995959 -1.17995959 -0.22572150
100505573 5.74364325 5.72657055 5.96894529 5.90949606 5.86212740
100505576 4.77728082 4.42801414 4.10996734 4.52122455 4.81589255
100505616 -0.09708724 -0.63463987 0.71652007 0.39924888 0.34365868
100505624 1.54059167 1.88173012 1.65330124 1.87133392 1.06803609
100505635 0.51447424 0.89571200 -0.43084666 0.39924888 0.34365868
100505641 2.47025836 2.10211402 1.50846082 2.08531539 1.44216454
100505648 2.55347520 2.61306480 2.93592409 3.29291538 3.01733874
100505678 1.54059167 2.10211402 1.65330124 2.18147290 0.75084144
100505696 4.18660647 3.98635907 3.63921616 4.09702513 3.68430993
100505715 -1.17995959 0.89571200 0.05975502 1.61999306 -1.17995959
100505738 2.28787327 2.29325087 2.81793790 2.51250688 2.97999326
100505741 0.67173878 0.54107115 0.95878782 1.98228825 1.20381450
100505758 3.08793104 2.61306480 3.28624535 2.95484911 3.25475098
100505761 2.84531196 1.95899297 1.50846082 2.35646382 1.98502405
100505771 3.19547864 3.63260431 3.24111366 3.41661886 3.79597197
100505783 -1.17995959 -0.63463987 0.05975502 0.03750221 -1.17995959
100505806 2.77769877 2.29325087 3.14638027 3.15760168 2.19515786
100505812 0.13676485 0.72926140 0.05975502 -1.17995959 -0.22572150
100505832 -1.17995959 0.32459718 -0.43084666 -1.17995959 -0.22572150
100505854 -0.09708724 1.04492954 -1.17995959 0.03750221 -0.22572150
100505876 5.51879966 5.71548039 5.78464870 5.62312015 6.16636291
100505894 2.13415596 1.71356028 1.65330124 2.51250688 1.20381450
100505933 -0.37631965 0.54107115 0.95878782 0.39924888 0.91813867
100505994 1.17060759 2.23230952 2.12014477 -1.17995959 0.56156792
100506020 0.13676485 0.89571200 0.42519201 1.31542948 0.75084144
100506033 5.00869257 4.63051554 4.84221626 4.53948468 4.85767239
100506054 1.36742773 1.52316871 1.34743945 0.68823126 -0.62534318
100506068 -0.72289094 -0.23983989 0.42519201 -1.17995959 0.34365868
100506070 1.17060759 0.72926140 0.42519201 0.03750221 0.56156792
100506083 -0.72289094 0.54107115 -0.43084666 0.39924888 0.56156792
100506100 -0.37631965 -1.17995959 0.71652007 1.13506091 -0.22572150
100506119 -0.37631965 1.62150295 0.05975502 0.03750221 0.08687741
100506127 1.61995578 1.95899297 1.16616175 1.87133392 1.98502405
100506142 0.33794533 0.06980802 -0.43084666 0.03750221 -0.22572150
100506144 1.17060759 1.41763853 0.95878782 1.87133392 1.44216454
100506161 1.06111710 0.89571200 0.71652007 0.68823126 0.08687741
100506211 3.29556216 3.02598502 2.87813680 3.05978426 2.73301035
100506235 1.61995578 0.54107115 1.16616175 1.31542948 1.54803417
100506258 -0.37631965 -0.63463987 0.42519201 -0.44644366 0.75084144
100506282 2.42677783 1.95899297 1.78491782 1.87133392 2.12845706
100506286 -0.37631965 0.32459718 1.16616175 0.03750221 1.32790621
100506302 1.27237147 1.18014996 0.71652007 1.75113004 0.56156792
100506321 0.67173878 -0.23983989 1.34743945 0.03750221 0.08687741
100506325 -0.09708724 0.54107115 0.71652007 0.39924888 0.08687741
100506343 0.13676485 0.72926140 0.42519201 0.03750221 -0.62534318
100506365 5.18214984 4.69968022 5.21326105 5.06575554 5.14599325
100506368 -0.09708724 0.32459718 0.71652007 0.39924888 0.75084144
100506380 1.54059167 1.52316871 1.78491782 0.92887632 1.20381450
100506392 3.16933398 3.22678954 3.41374125 3.15760168 3.45855920
100506394 0.13676485 0.54107115 -1.17995959 -1.17995959 0.34365868
100506411 -0.37631965 1.62150295 1.34743945 0.92887632 1.73897857
100506433 2.33567629 -0.23983989 2.12014477 1.98228825 1.20381450
100506462 0.33794533 0.32459718 -0.43084666 0.92887632 0.08687741
100506469 2.42677783 2.40791531 2.47228642 2.18147290 1.90757943
100506495 -1.17995959 0.89571200 -0.43084666 -1.17995959 -0.22572150
100506504 1.54059167 2.46200172 1.78491782 2.27161992 1.98502405
100506540 1.61995578 1.41763853 1.50846082 0.92887632 1.20381450
100506581 2.70676034 2.29325087 3.09657390 1.13506091 2.77722323
100506606 0.33794533 0.06980802 0.71652007 0.39924888 -1.17995959
100506658 2.13415596 0.89571200 1.78491782 0.68823126 1.20381450
100506668 2.07904832 2.61306480 2.68943622 2.65330743 2.54121939
100506686 1.36742773 0.72926140 0.95878782 1.47573335 2.31996500
100506691 0.13676485 -0.63463987 -1.17995959 -1.17995959 -1.17995959
100506696 -1.17995959 -0.23983989 0.05975502 -1.17995959 0.34365868
100506697 1.69518069 1.04492954 0.05975502 0.68823126 0.34365868
100506710 4.58300609 4.49440120 4.40417238 4.92005077 4.47027924
100506713 0.33794533 0.06980802 0.05975502 0.39924888 0.75084144
100506725 4.27507893 3.89100514 3.37248198 4.40652660 3.97747127
100506731 0.81353290 0.06980802 0.05975502 0.92887632 0.08687741
100506757 1.17060759 0.89571200 1.16616175 0.03750221 1.73897857
100506779 0.51447424 -0.23983989 -0.43084666 -0.44644366 -0.62534318
100506804 -0.72289094 -0.63463987 0.71652007 -1.17995959 -0.22572150
100506826 1.76667686 1.62150295 1.50846082 0.68823126 0.75084144
100506844 1.89984430 2.10211402 2.21655982 1.47573335 2.19515786
100506866 5.30730871 5.27645170 4.94429958 5.44084488 5.02286162
100506881 1.76667686 2.03232754 1.50846082 1.47573335 1.98502405
100506885 0.67173878 1.80009418 1.50846082 1.61999306 1.73897857
100506911 0.33794533 -0.23983989 -1.17995959 1.13506091 0.56156792
100506922 -0.72289094 0.06980802 1.50846082 0.03750221 -0.22572150
100506930 2.90989776 2.40791531 3.33000792 2.18147290 2.68739957
100506994 1.27237147 0.72926140 1.34743945 1.31542948 1.44216454
100507003 0.13676485 -0.23983989 -1.17995959 -1.17995959 0.08687741
100507032 -1.17995959 -1.17995959 -1.17995959 -1.17995959 -1.17995959
100507034 2.84531196 3.53504990 3.67359308 3.41661886 2.94165531
100507050 0.13676485 0.72926140 0.42519201 0.03750221 -0.22572150
100507053 0.13676485 -1.17995959 -1.17995959 -1.17995959 -1.17995959
100507057 -0.72289094 -0.63463987 -1.17995959 -1.17995959 -1.17995959
100507062 -0.72289094 0.32459718 0.42519201 -1.17995959 0.08687741
100507071 0.51447424 -0.23983989 0.05975502 0.68823126 0.34365868
100507156 3.51904966 3.37511061 3.97864857 3.49356235 3.51186693
100507171 2.77769877 2.51413349 2.87813680 2.08531539 2.90227069
100507173 0.33794533 -0.23983989 0.05975502 -1.17995959 -1.17995959
100507178 0.51447424 0.72926140 1.34743945 0.39924888 0.56156792
100507244 1.06111710 1.30377550 2.21655982 0.92887632 1.98502405
100507246 3.65715014 3.67901436 4.03261871 3.45560350 3.40320591
100507250 -0.37631965 -0.63463987 0.42519201 -0.44644366 0.75084144
100507254 1.61995578 2.16867995 1.34743945 2.89937322 2.64029960
100507266 1.36742773 0.54107115 -1.17995959 0.92887632 0.34365868
100507290 4.42624476 4.59464866 4.27578914 4.36617394 4.01488125
100507291 -0.09708724 -1.17995959 0.71652007 0.03750221 -0.62534318
100507303 1.89984430 2.16867995 1.78491782 2.43659404 2.37854013
100507308 1.54059167 1.18014996 1.34743945 1.87133392 1.98502405
100507316 0.33794533 -1.17995959 0.71652007 0.68823126 -0.62534318
100507331 2.47025836 1.71356028 2.12014477 1.61999306 2.68739957
100507347 2.38194603 2.40791531 2.01682192 2.78158010 2.05852234
100507373 2.23843189 2.16867995 2.21655982 2.08531539 2.05852234
100507392 0.81353290 0.32459718 1.34743945 -0.44644366 1.44216454
100507398 1.36742773 0.32459718 1.34743945 0.92887632 0.34365868
100507401 0.67173878 -0.23983989 -0.43084666 0.92887632 -0.22572150
100507420 -0.37631965 0.72926140 1.16616175 -1.17995959 -0.22572150
100507433 0.94262955 0.72926140 2.54835966 0.92887632 2.31996500
100507436 0.33794533 0.06980802 -0.43084666 -1.17995959 -0.22572150
100507437 -0.37631965 0.89571200 0.71652007 0.92887632 0.75084144
100507459 0.33794533 -0.23983989 0.71652007 0.92887632 -0.22572150
100507463 -0.72289094 0.89571200 2.47228642 0.68823126 0.56156792
100507487 2.28787327 1.88173012 1.34743945 1.98228825 1.82574055
100507495 3.93054887 3.40302902 4.10996734 3.91319113 3.95839610
100507516 -0.37631965 1.04492954 0.71652007 0.03750221 -0.22572150
100507551 -0.09708724 0.54107115 0.05975502 1.13506091 0.56156792
100507557 1.45660621 1.52316871 1.78491782 1.98228825 0.34365868
100507564 0.81353290 -1.17995959 1.78491782 -1.17995959 1.73897857
100507567 -0.72289094 -0.23983989 -0.43084666 -1.17995959 0.08687741
100507588 0.51447424 1.04492954 0.42519201 0.68823126 0.08687741
100507599 -0.37631965 0.72926140 0.71652007 -1.17995959 1.06803609
100507602 3.81725282 4.49440120 4.00588600 4.42628741 4.37279401
100508120 0.51447424 -0.23983989 0.71652007 1.87133392 0.75084144
10051 6.61955582 6.20221551 6.25660241 6.22366858 6.36412474
10052 1.69518069 1.88173012 1.16616175 1.98228825 1.06803609
100526737 2.02175180 1.88173012 2.01682192 0.92887632 2.31996500
100526760 1.36742773 1.18014996 2.12014477 1.47573335 1.90757943
100526820 0.33794533 1.30377550 0.71652007 0.03750221 0.75084144
100526835 3.27118463 3.09607163 3.83416878 3.85605742 3.53779989
100527978 -0.09708724 -0.63463987 -1.17995959 -0.44644366 -0.62534318
100529145 2.23843189 1.95899297 2.01682192 1.13506091 1.73897857
100529215 0.81353290 -0.23983989 0.05975502 -0.44644366 0.56156792
100532746 3.61902313 3.83061316 3.97864857 3.96814816 3.81730353
100533106 -0.72289094 -0.63463987 -0.43084666 -0.44644366 0.56156792
100533182 0.81353290 -0.23983989 0.42519201 0.39924888 0.08687741
100533619 0.81353290 -0.23983989 0.05975502 -1.17995959 -0.22572150
100533629 0.51447424 -1.17995959 -1.17995959 0.92887632 -1.17995959
100533695 0.33794533 0.06980802 0.95878782 1.13506091 0.34365868
100533970 1.61995578 1.04492954 1.50846082 0.68823126 0.75084144
100534593 0.94262955 0.32459718 1.16616175 1.31542948 0.91813867
10054 5.85034241 6.08215512 6.30674573 5.86674832 6.26669266
10056 5.92646366 5.80190258 6.06271677 5.51654013 5.93711980
10057 7.18370443 7.18989416 7.02170934 6.92169788 7.34748134
10058 5.36603869 5.47363913 5.12905816 4.97475199 5.43529568
10059 7.12029246 7.08177296 7.01836952 7.02898371 7.25475473
1006 4.39273968 4.53281489 4.81167185 4.61029818 4.32891001
10060 3.47703629 3.53504990 3.49288018 3.33533940 3.79597197
100616256 0.13676485 0.06980802 0.42519201 0.39924888 0.75084144
10062 1.76667686 1.30377550 0.42519201 0.92887632 1.82574055
10063 3.81725282 4.16001720 3.92258072 4.30344638 4.47027924
100652739 0.33794533 0.89571200 0.42519201 0.92887632 -0.22572150
100652758 0.67173878 1.41763853 0.71652007 1.61999306 1.44216454
100652846 2.02175180 1.80009418 2.12014477 0.39924888 1.90757943
10066 6.72876529 6.90269034 6.91440119 6.73228554 7.07382625
10067 5.93036092 6.07349486 6.18095046 6.03706776 6.10263550
10068 3.76583442 3.76758228 4.08464246 3.56660914 3.28568925
10069 2.97171568 3.02598502 2.81793790 2.27161992 3.45855920
10072 4.88562791 5.01217466 4.97218698 4.78881820 4.83693370
10073 4.07836993 3.91058679 4.29799550 3.85605742 4.03322864
10075 8.59211189 8.60771222 8.68886517 8.67197977 8.46268608
10076 4.13350300 4.41436211 3.37248198 4.09702513 4.10437028
10077 0.33794533 0.72926140 -1.17995959 -1.17995959 1.06803609
100775107 1.36742773 1.18014996 0.42519201 1.13506091 1.06803609
10078 4.79448845 4.81846360 4.79615367 4.75796021 4.75086267
10079 5.49794227 5.26888551 5.20152879 5.25444383 5.35004434
1008 4.86947963 4.90886431 5.36821856 4.77347170 5.04110844
10081 4.79448845 5.06555557 4.87212737 4.38649135 4.80525576
10082 5.86670511 6.22975793 5.94099455 6.20662928 6.07633487
100820829 4.16029905 4.40057965 4.40417238 4.19243047 5.05014603
10084 5.31924753 5.27645170 5.50813485 4.84862201 5.32792044
100847074 2.02175180 1.71356028 2.39197746 1.98228825 1.54803417
10085 9.86001845 9.74077420 9.27401360 9.89421906 9.49028500
100852407 0.94262955 1.30377550 -0.43084666 1.98228825 1.82574055
100861412 0.67173878 0.32459718 0.05975502 0.03750221 0.08687741
100861548 4.28728632 4.30022967 4.63103570 4.04684723 4.34368683
100862671 0.51447424 0.89571200 -1.17995959 0.68823126 1.32790621
10087 6.44530445 6.31672159 6.32308021 6.36859130 6.27056429
100873257 -1.17995959 -0.23983989 -0.43084666 -1.17995959 -1.17995959
100873333 2.42677783 2.74979876 2.81793790 3.10952183 2.31996500
100873790 2.77769877 3.67901436 3.45385329 3.10952183 2.97999326
100873949 0.81353290 -0.23983989 0.95878782 0.92887632 0.34365868
100873952 0.13676485 -0.63463987 0.05975502 -1.17995959 0.34365868
100873965 1.83479653 1.80009418 2.12014477 1.61999306 1.90757943
100874006 2.18723584 1.62150295 1.78491782 1.87133392 1.90757943
100874008 1.45660621 0.89571200 0.95878782 0.92887632 0.75084144
100874014 1.27237147 2.35172197 2.30693314 2.08531539 2.59160990
100874058 1.36742773 1.18014996 1.16616175 1.13506091 1.73897857
100874080 1.54059167 0.72926140 0.71652007 0.03750221 1.20381450
100874097 2.38194603 1.18014996 1.78491782 1.47573335 1.32790621
100874201 0.13676485 0.32459718 0.05975502 0.39924888 -1.17995959
100874212 0.51447424 0.89571200 0.95878782 0.92887632 0.75084144
100874217 0.33794533 0.72926140 1.16616175 0.92887632 0.56156792
100874235 0.13676485 0.06980802 -0.43084666 0.68823126 -0.62534318
100874261 0.13676485 0.89571200 1.34743945 0.68823126 0.75084144
100874291 0.51447424 0.06980802 1.34743945 0.03750221 0.34365868
100874362 0.13676485 1.52316871 0.71652007 2.08531539 1.32790621
100874523 1.89984430 1.04492954 1.78491782 1.75113004 1.98502405
100885775 1.76667686 2.23230952 2.54835966 2.78158010 1.90757943
100885776 -1.17995959 0.32459718 -0.43084666 0.03750221 0.75084144
100885848 4.16029905 4.78702585 4.69936684 4.38649135 4.89827628
1009 10.21743250 10.13522445 9.87880158 10.29471571 9.97557744
10090 3.83399296 4.07579948 4.00588600 4.36617394 4.15551497
10092 7.93904472 7.96116339 7.91714952 8.00206334 8.30834336
10093 7.35005456 7.73547633 7.83979137 7.55401110 7.83440864
10094 3.73050831 4.38666426 3.56790277 4.38649135 4.15551497
10095 6.48559210 6.55621769 6.62486978 6.44806889 6.49233065
10097 8.89001644 9.03373376 8.96783532 9.13821145 9.14388516
10098 6.38694209 6.54059303 6.39695384 6.64643636 6.80151530
10099 8.03084287 8.07291813 7.96130076 7.87481201 8.10870435
100996246 3.16933398 2.66009749 3.19452440 2.71886892 3.31597795
100996251 0.13676485 -0.23983989 -0.43084666 1.31542948 1.44216454
100996307 2.18723584 1.04492954 0.05975502 0.92887632 0.56156792
100996384 0.13676485 0.54107115 1.34743945 1.31542948 1.54803417
100996419 0.67173878 -1.17995959 0.71652007 -1.17995959 0.91813867
100996485 2.18723584 1.41763853 2.39197746 2.08531539 2.31996500
100996539 -1.17995959 -1.17995959 0.05975502 0.39924888 -0.22572150
100996579 0.67173878 -0.23983989 -1.17995959 1.13506091 0.34365868
100996696 2.94113780 2.79264107 3.28624535 3.29291538 3.28568925
100996842 1.27237147 1.71356028 1.78491782 1.75113004 2.48900495
100996851 1.17060759 0.06980802 -0.43084666 0.68823126 0.91813867
100996939 1.06111710 0.72926140 0.95878782 1.13506091 0.08687741
101 0.51447424 0.89571200 1.50846082 1.75113004 -0.22572150
1010 1.27237147 1.30377550 0.71652007 0.03750221 1.54803417
10100 4.29939129 4.71089203 4.76460739 4.64444276 4.34368683
10101 4.94847205 4.83904786 5.05275369 4.86319348 4.57417752
10102 5.00130105 4.75488775 4.50306786 4.46501512 4.77286660
10103 0.13676485 -0.23983989 0.71652007 -1.17995959 -0.22572150
10105 5.99876902 6.39179010 6.71839941 5.99798719 6.43828236
10106 7.01044565 6.98349783 7.00830344 7.04504920 7.24100781
101060200 3.22115792 2.51413349 2.12014477 2.08531539 2.86178066
101060691 1.96208532 2.03232754 0.95878782 1.98228825 2.12845706
10109 8.97784172 9.00270901 9.15663701 8.90107984 9.29741064
10112 5.12887901 5.09152317 4.52205873 5.01445842 4.91815757
10113 6.41224417 6.57474662 6.27351123 6.43837036 6.45198544
10114 7.29217177 7.51014776 7.52610311 7.43956435 7.62506423
101154753 -0.37631965 -0.23983989 0.71652007 0.68823126 -0.22572150
10116 7.56709949 7.67235483 7.71330876 7.64957307 7.58520541
10117 -0.37631965 1.04492954 0.71652007 1.13506091 0.75084144
1012 8.78147176 8.86458823 9.09930801 8.70975926 8.71010586
10121 6.22185973 6.36365121 6.48669363 6.27361128 6.53480117
10123 7.19832345 7.39843304 6.93225793 7.10144726 7.34931302
101241892 4.32330072 4.49440120 4.50306786 4.71039923 4.42930372
10125 0.94262955 0.32459718 2.47228642 0.92887632 0.91813867
10126 3.83399296 3.48368201 3.89370792 2.58462416 4.13866740
PFOA_24_C5 EtOH_24_C5 TUN_2_C6 THA_2_C6 DMSO_2_C6 TUN_24_C6
100 2.0360840 2.8595633 2.1074408 2.14030931 2.5380165 2.6437397
1000 11.0027024 10.9759874 10.9164007 10.64400786 10.9398437 11.1355131
10000 6.9895412 6.8092282 5.4579625 5.52261217 5.9820010 6.3532387
10001 4.6834144 4.6729249 4.5034618 4.80853237 4.2383472 4.7263080
10003 2.2730075 1.8155036 4.6215084 4.04431411 4.1462976 3.8287115
100037417 -1.1799596 -1.1799596 -1.1799596 -1.17995959 -1.1799596 -1.1799596
100049716 2.0360840 1.9029283 2.3318465 1.86904545 2.0616401 2.8728436
10005 3.5591479 3.7457620 3.5611201 3.92378474 3.6524178 4.3689266
10006 6.7505759 6.4332663 6.4861474 6.68150599 6.5935383 6.6781612
10007 4.7633560 5.1547685 4.1770127 4.35517746 4.0479720 4.3986581
10009 6.5168656 6.6540808 5.4420056 5.46207138 5.4073643 4.6418111
100093630 5.8826544 6.3847373 6.2315120 6.42342114 6.4622578 6.7833324
1001 5.4712099 5.3771517 7.2865509 7.02486854 7.0825543 6.7577496
10010 5.7118408 5.5428238 5.3250740 5.55775355 5.3589720 4.9931443
100101267 2.5683434 1.6229513 2.8008361 2.61088779 2.8955340 2.6437397
100101467 3.6460680 3.5429708 3.5312655 3.66911723 3.8286006 4.7263080
10011 5.9439782 6.2029026 5.4258702 5.81660012 5.6344044 5.4977876
100113386 0.2306366 0.4015476 1.0932690 0.65521448 0.6852693 0.7924887
100113397 -0.3087191 0.8161526 1.0932690 0.96545465 0.8807480 1.4893578
100113407 4.1410321 4.3227632 4.5187568 4.78894837 4.3079791 4.1591252
100125288 2.0360840 1.7224375 1.8415831 2.31478603 1.4723008 2.9946563
100127983 2.5683434 1.9029283 2.5259996 2.89359431 2.4788611 2.3099909
100128006 2.2730075 1.6229513 2.4641403 3.22038244 3.0660037 2.4864949
100128016 -0.3087191 0.6236929 -0.1127069 1.94179085 0.8807480 2.0350381
100128025 1.7524570 0.4015476 1.3879451 -1.17995959 0.1907372 0.6011676
100128054 1.3990782 0.6236929 1.5154098 2.81831204 1.6965706 1.8750344
100128071 0.2306366 -1.1799596 -0.1127069 -1.17995959 0.1907372 0.1199694
100128191 1.5865604 0.4015476 1.5154098 1.86904545 1.5887892 1.4893578
100128252 1.3990782 1.9029283 2.9436725 2.77914462 2.8955340 3.2766978
100128379 2.0360840 0.9859334 0.7225377 -0.28772542 1.0528731 0.6011676
100128398 4.5768247 4.3068229 4.5928899 4.34179880 4.2204012 5.0504579
100128494 2.0360840 2.4591261 3.1144749 2.20084327 2.5380165 3.3393630
100128569 1.3990782 2.3388680 2.3318465 1.86904545 2.2852806 2.3712565
100128640 -1.1799596 -0.1825503 -1.1799596 0.47086032 -1.1799596 -0.1982688
100128682 -0.3087191 -1.1799596 -1.1799596 -0.66593927 -1.1799596 -1.1799596
100128731 6.4759280 6.6382445 5.8812565 6.17827120 6.2037149 6.0548912
100128766 2.4764556 2.5701266 2.3995092 2.14030931 2.5380165 2.5932054
100128782 1.9012292 1.1378211 1.8415831 2.47042018 1.9786637 2.1790548
100128822 -1.1799596 -1.1799596 -1.1799596 -1.17995959 -1.1799596 -1.1799596
100128833 1.3990782 3.3069383 2.1861854 2.96514227 1.7968566 2.1790548
100128881 2.1594038 2.4591261 2.5853153 2.42038468 1.6965706 1.8750344
100128893 4.3366447 3.9647478 4.7174260 4.96506417 4.5135424 4.7724590
100129001 0.9300495 0.9859334 0.2223035 0.81865788 1.0528731 -0.1982688
100129013 1.9012292 2.1373019 1.9357519 1.62581519 0.6852693 -0.1982688
100129029 0.2306366 0.1388591 0.9197791 0.47086032 0.1907372 1.2493893
100129060 3.4666533 3.0630553 3.3029573 3.19083997 3.1056498 3.3697036
100129075 1.5865604 -1.1799596 0.9197791 1.79243632 1.7968566 2.7855178
100129195 2.8866003 2.8151790 1.9357519 1.94179085 3.1442355 2.9551839
100129203 1.7524570 0.4015476 1.6325213 0.81865788 -0.1392054 0.6011676
100129250 0.6223185 2.2747582 1.8415831 2.36855130 1.6965706 1.7878451
100129259 0.6223185 0.4015476 1.0932690 2.07712374 2.4171759 0.9613831
100129361 5.4350520 5.6350793 5.6985729 6.00662162 5.7639440 5.2674194
100129398 -1.1799596 -0.1825503 1.2481176 1.09868443 1.3455739 0.6011676
100129434 -1.1799596 -0.1825503 -1.1799596 -0.66593927 -1.1799596 -0.6071774
100129461 -1.1799596 1.1378211 1.2481176 1.43740687 1.3455739 1.1125612
100129484 1.7524570 1.2752303 1.2481176 2.01104359 1.2066339 2.3099909
100129550 4.4854929 4.3695537 4.6633991 4.24450440 4.6268736 5.0597926
100129583 -1.1799596 0.4015476 -1.1799596 -0.28772542 0.1907372 1.5958643
100129662 0.6223185 1.4006825 -1.1799596 -1.17995959 -1.1799596 1.3743572
100129707 0.9300495 -0.1825503 0.2223035 0.81865788 1.0528731 0.3805386
100129716 0.9300495 1.2752303 1.5154098 2.01104359 -0.1392054 0.6011676
100129726 -0.3087191 1.4006825 0.7225377 0.65521448 0.6852693 0.3805386
100129774 3.5591479 3.5699343 4.4880030 3.92378474 4.3248744 3.9135358
100129781 0.9300495 0.4015476 0.9197791 0.81865788 1.4723008 1.3743572
100129792 -0.3087191 0.1388591 0.4939940 0.01164872 0.6852693 0.6011676
100129794 1.7524570 1.6229513 2.3995092 2.25893925 1.4723008 3.1772805
100129842 0.6223185 0.8161526 0.2223035 -0.66593927 0.4590900 -0.1982688
100129917 1.5865604 2.1373019 2.1861854 3.75236915 2.7021882 3.7616511
100129924 2.1594038 2.3388680 1.2481176 1.79243632 2.0616401 1.6950458
100129940 0.2306366 0.8161526 1.0932690 1.53468449 1.8906221 0.1199694
100129995 -1.1799596 -1.1799596 -1.1799596 0.25944886 -0.1392054 -1.1799596
10013 5.7710545 5.3462920 5.4658753 5.67441585 5.6876239 5.8333169
100130111 0.9300495 1.2752303 -0.1127069 -0.28772542 0.1907372 0.6011676
100130197 1.1835410 1.1378211 -0.5498155 0.47086032 0.4590900 0.1199694
100130335 2.2730075 3.2745221 2.5853153 2.47042018 2.4788611 2.1790548
100130348 3.3678200 3.3069383 2.7498985 2.81831204 3.4821300 3.9936485
100130357 -1.1799596 -1.1799596 -1.1799596 -0.66593927 -0.5677001 0.1199694
100130466 3.6460680 3.2745221 3.2671795 3.38595905 3.4821300 3.1069799
100130476 0.2306366 0.6236929 -0.1127069 -0.66593927 -1.1799596 -0.1982688
100130522 1.1835410 -1.1799596 0.2223035 0.47086032 0.6852693 0.7924887
100130550 1.7524570 1.1378211 1.5154098 1.09868443 0.8807480 1.2493893
100130564 3.1471821 3.3696643 3.8542445 3.53447396 3.0660037 2.3712565
100130581 -0.3087191 0.6236929 1.3879451 2.36855130 1.4723008 2.9946563
100130691 1.9012292 1.2752303 1.8415831 1.43740687 1.0528731 1.9572533
100130705 0.6223185 0.4015476 0.7225377 1.43740687 1.0528731 1.7878451
100130748 0.2306366 1.1378211 0.2223035 0.01164872 -0.1392054 1.1125612
100130750 -1.1799596 -1.1799596 -1.1799596 -1.17995959 -1.1799596 -1.1799596
100130855 0.6223185 1.8155036 2.1074408 2.20084327 1.7968566 1.3743572
100130958 1.1835410 0.8161526 -0.1127069 0.01164872 -0.1392054 0.1199694
100131017 -1.1799596 -1.1799596 -1.1799596 -1.17995959 -1.1799596 -1.1799596
100131031 2.4764556 2.9026228 3.1928466 2.31478603 2.8495721 2.6925636
100131033 1.9012292 1.8155036 1.8415831 2.01104359 1.7968566 0.9613831
100131067 1.7524570 1.1378211 2.5853153 2.42038468 2.2852806 2.3099909
100131089 1.3990782 0.4015476 0.9197791 0.65521448 1.4723008 2.1088427
100131094 0.2306366 0.6236929 0.7225377 0.47086032 0.1907372 1.3743572
100131138 0.6223185 1.6229513 3.2671795 3.83107792 2.7021882 3.3697036
100131187 -1.1799596 -1.1799596 1.6325213 0.81865788 1.5887892 1.2493893
100131193 1.3990782 0.1388591 2.3318465 2.01104359 2.2852806 1.9572533
100131211 3.8428934 3.0245885 3.0315999 3.16067988 3.1818160 2.7855178
100131213 0.9300495 0.8161526 -1.1799596 -1.17995959 -1.1799596 0.6011676
100131471 2.8133734 2.2747582 2.1074408 2.07712374 2.1401026 1.7878451
100131656 3.4666533 3.7219181 2.6970965 2.96514227 3.4205875 2.9551839
100131685 2.4764556 2.5156937 2.3318465 2.25893925 2.5948417 1.5958643
100131691 2.3783148 2.4002497 2.8008361 2.01104359 2.8020976 3.6173858
100131740 1.3990782 1.2752303 -0.1127069 0.25944886 0.8807480 0.1199694
100131801 3.5136417 3.7922992 3.2304917 2.89359431 3.1442355 3.4285352
100131827 0.9300495 0.4015476 0.7225377 0.65521448 0.4590900 1.1125612
100131828 -1.1799596 -1.1799596 -0.5498155 -0.66593927 -0.1392054 0.3805386
100131940 -0.3087191 0.8161526 1.3879451 1.22064417 1.4723008 1.3743572
100132074 -1.1799596 -1.1799596 -1.1799596 -1.17995959 -1.1799596 -1.1799596
100132086 0.2306366 0.8161526 1.6325213 0.01164872 -0.1392054 0.3805386
100132116 9.1237355 8.8316676 8.1717174 7.60470394 8.1833920 6.3069514
100132126 -1.1799596 0.4015476 -0.5498155 -0.66593927 0.4590900 0.1199694
100132215 1.3990782 1.2752303 0.9197791 0.01164872 0.8807480 2.1790548
100132537 3.6032624 3.4874834 2.0241488 2.01104359 1.5887892 2.6437397
100132609 0.2306366 1.2752303 0.7225377 0.81865788 1.7968566 0.1199694
100132659 0.9300495 0.6236929 0.9197791 0.25944886 0.1907372 0.9613831
100132891 0.9300495 1.9029283 -1.1799596 -1.17995959 -1.1799596 0.1199694
100132972 0.2306366 -0.1825503 -1.1799596 -0.28772542 0.4590900 -0.6071774
100133234 0.6223185 0.1388591 0.7225377 1.09868443 1.3455739 2.1088427
100133286 0.9300495 0.4015476 -0.1127069 0.81865788 -0.1392054 0.3805386
100133315 0.2306366 -1.1799596 0.4939940 1.09868443 0.8807480 -0.1982688
100134934 2.6547274 1.1378211 0.9197791 2.07712374 1.0528731 2.5408365
10014 5.9525297 6.0145620 6.1004115 6.34512511 6.1667079 6.4272294
100144603 2.0360840 2.5156937 1.7408358 2.01104359 2.2852806 2.0350381
100144748 1.7524570 1.9853565 1.5154098 1.94179085 0.4590900 1.9572533
10015 7.6057342 7.6572160 7.5640972 7.48961597 7.4354938 7.4071627
10016 6.0272949 5.8428002 5.3075681 5.25641580 5.1473275 5.4488902
100170229 1.1835410 0.9859334 0.7225377 0.65521448 0.6852693 0.1199694
100170841 3.6460680 3.1005230 4.2521449 5.51667114 4.3248744 4.9130028
10018 2.9562893 3.1370422 3.1541929 3.88741372 3.6253960 3.5918741
100188847 1.3990782 1.8155036 1.6325213 0.81865788 0.4590900 1.3743572
10019 4.2834086 4.4873816 4.4565793 5.25641580 4.3905436 4.4563437
100190938 1.1835410 2.2747582 1.3879451 1.86904545 1.3455739 1.3743572
1002 2.0360840 1.8155036 0.9197791 0.96545465 1.5887892 2.0350381
10020 3.8792298 3.5154939 3.9476165 4.10892104 4.1077677 4.5118112
10021 7.6719602 7.6728465 8.8990594 8.95738426 8.8281268 8.4378689
10023 0.2306366 1.6229513 1.0932690 0.65521448 1.2066339 1.6950458
10024 2.6547274 2.9850679 3.1928466 2.96514227 3.3563023 1.3743572
10026 6.5397473 6.3885288 6.3345012 5.58071442 6.3797713 6.2951438
100268168 0.9300495 -0.5967237 0.2223035 -0.66593927 0.6852693 0.7924887
100270804 0.2306366 1.4006825 2.6422882 2.36855130 2.2852806 1.9572533
100270827 0.9300495 -0.1825503 -0.5498155 -0.28772542 0.1907372 -0.1982688
100270840 2.9562893 3.0245885 3.1541929 2.92981178 2.9400767 3.3083706
100270854 2.0360840 2.9444342 1.2481176 1.86904545 2.5948417 2.0350381
100270865 3.2055847 3.5699343 2.3995092 2.92981178 2.3527350 2.8298413
100271271 2.3783148 2.9850679 2.6422882 2.69746772 3.1056498 3.0705018
100271332 2.6547274 2.8595633 2.0241488 2.31478603 2.7021882 3.3393630
100271415 2.5683434 1.1378211 1.5154098 2.07712374 1.0528731 2.0350381
100271479 -1.1799596 -1.1799596 -1.1799596 -0.28772542 0.4590900 0.3805386
100271884 -0.3087191 0.8161526 -1.1799596 0.81865788 -0.5677001 -1.1799596
100272147 2.5683434 2.7693858 2.5259996 2.25893925 2.2852806 2.3099909
100286844 2.1594038 -1.1799596 1.7408358 0.96545465 1.4723008 1.4893578
100287015 -1.1799596 -1.1799596 0.4939940 -1.17995959 -0.1392054 0.7924887
100287049 0.9300495 0.1388591 1.3879451 0.65521448 0.1907372 1.4893578
100287074 2.8133734 2.4002497 2.8500364 2.31478603 2.4788611 2.5408365
100287616 3.0227665 3.5154939 2.7498985 2.01104359 1.6965706 3.9541481
100287722 1.5865604 0.9859334 1.5154098 1.33309273 1.2066339 2.1790548
100287808 0.9300495 -0.1825503 -1.1799596 0.65521448 -0.1392054 0.3805386
100287837 0.6223185 -0.5967237 -0.1127069 0.01164872 -1.1799596 -1.1799596
100287896 2.6547274 2.2747582 2.6970965 3.19083997 2.4788611 3.0705018
100287902 -1.1799596 -0.5967237 -0.1127069 0.25944886 -1.1799596 0.1199694
100287928 3.2617148 2.9850679 3.3378693 2.69746772 3.1056498 3.2111865
100287932 5.3208008 5.7036414 5.4737449 5.41812860 5.5861704 5.3982773
100288001 2.4764556 1.8155036 1.3879451 2.56556805 2.2852806 2.3099909
100288073 4.2281324 4.2243675 4.3748885 5.34625217 4.1838251 7.3474347
100288123 -1.1799596 -0.5967237 1.6325213 0.47086032 0.8807480 0.1199694
100288198 2.8133734 1.7224375 3.5007800 3.79226023 2.8020976 3.6424542
100288241 1.3990782 2.0633286 1.0932690 0.47086032 1.5887892 0.7924887
100288413 0.6223185 1.4006825 2.1074408 1.86904545 2.3527350 3.7385866
100288513 1.1835410 1.2752303 -0.5498155 0.65521448 0.6852693 -1.1799596
100288842 -1.1799596 0.8161526 0.9197791 2.20084327 1.2066339 0.7924887
100289061 -1.1799596 0.1388591 1.6325213 0.65521448 1.9786637 1.7878451
100289095 0.9300495 0.4015476 0.7225377 0.47086032 1.5887892 0.3805386
100289133 0.9300495 1.2752303 0.2223035 0.65521448 1.4723008 0.9613831
100289178 2.0360840 1.9029283 3.3719564 2.61088779 3.3563023 2.0350381
100289211 1.1835410 1.1378211 2.3995092 0.96545465 2.2145170 0.7924887
100289259 0.9300495 0.8161526 1.5154098 -0.66593927 -1.1799596 1.3743572
100289274 2.8133734 3.2745221 3.3719564 4.48255341 2.8020976 5.0316052
100289341 2.5683434 1.7224375 0.4939940 1.71152986 1.7968566 1.4893578
100289373 -1.1799596 -1.1799596 -0.5498155 -0.66593927 -1.1799596 -0.1982688
100289388 1.3990782 1.9029283 2.6970965 2.56556805 1.9786637 2.1088427
100289414 -0.3087191 0.1388591 0.4939940 1.09868443 0.6852693 0.1199694
100289635 4.9796086 5.1724697 5.4177344 5.69560613 5.1473275 5.5844213
100289640 2.1594038 0.1388591 2.0241488 2.73888410 2.3527350 2.3099909
100289678 2.2730075 1.4006825 2.5853153 2.69746772 2.5380165 2.7855178
100293516 4.5318814 3.8810986 4.4244559 4.79877360 4.1271613 3.9541481
100294362 1.3990782 1.1378211 1.7408358 1.62581519 1.9786637 2.6437397
1003 0.9300495 -1.1799596 1.0932690 -0.28772542 1.4723008 0.3805386
100302692 0.6223185 1.7224375 1.3879451 1.43740687 0.6852693 1.4893578
100302736 1.7524570 1.6229513 1.3879451 2.25893925 1.4723008 2.8728436
100303728 2.5683434 3.1370422 3.3719564 2.92981178 3.0252372 2.9551839
100303755 1.7524570 1.1378211 2.1861854 2.01104359 1.4723008 1.8750344
100312828 0.2306366 -1.1799596 -1.1799596 1.22064417 -0.1392054 0.3805386
100312850 -1.1799596 -1.1799596 0.9197791 0.25944886 -0.1392054 1.3743572
10036 4.4854929 4.5153940 4.6215084 5.01649150 4.7939322 3.9541481
100379345 3.2055847 3.4000333 2.6970965 3.06622135 2.8020976 2.4300260
10038 5.4104333 5.3618044 5.4815718 5.60891099 5.1088255 5.6476931
100381270 1.1835410 0.8161526 1.5154098 1.43740687 1.3455739 0.7924887
10039 6.2448149 5.9898160 5.3075681 5.21298757 5.3424736 5.2913914
1004 8.7250761 9.1345305 8.3468973 8.09399167 8.4635221 6.8760805
10040 3.1471821 3.1370422 3.5312655 3.83107792 3.3888029 3.8287115
100418710 1.7524570 2.4002497 1.2481176 1.71152986 2.0616401 0.3805386
100418735 4.2834086 3.7457620 2.2608534 2.65482715 2.2852806 2.0350381
100418744 0.6223185 0.8161526 1.5154098 2.61088779 1.4723008 0.9613831
100418770 0.9300495 2.3388680 1.9357519 0.96545465 1.4723008 1.5958643
100418781 -0.3087191 0.1388591 0.2223035 -0.28772542 0.4590900 -1.1799596
100418819 -1.1799596 1.6229513 1.7408358 2.01104359 1.5887892 0.9613831
100418829 1.9012292 2.0633286 0.7225377 1.22064417 1.7968566 1.3743572
100418888 2.1594038 1.9029283 0.9197791 0.96545465 1.2066339 1.4893578
100418889 2.5683434 2.7693858 2.1861854 2.73888410 3.1818160 1.9572533
100418910 1.5865604 1.6229513 1.0932690 1.79243632 1.2066339 0.3805386
100418919 1.9012292 2.5701266 1.5154098 2.81831204 2.5948417 2.4300260
100419028 0.2306366 -0.1825503 1.5154098 0.25944886 1.4723008 1.8750344
100419185 -0.3087191 0.4015476 -0.1127069 0.47086032 0.4590900 0.6011676
100419416 -1.1799596 1.5160931 0.9197791 1.09868443 1.3455739 0.7924887
100419515 -1.1799596 0.4015476 -0.5498155 -1.17995959 0.4590900 -0.1982688
100419645 0.9300495 0.6236929 0.9197791 0.47086032 -0.1392054 1.3743572
100419758 -1.1799596 -0.5967237 -0.1127069 0.01164872 0.8807480 0.3805386
100419928 1.5865604 1.7224375 1.2481176 0.81865788 1.2066339 1.9572533
10042 5.5745447 5.3540690 5.4013237 5.63107806 5.2481976 5.0597926
100420028 0.2306366 1.5160931 1.0932690 0.01164872 0.6852693 -0.1982688
100420050 -1.1799596 -0.5967237 0.2223035 -0.28772542 -0.5677001 -0.1982688
100420110 3.6460680 3.4874834 3.3378693 3.58076540 3.5697850 3.4285352
100420187 1.3990782 2.3388680 1.7408358 1.43740687 1.9786637 2.6925636
100420259 4.1996793 4.3227632 3.1541929 3.62561755 3.5978584 3.6670945
100420307 -1.1799596 0.6236929 0.7225377 0.25944886 1.2066339 1.1125612
100420341 5.2806139 5.1278026 5.3337480 5.09035048 5.2032198 6.7433384
100420423 0.2306366 0.9859334 1.2481176 0.25944886 0.1907372 -1.1799596
100420591 1.3990782 0.9859334 1.6325213 1.09868443 0.6852693 1.7878451
100420707 3.1471821 2.8151790 2.5259996 3.09839962 2.6495131 2.4300260
100420752 2.1594038 1.8155036 1.7408358 2.07712374 2.1401026 2.4300260
100420869 3.9492672 4.2579173 4.6072701 4.23005368 4.3079791 4.3538279
100420981 5.5064836 5.6350793 5.5869106 5.39240413 5.5861704 5.5450818
100421093 4.0483335 3.8594059 4.0353110 4.15554570 3.9424519 3.2443140
100421109 0.6223185 0.1388591 0.4939940 0.01164872 0.4590900 0.6011676
100421160 1.3990782 1.1378211 0.4939940 -0.28772542 0.4590900 0.6011676
100421175 2.2730075 1.2752303 1.2481176 1.62581519 1.2066339 2.1790548
100421246 1.5865604 1.5160931 0.9197791 1.79243632 1.2066339 0.1199694
100421311 2.8866003 2.6225803 2.7498985 2.61088779 2.3527350 2.4300260
100421372 1.7524570 2.2747582 1.3879451 2.07712374 0.4590900 1.4893578
100421400 0.2306366 1.9853565 2.5853153 2.65482715 1.6965706 1.7878451
100421415 -1.1799596 0.4015476 1.3879451 0.25944886 0.4590900 0.1199694
100421429 0.2306366 1.4006825 0.2223035 1.09868443 0.4590900 0.1199694
100421465 2.0360840 1.8155036 1.2481176 1.79243632 1.8906221 0.7924887
100421468 1.5865604 1.7224375 0.4939940 0.96545465 1.4723008 1.3743572
100421506 -0.3087191 -0.1825503 0.2223035 -1.17995959 -1.1799596 -1.1799596
100421569 -1.1799596 0.1388591 -0.5498155 0.25944886 0.1907372 0.3805386
100421595 0.9300495 1.2752303 1.5154098 1.71152986 1.6965706 1.6950458
100421794 2.3783148 3.1726598 3.3378693 2.89359431 2.3527350 2.5408365
100422106 1.5865604 1.5160931 1.7408358 2.01104359 0.6852693 1.5958643
100422338 2.1594038 1.8155036 2.5853153 2.14030931 2.0616401 1.7878451
100422546 0.6223185 1.5160931 0.7225377 -0.28772542 1.4723008 -1.1799596
100422561 4.3366447 3.9849237 3.0315999 3.97667776 3.6789428 4.1239580
10043 5.5745447 5.7806802 5.9392444 6.07694306 5.8006415 5.8814911
10044 3.2055847 1.9853565 1.5154098 1.43740687 -1.1799596 0.9613831
10045 -1.1799596 1.4006825 -1.1799596 -0.66593927 -1.1799596 2.0350381
10046 1.3990782 1.6229513 1.6325213 1.43740687 -1.1799596 0.7924887
10048 6.4759280 6.5697659 6.2771959 6.65470608 6.4469054 6.5180715
10049 5.6915503 6.0194607 5.4579625 5.48659339 5.5216869 5.8113786
100499177 3.3157427 2.9444342 2.9436725 3.75236915 2.9400767 3.3083706
100499483 0.9300495 0.8161526 0.7225377 0.25944886 -0.1392054 0.3805386
1005 1.7524570 0.4015476 0.9197791 0.25944886 0.4590900 2.4864949
100500719 0.2306366 0.9859334 0.9197791 0.25944886 0.4590900 0.3805386
100505385 2.2730075 3.1726598 2.8976140 3.03330897 3.4516869 1.7878451
100505501 0.9300495 1.6229513 0.9197791 2.01104359 1.4723008 2.4864949
100505538 2.0360840 1.5160931 0.7225377 0.81865788 1.2066339 1.3743572
100505549 0.2306366 0.4015476 -1.1799596 -1.17995959 -1.1799596 -1.1799596
100505573 5.5295293 5.8317027 5.6368295 5.72681917 5.7006276 5.7434883
100505576 4.4129876 4.5014557 3.9248339 3.24933208 3.1056498 3.3393630
100505616 0.2306366 -0.5967237 0.2223035 0.47086032 -0.5677001 0.6011676
100505624 0.9300495 1.2752303 1.5154098 1.43740687 1.9786637 1.7878451
100505635 -0.3087191 0.4015476 -0.5498155 0.01164872 0.1907372 -1.1799596
100505641 2.2730075 2.0633286 2.5259996 2.89359431 2.0616401 2.3099909
100505648 3.3157427 1.4006825 2.9883059 3.35964920 3.2184424 3.8503897
100505678 1.7524570 1.9029283 2.3995092 2.42038468 2.1401026 2.4300260
100505696 3.9146735 3.6223948 4.0977519 4.10892104 4.1462976 4.0320961
100505715 1.3990782 0.6236929 1.0932690 1.86904545 1.2066339 0.1199694
100505738 2.8133734 3.2074191 2.3318465 1.71152986 1.5887892 1.8750344
100505741 0.2306366 1.5160931 0.2223035 0.81865788 0.8807480 0.1199694
100505758 2.6547274 3.0630553 3.7544086 3.51075905 3.3563023 3.7843527
100505761 2.8133734 1.9853565 2.1074408 2.36855130 2.4788611 3.3083706
100505771 4.2281324 3.7922992 3.5611201 3.41179767 2.9400767 2.6925636
100505783 -1.1799596 -1.1799596 -1.1799596 -1.17995959 -1.1799596 -1.1799596
100505806 2.3783148 2.8595633 3.1144749 2.73888410 3.1818160 2.6925636
100505812 -1.1799596 -0.5967237 -1.1799596 -0.66593927 1.2066339 -0.6071774
100505832 -1.1799596 -0.1825503 1.0932690 1.09868443 1.0528731 -0.1982688
100505854 -1.1799596 1.2752303 0.2223035 1.33309273 1.3455739 0.7924887
100505876 5.7218801 5.8261219 5.5276618 5.48659339 5.6612596 5.7492695
100505894 2.0360840 1.1378211 2.5259996 1.71152986 3.1442355 2.3712565
100505933 0.6223185 0.8161526 0.4939940 0.25944886 -0.5677001 1.4893578
100505994 0.6223185 -0.1825503 0.7225377 0.81865788 0.6852693 2.2460077
100506020 -1.1799596 0.4015476 1.0932690 0.47086032 0.1907372 0.3805386
100506033 4.7826679 4.8261621 4.5928899 4.97376371 4.7319468 4.7026667
100506054 0.2306366 -0.5967237 -0.1127069 -1.17995959 0.1907372 -0.6071774
100506068 0.6223185 -0.1825503 -0.1127069 -0.28772542 -0.5677001 -0.1982688
100506070 0.2306366 -0.1825503 0.4939940 0.96545465 1.2066339 0.9613831
100506083 0.2306366 0.9859334 0.7225377 1.71152986 1.2066339 0.9613831
100506100 0.2306366 -0.1825503 -1.1799596 0.25944886 -1.1799596 0.1199694
100506119 0.6223185 0.4015476 0.4939940 -0.28772542 0.1907372 0.7924887
100506127 -0.3087191 1.2752303 2.8008361 3.03330897 2.5948417 2.1790548
100506142 0.6223185 0.4015476 -1.1799596 -0.66593927 -0.1392054 -0.1982688
100506144 1.1835410 1.5160931 0.2223035 1.43740687 0.1907372 0.7924887
100506161 1.7524570 0.4015476 1.7408358 1.94179085 0.1907372 1.5958643
100506211 3.1471821 1.9029283 2.6422882 3.66911723 3.1442355 1.4893578
100506235 0.9300495 1.5160931 2.0241488 1.62581519 1.7968566 1.9572533
100506258 -1.1799596 -1.1799596 1.2481176 1.09868443 -0.5677001 1.4893578
100506282 2.5683434 1.6229513 2.9883059 1.86904545 2.6495131 2.4300260
100506286 0.2306366 0.4015476 -0.1127069 0.96545465 0.4590900 1.3743572
100506302 1.3990782 1.8155036 1.8415831 0.47086032 1.6965706 1.1125612
100506321 1.1835410 0.1388591 0.7225377 1.94179085 0.8807480 1.4893578
100506325 -1.1799596 -0.5967237 0.2223035 0.65521448 1.2066339 1.6950458
100506343 1.1835410 -0.1825503 1.5154098 1.53468449 1.3455739 1.2493893
100506365 4.9962477 5.4442634 5.5048008 5.60891099 5.1282049 5.5714269
100506368 -1.1799596 1.5160931 0.4939940 0.25944886 -0.1392054 -1.1799596
100506380 2.6547274 1.4006825 3.1144749 3.69038491 2.8955340 3.3393630
100506392 3.6032624 3.4000333 4.2521449 4.56546502 4.2022290 4.6293257
100506394 -1.1799596 0.4015476 -1.1799596 1.33309273 1.4723008 1.1125612
100506411 1.1835410 1.6229513 2.2608534 1.22064417 1.8906221 -0.6071774
100506433 0.2306366 1.9853565 2.1861854 2.47042018 2.0616401 3.2766978
100506462 -0.3087191 0.6236929 -0.1127069 -1.17995959 -0.5677001 0.9613831
100506469 2.9562893 2.5156937 3.6471470 3.73200221 3.7804193 3.7385866
100506495 0.2306366 0.8161526 0.4939940 0.01164872 -0.1392054 1.3743572
100506504 1.3990782 2.1373019 1.9357519 2.31478603 1.6965706 2.7855178
100506540 1.3990782 -0.1825503 1.7408358 1.62581519 1.5887892 1.6950458
100506581 2.9562893 2.5701266 2.5853153 2.51877837 2.2852806 3.1772805
100506606 -0.3087191 -0.5967237 0.7225377 1.62581519 -1.1799596 0.6011676
100506658 1.3990782 0.9859334 2.2608534 1.53468449 0.4590900 2.7397892
100506668 2.6547274 2.5701266 1.9357519 3.55780534 2.7021882 3.3083706
100506686 1.5865604 1.6229513 0.2223035 1.43740687 0.1907372 2.0350381
100506691 -0.3087191 -1.1799596 0.2223035 -1.17995959 -0.1392054 -1.1799596
100506696 0.6223185 0.4015476 0.7225377 -0.28772542 1.2066339 0.6011676
100506697 0.9300495 1.4006825 0.4939940 0.65521448 -0.1392054 0.3805386
100506710 4.2560352 4.7338035 4.4723767 5.09035048 3.9203891 5.0504579
100506713 -1.1799596 0.8161526 0.2223035 -0.28772542 0.1907372 0.3805386
100506725 4.4854929 4.1187666 4.1961658 4.81822557 3.8752247 4.2434664
100506731 0.6223185 1.4006825 0.2223035 0.96545465 0.8807480 0.7924887
100506757 1.1835410 1.2752303 1.2481176 1.09868443 -0.5677001 1.9572533
100506779 -0.3087191 -1.1799596 -0.1127069 -0.28772542 -0.5677001 -0.1982688
100506804 -1.1799596 -0.5967237 0.2223035 0.01164872 0.4590900 0.6011676
100506826 0.9300495 1.5160931 2.0241488 1.71152986 1.8906221 1.9572533
100506844 1.7524570 1.6229513 0.9197791 2.42038468 1.6965706 3.1069799
100506866 4.6204100 4.6604347 6.5320938 6.12459564 6.5257420 6.4487064
100506881 2.1594038 1.5160931 1.0932690 1.86904545 1.8906221 2.2460077
100506885 0.9300495 1.4006825 -1.1799596 -1.17995959 0.4590900 0.1199694
100506911 -0.3087191 1.2752303 -0.1127069 0.47086032 1.0528731 -1.1799596
100506922 -1.1799596 -1.1799596 -0.1127069 -0.66593927 -0.5677001 -0.1982688
100506930 2.9562893 2.8595633 2.5259996 3.71134362 3.8521010 3.3393630
100506994 0.2306366 1.5160931 1.0932690 0.65521448 0.6852693 0.1199694
100507003 0.2306366 0.4015476 -1.1799596 -0.28772542 -1.1799596 -0.1982688
100507032 -1.1799596 -1.1799596 -1.1799596 -1.17995959 -1.1799596 -1.1799596
100507034 3.6876400 3.1005230 3.0736324 3.41179767 3.2184424 2.7397892
100507050 0.6223185 -1.1799596 -0.1127069 -0.28772542 -0.1392054 -1.1799596
100507053 -1.1799596 -1.1799596 -1.1799596 -1.17995959 -1.1799596 -0.1982688
100507057 -1.1799596 0.4015476 -0.1127069 -1.17995959 -0.1392054 -1.1799596
100507062 -1.1799596 -0.1825503 -0.1127069 0.25944886 -0.1392054 0.1199694
100507071 0.2306366 -0.5967237 1.0932690 0.47086032 0.8807480 1.4893578
100507156 2.9562893 3.5964030 3.5312655 3.19083997 3.5697850 2.7397892
100507171 1.7524570 1.6229513 2.9883059 3.27771222 2.1401026 3.5918741
100507173 0.2306366 -0.5967237 -1.1799596 0.81865788 -1.1799596 1.6950458
100507178 1.5865604 0.4015476 -0.5498155 0.65521448 -0.1392054 0.7924887
100507244 2.1594038 1.6229513 1.2481176 1.79243632 1.0528731 1.9572533
100507246 3.8428934 3.8594059 3.8299257 4.70784047 4.0681806 3.8927926
100507250 0.2306366 -0.5967237 0.2223035 -0.28772542 1.0528731 -0.6071774
100507254 2.9562893 2.2747582 0.9197791 1.53468449 0.6852693 -0.1982688
100507266 -1.1799596 0.1388591 1.8415831 1.22064417 1.2066339 1.2493893
100507290 4.1706537 4.3695537 4.2882929 5.27764933 4.6404339 4.7949925
100507291 -1.1799596 -0.5967237 -1.1799596 0.96545465 0.8807480 -0.6071774
100507303 2.0360840 2.0633286 2.1074408 2.31478603 2.2145170 2.7397892
100507308 2.4764556 2.2747582 0.9197791 0.65521448 1.2066339 1.3743572
100507316 -1.1799596 -0.1825503 0.4939940 -0.66593927 -0.1392054 0.3805386
100507331 1.9012292 2.2747582 1.9357519 2.31478603 2.3527350 1.5958643
100507347 2.4764556 1.9853565 1.7408358 2.07712374 1.2066339 1.3743572
100507373 1.9012292 2.2076665 2.1861854 1.94179085 2.1401026 2.6925636
100507392 1.3990782 1.5160931 -1.1799596 -0.28772542 -0.5677001 -0.6071774
100507398 0.2306366 0.8161526 -1.1799596 0.25944886 0.1907372 1.2493893
100507401 -0.3087191 0.4015476 1.0932690 1.43740687 0.8807480 1.2493893
100507420 0.2306366 0.4015476 -1.1799596 -0.28772542 -1.1799596 -0.1982688
100507433 1.1835410 1.9853565 2.1861854 2.65482715 1.3455739 2.3712565
100507436 -0.3087191 -1.1799596 -0.1127069 0.81865788 0.1907372 0.3805386
100507437 0.2306366 0.4015476 1.8415831 1.33309273 2.0616401 0.7924887
100507459 0.6223185 0.4015476 0.9197791 0.81865788 1.6965706 2.0350381
100507463 0.6223185 0.4015476 -0.5498155 -0.28772542 -0.5677001 -0.6071774
100507487 0.6223185 1.5160931 1.3879451 1.53468449 -0.1392054 2.6437397
100507495 4.3366447 3.5699343 3.8781601 4.17075831 4.0066854 4.7263080
100507516 -1.1799596 -0.1825503 -0.5498155 0.01164872 0.4590900 0.3805386
100507551 1.1835410 -0.1825503 0.7225377 0.65521448 0.4590900 0.3805386
100507557 1.9012292 1.7224375 -0.1127069 0.65521448 0.6852693 1.9572533
100507564 0.9300495 0.9859334 1.2481176 1.86904545 0.8807480 2.8728436
100507567 -0.3087191 -0.1825503 -0.5498155 -1.17995959 0.1907372 -0.1982688
100507588 0.2306366 0.9859334 0.2223035 0.01164872 0.1907372 0.3805386
100507599 -1.1799596 0.4015476 0.9197791 1.22064417 -0.1392054 0.3805386
100507602 4.5318814 4.4731687 4.0977519 4.44550737 4.0881099 4.6418111
100508120 0.2306366 1.2752303 1.2481176 1.09868443 0.4590900 2.0350381
10051 6.5168656 6.2242758 6.9482372 6.83739742 6.8189693 5.2992944
10052 1.9012292 1.6229513 1.3879451 2.25893925 1.9786637 1.9572533
100526737 2.0360840 1.5160931 1.9357519 2.01104359 1.4723008 1.5958643
100526760 1.9012292 0.4015476 2.0241488 2.20084327 1.6965706 1.8750344
100526820 0.9300495 0.6236929 0.4939940 0.01164872 0.6852693 0.3805386
100526835 3.6876400 3.5429708 5.1495110 5.27060615 4.5570915 4.4563437
100527978 -0.3087191 -0.5967237 0.2223035 -0.28772542 -0.5677001 -0.6071774
100529145 1.9012292 2.4591261 0.7225377 1.22064417 0.6852693 2.5408365
100529215 -0.3087191 1.1378211 0.2223035 1.22064417 1.0528731 0.6011676
100532746 3.9492672 3.8810986 3.8781601 3.53447396 3.8752247 3.8503897
100533106 -0.3087191 -0.1825503 0.4939940 0.01164872 -0.1392054 0.6011676
100533182 -1.1799596 0.4015476 0.4939940 -0.66593927 -0.1392054 0.9613831
100533619 -1.1799596 -1.1799596 -1.1799596 -0.28772542 -1.1799596 -1.1799596
100533629 1.1835410 -0.1825503 0.9197791 0.25944886 0.1907372 0.1199694
100533695 -0.3087191 0.9859334 0.2223035 0.47086032 1.2066339 0.3805386
100533970 1.1835410 0.4015476 0.4939940 1.09868443 1.5887892 1.8750344
100534593 0.6223185 1.1378211 -0.5498155 -0.28772542 0.8807480 1.6950458
10054 6.4337948 6.3305826 5.7642133 6.01928298 5.7945897 6.0408184
10056 6.0983757 6.1322995 5.7769904 5.74725889 5.8364287 5.8549265
10057 7.0545373 7.0816578 7.5077219 7.49566922 7.5566602 7.7213720
10058 5.1822479 5.3306110 5.1593036 5.17577125 5.4694615 6.6382162
10059 7.1505717 7.1435454 7.2663046 7.33108332 7.4040395 6.4163698
1006 4.6834144 4.1003898 4.4244559 4.02769997 4.5135424 4.1934556
10060 3.5136417 3.5964030 4.6072701 4.63292642 4.2560728 4.7837697
100616256 -0.3087191 -1.1799596 -0.1127069 0.01164872 0.4590900 0.6011676
10062 1.1835410 1.1378211 0.4939940 0.96545465 1.0528731 1.9572533
10063 4.6417187 4.2907045 3.8781601 4.17075831 4.2735833 4.6541893
100652739 0.6223185 -0.5967237 -1.1799596 0.65521448 0.6852693 0.3805386
100652758 0.2306366 0.8161526 1.5154098 0.25944886 1.7968566 0.3805386
100652846 0.2306366 0.6236929 2.6970965 2.65482715 2.2852806 1.7878451
10066 7.0305056 6.8233031 6.5692955 6.47947498 6.8039845 6.8386094
10067 6.0983757 5.9848154 5.8392319 5.91473715 6.0496255 6.1409662
10068 3.8792298 3.5964030 3.1144749 2.47042018 3.5697850 3.4850613
10069 2.6547274 3.4297762 3.3378693 3.94163208 3.0660037 3.9339849
10072 4.9962477 5.1368474 4.6633991 4.73879273 4.9436381 3.8717469
10073 4.0798995 3.9647478 3.7017744 3.60336577 3.7557114 3.9541481
10075 8.4585951 8.5187641 8.7992537 8.91397218 8.8968261 8.9099245
10076 3.9830508 4.0438116 3.6747193 3.81179963 3.9203891 4.2269880
10077 -1.1799596 -0.1825503 0.7225377 0.01164872 1.2066339 2.4300260
100775107 1.1835410 0.8161526 1.7408358 0.81865788 0.6852693 0.7924887
10078 4.4375632 5.1187009 4.5488687 4.77905577 4.5570915 4.5253512
10079 5.2806139 5.1095413 4.9037173 4.78894837 5.1088255 5.3534351
1008 4.5768247 4.9023936 4.4565793 4.20071061 4.2735833 4.1934556
10081 4.7826679 5.0533279 5.0790361 5.34625217 5.1848286 5.1673379
10082 6.2448149 6.3345189 6.9197147 6.41386338 6.7857949 6.6598624
100820829 4.5987819 5.0910458 5.4893564 5.60331559 5.2213795 4.4421371
10084 5.4350520 5.1278026 4.6072701 4.93864630 5.1185478 4.4421371
100847074 1.7524570 2.2747582 2.1074408 2.07712374 1.6965706 2.4300260
10085 9.7243235 9.6161614 8.6343914 8.14205861 8.6197252 8.7366932
100852407 0.6223185 0.8161526 1.2481176 1.94179085 1.3455739 1.7878451
100861412 -0.3087191 0.8161526 -0.1127069 0.81865788 -0.1392054 1.4893578
100861548 4.1996793 4.5291988 4.0772371 3.77245256 4.3744044 4.9026647
100862671 0.2306366 0.1388591 0.7225377 0.25944886 0.8807480 0.3805386
10087 6.4580214 6.2906170 6.4783454 6.40102040 6.1806970 6.5044627
100873257 -1.1799596 -0.5967237 4.4880030 4.07697920 4.2022290 3.9339849
100873333 2.6547274 2.5156937 2.9883059 2.65482715 2.6495131 2.1790548
100873790 2.8133734 3.5699343 3.4696364 3.16067988 3.5697850 2.7855178
100873949 0.6223185 1.4006825 0.7225377 0.47086032 0.4590900 0.7924887
100873952 -1.1799596 -0.1825503 0.2223035 0.47086032 -0.1392054 -1.1799596
100873965 1.3990782 1.4006825 1.5154098 2.20084327 1.4723008 1.3743572
100874006 1.9012292 0.9859334 0.7225377 1.09868443 1.6965706 1.7878451
100874008 0.2306366 0.8161526 1.2481176 1.33309273 1.2066339 1.1125612
100874014 2.1594038 2.1373019 2.6422882 2.73888410 1.5887892 3.2111865
100874058 2.0360840 1.6229513 0.7225377 1.09868443 1.4723008 2.1790548
100874080 0.2306366 0.4015476 1.8415831 1.43740687 1.2066339 0.6011676
100874097 1.1835410 2.5701266 0.9197791 1.79243632 1.6965706 1.3743572
100874201 0.2306366 -0.5967237 0.7225377 -0.28772542 -0.1392054 0.3805386
100874212 1.1835410 -0.5967237 0.9197791 0.81865788 0.6852693 0.3805386
100874217 0.9300495 0.6236929 1.2481176 1.09868443 1.3455739 0.9613831
100874235 0.6223185 0.8161526 1.6325213 1.09868443 1.2066339 1.1125612
100874261 1.3990782 -0.1825503 1.6325213 1.22064417 0.8807480 1.9572533
100874291 0.2306366 -1.1799596 1.6325213 1.22064417 1.2066339 -1.1799596
100874362 1.5865604 1.1378211 0.2223035 1.43740687 1.3455739 2.1088427
100874523 2.3783148 1.9029283 2.0241488 2.07712374 1.3455739 1.3743572
100885775 2.3783148 1.7224375 4.7041077 4.93864630 4.2560728 3.9339849
100885776 1.1835410 -0.5967237 0.4939940 0.65521448 0.4590900 1.4893578
100885848 4.8934066 4.9948351 5.8573925 5.82623945 5.5720877 4.8061286
1009 10.2530209 10.0903990 9.5555589 9.20421455 9.6422718 8.3359054
10090 4.2834086 4.0438116 3.3719564 3.53447396 3.7804193 3.9135358
10092 8.3067931 8.3656081 7.4309779 7.62831340 7.3960676 7.0241013
10093 7.7402266 7.9194625 6.8669086 6.85633889 7.0008066 6.4803340
10094 3.9492672 4.4588144 3.0315999 3.24933208 3.5697850 3.5125150
10095 6.6904979 6.8755697 4.8073620 5.02488727 5.1755443 4.9735224
10097 9.2065023 9.3491607 8.2923187 7.95152576 8.3422234 7.8125453
10098 6.5168656 6.9338141 5.8084468 5.87349305 6.1667079 5.6476931
10099 7.8541441 7.9772547 7.7889029 7.34288338 7.7011537 8.1830538
100996246 3.7280475 2.8151790 2.6970965 2.36855130 2.5380165 1.7878451
100996251 0.9300495 1.1378211 2.1861854 0.47086032 0.8807480 1.1125612
100996307 0.9300495 2.0633286 1.7408358 2.96514227 2.2145170 2.4300260
100996384 1.7524570 1.9853565 1.9357519 1.33309273 2.2852806 1.6950458
100996419 -0.3087191 0.4015476 1.2481176 0.25944886 -0.1392054 0.6011676
100996485 2.1594038 1.5160931 1.2481176 1.43740687 1.0528731 1.3743572
100996539 0.6223185 -0.1825503 1.6325213 0.25944886 0.1907372 0.6011676
100996579 0.2306366 -0.1825503 -0.1127069 1.43740687 -0.5677001 1.3743572
100996696 3.8428934 2.9850679 3.8051900 3.03330897 3.0252372 3.6424542
100996842 2.0360840 2.5701266 2.5853153 1.33309273 1.3455739 3.1425584
100996851 0.2306366 0.4015476 -1.1799596 -1.17995959 1.2066339 -1.1799596
100996939 1.5865604 0.9859334 0.9197791 1.22064417 1.0528731 0.9613831
101 -0.3087191 1.6229513 0.4939940 1.22064417 1.2066339 1.4893578
1010 0.9300495 1.4006825 0.9197791 0.96545465 0.8807480 2.0350381
10100 4.2560352 4.6093638 5.3423701 5.04978536 5.1940535 3.9339849
10101 4.7437820 5.0340926 5.0790361 5.07426104 5.0388710 5.5384197
10102 4.9627753 5.0243779 4.7822330 4.93864630 4.8992069 4.7610589
10103 0.2306366 -1.1799596 -0.1127069 -0.28772542 0.4590900 1.7878451
10105 6.5510535 6.6759636 7.3327158 7.34120355 7.2599407 6.6962308
10106 7.3675356 7.1209324 6.5396113 6.88429282 6.6211577 7.4958026
101060200 2.7362300 2.5156937 2.9436725 3.03330897 3.1442355 3.2766978
101060691 1.3990782 1.9029283 2.4641403 2.51877837 2.5380165 2.0350381
10109 9.1275166 9.3275984 8.1187493 7.97879175 8.2412713 8.1141614
10112 5.1528658 4.9234541 5.5575904 5.46824107 5.3589720 2.7855178
10113 6.4818478 6.3656288 6.1698745 6.52161484 6.4849844 6.9532412
10114 7.5075931 7.8021286 7.9342949 8.03909634 7.8960431 7.8852302
101154753 -0.3087191 -0.5967237 0.4939940 0.25944886 -0.1392054 -0.1982688
10116 7.7027003 7.7588448 7.9127473 8.31548090 7.7488825 7.5364899
10117 0.2306366 1.6229513 1.2481176 1.22064417 0.4590900 -0.1982688
1012 8.9445768 8.7964268 7.6377452 7.46668733 7.9350790 8.0252314
10121 6.6750792 6.4073383 6.2590956 6.42342114 6.2706440 6.0074379
10123 7.2265766 7.5153066 6.0113039 6.58260295 6.1806970 5.7142299
101241892 4.2834086 4.4731687 5.0686812 5.13756940 5.4770390 4.7724590
10125 0.2306366 0.6236929 0.2223035 0.25944886 1.3455739 1.8750344
10126 3.2617148 3.2074191 3.0315999 3.41179767 2.8495721 3.3697036
THA_24_C6 DOX_24_C6 NUTL_24_C6 DMSO_24_C6 LPS_24_C6 TNFa_24_C6
100 2.4211503 2.724029946 3.3880733 2.3984911 2.5585190 2.2595152
1000 11.3452045 10.226420422 10.8864740 10.8498502 11.1056589 11.0798622
10000 6.2749512 5.544881720 5.6668465 5.6507467 6.1056970 5.7289914
10001 4.2893738 4.773292175 4.5062305 4.6420513 4.3733850 4.5928872
10003 3.6066594 5.090555835 4.6020070 4.4095589 3.0018634 4.1736453
100037417 -1.1799596 -1.179959587 -1.1799596 -1.1799596 -1.1799596 -1.1799596
100049716 2.9146128 2.030261185 2.5879313 3.2827420 2.5585190 2.1222126
10005 3.9245949 3.706333441 4.1191230 4.1322646 4.0433088 3.6568167
10006 6.8469410 5.612556871 6.4114348 6.3869110 6.6790740 6.6467916
10007 4.7509108 4.802564246 5.0433436 4.8607960 4.4750857 4.0465825
10009 4.8769091 4.109123768 4.8672888 4.9151155 5.1765992 4.9980461
100093630 6.2647416 5.464748399 5.9477204 6.7822948 6.9782684 6.2328288
1001 6.8123105 7.712857919 7.7633088 6.7871575 6.6489233 7.1556921
10010 5.3032419 5.226359454 5.2262302 5.0344319 5.3036813 5.8480882
100101267 2.4211503 1.264961280 2.3564257 2.9770790 2.3169420 2.9286200
100101467 4.3677829 1.927716173 4.3883706 4.3318194 3.6841998 4.0081241
10011 5.5247555 5.215518171 6.5889019 6.2026504 5.7876609 5.3605492
100113386 0.6168287 0.643779945 0.1504081 1.2013194 -1.1799596 -0.1909017
100113397 0.3339576 1.086066457 -0.1729232 0.9470091 1.1749931 0.9729083
100113407 4.8902531 5.975907567 3.7405039 2.8340334 4.1700362 3.8861863
100125288 3.1982517 3.986943348 3.0427771 2.9073284 1.7945007 2.3235581
100127983 2.3456646 0.643779945 2.7400380 2.0557626 1.5177474 2.7064382
100128006 3.5062377 1.424100292 2.8332056 3.1681260 1.9152199 3.2909092
100128016 0.8532250 2.300293064 0.6374369 -1.1799596 1.5177474 0.9729083
100128025 0.6168287 3.099127223 -0.1729232 -1.1799596 0.0660987 0.6117382
100128054 2.4928820 -0.470674271 1.0008962 2.3984911 0.7245629 0.9729083
100128071 0.6168287 1.424100292 -1.1799596 -0.2986890 -0.4263872 -1.1799596
100128191 1.2342579 3.434442661 -0.5903023 0.2444217 0.0660987 0.9729083
100128252 3.4351835 1.264961280 2.3564257 2.9073284 2.6308214 2.2595152
100128379 -1.1799596 0.002725047 -0.1729232 0.9470091 0.7245629 1.3867197
100128398 5.2211415 3.471366026 5.1193022 4.6633657 4.4553111 4.7984184
100128494 2.9659295 3.234162890 3.4482186 3.1681260 2.5585190 2.3235581
100128569 2.1816994 3.276504968 1.6394368 2.5887490 2.1300186 1.9704550
100128640 -0.0182464 3.610277949 0.1504081 -1.1799596 -1.1799596 -0.1909017
100128682 -1.1799596 -1.179959587 -1.1799596 0.2444217 -1.1799596 -1.1799596
100128731 6.1694504 7.251190024 6.2518499 6.4434483 6.7086075 6.2820120
100128766 2.8061557 2.215776345 2.3564257 3.1072120 3.0018634 2.1924967
100128782 2.1816994 2.596131703 1.6394368 2.3984911 0.7245629 1.8008369
100128822 -1.1799596 -1.179959587 -1.1799596 -1.1799596 -1.1799596 -1.1799596
100128833 2.5612155 2.455782208 2.4768172 2.6752278 2.8282380 2.7994554
100128881 1.3926676 2.030261185 2.4178769 0.6380690 2.4020422 2.1222126
100128893 5.1340855 5.876176779 4.6411845 5.7437309 3.8140910 4.2904175
100129001 0.3339576 1.086066457 1.1532103 0.9470091 1.5177474 0.9729083
100129013 1.2342579 -1.179959587 -1.1799596 0.9470091 2.0266132 1.7079116
100129029 1.0562845 0.358569594 -0.1729232 0.9470091 0.7245629 0.8035960
100129060 3.1097599 0.881806193 3.3253111 3.0436123 2.4824010 2.6070078
100129075 0.8532250 3.434442661 2.0024510 0.9470091 1.6627501 1.7079116
100129195 2.4211503 4.285348538 2.8776262 3.3889186 2.7653869 2.5002141
100129203 -0.4852000 5.268927823 -0.1729232 1.2013194 1.1749931 -0.1909017
100129250 2.5612155 3.190540430 2.0805352 1.7716235 2.4824010 1.7079116
100129259 1.5353918 0.002725047 0.1504081 1.4174479 0.7245629 0.1288280
100129361 5.4635842 4.061485948 5.8283229 5.4197694 6.1183269 5.8150518
100129398 -0.0182464 0.358569594 0.8305822 1.4174479 1.5177474 0.9729083
100129434 -0.0182464 -1.179959587 -1.1799596 -1.1799596 0.0660987 -0.1909017
100129461 0.3339576 1.424100292 1.4167113 1.2013194 1.1749931 1.9704550
100129484 2.0921541 2.215776345 1.9198974 0.9470091 1.7945007 1.1244211
100129550 4.4779426 5.237119877 4.9734322 4.5304834 4.3733850 4.4709319
100129583 1.0562845 2.596131703 -1.1799596 -1.1799596 -1.1799596 0.3903949
100129662 1.5353918 2.030261185 -0.1729232 0.2444217 -1.1799596 0.1288280
100129707 0.6168287 1.086066457 0.4143772 0.2444217 1.6627501 1.3867197
100129716 1.0562845 1.086066457 1.1532103 0.2444217 0.7245629 0.3903949
100129726 -0.0182464 2.783964045 1.1532103 1.7716235 0.7245629 0.3903949
100129774 4.2485111 3.471366026 4.0431548 3.9360671 4.2177662 4.4709319
100129781 1.0562845 0.643779945 2.0805352 0.9470091 0.9672859 1.1244211
100129792 0.6168287 0.002725047 0.1504081 -0.2986890 -0.4263872 -1.1799596
100129794 2.7487081 -1.179959587 1.7391057 1.7716235 2.1300186 2.1924967
100129842 0.8532250 0.358569594 1.0008962 1.9206769 -1.1799596 -0.1909017
100129917 4.0487924 2.215776345 1.5323679 2.5887490 2.0266132 1.5019138
100129924 2.3456646 2.896843124 2.8776262 2.7568146 1.6627501 2.5545989
100129940 0.8532250 -1.179959587 0.1504081 1.2013194 1.7945007 1.2615233
100129995 0.6168287 0.002725047 -1.1799596 -1.1799596 -1.1799596 -1.1799596
10013 5.9576149 6.038759548 5.4849917 5.9913619 5.5473108 5.3982136
100130111 -0.0182464 -1.179959587 0.4143772 1.4174479 0.0660987 0.3903949
100130197 -0.0182464 0.358569594 -0.5903023 -1.1799596 0.7245629 0.3903949
100130335 2.3456646 2.527662983 2.9625635 2.2930430 2.4824010 2.7064382
100130348 3.0633916 2.661497670 3.3253111 3.3889186 3.3405128 2.9286200
100130357 -1.1799596 -1.179959587 -0.1729232 0.6380690 -0.4263872 -1.1799596
100130466 2.8614032 3.471366026 2.6910963 2.6752278 3.2967354 3.2253666
100130476 -1.1799596 1.697772828 -1.1799596 -1.1799596 -1.1799596 -1.1799596
100130522 1.0562845 3.643012217 0.8305822 -0.2986890 1.5177474 0.6117382
100130550 0.6168287 0.358569594 1.4167113 -0.2986890 1.1749931 0.8035960
100130564 2.3456646 3.507367934 2.7400380 2.6752278 3.0018634 2.7064382
100130581 1.8944390 3.001527621 1.9198974 2.1792755 2.2265055 1.2615233
100130691 2.0921541 0.358569594 1.0008962 2.2930430 2.0266132 2.3235581
100130705 1.5353918 3.276504968 1.4167113 1.4174479 1.6627501 1.5019138
100130748 -0.4852000 1.424100292 2.0024510 -0.2986890 0.0660987 0.9729083
100130750 -1.1799596 -1.179959587 0.1504081 -1.1799596 -1.1799596 -1.1799596
100130855 1.6652589 1.817320838 1.0008962 0.9470091 1.5177474 1.6085863
100130958 0.6168287 2.215776345 -0.1729232 0.2444217 0.0660987 0.8035960
100131017 -1.1799596 -1.179959587 -1.1799596 -1.1799596 -1.1799596 -1.1799596
100131031 2.1816994 0.643779945 1.9198974 2.7568146 1.1749931 3.0846095
100131033 1.5353918 2.300293064 1.8323317 1.6053771 1.5177474 1.5019138
100131067 2.4211503 2.125998621 1.6394368 1.4174479 1.5177474 0.9729083
100131089 1.8944390 0.643779945 1.9198974 1.7716235 0.4325756 1.5019138
100131094 1.5353918 0.358569594 1.2909683 -1.1799596 0.9672859 0.1288280
100131138 2.7487081 2.030261185 2.2922401 3.2827420 3.5034363 3.4136857
100131187 1.6652589 2.661497670 1.2909683 0.9470091 1.5177474 1.8008369
100131193 0.3339576 1.424100292 1.2909683 2.3984911 1.3565253 1.3867197
100131211 3.4351835 1.927716173 2.6404358 2.8340334 3.3405128 3.1211071
100131213 1.0562845 4.423653342 -0.5903023 0.2444217 0.7245629 0.1288280
100131471 2.4928820 0.881806193 2.2250653 2.1792755 2.6308214 1.8881373
100131656 3.5739560 4.346252358 2.3564257 2.9770790 3.2515880 3.2253666
100131685 1.8944390 2.030261185 2.5334437 1.9206769 2.0266132 2.7536963
100131691 2.3456646 4.037063876 2.6910963 2.7568146 2.3169420 2.5545989
100131740 1.6652589 1.086066457 -0.1729232 1.2013194 0.9672859 -0.6022826
100131801 2.6888776 4.681734237 3.2596939 3.6673306 3.5034363 3.1567040
100131827 -1.1799596 0.643779945 1.0008962 -1.1799596 -1.1799596 0.6117382
100131828 0.6168287 0.002725047 -0.1729232 -1.1799596 -0.4263872 -0.6022826
100131940 -0.0182464 0.881806193 1.5323679 0.2444217 1.3565253 0.6117382
100132074 -1.1799596 1.264961280 -1.1799596 -1.1799596 -0.4263872 -1.1799596
100132086 -0.0182464 0.358569594 0.6374369 0.2444217 0.0660987 0.6117382
100132116 6.4961684 7.647814020 7.5805609 8.1961517 7.7508762 7.8561058
100132126 0.3339576 -0.470674271 -0.1729232 -0.2986890 1.1749931 0.1288280
100132215 1.5353918 2.724029946 1.2909683 0.2444217 0.0660987 0.8035960
100132537 1.2342579 2.215776345 2.0805352 2.3984911 1.5177474 0.9729083
100132609 1.7843950 0.002725047 1.8323317 0.6380690 1.1749931 1.1244211
100132659 -0.0182464 0.643779945 0.6374369 0.2444217 -0.4263872 0.1288280
100132891 -1.1799596 -1.179959587 0.8305822 -1.1799596 -1.1799596 0.3903949
100132972 0.8532250 0.002725047 0.8305822 -0.2986890 -1.1799596 -0.1909017
100133234 0.8532250 1.567416154 0.6374369 -0.2986890 0.9672859 0.9729083
100133286 0.3339576 0.002725047 0.8305822 -1.1799596 1.5177474 0.3903949
100133315 -1.1799596 1.424100292 1.4167113 -0.2986890 1.3565253 0.9729083
100134934 1.5353918 0.643779945 1.2909683 1.2013194 1.6627501 0.9729083
10014 6.4518584 6.327623244 6.4597172 6.5155417 5.9233966 6.0270388
100144603 2.5612155 1.424100292 2.7400380 1.7716235 3.0018634 1.8881373
100144748 1.3926676 6.424950601 3.8109154 0.2444217 1.1749931 1.6085863
10015 7.5630664 6.551040266 7.4487533 7.4085697 7.6695418 7.4616853
10016 5.4365526 5.330514136 5.4849917 5.3425930 5.6979516 5.1733787
100170229 1.2342579 0.358569594 1.1532103 0.9470091 0.7245629 0.1288280
100170841 4.0723986 7.387830756 3.5339814 4.3318194 4.3087352 4.3377074
10018 3.3982995 6.471257903 3.9629629 3.2827420 2.8884649 2.9692268
100188847 0.3339576 1.817320838 1.2909683 2.1792755 0.9672859 1.1244211
10019 4.6128461 5.883044322 3.8336424 4.0044741 4.3733850 4.4567223
100190938 1.6652589 1.086066457 -0.1729232 1.6053771 0.9672859 1.8881373
1002 1.0562845 0.881806193 0.8305822 1.7716235 1.9152199 0.1288280
10020 4.3677829 3.576783673 3.7405039 3.5803626 3.8140910 3.7295355
10021 8.2481902 6.891328224 8.8564335 8.7582737 8.1411365 9.1539911
10023 2.1816994 4.617299393 1.9198974 0.9470091 1.5177474 0.9729083
10024 -0.0182464 2.661497670 -1.1799596 3.2265719 3.2515880 1.9704550
10026 6.4563511 6.914975348 6.3692791 6.0164257 6.3555016 6.4018127
100268168 1.6652589 2.841507286 -1.1799596 0.2444217 -0.4263872 1.3867197
100270804 2.4211503 1.424100292 1.6394368 0.2444217 1.7945007 1.6085863
100270827 -0.4852000 0.002725047 -0.1729232 0.9470091 -1.1799596 -0.6022826
100270840 3.1982517 3.145557730 3.4773763 3.1681260 3.8140910 3.3536031
100270854 1.5353918 3.051152602 1.1532103 0.9470091 3.4242732 1.8881373
100270865 2.5612155 3.234162890 2.8776262 2.9770790 3.7177853 3.3225967
100271271 2.2660101 3.610277949 2.7400380 3.3368068 3.9043682 3.0087220
100271332 2.6264582 1.697772828 2.6404358 3.7886789 3.2515880 2.6070078
100271415 1.5353918 2.527662983 2.4178769 1.7716235 0.7245629 0.9729083
100271479 0.3339576 0.358569594 0.8305822 -0.2986890 -1.1799596 -1.1799596
100271884 -0.4852000 1.264961280 1.2909683 1.7716235 0.7245629 -0.1909017
100272147 2.9146128 2.783964045 2.0805352 2.0557626 2.4824010 2.7536963
100286844 1.9966809 2.125998621 1.5323679 1.2013194 -0.4263872 0.3903949
100287015 -0.0182464 0.002725047 -0.1729232 -1.1799596 -1.1799596 -0.1909017
100287049 0.6168287 1.424100292 1.0008962 0.6380690 0.4325756 0.1288280
100287074 2.3456646 1.927716173 2.4768172 2.4967541 2.3169420 1.9704550
100287616 3.3604477 2.527662983 3.0427771 3.3368068 2.2265055 2.6575794
100287722 2.4211503 1.817320838 2.3564257 0.9470091 0.9672859 1.6085863
100287808 -1.1799596 4.442371716 -1.1799596 0.9470091 -1.1799596 0.6117382
100287837 -0.0182464 1.086066457 0.1504081 -1.1799596 -1.1799596 0.1288280
100287896 3.5404941 0.002725047 3.4184593 2.9770790 2.0266132 2.6575794
100287902 -0.4852000 1.264961280 0.1504081 -1.1799596 -0.4263872 -1.1799596
100287928 3.0154834 4.681734237 3.4482186 2.4967541 2.5585190 3.1211071
100287932 5.5247555 5.171319514 5.3574892 5.8025495 5.9161816 4.9379379
100288001 2.4211503 0.881806193 1.7391057 0.2444217 2.6308214 2.5545989
100288073 7.3977209 2.527662983 4.1375061 4.3841083 4.1700362 3.9279879
100288123 1.3926676 0.358569594 1.5323679 1.7716235 0.9672859 -0.1909017
100288198 3.6699227 2.783964045 3.0032277 2.9073284 1.1749931 3.2909092
100288241 1.5353918 0.643779945 1.0008962 1.4174479 1.1749931 1.3867197
100288413 3.8445972 2.661497670 1.4167113 1.7716235 0.9672859 2.7536963
100288513 -1.1799596 0.358569594 -0.1729232 -0.2986890 1.1749931 0.1288280
100288842 1.8944390 1.086066457 2.0805352 1.7716235 1.1749931 1.1244211
100289061 0.3339576 2.841507286 0.6374369 1.6053771 0.7245629 1.2615233
100289095 1.3926676 2.300293064 -1.1799596 1.7716235 0.7245629 1.1244211
100289133 0.6168287 -0.470674271 0.1504081 0.6380690 1.1749931 0.9729083
100289178 1.8944390 3.001527621 3.7162485 3.5348302 2.7653869 3.5802370
100289211 0.8532250 0.881806193 1.0008962 1.6053771 0.0660987 0.3903949
100289259 -0.0182464 1.086066457 0.4143772 1.6053771 0.0660987 -0.1909017
100289274 4.6288555 4.346252358 2.1546094 2.5887490 2.8884649 2.7064382
100289341 1.0562845 4.221759888 1.5323679 0.2444217 2.0266132 1.5019138
100289373 -1.1799596 1.567416154 -0.1729232 -0.2986890 0.0660987 -0.1909017
100289388 2.6888776 1.697772828 2.2922401 2.2930430 3.1069944 1.1244211
100289414 -0.0182464 0.358569594 0.6374369 -1.1799596 0.4325756 0.8035960
100289635 5.1228247 2.896843124 5.6794476 5.3425930 5.1274638 5.2077239
100289640 1.3926676 2.380131390 0.4143772 1.9206769 2.3169420 3.1211071
100289678 2.4211503 1.817320838 2.9207199 2.8340334 2.4824010 1.8008369
100293516 3.5062377 1.264961280 3.8997512 3.4878138 4.2410518 3.4136857
100294362 1.5353918 1.567416154 1.5323679 2.0557626 0.9672859 2.1924967
1003 1.0562845 1.086066457 1.1532103 1.7716235 2.6996725 2.0483283
100302692 2.2660101 0.002725047 1.0008962 1.4174479 2.0266132 1.5019138
100302736 2.9659295 1.927716173 1.8323317 1.9206769 1.9152199 1.9704550
100303728 2.9146128 2.896843124 3.4482186 3.1681260 2.8282380 3.5537797
100303755 1.7843950 1.424100292 0.8305822 1.6053771 1.3565253 2.1222126
100312828 1.2342579 -1.179959587 0.6374369 -1.1799596 -1.1799596 0.6117382
100312850 -1.1799596 -1.179959587 0.4143772 -0.2986890 -1.1799596 0.1288280
10036 3.6066594 3.908338353 2.7873738 4.4345683 5.0238683 3.9279879
100379345 2.4211503 1.424100292 2.6404358 3.2827420 3.2515880 2.8868370
10038 5.3328637 3.853450135 4.6411845 5.4568626 5.3999267 5.1733787
100381270 0.3339576 -0.470674271 1.4167113 1.2013194 1.3565253 0.6117382
10039 5.6555412 5.418228272 5.5134229 5.7235795 5.9936291 5.7051476
1004 7.6420973 6.610179751 8.9115495 8.8436092 10.2335100 8.6341472
10040 4.1631405 3.542493258 3.8109154 2.3984911 3.3405128 3.3225967
100418710 2.1816994 2.030261185 2.2922401 0.2444217 1.3565253 0.8035960
100418735 3.2816279 3.507367934 2.6910963 2.5887490 3.0553863 2.0483283
100418744 0.3339576 0.881806193 1.0008962 1.4174479 0.0660987 0.8035960
100418770 2.2660101 -0.470674271 0.4143772 1.6053771 2.0266132 1.8008369
100418781 -0.4852000 0.643779945 0.4143772 0.6380690 0.4325756 1.1244211
100418819 1.7843950 0.002725047 1.4167113 0.9470091 1.9152199 1.3867197
100418829 1.8944390 -1.179959587 1.0008962 1.6053771 2.3169420 1.8008369
100418888 0.8532250 2.215776345 2.3564257 1.4174479 1.3565253 0.9729083
100418889 2.9146128 1.264961280 2.7400380 3.5803626 3.0553863 2.7064382
100418910 1.0562845 0.002725047 -0.1729232 1.4174479 1.9152199 0.3903949
100418919 1.8944390 2.455782208 2.5879313 2.3984911 2.4020422 2.5545989
100419028 0.6168287 0.643779945 0.4143772 1.4174479 -1.1799596 1.6085863
100419185 -0.4852000 -1.179959587 0.1504081 2.1792755 1.7945007 1.1244211
100419416 1.0562845 0.358569594 1.2909683 0.2444217 -1.1799596 0.9729083
100419515 -0.0182464 -1.179959587 -1.1799596 -0.2986890 0.0660987 0.1288280
100419645 0.3339576 -1.179959587 1.4167113 0.9470091 0.0660987 1.1244211
100419758 0.3339576 0.358569594 0.1504081 -1.1799596 0.0660987 -0.6022826
100419928 0.3339576 1.567416154 1.8323317 0.9470091 2.0266132 2.0483283
10042 4.8082725 3.796390786 5.1285218 4.8422253 4.9830183 5.3528969
100420028 0.3339576 2.030261185 0.6374369 1.4174479 1.1749931 0.1288280
100420050 0.6168287 0.881806193 0.4143772 0.2444217 0.0660987 -1.1799596
100420110 3.8169143 3.396549427 3.3253111 3.2265719 3.7506067 3.6568167
100420187 1.9966809 2.215776345 2.1546094 2.0557626 1.9152199 2.3235581
100420259 3.2405420 3.145557730 3.7162485 3.8269615 3.7177853 3.6062179
100420307 0.8532250 0.643779945 1.0008962 1.2013194 1.3565253 0.8035960
100420341 6.4473516 4.532485193 5.3653095 5.1139940 5.3790869 5.3907590
100420423 0.3339576 1.697772828 0.1504081 1.2013194 1.3565253 -0.1909017
100420591 1.5353918 0.881806193 0.8305822 -1.1799596 0.7245629 0.9729083
100420707 3.2816279 2.783964045 2.4768172 2.9770790 2.8884649 3.3225967
100420752 1.5353918 0.002725047 1.4167113 1.6053771 2.3169420 1.3867197
100420869 4.3291110 4.712903645 4.1735841 4.4833228 4.9409779 4.4423714
100420981 5.5751996 6.122391553 5.2685458 5.5166410 5.6724853 5.8856982
100421093 3.6386378 3.357633996 3.5884491 3.5803626 4.1700362 4.0274815
100421109 -0.0182464 1.264961280 0.4143772 0.9470091 0.0660987 0.6117382
100421160 0.3339576 -0.470674271 0.6374369 1.4174479 1.1749931 0.9729083
100421175 1.2342579 3.001527621 1.4167113 1.2013194 0.0660987 -0.1909017
100421246 2.6264582 0.643779945 1.4167113 2.4967541 1.1749931 2.2595152
100421311 2.1816994 1.817320838 2.4178769 2.6752278 2.0266132 2.1222126
100421372 1.2342579 1.697772828 1.4167113 1.9206769 1.1749931 0.1288280
100421400 1.5353918 1.264961280 2.3564257 2.5887490 2.7653869 1.6085863
100421415 0.6168287 -1.179959587 0.8305822 0.9470091 0.0660987 -0.6022826
100421429 0.3339576 0.643779945 0.6374369 0.2444217 0.0660987 -0.1909017
100421465 1.9966809 1.086066457 1.0008962 1.2013194 2.1300186 2.1924967
100421468 1.0562845 0.358569594 0.6374369 -0.2986890 1.9152199 1.6085863
100421506 -0.0182464 0.358569594 -0.1729232 -0.2986890 -1.1799596 -1.1799596
100421569 -0.4852000 1.086066457 -0.1729232 1.2013194 1.9152199 0.8035960
100421595 1.0562845 1.086066457 1.5323679 0.9470091 0.7245629 0.3903949
100421794 2.6888776 2.724029946 2.8776262 3.1681260 3.2049820 3.6062179
100422106 2.0921541 0.881806193 1.1532103 1.4174479 1.9152199 2.1222126
100422338 2.2660101 1.086066457 2.1546094 2.0557626 2.2265055 2.1222126
100422546 0.3339576 0.358569594 -0.1729232 -0.2986890 0.0660987 1.1244211
100422561 4.2276374 3.396549427 4.0235208 4.1921514 4.3521553 4.2415249
10043 5.8387620 4.816980530 6.1738428 5.8216346 5.6724853 5.6374697
10044 -1.1799596 3.001527621 -1.1799596 0.9470091 0.0660987 1.3867197
10045 2.0921541 1.086066457 -0.1729232 0.6380690 0.9672859 -1.1799596
10046 -0.0182464 2.030261185 -0.1729232 0.2444217 1.5177474 1.7079116
10048 6.6174689 6.736891506 6.5344516 6.3610541 6.4434482 6.4563937
10049 5.4365526 6.201439965 5.5343845 5.7734399 5.6465614 5.3681612
100499177 3.1097599 2.125998621 2.9625635 2.9770790 2.6996725 2.8868370
100499483 1.3926676 0.002725047 0.4143772 2.7568146 0.0660987 -0.1909017
1005 1.0562845 1.086066457 1.4167113 1.4174479 1.7945007 0.8035960
100500719 0.6168287 0.643779945 0.4143772 0.2444217 0.0660987 0.3903949
100505385 3.1982517 3.145557730 2.8332056 1.7716235 2.6308214 1.7079116
100505501 1.2342579 3.190540430 -0.1729232 1.9206769 2.0266132 -0.1909017
100505538 2.4928820 3.434442661 1.0008962 1.2013194 0.4325756 1.1244211
100505549 -0.0182464 -1.179959587 -1.1799596 -1.1799596 -1.1799596 -1.1799596
100505573 5.6477054 6.381963847 6.7911249 5.6824120 5.6201631 5.6311568
100505576 2.7487081 2.841507286 3.4482186 3.9360671 3.5414464 3.2585100
100505616 -0.4852000 0.002725047 0.6374369 0.2444217 0.9672859 -0.1909017
100505624 0.8532250 1.264961280 1.2909683 1.6053771 1.3565253 1.2615233
100505635 -1.1799596 -1.179959587 -1.1799596 -1.1799596 -1.1799596 -0.1909017
100505641 2.5612155 2.596131703 2.6404358 0.9470091 3.2515880 2.4436986
100505648 4.2690871 2.896843124 3.9421985 3.0436123 2.9462780 3.4136857
100505678 1.7843950 1.264961280 1.1532103 2.7568146 2.6996725 2.1222126
100505696 3.7886897 3.234162890 4.2931931 4.1921514 4.6242229 3.7057009
100505715 1.0562845 -0.470674271 1.2909683 1.2013194 1.9152199 0.6117382
100505738 1.6652589 1.567416154 1.4167113 0.9470091 1.1749931 0.6117382
100505741 1.5353918 2.380131390 1.0008962 0.2444217 0.7245629 0.6117382
100505758 3.5404941 2.841507286 3.1187647 3.5348302 3.4643977 3.1211071
100505761 2.5612155 3.276504968 2.8776262 2.9770790 3.4242732 2.2595152
100505771 2.7487081 3.145557730 3.0427771 3.4392134 3.0553863 2.6575794
100505783 -0.0182464 0.643779945 -0.5903023 -1.1799596 -1.1799596 -1.1799596
100505806 2.6264582 1.817320838 2.6404358 2.6752278 2.5585190 1.8881373
100505812 0.6168287 -1.179959587 0.1504081 -1.1799596 -1.1799596 -0.1909017
100505832 -0.4852000 1.697772828 -0.1729232 0.9470091 -0.4263872 0.6117382
100505854 -0.0182464 3.396549427 0.4143772 -1.1799596 0.9672859 0.9729083
100505876 5.5916299 5.215518171 6.2348758 5.2328166 5.7312222 5.6870026
100505894 2.2660101 0.643779945 1.7391057 2.2930430 2.1300186 1.7079116
100505933 0.3339576 0.643779945 1.6394368 -1.1799596 0.9672859 0.9729083
100505994 2.8614032 0.643779945 1.6394368 0.6380690 0.7245629 -0.1909017
100506020 2.0921541 0.358569594 1.7391057 0.6380690 0.4325756 -0.1909017
100506033 5.0414371 4.479095261 4.7164853 5.0984287 4.9409779 4.4709319
100506054 -1.1799596 0.358569594 0.4143772 1.4174479 -1.1799596 0.9729083
100506068 -1.1799596 1.817320838 0.4143772 -0.2986890 0.0660987 -1.1799596
100506070 1.6652589 0.881806193 1.6394368 2.3984911 0.0660987 0.8035960
100506083 1.6652589 1.086066457 1.1532103 1.2013194 1.1749931 0.6117382
100506100 -1.1799596 -1.179959587 0.4143772 -1.1799596 -1.1799596 -1.1799596
100506119 -0.4852000 0.002725047 0.4143772 1.2013194 -1.1799596 -0.1909017
100506127 2.4928820 3.610277949 1.6394368 3.2265719 2.2265055 2.1222126
100506142 -0.0182464 -0.470674271 -0.5903023 -1.1799596 0.0660987 -1.1799596
100506144 0.8532250 0.002725047 0.4143772 0.9470091 -1.1799596 0.8035960
100506161 1.3926676 0.358569594 0.1504081 0.2444217 0.7245629 1.8881373
100506211 1.8944390 0.643779945 3.2928755 3.3889186 1.7945007 2.6575794
100506235 2.0921541 2.596131703 2.6910963 1.7716235 1.1749931 1.6085863
100506258 0.8532250 2.125998621 1.6394368 1.6053771 1.3565253 0.1288280
100506282 2.0921541 1.086066457 2.6910963 2.6752278 2.6308214 2.4436986
100506286 0.8532250 4.109123768 0.4143772 0.9470091 -1.1799596 0.3903949
100506302 1.6652589 0.881806193 2.0805352 2.2930430 2.5585190 1.1244211
100506321 0.6168287 0.002725047 0.8305822 0.2444217 0.0660987 -1.1799596
100506325 1.0562845 0.002725047 0.4143772 0.9470091 1.1749931 1.3867197
100506343 0.3339576 2.215776345 1.0008962 1.4174479 -1.1799596 0.9729083
100506365 4.9034748 4.199925207 5.4486464 5.1293931 5.3579416 5.4777686
100506368 1.0562845 0.643779945 -0.1729232 0.2444217 0.0660987 -1.1799596
100506380 3.4711480 0.881806193 3.3253111 2.8340334 3.0553863 3.0471647
100506392 3.9755639 1.424100292 3.4482186 4.2496511 4.0165706 4.0274815
100506394 0.6168287 2.724029946 0.4143772 -0.2986890 0.0660987 0.3903949
100506411 1.3926676 2.380131390 1.1532103 1.4174479 1.1749931 1.6085863
100506433 2.8614032 1.086066457 3.1909494 2.9770790 2.1300186 0.6117382
100506462 0.3339576 1.567416154 0.4143772 0.2444217 0.7245629 -1.1799596
100506469 3.3215760 4.012221255 3.9211310 3.2827420 2.9462780 3.1211071
100506495 0.6168287 1.817320838 1.0008962 0.9470091 0.0660987 -0.1909017
100506504 2.7487081 1.424100292 2.5334437 2.1792755 2.4020422 1.6085863
100506540 1.2342579 1.086066457 1.0008962 2.0557626 1.6627501 1.3867197
100506581 3.1546842 1.927716173 2.9207199 2.8340334 2.8884649 2.4436986
100506606 -1.1799596 0.002725047 -0.5903023 0.2444217 0.7245629 0.1288280
100506658 1.8944390 3.610277949 0.8305822 1.4174479 1.9152199 1.1244211
100506668 3.0633916 3.471366026 2.8332056 3.2827420 2.8282380 2.8438077
100506686 0.8532250 -1.179959587 1.7391057 1.2013194 0.4325756 -0.1909017
100506691 -1.1799596 0.643779945 -1.1799596 -1.1799596 -0.4263872 -1.1799596
100506696 1.2342579 3.706333441 0.1504081 0.9470091 -0.4263872 0.3903949
100506697 -1.1799596 0.643779945 0.6374369 0.2444217 0.7245629 0.1288280
100506710 4.9551822 4.085501474 5.3417202 4.6633657 4.6242229 4.2079843
100506713 -0.0182464 -0.470674271 -1.1799596 -0.2986890 -0.4263872 0.1288280
100506725 3.3982995 2.950134676 4.2260638 3.5803626 4.0695605 3.2909092
100506731 1.7843950 4.085501474 0.1504081 1.9206769 0.7245629 1.1244211
100506757 0.6168287 1.817320838 1.0008962 0.9470091 1.5177474 0.3903949
100506779 -0.4852000 0.643779945 0.6374369 0.6380690 0.0660987 0.6117382
100506804 -0.4852000 1.086066457 -0.5903023 -1.1799596 0.0660987 -0.1909017
100506826 2.2660101 1.264961280 1.8323317 2.7568146 2.0266132 2.3235581
100506844 3.0154834 2.125998621 2.0805352 2.2930430 0.0660987 1.7079116
100506866 6.2901314 5.661308119 5.9529196 6.5096696 5.6465614 6.1645290
100506881 2.6888776 4.773292175 1.2909683 0.2444217 1.9152199 1.6085863
100506885 0.6168287 0.358569594 -0.1729232 -1.1799596 0.0660987 0.1288280
100506911 0.8532250 0.002725047 0.1504081 0.2444217 1.6627501 0.3903949
100506922 -1.1799596 2.300293064 -1.1799596 0.2444217 0.0660987 -1.1799596
100506930 3.4711480 1.567416154 3.9834326 3.9006075 2.6996725 3.5537797
100506994 -0.4852000 1.567416154 -0.5903023 -0.2986890 0.0660987 1.1244211
100507003 -1.1799596 -1.179959587 -1.1799596 -1.1799596 0.0660987 0.1288280
100507032 -1.1799596 0.002725047 -1.1799596 -1.1799596 -1.1799596 -1.1799596
100507034 3.0633916 4.385471860 2.9625635 3.5348302 3.7177853 3.0087220
100507050 -0.0182464 3.507367934 -0.1729232 0.6380690 -1.1799596 2.1924967
100507053 -1.1799596 -1.179959587 -1.1799596 0.2444217 -1.1799596 -1.1799596
100507057 -1.1799596 0.002725047 -1.1799596 0.9470091 -1.1799596 -1.1799596
100507062 -0.0182464 1.697772828 0.4143772 0.2444217 -0.4263872 0.3903949
100507071 0.6168287 0.358569594 -0.5903023 0.2444217 0.0660987 0.8035960
100507156 3.2816279 3.766991900 2.5334437 2.8340334 2.8884649 3.1914437
100507171 3.3982995 1.086066457 2.6404358 2.7568146 3.0553863 3.0471647
100507173 1.2342579 0.002725047 -0.1729232 0.2444217 -1.1799596 -0.1909017
100507178 1.3926676 1.264961280 1.0008962 0.2444217 0.4325756 0.9729083
100507244 1.0562845 0.881806193 1.0008962 1.2013194 1.3565253 1.9704550
100507246 3.3982995 3.001527621 3.4773763 4.0697838 3.6841998 3.8861863
100507250 0.3339576 0.643779945 1.0008962 0.6380690 0.0660987 0.3903949
100507254 0.8532250 -1.179959587 -0.1729232 0.9470091 0.0660987 0.3903949
100507266 0.3339576 0.358569594 -0.1729232 1.4174479 0.0660987 0.9729083
100507290 4.7063413 4.177754981 4.8782615 5.0013364 4.3087352 4.6564352
100507291 -0.4852000 1.086066457 0.1504081 -0.2986890 0.0660987 0.1288280
100507303 2.2660101 0.643779945 1.9198974 2.9770790 2.8282380 2.6575794
100507308 0.6168287 0.358569594 -0.1729232 2.2930430 0.7245629 0.8035960
100507316 -0.0182464 1.424100292 0.4143772 -1.1799596 -1.1799596 -0.6022826
100507331 1.9966809 2.661497670 2.6404358 1.6053771 2.3169420 0.6117382
100507347 2.3456646 2.841507286 1.5323679 1.6053771 2.6308214 2.0483283
100507373 1.7843950 2.724029946 2.2922401 2.7568146 2.5585190 1.9704550
100507392 -1.1799596 0.881806193 -1.1799596 -1.1799596 0.9672859 0.8035960
100507398 2.1816994 1.264961280 0.1504081 -1.1799596 1.1749931 0.3903949
100507401 0.3339576 0.881806193 0.1504081 0.6380690 0.0660987 0.1288280
100507420 -1.1799596 0.002725047 -1.1799596 -1.1799596 1.5177474 -1.1799596
100507433 1.7843950 3.051152602 2.9625635 1.7716235 2.4020422 1.6085863
100507436 -1.1799596 0.643779945 -0.1729232 -0.2986890 0.7245629 -0.1909017
100507437 1.5353918 1.264961280 1.0008962 0.9470091 1.1749931 0.9729083
100507459 1.6652589 3.051152602 1.0008962 1.4174479 -0.4263872 1.7079116
100507463 -1.1799596 1.264961280 0.1504081 0.2444217 0.0660987 0.9729083
100507487 2.3456646 0.358569594 2.8332056 2.1792755 1.5177474 0.9729083
100507495 4.3867369 3.471366026 4.1556579 4.3049466 3.4643977 3.7987642
100507516 -0.0182464 -1.179959587 -1.1799596 -1.1799596 -0.4263872 1.2615233
100507551 0.6168287 0.881806193 -0.1729232 -0.2986890 -1.1799596 -1.1799596
100507557 2.0921541 3.099127223 0.1504081 0.6380690 1.5177474 0.9729083
100507564 1.8944390 0.881806193 1.8323317 1.7716235 0.7245629 1.2615233
100507567 0.3339576 0.643779945 -1.1799596 -0.2986890 0.0660987 -1.1799596
100507588 1.6652589 -0.470674271 0.1504081 0.2444217 0.7245629 -0.6022826
100507599 0.6168287 1.086066457 -0.1729232 1.7716235 0.0660987 0.3903949
100507602 4.8222636 3.766991900 4.1556579 4.1625187 4.7101662 4.6058227
100508120 1.2342579 0.002725047 0.6374369 -1.1799596 1.3565253 -0.6022826
10051 5.1452592 5.956505331 5.4263913 6.2597412 6.4584266 6.0413927
10052 1.8944390 1.817320838 1.1532103 1.6053771 -0.4263872 1.9704550
100526737 1.8944390 1.817320838 1.9198974 2.2930430 2.6308214 1.7079116
100526760 2.0921541 1.086066457 0.8305822 1.2013194 1.5177474 1.9704550
100526820 1.0562845 1.817320838 -0.5903023 2.2930430 0.0660987 0.9729083
100526835 4.0956247 2.030261185 4.2260638 3.8642544 3.6498137 4.1561644
100527978 -1.1799596 -1.179959587 -0.1729232 -1.1799596 -1.1799596 -1.1799596
100529145 3.0154834 1.086066457 2.0805352 2.0557626 1.6627501 1.1244211
100529215 1.0562845 -0.470674271 -0.5903023 1.4174479 0.9672859 0.1288280
100532746 4.0723986 3.542493258 3.9421985 4.1625187 4.1455656 3.8861863
100533106 0.3339576 -0.470674271 0.8305822 -0.2986890 0.4325756 0.8035960
100533182 -0.4852000 1.567416154 -1.1799596 0.9470091 0.0660987 -0.1909017
100533619 -1.1799596 3.190540430 -0.1729232 0.9470091 0.0660987 0.1288280
100533629 -0.0182464 0.002725047 0.1504081 0.2444217 0.0660987 -1.1799596
100533695 0.3339576 -0.470674271 0.8305822 0.9470091 0.7245629 0.1288280
100533970 1.3926676 0.643779945 0.8305822 0.2444217 1.3565253 0.9729083
100534593 1.3926676 0.881806193 1.9198974 0.9470091 0.0660987 0.6117382
10054 6.0437287 5.247800636 5.7823332 5.7437309 6.6225686 5.7348912
10056 5.6864656 5.102374022 5.3257769 5.6074152 6.2155731 5.7697925
10057 7.5314786 7.681687512 8.2285210 7.7696049 7.3885714 7.3584641
10058 6.3921426 6.520535858 7.0114504 6.0491807 5.5094570 5.6120505
10059 6.3001635 6.075197040 6.8452522 7.1910013 7.4422990 7.0696073
1006 4.2064572 4.479095261 6.2934313 4.0374985 4.7912763 4.8207809
10060 4.6128461 3.935018723 5.0530601 4.8607960 4.9691405 4.8752161
100616256 -0.0182464 0.643779945 0.8305822 1.2013194 0.4325756 -0.1909017
10062 1.0562845 2.380131390 1.1532103 2.3984911 2.1300186 0.3903949
10063 4.2276374 4.385471860 4.1191230 4.5070958 4.2410518 4.3834962
100652739 1.7843950 0.643779945 1.0008962 0.6380690 0.7245629 1.6085863
100652758 1.5353918 4.404688908 -0.1729232 0.9470091 1.3565253 1.8881373
100652846 1.5353918 2.030261185 3.3880733 2.9073284 1.7945007 2.4436986
10066 7.1428933 5.553516769 6.8865945 6.7577325 6.9678381 7.0027188
10067 6.2698554 5.570633347 6.5028954 6.3804901 6.5775451 6.4599600
10068 3.0633916 3.317639687 3.4184593 2.8340334 2.4824010 3.2253666
10069 2.1816994 3.961214628 4.1556579 4.0044741 4.2865250 3.7987642
10072 4.1184829 5.226359454 4.8999597 5.1746282 5.1765992 4.9276718
10073 3.5739560 2.380131390 4.0816389 4.1921514 4.3087352 3.6814658
10075 8.7948119 8.415834329 8.7036580 8.8318912 8.6474280 8.7889074
10076 4.4779426 5.054509057 5.0722988 4.0697838 4.4149295 4.0840423
10077 1.2342579 0.002725047 1.0008962 -0.2986890 -1.1799596 0.3903949
100775107 0.6168287 0.002725047 1.1532103 1.9206769 0.7245629 1.1244211
10078 4.8769091 5.005001397 4.6918192 4.9327769 4.4149295 4.3377074
10079 5.4546299 5.289750078 5.1193022 4.4833228 4.6064023 5.1558945
1008 3.6066594 4.681734237 6.9135122 4.7456073 5.2241161 4.8644921
10081 5.2932313 6.362439625 5.0335613 4.9327769 5.1522406 4.5798347
10082 6.4200111 6.484865133 6.3962476 6.1279553 6.3121835 6.7811537
100820829 3.2816279 4.109123768 4.4187505 5.0506992 4.9551279 4.9683050
10084 5.0768811 3.961214628 4.7042050 4.9327769 5.5932728 4.7173017
100847074 1.8944390 2.724029946 1.6394368 2.1792755 2.3169420 2.5545989
10085 8.6296039 8.733357486 8.9301225 8.4441212 8.3576691 8.6830297
100852407 2.1816994 1.086066457 1.1532103 1.6053771 1.3565253 0.8035960
100861412 -0.4852000 -1.179959587 -0.1729232 -0.2986890 0.0660987 1.7079116
100861548 5.4635842 5.595933365 4.8891514 4.0374985 4.3521553 4.6058227
100862671 -0.4852000 -1.179959587 1.0008962 0.2444217 1.9152199 0.8035960
10087 6.6917470 6.849866116 6.7227634 6.1356012 6.3176700 6.6119522
100873257 4.1631405 4.940627686 4.5203083 4.3841083 4.4352616 4.6186433
100873333 1.9966809 3.396549427 2.7873738 2.1792755 2.4824010 2.4436986
100873790 3.3604477 3.986943348 3.4773763 3.7493527 3.5784807 3.7529828
100873949 -0.4852000 0.643779945 0.6374369 -1.1799596 0.0660987 1.5019138
100873952 0.6168287 -1.179959587 0.1504081 0.2444217 -0.4263872 0.1288280
100873965 1.5353918 0.643779945 1.2909683 1.4174479 1.5177474 1.5019138
100874006 1.6652589 0.643779945 1.2909683 0.6380690 1.5177474 1.5019138
100874008 0.6168287 2.724029946 2.0805352 1.2013194 0.4325756 1.8881373
100874014 2.1816994 -1.179959587 3.1187647 1.7716235 1.9152199 2.9286200
100874058 1.0562845 0.002725047 1.9198974 1.9206769 0.4325756 0.8035960
100874080 -0.0182464 1.086066457 0.8305822 0.9470091 0.4325756 0.9729083
100874097 1.0562845 1.567416154 1.2909683 1.7716235 2.1300186 1.6085863
100874201 -0.0182464 -0.470674271 -0.1729232 0.2444217 -0.4263872 -0.6022826
100874212 -0.0182464 1.264961280 1.5323679 -1.1799596 -0.4263872 -0.6022826
100874217 -1.1799596 0.002725047 0.1504081 0.6380690 0.4325756 1.6085863
100874235 0.8532250 1.264961280 1.4167113 1.2013194 0.4325756 1.2615233
100874261 1.3926676 0.002725047 0.4143772 0.2444217 1.5177474 -0.1909017
100874291 -1.1799596 -1.179959587 0.1504081 0.9470091 0.7245629 0.8035960
100874362 1.2342579 3.706333441 1.5323679 1.2013194 1.3565253 0.6117382
100874523 1.2342579 0.881806193 2.3564257 1.9206769 2.2265055 1.3867197
100885775 3.6699227 4.177754981 3.7405039 4.2775637 3.9615599 4.5928872
100885776 1.2342579 0.002725047 0.8305822 1.2013194 0.7245629 0.6117382
100885848 5.0533488 5.612556871 5.3730877 5.6719339 5.4507462 5.5730618
1009 9.0955441 7.707064535 8.8674887 9.5500567 9.6400797 9.5454393
10090 3.8984188 4.859384688 3.7878246 3.4392134 3.6841998 3.8648224
10092 7.2961176 5.848374954 7.0795857 7.5468798 7.9617928 7.4723190
10093 6.7031332 6.901510204 6.9710206 7.3274412 7.7407014 7.2431510
10094 3.1982517 3.434442661 3.7162485 3.6673306 3.7826980 3.8861863
10095 5.4724834 5.279376516 5.5888372 5.5740406 6.1183269 5.5664600
10097 7.9062432 8.469291893 7.9901377 8.3052605 9.0734639 8.3275331
10098 6.1193356 5.685079572 6.0819147 6.3545169 7.0978813 6.3295737
10099 7.9467203 8.287132960 7.9438844 7.9077365 7.9722666 7.9196459
100996246 1.6652589 1.927716173 1.6394368 2.7568146 3.0553863 2.0483283
100996251 1.3926676 0.881806193 1.0008962 1.4174479 1.1749931 1.6085863
100996307 2.3456646 -1.179959587 2.3564257 3.1681260 0.9672859 2.1222126
100996384 0.6168287 3.434442661 2.3564257 1.6053771 0.7245629 1.5019138
100996419 0.6168287 1.927716173 0.1504081 0.6380690 -0.4263872 0.8035960
100996485 1.8944390 1.927716173 2.5334437 1.6053771 2.1300186 1.7079116
100996539 1.3926676 1.697772828 0.4143772 0.2444217 -0.4263872 0.6117382
100996579 -0.0182464 0.002725047 0.8305822 -1.1799596 -1.1799596 0.8035960
100996696 3.1097599 3.357633996 3.6149307 3.3889186 2.7653869 3.0846095
100996842 2.1816994 1.424100292 2.5334437 1.4174479 2.4020422 2.3235581
100996851 0.6168287 -1.179959587 -1.1799596 -1.1799596 0.4325756 0.3903949
100996939 0.6168287 0.002725047 1.2909683 -0.2986890 1.5177474 0.1288280
101 1.6652589 2.455782208 2.2922401 0.9470091 0.7245629 0.6117382
1010 1.0562845 1.086066457 1.2909683 1.7716235 1.6627501 -0.1909017
10100 4.2276374 4.940627686 4.0625252 4.8972353 4.5328337 5.3061105
10101 5.0294262 5.769036410 5.0722988 5.0179790 4.7267571 4.6810908
10102 4.9678245 3.986943348 4.8672888 5.2749676 5.2005533 4.8428021
10103 0.6168287 0.881806193 0.8305822 0.9470091 -1.1799596 -0.1909017
10105 6.4697460 7.169285867 6.6284320 7.1983212 7.3273360 7.2472846
10106 7.5357305 7.169285867 6.5822069 6.6709469 6.7169358 6.5762506
101060200 3.2816279 3.706333441 2.7873738 3.1072120 1.7945007 2.2595152
101060691 2.1816994 0.643779945 2.1546094 1.9206769 2.2265055 2.2595152
10109 8.0349702 8.204562282 8.7197607 8.4579096 8.9534839 8.4017274
10112 1.0562845 4.802564246 -0.1729232 4.8234124 4.7431594 4.4423714
10113 6.9588297 4.953734271 6.2769423 6.4310746 6.4879248 6.3059889
10114 7.9814242 8.535079245 7.7074934 7.5237586 7.5627021 7.8260210
101154753 1.2342579 1.697772828 0.6374369 0.2444217 -0.4263872 0.3903949
10116 8.1927264 6.342647550 7.6055366 7.5237586 7.4015463 7.7004940
10117 1.0562845 1.817320838 -0.1729232 -0.2986890 0.7245629 0.8035960
1012 8.0153130 8.092003254 8.0843545 8.0820734 8.1687206 8.2327328
10121 5.9765054 6.362439625 6.3924257 6.3213786 6.3340051 6.3334673
10123 6.7551123 5.612556871 7.1286553 6.2026504 6.6875740 6.4055164
101241892 5.1000358 3.434442661 5.3015268 5.4810720 4.6933822 5.0078251
10125 -1.1799596 3.576783673 0.8305822 0.9470091 0.0660987 1.2615233
10126 3.2816279 3.357633996 3.8109154 2.5887490 3.9043682 3.3536031
H2O_24_C6 BPA_24_C6 PFOA_24_C6 EtOH_24_C6 TUN_2_C7 THA_2_C7
100 3.06694083 2.2770090 2.0817977 2.3434642 2.73337063 1.39902245
1000 10.92754628 11.1572741 10.7916793 10.9456254 10.47897504 10.26265693
10000 5.96667761 6.0663304 5.5700539 6.0146470 6.50919777 6.79159986
10001 4.10438627 4.6247341 4.4201309 4.2793241 4.82050526 4.92410066
10003 4.05929926 3.5782432 4.5900915 3.9898183 4.80776921 4.48542733
100037417 -1.17995959 -1.1799596 -1.1799596 -1.1799596 -1.17995959 -1.17995959
100049716 2.47439414 2.4158140 3.0826071 1.8199080 2.83729176 2.49992031
10005 3.50829744 3.7716146 4.1018759 3.7740903 4.07316569 3.85199878
10006 6.54824220 6.5384428 6.4792679 6.4637460 6.28403434 6.53826114
10007 4.78706432 4.6103507 4.4350845 4.5341375 4.70161859 4.65219037
10009 5.36431850 5.2713182 5.2699391 5.2628343 5.94914808 5.79733617
100093630 6.36893917 6.8513758 6.7423151 6.4958468 6.01156862 5.76856876
1001 7.04874002 6.4031421 7.0128550 6.6778707 7.52722335 7.65758229
10010 5.01667917 5.1472854 5.2947455 5.4346005 6.15422414 6.45042757
100101267 2.60563119 2.7665225 2.6924094 2.9491807 2.14239352 2.69599180
100101467 4.64170555 3.6361866 4.1018759 4.4198050 3.30430731 4.23509350
10011 6.08387498 5.7229076 6.0974833 6.3590487 5.63268574 5.70925369
100113386 1.54158658 -0.1033826 0.4153200 1.1418474 -0.09224673 -1.17995959
100113397 0.19788495 0.7355864 1.5335624 1.1418474 0.52080707 1.06230284
100113407 3.96466433 3.8714891 4.1204967 3.6778753 4.47871477 5.08441707
100125288 2.76388511 2.6017989 2.9638932 2.7267898 1.87573827 1.67183427
100127983 2.33001329 2.4158140 1.7403289 2.0678325 2.67846107 2.27294665
100128006 2.94003397 2.2022543 2.9220472 3.2793276 2.36736670 2.27294665
100128016 0.19788495 1.1073921 -0.5898293 0.9898477 1.27985841 -0.01401881
100128025 -0.33244444 -0.1033826 -0.1722149 0.1418777 -0.09224673 0.33892411
100128054 2.11184866 1.1073921 1.7403289 1.6272656 2.83729176 2.27294665
100128071 0.58480994 -0.5434968 1.0019949 0.4049020 0.24660170 -1.17995959
100128191 0.19788495 0.7355864 0.8316420 -0.5950475 1.97020656 2.27294665
100128252 2.27848645 2.4158140 2.0037052 3.1052990 3.02505817 3.36775596
100128379 -0.33244444 0.7355864 0.6384466 0.4049020 0.24660170 1.06230284
100128398 4.89364902 4.4090133 4.7659739 4.5478124 4.21496411 4.19241214
100128494 3.12643954 2.8175003 3.1566481 2.9898225 3.93944012 3.82431129
100128569 1.92341901 2.0400138 2.5347458 1.9898309 1.77464802 1.24046406
100128640 -1.17995959 -1.1799596 -1.1799596 0.4049020 -1.17995959 -1.17995959
100128682 -1.17995959 -1.1799596 0.4153200 -1.1799596 -1.17995959 -1.17995959
100128731 6.09135976 6.5979740 6.3070772 6.3395261 6.16923789 6.25169421
100128766 2.90648288 3.3199508 2.9220472 2.8642924 2.88657364 2.63354930
100128782 1.35519612 1.4027452 2.3577137 1.4048768 1.66593700 2.35263868
100128822 -1.17995959 -1.1799596 -1.1799596 -1.1799596 -1.17995959 -1.17995959
100128833 2.05173237 2.3480802 2.4191700 2.2793344 2.14239352 2.49992031
100128881 2.47439414 2.4158140 2.0817977 2.6778805 1.87573827 2.49992031
100128893 4.96056788 4.7215925 5.0544508 4.7740878 5.85324356 5.90699124
100129001 1.14110123 1.4027452 1.4178878 0.6272872 1.66593700 0.33892411
100129013 1.35519612 1.4027452 1.1543402 1.9898309 1.12419776 1.24046406
100129029 1.14110123 0.5062282 0.1512572 -0.5950475 -0.53593338 1.39902245
100129060 3.36743921 2.9604423 3.4495711 3.4346051 2.83729176 2.92180251
100129075 1.92341901 1.5304625 2.4781149 1.5203521 2.22134737 1.79105447
100129195 2.97282251 2.4158140 3.0045596 2.9491807 2.22134737 2.69599180
100129203 0.40428022 0.5062282 0.8316420 0.6272872 -0.09224673 -1.17995959
100129250 2.27848645 1.9514955 2.2263418 1.2793482 1.77464802 2.27294665
100129259 1.98900174 1.1073921 0.8316420 1.1418474 1.77464802 1.39902245
100129361 5.78012520 5.8135901 5.7542248 5.8255148 6.24204879 6.16052643
100129398 1.14110123 0.7355864 1.5335624 1.2793482 1.42034760 -0.48227700
100129434 -1.17995959 -1.1799596 0.4153200 -0.5950475 -0.09224673 -1.17995959
100129461 1.14110123 2.0400138 2.0037052 2.0678325 0.94968773 0.62227074
100129484 1.70662807 1.1073921 1.8335665 0.8199269 1.77464802 2.49992031
100129550 4.75914065 3.7189589 4.8125245 4.7740878 3.93944012 4.27654835
100129583 -0.33244444 0.7355864 0.4153200 0.8199269 0.52080707 -1.17995959
100129662 -0.33244444 -0.1033826 -1.1799596 0.4049020 0.94968773 1.79105447
100129707 0.88960378 0.9334338 0.4153200 0.9898477 0.24660170 1.06230284
100129716 0.40428022 -0.1033826 1.0019949 0.8199269 1.87573827 1.67183427
100129726 0.88960378 -0.1033826 -1.1799596 -0.1800353 0.94968773 0.62227074
100129774 3.59509981 4.0737415 4.2101577 4.2122101 3.68468257 3.82431129
100129781 1.35519612 0.7355864 0.4153200 1.4048768 1.87573827 1.90117022
100129792 0.19788495 -1.1799596 -0.1722149 0.1418777 0.75112613 1.54186732
100129794 2.42785438 2.1234135 2.5892374 1.4048768 2.67846107 2.56828142
100129842 -1.17995959 -0.5434968 -0.5898293 1.2793482 -0.09224673 1.24046406
100129917 1.78256941 2.1234135 2.4191700 2.4048642 2.73337063 3.28891775
100129924 1.92341901 2.7136771 2.7886932 2.2793344 1.77464802 1.24046406
100129940 0.88960378 0.9334338 2.3577137 0.9898477 0.52080707 -0.01401881
100129995 -1.17995959 -1.1799596 -1.1799596 0.4049020 0.52080707 -0.01401881
10013 5.91277785 5.5972572 5.7422511 5.5680833 5.75714672 5.41656122
100130111 1.45139938 0.5062282 1.1543402 0.8199269 0.24660170 -0.01401881
100130197 0.19788495 -0.1033826 -0.1722149 -0.5950475 1.42034760 0.33892411
100130335 2.51947938 3.2097774 2.5892374 2.6778805 2.49995589 3.02270323
100130348 3.71623306 3.3889868 3.4198107 3.6012543 3.59857256 3.16194223
100130357 -0.69484244 -0.1033826 -1.1799596 0.4049020 -0.53593338 1.06230284
100130466 2.42785438 3.0904896 2.8789511 2.9898225 3.19117722 3.24782189
100130476 -0.33244444 -1.1799596 -0.1722149 -1.1799596 -1.17995959 -1.17995959
100130522 0.58480994 1.1073921 0.6384466 0.6272872 0.75112613 0.62227074
100130550 0.40428022 0.2333850 -1.1799596 1.2793482 1.12419776 1.24046406
100130564 3.21132531 2.9604423 3.1922908 3.1052990 3.73936027 3.28891775
100130581 2.51947938 0.2333850 1.2921237 1.7267998 0.94968773 1.24046406
100130691 2.37976310 2.2770090 1.7403289 1.5203521 1.54836182 1.79105447
100130705 1.14110123 0.5062282 1.6406467 1.4048768 1.12419776 1.90117022
100130748 0.40428022 -0.5434968 0.4153200 -1.1799596 1.42034760 2.00347397
100130750 -1.17995959 -1.1799596 -1.1799596 -1.1799596 -1.17995959 -1.17995959
100130855 0.58480994 1.2626137 1.8335665 1.1418474 1.97020656 1.79105447
100130958 -0.69484244 -1.1799596 -0.1722149 -1.1799596 1.54836182 1.06230284
100131017 -1.17995959 -1.1799596 -1.1799596 -1.1799596 -1.17995959 -1.17995959
100131031 2.11184866 1.6477871 2.2263418 2.5203404 3.22988135 3.16194223
100131033 1.85471241 2.2022543 2.2263418 2.4048642 1.66593700 1.90117022
100131067 2.33001329 1.2626137 1.4178878 1.9898309 1.66593700 1.06230284
100131089 1.35519612 0.5062282 1.2921237 0.8199269 1.27985841 1.06230284
100131094 0.74524105 0.7355864 0.6384466 1.5203521 0.24660170 0.85899877
100131138 2.90648288 2.8667381 2.8789511 2.3434642 4.34406433 4.14842948
100131187 1.35519612 1.6477871 2.3577137 0.1418777 -1.17995959 -1.17995959
100131193 2.05173237 1.4027452 1.8335665 1.6272656 2.56194432 3.07062500
100131211 3.15529332 2.8667381 3.4787300 3.4346051 4.25304360 4.00781423
100131213 -0.04304733 -0.1033826 1.2921237 0.8199269 0.75112613 0.33892411
100131471 2.42785438 1.6477871 2.8789511 2.5203404 2.29620363 1.79105447
100131656 2.97282251 2.9604423 2.8345279 3.0293506 3.84286592 3.70792054
100131685 1.98900174 2.8667381 3.0045596 2.7267898 3.11050735 2.75584343
100131691 2.72591914 2.2770090 2.7413544 2.9491807 2.62137866 2.35263868
100131740 0.74524105 0.2333850 0.6384466 0.4049020 -0.53593338 0.85899877
100131801 3.55235135 3.4867162 3.7891891 2.8198985 3.73936027 3.24782189
100131827 -0.33244444 0.5062282 0.6384466 1.1418474 -1.17995959 -0.01401881
100131828 -0.33244444 -1.1799596 -1.1799596 -0.5950475 -0.53593338 -1.17995959
100131940 0.74524105 -0.1033826 0.1512572 0.6272872 1.27985841 1.06230284
100132074 -1.17995959 -0.5434968 -1.1799596 -1.1799596 -0.09224673 -0.48227700
100132086 1.14110123 1.4027452 0.8316420 0.9898477 0.24660170 -0.48227700
100132116 8.07681725 7.8003297 8.0534204 8.1202419 8.28365314 7.86883463
100132126 -0.04304733 0.7355864 -1.1799596 0.4049020 0.94968773 0.62227074
100132215 1.02082586 1.1073921 1.1543402 0.9898477 1.12419776 -0.48227700
100132537 2.60563119 2.2022543 1.9211425 1.9073697 1.42034760 2.18859386
100132609 1.45139938 1.4027452 -0.5898293 -1.1799596 -0.09224673 0.62227074
100132659 -0.04304733 -0.5434968 0.4153200 0.1418777 0.24660170 -0.48227700
100132891 -1.17995959 0.5062282 -0.1722149 -0.1800353 -1.17995959 -1.17995959
100132972 0.19788495 -1.1799596 1.6406467 0.8199269 0.52080707 1.06230284
100133234 0.74524105 0.7355864 0.6384466 0.8199269 -0.09224673 0.62227074
100133286 -0.04304733 0.7355864 -0.1722149 0.8199269 -0.09224673 -1.17995959
100133315 1.35519612 1.5304625 0.6384466 0.8199269 -0.09224673 1.24046406
100134934 0.88960378 2.0400138 1.8335665 1.9073697 1.54836182 2.00347397
10014 6.11358390 5.8568798 6.2741918 6.1992683 6.34700932 6.37131977
100144603 2.60563119 2.4158140 2.4191700 2.7740951 2.67846107 2.00347397
100144748 1.25211648 0.5062282 1.1543402 1.5203521 2.67846107 2.09900110
10015 7.55569894 7.4406095 7.7042782 7.6464379 7.61938834 7.46258406
10016 5.26853002 5.6890881 5.7778781 5.5747780 5.80919361 5.75396705
100170229 0.74524105 1.1073921 1.1543402 0.6272872 0.75112613 -0.01401881
100170841 4.27183997 4.0094238 4.3587164 3.5203346 3.47512992 4.39421178
10018 1.98900174 2.0400138 2.6417455 3.1052990 3.76594115 4.80165890
100188847 1.35519612 -0.5434968 1.8335665 1.7267998 2.29620363 0.33892411
10019 4.14810681 4.1353138 4.2945709 4.4048547 4.25304360 4.87096062
100190938 2.27848645 2.0400138 2.2263418 2.6778805 3.02505817 2.35263868
1002 0.74524105 -0.5434968 1.5335624 1.1418474 1.54836182 1.24046406
10020 2.72591914 3.7716146 3.4787300 3.2793276 4.05172125 4.14842948
10021 8.86417087 8.4749503 8.6620201 8.6384714 7.60657695 8.01377171
10023 -1.17995959 0.5062282 0.4153200 0.9898477 1.77464802 1.39902245
10024 2.68692699 2.6017989 1.6406467 2.6272548 3.34012831 3.70792054
10026 6.25025118 6.4563836 6.2405393 6.3157449 6.31586541 5.88034889
100268168 0.40428022 0.5062282 1.1543402 0.8199269 -0.53593338 0.62227074
100270804 1.62646609 0.9334338 1.4178878 1.9898309 1.77464802 1.90117022
100270827 0.88960378 -0.1033826 -1.1799596 0.4049020 -0.53593338 -0.01401881
100270840 3.03624526 3.8224159 3.6422946 3.4637513 2.43518394 3.36775596
100270854 2.42785438 2.2770090 1.7403289 2.5203404 2.05886735 0.85899877
100270865 3.34256535 3.4223043 3.3894234 3.1418247 3.37508140 3.28891775
100271271 3.18358132 3.5178748 2.8345279 3.7740903 2.98035756 3.24782189
100271332 3.06694083 3.4867162 2.5892374 3.2122137 2.29620363 2.86857617
100271415 1.35519612 1.1073921 1.8335665 0.4049020 1.54836182 2.42815814
100271479 -1.17995959 -1.1799596 0.1512572 -0.1800353 -1.17995959 -1.17995959
100271884 0.58480994 0.9334338 1.0019949 -0.1800353 0.94968773 0.62227074
100272147 1.92341901 2.4805099 2.8789511 2.6778805 2.73337063 2.69599180
100286844 1.70662807 1.2626137 1.7403289 1.2793482 -0.09224673 1.06230284
100287015 -0.69484244 0.5062282 1.0019949 0.8199269 1.54836182 0.33892411
100287049 1.02082586 -0.1033826 1.2921237 1.1418474 -0.09224673 1.06230284
100287074 2.37976310 2.2022543 2.2935226 2.5747878 2.93422753 2.09900110
100287616 3.36743921 2.2770090 3.0441111 1.9898309 3.71228044 3.51357739
100287722 1.92341901 1.5304625 2.0817977 1.1418474 1.27985841 2.35263868
100287808 -0.33244444 0.2333850 -0.5898293 -1.1799596 -0.09224673 0.33892411
100287837 -0.33244444 -1.1799596 0.1512572 0.6272872 1.27985841 0.85899877
100287896 3.21132531 2.5424287 2.1558792 1.9898309 3.22988135 2.86857617
100287902 -1.17995959 -0.1033826 0.1512572 -0.1800353 -0.09224673 -0.01401881
100287928 3.21132531 2.7665225 3.5353371 3.2122137 2.43518394 2.42815814
100287932 5.59243508 5.5825958 5.6555315 5.3276854 5.65418925 5.87361072
100288001 2.11184866 2.2770090 2.5892374 1.9898309 2.14239352 1.54186732
100288073 4.17653470 4.3582705 4.1204967 3.9284179 4.02995324 5.42580290
100288123 1.25211648 0.7355864 0.8316420 1.1418474 0.52080707 0.62227074
100288198 1.85471241 2.5424287 3.0441111 2.6778805 2.88657364 3.20552099
100288241 0.58480994 1.5304625 -0.1722149 0.8199269 0.94968773 2.00347397
100288413 2.11184866 2.1234135 2.0037052 2.2793344 2.29620363 1.67183427
100288513 0.19788495 0.9334338 -0.1722149 -0.1800353 0.52080707 -0.01401881
100288842 0.58480994 2.1234135 -0.5898293 1.4048768 0.94968773 1.90117022
100289061 1.62646609 0.9334338 1.7403289 1.2793482 1.42034760 1.39902245
100289095 0.19788495 2.1234135 1.0019949 1.4048768 1.54836182 1.06230284
100289133 0.88960378 0.7355864 0.6384466 0.4049020 2.05886735 1.54186732
100289178 3.55235135 2.6017989 3.4787300 3.3434576 2.56194432 2.09900110
100289211 1.62646609 0.9334338 1.1543402 1.2793482 0.52080707 -0.01401881
100289259 0.74524105 0.5062282 -1.1799596 0.8199269 -1.17995959 -0.01401881
100289274 2.87213291 2.5424287 2.9220472 2.5747878 3.73936027 4.98788617
100289341 1.02082586 1.5304625 1.2921237 0.4049020 1.54836182 2.09900110
100289373 -1.17995959 -1.1799596 -1.1799596 -1.1799596 -0.09224673 -1.17995959
100289388 2.56319827 2.8175003 2.2263418 2.1418323 2.05886735 1.54186732
100289414 0.58480994 0.5062282 1.1543402 0.4049020 0.24660170 1.06230284
100289635 5.47145351 5.3074319 5.1114147 5.1862131 5.45622601 5.60734158
100289640 2.16955981 1.7562840 1.8335665 2.4637574 2.78626670 2.49992031
100289678 3.18358132 2.4805099 3.0441111 3.4637513 2.67846107 3.44250827
100293516 4.46859330 3.4548697 4.2274401 4.0678206 4.36159911 5.10757330
100294362 2.51947938 2.5424287 1.2921237 2.1418323 1.97020656 1.90117022
1003 1.70662807 2.6588223 2.0037052 2.7267898 -0.09224673 -1.17995959
100302692 1.92341901 2.2022543 2.0817977 1.4048768 2.05886735 2.00347397
100302736 2.11184866 1.1073921 1.5335624 1.4048768 2.36736670 2.86857617
100303728 2.97282251 3.2474444 3.2270741 2.8198985 3.56868792 3.28891775
100303755 1.70662807 1.4027452 1.4178878 1.4048768 1.87573827 1.06230284
100312828 0.19788495 -0.1033826 0.6384466 -0.1800353 0.94968773 0.62227074
100312850 0.58480994 -1.1799596 -1.1799596 -0.1800353 -0.09224673 -0.01401881
10036 4.33625561 4.7870004 4.2945709 4.2461573 5.26448676 4.81578812
100379345 3.00488238 3.3548817 2.9220472 2.7267898 3.40920765 3.11700600
10038 5.35190824 5.3163208 5.6362506 5.2035952 5.61085687 5.79019792
100381270 0.74524105 1.9514955 0.6384466 1.5203521 0.75112613 1.79105447
10039 5.76147956 5.7229076 6.0202583 6.0487088 6.18901624 5.97781795
1004 9.26459269 10.3656185 8.9433455 9.4295296 6.11340638 5.67865585
10040 3.61600823 3.7972389 3.3583823 3.6012543 4.07316569 4.31684522
100418710 1.02082586 2.2770090 0.1512572 1.1418474 1.27985841 2.49992031
100418735 3.03624526 3.4223043 3.3583823 3.4923203 3.65654646 3.76728934
100418744 2.05173237 0.7355864 1.7403289 0.9898477 -0.09224673 1.54186732
100418770 1.02082586 1.6477871 1.5335624 1.4048768 2.98035756 2.35263868
100418781 0.40428022 -0.5434968 0.6384466 0.6272872 2.14239352 1.24046406
100418819 1.14110123 0.9334338 1.0019949 1.4048768 1.12419776 1.67183427
100418829 1.14110123 2.5424287 1.8335665 0.8199269 3.15140605 2.75584343
100418888 0.58480994 1.2626137 1.1543402 1.7267998 1.66593700 1.90117022
100418889 2.90648288 2.9143508 2.5892374 2.1418323 3.06841530 2.35263868
100418910 1.54158658 1.5304625 1.1543402 1.2793482 0.75112613 0.85899877
100418919 1.45139938 2.2770090 1.5335624 2.5747878 1.97020656 2.27294665
100419028 1.14110123 0.5062282 1.6406467 1.2793482 0.94968773 1.90117022
100419185 0.74524105 -0.1033826 -0.1722149 -0.5950475 -0.09224673 0.33892411
100419416 -0.04304733 1.4027452 0.1512572 0.6272872 0.94968773 1.06230284
100419515 0.88960378 0.7355864 -0.1722149 0.4049020 0.52080707 1.39902245
100419645 1.45139938 0.2333850 -0.5898293 0.4049020 -0.09224673 -1.17995959
100419758 0.40428022 0.5062282 0.1512572 -0.5950475 -0.53593338 -1.17995959
100419928 1.70662807 -0.5434968 1.8335665 2.1418323 1.77464802 2.35263868
10042 4.97682360 5.1170820 5.1572245 5.2122083 5.74383623 5.66311009
100420028 0.19788495 1.2626137 1.1543402 0.6272872 -1.17995959 -0.01401881
100420050 0.19788495 0.7355864 0.6384466 0.1418777 -0.53593338 0.62227074
100420110 3.29149286 3.4867162 3.1201025 3.1774485 3.68468257 3.44250827
100420187 1.98900174 1.7562840 1.4178878 0.8199269 2.62137866 1.24046406
100420259 3.71623306 4.0094238 3.2942215 3.8642878 3.89196096 3.70792054
100420307 1.98900174 1.2626137 0.1512572 1.5203521 1.42034760 0.85899877
100420341 5.19400874 5.2058589 5.3431143 5.3197366 5.31035534 5.30078110
100420423 0.58480994 0.5062282 0.8316420 0.4049020 1.42034760 -0.01401881
100420591 0.40428022 1.2626137 0.1512572 0.4049020 -0.53593338 2.27294665
100420707 3.06694083 3.0051066 2.5347458 2.5203404 3.44254528 3.24782189
100420752 1.54158658 2.3480802 1.2921237 2.2122209 2.43518394 2.00347397
100420869 4.48004315 4.2324319 4.5076126 4.6400707 4.05172125 4.12592488
100420981 5.33309037 5.7946322 5.6035319 5.2874963 5.52786725 5.42580290
100421093 3.91491237 3.8224159 3.7657220 4.0487118 4.17585220 4.33657928
100421109 0.74524105 0.7355864 0.1512572 0.1418777 0.24660170 0.85899877
100421160 0.74524105 0.5062282 0.8316420 0.9898477 1.66593700 0.85899877
100421175 1.14110123 -0.1033826 0.1512572 0.1418777 1.87573827 1.79105447
100421246 1.14110123 1.2626137 1.2921237 2.0678325 1.12419776 2.18859386
100421311 2.68692699 3.1313579 2.0037052 2.4637574 2.78626670 1.39902245
100421372 1.14110123 1.4027452 2.0817977 1.4048768 1.97020656 2.27294665
100421400 2.42785438 2.8667381 1.8335665 1.9898309 1.27985841 2.09900110
100421415 0.58480994 -1.1799596 0.4153200 -1.1799596 -0.53593338 1.39902245
100421429 0.19788495 0.2333850 0.1512572 0.1418777 0.52080707 -0.01401881
100421465 1.54158658 2.4158140 2.0037052 1.1418474 1.77464802 2.56828142
100421468 0.88960378 0.7355864 1.4178878 1.6272656 1.27985841 1.24046406
100421506 -0.33244444 -1.1799596 -1.1799596 -1.1799596 -0.09224673 -1.17995959
100421569 0.74524105 -0.5434968 0.4153200 -1.1799596 0.52080707 0.62227074
100421595 1.85471241 0.7355864 1.9211425 1.7267998 0.94968773 2.09900110
100421794 2.94003397 2.8667381 3.1922908 3.1052990 3.02505817 3.28891775
100422106 1.45139938 1.2626137 1.2921237 0.8199269 1.77464802 1.90117022
100422338 1.62646609 1.8571890 1.1543402 1.8199080 2.62137866 2.97313481
100422546 0.88960378 0.9334338 0.4153200 0.8199269 -0.09224673 0.62227074
100422561 3.77318754 3.9189478 4.0445265 3.8859828 3.91589585 3.98298579
10043 5.60294649 5.5147107 5.7482503 5.6012502 5.85324356 5.82554115
10044 -0.33244444 1.6477871 0.8316420 1.4048768 3.53817112 3.93200905
10045 -0.33244444 -1.1799596 0.8316420 0.1418777 0.75112613 1.39902245
10046 0.88960378 -0.5434968 0.8316420 1.2793482 0.75112613 -0.01401881
10048 6.25359074 6.5869974 6.2532512 6.4345997 6.81627794 6.80936254
10049 5.46570576 5.7229076 5.6167085 5.6272453 5.45622601 4.93708537
100499177 3.50829744 2.2022543 3.7176106 3.2461609 3.34012831 4.21391065
100499483 1.54158658 1.5304625 0.8316420 1.5203521 0.75112613 0.33892411
1005 1.02082586 0.9334338 -0.1722149 1.6272656 0.52080707 0.62227074
100500719 0.88960378 0.9334338 1.0019949 -0.5950475 -0.09224673 1.90117022
100505385 2.60563119 2.6588223 2.2263418 2.7740951 2.98035756 3.51357739
100505501 1.14110123 0.9334338 0.6384466 1.4048768 2.67846107 1.06230284
100505538 -0.69484244 0.7355864 0.1512572 1.2793482 1.12419776 1.39902245
100505549 0.19788495 -1.1799596 -0.5898293 -1.1799596 0.52080707 -1.17995959
100505573 5.74258978 6.0126531 5.8297214 5.6527804 5.91985700 6.02114390
100505576 2.83694509 3.4223043 3.8122806 3.6778753 2.83729176 3.67729412
100505616 -0.04304733 -1.1799596 0.1512572 0.1418777 -1.17995959 -0.48227700
100505624 1.54158658 1.6477871 2.1558792 2.0678325 0.75112613 1.24046406
100505635 -0.69484244 -1.1799596 -1.1799596 -1.1799596 1.42034760 2.35263868
100505641 2.11184866 1.7562840 2.4191700 2.5203404 2.56194432 3.07062500
100505648 3.50829744 2.5424287 3.2942215 3.5203346 3.22988135 2.92180251
100505678 2.68692699 1.7562840 2.3577137 2.8642924 2.05886735 3.02270323
100505696 4.08951328 3.8471612 4.1570324 4.2122101 4.13565034 4.37525561
100505715 1.25211648 0.7355864 1.7403289 -0.1800353 -1.17995959 -1.17995959
100505738 1.98900174 -0.1033826 2.0817977 2.4637574 2.14239352 2.63354930
100505741 1.54158658 1.4027452 1.1543402 1.2793482 0.94968773 1.39902245
100505758 3.63661796 3.7455270 3.5898068 3.4048579 2.98035756 3.36775596
100505761 2.68692699 2.4158140 3.3583823 3.0678245 2.67846107 1.90117022
100505771 3.03624526 3.0904896 3.2610384 3.1052990 3.26757422 3.20552099
100505783 -1.17995959 -1.1799596 -0.1722149 -1.1799596 -0.09224673 -1.17995959
100505806 2.22505091 1.5304625 2.6417455 2.7740951 3.30430731 3.20552099
100505812 0.19788495 0.2333850 0.1512572 -1.1799596 -1.17995959 -1.17995959
100505832 0.58480994 1.1073921 1.4178878 1.4048768 -0.53593338 0.33892411
100505854 0.74524105 -1.1799596 0.1512572 0.8199269 1.54836182 0.33892411
100505876 5.44832381 5.5899451 5.7362267 5.5880748 5.31035534 4.74371619
100505894 2.37976310 2.0400138 2.7886932 2.7267898 2.73337063 2.00347397
100505933 -0.69484244 1.2626137 -0.1722149 -0.1800353 1.12419776 -0.01401881
100505994 0.40428022 1.2626137 0.1512572 1.5203521 -1.17995959 -0.48227700
100506020 0.88960378 -0.1033826 1.0019949 0.4049020 0.94968773 1.06230284
100506033 5.01667917 4.9095404 4.9437903 4.8859805 4.52613598 4.69867897
100506054 0.19788495 0.5062282 -0.1722149 0.6272872 1.27985841 -0.01401881
100506068 0.19788495 0.5062282 1.0019949 1.1418474 0.52080707 -0.48227700
100506070 1.25211648 0.7355864 1.8335665 0.1418777 1.27985841 0.85899877
100506083 1.70662807 0.2333850 0.6384466 1.7267998 2.05886735 -0.01401881
100506100 0.40428022 -0.1033826 -0.1722149 -0.1800353 -1.17995959 1.06230284
100506119 0.40428022 1.1073921 -1.1799596 0.9898477 -0.09224673 0.62227074
100506127 2.80087753 2.8175003 2.9638932 2.2122209 2.49995589 2.00347397
100506142 1.35519612 -1.1799596 -0.5898293 -0.1800353 0.52080707 -0.48227700
100506144 1.25211648 0.9334338 1.0019949 1.4048768 0.94968773 0.85899877
100506161 -0.04304733 1.2626137 1.0019949 1.5203521 0.52080707 0.62227074
100506211 1.85471241 1.9514955 3.0045596 1.9073697 3.96260632 4.71384813
100506235 0.74524105 1.2626137 1.6406467 1.5203521 2.22134737 1.39902245
100506258 1.14110123 0.2333850 0.6384466 0.8199269 0.24660170 -0.48227700
100506282 2.94003397 2.4805099 3.2270741 2.5747878 2.36736670 2.97313481
100506286 0.19788495 1.7562840 0.4153200 -1.1799596 0.94968773 -0.01401881
100506302 2.11184866 2.4158140 1.2921237 2.4048642 0.52080707 -0.01401881
100506321 0.58480994 1.2626137 0.4153200 0.4049020 -0.09224673 1.24046406
100506325 0.88960378 0.9334338 0.1512572 -0.1800353 0.94968773 -1.17995959
100506343 1.35519612 0.7355864 1.0019949 0.4049020 -0.09224673 0.33892411
100506365 5.36431850 5.2342773 5.5218399 5.2956242 5.62544609 5.20740912
100506368 -0.33244444 -0.1033826 0.4153200 -0.1800353 1.27985841 -0.01401881
100506380 3.46285581 2.6017989 2.8789511 2.9073608 3.15140605 2.86857617
100506392 4.33625561 3.8224159 4.4201309 3.9073564 4.11512136 4.19241214
100506394 0.19788495 -0.1033826 0.4153200 1.1418474 0.52080707 -0.01401881
100506411 1.35519612 1.1073921 1.6406467 -0.1800353 2.14239352 1.39902245
100506433 2.87213291 1.6477871 3.0045596 1.8199080 -0.09224673 2.27294665
100506462 -0.04304733 -1.1799596 0.6384466 0.1418777 -0.09224673 -1.17995959
100506469 3.36743921 3.2474444 3.5898068 3.4637513 2.29620363 2.81331064
100506495 0.58480994 0.5062282 0.1512572 1.2793482 0.52080707 0.33892411
100506504 2.72591914 0.5062282 1.4178878 1.6272656 2.93422753 2.56828142
100506540 2.42785438 1.6477871 -0.1722149 1.2793482 1.54836182 2.18859386
100506581 2.64685164 2.6588223 2.6417455 2.7740951 3.19117722 2.00347397
100506606 0.58480994 0.2333850 0.8316420 0.4049020 0.24660170 -0.01401881
100506658 1.54158658 1.4027452 -0.1722149 2.1418323 0.94968773 -0.01401881
100506668 2.80087753 3.1711004 2.7886932 3.1418247 3.11050735 3.32887532
100506686 1.25211648 0.2333850 1.0019949 -0.1800353 0.75112613 2.49992031
100506691 0.19788495 0.9334338 -1.1799596 -0.1800353 -0.09224673 -0.01401881
100506696 -0.33244444 -1.1799596 1.0019949 -0.1800353 1.12419776 1.24046406
100506697 0.40428022 0.5062282 -0.1722149 0.4049020 0.52080707 1.39902245
100506710 4.87642280 4.7349135 4.9542085 4.7387548 4.70161859 5.06088308
100506713 -0.69484244 0.9334338 0.4153200 0.6272872 0.52080707 0.33892411
100506725 4.05929926 4.1749489 4.1926657 3.9898183 4.13565034 4.48542733
100506731 -0.04304733 1.1073921 0.4153200 0.8199269 1.87573827 0.33892411
100506757 0.58480994 1.5304625 1.8335665 1.1418474 1.27985841 1.67183427
100506779 -1.17995959 -0.1033826 1.0019949 -1.1799596 0.52080707 0.85899877
100506804 0.74524105 -1.1799596 -1.1799596 -0.1800353 -0.53593338 -1.17995959
100506826 1.98900174 1.9514955 2.6417455 2.2122209 1.54836182 2.00347397
100506844 1.98900174 2.5424287 2.5892374 2.2793344 1.97020656 2.42815814
100506866 6.95338642 5.4991812 6.6233216 6.1418181 4.74234579 4.48542733
100506881 1.62646609 2.7665225 2.4781149 2.2122209 0.52080707 2.27294665
100506885 -1.17995959 -0.5434968 -0.1722149 1.8199080 2.05886735 2.18859386
100506911 0.19788495 0.5062282 0.8316420 0.4049020 1.12419776 0.33892411
100506922 -0.69484244 -1.1799596 -1.1799596 -0.5950475 -0.53593338 -1.17995959
100506930 3.53049254 3.7972389 3.5898068 3.5203346 -0.09224673 -1.17995959
100506994 1.02082586 1.2626137 1.6406467 -0.1800353 1.66593700 2.09900110
100507003 -1.17995959 -1.1799596 -0.1722149 -1.1799596 -1.17995959 -1.17995959
100507032 -1.17995959 -1.1799596 -1.1799596 -1.1799596 -1.17995959 -1.17995959
100507034 3.43958674 3.2841531 2.9638932 3.4923203 3.02505817 2.63354930
100507050 0.58480994 0.9334338 -1.1799596 1.4048768 0.52080707 -1.17995959
100507053 -0.33244444 -1.1799596 -1.1799596 -1.1799596 -1.17995959 -0.01401881
100507057 -0.04304733 -0.5434968 -1.1799596 0.4049020 -1.17995959 -1.17995959
100507062 0.19788495 -0.5434968 0.8316420 0.4049020 0.52080707 0.62227074
100507071 0.40428022 1.4027452 0.4153200 1.1418474 -0.53593338 0.33892411
100507156 3.12643954 3.2097774 3.0826071 2.8198985 2.93422753 2.63354930
100507171 3.06694083 2.2022543 2.7886932 3.0293506 2.93422753 3.51357739
100507173 -0.69484244 -1.1799596 -0.5898293 -1.1799596 -0.09224673 -0.48227700
100507178 1.45139938 -1.1799596 0.4153200 1.1418474 0.24660170 -0.01401881
100507244 1.85471241 2.1234135 1.4178878 1.6272656 1.27985841 1.79105447
100507246 3.59509981 3.6643083 3.8122806 3.6527844 4.47871477 4.55446238
100507250 0.58480994 -0.1033826 1.0019949 -0.1800353 -0.53593338 0.33892411
100507254 0.58480994 0.9334338 0.4153200 -1.1799596 2.56194432 2.92180251
100507266 0.58480994 1.2626137 0.8316420 1.2793482 1.42034760 -0.01401881
100507290 4.85019155 4.3234225 4.5356327 4.7025347 4.74234579 4.85736404
100507291 0.19788495 -0.1033826 0.8316420 0.4049020 0.52080707 0.62227074
100507303 3.21132531 2.7665225 2.5892374 3.0678245 2.43518394 1.90117022
100507308 -0.33244444 0.7355864 0.4153200 0.9898477 0.24660170 0.85899877
100507316 0.19788495 -0.1033826 0.4153200 0.4049020 -0.53593338 -1.17995959
100507331 1.98900174 2.5424287 1.7403289 2.0678325 1.87573827 1.54186732
100507347 1.25211648 1.9514955 1.9211425 1.5203521 2.22134737 2.97313481
100507373 2.47439414 0.9334338 2.5892374 2.2122209 2.36736670 2.00347397
100507392 -0.33244444 1.2626137 0.4153200 1.1418474 0.24660170 -1.17995959
100507398 1.25211648 1.9514955 1.4178878 0.6272872 -0.09224673 1.67183427
100507401 1.14110123 1.6477871 1.0019949 -0.1800353 0.52080707 -0.48227700
100507420 -0.33244444 -0.1033826 -0.1722149 -1.1799596 0.52080707 -0.01401881
100507433 2.72591914 2.3480802 3.1201025 2.1418323 1.77464802 1.79105447
100507436 0.58480994 -1.1799596 -0.1722149 -1.1799596 0.24660170 -0.01401881
100507437 1.62646609 0.9334338 1.2921237 0.8199269 1.54836182 1.90117022
100507459 1.70662807 0.5062282 1.5335624 0.8199269 1.87573827 1.24046406
100507463 -0.69484244 -0.5434968 0.6384466 0.4049020 -0.09224673 0.33892411
100507487 1.78256941 1.6477871 1.9211425 0.8199269 -0.53593338 1.06230284
100507495 4.32360052 3.8224159 4.1926657 3.9491764 3.86762227 4.23509350
100507516 0.74524105 0.2333850 0.1512572 0.6272872 0.94968773 -0.01401881
100507551 0.88960378 -1.1799596 -0.5898293 -0.5950475 -0.09224673 0.62227074
100507557 0.74524105 1.6477871 1.0019949 1.1418474 1.54836182 1.24046406
100507564 1.14110123 0.9334338 1.6406467 1.4048768 1.54836182 1.06230284
100507567 0.40428022 -0.1033826 -0.1722149 -1.1799596 0.75112613 -1.17995959
100507588 1.02082586 1.8571890 0.1512572 0.4049020 0.24660170 -1.17995959
100507599 -0.33244444 0.9334338 0.4153200 1.1418474 -0.09224673 1.67183427
100507602 4.36123756 4.2324319 4.3270001 4.4781035 4.25304360 4.60415373
100508120 0.88960378 -0.1033826 0.4153200 1.2793482 1.12419776 2.27294665
10051 6.42332971 6.2163280 6.3431987 6.1686181 6.54417135 7.05248321
10052 2.11184866 1.1073921 2.4191700 1.2793482 2.14239352 0.85899877
100526737 1.35519612 1.5304625 1.5335624 1.9898309 2.43518394 2.27294665
100526760 1.92341901 0.9334338 2.0817977 1.4048768 1.97020656 0.62227074
100526820 0.58480994 0.9334338 -0.1722149 0.8199269 -0.09224673 -1.17995959
100526835 4.49140285 3.8954136 4.3108766 4.6400707 4.27171296 4.60415373
100527978 -0.33244444 -1.1799596 -0.5898293 -1.1799596 -0.09224673 0.62227074
100529145 0.88960378 1.6477871 2.1558792 1.7267998 1.12419776 2.00347397
100529215 1.02082586 -0.5434968 0.4153200 0.6272872 0.94968773 0.62227074
100532746 3.88076491 4.0526193 3.6422946 3.9491764 4.00785175 3.02270323
100533106 -1.17995959 0.2333850 1.0019949 0.1418777 1.27985841 0.33892411
100533182 -1.17995959 -1.1799596 0.6384466 -0.5950475 -0.53593338 0.85899877
100533619 0.19788495 -0.1033826 -0.5898293 -1.1799596 -0.09224673 0.33892411
100533629 0.19788495 -0.1033826 0.6384466 -0.1800353 1.54836182 0.62227074
100533695 0.58480994 -0.5434968 0.1512572 1.1418474 0.94968773 1.24046406
100533970 0.58480994 1.2626137 1.1543402 0.1418777 1.66593700 1.39902245
100534593 1.14110123 1.6477871 0.6384466 0.1418777 0.24660170 0.85899877
10054 5.83019190 6.0872542 6.0593874 6.0960144 6.61533248 6.63705584
10056 5.98286502 6.2351992 6.0350563 5.7914338 6.08729611 5.87361072
10057 7.86061745 7.5873585 7.9268957 7.8085741 7.24257603 7.24490156
10058 5.82121715 5.6045324 5.8353685 5.7207571 5.48850653 5.48888829
10059 7.21898497 7.3719269 7.3784792 7.1597395 7.34309288 7.22121180
1006 4.62116889 4.7481126 4.5216907 4.4198050 5.73040179 5.76128638
10060 4.69180351 4.6389756 4.7055906 4.4198050 4.32631380 4.39421178
100616256 -0.69484244 -0.1033826 0.6384466 0.1418777 -0.09224673 -1.17995959
10062 1.45139938 1.2626137 1.4178878 1.5203521 1.12419776 1.06230284
10063 4.50267379 4.0945590 4.2101577 4.4923174 4.11512136 3.76728934
100652739 0.74524105 -0.1033826 -0.1722149 -1.1799596 -0.09224673 0.85899877
100652758 1.54158658 1.9514955 1.2921237 0.4049020 1.54836182 1.90117022
100652846 3.06694083 1.9514955 2.5892374 2.8198985 1.66593700 2.00347397
10066 6.84021803 7.0022155 6.8410533 6.8940311 6.88760906 6.67242665
10067 6.31561633 6.3127567 6.5358544 6.4345997 6.16923789 6.10982285
10068 3.06694083 3.4867162 3.5898068 3.3434576 3.34012831 3.28891775
10069 3.88076491 4.3056777 3.4198107 4.1949321 3.65654646 3.16194223
10072 4.82347452 5.1670753 4.9748219 4.6272467 4.95364812 4.39421178
10073 3.99690399 4.3753838 4.0049866 3.7740903 3.59857256 4.05622487
10075 8.88746684 8.7021825 8.6707326 8.7342744 8.87520129 8.86747196
10076 3.89793967 3.7972389 4.0638974 4.2292836 6.54032700 6.57610637
10077 0.40428022 -0.1033826 0.1512572 0.8199269 1.97020656 1.67183427
100775107 1.14110123 -0.5434968 1.6406467 0.9898477 0.52080707 0.85899877
10078 4.05929926 4.7611920 5.0832138 4.6653817 4.61654375 4.92410066
10079 5.19400874 5.2621468 4.4498848 5.1774429 5.36353939 4.87096062
1008 4.85019155 5.4755691 4.7421230 5.2207703 4.09429603 4.03222260
10081 5.04778939 4.9895181 5.0447342 5.1052932 5.22671208 5.35015677
10082 6.42036121 6.3905714 6.5768837 6.3355897 7.45554932 7.11380818
100820829 4.90218560 4.6103507 5.1114147 4.8533144 6.12884869 5.90699124
10084 5.25526388 5.3426635 4.8239312 5.0390596 5.22671208 5.06088308
100847074 1.85471241 0.5062282 2.2263418 2.2793344 1.97020656 1.67183427
10085 8.56681480 8.6808317 8.4053239 8.5864181 9.29294930 9.14993077
100852407 0.88960378 1.1073921 1.2921237 1.5203521 1.12419776 1.06230284
100861412 0.19788495 -1.1799596 -0.1722149 -1.1799596 0.75112613 2.09900110
100861548 4.11910749 4.6808754 4.1388802 3.9696404 4.34406433 3.82431129
100862671 0.58480994 0.9334338 1.8335665 -0.1800353 0.24660170 1.39902245
10087 6.25359074 6.1180819 6.2017176 6.1949294 6.68663041 6.73696069
100873257 4.31083344 4.2695196 4.1204967 3.8642878 0.52080707 0.62227074
100873333 2.37976310 2.3480802 2.0037052 2.4048642 3.02505817 2.81331064
100873790 3.46285581 3.2474444 3.7657220 3.4923203 3.15140605 3.28891775
100873949 0.88960378 -0.1033826 0.4153200 1.4048768 0.75112613 0.33892411
100873952 0.58480994 -0.1033826 -0.5898293 -0.5950475 0.52080707 0.33892411
100873965 1.54158658 1.4027452 1.9211425 1.6272656 1.66593700 2.18859386
100874006 1.45139938 1.2626137 1.5335624 1.2793482 2.14239352 2.00347397
100874008 1.98900174 2.2770090 1.5335624 2.0678325 1.77464802 -0.01401881
100874014 2.56319827 1.9514955 2.5892374 2.4637574 2.56194432 2.86857617
100874058 1.78256941 2.1234135 1.5335624 1.7267998 1.54836182 2.69599180
100874080 0.88960378 0.9334338 1.4178878 1.2793482 0.24660170 1.54186732
100874097 1.54158658 1.5304625 1.9211425 1.9898309 1.97020656 2.00347397
100874201 -1.17995959 0.9334338 0.1512572 -0.1800353 0.52080707 0.62227074
100874212 0.74524105 0.2333850 1.0019949 0.8199269 0.52080707 1.39902245
100874217 0.40428022 0.5062282 0.6384466 0.1418777 1.27985841 1.06230284
100874235 1.14110123 0.5062282 1.2921237 1.1418474 1.27985841 0.85899877
100874261 1.62646609 0.9334338 1.8335665 0.9898477 0.94968773 -0.01401881
100874291 0.58480994 0.7355864 -0.1722149 0.8199269 -0.09224673 2.35263868
100874362 0.19788495 1.1073921 1.6406467 2.3434642 -1.17995959 1.39902245
100874523 1.62646609 1.2626137 0.8316420 2.1418323 1.97020656 2.00347397
100885775 4.65186528 3.4867162 4.6932046 4.4048547 3.50699483 2.92180251
100885776 -0.04304733 1.2626137 0.4153200 0.4049020 0.52080707 -0.01401881
100885848 5.67445705 5.7689612 5.6933371 5.9898151 5.45622601 5.06088308
1009 9.61483417 9.7303878 9.3565877 9.6594866 9.71656092 9.41765035
10090 3.63661796 3.8954136 3.6678393 4.1236736 4.70161859 4.46763977
10092 7.72042883 8.0418730 7.7317887 7.7282820 7.74495306 7.98123211
10093 7.11449906 7.7470879 7.3030507 7.4976091 7.23069757 6.99465910
10094 3.41593620 3.7972389 3.3894234 3.9696404 3.76594115 3.93200905
10095 5.54960641 5.9165523 5.4352430 5.9388312 5.67537694 5.26002659
10097 8.54653767 9.0480207 8.3541207 8.7609368 8.42691724 8.32783127
10098 6.59111079 7.0348938 6.4090551 6.9568807 6.08201687 5.94605436
10099 7.84631145 8.0052373 7.8605986 7.9910661 8.53711722 8.11579673
100996246 2.27848645 2.4158140 1.9211425 2.4048642 2.29620363 1.90117022
100996251 1.70662807 0.7355864 1.1543402 1.5203521 0.52080707 0.85899877
100996307 2.11184866 0.7355864 1.8335665 2.2122209 2.98035756 2.27294665
100996384 1.98900174 1.9514955 1.6406467 2.0678325 1.87573827 1.06230284
100996419 -1.17995959 -0.1033826 1.5335624 0.1418777 1.66593700 0.62227074
100996485 2.37976310 1.8571890 1.6406467 2.2122209 2.29620363 2.69599180
100996539 0.19788495 1.1073921 0.4153200 0.4049020 -1.17995959 -0.48227700
100996579 -0.69484244 -0.1033826 -1.1799596 0.4049020 1.87573827 1.67183427
100996696 3.31725510 3.5782432 3.7891891 3.7267847 3.62785070 3.16194223
100996842 1.14110123 1.4027452 1.6406467 1.2793482 1.87573827 2.27294665
100996851 -0.69484244 1.2626137 0.1512572 0.4049020 1.97020656 1.24046406
100996939 -0.04304733 0.9334338 0.1512572 0.6272872 0.52080707 1.24046406
101 0.19788495 1.7562840 1.1543402 1.4048768 1.27985841 -0.01401881
1010 1.85471241 -0.5434968 0.4153200 1.8199080 1.27985841 -1.17995959
10100 5.18003592 5.0965894 5.2865240 5.0195635 4.91853783 4.82978031
10101 4.56851067 5.1572143 4.8352484 5.0960154 5.15812870 5.08441707
10102 4.75914065 5.0862328 5.1299135 5.2377434 4.94203937 4.98788617
10103 0.19788495 -0.1033826 1.5335624 -0.1800353 -0.53593338 -1.17995959
10105 7.04489027 7.3482863 7.3471991 7.0072417 7.15980448 6.98843532
10106 6.69547780 6.7565945 6.5289013 6.6496125 7.35627274 7.44678240
101060200 3.21132531 2.3480802 3.6678393 3.3434576 3.02505817 3.20552099
101060691 2.68692699 2.0400138 2.4191700 2.2122209 2.14239352 1.39902245
10109 8.31361336 8.9550359 8.4892102 8.7078714 8.54289271 8.28022185
10112 4.54689716 4.4580318 4.3108766 4.4923174 4.96516421 5.07269806
10113 6.58051247 6.2676411 6.3431987 6.1774420 6.47335526 6.65681325
10114 7.76323126 7.7454434 7.7393383 7.5098874 8.01941724 8.16077006
101154753 0.88960378 0.5062282 0.8316420 -0.1800353 0.24660170 -0.48227700
10116 7.65500897 7.4787197 7.5324190 7.5545990 7.72307519 8.11150771
10117 -1.17995959 1.2626137 -0.1722149 -0.1800353 1.27985841 -0.01401881
1012 8.02499562 8.2660246 7.7438492 8.0317776 5.13791933 4.69867897
10121 6.13547086 6.3863568 6.2147746 6.3237156 6.25618017 6.13257805
10123 6.36585650 6.8605203 6.4052633 6.8913520 6.47738202 6.85796517
101241892 5.54960641 4.7870004 5.2276230 5.4781020 4.55690571 4.41292211
10125 0.40428022 1.1073921 -0.1722149 0.1418777 1.66593700 2.63354930
10126 3.39189148 3.6918924 3.7176106 3.5747822 3.50699483 3.40561622
DMSO_2_C7 TUN_24_C7 THA_24_C7 DOX_24_C7 NUTL_24_C7
100 2.8135361 2.72166071 2.71985850 5.74522842 3.55235126
1000 10.5441152 10.67434330 11.25307243 9.03493639 10.38624715
10000 6.8362611 7.39636144 7.18084534 6.09938977 6.68498039
10001 4.9057782 4.90617573 4.75900358 5.75504571 5.02856857
10003 4.8837423 3.50017924 3.41763571 4.72494241 3.83195563
100037417 -1.1799596 -1.17995959 -1.17995959 -1.17995959 -1.17995959
100049716 2.8594233 2.76584913 2.47602620 4.02519033 2.83430404
10005 3.8379771 3.84725440 3.71639628 3.66798888 4.13636246
10006 6.4125371 6.80272119 6.75500679 6.15976079 6.55627743
10007 5.2102315 5.16731482 5.26100891 5.24377466 5.66166513
10009 5.9754545 5.40939805 5.66219301 5.07768831 5.25081450
100093630 5.7864830 6.34111846 5.94248550 5.53339518 5.93251323
1001 7.5165444 7.33718598 7.28875640 8.85178713 8.06869470
10010 6.1285289 5.75460575 5.60867757 6.08194511 6.03727102
100101267 2.4435222 2.36741613 2.76404303 3.52613504 2.70149160
100101467 3.9268649 4.36089404 3.57473582 2.24635980 4.35848297
10011 5.3693510 5.41634575 5.45543151 5.92338802 6.14349352
100113386 0.6574984 0.33573965 -0.23252305 -0.01341585 -0.21838380
100113397 0.6574984 1.31789149 1.31630211 -0.01341585 0.92974377
100113407 4.8386342 5.23960473 5.04522320 4.59432585 4.32876961
100125288 1.9445990 2.62900373 2.76404303 3.99236688 3.30013140
100127983 2.7661412 2.18417423 2.62721010 0.93083377 2.39238588
100128006 2.2503834 1.53771605 1.63456618 0.23127343 2.55520141
100128016 0.1672971 2.47780460 0.33448392 0.53462012 -0.21838380
100128025 -1.1799596 -0.23159280 0.07865857 1.34898069 -0.21838380
100128054 2.1797966 4.81448134 3.54971193 2.03699479 2.20883037
100128071 -0.1588217 -0.23159280 -0.23252305 1.71362000 0.35353980
100128191 2.0273324 2.30888392 1.19243362 2.77627208 -0.62049918
100128252 2.5025541 3.62538035 2.84854858 1.71362000 2.65435739
100128379 0.6574984 1.05844442 2.18243040 0.85982175 0.76201339
100128398 4.2360533 4.53696612 4.69196951 3.84388264 4.41613448
100128494 4.1088495 3.55157070 3.49832311 2.99087471 3.76696907
100128569 1.7633756 1.72843223 1.05692244 1.67277122 1.34038198
100128640 -1.1799596 -0.23159280 -1.17995959 3.40665849 -0.62049918
100128682 -1.1799596 -1.17995959 -1.17995959 -0.67924834 -0.62049918
100128731 6.1881827 6.49014246 6.16064601 7.10724792 6.82724372
100128766 2.9470385 3.11236117 2.42189337 2.21824733 3.33043426
100128782 1.0227142 2.30888392 -0.23252305 2.21824733 2.07205066
100128822 -1.1799596 -1.17995959 -1.17995959 -1.17995959 -1.17995959
100128833 1.4400626 2.85036183 2.47602620 2.69700530 2.83430404
100128881 1.6634444 1.43198658 2.36564991 2.77627208 1.07998876
100128893 5.9754545 5.18369518 5.08930419 5.68230881 5.49107778
100129001 1.0227142 1.05844442 0.55170488 0.78513262 1.75211119
100129013 2.1797966 1.31789149 1.43037119 1.18436334 1.45484207
100129029 0.1672971 0.90882794 0.55170488 1.12503439 1.45484207
100129060 3.2523573 2.80872423 2.67427790 2.97416125 3.06806517
100129075 1.3139019 2.24787618 0.90735071 4.26392455 1.56088488
100129195 2.0273324 1.97422480 1.72675812 3.05585710 2.65435739
100129203 1.7633756 0.74188067 0.74045916 4.50406464 -0.21838380
100129250 1.9445990 1.43198658 1.43037119 2.27393492 2.60563110
100129259 0.6574984 2.04765553 1.89515273 1.24134852 1.56088488
100129361 6.1881827 5.57377856 5.81702197 5.58659376 6.09135967
100129398 1.1756421 1.72843223 0.55170488 0.99851381 -0.62049918
100129434 0.1672971 -0.23159280 -0.23252305 -0.01341585 -1.17995959
100129461 1.5560726 2.62900373 1.89515273 1.12503439 0.92974377
100129484 2.0273324 2.04765553 1.97251037 4.30460085 2.83430404
100129550 4.6426184 5.13398537 4.73700316 6.21770666 4.98160505
100129583 -1.1799596 1.05844442 1.05692244 1.67277122 -1.17995959
100129662 0.4331185 0.55305509 1.53607832 2.63455952 0.35353980
100129707 1.0227142 0.55305509 0.33448392 1.06316060 1.56088488
100129716 0.8516323 0.55305509 1.72675812 2.37924885 2.14206089
100129726 1.5560726 -1.17995959 -0.23252305 3.54888731 1.92093174
100129774 3.2175437 3.36307135 4.20724763 3.70897138 3.62749432
100129781 2.5592652 1.31789149 1.05692244 1.67277122 2.44872419
100129792 1.1756421 0.55305509 0.07865857 -0.01341585 1.65966405
100129794 2.1055776 2.62900373 1.53607832 0.23127343 2.27264589
100129842 1.7633756 1.53771605 0.90735071 1.82965381 1.99846896
100129917 2.1055776 3.78419986 2.96669358 3.17764971 2.14206089
100129924 1.0227142 2.24787618 1.05692244 2.06882938 1.83898942
100129940 0.6574984 -1.17995959 0.07865857 0.23127343 -0.21838380
100129995 0.6574984 -0.23159280 0.33448392 1.44913744 -0.21838380
10013 5.7071413 5.72133068 5.58424049 5.79127680 5.87199518
100130111 -1.1799596 1.05844442 -1.17995959 0.85982175 0.35353980
100130197 0.6574984 0.55305509 0.90735071 1.24134852 0.57218507
100130335 3.1452903 2.80872423 2.57855478 2.59137497 2.79137752
100130348 3.7185649 3.82654093 3.88593607 3.30339919 3.06806517
100130357 0.8516323 -1.17995959 1.19243362 -0.48185990 0.09573511
100130466 3.4148385 3.04223068 3.11052828 3.80660651 2.95591400
100130476 0.4331185 -1.17995959 -1.17995959 1.54279007 0.76201339
100130522 0.4331185 -0.23159280 0.33448392 2.27393492 1.21605223
100130550 1.1756421 1.43198658 1.43037119 -0.48185990 1.21605223
100130564 3.6418657 3.50017924 3.27223838 2.83298887 2.83430404
100130581 1.3139019 1.19399232 0.90735071 2.32755264 2.39238588
100130691 2.1797966 3.50017924 2.88901484 0.33963225 1.75211119
100130705 1.4400626 1.05844442 1.19243362 1.82965381 1.45484207
100130748 1.4400626 -0.23159280 1.63456618 1.44913744 2.14206089
100130750 -1.1799596 -1.17995959 -1.17995959 -1.17995959 -1.17995959
100130855 2.0273324 1.97422480 1.72675812 1.97113740 1.83898942
100130958 0.6574984 2.04765553 1.19243362 3.47952490 1.07998876
100131017 -1.1799596 -1.17995959 -1.17995959 -1.17995959 -1.17995959
100131031 3.3520244 2.67607595 2.24612424 -0.01341585 2.74713448
100131033 2.6138311 1.97422480 1.63456618 1.86634662 1.45484207
100131067 2.8594233 2.85036183 2.24612424 1.86634662 1.83898942
100131089 1.4400626 1.72843223 1.43037119 1.49672356 1.07998876
100131094 -0.1588217 0.07978314 -0.23252305 1.34898069 0.57218507
100131138 4.4002799 3.21155166 2.92837695 1.24134852 2.91650545
100131187 -1.1799596 -0.62921309 -0.23252305 -1.17995959 -1.17995959
100131193 2.6138311 1.72843223 0.55170488 1.71362000 2.33375779
100131211 4.3846734 4.56224366 3.76068535 4.49237433 3.93415636
100131213 1.8568310 -1.17995959 0.07865857 2.95725189 1.92093174
100131471 2.5592652 2.89083135 1.89515273 2.16032361 2.27264589
100131656 3.4750314 4.05739888 3.62351795 4.45672406 3.41770136
100131685 2.5592652 2.11752908 2.24612424 1.24134852 2.44872419
100131691 2.2503834 2.67607595 2.88901484 4.01705421 2.60563110
100131740 1.0227142 1.43198658 0.90735071 1.29616811 1.34038198
100131801 3.0296361 3.04223068 3.30251378 4.44464214 3.65169673
100131827 -1.1799596 0.33573965 1.72675812 1.29616811 1.34038198
100131828 -1.1799596 0.55305509 -1.17995959 -0.48185990 -0.62049918
100131940 0.8516323 0.74188067 1.05692244 1.71362000 0.09573511
100132074 -0.5808708 -1.17995959 -1.17995959 0.70636467 -0.62049918
100132086 1.1756421 0.90882794 0.07865857 0.53462012 1.21605223
100132116 8.2934487 5.66410771 6.52077695 6.48875906 7.97589318
100132126 1.3139019 0.74188067 -0.23252305 0.23127343 0.35353980
100132215 1.3139019 0.33573965 1.19243362 -0.15331719 1.56088488
100132537 2.4435222 1.89685520 2.04593033 1.34898069 1.83898942
100132609 2.0273324 1.72843223 1.05692244 1.34898069 0.92974377
100132659 -1.1799596 0.74188067 0.33448392 0.33963225 0.09573511
100132891 -1.1799596 -1.17995959 -1.17995959 -1.17995959 -1.17995959
100132972 0.8516323 1.05844442 0.33448392 -0.67924834 0.76201339
100133234 0.4331185 0.55305509 0.33448392 1.54279007 0.92974377
100133286 0.4331185 -0.62921309 0.55170488 -0.48185990 -0.21838380
100133315 1.1756421 0.55305509 0.90735071 0.85982175 -0.21838380
100134934 1.4400626 2.04765553 1.05692244 1.49672356 2.07205066
10014 6.1425157 6.24292553 6.53996396 6.44848771 6.48398151
100144603 2.7661412 2.62900373 2.24612424 2.03699479 3.06806517
100144748 1.0227142 2.04765553 1.31630211 6.70803393 3.69891653
10015 7.5111641 7.48824584 7.56335348 7.95489549 7.53673668
10016 5.8673136 5.92991095 5.83266651 6.37080618 5.83019181
100170229 0.4331185 0.07978314 1.53607832 0.11411017 1.34038198
100170841 3.3520244 4.02139770 3.54971193 5.92556298 3.17212336
10018 3.9901116 4.59934848 4.46987086 7.15900276 5.10943263
100188847 1.4400626 0.33573965 1.19243362 2.03699479 1.45484207
10019 4.2704283 4.85595547 4.54776515 6.00792609 3.87370865
100190938 2.4435222 2.89083135 3.00401883 1.29616811 1.92093174
1002 2.6664082 0.33573965 -0.23252305 0.99851381 1.34038198
10020 4.2008393 4.79328842 4.35900403 3.24885893 3.49998950
10021 7.5553980 6.75693043 6.48822042 7.49841969 7.91470677
10023 1.5560726 2.85036183 1.89515273 3.88021983 2.33375779
10024 3.6934488 2.36741613 -0.23252305 1.93704592 -1.17995959
10026 6.2280825 6.33379793 6.51755416 6.08778347 6.15200224
100268168 -0.1588217 0.33573965 1.19243362 1.44913744 -0.21838380
100270804 2.3176772 2.42366591 1.43037119 1.58743104 2.60563110
100270827 -0.5808708 -1.17995959 0.07865857 0.62304654 0.35353980
100270840 3.5042116 4.10977025 3.33216687 2.67648890 3.38919485
100270854 2.7171363 2.62900373 2.42189337 2.61312882 2.65435739
100270865 3.6934488 3.71826299 3.52424631 3.00739676 4.20339014
100271271 3.5042116 3.90766810 2.67427790 2.99087471 3.74463967
100271332 3.2523573 3.82654093 2.62721010 1.86634662 3.23754666
100271415 2.5592652 1.81510007 2.11579413 1.75334394 1.99846896
100271479 -1.1799596 -0.62921309 -0.23252305 -0.30825637 -0.21838380
100271884 0.6574984 0.90882794 0.33448392 -0.01341585 0.92974377
100272147 3.3195611 3.36307135 2.57855478 3.27638678 2.83430404
100286844 0.6574984 0.90882794 1.31630211 1.54279007 1.65966405
100287015 0.8516323 -0.23159280 0.33448392 0.93083377 0.09573511
100287049 1.4400626 1.19399232 1.63456618 1.29616811 1.92093174
100287074 2.1055776 2.80872423 1.63456618 1.82965381 2.50294489
100287616 4.2008393 4.24078927 4.19115568 3.31671807 3.55235126
100287722 1.7633756 1.31789149 1.19243362 1.18436334 0.35353980
100287808 0.4331185 0.33573965 1.05692244 2.47739532 1.45484207
100287837 0.4331185 -0.62921309 0.55170488 1.58743104 0.09573511
100287896 3.4452489 3.78419986 3.04040270 0.93083377 3.62749432
100287902 0.4331185 -0.62921309 0.07865857 -0.01341585 0.76201339
100287928 2.7171363 3.33401380 3.14435292 3.54888731 3.10359174
100287932 5.4161597 5.40241673 5.95683346 5.57000517 5.61318922
100288001 2.4435222 2.11752908 1.81341096 1.79200336 1.92093174
100288073 4.2360533 6.97260163 6.93729923 2.88756002 3.99217288
100288123 1.4400626 0.90882794 2.11579413 1.34898069 1.83898942
100288198 2.7171363 3.71826299 3.33216687 3.69883438 2.39238588
100288241 1.1756421 0.74188067 1.31630211 1.44913744 1.75211119
100288413 2.1797966 3.55157070 4.37333734 6.31382804 3.06806517
100288513 0.6574984 0.55305509 0.74045916 0.99851381 -0.21838380
100288842 1.1756421 1.81510007 1.05692244 0.99851381 1.56088488
100289061 0.6574984 1.31789149 0.55170488 1.49672356 -0.62049918
100289095 -0.1588217 0.33573965 0.07865857 0.70636467 -0.21838380
100289133 2.1797966 1.05844442 1.63456618 2.21824733 1.99846896
100289178 2.2503834 1.89685520 1.31630211 1.93704592 1.83898942
100289211 0.6574984 0.90882794 0.90735071 0.11411017 0.09573511
100289259 0.4331185 1.81510007 1.43037119 1.34898069 0.35353980
100289274 2.9038959 5.24741782 4.32990300 4.98479281 2.79137752
100289341 1.5560726 1.19399232 1.63456618 3.36879703 0.92974377
100289373 -1.1799596 0.33573965 -1.17995959 1.75334394 -1.17995959
100289388 2.6138311 2.58034368 2.04593033 2.79542649 2.39238588
100289414 0.4331185 0.74188067 -0.23252305 0.44041789 1.07998876
100289635 5.5689742 5.97295807 5.67382048 4.52142439 5.55020995
100289640 2.0273324 2.52998494 2.88901484 2.06882938 0.76201339
100289678 2.4435222 2.93019656 2.24612424 2.73718302 3.38919485
100293516 4.0507018 4.03951058 3.33216687 2.63455952 4.20339014
100294362 1.5560726 1.43198658 1.72675812 1.58743104 1.92093174
1003 1.3139019 -1.17995959 1.05692244 0.44041789 -0.21838380
100302692 1.9445990 1.31789149 1.31630211 1.06316060 2.14206089
100302736 1.7633756 3.60119429 3.44503599 1.54279007 1.56088488
100303728 3.6418657 3.27408173 3.00401883 3.36879703 3.81061706
100303755 1.7633756 1.63622330 1.05692244 0.53462012 0.57218507
100312828 0.1672971 1.05844442 0.90735071 0.85982175 0.09573511
100312850 -0.1588217 -0.23159280 -0.62982575 0.93083377 0.92974377
10036 5.1561047 3.60119429 3.11052828 3.70897138 3.44565550
100379345 3.4148385 3.17924002 2.84854858 1.18436334 3.26917837
10038 5.5550982 5.81893839 5.30653454 2.54685776 5.06506881
100381270 1.5560726 1.72843223 1.97251037 0.78513262 1.83898942
10039 6.0416348 6.05092307 5.93284030 4.75949132 6.23443825
1004 6.2368012 6.86752557 6.45491220 4.40154039 6.14775415
10040 3.7185649 5.19989165 4.62166832 2.35363229 4.76573924
100418710 1.0227142 2.11752908 1.63456618 2.92282674 2.33375779
100418735 2.8594233 3.57659585 3.00401883 2.37924885 3.13826444
100418744 1.0227142 1.05844442 1.72675812 0.53462012 2.14206089
100418770 2.3819714 2.04765553 2.52820111 1.18436334 2.55520141
100418781 1.4400626 1.19399232 1.05692244 1.29616811 1.45484207
100418819 1.6634444 1.43198658 2.11579413 2.69700530 1.99846896
100418829 2.9470385 2.18417423 2.62721010 1.12503439 2.87599012
100418888 1.6634444 1.05844442 1.81341096 1.86634662 1.83898942
100418889 2.8594233 2.24787618 2.71985850 2.32755264 2.60563110
100418910 1.6634444 -0.23159280 1.05692244 0.93083377 1.75211119
100418919 2.3819714 2.36741613 2.52820111 3.19217552 1.56088488
100419028 1.1756421 1.72843223 1.31630211 1.93704592 1.65966405
100419185 0.1672971 -0.62921309 0.74045916 0.44041789 1.07998876
100419416 0.4331185 0.33573965 0.74045916 2.03699479 0.57218507
100419515 -0.1588217 0.74188067 1.19243362 -0.15331719 1.07998876
100419645 -0.1588217 -0.23159280 -0.23252305 0.33963225 0.35353980
100419758 -1.1799596 -1.17995959 -0.23252305 1.79200336 -0.21838380
100419928 1.1756421 0.90882794 1.43037119 1.24134852 1.56088488
10042 5.6429946 5.11702738 4.83346579 5.31518954 5.14396691
100420028 0.1672971 -1.17995959 1.19243362 1.18436334 -1.17995959
100420050 -1.1799596 -0.62921309 0.55170488 -0.01341585 0.35353980
100420110 3.1818693 3.86767469 4.15842308 3.97567080 3.62749432
100420187 1.0227142 2.58034368 0.55170488 2.00444185 1.83898942
100420259 3.8379771 3.60119429 4.09064198 3.94168754 3.55235126
100420307 1.0227142 2.04765553 0.33448392 1.97113740 1.99846896
100420341 5.2709152 6.87258632 6.68491220 4.67927089 4.84134064
100420423 1.1756421 1.53771605 1.31630211 -0.15331719 -0.21838380
100420591 0.8516323 1.31789149 1.89515273 1.12503439 1.21605223
100420707 2.9470385 2.24787618 2.92837695 2.95725189 2.44872419
100420752 1.6634444 3.36307135 2.76404303 0.85982175 1.75211119
100420869 3.8607177 3.98447510 3.30251378 4.11940458 3.60287895
100420981 5.6429946 6.02388452 5.71379415 5.60027336 5.35029157
100421093 3.5608588 3.60119429 4.10788814 4.61603558 3.91428721
100421109 0.8516323 0.07978314 0.55170488 0.53462012 0.92974377
100421160 -0.1588217 -1.17995959 0.33448392 0.33963225 0.57218507
100421175 0.8516323 1.43198658 1.72675812 2.32755264 1.34038198
100421246 1.5560726 2.11752908 1.19243362 2.18957615 1.56088488
100421311 2.7661412 2.93019656 2.47602620 2.06882938 2.07205066
100421372 2.0273324 2.58034368 0.33448392 1.97113740 1.75211119
100421400 2.3176772 1.63622330 1.97251037 1.24134852 2.20883037
100421415 0.4331185 -1.17995959 0.55170488 -0.15331719 1.34038198
100421429 0.8516323 0.33573965 0.90735071 -0.15331719 0.09573511
100421465 2.0273324 2.80872423 2.47602620 2.18957615 1.65966405
100421468 1.4400626 2.42366591 1.53607832 1.90212930 0.57218507
100421506 0.8516323 -0.23159280 -1.17995959 -0.15331719 -1.17995959
100421569 1.0227142 1.31789149 1.05692244 1.18436334 0.09573511
100421595 1.3139019 1.05844442 1.31630211 0.85982175 2.14206089
100421794 3.2863505 4.07506808 3.17740266 3.59334289 3.47307827
100422106 2.0273324 2.11752908 1.31630211 2.27393492 1.45484207
100422338 1.9445990 2.36741613 2.47602620 1.86634662 1.99846896
100422546 1.1756421 0.07978314 0.33448392 0.33963225 0.09573511
100422561 4.0507018 4.47176394 4.38752964 3.19217552 3.97309210
10043 5.6030913 5.80841353 5.54679077 5.22270384 5.84601036
10044 3.2175437 2.67607595 2.24612424 2.40441849 2.74713448
10045 1.1756421 3.78419986 2.47602620 2.54685776 0.76201339
10046 0.1672971 0.55305509 -0.23252305 0.53462012 -1.17995959
10048 6.7414186 7.09456325 6.83485844 7.48077920 6.68204576
10049 5.0998677 5.68726997 5.57806599 5.92338802 5.49776898
100499177 3.9482567 4.47176394 3.88593607 2.50092304 3.72195923
100499483 0.4331185 0.55305509 1.31630211 -0.01341585 0.35353980
1005 -1.1799596 -1.17995959 -1.17995959 0.44041789 -1.17995959
100500719 0.8516323 1.05844442 1.72675812 1.29616811 1.07998876
100505385 3.3195611 3.07772202 3.30251378 3.67834416 4.10164346
100505501 1.8568310 2.42366591 1.72675812 0.85982175 0.57218507
100505538 1.9445990 2.76584913 2.04593033 2.81432993 0.92974377
100505549 -1.1799596 -0.23159280 0.07865857 -0.67924834 -1.17995959
100505573 6.2016056 5.52318606 5.61472270 7.22052576 7.08668272
100505576 3.4750314 3.52610379 2.67427790 2.27393492 3.41770136
100505616 0.8516323 0.33573965 1.19243362 1.18436334 -0.21838380
100505624 1.6634444 1.19399232 1.31630211 0.93083377 1.07998876
100505635 1.8568310 0.74188067 0.07865857 -0.30825637 0.57218507
100505641 2.5592652 3.21155166 2.62721010 2.37924885 2.87599012
100505648 3.1818693 3.33401380 3.67070440 2.16032361 3.74463967
100505678 2.4435222 1.43198658 2.30712455 0.78513262 1.65966405
100505696 4.1829046 3.98447510 4.64548472 3.54888731 4.57643411
100505715 -1.1799596 -1.17995959 -1.17995959 -1.17995959 -1.17995959
100505738 2.5592652 2.47780460 2.42189337 3.32991511 2.44872419
100505741 0.6574984 1.19399232 0.74045916 2.35363229 1.34038198
100505758 2.8594233 3.52610379 3.78233025 3.45564269 3.03164162
100505761 2.4435222 3.24315544 2.57855478 2.24635980 3.06806517
100505771 3.2863505 3.78419986 3.88593607 3.77800343 4.10164346
100505783 -0.5808708 -1.17995959 -0.62982575 0.33963225 -0.62049918
100505806 2.6664082 3.69559691 3.27223838 1.29616811 2.70149160
100505812 -1.1799596 -0.23159280 -0.23252305 0.33963225 0.35353980
100505832 -0.1588217 0.55305509 -0.23252305 1.75334394 0.76201339
100505854 0.8516323 -1.17995959 -0.23252305 2.86959802 0.76201339
100505876 5.5689742 5.78176048 5.43507848 6.21237203 6.50406059
100505894 2.8135361 2.24787618 0.55170488 2.27393492 2.55520141
100505933 -0.5808708 -1.17995959 0.07865857 0.11411017 -0.21838380
100505994 -1.1799596 0.74188067 1.97251037 0.33963225 -0.21838380
100506020 1.1756421 0.74188067 1.63456618 0.78513262 2.44872419
100506033 4.8271333 4.61150767 4.54776515 4.35065095 4.67418944
100506054 -0.5808708 0.55305509 -1.17995959 0.33963225 0.35353980
100506068 -0.1588217 0.07978314 -1.17995959 1.90212930 -0.21838380
100506070 1.1756421 1.05844442 1.19243362 -0.30825637 1.75211119
100506083 0.4331185 1.43198658 1.05692244 0.11411017 1.21605223
100506100 0.4331185 -0.23159280 0.74045916 -0.67924834 0.92974377
100506119 -0.1588217 0.33573965 1.31630211 3.53755603 1.45484207
100506127 2.1797966 2.30888392 1.97251037 1.67277122 2.65435739
100506142 -1.1799596 -0.62921309 0.07865857 -0.30825637 0.09573511
100506144 1.5560726 1.43198658 1.31630211 0.33963225 1.56088488
100506161 2.1055776 2.11752908 1.53607832 1.06316060 2.07205066
100506211 3.9051511 3.84725440 4.78067353 1.49672356 5.21065024
100506235 1.0227142 1.81510007 2.11579413 2.35363229 1.56088488
100506258 1.1756421 1.53771605 0.55170488 -0.15331719 -0.62049918
100506282 1.9445990 1.72843223 1.63456618 3.13317361 2.50294489
100506286 0.4331185 0.07978314 -0.23252305 2.06882938 1.34038198
100506302 1.0227142 1.19399232 0.90735071 1.54279007 0.76201339
100506321 1.5560726 1.53771605 0.74045916 1.24134852 0.57218507
100506325 0.6574984 0.07978314 -0.62982575 0.62304654 -0.21838380
100506343 -0.1588217 1.43198658 0.33448392 2.79542649 -0.21838380
100506365 5.5340307 5.67573532 5.55310029 4.17164932 5.48435539
100506368 0.4331185 0.55305509 -0.23252305 -0.90798960 1.56088488
100506380 2.6664082 2.67607595 2.11579413 0.93083377 1.21605223
100506392 3.5608588 4.49819946 4.35900403 2.88756002 3.36011369
100506394 -0.5808708 1.19399232 0.33448392 3.39414808 1.07998876
100506411 1.4400626 0.55305509 0.55170488 2.50092304 1.75211119
100506433 1.6634444 1.97422480 0.55170488 -0.67924834 1.34038198
100506462 -0.1588217 0.07978314 0.07865857 2.32755264 -0.62049918
100506469 3.1452903 3.30435895 2.30712455 3.00739676 2.55520141
100506495 1.3139019 0.07978314 0.33448392 2.32755264 1.92093174
100506504 2.4435222 2.47780460 1.31630211 1.93704592 2.70149160
100506540 1.4400626 0.07978314 0.74045916 1.54279007 1.21605223
100506581 2.5592652 4.12681326 3.59933306 2.85140956 3.13826444
100506606 0.1672971 -0.23159280 0.07865857 -0.01341585 -1.17995959
100506658 1.7633756 2.67607595 1.53607832 2.65567653 0.76201339
100506668 3.2175437 3.80552572 2.71985850 2.63455952 3.74463967
100506686 1.4400626 2.76584913 2.30712455 1.29616811 1.34038198
100506691 0.1672971 0.07978314 0.33448392 -0.01341585 0.35353980
100506696 -1.1799596 0.07978314 0.74045916 1.71362000 0.57218507
100506697 0.8516323 1.05844442 0.07865857 1.54279007 -0.21838380
100506710 4.8271333 5.53600149 5.29904600 5.04204683 4.91317681
100506713 0.8516323 0.07978314 -0.62982575 -0.48185990 -0.21838380
100506725 4.3205022 5.08250143 3.38970494 1.18436334 4.41613448
100506731 1.5560726 2.04765553 0.90735071 4.13452570 1.07998876
100506757 0.4331185 1.89685520 1.31630211 1.75334394 2.14206089
100506779 1.4400626 -0.23159280 -0.23252305 1.97113740 1.07998876
100506804 -0.5808708 0.74188067 0.33448392 0.53462012 -0.62049918
100506826 2.0273324 1.53771605 0.90735071 0.70636467 1.75211119
100506844 2.1797966 4.07506808 3.52424631 2.54685776 1.56088488
100506866 5.5054535 4.49819946 4.60961104 3.22079559 4.70920493
100506881 2.0273324 2.24787618 2.18243040 3.88916291 1.75211119
100506885 2.1797966 1.31789149 1.63456618 2.30099285 1.21605223
100506911 -0.5808708 -1.17995959 0.74045916 -0.01341585 1.21605223
100506922 0.1672971 -0.62921309 0.07865857 1.58743104 -0.21838380
100506930 -1.1799596 0.33573965 0.74045916 -0.01341585 -0.21838380
100506994 1.4400626 1.19399232 0.55170488 0.44041789 1.07998876
100507003 -1.1799596 -1.17995959 -0.62982575 -1.17995959 -1.17995959
100507032 -1.1799596 -1.17995959 -1.17995959 -1.17995959 -1.17995959
100507034 3.2863505 3.17924002 2.52820111 5.94069658 2.07205066
100507050 0.4331185 -1.17995959 0.74045916 4.18623536 0.35353980
100507053 -1.1799596 -1.17995959 -0.23252305 0.70636467 0.09573511
100507057 0.1672971 0.74188067 1.53607832 2.09997664 -1.17995959
100507062 0.6574984 0.33573965 0.07865857 1.44913744 1.21605223
100507071 1.4400626 0.74188067 -0.23252305 0.11411017 0.92974377
100507156 3.0692266 2.85036183 2.88901484 3.10274240 1.92093174
100507171 2.3819714 4.20913303 3.86580160 0.85982175 2.39238588
100507173 0.4331185 1.19399232 1.05692244 -0.67924834 0.76201339
100507178 0.8516323 -0.62921309 0.07865857 1.90212930 0.09573511
100507244 2.0273324 1.53771605 1.43037119 2.09997664 1.99846896
100507246 4.1647441 4.47176394 3.54971193 3.82536496 4.38759668
100507250 -0.1588217 1.53771605 0.90735071 0.78513262 0.35353980
100507254 3.2175437 -0.62921309 -1.17995959 -1.17995959 -0.21838380
100507266 -1.1799596 1.05844442 1.31630211 -0.30825637 0.57218507
100507290 4.6941751 4.72777518 4.63362567 4.16430062 4.83077999
100507291 0.8516323 -0.23159280 1.31630211 0.62304654 0.76201339
100507303 1.4400626 3.21155166 2.11579413 2.09997664 1.75211119
100507308 0.4331185 -0.62921309 -0.23252305 0.53462012 -1.17995959
100507316 -0.1588217 -1.17995959 -1.17995959 1.06316060 0.35353980
100507331 1.7633756 1.72843223 1.05692244 2.21824733 2.07205066
100507347 2.5025541 2.67607595 2.57855478 4.48649346 2.33375779
100507373 2.9038959 2.04765553 2.11579413 2.21824733 2.27264589
100507392 -0.1588217 -1.17995959 0.74045916 2.27393492 0.35353980
100507398 -0.1588217 -0.23159280 -0.23252305 2.90530114 0.76201339
100507401 1.1756421 -0.23159280 -0.23252305 0.53462012 -0.21838380
100507420 -0.1588217 -1.17995959 -1.17995959 1.29616811 0.35353980
100507433 2.1055776 1.81510007 1.63456618 2.13046564 1.34038198
100507436 1.0227142 0.90882794 0.74045916 1.79200336 0.76201339
100507437 1.5560726 1.97422480 0.33448392 1.79200336 1.21605223
100507459 0.4331185 0.74188067 0.74045916 3.35595247 0.57218507
100507463 -1.1799596 -0.62921309 0.33448392 2.56928807 0.35353980
100507487 1.6634444 0.55305509 2.11579413 2.63455952 2.74713448
100507495 4.1829046 5.07373928 4.71466204 4.28440605 4.60150091
100507516 -0.1588217 0.33573965 1.05692244 0.78513262 1.56088488
100507551 0.8516323 -0.62921309 0.07865857 1.44913744 0.09573511
100507557 0.6574984 2.11752908 2.11579413 2.47739532 2.39238588
100507564 1.3139019 1.81510007 1.72675812 1.12503439 1.56088488
100507567 -0.1588217 0.90882794 -0.23252305 0.53462012 -0.62049918
100507588 -1.1799596 0.90882794 -0.62982575 1.39992804 0.09573511
100507599 0.4331185 0.07978314 0.74045916 0.62304654 0.76201339
100507602 3.9482567 4.63552287 4.44294261 4.21497234 4.43019444
100508120 2.1797966 1.72843223 2.47602620 -0.01341585 0.92974377
10051 6.5552981 5.27825384 4.99975277 5.72289217 5.35766691
10052 0.1672971 -0.23159280 1.53607832 1.12503439 1.07998876
100526737 2.4435222 2.04765553 1.53607832 2.32755264 1.45484207
100526760 1.7633756 2.18417423 2.30712455 1.58743104 0.57218507
100526820 1.1756421 0.55305509 0.55170488 1.29616811 0.57218507
100526835 5.0413494 2.72166071 2.57855478 0.33963225 3.76696907
100527978 -0.1588217 0.33573965 0.07865857 -0.90798960 -1.17995959
100529145 1.4400626 1.72843223 1.81341096 1.67277122 1.92093174
100529215 -0.1588217 0.55305509 1.31630211 0.44041789 -0.62049918
100532746 3.9268649 3.92725659 3.90579341 3.82536496 4.26744149
100533106 1.0227142 -0.23159280 0.90735071 -0.15331719 -1.17995959
100533182 0.6574984 0.55305509 -0.23252305 1.82965381 1.07998876
100533619 -0.1588217 -1.17995959 -0.23252305 1.24134852 0.76201339
100533629 0.1672971 -1.17995959 0.33448392 -0.48185990 0.92974377
100533695 0.6574984 1.19399232 0.74045916 0.99851381 0.57218507
100533970 1.1756421 0.74188067 1.53607832 1.54279007 0.76201339
100534593 0.1672971 1.05844442 1.31630211 1.97113740 0.09573511
10054 6.4316489 6.92954371 6.68491220 6.32869586 6.14775415
10056 5.9060917 5.94920175 5.80649722 4.59978399 5.53727733
10057 7.2881555 7.04835090 7.15203798 7.86652797 7.76881746
10058 5.4836428 6.78940353 6.29470682 7.36775393 6.75367801
10059 7.1838098 6.54505952 6.54630334 6.86699221 6.86136951
1006 5.4614973 5.64056752 5.92799341 5.44821590 7.40944898
10060 4.2873134 4.82496218 4.23890286 5.61651948 5.02856857
100616256 0.4331185 0.33573965 -0.62982575 0.33963225 0.09573511
10062 1.0227142 1.19399232 1.19243362 1.63073206 1.21605223
10063 4.1088495 4.25636066 4.31512935 3.60424599 3.93415636
100652739 1.0227142 0.90882794 0.90735071 2.21824733 0.57218507
100652758 0.4331185 2.58034368 2.11579413 3.85305310 2.14206089
100652846 1.7633756 1.53771605 0.33448392 0.93083377 2.95591400
10066 6.6464582 6.98199801 7.18897146 6.95586429 7.00449609
10067 6.0953558 6.26233508 6.32820276 5.50167493 6.43601413
10068 3.7432511 3.76255402 3.96377636 4.20067540 4.23577125
10069 2.9889283 3.55157070 3.33216687 4.79798853 3.49998950
10072 5.0009755 3.60119429 3.92538114 5.07768831 4.99112085
10073 3.5883696 4.30209114 4.03763093 3.56013029 4.17026553
10075 8.9002048 9.14381995 8.84166386 8.52454693 8.91651136
10076 6.4467580 5.74911293 6.15235831 7.21431229 7.04160264
10077 1.0227142 2.04765553 0.33448392 1.18436334 0.57218507
100775107 -0.1588217 0.90882794 1.31630211 0.78513262 0.57218507
10078 4.4905317 4.43117961 4.88439423 5.18688714 4.68595595
10079 5.4314311 5.58615425 5.88862069 5.62724947 5.54375813
1008 4.3846734 4.00305452 5.01811327 5.56722176 7.20384704
10081 5.0611204 5.16731482 4.93358598 6.07803971 4.69762727
10082 7.5361020 7.14980080 6.96595567 6.39768986 7.27568630
100820829 5.9438547 4.95470647 3.33216687 3.17764971 5.62546175
10084 5.1743735 4.99238887 4.63362567 4.67927089 4.80942389
100847074 1.8568310 2.42366591 2.24612424 1.97113740 2.20883037
10085 9.4972496 9.08834847 9.41646345 9.36786171 9.43654674
100852407 1.5560726 1.31789149 1.63456618 1.97113740 0.76201339
100861412 0.6574984 0.33573965 0.90735071 -0.15331719 0.09573511
100861548 4.4309955 5.57997968 5.62074262 5.67973404 4.98160505
100862671 0.6574984 0.74188067 0.33448392 0.11411017 0.92974377
10087 6.4163798 6.10352581 6.52077695 6.76622897 6.42201104
100873257 0.6574984 -0.62921309 0.33448392 -0.15331719 0.35353980
100873333 2.7171363 2.62900373 2.62721010 3.23489549 2.65435739
100873790 3.1077597 2.11752908 2.80691445 3.13317361 2.55520141
100873949 -0.1588217 -0.62921309 0.07865857 0.23127343 0.09573511
100873952 -0.1588217 0.55305509 -0.62982575 1.12503439 0.76201339
100873965 2.1797966 2.04765553 1.63456618 1.44913744 1.34038198
100874006 1.9445990 1.89685520 2.11579413 1.18436334 1.34038198
100874008 -0.1588217 0.74188067 1.19243362 0.11411017 2.14206089
100874014 1.9445990 1.53771605 1.05692244 2.54685776 2.55520141
100874058 2.0273324 2.80872423 2.88901484 1.67277122 2.44872419
100874080 0.1672971 0.07978314 0.33448392 1.12503439 0.57218507
100874097 1.5560726 2.18417423 1.63456618 2.40441849 2.14206089
100874201 0.6574984 0.55305509 0.33448392 -0.15331719 -0.21838380
100874212 0.8516323 1.81510007 1.31630211 1.18436334 0.35353980
100874217 -0.1588217 0.55305509 1.43037119 0.33963225 0.76201339
100874235 0.8516323 -1.17995959 -1.17995959 0.33963225 1.45484207
100874261 1.6634444 1.31789149 0.74045916 -0.30825637 1.21605223
100874291 1.0227142 -1.17995959 -0.23252305 0.33963225 -1.17995959
100874362 0.1672971 1.53771605 1.43037119 1.49672356 0.57218507
100874523 1.5560726 0.55305509 1.05692244 1.93704592 1.45484207
100885775 2.9470385 0.90882794 1.53607832 3.32991511 2.74713448
100885776 0.8516323 1.72843223 1.63456618 0.93083377 0.92974377
100885848 5.2709152 3.98447510 4.60961104 3.40665849 5.29758065
1009 9.7685043 8.04145669 9.20735841 7.66844044 9.14201175
10090 4.2533432 4.99238887 4.87435135 5.92120977 5.14396691
10092 7.9467432 7.53368108 7.63796700 6.54501328 7.56249658
10093 7.3069071 6.51300909 6.96831821 7.28462450 7.29885918
10094 4.1088495 3.33401380 4.17488221 3.96724974 3.99217288
10095 5.4465425 5.40939805 6.02650783 5.93206825 5.79802467
10097 8.5719070 8.05376214 8.43415665 8.76092178 8.36612348
10098 6.1881827 5.81893839 6.27956641 5.72539112 6.51399629
10099 8.6160155 9.04024775 8.81171722 8.82582218 8.43572417
100996246 1.7633756 2.47780460 2.62721010 2.00444185 2.83430404
100996251 0.8516323 1.43198658 0.07865857 1.18436334 -0.62049918
100996307 3.2523573 2.89083135 1.72675812 2.06882938 2.33375779
100996384 1.1756421 0.90882794 0.90735071 1.58743104 1.92093174
100996419 -0.1588217 0.33573965 1.19243362 0.70636467 0.35353980
100996485 2.7171363 2.42366591 0.74045916 2.37924885 1.92093174
100996539 -1.1799596 1.89685520 1.31630211 2.00444185 0.92974377
100996579 2.1797966 1.81510007 1.89515273 1.39992804 2.14206089
100996696 3.2523573 3.07772202 2.84854858 2.99087471 3.10359174
100996842 1.8568310 2.76584913 1.43037119 1.75334394 1.99846896
100996851 -0.5808708 0.90882794 1.97251037 -0.30825637 1.92093174
100996939 1.8568310 1.81510007 1.31630211 0.85982175 1.34038198
101 -0.1588217 -0.23159280 -0.23252305 2.69700530 0.92974377
1010 1.5560726 1.63622330 0.55170488 0.44041789 -0.21838380
10100 4.8155400 3.36307135 3.76068535 2.09997664 4.06606829
10101 5.0009755 4.99238887 5.01811327 5.48996516 4.99112085
10102 4.9057782 5.02001851 4.59745214 4.80272924 4.73208518
10103 -1.1799596 1.89685520 1.05692244 0.93083377 0.76201339
10105 7.1286632 6.61919461 6.39294812 7.09859934 6.43601413
10106 7.2860569 8.35884983 7.93711333 7.81113985 7.31220678
101060200 3.1077597 3.17924002 2.80691445 4.15691430 3.03164162
101060691 1.7633756 1.72843223 2.11579413 0.78513262 1.65966405
10109 8.5387991 8.37409617 8.41955482 8.68367730 9.20776356
10112 5.3209725 3.62538035 1.19243362 3.73896189 -0.21838380
10113 6.3892638 7.29634269 6.80344613 6.54359793 6.53691692
10114 8.1193312 8.00735290 8.01116492 9.11048716 8.18519904
101154753 -0.5808708 0.07978314 -0.23252305 1.12503439 -0.62049918
10116 7.8994792 7.80649265 8.05183382 7.43875934 7.58780459
10117 1.0227142 0.33573965 0.55170488 -0.01341585 0.09573511
1012 5.1561047 5.38126777 6.63819573 5.47815957 5.39398845
10121 6.3293828 5.81368556 5.87860730 5.89258919 6.39359040
10123 6.1609564 6.46355751 7.13531463 7.43571057 5.87713644
101241892 4.6027046 3.33401380 4.32990300 3.79713502 4.95267515
10125 1.6634444 2.04765553 0.74045916 3.82536496 0.35353980
10126 2.8135361 4.19304057 2.76404303 3.65755873 3.49998950
DMSO_24_C7 LPS_24_C7 TNFa_24_C7 H2O_24_C7 BPA_24_C7
100 2.52848695 3.0863938 2.72082645 1.96328489 2.91125040
1000 10.57806730 10.6418452 10.71705444 10.62402764 10.62117259
10000 7.06230342 6.9711358 6.81188741 7.07793517 7.02732457
10001 4.97381486 4.8498220 4.89763229 4.98023033 4.68257157
10003 4.51970702 4.6813313 3.45389003 4.57498307 4.49781884
100037417 -1.17995959 -1.1799596 -1.17995959 -1.17995959 -1.17995959
100049716 2.42625772 2.3514149 2.32340255 1.96328489 2.60172446
10005 3.79293684 3.4642171 3.53020813 3.99106511 3.75644672
10006 6.49558428 6.6040913 6.47151236 6.52005347 6.54545238
10007 5.54287564 5.2297613 5.41635493 5.22741914 5.19990409
10009 5.84483491 5.8808515 5.60461586 5.79088981 5.50111493
100093630 5.96364762 5.6446300 6.11053071 5.97944109 5.63891772
1001 7.27024854 7.3295941 7.17687636 7.26699994 7.45514181
10010 5.73151774 5.7619474 6.58618925 6.00708244 5.81209213
100101267 2.71348471 2.3514149 2.14072667 2.56892699 2.64424630
100101467 3.79293684 4.1028055 3.71594728 4.06306208 4.18867694
10011 5.82488282 5.4967512 5.64522118 5.54279968 5.47190139
100113386 -1.17995959 -0.6142541 0.05190863 -0.23752012 0.61428586
100113397 0.51408271 0.7763449 1.02059448 -0.63311449 1.74266468
100113407 4.72742083 4.4208750 4.68039156 4.61145670 4.84632808
100125288 1.99767647 1.8559575 2.20422367 2.23669614 2.20712320
100127983 2.52848695 2.0156854 1.39178220 2.91858320 2.55791117
100128006 1.84754568 2.7195275 2.20422367 2.41235398 0.77599679
100128016 0.29952772 0.7763449 1.68674610 1.52726705 0.92139479
100128025 0.51408271 1.2317378 0.05190863 0.73281485 0.77599679
100128054 2.95291249 2.4665102 2.20422367 2.35614467 2.60172446
100128071 0.29952772 0.3662283 0.51952497 1.62565022 -0.02022053
100128191 0.70082164 1.3563696 0.70655887 1.42168053 1.48635859
100128252 2.87743364 3.4916545 2.92307745 2.71015880 3.16595707
100128379 0.51408271 -0.2089424 0.05190863 0.73281485 0.43213348
100128398 4.45627411 4.5439265 4.23991605 4.74877498 4.47444175
100128494 3.85327871 3.6941761 3.86090899 3.58931435 3.93831640
100128569 1.99767647 1.7689319 1.27834313 1.71775042 0.77599679
100128640 -1.17995959 0.3662283 -1.17995959 -0.23752012 -0.31381907
100128682 -1.17995959 -1.1799596 -1.17995959 -1.17995959 -1.17995959
100128731 6.71199797 6.5299390 6.53153798 6.48116182 6.54264520
100128766 2.87743364 2.5207883 2.84554528 2.83878924 3.19485194
100128782 0.29952772 1.8559575 1.15521727 1.04873603 1.05347156
100128822 -1.17995959 -1.1799596 -1.17995959 -1.17995959 -1.17995959
100128833 2.91566662 2.4101100 2.58429678 2.66460062 1.89129181
100128881 2.13364631 2.2263351 1.93152025 1.71775042 2.08895248
100128893 6.06493512 5.5368133 5.24577986 5.78024923 5.86248815
100129001 0.86613620 0.9446258 1.15521727 1.52726705 0.92139479
100129013 1.58824859 1.7689319 0.51952497 1.62565022 1.96023188
100129029 0.70082164 0.3662283 0.30458032 0.73281485 0.92139479
100129060 3.05920638 2.7195275 3.37330813 3.23140231 3.40727593
100129075 2.25789787 1.9380308 0.05190863 1.71775042 1.17446450
100129195 2.37229170 2.4101100 3.03208223 3.03056376 3.71715028
100129203 1.14891031 -0.2089424 1.27834313 1.30775189 1.17446450
100129250 2.19710932 2.1594787 2.14072667 1.30775189 1.66218470
100129259 1.49031167 2.1594787 2.07430581 2.10645776 2.46607877
100129361 6.12735659 5.7161588 6.05133046 6.14617397 5.78858965
100129398 2.13364631 0.7763449 0.70655887 1.04873603 0.61428586
100129434 -0.64677099 0.5858108 0.70655887 -0.23752012 0.22361366
100129461 2.31622830 2.5207883 2.07430581 1.30775189 1.48635859
100129484 0.86613620 1.2317378 1.59496604 1.42168053 1.05347156
100129550 4.41683096 4.2546612 4.28466623 4.21300996 4.25877156
100129583 -0.25833429 -0.2089424 0.30458032 0.32773362 -1.17995959
100129662 0.86613620 -1.1799596 1.49694813 0.07261506 0.22361366
100129707 0.29952772 1.5773481 0.51952497 0.54444516 1.48635859
100129716 1.01444031 0.3662283 0.30458032 1.71775042 0.92139479
100129726 -0.64677099 0.5858108 1.49694813 0.73281485 0.92139479
100129774 3.44633788 3.9330647 3.88047806 3.56472364 4.00509597
100129781 0.51408271 1.5773481 1.77303496 1.80432220 1.74266468
100129792 0.29952772 0.7763449 0.05190863 1.04873603 0.22361366
100129794 2.31622830 1.5773481 1.68674610 2.51860068 1.81889136
100129842 1.38523897 1.7689319 1.93152025 2.17304610 1.48635859
100129917 1.49031167 1.5773481 0.51952497 1.71775042 2.02602730
100129924 0.86613620 1.6763178 1.02059448 0.73281485 0.92139479
100129940 0.29952772 1.5773481 1.27834313 0.32773362 -0.02022053
100129995 -0.25833429 -0.2089424 -0.64433479 -1.17995959 0.22361366
10013 5.81985138 5.8280157 5.87720386 5.85820404 5.81209213
100130111 0.70082164 0.3662283 0.51952497 1.04873603 -0.31381907
100130197 0.86613620 0.5858108 1.15521727 0.89940577 1.05347156
100130335 1.92456307 3.2876386 3.16568526 2.99419418 3.40727593
100130348 3.36577423 3.3786277 3.13342643 3.37974564 3.47950908
100130357 0.04739467 0.3662283 0.30458032 0.73281485 0.22361366
100130466 2.91566662 2.8941747 3.25834728 3.19981130 3.35702968
100130476 -0.64677099 -1.1799596 0.51952497 -0.23752012 -1.17995959
100130522 1.01444031 -0.2089424 1.02059448 1.04873603 -0.02022053
100130550 0.04739467 0.9446258 1.02059448 0.54444516 0.77599679
100130564 3.44633788 3.4362477 2.96033502 3.83530386 3.63519276
100130581 0.70082164 1.5773481 0.87210449 1.18404901 0.77599679
100130691 2.52848695 2.4665102 2.14072667 3.03056376 1.28609074
100130705 1.01444031 1.0953123 1.49694813 0.54444516 0.77599679
100130748 1.92456307 1.5773481 1.15521727 1.18404901 -0.02022053
100130750 -1.17995959 -1.1799596 -1.17995959 -1.17995959 -1.17995959
100130855 1.84754568 1.8559575 2.07430581 1.52726705 2.08895248
100130958 1.01444031 0.1071186 1.15521727 1.04873603 0.92139479
100131017 -1.17995959 -1.1799596 -1.17995959 -1.17995959 -1.17995959
100131031 2.66941138 2.4101100 2.99665459 2.71015880 2.36800115
100131033 1.92456307 0.9446258 1.49694813 1.80432220 2.02602730
100131067 1.38523897 0.7763449 1.27834313 1.42168053 1.38969690
100131089 1.49031167 0.7763449 1.49694813 -0.23752012 1.05347156
100131094 0.04739467 -0.2089424 -0.64433479 1.30775189 0.92139479
100131138 3.79293684 3.2559874 4.04559121 3.40766799 3.52573046
100131187 -0.25833429 -1.1799596 -1.17995959 -0.63311449 -1.17995959
100131193 3.22061811 3.2236262 2.63125701 3.48833195 3.10637100
100131211 3.92999864 4.0298186 4.47689935 4.45968000 4.21712475
100131213 0.70082164 1.0953123 -0.25461363 0.07261506 1.17446450
100131471 2.79778683 2.0156854 2.20422367 2.10645776 2.14924742
100131656 3.59510776 3.4642171 3.73756940 3.32222545 3.43175770
100131685 2.87743364 2.6723500 3.03208223 2.51860068 2.08895248
100131691 2.25789787 2.0156854 1.39178220 1.96328489 1.74266468
100131740 1.92456307 0.3662283 0.70655887 -0.23752012 0.92139479
100131801 3.75125954 2.8094922 3.82095605 3.79358631 3.75644672
100131827 -0.64677099 0.3662283 -1.17995959 -0.23752012 -0.02022053
100131828 -0.64677099 -0.2089424 -0.25461363 -1.17995959 -0.02022053
100131940 0.70082164 0.5858108 1.27834313 0.73281485 1.48635859
100132074 0.51408271 -0.2089424 -0.64433479 0.07261506 -0.02022053
100132086 0.86613620 0.5858108 1.15521727 0.54444516 0.22361366
100132116 8.27463456 8.3161489 7.88124898 8.38917612 8.36232940
100132126 0.86613620 0.9446258 0.51952497 1.18404901 -0.31381907
100132215 0.04739467 0.5858108 0.70655887 0.73281485 1.28609074
100132537 2.57700746 2.8524547 2.26504341 2.35614467 2.20712320
100132609 0.86613620 -1.1799596 0.30458032 0.07261506 0.61428586
100132659 0.70082164 0.1071186 1.15521727 0.07261506 0.43213348
100132891 -1.17995959 -1.1799596 0.30458032 -1.17995959 -1.17995959
100132972 0.70082164 -0.6142541 0.05190863 0.32773362 0.61428586
100133234 1.01444031 0.7763449 1.39178220 1.42168053 0.92139479
100133286 -0.64677099 -0.6142541 -0.25461363 0.07261506 -0.02022053
100133315 -0.25833429 0.9446258 0.70655887 0.73281485 0.92139479
100134934 1.38523897 2.1594787 2.20422367 1.18404901 2.55791117
10014 6.63960256 6.1838938 6.19501132 6.33976674 6.50276015
100144603 3.12595332 2.4101100 3.16568526 2.66460062 2.64424630
100144748 1.92456307 2.1594787 1.85445279 3.10066279 2.41787324
10015 7.63497424 7.4551119 7.52964241 7.58695663 7.45812434
10016 5.81480234 5.7277429 5.94846856 5.98408492 5.81674703
100170229 1.27190838 1.2317378 1.93152025 0.89940577 1.74266468
100170841 3.92999864 3.8293527 3.91883745 3.99106511 3.97209254
10018 4.36250442 3.9529416 4.46398628 4.71565120 3.95530331
100188847 1.49031167 1.4710857 1.15521727 1.04873603 1.48635859
10019 3.61847685 3.5964661 4.87829608 4.19709826 3.85024553
100190938 3.22061811 3.5964661 2.48552582 3.03056376 2.64424630
1002 2.52848695 1.7689319 2.20422367 2.35614467 1.66218470
10020 3.79293684 4.0849020 3.95620327 3.61349292 4.25877156
10021 7.81895704 7.7041165 7.71681130 7.70135679 7.89334330
10023 2.37229170 2.0156854 1.85445279 2.51860068 1.28609074
10024 3.83344387 2.0893728 2.67673673 3.26231636 2.94565861
10026 6.42112470 6.3728110 6.03396012 6.30678270 6.19479657
100268168 -0.25833429 0.7763449 -0.25461363 0.32773362 0.61428586
100270804 2.52848695 2.2902301 1.68674610 1.62565022 1.89129181
100270827 -0.64677099 -0.6142541 -1.17995959 -0.23752012 -1.17995959
100270840 3.66410920 3.4916545 4.04559121 3.66066735 3.45583095
100270854 2.66941138 1.9380308 2.58429678 2.23669614 1.96023188
100270865 3.41998006 3.6461481 3.67170588 3.68368844 3.92112709
100271271 3.47222277 3.5709684 3.25834728 3.13447507 3.54829744
100271332 2.91566662 2.7195275 2.88483214 3.26231636 2.97926527
100271415 1.38523897 2.1594787 1.49694813 1.62565022 1.48635859
100271479 -1.17995959 -1.1799596 -1.17995959 -1.17995959 -1.17995959
100271884 1.14891031 1.3563696 1.02059448 0.73281485 0.22361366
100272147 3.30945197 2.7652110 3.25834728 3.40766799 3.10637100
100286844 1.38523897 1.5773481 1.49694813 1.30775189 0.22361366
100287015 -1.17995959 -0.2089424 0.30458032 0.73281485 0.22361366
100287049 1.01444031 0.7763449 1.59496604 0.32773362 1.05347156
100287074 2.66941138 2.6235774 2.88483214 2.35614467 2.14924742
100287616 3.98497452 4.3920440 4.56419253 4.14828230 4.32561779
100287722 1.67995763 2.0893728 1.39178220 0.89940577 1.66218470
100287808 0.70082164 -0.2089424 1.02059448 0.07261506 0.92139479
100287837 0.04739467 0.3662283 0.30458032 1.04873603 0.77599679
100287896 3.30945197 3.3186103 3.31697248 3.53970651 3.19485194
100287902 0.70082164 -0.2089424 0.30458032 -1.17995959 -0.02022053
100287928 2.98922094 2.6723500 3.22811643 2.35614467 1.96023188
100287932 5.83489335 5.4762952 5.64522118 5.49153713 5.68547186
100288001 2.19710932 1.4710857 2.37949247 2.61755674 2.26276648
100288073 4.17032691 3.6703619 3.55477596 3.58931435 3.93831640
100288123 0.70082164 0.9446258 0.05190863 0.54444516 1.28609074
100288198 3.12595332 2.2263351 3.03208223 2.51860068 2.41787324
100288241 2.19710932 1.6763178 1.39178220 0.73281485 1.66218470
100288413 1.84754568 2.4665102 2.76360862 2.41235398 0.92139479
100288513 0.29952772 0.3662283 0.87210449 -0.63311449 0.92139479
100288842 0.70082164 1.5773481 1.27834313 1.52726705 0.92139479
100289061 0.04739467 -0.2089424 0.05190863 0.73281485 0.22361366
100289095 1.14891031 1.3563696 0.30458032 1.30775189 1.48635859
100289133 1.99767647 1.6763178 2.26504341 2.61755674 2.60172446
100289178 2.75625145 2.0156854 1.49694813 2.66460062 2.68555066
100289211 -0.25833429 1.2317378 1.49694813 1.30775189 1.38969690
100289259 0.51408271 1.0953123 1.15521727 0.54444516 0.92139479
100289274 3.41998006 3.4077254 2.76360862 1.96328489 3.19485194
100289341 1.27190838 1.0953123 1.27834313 1.30775189 1.17446450
100289373 -1.17995959 -1.1799596 -0.25461363 -1.17995959 -1.17995959
100289388 1.58824859 1.7689319 2.26504341 1.88599184 2.02602730
100289414 -0.25833429 0.5858108 0.70655887 0.07261506 0.22361366
100289635 5.36777830 5.4831461 5.44948761 5.45185832 5.60702553
100289640 1.58824859 2.2902301 2.00467877 1.80432220 2.36800115
100289678 3.15820337 3.0125502 2.84554528 2.87923781 3.07562892
100293516 3.47222277 3.7406565 4.04559121 4.39140291 4.31249403
100294362 1.76618373 1.8559575 2.48552582 1.62565022 1.28609074
1003 1.01444031 1.5773481 2.84554528 1.04873603 1.57694855
100302692 1.58824859 0.1071186 1.49694813 2.35614467 2.46607877
100302736 1.49031167 2.0893728 1.49694813 1.71775042 1.57694855
100303728 3.68639529 3.4916545 3.37330813 2.99419418 3.22317943
100303755 1.67995763 1.0953123 1.49694813 1.52726705 1.38969690
100312828 0.86613620 0.9446258 0.05190863 -0.23752012 0.77599679
100312850 0.29952772 0.7763449 1.27834313 0.32773362 1.17446450
10036 4.65015642 4.1204895 4.17800448 4.09775655 4.29924979
100379345 3.25084126 3.1905224 3.28795765 3.10066279 3.52573046
10038 5.69900328 5.5629164 5.51980695 5.25841775 5.45408504
100381270 1.58824859 1.7689319 2.20422367 1.04873603 1.89129181
10039 6.29264190 6.2775069 6.58021812 6.02971912 6.06386901
1004 6.48925994 6.7246161 6.64743779 6.64846745 6.78519542
10040 4.20161065 3.6461481 3.99262570 4.33435489 3.63519276
100418710 2.13364631 1.0953123 1.39178220 1.71775042 2.60172446
100418735 2.91566662 3.8076846 3.71594728 3.93460687 3.79470112
100418744 1.01444031 1.2317378 0.30458032 1.80432220 1.74266468
100418770 2.98922094 3.2876386 2.67673673 3.06603899 2.51272553
100418781 1.76618373 0.5858108 1.27834313 1.30775189 1.89129181
100418819 1.01444031 0.5858108 0.51952497 1.18404901 0.77599679
100418829 2.95291249 2.7652110 2.58429678 3.29258185 3.04421748
100418888 1.14891031 1.9380308 2.32340255 1.62565022 1.05347156
100418889 2.98922094 2.1594787 2.72082645 2.46645517 2.51272553
100418910 0.86613620 1.0953123 1.27834313 0.89940577 0.92139479
100418919 1.58824859 2.0156854 2.43348307 1.88599184 1.96023188
100419028 1.84754568 0.3662283 1.77303496 1.88599184 1.48635859
100419185 0.29952772 0.3662283 1.02059448 -0.23752012 -0.02022053
100419416 1.27190838 1.4710857 0.70655887 1.04873603 -0.02022053
100419515 0.70082164 0.3662283 0.70655887 1.62565022 0.92139479
100419645 0.51408271 0.7763449 -0.25461363 0.54444516 -0.31381907
100419758 0.70082164 -0.2089424 -1.17995959 -0.23752012 -0.31381907
100419928 1.38523897 1.8559575 1.39178220 1.42168053 1.05347156
10042 5.57309196 5.6385061 5.60461586 5.51097467 5.46598702
100420028 -0.64677099 0.1071186 -0.64433479 -0.23752012 -1.17995959
100420050 0.51408271 0.1071186 -1.17995959 -0.23752012 0.43213348
100420110 3.12595332 3.3186103 3.50521467 3.13447507 3.54829744
100420187 2.25789787 2.2263351 1.27834313 1.88599184 1.66218470
100420259 4.30605182 3.9129102 3.91883745 4.13163622 4.15965688
100420307 0.70082164 1.0953123 1.59496604 1.18404901 0.77599679
100420341 5.08703469 5.1545093 4.99060703 5.31848563 5.45408504
100420423 1.14891031 0.7763449 0.51952497 1.18404901 1.38969690
100420591 1.38523897 1.2317378 1.49694813 0.54444516 1.05347156
100420707 2.62394910 3.2559874 2.96033502 2.79717382 2.60172446
100420752 1.92456307 2.4665102 1.68674610 2.17304610 2.41787324
100420869 4.00284392 3.8924701 3.82095605 3.87584891 3.73693229
100420981 5.60268837 5.7843080 6.03396012 5.69217541 5.66496636
100421093 3.22061811 3.3786277 3.42752635 3.93460687 3.54829744
100421109 0.51408271 0.1071186 1.49694813 0.73281485 1.17446450
100421160 1.01444031 1.4710857 0.30458032 0.54444516 0.77599679
100421175 1.58824859 -0.2089424 -0.25461363 2.03664665 0.92139479
100421246 1.49031167 2.2263351 1.85445279 1.42168053 2.02602730
100421311 2.25789787 2.4101100 2.84554528 2.29765628 2.87600146
100421372 0.70082164 1.3563696 2.26504341 2.03664665 1.81889136
100421400 1.99767647 1.6763178 2.20422367 2.17304610 1.28609074
100421415 0.86613620 -1.1799596 0.30458032 -1.17995959 -0.02022053
100421429 0.86613620 -0.2089424 0.51952497 0.32773362 -0.02022053
100421465 1.99767647 0.9446258 1.77303496 2.41235398 2.68555066
100421468 1.14891031 0.7763449 2.07430581 2.03664665 1.05347156
100421506 0.70082164 -1.1799596 -1.17995959 -0.63311449 -1.17995959
100421569 0.86613620 -0.2089424 0.51952497 -0.63311449 0.22361366
100421595 0.86613620 1.5773481 1.59496604 1.42168053 1.81889136
100421794 3.81333251 3.4916545 3.77986510 3.29258185 3.73693229
100422106 1.58824859 1.0953123 1.93152025 1.62565022 1.38969690
100422338 1.67995763 2.0156854 2.26504341 1.80432220 1.81889136
100422546 1.01444031 0.3662283 0.51952497 -1.17995959 0.22361366
100422561 4.05516132 3.8924701 3.84107082 3.97249011 4.17423988
10043 5.73686628 5.7619474 5.85759002 5.76952959 5.88038612
10044 4.59231898 3.9529416 3.97452942 4.02751267 4.14492497
10045 0.86613620 0.5858108 0.70655887 0.54444516 -0.02022053
10046 0.51408271 -0.6142541 -0.25461363 0.73281485 0.77599679
10048 6.81673186 6.8438501 6.80933724 7.03382407 6.66643504
10049 5.42191028 5.5693690 5.58088916 5.55533569 5.64416521
100499177 4.15442692 3.7633470 3.80055687 3.43506017 3.45583095
100499483 0.70082164 1.6763178 1.59496604 0.73281485 -0.68284284
1005 -0.25833429 -1.1799596 -1.17995959 -1.17995959 -1.17995959
100500719 0.29952772 1.3563696 1.27834313 1.30775189 1.17446450
100505385 2.98922094 3.2876386 2.32340255 3.10066279 2.91125040
100505501 1.99767647 1.6763178 0.87210449 2.41235398 1.89129181
100505538 1.49031167 0.3662283 1.39178220 1.52726705 1.28609074
100505549 -0.25833429 -0.2089424 -0.25461363 -1.17995959 -1.17995959
100505573 5.98178148 5.7335003 5.97146208 6.19506013 6.16224755
100505576 3.83344387 3.6703619 3.31697248 4.31973331 3.73693229
100505616 1.01444031 0.1071186 -1.17995959 -0.23752012 -0.02022053
100505624 1.27190838 1.2317378 1.39178220 1.80432220 1.17446450
100505635 1.92456307 1.5773481 0.70655887 0.89940577 1.17446450
100505641 2.57700746 2.5730981 3.47978057 2.41235398 2.46607877
100505648 3.22061811 2.2263351 2.88483214 2.95688397 2.83986967
100505678 1.49031167 2.5730981 1.93152025 2.66460062 2.83986967
100505696 4.62729893 4.1891345 3.88047806 4.34882977 4.27239089
100505715 -1.17995959 -0.6142541 -0.64433479 -0.23752012 -1.17995959
100505738 1.84754568 1.6763178 -1.17995959 2.03664665 2.14924742
100505741 0.86613620 1.2317378 1.27834313 1.04873603 1.28609074
100505758 3.09296583 3.0499444 2.84554528 3.26231636 3.07562892
100505761 2.25789787 2.2263351 2.72082645 2.51860068 2.20712320
100505771 3.57135388 3.3786277 3.37330813 3.61349292 3.47950908
100505783 -0.25833429 -1.1799596 -0.64433479 -1.17995959 -0.31381907
100505806 3.09296583 3.1219450 2.96033502 2.91858320 3.19485194
100505812 -0.64677099 0.1071186 -1.17995959 1.04873603 -0.02022053
100505832 0.29952772 0.5858108 -0.25461363 0.07261506 1.17446450
100505854 0.29952772 0.5858108 -0.25461363 0.32773362 1.17446450
100505876 5.42191028 5.4967512 5.48187643 5.62240173 5.64939368
100505894 1.49031167 1.9380308 1.85445279 1.71775042 1.74266468
100505933 0.29952772 -0.2089424 -0.64433479 0.07261506 -0.31381907
100505994 -1.17995959 -1.1799596 0.05190863 -1.17995959 -1.17995959
100506020 1.14891031 2.0893728 1.02059448 1.42168053 1.17446450
100506033 4.49466753 4.3019241 4.45095658 4.90386414 4.57677862
100506054 -1.17995959 0.9446258 0.51952497 0.54444516 -0.02022053
100506068 0.70082164 -0.6142541 -0.25461363 -0.63311449 -0.31381907
100506070 0.29952772 0.3662283 0.51952497 0.54444516 0.77599679
100506083 0.70082164 0.7763449 -0.64433479 0.07261506 0.22361366
100506100 1.67995763 -0.2089424 0.30458032 0.54444516 1.05347156
100506119 -1.17995959 0.1071186 -0.25461363 -0.63311449 0.22361366
100506127 2.62394910 2.8524547 1.93152025 2.10645776 2.31634312
100506142 0.04739467 -0.2089424 0.30458032 -0.23752012 0.61428586
100506144 1.49031167 1.7689319 1.85445279 1.62565022 1.48635859
100506161 0.70082164 1.4710857 0.87210449 0.07261506 1.38969690
100506211 5.53060965 5.2133745 5.30490761 5.51097467 5.66496636
100506235 1.99767647 1.8559575 1.59496604 1.30775189 1.74266468
100506258 -1.17995959 0.3662283 0.05190863 -0.63311449 -0.31381907
100506282 2.42625772 1.8559575 2.07430581 2.17304610 2.41787324
100506286 1.01444031 1.3563696 1.02059448 1.04873603 0.61428586
100506302 0.51408271 0.3662283 0.70655887 1.62565022 0.43213348
100506321 1.01444031 0.5858108 1.02059448 0.73281485 0.43213348
100506325 0.04739467 -0.6142541 -0.25461363 0.32773362 -0.68284284
100506343 1.38523897 0.9446258 1.27834313 0.54444516 1.05347156
100506365 5.44823318 5.4555448 5.56887786 5.79618082 5.39927655
100506368 0.29952772 -0.2089424 1.15521727 1.42168053 0.22361366
100506380 1.76618373 1.7689319 1.68674610 2.35614467 2.08895248
100506392 3.44633788 3.8924701 4.01049780 3.77226627 3.63519276
100506394 -0.25833429 0.7763449 -1.17995959 -1.17995959 0.61428586
100506411 1.49031167 0.3662283 1.49694813 0.89940577 1.28609074
100506433 0.29952772 0.7763449 1.49694813 2.17304610 1.38969690
100506462 -0.64677099 -0.2089424 0.05190863 0.07261506 0.61428586
100506469 2.57700746 2.6235774 2.00467877 2.46645517 2.72570532
100506495 1.01444031 1.5773481 0.87210449 -1.17995959 -0.02022053
100506504 2.31622830 2.4101100 2.53575640 1.62565022 2.46607877
100506540 1.14891031 1.2317378 1.02059448 1.62565022 1.05347156
100506581 3.22061811 2.9741608 3.13342643 2.10645776 3.52573046
100506606 -0.64677099 -0.2089424 -0.64433479 -1.17995959 -0.68284284
100506658 1.27190838 1.4710857 -0.25461363 1.71775042 0.61428586
100506668 2.98922094 2.2263351 2.99665459 2.91858320 3.33123470
100506686 2.13364631 1.2317378 1.39178220 1.88599184 1.38969690
100506691 -1.17995959 -1.1799596 0.70655887 0.07261506 0.77599679
100506696 0.29952772 0.7763449 1.39178220 1.30775189 0.61428586
100506697 -0.25833429 0.9446258 0.87210449 1.04873603 1.38969690
100506710 5.12015653 5.0196494 5.30490761 4.72677717 4.67233462
100506713 1.01444031 0.9446258 1.27834313 0.07261506 0.43213348
100506725 4.37627904 4.5827169 4.19373323 4.80234532 4.65164020
100506731 1.99767647 2.5730981 0.70655887 1.30775189 1.17446450
100506757 1.58824859 1.0953123 1.02059448 1.30775189 1.28609074
100506779 1.38523897 0.3662283 1.02059448 0.89940577 -0.31381907
100506804 -0.25833429 0.1071186 -1.17995959 -0.63311449 -1.17995959
100506826 1.84754568 -0.6142541 0.70655887 1.30775189 1.17446450
100506844 2.71348471 1.5773481 2.58429678 2.51860068 2.08895248
100506866 4.90895810 4.7958157 5.00850400 5.24300170 5.08883332
100506881 2.42625772 2.5730981 1.49694813 2.17304610 1.96023188
100506885 1.76618373 1.7689319 1.93152025 2.29765628 2.26276648
100506911 0.29952772 0.3662283 0.51952497 -0.63311449 0.43213348
100506922 0.04739467 -0.2089424 -1.17995959 -0.23752012 -0.31381907
100506930 0.29952772 -1.1799596 -0.25461363 -1.17995959 0.22361366
100506994 1.01444031 1.3563696 1.68674610 1.30775189 0.22361366
100507003 -1.17995959 0.1071186 -1.17995959 -1.17995959 -1.17995959
100507032 -1.17995959 -1.1799596 -1.17995959 -1.17995959 -1.17995959
100507034 3.18974824 2.4101100 2.84554528 2.99419418 2.94565861
100507050 1.27190838 -0.2089424 1.85445279 -0.23752012 0.22361366
100507053 0.29952772 -1.1799596 -0.25461363 -1.17995959 -1.17995959
100507057 -1.17995959 0.3662283 -0.25461363 0.07261506 -1.17995959
100507062 -1.17995959 -0.2089424 -1.17995959 0.32773362 0.61428586
100507071 0.70082164 0.5858108 0.70655887 1.42168053 0.77599679
100507156 2.75625145 2.9347220 3.06666070 2.66460062 2.36800115
100507171 2.57700746 1.8559575 2.00467877 3.03056376 2.64424630
100507173 -1.17995959 -0.2089424 0.87210449 -1.17995959 -1.17995959
100507178 0.29952772 0.1071186 0.70655887 0.32773362 -0.68284284
100507244 1.58824859 1.6763178 0.87210449 2.10645776 1.38969690
100507246 4.08901445 3.4642171 4.48969787 4.18100911 4.21712475
100507250 0.29952772 -0.2089424 1.02059448 -0.23752012 0.43213348
100507254 1.99767647 0.7763449 1.27834313 2.23669614 1.81889136
100507266 -1.17995959 0.5858108 1.02059448 0.73281485 1.38969690
100507290 4.92778802 5.0290431 5.17622937 4.79178921 5.03392090
100507291 0.04739467 -1.1799596 0.05190863 0.32773362 0.61428586
100507303 2.52848695 2.1594787 1.85445279 1.62565022 2.20712320
100507308 1.01444031 0.7763449 0.87210449 0.32773362 0.43213348
100507316 -0.25833429 0.3662283 -1.17995959 -0.23752012 -1.17995959
100507331 1.27190838 2.2263351 1.68674610 1.42168053 1.66218470
100507347 1.14891031 2.2902301 2.67673673 2.51860068 1.57694855
100507373 1.84754568 2.4665102 2.63125701 2.51860068 3.10637100
100507392 -0.25833429 -0.6142541 0.30458032 0.89940577 -0.31381907
100507398 0.51408271 -1.1799596 -0.64433479 0.07261506 1.17446450
100507401 -1.17995959 0.5858108 0.51952497 -0.63311449 0.22361366
100507420 -1.17995959 -1.1799596 -1.17995959 -0.23752012 -1.17995959
100507433 1.92456307 2.2263351 1.68674610 1.80432220 1.38969690
100507436 0.29952772 1.0953123 0.30458032 0.32773362 0.22361366
100507437 2.13364631 1.0953123 1.49694813 1.62565022 0.92139479
100507459 1.01444031 1.4710857 0.87210449 0.89940577 0.61428586
100507463 -1.17995959 -1.1799596 0.87210449 -0.63311449 0.22361366
100507487 1.92456307 1.0953123 1.68674610 2.03664665 1.66218470
100507495 4.55646978 4.5307611 4.26990320 4.73781800 4.63064460
100507516 0.29952772 0.3662283 -0.25461363 0.32773362 1.17446450
100507551 1.01444031 -0.2089424 0.30458032 0.07261506 0.22361366
100507557 1.27190838 2.0893728 1.02059448 1.04873603 1.81889136
100507564 1.76618373 1.0953123 1.27834313 0.73281485 1.81889136
100507567 -0.25833429 -0.2089424 0.51952497 0.07261506 0.77599679
100507588 -0.25833429 0.1071186 1.39178220 0.32773362 -0.02022053
100507599 1.49031167 -1.1799596 0.30458032 -0.23752012 0.22361366
100507602 4.24729997 4.7282208 4.17800448 4.58724369 4.43865014
100508120 1.27190838 0.7763449 1.02059448 1.30775189 1.28609074
10051 6.68181132 6.1368800 5.71772685 6.57341486 6.44379795
10052 0.51408271 0.5858108 0.70655887 0.54444516 1.66218470
100526737 1.49031167 2.0893728 1.77303496 1.42168053 2.02602730
100526760 1.67995763 1.4710857 1.59496604 1.88599184 0.77599679
100526820 0.86613620 -0.2089424 -0.25461363 1.30775189 -1.17995959
100526835 3.66410920 3.0863938 3.60269105 3.63727294 2.83986967
100527978 -0.25833429 -0.2089424 -0.25461363 0.32773362 -0.31381907
100529145 1.76618373 1.3563696 1.49694813 2.35614467 1.17446450
100529215 1.14891031 0.9446258 0.51952497 1.18404901 -0.31381907
100532746 4.27697495 3.9330647 4.35629694 3.77226627 4.20297096
100533106 -0.25833429 -1.1799596 0.87210449 -0.23752012 -1.17995959
100533182 -0.25833429 0.1071186 -0.64433479 0.54444516 0.22361366
100533619 -1.17995959 -1.1799596 -0.25461363 -0.23752012 0.92139479
100533629 -0.64677099 0.3662283 0.05190863 0.73281485 -0.31381907
100533695 0.04739467 0.1071186 1.39178220 0.54444516 0.43213348
100533970 0.04739467 1.6763178 0.51952497 1.30775189 1.05347156
100534593 -0.64677099 0.9446258 0.51952497 0.54444516 1.38969690
10054 6.61657590 6.5561656 6.62441057 6.45128921 6.26460156
10056 5.96820250 5.8440706 5.82261077 5.91280739 5.96249476
10057 7.31742119 7.1900142 7.20042390 7.31754915 7.22587378
10058 5.78413127 5.8704380 5.78676231 5.89318991 5.93278512
10059 7.11460067 7.0167047 7.15293809 7.23813236 7.13374759
1006 5.63168982 6.1237876 6.36092598 5.95125978 5.70568998
10060 4.69481285 4.3920440 4.34225250 4.29003793 4.29924979
100616256 -0.64677099 0.1071186 0.05190863 -0.63311449 -0.68284284
10062 1.84754568 2.6235774 1.39178220 2.03664665 1.17446450
10063 4.41683096 4.1552203 4.39762812 4.49914718 4.69273639
100652739 0.70082164 0.1071186 1.15521727 0.32773362 1.57694855
100652758 1.01444031 0.5858108 1.27834313 1.71775042 1.57694855
100652846 2.42625772 1.6763178 1.49694813 2.35614467 2.41787324
10066 6.85904000 6.8883988 7.00254873 6.77176121 6.80875281
10067 6.19498228 6.2931850 6.31132256 6.20304917 6.14754221
10068 3.52263960 3.9725483 3.93764133 3.89570198 3.75644672
10069 2.79778683 2.8941747 3.84107082 3.35127219 3.22317943
10072 5.09538671 5.1545093 4.89763229 4.95206458 4.82799984
10073 4.15442692 4.3920440 4.23991605 4.36316086 4.42651952
10075 8.81185589 8.9030020 9.02707897 8.81963094 8.83348735
10076 6.35657697 6.4587361 5.91564925 6.17489182 6.35698020
10077 1.27190838 1.6763178 0.70655887 0.89940577 1.28609074
100775107 0.51408271 1.2317378 1.27834313 1.42168053 0.77599679
10078 4.71663318 4.4208750 4.66918387 4.40531928 4.75226573
10079 5.20750548 5.3987057 5.47545657 5.43838578 5.21408785
1008 4.50724160 5.0290431 5.72856509 4.85399750 5.25582117
10081 4.98284661 4.8603849 4.60004534 4.71565120 4.94317142
10082 7.30667129 7.5737908 7.37957016 7.47759357 7.41579716
100820829 6.15957564 5.7563027 5.58685752 6.05642247 6.16224755
10084 5.00960747 5.0101942 4.96333828 4.56261737 4.82799984
100847074 1.67995763 2.1594787 2.20422367 1.96328489 2.08895248
10085 9.36969569 9.5416442 9.15159326 9.48231601 9.28153103
100852407 0.70082164 1.3563696 0.87210449 0.73281485 0.43213348
100861412 1.58824859 1.6763178 1.15521727 -0.23752012 0.61428586
100861548 4.75930806 4.5174744 4.58819313 4.49914718 4.66202451
100862671 0.51408271 0.1071186 1.77303496 -0.63311449 1.05347156
10087 6.53909499 6.5561656 6.50025707 6.73366227 6.75640921
100873257 0.04739467 0.3662283 -0.25461363 0.32773362 -0.68284284
100873333 2.83815980 2.8941747 2.72082645 3.06603899 2.83986967
100873790 1.99767647 2.8524547 2.67673673 3.13447507 2.94565861
100873949 0.04739467 0.1071186 0.70655887 1.18404901 0.77599679
100873952 0.51408271 -0.2089424 0.51952497 0.07261506 -0.02022053
100873965 2.57700746 2.1594787 2.32340255 2.23669614 1.05347156
100874006 2.25789787 1.7689319 2.00467877 2.23669614 1.57694855
100874008 1.49031167 2.0893728 0.70655887 1.62565022 0.61428586
100874014 2.47827764 1.2317378 1.85445279 1.62565022 1.81889136
100874058 2.06726264 1.7689319 1.02059448 2.29765628 1.96023188
100874080 0.70082164 0.5858108 0.30458032 0.89940577 1.48635859
100874097 2.25789787 1.3563696 2.07430581 1.52726705 1.81889136
100874201 -0.25833429 0.5858108 -0.64433479 -0.63311449 0.92139479
100874212 1.14891031 1.3563696 1.49694813 0.54444516 1.28609074
100874217 0.70082164 0.3662283 1.15521727 0.54444516 1.17446450
100874235 1.27190838 -0.2089424 0.51952497 1.18404901 0.61428586
100874261 1.38523897 0.5858108 1.15521727 0.73281485 1.05347156
100874291 0.29952772 -1.1799596 0.51952497 1.30775189 -0.31381907
100874362 1.58824859 1.2317378 0.30458032 1.04873603 0.43213348
100874523 2.06726264 1.7689319 2.32340255 1.52726705 1.38969690
100885775 2.13364631 3.0125502 3.40067192 3.79358631 2.94565861
100885776 1.14891031 0.5858108 0.51952497 0.73281485 0.22361366
100885848 5.51823848 5.5757929 5.64522118 5.40414349 5.41777837
1009 9.77748088 9.8904682 9.62093531 9.78938299 9.72610453
10090 5.07018418 4.7049665 5.26079053 5.05275662 4.75226573
10092 8.01439901 8.0071317 7.93487700 8.02577292 8.03090383
10093 7.38711024 7.4895420 7.57388514 7.24588704 7.53640667
10094 3.52263960 3.9129102 4.41114618 4.21300996 4.13004107
10095 5.82989677 5.5693690 6.00304951 5.54279968 5.77908039
10097 8.51539702 8.6669299 8.85476675 8.67849656 8.55642338
10098 6.50501911 6.2735607 6.50025707 6.47127285 6.33443415
10099 8.67087876 8.5713153 8.46935501 8.62894884 8.60768679
100996246 2.19710932 2.8524547 3.13342643 2.87923781 3.04421748
100996251 0.04739467 -0.6142541 1.59496604 1.62565022 1.05347156
100996307 2.37229170 2.2902301 2.37949247 2.75432224 2.51272553
100996384 1.99767647 1.6763178 1.85445279 1.18404901 1.05347156
100996419 0.86613620 0.3662283 0.05190863 0.32773362 0.77599679
100996485 2.47827764 2.8094922 2.48552582 2.56892699 1.89129181
100996539 0.70082164 -0.2089424 0.51952497 0.32773362 0.61428586
100996579 0.51408271 1.3563696 1.27834313 1.88599184 1.28609074
100996696 3.64147344 3.4916545 3.31697248 3.06603899 3.10637100
100996842 2.57700746 2.0156854 2.20422367 2.75432224 2.08895248
100996851 1.27190838 1.3563696 0.51952497 1.18404901 -0.31381907
100996939 1.38523897 0.7763449 0.51952497 1.04873603 0.61428586
101 0.70082164 1.2317378 1.27834313 0.32773362 0.61428586
1010 1.01444031 -0.2089424 0.70655887 1.52726705 0.92139479
10100 5.05313453 5.3319651 5.16829043 5.27367081 5.00973173
10101 5.05313453 4.6204916 5.07795104 5.06157132 5.10414619
10102 4.79050571 4.5439265 4.85869719 5.05275662 5.14913313
10103 -0.25833429 -0.2089424 0.70655887 -1.17995959 -0.31381907
10105 6.89057628 6.8961196 7.10799223 6.94372303 7.00302361
10106 7.37515513 7.4912421 7.34477222 7.39630967 7.63194537
101060200 3.25084126 2.6723500 3.06666070 3.26231636 3.10637100
101060691 1.49031167 2.1594787 1.27834313 1.88599184 1.66218470
10109 8.71151615 8.8168192 8.84981164 8.77410316 8.82369238
10112 5.56108126 4.0849020 4.09668086 5.12181077 5.24894891
10113 6.39767861 6.2212517 6.26740423 6.25007604 6.41645787
10114 8.11948551 8.1136154 7.97638882 8.01560246 7.93675447
101154753 -1.17995959 -0.2089424 0.51952497 0.07261506 -0.02022053
10116 7.33868362 7.5148358 7.58287183 7.50854445 7.47736192
10117 -0.25833429 -0.2089424 0.30458032 -0.23752012 -0.02022053
1012 5.48683834 5.7843080 6.21441705 5.70910403 5.48365788
10121 6.42775419 6.2696035 6.34340561 6.10413072 6.27816621
10123 5.78928861 5.8333872 5.71227704 5.79618082 5.94559281
101241892 4.59231898 4.3325938 4.32806999 4.77044239 4.69273639
10125 1.67995763 1.3563696 1.39178220 1.30775189 0.61428586
10126 3.91119774 3.8293527 4.31374667 3.46194193 3.57051684
PFOA_24_C7 EtOH_24_C7 TUN_2_H1 THA_2_H1 DMSO_2_H1
100 3.18210845 3.01876598 2.70977263 1.7395851 2.55767855
1000 10.55856033 10.49096375 11.30462857 10.6736344 11.03855196
10000 6.98815752 7.04713963 5.30700227 6.1832706 5.80917593
10001 4.89530616 4.97432118 4.22834373 4.5622780 5.00657684
10003 4.46787783 4.47504679 5.77046315 6.0681547 5.79408322
100037417 -1.17995959 -1.17995959 3.18335856 2.6409491 3.85259412
100049716 2.97662899 2.12373266 3.68898684 3.1914752 3.79310875
10005 3.81728076 3.45940457 3.94852765 4.5347920 4.49922766
10006 6.53629197 6.54044691 6.32661724 6.5350014 6.18968521
10007 5.32920804 5.22480699 4.87873837 4.2937331 5.35399664
10009 5.51173071 5.37444842 5.35259279 5.3813707 5.47249535
100093630 5.65085090 5.72964022 4.12704087 5.1012295 4.31413028
1001 7.47866244 7.34637766 6.76124197 7.4063460 5.09133149
10010 5.71292452 5.91206781 4.81502516 5.0438887 5.48508060
100101267 2.60030068 1.87853379 1.90534146 2.0810300 1.97911542
100101467 3.93560415 4.06952178 4.73465846 5.5418517 4.80048735
10011 5.19328752 5.44945794 5.34358922 5.5487387 5.65621002
100113386 -1.17995959 -0.35483628 2.00006361 1.1536532 1.97911542
100113397 0.53149799 1.21078389 1.44846327 0.4147467 0.28616784
100113407 4.42805774 4.70908379 3.77186555 5.2690919 4.59522752
100125288 1.29248413 2.33324905 1.80396043 2.0029425 2.60457042
100127983 2.77976028 2.98812898 2.00006361 2.5884432 2.04859229
100128006 1.40615987 2.12373266 2.46607414 3.3258392 1.25486404
100128016 0.53149799 0.54907512 0.26779530 2.0810300 1.82923916
100128025 -0.24641255 0.70791758 -1.17995959 -0.5901170 1.25486404
100128054 2.28073412 2.63957267 0.77599306 1.1536532 -0.65319141
100128071 0.71917671 0.16678342 0.77599306 1.6399110 0.49968541
100128191 1.70165858 1.40883586 1.57694427 2.2927427 1.25486404
100128252 3.11681386 2.95682723 -1.17995959 -1.1799596 -1.17995959
100128379 1.70165858 0.54907512 -1.17995959 -1.1799596 0.28616784
100128398 3.89723126 4.33598665 5.52178333 5.1743023 5.63377866
100128494 3.97298279 3.68628353 2.96591166 3.3886024 2.73674092
100128569 1.70165858 1.66271592 1.69491303 2.1551071 2.04859229
100128640 -0.24641255 -0.07057918 1.30741163 0.8309975 0.85033679
100128682 -1.17995959 0.37055506 2.32681917 2.4773258 1.13220719
100128731 6.43947332 6.50301331 6.27545847 5.9689545 6.27550325
100128766 3.14983052 3.26864634 0.26779530 -0.1726456 -0.65319141
100128782 1.51152915 1.58295225 1.80396043 2.2927427 2.96950568
100128822 -1.17995959 -1.17995959 2.91819327 4.2266032 3.89093068
100128833 2.44934763 2.78924089 2.59306294 2.6916109 2.55767855
100128881 1.78808429 2.47256096 2.46607414 2.6409491 2.96950568
100128893 5.55550935 5.75715662 5.97670236 5.7110249 5.71615632
100129001 1.51152915 0.54907512 0.54415639 1.0013268 0.03546721
100129013 1.16907936 2.17903263 0.97568097 1.7395851 1.90612268
100129029 0.88522714 0.37055506 -0.07435652 0.6378326 0.49968541
100129060 3.21367999 3.43689427 3.53930812 4.2937331 3.62133318
100129075 1.29248413 2.06622821 3.01210212 3.7167823 3.00489441
100129195 2.82134192 2.28365292 2.32681917 1.1536532 3.13835897
100129203 0.31570089 0.98115062 -1.17995959 0.4147467 0.99814497
100129250 1.60972369 2.23229092 1.80396043 2.2927427 1.25486404
100129259 1.29248413 1.66271592 0.54415639 0.6378326 0.99814497
100129361 6.11101954 6.05564468 5.81022097 6.0044557 6.04843586
100129398 -0.24641255 0.98115062 -1.17995959 0.6378326 0.68563834
100129434 -0.24641255 -0.70919552 -0.07435652 0.6378326 0.49968541
100129461 1.78808429 2.00633618 -1.17995959 -1.1799596 0.28616784
100129484 0.88522714 2.17903263 2.17267253 2.2927427 2.29720730
100129550 4.42805774 4.56082443 3.47479961 4.0821769 3.98253889
100129583 -0.24641255 -0.35483628 2.00006361 1.1536532 0.99814497
100129662 1.51152915 -0.35483628 0.97568097 2.5339540 1.36790490
100129707 0.31570089 0.16678342 1.30741163 0.1507409 0.85033679
100129716 1.40615987 0.98115062 0.26779530 1.9203854 1.47272852
100129726 -1.17995959 0.98115062 1.44846327 1.0013268 0.03546721
100129774 3.64271872 3.91522717 2.81774340 3.4779069 4.00018263
100129781 1.60972369 2.47256096 0.54415639 0.6378326 -1.17995959
100129792 1.03412306 0.54907512 0.54415639 0.4147467 -0.26815570
100129794 2.08977348 2.33324905 2.17267253 3.0817947 2.35319973
100129842 1.78808429 0.37055506 0.26779530 0.6378326 0.03546721
100129917 1.70165858 1.94384971 1.57694427 3.0432999 2.29720730
100129924 1.60972369 1.81011997 -0.07435652 1.0013268 0.68563834
100129940 -0.24641255 -0.07057918 1.30741163 1.1536532 -0.26815570
100129995 0.31570089 0.85099293 0.77599306 1.7395851 2.17824856
10013 5.70739054 5.95230266 6.14161284 6.0292893 6.28632976
100130111 0.31570089 0.16678342 2.00006361 1.2914211 2.23895369
100130197 1.16907936 0.54907512 0.97568097 0.4147467 0.68563834
100130335 2.86175858 2.71634677 4.08444037 4.3734781 4.32816861
100130348 3.49636903 3.68628353 1.57694427 2.8337239 3.34579055
100130357 -0.24641255 0.54907512 1.57694427 2.4773258 2.11487647
100130466 3.49636903 3.21673751 3.79846649 3.7883594 3.89093068
100130476 -0.63895724 -1.17995959 -1.17995959 -0.1726456 -0.26815570
100130522 1.03412306 0.70791758 0.77599306 1.2914211 2.60457042
100130550 1.29248413 1.31320576 -0.52374326 -0.1726456 -0.26815570
100130564 3.71067836 3.43689427 2.96591166 1.6399110 2.73674092
100130581 0.71917671 0.37055506 0.54415639 1.1536532 -0.26815570
100130691 2.86175858 2.78924089 1.90534146 1.6399110 2.11487647
100130705 1.40615987 0.98115062 2.76476784 3.1558335 3.92827485
100130748 1.70165858 0.85099293 0.97568097 1.2914211 0.68563834
100130750 -1.17995959 -1.17995959 1.69491303 2.2927427 2.69401549
100130855 1.40615987 2.23229092 2.39812619 2.0810300 1.90612268
100130958 1.03412306 0.85099293 -0.07435652 1.0013268 0.03546721
100131017 -1.17995959 -1.17995959 2.17267253 3.2602209 3.00489441
100131031 3.27482303 2.71634677 2.17267253 2.0810300 2.35319973
100131033 1.78808429 1.87853379 2.08894797 1.6399110 2.17824856
100131067 1.94680053 1.94384971 2.25180362 2.5339540 2.64998603
100131089 1.03412306 2.23229092 3.53930812 4.3100387 4.11799282
100131094 -0.63895724 0.37055506 0.26779530 1.2914211 0.99814497
100131138 3.47046618 3.94743449 5.76372901 5.0632566 5.75304658
100131187 -1.17995959 -1.17995959 -1.17995959 -1.1799596 -1.17995959
100131193 3.18210845 3.19006548 3.37228334 4.0240583 2.35319973
100131211 4.30154515 4.48605208 4.18867203 4.0240583 3.34579055
100131213 0.06184958 1.21078389 0.97568097 0.4147467 1.13220719
100131471 2.28073412 2.33324905 1.80396043 1.7395851 1.90612268
100131656 3.49636903 3.41402716 3.60105524 3.6670120 3.87188973
100131685 3.14983052 2.85862840 0.77599306 -0.1726456 1.36790490
100131691 1.78808429 2.23229092 1.69491303 2.8781455 3.00489441
100131740 1.16907936 1.21078389 0.77599306 0.4147467 0.68563834
100131801 3.08302388 3.39079176 2.46607414 1.9203854 2.85781251
100131827 0.71917671 -0.35483628 -0.07435652 1.2914211 0.28616784
100131828 -1.17995959 -1.17995959 1.57694427 0.6378326 1.25486404
100131940 1.03412306 1.49851919 1.80396043 2.0810300 1.82923916
100132074 -0.24641255 -0.07057918 1.30741163 2.1551071 1.36790490
100132086 0.71917671 0.85099293 -1.17995959 -0.1726456 0.68563834
100132116 8.30707309 8.25476292 5.71568879 4.9637071 3.64395737
100132126 0.53149799 0.16678342 0.97568097 -0.1726456 0.28616784
100132215 0.88522714 0.16678342 1.30741163 1.0013268 1.36790490
100132537 2.55171704 2.89210953 1.30741163 1.7395851 1.25486404
100132609 1.60972369 0.54907512 1.44846327 1.1536532 0.99814497
100132659 0.06184958 0.70791758 0.54415639 0.6378326 -1.17995959
100132891 -1.17995959 -1.17995959 -1.17995959 -1.1799596 -0.26815570
100132972 0.53149799 -0.70919552 -0.52374326 0.4147467 0.85033679
100133234 0.06184958 -1.17995959 -0.52374326 1.0013268 0.28616784
100133286 0.06184958 0.54907512 0.26779530 -1.1799596 -0.65319141
100133315 0.88522714 0.70791758 1.15106006 0.8309975 1.13220719
100134934 1.86962393 1.73829971 1.57694427 2.2255656 2.17824856
10014 6.50154161 6.46179785 6.33572703 7.1383663 6.05266951
100144603 2.55171704 2.38119671 -0.07435652 -1.1799596 0.85033679
100144748 1.03412306 2.00633618 0.97568097 2.6409491 2.23895369
10015 7.65862347 7.61554072 7.61038596 7.5488424 7.77139132
10016 5.96097016 6.01822749 4.69273144 5.1290673 5.26192479
100170229 1.51152915 1.58295225 1.15106006 -0.1726456 0.49968541
100170841 4.45472621 4.14089207 3.57051200 3.9634997 3.73106480
10018 4.04495447 4.37202836 4.16841945 4.4636948 4.44872085
100188847 1.60972369 1.49851919 1.57694427 0.8309975 0.49968541
10019 3.59556599 3.88228438 3.29965451 4.6157272 3.75204399
100190938 2.60030068 3.04876588 1.15106006 1.8328157 2.04859229
1002 2.15627538 2.47256096 1.90534146 2.0029425 0.49968541
10020 3.99131510 3.89884980 2.76476784 3.8565525 4.25656974
10021 7.74893442 7.63544728 8.52760469 8.7989578 7.86704562
10023 2.33915581 2.00633618 1.69491303 2.4183837 2.11487647
10024 3.11681386 3.45940457 4.63486329 4.7532548 2.73674092
10026 6.18057075 6.12064328 5.74333590 5.3658560 5.68376749
100268168 -1.17995959 -0.70919552 1.80396043 1.5328360 0.49968541
100270804 1.86962393 1.94384971 1.57694427 1.7395851 2.69401549
100270827 -0.24641255 -1.17995959 0.77599306 0.8309975 1.66196830
100270840 3.75426902 3.31875215 4.87873837 4.2093211 4.92579238
100270854 2.82134192 2.98812898 4.62002616 4.6545535 5.25459285
100270865 4.13014634 3.93142070 5.25992389 5.4783425 6.13483357
100271271 3.44408974 3.36717601 3.50741439 3.2602209 3.81321096
100271332 3.08302388 2.78924089 -1.17995959 -0.5901170 -1.17995959
100271415 1.86962393 1.58295225 2.81774340 3.3886024 1.90612268
100271479 -1.17995959 -0.35483628 0.54415639 1.4171724 1.57044903
100271884 0.06184958 1.21078389 0.26779530 -1.1799596 -1.17995959
100272147 3.36193740 3.52490186 2.17267253 2.2927427 3.47758910
100286844 1.40615987 0.70791758 1.15106006 1.7395851 1.97911542
100287015 0.31570089 -0.35483628 1.44846327 0.4147467 2.45905881
100287049 1.40615987 1.66271592 0.77599306 1.9203854 0.99814497
100287074 2.33915581 2.38119671 0.26779530 0.6378326 0.28616784
100287616 4.19485357 3.83141535 2.00006361 2.1551071 2.29720730
100287722 1.86962393 1.49851919 1.69491303 1.6399110 1.66196830
100287808 0.88522714 0.16678342 0.26779530 0.4147467 -0.26815570
100287837 0.31570089 0.54907512 0.26779530 2.0810300 0.49968541
100287896 3.14983052 3.39079176 1.69491303 3.0037497 3.57499179
100287902 0.53149799 -0.70919552 0.77599306 0.1507409 -0.26815570
100287928 3.41722208 2.75325417 2.96591166 2.6916109 3.62133318
100287932 5.89920516 5.72964022 5.70869342 4.9942998 5.68921638
100288001 2.02005738 2.42760197 2.65259764 2.4183837 3.03943580
100288073 3.59556599 3.56697099 3.14241235 4.8230875 4.31413028
100288123 0.88522714 0.54907512 0.97568097 1.5328360 1.25486404
100288198 2.82134192 2.89210953 2.17267253 2.0029425 2.96950568
100288241 1.16907936 1.49851919 -1.17995959 -0.1726456 -1.17995959
100288413 2.73694451 1.94384971 3.05685948 2.5884432 3.20072971
100288513 0.53149799 0.54907512 -0.52374326 -1.1799596 0.28616784
100288842 1.51152915 0.70791758 1.80396043 1.8328157 2.29720730
100289061 0.53149799 0.54907512 0.97568097 2.0810300 1.36790490
100289095 -0.24641255 1.73829971 -0.07435652 0.1507409 0.03546721
100289133 2.33915581 2.12373266 3.29965451 1.6399110 1.82923916
100289178 2.60030068 2.75325417 2.81774340 2.6916109 2.55767855
100289211 1.03412306 0.37055506 0.97568097 1.2914211 1.57044903
100289259 1.03412306 -0.07057918 0.26779530 2.4183837 0.99814497
100289274 3.14983052 2.78924089 3.26192130 4.9739769 3.68816841
100289341 1.51152915 -0.70919552 0.54415639 1.1536532 2.50921119
100289373 -1.17995959 -0.35483628 2.00006361 2.4183837 1.82923916
100289388 2.02005738 2.06622821 -0.07435652 -0.1726456 0.03546721
100289414 0.31570089 0.16678342 0.54415639 1.2914211 0.28616784
100289635 5.52437504 5.60898025 5.36154053 5.8060594 5.45340920
100289640 2.55171704 2.17903263 1.44846327 2.7405539 1.82923916
100289678 2.39530351 3.26864634 1.80396043 3.3575621 2.96950568
100293516 4.44145360 4.51857302 3.90022099 4.5486005 4.14995843
100294362 1.51152915 1.10053127 0.77599306 0.4147467 0.99814497
1003 1.29248413 0.85099293 -0.07435652 -1.1799596 -1.17995959
100302692 1.03412306 2.12373266 3.66026770 3.4189890 2.93322701
100302736 2.60030068 2.17903263 0.77599306 1.4171724 2.11487647
100303728 3.44408974 3.74243264 3.37228334 3.3258392 4.29995401
100303755 1.51152915 1.66271592 2.46607414 2.1551071 2.35319973
100312828 0.06184958 -0.70919552 1.30741163 0.4147467 0.99814497
100312850 0.31570089 -0.35483628 -0.07435652 -0.1726456 1.13220719
10036 4.27185838 4.63191166 5.18124927 5.2774081 4.58357111
100379345 3.44408974 2.59959710 0.97568097 0.4147467 2.04859229
10038 5.63927213 5.48828838 5.43966685 5.8117962 5.83889579
100381270 1.03412306 1.21078389 0.77599306 1.4171724 0.28616784
10039 6.12768875 6.47842559 3.85024066 3.7883594 4.18123111
1004 6.59740663 6.48666815 3.71714542 3.6414678 3.59834855
10040 4.22615042 4.32376985 3.79846649 4.4192915 3.98253889
100418710 1.60972369 1.66271592 0.54415639 -1.1799596 0.28616784
100418735 3.11681386 3.43689427 1.44846327 0.8309975 1.90612268
100418744 1.60972369 1.21078389 0.97568097 2.4183837 0.49968541
100418770 3.04842346 3.01876598 -1.17995959 -1.1799596 -1.17995959
100418781 1.86962393 1.31320576 2.25180362 1.1536532 1.82923916
100418819 1.78808429 1.21078389 1.69491303 1.7395851 1.82923916
100418829 2.90107377 2.89210953 1.15106006 1.2914211 0.68563834
100418888 1.86962393 2.17903263 0.54415639 1.5328360 1.47272852
100418889 1.70165858 2.06622821 2.70977263 2.9212401 2.96950568
100418910 1.29248413 1.58295225 0.26779530 1.1536532 -0.26815570
100418919 2.33915581 2.17903263 2.39812619 2.4773258 2.55767855
100419028 1.70165858 1.31320576 1.44846327 1.8328157 1.82923916
100419185 -1.17995959 0.85099293 0.54415639 -0.5901170 0.03546721
100419416 1.29248413 1.10053127 -0.52374326 1.0013268 1.36790490
100419515 -0.24641255 -0.35483628 -0.07435652 0.6378326 0.68563834
100419645 0.06184958 -0.35483628 0.54415639 0.1507409 -0.26815570
100419758 0.88522714 -0.70919552 1.80396043 0.6378326 1.57044903
100419928 1.03412306 1.10053127 2.39812619 1.7395851 1.97911542
10042 5.57387245 5.60898025 4.92775755 5.8117962 5.11581647
100420028 0.88522714 -0.35483628 0.54415639 0.4147467 -0.26815570
100420050 -1.17995959 0.16678342 0.26779530 0.1507409 0.85033679
100420110 3.77558019 3.10695666 3.18335856 3.3886024 2.60457042
100420187 1.51152915 1.10053127 0.54415639 0.1507409 0.03546721
100420259 4.41453633 4.49697405 4.01808392 4.0630630 4.06867585
100420307 1.03412306 0.85099293 0.26779530 0.6378326 0.85033679
100420341 5.33639644 5.23788731 5.02106554 5.2607274 6.14676433
100420423 0.06184958 -0.35483628 1.80396043 0.8309975 1.90612268
100420591 1.51152915 1.21078389 0.97568097 1.2914211 1.47272852
100420707 2.28073412 3.07815464 3.57051200 3.1558335 2.73674092
100420752 1.78808429 0.85099293 2.17267253 1.7395851 1.90612268
100420869 3.85780977 3.68628353 4.16841945 4.2266032 4.66325481
100420981 5.93752627 5.89977524 6.53079003 6.4748037 6.67206719
100421093 3.77558019 4.31144871 3.68898684 4.0041532 4.31413028
100421109 0.53149799 -0.35483628 0.54415639 0.1507409 1.57044903
100421160 1.51152915 1.10053127 0.77599306 1.5328360 0.85033679
100421175 1.29248413 1.31320576 -1.17995959 1.0013268 0.99814497
100421246 1.29248413 1.94384971 -0.07435652 0.4147467 0.68563834
100421311 2.21984644 2.71634677 0.77599306 1.4171724 1.57044903
100421372 2.21984644 0.98115062 2.25180362 3.1558335 2.11487647
100421400 2.21984644 2.12373266 2.25180362 2.2255656 2.04859229
100421415 0.71917671 0.16678342 2.17267253 1.7395851 1.97911542
100421429 0.06184958 0.54907512 -1.17995959 0.8309975 0.49968541
100421465 2.21984644 2.23229092 1.57694427 1.5328360 1.82923916
100421468 1.70165858 1.10053127 1.30741163 2.9630847 2.69401549
100421506 0.31570089 -0.35483628 1.15106006 1.0013268 1.74802661
100421569 0.06184958 -0.07057918 0.77599306 0.6378326 0.68563834
100421595 0.53149799 1.58295225 -1.17995959 1.6399110 -0.65319141
100421794 3.54681992 4.09849494 -1.17995959 -0.1726456 0.03546721
100422106 1.51152915 2.17903263 1.30741163 1.6399110 1.66196830
100422338 1.94680053 2.63957267 2.91819327 2.6409491 2.69401549
100422546 0.06184958 0.37055506 1.90534146 1.2914211 1.13220719
100422561 4.09667082 4.39556546 3.60105524 3.5620040 4.22690471
10043 5.88456818 5.84098301 5.66599360 5.7828812 5.17138209
10044 4.27185838 3.93142070 0.97568097 0.1507409 -0.26815570
10045 0.06184958 0.98115062 -0.07435652 0.4147467 1.47272852
10046 0.53149799 -0.07057918 0.26779530 0.1507409 1.13220719
10048 6.88898006 6.90472181 6.69906750 6.8289280 6.74974102
10049 5.26284787 5.60393748 6.57377286 5.8002996 6.63018786
100499177 4.04495447 3.96327248 3.71714542 4.4636948 3.89093068
100499483 1.29248413 0.85099293 2.81774340 3.6154632 2.11487647
1005 -1.17995959 -1.17995959 1.30741163 0.8309975 0.68563834
100500719 0.31570089 0.37055506 -0.07435652 -0.1726456 -0.26815570
100505385 1.94680053 2.63957267 2.81774340 3.6154632 2.17824856
100505501 0.88522714 1.31320576 2.59306294 2.7878909 2.35319973
100505538 1.86962393 1.81011997 1.30741163 2.0810300 2.11487647
100505549 -0.63895724 -1.17995959 0.54415639 1.2914211 0.99814497
100505573 6.27712157 6.13469818 6.19764959 6.5034451 6.20498154
100505576 3.61933499 3.74243264 2.17267253 2.5339540 1.25486404
100505616 0.53149799 0.54907512 0.26779530 0.8309975 1.13220719
100505624 1.03412306 2.47256096 1.30741163 1.4171724 1.47272852
100505635 1.60972369 1.31320576 -0.07435652 0.4147467 0.28616784
100505641 2.69281910 2.51616113 2.25180362 2.1551071 2.60457042
100505648 2.21984644 3.26864634 2.86884240 3.4487487 3.07316950
100505678 2.33915581 2.85862840 2.17267253 2.5884432 0.85033679
100505696 4.66346903 4.49697405 4.86621884 4.6798690 4.88838306
100505715 -1.17995959 -0.35483628 -1.17995959 -0.5901170 -0.26815570
100505738 0.88522714 1.66271592 -1.17995959 -1.1799596 -1.17995959
100505741 1.29248413 0.85099293 1.57694427 1.1536532 1.66196830
100505758 3.18210845 3.21673751 3.37228334 3.8785856 4.16567950
100505761 2.28073412 2.92483125 3.18335856 3.6154632 3.90972359
100505771 3.18210845 3.16289105 2.17267253 2.0810300 2.69401549
100505783 -1.17995959 -0.70919552 2.59306294 2.3569305 2.64998603
100505806 3.04842346 3.26864634 3.94852765 5.0143403 4.52383312
100505812 -0.24641255 -1.17995959 -1.17995959 1.6399110 2.04859229
100505832 1.03412306 0.16678342 1.57694427 2.8337239 0.99814497
100505854 -0.24641255 0.70791758 4.01808392 5.2938981 4.11799282
100505876 5.68503987 5.45506955 5.58426897 5.4491932 5.75824045
100505894 2.28073412 2.47256096 3.18335856 3.6670120 4.89782672
100505933 -0.24641255 -0.07057918 3.26192130 3.0817947 1.90612268
100505994 -1.17995959 -0.70919552 1.30741163 1.4171724 1.47272852
100506020 1.40615987 1.21078389 2.39812619 0.4147467 0.49968541
100506033 4.78403954 4.55037701 4.91565801 4.9218808 4.92579238
100506054 -0.24641255 -0.70919552 2.39812619 3.0432999 3.03943580
100506068 0.71917671 -0.35483628 1.30741163 1.5328360 0.85033679
100506070 0.71917671 0.85099293 1.57694427 1.7395851 1.13220719
100506083 0.88522714 -0.70919552 0.54415639 1.0013268 1.57044903
100506100 -0.24641255 0.54907512 -0.07435652 -1.1799596 -0.26815570
100506119 -1.17995959 -0.35483628 2.76476784 1.9203854 3.03943580
100506127 2.33915581 2.59959710 1.44846327 3.5064874 2.73674092
100506142 -1.17995959 0.70791758 -0.52374326 1.4171724 -0.26815570
100506144 1.51152915 1.10053127 0.26779530 0.4147467 1.25486404
100506161 1.16907936 1.66271592 0.54415639 1.1536532 0.68563834
100506211 5.51806673 5.61901323 3.79846649 3.3886024 2.89601248
100506235 1.78808429 1.58295225 1.44846327 1.7395851 2.29720730
100506258 0.53149799 -0.35483628 1.57694427 2.7405539 1.25486404
100506282 1.94680053 2.55848221 3.33642591 3.1558335 2.93322701
100506286 -1.17995959 0.85099293 -1.17995959 0.8309975 2.29720730
100506302 0.71917671 1.40883586 1.69491303 1.2914211 1.97911542
100506321 1.40615987 0.98115062 0.54415639 1.5328360 0.49968541
100506325 0.31570089 0.70791758 0.54415639 1.8328157 1.13220719
100506343 0.06184958 0.98115062 0.54415639 1.0013268 -1.17995959
100506365 5.59799856 5.44382443 5.26946327 5.5069145 6.11067192
100506368 0.31570089 0.98115062 0.54415639 0.4147467 0.28616784
100506380 2.28073412 2.28365292 4.20864424 4.3578778 4.71759220
100506392 3.81728076 3.93142070 4.39448919 4.1380447 3.45217507
100506394 0.53149799 0.54907512 2.86884240 1.9203854 2.73674092
100506411 1.29248413 0.85099293 1.69491303 1.0013268 1.13220719
100506433 1.29248413 2.47256096 3.18335856 3.7883594 3.23093222
100506462 -0.63895724 0.16678342 -0.07435652 -0.5901170 0.68563834
100506469 2.82134192 3.01876598 5.05455675 5.2007777 5.24722347
100506495 -0.24641255 -1.17995959 1.57694427 1.8328157 1.25486404
100506504 2.08977348 2.51616113 2.25180362 3.1192890 1.97911542
100506540 1.40615987 1.66271592 1.57694427 1.9203854 1.13220719
100506581 3.21367999 3.26864634 -1.17995959 0.6378326 1.82923916
100506606 -1.17995959 -0.35483628 1.69491303 -0.1726456 1.36790490
100506658 0.31570089 1.31320576 1.69491303 1.8328157 0.99814497
100506668 3.57139883 3.10695666 1.69491303 2.8337239 3.20072971
100506686 1.78808429 2.23229092 2.32681917 2.0810300 2.04859229
100506691 -0.63895724 0.16678342 1.30741163 1.5328360 1.36790490
100506696 0.71917671 -0.35483628 1.80396043 2.4183837 2.89601248
100506697 0.53149799 1.10053127 2.08894797 1.4171724 0.99814497
100506710 5.16933491 5.01287930 5.99981035 6.7049342 6.62735220
100506713 0.06184958 0.54907512 -0.52374326 0.8309975 -1.17995959
100506725 4.59319281 4.33598665 3.66026770 4.4192915 2.55767855
100506731 1.60972369 0.16678342 1.30741163 1.9203854 1.90612268
100506757 2.21984644 1.49851919 -0.07435652 0.8309975 -0.26815570
100506779 1.51152915 0.70791758 -0.52374326 1.0013268 0.28616784
100506804 -1.17995959 0.37055506 -0.07435652 -0.1726456 0.28616784
100506826 0.06184958 1.58295225 1.44846327 1.0013268 0.99814497
100506844 2.64730140 2.47256096 2.25180362 3.8114505 3.10613241
100506866 5.12850841 5.48828838 7.23771947 6.9741314 6.82096588
100506881 2.21984644 2.17903263 0.77599306 -0.1726456 0.49968541
100506885 0.88522714 1.66271592 -1.17995959 1.0013268 0.03546721
100506911 0.06184958 -0.70919552 1.15106006 0.1507409 1.13220719
100506922 -1.17995959 -0.70919552 1.90534146 2.2255656 3.31792182
100506930 0.31570089 0.54907512 4.28587793 4.4781973 4.11799282
100506994 1.16907936 1.21078389 0.77599306 0.8309975 0.28616784
100507003 -1.17995959 -1.17995959 3.01210212 1.2914211 1.97911542
100507032 -1.17995959 -1.17995959 0.77599306 1.6399110 2.60457042
100507034 2.97662899 3.34316724 3.01210212 3.4487487 2.73674092
100507050 0.88522714 0.70791758 -0.07435652 -1.1799596 0.03546721
100507053 -1.17995959 -1.17995959 3.05685948 2.5884432 1.57044903
100507057 0.06184958 -1.17995959 -0.07435652 0.6378326 1.13220719
100507062 -0.63895724 1.10053127 1.80396043 -0.5901170 1.36790490
100507071 0.71917671 0.85099293 -0.07435652 0.4147467 1.13220719
100507156 2.60030068 2.78924089 3.10026999 2.5339540 2.55767855
100507171 2.50144012 2.75325417 1.69491303 3.5345127 3.50256319
100507173 0.31570089 0.54907512 0.97568097 1.9203854 1.13220719
100507178 -0.24641255 0.98115062 1.80396043 1.4171724 0.68563834
100507244 2.08977348 2.00633618 0.77599306 0.6378326 0.28616784
100507246 4.45472621 4.22212218 2.91819327 2.7405539 2.40709999
100507250 0.31570089 0.54907512 0.26779530 1.6399110 0.03546721
100507254 1.60972369 1.31320576 -1.17995959 -1.1799596 -1.17995959
100507266 0.88522714 0.85099293 1.30741163 2.0810300 1.82923916
100507290 4.95256428 4.95860469 4.63486329 5.5418517 5.03253010
100507291 1.40615987 1.31320576 1.69491303 2.8337239 1.74802661
100507303 1.70165858 1.49851919 3.33642591 2.6409491 3.66623224
100507308 -0.24641255 -0.07057918 -0.07435652 0.8309975 1.13220719
100507316 0.31570089 -0.35483628 2.81774340 2.3569305 3.03943580
100507331 1.94680053 2.12373266 1.57694427 2.8337239 2.60457042
100507347 1.78808429 2.17903263 1.44846327 1.8328157 1.74802661
100507373 2.15627538 2.82435176 1.80396043 2.0029425 1.66196830
100507392 0.31570089 0.16678342 -1.17995959 -0.5901170 -1.17995959
100507398 -0.24641255 0.16678342 2.86884240 2.2255656 2.55767855
100507401 1.40615987 0.85099293 1.30741163 1.2914211 0.28616784
100507420 -1.17995959 0.16678342 -1.17995959 -0.5901170 -0.26815570
100507433 1.16907936 2.38119671 -0.07435652 1.9203854 2.60457042
100507436 -0.63895724 0.16678342 -0.07435652 0.4147467 0.68563834
100507437 2.15627538 1.21078389 1.69491303 2.6916109 1.57044903
100507459 0.71917671 1.31320576 2.17267253 2.6409491 2.60457042
100507463 -0.63895724 0.16678342 -0.52374326 -0.1726456 -1.17995959
100507487 2.21984644 2.17903263 1.90534146 2.8337239 3.03943580
100507495 4.48091065 4.55037701 2.00006361 3.0432999 3.16988137
100507516 1.03412306 -0.07057918 -1.17995959 -0.1726456 -0.26815570
100507551 -0.24641255 0.70791758 2.32681917 1.4171724 1.36790490
100507557 1.94680053 2.12373266 1.30741163 1.7395851 0.99814497
100507564 1.51152915 0.54907512 -1.17995959 0.4147467 -0.65319141
100507567 0.06184958 0.37055506 1.90534146 1.9203854 1.66196830
100507588 -1.17995959 0.16678342 -0.07435652 -0.1726456 -0.26815570
100507599 1.51152915 1.31320576 1.80396043 2.5339540 1.82923916
100507602 4.41453633 4.68062580 2.81774340 2.9212401 3.57499179
100508120 0.71917671 1.21078389 1.80396043 2.4183837 2.23895369
10051 6.69010498 6.50301331 7.88316619 7.8611271 6.80348660
10052 1.03412306 0.37055506 1.44846327 1.8328157 1.47272852
100526737 1.94680053 2.23229092 2.70977263 2.9212401 2.81857350
100526760 1.70165858 1.58295225 0.97568097 1.4171724 1.82923916
100526820 0.31570089 -0.35483628 1.44846327 1.8328157 0.99814497
100526835 3.41722208 3.58755430 4.98677833 5.8624262 4.29995401
100527978 0.06184958 -0.70919552 2.08894797 2.1551071 1.66196830
100529145 1.16907936 1.40883586 2.00006361 1.2914211 1.66196830
100529215 0.31570089 1.21078389 0.77599306 0.8309975 0.49968541
100532746 4.07963719 3.93142070 4.12704087 3.6670120 4.10174043
100533106 -0.63895724 0.70791758 1.44846327 1.0013268 1.57044903
100533182 0.06184958 0.16678342 1.15106006 1.7395851 1.47272852
100533619 -1.17995959 0.70791758 -1.17995959 -0.1726456 0.68563834
100533629 -1.17995959 0.98115062 0.54415639 1.5328360 1.82923916
100533695 0.71917671 -0.07057918 0.54415639 0.6378326 1.25486404
100533970 0.88522714 0.54907512 0.77599306 1.0013268 1.57044903
100534593 0.71917671 0.54907512 2.00006361 1.6399110 -0.26815570
10054 6.53316720 6.21956875 6.05048854 6.3383772 5.97002559
10056 6.04234725 5.87905197 6.09944678 5.7770280 6.13483357
10057 7.29899906 7.40843279 7.48906917 7.6832229 7.90500507
10058 6.04234725 6.06301306 5.21125727 4.8001835 5.78901702
10059 7.13554401 7.17164968 7.31114451 7.3640228 7.47279966
1006 5.65660562 5.65358918 4.86621884 4.3889114 4.03483568
10060 4.25678272 4.64178697 4.04054356 5.2856767 3.66623224
100616256 0.71917671 -0.70919552 0.54415639 1.0013268 1.13220719
10062 1.16907936 1.66271592 1.57694427 2.2927427 2.50921119
10063 4.13014634 4.20889748 4.01808392 4.0630630 4.79038222
100652739 -0.63895724 0.70791758 0.26779530 -1.1799596 -1.17995959
100652758 1.29248413 1.87853379 0.26779530 0.4147467 1.13220719
100652846 1.94680053 1.49851919 2.81774340 2.8337239 1.25486404
10066 6.89629476 6.90061503 5.96500807 6.0729401 6.61595350
10067 6.28828518 6.24893982 6.23220844 6.1153089 6.81350068
10068 3.79658114 3.89884980 3.37228334 2.7878909 3.26051540
10069 3.21367999 3.26864634 4.32299765 4.6545535 5.04957647
10072 4.92421926 4.69017431 4.22834373 4.2772412 5.09953941
10073 4.04495447 4.43016641 3.63096523 3.9427351 4.16567950
10075 8.86084491 8.91403406 8.62834986 9.0107921 8.87885518
10076 6.42942427 6.32752170 4.42894889 4.3100387 4.70688721
10077 2.15627538 0.85099293 4.74836767 4.5067722 4.69610220
100775107 1.51152915 0.98115062 0.97568097 2.0029425 1.25486404
10078 4.74135248 4.50781395 4.47914264 5.1198476 5.03253010
10079 5.24767726 4.94271509 4.10589786 3.9634997 3.96467670
1008 4.65199149 5.14373224 4.96345896 4.2937331 4.65213736
10081 5.01661412 4.73699128 5.23092135 5.6924873 5.56431284
10082 7.51554571 7.47346880 7.96909892 7.7339580 6.98943706
100820829 6.08564894 6.06301306 6.56217669 6.5793977 5.83398480
10084 4.89530616 4.82630004 5.11929328 4.8344046 5.64503794
100847074 2.21984644 2.55848221 1.30741163 1.6399110 2.64998603
10085 9.40724386 9.21290102 6.37602385 5.9689545 6.20498154
100852407 0.53149799 -0.07057918 1.15106006 2.0029425 1.13220719
100861412 1.16907936 0.54907512 1.44846327 1.1536532 1.36790490
100861548 4.66346903 4.45278111 3.82458581 3.6154632 4.66325481
100862671 0.53149799 0.98115062 0.97568097 1.4171724 0.28616784
10087 6.77456127 6.77612907 6.17752352 6.4157563 6.57533352
100873257 0.31570089 -0.35483628 -0.52374326 0.8309975 0.68563834
100873333 3.24457540 2.63957267 3.10026999 3.2934031 3.20072971
100873790 2.44934763 3.13519492 4.55910296 3.8565525 5.17138209
100873949 0.53149799 0.37055506 2.25180362 1.6399110 1.47272852
100873952 -0.63895724 0.98115062 0.26779530 0.4147467 0.28616784
100873965 1.60972369 2.71634677 2.08894797 1.8328157 2.17824856
100874006 2.21984644 1.73829971 0.97568097 -0.1726456 0.68563834
100874008 1.60972369 2.06622821 0.54415639 1.0013268 0.85033679
100874014 1.51152915 1.58295225 3.60105524 3.4487487 2.89601248
100874058 2.28073412 1.87853379 1.44846327 1.6399110 1.74802661
100874080 1.51152915 0.54907512 1.44846327 -0.1726456 0.03546721
100874097 1.78808429 2.12373266 2.00006361 1.6399110 2.04859229
100874201 -0.24641255 0.16678342 -0.07435652 -0.5901170 0.28616784
100874212 1.03412306 1.40883586 0.54415639 0.1507409 1.13220719
100874217 0.06184958 0.98115062 0.77599306 1.4171724 0.28616784
100874235 1.16907936 0.54907512 1.69491303 1.9203854 0.85033679
100874261 1.51152915 1.31320576 0.26779530 1.8328157 1.25486404
100874291 -1.17995959 0.98115062 1.44846327 1.4171724 2.35319973
100874362 0.06184958 0.70791758 1.90534146 2.6409491 2.55767855
100874523 2.15627538 2.17903263 1.69491303 1.2914211 1.66196830
100885775 2.90107377 3.07815464 5.24065379 5.2938981 4.95322624
100885776 0.31570089 0.70791758 0.26779530 1.2914211 1.57044903
100885848 5.45341842 5.67298107 5.57660467 5.3343170 4.98901161
1009 9.78004657 9.64352557 8.16963731 7.2816731 7.42461269
10090 5.15314269 4.64178697 4.58988612 4.6025494 4.64093357
10092 7.90937104 7.96142455 7.26420333 7.2226054 7.19683898
10093 7.34427386 7.21529009 6.49870531 6.2182489 6.29707563
10094 3.91654528 3.88228438 4.91565801 4.7292052 5.26192479
10095 5.73485058 5.74804268 4.62002616 4.3734781 5.03253010
10097 8.59845817 8.55307715 7.54708593 7.2096272 7.88733587
10098 6.32849485 6.24893982 6.13640899 6.3814483 5.63377866
10099 8.57205790 8.56155559 8.08167578 7.3224311 8.14199653
100996246 3.08302388 2.59959710 -0.07435652 1.0013268 1.47272852
100996251 0.88522714 0.37055506 1.15106006 -0.5901170 0.28616784
100996307 2.55171704 2.59959710 -1.17995959 -0.1726456 0.03546721
100996384 1.40615987 1.66271592 1.15106006 0.1507409 0.68563834
100996419 0.31570089 1.49851919 1.44846327 1.4171724 2.45905881
100996485 2.21984644 2.75325417 2.46607414 1.8328157 2.45905881
100996539 0.53149799 0.70791758 0.97568097 1.0013268 1.57044903
100996579 1.94680053 2.12373266 1.57694427 1.9203854 2.96950568
100996696 3.27482303 3.29391676 3.37228334 3.0037497 3.13835897
100996842 2.64730140 1.87853379 0.97568097 1.6399110 2.29720730
100996851 -0.24641255 0.37055506 -0.07435652 0.6378326 -0.26815570
100996939 1.16907936 1.21078389 1.69491303 1.7395851 1.36790490
101 0.31570089 0.70791758 0.54415639 2.0810300 1.47272852
1010 1.86962393 1.10053127 1.44846327 0.4147467 1.57044903
10100 5.22461799 5.18483906 6.97163786 5.9430508 6.60734498
10101 4.84579149 4.74617509 5.04347917 5.3813707 5.57023113
10102 5.01661412 4.91854766 5.12980581 4.9429455 5.17138209
10103 0.88522714 0.54907512 -1.17995959 0.4147467 0.68563834
10105 6.99043775 7.01140387 7.56462684 6.6956560 7.95109158
10106 7.64131434 7.56583567 7.30883337 8.1280800 7.67307246
101060200 3.33347977 3.68628353 3.60105524 3.6921118 3.77272247
101060691 2.02005738 1.58295225 0.97568097 2.2927427 0.49968541
10109 8.65129397 8.87217781 7.61973912 7.4326465 8.00014219
10112 5.04321685 5.15756506 6.64145807 6.3775855 3.85259412
10113 6.40227950 6.43365185 5.74333590 6.3383772 6.83578140
10114 8.04059484 8.05861942 8.47085167 8.9516121 8.22967737
101154753 0.71917671 -0.70919552 -0.52374326 0.8309975 -0.65319141
10116 7.48837544 7.52640066 7.49518025 8.1910613 7.86343518
10117 -0.24641255 -1.17995959 0.54415639 0.4147467 0.68563834
1012 5.49897458 5.36851364 5.03231588 5.1831815 5.40786768
10121 6.31035653 6.37565694 6.35825296 5.8734401 6.41686471
10123 5.96561356 5.78860952 4.98677833 5.6546820 4.70688721
101241892 4.76285388 4.77338086 4.80193777 4.6672668 4.25656974
10125 1.16907936 1.10053127 1.90534146 2.1551071 1.57044903
10126 3.81728076 3.58755430 3.22317464 3.8565525 3.83303692
TUN_24_H1 THA_24_H1 DOX_24_H1 NUTL_24_H1 DMSO_24_H1 LPS_24_H1
100 3.12417532 1.9258446 4.60758945 2.9501514 2.84512213 3.0488743
1000 11.11522386 11.4914336 9.95653411 11.0631547 11.10241899 11.0293431
10000 6.46825545 6.3103353 6.28983284 5.8642127 5.83938044 5.8693162
10001 4.53022867 4.7584800 4.93659451 4.8987894 4.63004024 4.9007657
10003 5.74564691 4.7963350 5.70653968 6.6124031 6.03192278 5.9555230
100037417 2.31452163 3.5503363 3.29401974 3.5677361 3.80012031 4.0656729
100049716 3.96506116 3.6363389 4.76773596 3.8365852 4.41192734 4.1880315
10005 4.56668088 4.1660828 4.31875427 4.8016155 4.56923991 4.7613021
10006 6.47466403 6.7504029 6.45725211 6.6992724 6.53950402 6.4224292
10007 5.51638380 5.5830469 6.71836541 5.6081602 5.41773573 5.4820269
10009 4.98997543 4.8572996 5.60992586 5.2605316 5.05054595 4.8273487
100093630 5.27338580 4.7963350 4.97290700 4.1246771 3.88239478 4.0838010
1001 6.81990874 4.4134827 7.47909553 6.7907333 5.98148332 6.2445064
10010 5.52258257 5.0366915 5.55509261 5.1950781 5.16180158 4.9608514
100101267 1.38368284 2.0973881 1.83338140 1.8476109 1.96927096 1.3554341
100101467 5.15866771 4.9157921 4.35589311 5.8338156 5.49821938 5.2367682
10011 5.44637939 4.8332220 5.34949673 5.4081244 5.68746867 5.3608912
100113386 2.42453885 0.4863104 1.60564698 2.3381176 1.72359503 2.1584600
100113397 1.01297694 -0.5537706 0.28918679 0.4987161 1.05404722 1.6753436
100113407 4.24547079 4.6796533 4.35589311 4.6701520 4.41192734 4.0838010
100125288 2.42453885 1.8317633 0.80102860 2.8072741 1.96927096 2.2892017
100127983 1.76455413 2.5749379 1.47670631 1.3936607 2.04267053 2.5197449
100128006 2.66766865 1.3786365 1.00183015 2.9040801 2.62382078 2.2892017
100128016 1.38368284 1.6229172 0.80102860 1.9418331 0.90456014 1.3554341
100128025 0.29832685 0.4863104 -0.05625794 -0.5473797 -0.23427938 0.3654851
100128054 0.51278902 0.7143389 0.56768865 -0.5473797 0.33211232 1.0944155
100128071 1.01297694 1.2390018 1.00183015 1.2537154 1.63143524 1.3554341
100128191 1.76455413 0.4863104 2.99766138 2.7563209 3.00056949 3.0488743
100128252 -1.17995959 -1.1799596 -1.17995959 -1.1799596 -1.17995959 -1.1799596
100128379 -0.25921808 -0.1185534 0.28918679 -1.1799596 -0.23427938 -1.1799596
100128398 5.63556468 5.0679786 6.29939676 5.5268881 5.27273551 5.1361237
100128494 3.44454102 3.3271559 3.13218689 3.3095230 2.88558219 3.0114816
100128569 2.57527333 2.1760715 0.28918679 2.0302770 2.04267053 0.7755059
100128640 1.48873330 0.4863104 3.66340919 2.1923926 1.89193595 0.5850129
100128682 1.67834301 3.4588802 2.56205333 1.7468025 2.67088019 2.2892017
100128731 6.38564960 6.3233584 6.78455629 6.8127204 6.66393578 6.6674947
100128766 0.04632208 0.2153484 -1.17995959 -0.1091102 -0.23427938 0.5850129
100128782 2.62221053 2.0973881 2.84928974 2.7563209 2.80349455 2.6225280
100128822 3.41818460 2.9331133 4.00478115 2.9947969 2.52483033 2.9336569
100128833 2.91390350 2.5156570 3.17437856 2.5323465 2.67088019 2.1584600
100128881 1.67834301 2.8870757 3.33179247 2.8564890 1.96927096 2.6225280
100128893 5.64127292 5.3819616 7.44071783 6.4129973 6.28352672 6.4295346
100129001 0.69945767 0.2153484 -0.05625794 0.7275750 1.53298407 1.2308199
100129013 1.58665090 2.0973881 1.72400312 1.9418331 1.81021946 1.7679479
100129029 0.51278902 1.3786365 0.28918679 1.0987223 -0.23427938 1.0944155
100129060 3.05743288 3.7175018 4.20123196 3.7349756 3.66718066 3.8496043
100129075 3.52083883 2.0973881 4.54464583 3.5677361 2.67088019 3.1555667
100129195 2.06558725 1.0843896 1.60564698 2.9501514 3.71286859 2.5197449
100129203 0.69945767 0.9111966 6.20077872 1.3936607 -0.23427938 0.3654851
100129250 1.58665090 0.2153484 2.11912408 1.6384173 1.81021946 2.6225280
100129259 0.04632208 -0.5537706 0.28918679 0.7275750 0.33211232 0.3654851
100129361 5.74033779 5.2426644 6.08389581 5.9797745 6.05427953 6.0599451
100129398 0.69945767 1.2390018 -0.05625794 0.9250511 0.54915460 -0.2094960
100129434 0.04632208 0.2153484 2.49704517 -0.1091102 0.73777400 1.5763850
100129461 1.84590275 -1.1799596 -0.05625794 1.3936607 1.31329935 0.3654851
100129484 2.06558725 2.0141645 2.42896893 2.7563209 1.18948892 1.0944155
100129550 4.41499694 2.8870757 4.35589311 4.4947404 4.23533789 3.5953769
100129583 0.86471715 0.9111966 1.33510038 1.5212232 2.57517441 1.9370307
100129662 2.31452163 0.4863104 4.13867421 2.9501514 2.04267053 2.5720516
100129707 0.69945767 0.9111966 0.56768865 -0.1091102 0.54915460 0.9437547
100129716 1.99601083 1.0843896 2.42896893 2.1923926 1.63143524 0.1064515
100129726 -0.25921808 -1.1799596 1.33510038 1.6384173 0.33211232 -0.2094960
100129774 3.70653288 3.7175018 3.66340919 3.4443987 2.71645294 3.3175300
100129781 0.29832685 -0.5537706 -0.05625794 -0.1091102 0.07653495 -0.6146207
100129792 1.48873330 -0.1185534 -1.17995959 1.3936607 1.53298407 1.2308199
100129794 2.25619805 2.3892455 0.80102860 2.3381176 2.67088019 1.6753436
100129842 1.27037812 -0.1185534 1.17806735 0.7275750 0.07653495 0.5850129
100129917 3.59330346 2.6866575 2.20304352 1.2537154 1.63143524 1.0944155
100129924 0.29832685 0.9111966 1.60564698 0.7275750 1.18948892 0.9437547
100129940 -1.17995959 -0.1185534 2.56205333 1.5212232 -0.23427938 0.5850129
100129995 2.06558725 3.5503363 3.04391108 0.7275750 1.89193595 2.7641540
10013 6.69099676 6.8911637 6.22607238 6.4415005 6.08065819 6.4576114
100130111 2.06558725 1.7311161 2.11912408 1.6384173 1.63143524 1.6753436
100130197 0.86471715 0.7143389 -0.51136227 -1.1799596 0.73777400 -0.2094960
100130335 4.53022867 3.7175018 4.83504039 4.3816149 3.64378242 4.5943090
100130348 3.15642329 3.1038436 3.04391108 1.5212232 2.30380007 2.8513934
100130357 1.38368284 0.4863104 2.03002004 1.8476109 0.90456014 2.0146784
100130466 4.01867293 3.5204905 3.80441977 4.0419988 3.69020548 4.2046940
100130476 0.04632208 -1.1799596 1.00183015 -0.1091102 -0.23427938 -0.2094960
100130522 1.38368284 1.0843896 1.33510038 0.7275750 0.90456014 1.4701353
100130550 0.51278902 -1.1799596 -1.17995959 -0.5473797 0.07653495 0.3654851
100130564 2.83640272 3.1435461 2.20304352 2.8564890 3.29902686 3.3478497
100130581 1.48873330 -0.1185534 1.00183015 -0.1091102 1.05404722 0.7755059
100130691 1.14741052 1.9258446 2.11912408 2.8564890 2.57517441 1.5763850
100130705 3.33609699 3.6082372 2.20304352 2.1136107 3.07243242 2.7641540
100130748 1.01297694 -0.1185534 1.60564698 2.2670943 2.30380007 1.7679479
100130750 3.18796615 2.3216279 1.47670631 2.7563209 2.41854397 2.6712979
100130855 1.84590275 1.5059410 2.03002004 2.4058079 2.41854397 2.5720516
100130958 -0.25921808 0.7143389 2.11912408 -0.5473797 1.05404722 0.1064515
100131017 2.57527333 3.4588802 2.94987976 2.7035021 2.04267053 2.1584600
100131031 1.76455413 1.5059410 2.35752061 1.2537154 2.17913535 0.9437547
100131033 1.84590275 1.8317633 2.94987976 2.1136107 2.24281384 1.8549649
100131067 2.71173807 2.3892455 2.56205333 2.0302770 2.30380007 2.4654702
100131089 4.00102278 3.9367339 3.74965810 4.6974206 4.68838151 4.9410996
100131094 1.84590275 0.2153484 1.33510038 -0.5473797 0.90456014 0.3654851
100131138 6.20473245 5.6045437 3.69273549 5.8399465 5.97680925 6.0039264
100131187 0.29832685 -1.1799596 -1.17995959 -0.5473797 -1.17995959 0.3654851
100131193 1.84590275 3.3271559 3.74965810 3.6537778 3.20623616 3.6692708
100131211 3.89033157 2.8395204 5.08774387 4.0419988 4.01596776 3.8913733
100131213 1.01297694 0.4863104 1.60564698 1.5212232 0.33211232 0.9437547
100131471 2.52675756 2.3892455 2.28234867 1.8476109 2.62382078 2.0883597
100131656 3.92818017 3.2198162 4.47883025 3.9542927 3.66718066 3.3775453
100131685 0.86471715 -0.5537706 1.33510038 0.9250511 0.73777400 0.9437547
100131691 2.71173807 2.1760715 4.37411005 3.0801452 2.88558219 2.8931114
100131740 0.86471715 0.9111966 0.28918679 1.2537154 0.73777400 0.3654851
100131801 3.15642329 2.7394320 3.98120574 3.0801452 3.29902686 3.7395635
100131827 2.06558725 -1.1799596 -0.05625794 -0.1091102 0.73777400 0.7755059
100131828 0.51278902 0.7143389 1.47670631 0.7275750 0.90456014 1.0944155
100131940 2.42453885 0.7143389 2.20304352 1.5212232 1.96927096 2.1584600
100132074 1.48873330 1.2390018 2.28234867 1.8476109 1.72359503 1.7679479
100132086 -0.64734936 -1.1799596 0.56768865 -0.5473797 -0.23427938 -0.2094960
100132116 2.79603304 3.1435461 3.69273549 4.0419988 4.53149051 4.9311213
100132126 -0.25921808 0.7143389 -0.05625794 1.2537154 1.72359503 1.0944155
100132215 1.76455413 0.7143389 1.72400312 1.0987223 1.53298407 1.7679479
100132537 1.01297694 1.8317633 0.56768865 0.7275750 1.05404722 0.1064515
100132609 1.01297694 1.0843896 0.28918679 2.6486758 1.05404722 0.7755059
100132659 0.86471715 1.0843896 0.56768865 1.0987223 0.90456014 0.3654851
100132891 -0.25921808 -1.1799596 -1.17995959 -1.1799596 -1.17995959 -1.1799596
100132972 0.86471715 1.0843896 2.35752061 1.8476109 1.05404722 1.2308199
100133234 1.14741052 0.9111966 0.80102860 0.9250511 0.33211232 0.3654851
100133286 0.04632208 -0.1185534 -0.05625794 -0.5473797 0.07653495 0.3654851
100133315 -1.17995959 -0.5537706 2.49704517 0.2265796 1.53298407 1.0944155
100134934 2.75450112 1.5059410 1.47670631 2.4704641 2.36231248 1.9370307
10014 6.44559855 6.8765122 7.28093839 6.9775043 6.98809551 6.8638596
100144603 1.14741052 0.4863104 1.00183015 0.7275750 0.33211232 -1.1799596
100144748 1.14741052 2.0973881 5.91376069 2.6486758 1.96927096 1.5763850
10015 7.57911172 7.9188271 8.35538414 8.0229184 7.84262255 7.8211602
10016 5.28071884 4.9385408 5.95064514 5.5569740 5.45853873 5.1533929
100170229 0.69945767 -0.5537706 -1.17995959 1.0987223 1.81021946 0.7755059
100170841 4.15260063 4.8809819 4.39209984 2.1923926 3.71286859 4.1017041
10018 4.44141113 4.4296313 5.90125330 5.0858189 4.36976476 4.5296523
100188847 0.69945767 1.6229172 1.33510038 1.2537154 1.53298407 1.0944155
10019 4.81919951 5.4228710 4.51211332 3.1993880 3.75715395 3.5439243
100190938 3.05743288 1.5059410 1.33510038 2.0302770 -0.23427938 1.0944155
1002 1.01297694 2.0973881 -1.17995959 0.9250511 1.81021946 1.2308199
10020 3.36398173 3.9591573 3.25523140 3.5378761 2.80349455 3.1208719
10021 7.35255962 7.1048501 7.73309091 8.2744966 8.04595994 7.7993850
10023 2.79603304 1.6229172 4.46189628 2.8564890 1.89193595 2.4654702
10024 3.21883410 2.5749379 3.53975237 4.5406330 4.73341324 5.0372607
10026 6.42919440 5.3652674 5.62521719 7.0213238 6.69272387 6.5711932
100268168 2.25619805 2.2506846 1.93504835 1.0987223 1.53298407 -0.2094960
100270804 1.58665090 1.2390018 2.11912408 2.4704641 1.89193595 2.0883597
100270827 1.27037812 0.2153484 0.28918679 -1.1799596 0.73777400 0.9437547
100270840 5.10184198 4.4296313 4.69713736 4.7889953 4.93962823 5.0279280
100270854 4.94452943 5.1482382 3.69273549 5.1265133 4.90067611 5.2767159
100270865 6.20858232 5.9167090 4.76773596 5.9630194 5.68173593 6.0228420
100271271 3.79112377 3.8672934 3.85717861 4.0839301 3.75715395 3.9118130
100271332 -1.17995959 -1.1799596 -1.17995959 -0.5473797 -0.63098209 -1.1799596
100271415 2.91390350 1.7311161 3.25523140 2.3381176 2.24281384 1.7679479
100271479 2.19541694 -0.5537706 1.33510038 1.8476109 2.17913535 1.3554341
100271884 -1.17995959 -1.1799596 -0.05625794 -0.5473797 -1.17995959 -0.2094960
100272147 2.57527333 1.8317633 3.36860141 2.7035021 2.62382078 2.9730940
100286844 1.76455413 2.1760715 2.90046126 1.9418331 2.17913535 0.3654851
100287015 1.48873330 2.0973881 3.04391108 1.5212232 1.72359503 1.9370307
100287049 1.01297694 0.2153484 1.00183015 1.5212232 1.53298407 0.9437547
100287074 0.04632208 0.4863104 1.00183015 0.7275750 1.96927096 0.5850129
100287616 2.75450112 2.5749379 0.28918679 2.9501514 2.76063008 2.0883597
100287722 0.69945767 2.2506846 1.93504835 1.2537154 1.53298407 1.0944155
100287808 1.14741052 0.9111966 2.84928974 -0.1091102 1.18948892 -0.2094960
100287837 0.04632208 0.2153484 -0.05625794 -0.1091102 1.42731921 -0.2094960
100287896 2.75450112 3.2564907 2.62425808 3.7349756 2.67088019 2.8084330
100287902 1.27037812 0.7143389 2.28234867 -0.5473797 -0.63098209 0.5850129
100287928 2.42453885 3.0630176 3.36860141 3.9083556 3.59581574 3.6204311
100287932 5.24367513 5.4704785 5.75600119 5.3831517 5.96741543 5.7208415
100288001 2.47655333 1.5059410 3.04391108 2.9040801 2.92493844 2.5720516
100288073 5.84297656 5.1384465 1.72400312 1.0987223 1.63143524 1.8549649
100288123 0.69945767 1.7311161 1.83338140 0.2265796 0.54915460 1.4701353
100288198 2.06558725 2.7394320 4.28063406 2.8072741 2.17913535 2.4654702
100288241 -0.25921808 -1.1799596 -1.17995959 -0.5473797 -1.17995959 -1.1799596
100288413 3.59330346 3.8672934 4.60758945 1.9418331 2.30380007 2.5197449
100288513 -1.17995959 -1.1799596 -0.51136227 -0.5473797 -0.23427938 -1.1799596
100288842 2.31452163 0.9111966 1.60564698 0.9250511 2.04267053 1.6753436
100289061 0.04632208 0.4863104 1.33510038 -0.1091102 0.54915460 0.7755059
100289095 0.29832685 -1.1799596 1.00183015 -0.1091102 0.33211232 1.0944155
100289133 2.06558725 2.1760715 2.94987976 2.4058079 2.04267053 2.6225280
100289178 2.57527333 1.7311161 2.90046126 2.8072741 2.57517441 3.0488743
100289211 -1.17995959 -0.1185534 0.56768865 0.9250511 1.18948892 0.7755059
100289259 1.76455413 1.2390018 1.47670631 2.0302770 0.90456014 1.2308199
100289274 5.47862125 3.8433834 4.40986806 3.8365852 3.14088495 2.4090735
100289341 1.67834301 1.0843896 2.62425808 0.9250511 1.42731921 2.4654702
100289373 2.52675756 1.7311161 3.43951628 2.6486758 2.67088019 2.7184729
100289388 1.27037812 1.5059410 -1.17995959 0.9250511 1.05404722 2.0883597
100289414 -0.25921808 -0.1185534 -1.17995959 -1.1799596 1.05404722 -0.2094960
100289635 5.49131891 5.3312881 4.68259339 5.7774329 5.61110522 5.0372607
100289640 2.37057870 2.0973881 1.17806735 1.5212232 1.42731921 2.4654702
100289678 2.79603304 2.2506846 3.04391108 2.9501514 2.92493844 2.6712979
100293516 3.70653288 2.5749379 3.60290524 3.9542927 3.41413626 3.1894467
100294362 0.69945767 1.8317633 2.03002004 1.7468025 1.05404722 1.5763850
1003 -0.25921808 -0.1185534 -1.17995959 -0.1091102 -0.23427938 0.3654851
100302692 3.24905541 2.4538353 3.04391108 3.8609076 2.92493844 3.1208719
100302736 3.02286690 1.9258446 1.83338140 1.0987223 1.72359503 0.7755059
100303728 2.98745237 3.6909516 3.36860141 3.6813546 3.41413626 3.9518434
100303755 1.58665090 1.5059410 1.33510038 1.2537154 2.17913535 0.9437547
100312828 -0.25921808 0.9111966 1.33510038 0.7275750 -0.23427938 0.9437547
100312850 1.48873330 0.9111966 1.00183015 0.7275750 -0.23427938 0.3654851
10036 4.51787034 3.0210025 5.37685651 4.7241832 5.58677174 5.0279280
100379345 0.29832685 -0.1185534 0.80102860 1.3936607 0.07653495 1.3554341
10038 6.12956261 5.2056322 4.63806052 5.8399465 5.87498431 5.7831867
100381270 1.67834301 0.4863104 0.80102860 0.7275750 1.63143524 0.9437547
10039 4.12026615 3.7435721 2.56205333 3.7610567 3.90225063 3.7622534
1004 3.24905541 3.5204905 2.11912408 3.5378761 4.06963259 4.0838010
10040 4.90711290 4.0868375 2.99766138 4.8388269 4.39800961 4.4197679
100418710 0.86471715 1.2390018 2.28234867 0.7275750 1.31329935 1.0944155
100418735 1.14741052 0.2153484 1.00183015 1.9418331 1.72359503 1.9370307
100418744 1.76455413 1.3786365 1.17806735 1.2537154 0.54915460 0.3654851
100418770 0.04632208 -0.5537706 -1.17995959 -0.5473797 -0.63098209 -1.1799596
100418781 1.27037812 0.7143389 2.35752061 0.4987161 0.54915460 1.3554341
100418819 1.67834301 2.0141645 2.49704517 1.0987223 1.05404722 1.3554341
100418829 1.01297694 0.7143389 0.28918679 0.9250511 0.33211232 1.2308199
100418888 1.14741052 -0.1185534 1.17806735 1.5212232 0.90456014 1.6753436
100418889 2.66766865 2.7903440 2.74115703 2.5916833 2.47266572 2.9730940
100418910 0.69945767 -0.5537706 1.33510038 -0.5473797 0.54915460 -0.6146207
100418919 2.06558725 2.3216279 2.84928974 2.5916833 2.11251587 2.4654702
100419028 1.92290820 1.6229172 2.79623624 1.5212232 2.04267053 2.5720516
100419185 1.14741052 -1.1799596 0.56768865 -0.1091102 1.18948892 -0.2094960
100419416 1.14741052 0.7143389 1.83338140 -0.1091102 0.73777400 0.5850129
100419515 0.29832685 -1.1799596 -1.17995959 1.5212232 0.33211232 -0.2094960
100419645 -1.17995959 -0.1185534 -0.05625794 -0.1091102 0.33211232 -1.1799596
100419758 1.99601083 1.7311161 2.03002004 2.1923926 1.96927096 1.6753436
100419928 2.25619805 1.6229172 2.74115703 2.4058079 1.63143524 1.6753436
10042 4.76794000 5.0471961 5.48976281 5.0858189 5.43146535 5.6188564
100420028 0.86471715 -1.1799596 -1.17995959 -1.1799596 0.54915460 -1.1799596
100420050 -0.25921808 0.2153484 -0.05625794 -1.1799596 0.90456014 -0.6146207
100420110 2.91390350 2.8870757 2.90046126 3.3095230 3.00056949 2.4090735
100420187 0.04632208 0.7143389 -1.17995959 -1.1799596 -1.17995959 -1.1799596
100420259 4.26038413 4.3806330 4.44476117 4.1246771 4.12137261 4.2694836
100420307 0.04632208 0.9111966 1.00183015 0.7275750 1.31329935 0.9437547
100420341 7.25912999 6.3490573 5.30271151 5.2234940 5.11151657 5.3308471
100420423 1.76455413 1.2390018 1.60564698 1.3936607 2.11251587 1.4701353
100420591 1.01297694 0.7143389 1.00183015 0.2265796 1.18948892 0.3654851
100420707 2.98745237 2.3216279 3.69273549 3.6537778 3.59581574 3.3175300
100420752 2.42453885 2.0141645 1.47670631 0.4987161 1.96927096 2.0883597
100420869 4.86870007 3.7943408 5.13123580 5.0858189 4.90067611 4.4197679
100420981 6.65758920 6.5618112 7.07919456 6.6372584 6.39283002 6.6734924
100421093 4.00102278 4.1660828 4.18067931 3.7610567 3.73518119 3.1208719
100421109 0.51278902 0.2153484 0.80102860 -0.5473797 0.54915460 0.3654851
100421160 -0.25921808 0.4863104 -0.05625794 -0.1091102 0.07653495 -0.6146207
100421175 1.27037812 -1.1799596 0.56768865 1.5212232 0.73777400 0.7755059
100421246 0.29832685 0.9111966 1.72400312 0.2265796 0.33211232 0.1064515
100421311 2.13196204 1.2390018 1.93504835 1.5212232 0.54915460 2.0146784
100421372 2.66766865 2.3216279 2.42896893 1.5212232 2.84512213 1.7679479
100421400 1.99601083 1.5059410 1.17806735 2.7563209 2.24281384 1.9370307
100421415 1.92290820 1.2390018 1.17806735 1.5212232 1.96927096 1.5763850
100421429 0.04632208 -1.1799596 -1.17995959 -0.1091102 -0.23427938 -0.2094960
100421465 1.84590275 -0.5537706 1.47670631 1.0987223 1.53298407 1.5763850
100421468 2.31452163 2.5749379 2.74115703 2.2670943 1.96927096 2.1584600
100421506 1.01297694 1.2390018 1.33510038 1.0987223 0.90456014 0.1064515
100421569 0.29832685 -0.1185534 1.33510038 1.2537154 1.53298407 0.5850129
100421595 -1.17995959 0.4863104 -1.17995959 -0.1091102 0.33211232 0.5850129
100421794 -0.25921808 -1.1799596 -1.17995959 -1.1799596 -1.17995959 -1.1799596
100422106 1.92290820 1.5059410 2.84928974 1.7468025 1.89193595 1.5763850
100422338 2.95114657 1.7311161 3.29401974 1.6384173 2.71645294 3.0488743
100422546 1.27037812 1.2390018 2.28234867 2.1136107 2.17913535 2.4090735
100422561 4.48014720 4.2950795 3.60290524 3.9767241 3.46842053 4.1017041
10043 5.79256975 6.2250076 6.03320971 6.0764136 5.80287564 5.8215025
10044 -0.25921808 0.2153484 0.28918679 -1.1799596 -0.23427938 0.3654851
10045 0.86471715 0.9111966 1.93504835 -0.1091102 0.73777400 0.9437547
10046 -0.25921808 -1.1799596 1.47670631 -1.1799596 0.07653495 1.0944155
10048 6.82242329 6.5979854 7.49374876 7.0716878 6.99041623 6.8239731
10049 6.00670204 6.1441338 4.97290700 6.3542436 6.16525839 6.0181363
100499177 4.15260063 3.6909516 2.68389124 3.3095230 3.49481544 3.4351634
100499483 3.12417532 2.5156570 2.20304352 3.1209977 3.54619927 2.6712979
1005 0.29832685 0.9111966 0.56768865 1.2537154 1.72359503 1.5763850
100500719 0.04632208 0.4863104 2.42896893 -1.1799596 -0.23427938 -1.1799596
100505385 1.99601083 2.2506846 2.20304352 2.3381176 3.20623616 2.5197449
100505501 2.83640272 2.1760715 2.62425808 2.8564890 3.07243242 2.4654702
100505538 1.01297694 0.2153484 2.74115703 2.0302770 2.04267053 1.5763850
100505549 1.99601083 1.2390018 1.93504835 2.7035021 1.31329935 1.6753436
100505573 6.33371604 6.0636391 6.99635616 7.0240188 6.95995177 6.9651279
100505576 1.48873330 1.9258446 1.60564698 1.2537154 1.53298407 2.3503823
100505616 -1.17995959 -1.1799596 0.28918679 0.7275750 0.73777400 0.9437547
100505624 1.14741052 1.7311161 1.60564698 2.2670943 1.63143524 1.3554341
100505635 0.69945767 -1.1799596 -1.17995959 -0.1091102 0.07653495 -0.2094960
100505641 1.99601083 2.0141645 2.56205333 2.7563209 2.52483033 2.2253114
100505648 3.09119002 3.2198162 3.08872406 3.7866748 3.57122079 3.0853222
100505678 2.06558725 1.6229172 1.93504835 3.0801452 3.14088495 3.0114816
100505696 4.69297205 4.3470179 4.75388992 5.3231440 4.45289263 4.9510093
100505715 -1.17995959 -1.1799596 -1.17995959 0.4987161 0.54915460 0.5850129
100505738 -1.17995959 -1.1799596 -1.17995959 -1.1799596 -1.17995959 -1.1799596
100505741 1.67834301 1.2390018 3.13218689 2.3381176 1.31329935 1.4701353
100505758 3.87102828 4.1270042 3.66340919 3.9315070 3.64378242 3.6204311
100505761 4.37444613 3.5795772 2.20304352 4.2028730 3.90225063 3.9118130
100505771 2.62221053 1.7311161 1.60564698 2.6486758 2.24281384 1.2308199
100505783 3.33609699 3.2198162 3.93286671 2.7035021 2.80349455 3.5174930
100505806 4.88803433 4.5378764 4.84813252 3.8609076 3.86226184 3.9714497
100505812 1.48873330 1.8317633 2.68389124 1.2537154 1.18948892 1.3554341
100505832 2.37057870 1.5059410 3.17437856 3.5969905 2.67088019 3.1555667
100505854 5.12647044 4.1070606 5.81720020 3.7610567 3.20623616 3.5439243
100505876 5.62408000 5.3984648 5.75600119 6.1021475 6.04090710 6.1094522
100505894 2.83640272 3.7943408 4.11720395 4.6282578 3.84184396 4.5029558
100505933 2.37057870 2.0141645 3.04391108 2.8564890 2.76063008 3.2225492
100505994 2.91390350 2.3892455 4.72579269 0.2265796 1.05404722 1.2308199
100506020 -0.25921808 0.4863104 0.28918679 1.2537154 1.05404722 1.2308199
100506033 4.65961073 4.3806330 5.57097306 5.4081244 4.85045877 5.1956828
100506054 2.71173807 2.5156570 2.28234867 3.2370416 2.71645294 2.6712979
100506068 0.86471715 0.2153484 1.00183015 2.7035021 1.81021946 2.0883597
100506070 3.15642329 2.9331133 2.56205333 3.5969905 2.92493844 2.4654702
100506083 1.58665090 -0.1185534 1.47670631 1.2537154 -0.63098209 1.0944155
100506100 0.51278902 0.2153484 0.28918679 0.9250511 0.33211232 0.9437547
100506119 2.71173807 2.1760715 4.31875427 1.5212232 1.63143524 2.2253114
100506127 2.57527333 2.5156570 2.35752061 1.9418331 3.20623616 2.7184729
100506142 1.76455413 1.5059410 0.56768865 1.6384173 1.81021946 0.7755059
100506144 1.01297694 0.9111966 -1.17995959 2.1923926 1.31329935 0.9437547
100506161 1.92290820 -0.1185534 0.56768865 0.4987161 1.81021946 -0.2094960
100506211 1.27037812 6.0480333 3.29401974 2.6486758 4.92998835 5.5356937
100506235 1.38368284 1.6229172 2.35752061 1.9418331 1.63143524 2.0146784
100506258 2.42453885 1.5059410 2.03002004 1.3936607 1.89193595 2.4090735
100506282 2.79603304 2.6866575 3.95723867 3.6813546 3.20623616 2.7184729
100506286 1.92290820 0.9111966 1.47670631 1.8476109 1.63143524 1.2308199
100506302 1.92290820 0.4863104 2.20304352 2.1923926 2.11251587 1.6753436
100506321 1.27037812 1.5059410 1.00183015 0.7275750 0.73777400 0.1064515
100506325 1.67834301 1.7311161 0.56768865 1.5212232 1.42731921 1.3554341
100506343 1.38368284 0.9111966 1.72400312 1.2537154 1.05404722 0.5850129
100506365 5.82803858 5.4309155 5.39481229 5.6986554 5.71017447 5.6496076
100506368 0.69945767 0.9111966 1.72400312 0.9250511 2.11251587 0.3654851
100506380 4.38809011 4.4770199 5.12048512 4.2217772 4.41192734 4.2211662
100506392 4.16850011 3.7435721 2.79623624 4.2217772 4.06963259 4.5428175
100506394 1.92290820 2.6866575 3.74965810 3.3095230 2.57517441 2.3503823
100506411 1.27037812 0.4863104 2.20304352 1.0987223 1.42731921 1.4701353
100506433 3.12417532 1.6229172 2.28234867 4.7373807 4.17132111 3.9907931
100506462 0.86471715 -1.1799596 1.93504835 0.7275750 0.90456014 0.1064515
100506469 5.15866771 4.2593850 5.04289996 5.2966421 5.07699235 4.9007657
100506495 1.48873330 0.4863104 2.28234867 2.1136107 2.11251587 2.4654702
100506504 2.13196204 1.0843896 1.33510038 2.5323465 0.33211232 2.2892017
100506540 1.38368284 0.7143389 1.60564698 0.4987161 1.63143524 1.0944155
100506581 2.06558725 1.0843896 1.00183015 1.5212232 1.18948892 1.7679479
100506606 1.14741052 1.0843896 1.00183015 0.9250511 0.90456014 0.1064515
100506658 2.95114657 2.0973881 1.33510038 0.4987161 1.53298407 1.3554341
100506668 2.95114657 1.9258446 2.35752061 2.7035021 2.84512213 2.6712979
100506686 2.25619805 2.3216279 2.03002004 2.8072741 2.47266572 2.7184729
100506691 1.67834301 1.2390018 -1.17995959 -1.1799596 0.54915460 0.3654851
100506696 2.47655333 3.6082372 1.60564698 1.8476109 2.92493844 3.5174930
100506697 1.58665090 0.9111966 2.03002004 2.2670943 1.89193595 1.0944155
100506710 6.98836786 7.0060039 7.31669792 6.6512715 6.31719591 6.5054681
100506713 0.86471715 -0.1185534 1.17806735 0.4987161 0.07653495 0.1064515
100506725 2.98745237 1.7311161 3.98120574 3.5073850 3.44153370 3.1894467
100506731 1.76455413 1.6229172 2.99766138 1.6384173 1.81021946 0.9437547
100506757 1.38368284 -0.1185534 1.00183015 0.9250511 -0.63098209 0.9437547
100506779 -0.25921808 -1.1799596 -0.51136227 -1.1799596 -1.17995959 0.7755059
100506804 0.51278902 0.2153484 0.28918679 -0.1091102 0.07653495 0.3654851
100506826 0.04632208 -0.1185534 0.28918679 1.6384173 1.53298407 1.3554341
100506844 3.83162915 3.1038436 3.17437856 3.7084142 3.23783418 3.4066420
100506866 6.80472872 6.7978288 5.81720020 6.8677664 6.84667535 6.9748745
100506881 2.19541694 0.9111966 1.47670631 0.9250511 1.72359503 1.0944155
100506885 0.29832685 -1.1799596 2.62425808 -0.1091102 0.33211232 0.7755059
100506911 -1.17995959 0.4863104 -0.51136227 0.7275750 -0.63098209 1.0944155
100506922 2.57527333 2.3892455 4.68259339 2.9501514 2.88558219 2.2892017
100506930 4.99889533 3.9139564 4.78145038 4.7889953 4.23533789 4.6193815
100506994 0.69945767 0.2153484 0.80102860 0.9250511 1.42731921 0.3654851
100507003 2.62221053 2.9777271 0.80102860 0.4987161 1.81021946 2.0883597
100507032 2.95114657 1.7311161 1.17806735 2.7035021 2.30380007 2.4090735
100507034 3.09119002 3.1435461 4.29982007 3.5073850 3.07243242 3.2225492
100507050 -1.17995959 1.2390018 1.60564698 -1.1799596 0.33211232 0.1064515
100507053 2.13196204 2.1760715 3.63347437 2.8072741 3.20623616 3.0488743
100507057 1.84590275 1.2390018 2.49704517 1.7468025 2.17913535 1.6753436
100507062 0.69945767 -1.1799596 1.60564698 1.0987223 0.90456014 1.0944155
100507071 1.58665090 -0.5537706 -0.05625794 -0.5473797 -0.23427938 -0.6146207
100507156 1.76455413 2.0141645 2.84928974 2.0302770 2.24281384 1.8549649
100507171 3.85146321 3.5204905 0.56768865 1.0987223 2.30380007 2.2253114
100507173 1.76455413 1.0843896 0.56768865 1.6384173 1.96927096 0.3654851
100507178 0.69945767 0.4863104 0.56768865 1.0987223 1.81021946 1.3554341
100507244 -0.64734936 -0.1185534 -0.05625794 -0.1091102 0.07653495 -0.6146207
100507246 3.21883410 2.7394320 2.03002004 2.4704641 1.96927096 2.7184729
100507250 0.04632208 -0.1185534 -0.05625794 1.2537154 0.54915460 0.5850129
100507254 -1.17995959 -1.1799596 -0.51136227 -1.1799596 -0.23427938 -1.1799596
100507266 1.38368284 1.3786365 1.00183015 1.8476109 1.42731921 1.2308199
100507290 4.59048053 5.0471961 4.37411005 4.9676021 4.89077151 4.9899812
100507291 1.58665090 2.4538353 1.72400312 2.4704641 2.57517441 2.0146784
100507303 3.18796615 2.9331133 4.02797749 3.5378761 2.71645294 3.0114816
100507308 -0.25921808 -1.1799596 1.47670631 -0.5473797 1.05404722 1.4701353
100507316 2.31452163 2.2506846 2.42896893 1.0987223 1.89193595 2.8084330
100507331 1.76455413 2.0973881 2.94987976 1.7468025 2.24281384 1.6753436
100507347 1.67834301 1.0843896 4.07328041 1.6384173 1.89193595 1.6753436
100507373 2.37057870 1.6229172 2.56205333 1.6384173 2.17913535 2.1584600
100507392 -1.17995959 -1.1799596 -0.05625794 -1.1799596 -0.63098209 -0.2094960
100507398 2.37057870 2.3892455 3.83104035 3.0801452 3.35772930 2.4654702
100507401 0.04632208 1.0843896 0.28918679 0.9250511 1.31329935 0.5850129
100507420 -1.17995959 -1.1799596 -1.17995959 0.4987161 -1.17995959 -0.2094960
100507433 1.92290820 2.0141645 1.17806735 2.9501514 1.72359503 2.2892017
100507436 -1.17995959 -1.1799596 1.33510038 1.0987223 0.54915460 1.2308199
100507437 3.15642329 1.9258446 2.99766138 3.5073850 3.41413626 3.0488743
100507459 3.18796615 2.9777271 4.72579269 2.4704641 2.92493844 2.8931114
100507463 -0.25921808 0.2153484 1.00183015 -0.1091102 -0.63098209 0.3654851
100507487 2.25619805 2.5156570 4.29982007 3.3785365 2.88558219 3.0114816
100507495 2.62221053 1.8317633 3.29401974 3.4762356 3.07243242 3.0488743
100507516 0.86471715 -0.1185534 1.93504835 -0.5473797 0.73777400 0.3654851
100507551 1.58665090 0.7143389 1.93504835 2.0302770 1.81021946 1.6753436
100507557 1.76455413 1.3786365 1.60564698 0.9250511 1.72359503 1.9370307
100507564 0.29832685 -0.1185534 -0.05625794 0.2265796 1.31329935 -0.6146207
100507567 1.01297694 0.9111966 2.42896893 1.3936607 1.05404722 1.4701353
100507588 0.04632208 -0.5537706 0.80102860 0.7275750 -0.23427938 -0.2094960
100507599 1.84590275 2.0973881 2.74115703 2.4058079 2.04267053 2.4654702
100507602 3.66230171 3.1435461 2.11912408 3.6256635 3.35772930 3.8913733
100508120 3.36398173 1.8317633 1.17806735 2.5916833 2.04267053 2.0883597
10051 6.57649145 6.4355609 7.28093839 7.6269828 8.04818949 7.9686876
10052 0.51278902 1.0843896 0.80102860 1.3936607 1.31329935 1.4701353
100526737 2.71173807 2.1760715 2.94987976 2.4058079 2.62382078 2.2892017
100526760 1.67834301 0.4863104 0.80102860 1.0987223 1.18948892 1.0944155
100526820 1.14741052 0.4863104 2.84928974 1.0987223 1.96927096 1.0944155
100526835 4.40160625 3.2564907 5.05424229 4.1837178 4.73341324 4.3162351
100527978 2.52675756 1.6229172 2.62425808 2.0302770 1.81021946 1.4701353
100529145 2.06558725 1.6229172 1.93504835 1.6384173 1.72359503 2.0146784
100529215 -1.17995959 0.7143389 -0.51136227 0.2265796 -1.17995959 -0.6146207
100532746 4.44141113 3.7175018 3.90807594 4.0839301 3.99762652 4.2374524
100533106 0.29832685 0.2153484 2.03002004 1.0987223 0.54915460 0.9437547
100533182 1.38368284 0.4863104 1.60564698 1.7468025 0.90456014 1.9370307
100533619 0.51278902 -0.1185534 1.83338140 1.3936607 0.54915460 0.7755059
100533629 1.58665090 1.3786365 1.47670631 1.2537154 2.36231248 1.5763850
100533695 0.51278902 -0.1185534 1.60564698 0.2265796 -1.17995959 0.1064515
100533970 0.69945767 -0.5537706 2.20304352 0.2265796 0.90456014 1.6753436
100534593 2.42453885 1.3786365 2.90046126 1.3936607 2.52483033 2.4090735
10054 6.13766221 6.1144721 6.47845635 6.2290308 5.95796005 6.2445064
10056 6.31954544 5.9167090 5.26415929 6.4334140 6.38226490 6.2763830
10057 7.47428124 7.5362369 8.09754318 8.5720431 8.22019729 8.1992298
10058 6.56151750 6.1441338 5.96273333 5.2966421 5.54948424 5.6250593
10059 6.85962487 6.7244567 6.91781392 7.5430409 7.36061337 7.3752155
1006 4.45443906 4.5962695 4.05080677 4.7762637 3.99762652 4.3008190
10060 3.72815012 4.6105058 4.59210912 4.5851106 4.20368455 4.6920862
100616256 0.86471715 1.6229172 2.11912408 2.1136107 1.96927096 1.7679479
10062 2.71173807 1.7311161 2.94987976 3.1607252 2.92493844 2.9730940
10063 4.16850011 4.4296313 4.44476117 4.4633138 4.80898712 4.4480336
100652739 0.69945767 -0.1185534 -1.17995959 0.2265796 0.07653495 -0.6146207
100652758 1.48873330 0.2153484 2.68389124 -0.1091102 1.05404722 1.6753436
100652846 2.19541694 2.0141645 1.00183015 2.9947969 3.35772930 2.0883597
10066 6.67717084 6.8040361 6.50762827 6.3712759 6.33191142 6.4714475
10067 6.76344998 6.5322043 5.54708635 6.5237797 6.37162184 6.2283000
10068 3.15642329 3.2564907 3.60290524 3.0801452 3.20623616 3.5174930
10069 4.44141113 3.9139564 5.63280251 4.6423582 5.05054595 4.5163658
10072 3.59330346 4.1466758 5.41254734 5.0650329 4.92998835 5.1956828
10073 3.98315402 4.0244094 4.57646088 4.3647049 4.42571209 4.3314882
10075 8.94879878 8.4725455 9.07496266 9.1634926 9.03241995 8.9440380
10076 5.09353817 4.0029850 4.75388992 4.8631118 4.69977191 4.6920862
10077 4.13652398 4.8572996 1.60564698 4.7634188 4.77708181 5.0372607
100775107 1.27037812 1.6229172 1.47670631 1.6384173 1.18948892 1.2308199
10078 4.79891373 4.8572996 5.26415929 4.7241832 4.98688448 4.6561918
10079 4.38809011 4.2773426 4.37411005 4.4311873 4.64189877 4.2046940
1008 5.17450083 3.8433834 1.83338140 5.5495111 5.18630174 5.1098259
10081 5.41340047 5.7206555 6.30415506 5.6153265 5.36147211 5.5224630
10082 7.94374902 7.2573962 4.59210912 7.8620284 7.68535192 7.9278743
100820829 5.52258257 5.2787697 6.47845635 6.8856581 6.53633089 6.3075705
10084 5.56524382 5.3398583 5.06549614 5.6782700 5.46522843 5.4120081
100847074 2.42453885 1.8317633 2.42896893 2.0302770 2.11251587 0.9437547
10085 6.88871052 5.9281210 5.93232079 6.2974574 6.11509584 6.7407311
100852407 1.76455413 2.1760715 1.33510038 -0.5473797 0.07653495 0.3654851
100861412 1.48873330 0.9111966 0.56768865 1.3936607 0.73777400 0.3654851
100861548 4.90711290 4.2041308 4.87396568 4.5704365 4.29663433 4.1541179
100862671 1.01297694 1.0843896 -1.17995959 1.3936607 1.53298407 0.7755059
10087 6.05454411 6.3867671 7.21171881 6.8886185 6.59240611 6.5903408
100873257 0.69945767 0.2153484 1.00183015 0.7275750 -0.23427938 0.7755059
100873333 2.71173807 2.0141645 2.99766138 3.3095230 3.64378242 3.1555667
100873790 4.08719031 4.4613960 4.52847127 4.8869947 5.06823064 5.0090793
100873949 1.14741052 1.2390018 1.83338140 0.4987161 2.24281384 1.5763850
100873952 0.04632208 -0.1185534 1.83338140 -0.1091102 0.07653495 0.3654851
100873965 1.76455413 1.6229172 2.90046126 2.1923926 2.17913535 2.6225280
100874006 0.29832685 0.2153484 0.80102860 0.4987161 1.05404722 0.1064515
100874008 0.51278902 -0.1185534 1.47670631 1.3936607 0.54915460 1.6753436
100874014 3.41818460 1.8317633 3.66340919 3.1209977 3.49481544 3.1894467
100874058 1.92290820 2.1760715 2.03002004 1.2537154 0.07653495 1.3554341
100874080 0.51278902 0.4863104 -0.05625794 -0.1091102 0.90456014 1.3554341
100874097 1.92290820 1.3786365 2.68389124 2.0302770 1.42731921 1.3554341
100874201 0.86471715 -0.5537706 -0.51136227 0.2265796 -0.63098209 0.5850129
100874212 1.01297694 1.0843896 1.00183015 0.9250511 0.33211232 0.3654851
100874217 0.04632208 1.7311161 0.80102860 0.4987161 0.73777400 1.2308199
100874235 0.86471715 1.3786365 0.28918679 1.5212232 1.72359503 1.6753436
100874261 0.86471715 0.2153484 1.47670631 0.2265796 0.90456014 0.5850129
100874291 1.27037812 -1.1799596 0.56768865 0.9250511 -0.23427938 -0.2094960
100874362 2.57527333 0.7143389 3.63347437 3.1209977 2.57517441 3.3775453
100874523 1.27037812 1.3786365 2.03002004 1.5212232 1.53298407 2.5197449
100885775 4.36067189 5.5538770 3.72147751 4.3983290 4.12137261 5.2528802
100885776 2.19541694 1.6229172 1.00183015 1.0987223 1.18948892 1.2308199
100885848 4.46735039 5.1867534 3.63347437 4.4947404 5.31778595 5.4613758
1009 7.36123241 7.3237041 7.25413967 7.8331224 7.79562335 7.9820394
10090 4.31854208 4.9042817 4.68259339 4.6423582 4.55676621 4.6802204
10092 7.27022430 6.5247067 6.96964961 6.9294399 7.48102821 7.3934989
10093 6.35123577 6.3190304 6.82153357 6.6958962 6.66393578 6.6493505
10094 5.26601530 5.3652674 5.96273333 5.5116065 5.53047275 5.3232373
10095 5.05983657 4.5378764 5.27389435 4.4947404 5.10296266 4.3314882
10097 7.65302015 7.1469691 8.19170608 7.8207760 7.86682386 7.8452708
10098 6.05454411 5.4626522 5.26415929 6.6266585 6.46469572 6.2119095
10099 8.02786300 7.7279868 8.55122120 8.2969547 8.15031013 8.1135902
100996246 0.69945767 -0.1185534 -0.05625794 1.2537154 0.33211232 0.5850129
100996251 0.86471715 0.4863104 1.72400312 0.9250511 1.05404722 -0.2094960
100996307 0.04632208 0.7143389 -0.05625794 0.7275750 0.54915460 0.1064515
100996384 0.69945767 2.3892455 1.72400312 2.0302770 0.73777400 0.9437547
100996419 1.58665090 1.7311161 1.72400312 1.3936607 1.96927096 0.7755059
100996485 1.84590275 0.7143389 2.99766138 2.2670943 2.04267053 2.0146784
100996539 1.27037812 -0.1185534 2.90046126 0.4987161 0.33211232 0.5850129
100996579 3.36398173 1.0843896 2.79623624 1.9418331 2.67088019 2.7641540
100996696 3.02286690 3.3612316 3.04391108 2.9040801 3.35772930 3.1208719
100996842 0.69945767 0.4863104 2.42896893 1.6384173 1.53298407 0.7755059
100996851 -0.25921808 -0.1185534 -1.17995959 -1.1799596 -0.23427938 -0.2094960
100996939 1.48873330 -0.5537706 0.80102860 2.1136107 1.31329935 1.4701353
101 2.06558725 1.9258446 3.08872406 2.8564890 2.71645294 2.6712979
1010 2.79603304 0.4863104 -0.05625794 2.7035021 2.17913535 1.7679479
10100 4.77833864 7.2953441 5.06549614 5.4883763 6.20975713 6.1785590
10101 5.47223027 5.3984648 5.66275113 5.4081244 5.33249548 5.3308471
10102 5.51638380 5.1086664 5.32160805 6.0235262 6.04090710 5.3608912
10103 0.04632208 0.9111966 -0.05625794 0.4987161 1.05404722 0.7755059
10105 6.81990874 7.2414758 7.81371931 7.1987772 7.22725880 7.4730224
10106 8.11966178 7.6387723 8.47309060 7.9998308 7.60584931 7.7161228
101060200 3.87102828 3.0630176 3.85717861 3.8609076 3.38620844 3.7395635
101060691 0.29832685 -0.1185534 1.60564698 2.1136107 1.53298407 0.7755059
10109 7.63882362 7.6815427 8.27040467 7.9138062 7.92500196 8.0365729
10112 4.76794000 4.1466758 5.24448984 6.4047490 6.93124807 6.7912503
10113 7.22342438 6.3362651 5.88228653 6.4374629 5.95796005 6.2404718
10114 8.32157482 8.8702252 8.93778598 8.6262584 8.93758874 8.7568833
101154753 -0.64734936 0.4863104 0.56768865 0.9250511 0.90456014 0.7755059
10116 7.67544796 8.3985880 7.60397819 7.4297256 7.40825704 7.4151374
10117 2.25619805 1.5059410 3.80441977 1.5212232 1.05404722 1.7679479
1012 5.18235270 5.2517758 4.69713736 5.2234940 5.27273551 5.0372607
10121 6.12141727 6.0216424 6.38273344 6.5426972 6.32824659 6.2645116
10123 5.12647044 6.2110612 6.16982906 4.6974206 5.04162165 5.9206476
101241892 3.52083883 4.4770199 4.24147920 5.3747305 5.06823064 4.9109554
10125 1.67834301 1.7311161 1.33510038 2.1136107 3.20623616 3.0853222
10126 3.63966698 3.9591573 4.57646088 3.8365852 4.05196519 4.1368573
TNFa_24_H1 H2O_24_H1 BPA_24_H1 PFOA_24_H1 EtOH_24_H1
100 2.68994550 1.35789878 2.87055491 3.20796975 2.76589006
1000 11.02512695 10.95632665 11.14658249 11.17885290 10.98229508
10000 5.64884168 5.64747934 5.88401995 6.39532004 5.65334824
10001 4.00150344 3.77634773 4.82446268 4.65166554 4.52981921
10003 4.76659419 4.93905409 5.83888247 6.80358566 6.10047204
100037417 4.11960007 3.61915631 3.62836288 3.16295918 3.16800524
100049716 3.19934292 4.40111485 3.05728858 3.62792942 3.78222667
10005 4.33023214 4.33944984 4.47705479 4.40339676 4.46637742
10006 6.65035248 6.46173240 6.64801866 6.29458676 6.28461880
10007 5.38205489 5.52541228 5.06121545 5.35863864 5.27805875
10009 4.76659419 4.96378714 4.75056158 5.16678458 5.19438784
100093630 4.16425859 4.37676421 3.90631789 4.05488380 4.33045631
1001 5.03055705 4.44861675 6.86367318 6.94655919 6.64127470
10010 5.04256804 4.84455601 5.04364108 4.71540273 5.13033602
100101267 2.91569205 2.11478105 2.60898436 1.71360453 2.38172558
100101467 4.98148741 5.28490377 5.12109271 5.42686160 5.17070040
10011 5.34373792 5.11865141 5.17050951 5.17813953 5.41876963
100113386 2.26705125 1.92630492 1.95509477 1.94391315 2.58655726
100113397 0.85409132 -0.33099280 0.72603549 0.89575100 0.52121407
100113407 3.70165098 4.37676421 3.42619955 4.28235347 4.45334728
100125288 1.23518926 1.02338168 1.87785941 2.23235584 2.38172558
100127983 1.89544932 2.33299244 2.51007561 2.23235584 2.32562746
100128006 1.99770049 1.70945243 2.87055491 3.29398520 2.72310313
100128016 1.39362129 1.54435747 1.30016462 1.27992521 1.85659511
100128025 -0.01761235 1.02338168 -0.63602280 -0.46353580 0.52121407
100128054 1.23518926 -0.33099280 1.30016462 1.10058818 -1.17995959
100128071 1.23518926 0.58711526 1.30016462 1.10058818 0.30614877
100128191 0.85409132 1.85757981 3.39881462 2.31697104 2.38172558
100128252 -1.17995959 -1.17995959 -1.17995959 -1.17995959 -1.17995959
100128379 -0.01761235 -0.04126584 -1.17995959 -1.17995959 0.05331021
100128398 4.66147732 4.79027767 5.52100353 5.48287571 5.76301973
100128494 3.81802470 3.07003452 3.37089981 3.75468823 3.69635292
100128569 1.53636363 1.02338168 1.87785941 1.71360453 1.93367805
100128640 0.85409132 1.62926524 1.30016462 1.58301336 1.28033937
100128682 2.74977913 3.63976770 1.17660950 3.01883374 2.14292255
100128731 6.17605204 6.27011900 6.27518048 6.06308425 6.20523026
100128766 0.33470266 0.58711526 -1.17995959 0.37060226 1.28033937
100128782 0.85409132 2.17250527 2.51007561 2.85869570 2.53801074
100128822 3.73163623 3.91808242 2.51007561 3.66067845 3.37564419
100128833 2.09318177 2.90955635 1.61773648 2.74112324 3.13574370
100128881 2.56227611 1.92630492 2.40388343 2.23235584 2.14292255
100128893 5.16848239 5.76471852 5.77108488 6.04459225 6.30652134
100129001 1.05718758 0.40645750 0.32175062 0.01299707 1.02250392
100129013 2.26705125 1.85757981 1.30016462 2.23235584 2.14292255
100129029 -0.48476177 0.58711526 -0.24194410 0.01299707 1.28033937
100129060 4.09674148 3.24165877 3.76332685 4.17309714 3.60504238
100129075 2.18273421 2.52249378 3.65175200 3.56011309 3.31930441
100129195 2.62752259 2.47740056 2.87055491 1.94391315 2.20643006
100129203 0.33470266 -1.17995959 -0.24194410 0.89575100 0.05331021
100129250 1.53636363 1.54435747 1.61773648 2.04660318 2.00685052
100129259 1.05718758 0.19989478 1.30016462 1.10058818 0.70833928
100129361 5.48246300 5.82445718 6.00246290 5.94840045 6.31013965
100129398 -0.48476177 -0.69390919 0.32175062 0.01299707 0.05331021
100129434 1.23518926 1.70945243 1.41396792 1.27992521 1.15717397
100129461 -0.01761235 0.40645750 0.72603549 0.01299707 0.70833928
100129484 1.89544932 1.25477744 0.89235840 0.89575100 1.77516000
100129550 2.91569205 3.61915631 3.58041539 4.23963861 4.01287094
100129583 -0.01761235 -0.69390919 1.70975477 1.43941396 1.28033937
100129662 2.09318177 0.58711526 1.41396792 2.23235584 1.77516000
100129707 0.33470266 0.89209200 1.41396792 0.37060226 1.28033937
100129716 1.39362129 0.74764744 0.06726098 0.89575100 1.28033937
100129726 -0.01761235 -1.17995959 -0.63602280 0.01299707 0.05331021
100129774 4.20757611 3.75761025 2.87055491 3.48895101 3.48212402
100129781 -1.17995959 1.25477744 -0.24194410 1.27992521 1.28033937
100129792 0.33470266 0.19989478 0.53800850 1.94391315 0.52121407
100129794 0.61764517 1.99190453 1.87785941 2.04660318 0.87395641
100129842 0.85409132 0.58711526 0.06726098 1.58301336 0.87395641
100129917 2.56227611 2.52249378 1.79625418 2.31697104 2.67900834
100129924 0.85409132 1.62926524 -0.63602280 1.10058818 1.39381200
100129940 1.53636363 1.14371383 1.30016462 0.89575100 0.87395641
100129995 3.19934292 4.28814689 1.95509477 2.23235584 2.00685052
10013 6.20305794 6.25015041 6.26763072 6.30498254 6.53396624
100130111 1.78539449 1.99190453 1.17660950 1.94391315 2.43572377
100130197 0.33470266 -0.33099280 1.04147333 -1.17995959 0.70833928
100130335 4.61397180 4.63468118 4.41005510 4.34414420 4.40001697
100130348 2.49393848 3.07003452 2.28924928 2.31697104 2.63352323
100130357 1.78539449 1.25477744 1.79625418 2.67853708 2.58655726
100130466 3.70165098 3.91808242 4.57817508 3.75468823 4.09905786
100130476 0.61764517 0.58711526 0.32175062 0.89575100 0.70833928
100130522 1.66624571 0.74764744 0.72603549 1.10058818 2.14292255
100130550 -1.17995959 -0.69390919 -0.24194410 -1.17995959 0.05331021
100130564 2.91569205 3.00796851 3.28376049 3.48895101 3.06897217
100130581 -1.17995959 0.19989478 0.72603549 -1.17995959 0.70833928
100130691 2.49393848 2.17250527 2.09816860 2.14246700 2.14292255
100130705 2.26705125 3.12954017 2.09816860 1.27992521 2.38172558
100130748 1.99770049 1.70945243 1.70975477 2.31697104 0.52121407
100130750 2.68994550 2.43085231 1.79625418 2.67853708 2.07649020
100130855 2.42220218 2.56622016 1.51944679 2.04660318 2.20643006
100130958 0.33470266 -0.33099280 0.06726098 0.01299707 1.02250392
100131017 2.68994550 3.00796851 1.87785941 2.54457891 1.49900676
100131031 -1.17995959 1.85757981 1.87785941 2.23235584 2.20643006
100131033 1.89544932 1.62926524 1.61773648 2.14246700 1.15717397
100131067 2.49393848 1.45413835 2.65600687 3.66067845 2.76589006
100131089 4.27020724 4.60354182 4.13927419 4.49704431 4.60244087
100131094 0.85409132 0.74764744 0.89235840 0.01299707 1.28033937
100131138 5.52589080 6.06442873 5.66013202 5.31815490 5.53464869
100131187 -1.17995959 -1.17995959 -1.17995959 -1.17995959 -0.25345796
100131193 3.60776416 3.24165877 3.60458831 3.59441970 3.71830529
100131211 2.80722976 2.90955635 4.39627353 3.59441970 3.69635292
100131213 -0.48476177 1.35789878 0.32175062 0.89575100 1.02250392
100131471 2.34671138 1.45413835 1.79625418 1.94391315 1.68885173
100131656 3.28272220 3.57702851 2.78852345 3.33514322 3.88284490
100131685 1.23518926 1.14371383 0.72603549 -0.46353580 0.05331021
100131691 1.53636363 2.60866014 2.60898436 1.83334971 2.58655726
100131740 0.85409132 -0.04126584 0.53800850 1.43941396 -0.64357763
100131801 3.43628307 3.18668835 3.39881462 3.06849265 2.80744451
100131827 -0.01761235 0.89209200 -1.17995959 0.37060226 -1.17995959
100131828 0.85409132 0.40645750 0.53800850 0.89575100 0.30614877
100131940 1.78539449 2.22800845 2.51007561 2.39689723 2.38172558
100132074 2.09318177 2.38275196 1.41396792 1.27992521 1.93367805
100132086 0.33470266 0.40645750 0.32175062 -1.17995959 -0.64357763
100132116 5.05447986 4.36443301 5.44271299 5.51904558 4.72677060
100132126 -0.01761235 0.74764744 -0.24194410 0.37060226 0.52121407
100132215 1.05718758 1.02338168 1.17660950 1.94391315 1.15717397
100132537 2.09318177 1.70945243 0.53800850 1.71360453 1.28033937
100132609 0.85409132 1.14371383 1.17660950 0.89575100 1.28033937
100132659 -0.01761235 0.19989478 0.89235840 1.43941396 1.28033937
100132891 -1.17995959 -1.17995959 -1.17995959 -1.17995959 -0.25345796
100132972 -0.48476177 1.25477744 -0.24194410 1.83334971 1.02250392
100133234 1.23518926 0.40645750 -0.24194410 0.01299707 0.70833928
100133286 -0.48476177 -0.04126584 -0.63602280 -1.17995959 -0.64357763
100133315 0.33470266 0.74764744 0.89235840 1.43941396 1.02250392
100134934 1.99770049 2.28145519 2.22832504 2.23235584 2.43572377
10014 6.97258255 6.96890999 7.04684016 6.80358566 6.51214085
100144603 -1.17995959 -0.33099280 0.32175062 0.89575100 0.52121407
100144748 0.61764517 0.89209200 0.72603549 2.31697104 1.49900676
10015 7.95899753 7.80235700 7.59895151 7.92219383 7.87760068
10016 5.14639120 5.16915185 5.14601268 5.06035594 5.09721116
100170229 -0.01761235 0.74764744 0.72603549 1.10058818 1.59704972
100170841 5.35341299 5.56905162 3.47945763 3.84294505 3.03439058
10018 4.07351487 4.48324414 4.00041919 4.66786577 4.47929093
100188847 0.85409132 1.45413835 1.51944679 1.27992521 0.87395641
10019 4.96895471 4.88827839 3.15872945 3.72402729 3.90215305
100190938 1.53636363 0.19989478 1.61773648 2.85869570 2.00685052
1002 1.78539449 1.14371383 1.30016462 0.01299707 0.87395641
10020 4.24963083 3.68012757 2.90988534 3.29398520 3.60504238
10021 7.53687412 7.15402765 8.11659712 8.10880033 8.17115398
10023 -0.01761235 1.85757981 0.32175062 2.47262693 2.26725944
10024 3.47224870 2.64988725 5.72220910 3.95280278 2.67900834
10026 5.92021298 5.27175817 6.52675921 6.26826475 6.42805534
100268168 1.89544932 1.85757981 1.04147333 0.37060226 0.70833928
100270804 1.05718758 1.35789878 1.70975477 2.04660318 1.28033937
100270827 1.05718758 -0.04126584 0.72603549 0.01299707 1.77516000
100270840 5.16848239 5.12597489 4.78269809 4.19562037 4.71590038
100270854 4.78100466 5.48041164 4.60238525 4.38391505 5.02858855
100270865 6.01469888 6.35981670 5.48889718 5.35863864 5.86985173
100271271 4.09674148 4.26179465 3.34243419 3.75468823 3.71830529
100271332 0.61764517 -0.69390919 -0.24194410 -1.17995959 -0.25345796
100271415 2.09318177 1.14371383 1.41396792 2.14246700 1.93367805
100271479 0.85409132 -0.04126584 2.16471412 2.23235584 1.39381200
100271884 -1.17995959 0.89209200 0.32175062 0.65694049 0.52121407
100272147 3.36154480 3.53363345 2.02840456 1.58301336 2.80744451
100286844 1.89544932 2.17250527 1.95509477 2.54457891 1.15717397
100287015 1.39362129 1.99190453 0.32175062 0.65694049 0.70833928
100287049 1.53636363 1.25477744 0.72603549 1.83334971 0.52121407
100287074 0.33470266 0.58711526 1.61773648 0.89575100 1.28033937
100287616 1.53636363 1.02338168 1.95509477 1.71360453 2.20643006
100287722 1.78539449 1.35789878 1.41396792 1.83334971 1.39381200
100287808 -0.48476177 1.99190453 1.17660950 0.65694049 1.15717397
100287837 0.61764517 -0.69390919 0.89235840 0.65694049 -0.25345796
100287896 2.09318177 2.60866014 2.34770464 2.67853708 2.88712635
100287902 0.33470266 1.14371383 -0.24194410 1.10058818 -0.25345796
100287928 3.50733950 3.32037615 2.83012214 2.47262693 2.99895967
100287932 5.48246300 5.36135711 5.42245802 5.09671154 5.32173146
100288001 1.89544932 2.05465059 2.65600687 2.61311224 2.72310313
100288073 2.18273421 3.41906681 1.95509477 2.74112324 3.50755980
100288123 1.78539449 1.54435747 1.70975477 0.65694049 0.87395641
100288198 2.09318177 2.43085231 1.51944679 3.06849265 1.49900676
100288241 -1.17995959 -1.17995959 -1.17995959 -1.17995959 -1.17995959
100288413 1.78539449 2.33299244 2.78852345 3.37515957 3.19956111
100288513 -0.48476177 -0.33099280 -1.17995959 -1.17995959 0.30614877
100288842 1.05718758 1.85757981 1.87785941 1.71360453 2.32562746
100289061 1.78539449 -0.33099280 0.72603549 1.27992521 1.49900676
100289095 -0.01761235 0.19989478 0.72603549 -0.46353580 0.52121407
100289133 2.34671138 1.78541639 2.34770464 2.54457891 3.10274420
100289178 2.74977913 2.60866014 2.78852345 3.16295918 2.58655726
100289211 1.89544932 1.14371383 0.32175062 0.65694049 1.15717397
100289259 1.99770049 2.64988725 1.41396792 0.65694049 0.52121407
100289274 2.86247994 3.44271954 2.90988534 3.78471109 4.08222747
100289341 1.05718758 2.22800845 2.02840456 1.83334971 1.49900676
100289373 1.39362129 2.22800845 1.79625418 1.71360453 2.00685052
100289388 1.23518926 0.40645750 -1.17995959 0.89575100 0.05331021
100289414 0.61764517 0.40645750 -1.17995959 0.89575100 1.49900676
100289635 5.19024041 5.28490377 5.44271299 5.87354624 5.75242023
100289640 1.66624571 1.62926524 2.09816860 1.58301336 1.68885173
100289678 2.09318177 1.35789878 1.95509477 3.33514322 3.37564419
100293516 2.80722976 2.52249378 3.58041539 3.52497077 3.67406135
100294362 1.53636363 1.02338168 1.79625418 1.71360453 1.28033937
1003 -1.17995959 -0.33099280 -1.17995959 0.01299707 1.02250392
100302692 2.49393848 2.90955635 3.50536709 3.11649897 3.13574370
100302736 1.99770049 1.54435747 1.41396792 0.65694049 1.39381200
100303728 4.18607992 4.22134118 3.31339560 3.11649897 3.86327483
100303755 1.89544932 1.35789878 1.41396792 1.83334971 1.59704972
100312828 0.33470266 -0.33099280 -0.24194410 0.89575100 0.87395641
100312850 0.85409132 0.40645750 0.72603549 0.65694049 1.49900676
10036 4.80940082 4.20760063 5.96560852 5.25521610 5.06330782
100379345 -1.17995959 -0.04126584 -0.24194410 1.10058818 1.59704972
10038 5.39147721 5.56366835 6.19784374 5.83819382 5.86001136
100381270 1.99770049 1.35789878 0.06726098 1.27992521 0.87395641
10039 3.97667810 4.46025180 3.60458831 3.72402729 4.54217953
1004 3.70165098 3.32037615 3.53081944 3.92611261 3.97690087
10040 4.11960007 3.48889251 4.43722949 4.30324582 4.28705092
100418710 1.23518926 1.62926524 -0.24194410 2.14246700 0.87395641
100418735 1.53636363 1.54435747 1.61773648 2.31697104 1.39381200
100418744 0.33470266 1.02338168 0.53800850 0.89575100 0.87395641
100418770 -0.01761235 -1.17995959 -1.17995959 -1.17995959 -1.17995959
100418781 1.05718758 -0.04126584 1.87785941 1.94391315 1.59704972
100418819 1.89544932 2.11478105 2.22832504 2.14246700 1.85659511
100418829 0.33470266 1.02338168 0.32175062 0.01299707 1.02250392
100418888 1.99770049 1.25477744 1.70975477 1.27992521 0.30614877
100418889 2.56227611 2.87520176 2.70154499 2.91407373 2.76589006
100418910 -1.17995959 -0.04126584 0.53800850 0.89575100 -0.25345796
100418919 1.53636363 1.92630492 2.78852345 2.04660318 2.88712635
100419028 2.68994550 1.92630492 1.87785941 2.39689723 2.58655726
100419185 0.33470266 0.58711526 0.53800850 0.37060226 1.02250392
100419416 1.53636363 1.02338168 1.87785941 2.14246700 1.02250392
100419515 -1.17995959 0.19989478 -1.17995959 0.01299707 0.70833928
100419645 0.61764517 -0.33099280 0.32175062 0.01299707 0.70833928
100419758 1.23518926 0.74764744 1.41396792 1.71360453 2.32562746
100419928 1.39362129 1.99190453 2.16471412 2.14246700 2.43572377
10042 5.40083839 5.36135711 5.34565760 5.45514049 5.22537798
100420028 -0.01761235 0.40645750 -0.24194410 0.65694049 -1.17995959
100420050 -0.01761235 -0.04126584 -0.24194410 0.37060226 0.05331021
100420110 2.42220218 3.15839721 2.65600687 2.96740441 2.58655726
100420187 -1.17995959 -0.33099280 0.32175062 0.37060226 -1.17995959
100420259 3.78979943 4.33944984 4.50300705 4.19562037 4.51735207
100420307 1.78539449 1.35789878 0.53800850 1.27992521 1.15717397
100420341 5.26390881 5.65762149 5.22610127 5.48287571 5.67033994
100420423 1.78539449 1.54435747 1.30016462 0.37060226 0.87395641
100420591 1.53636363 1.25477744 1.30016462 1.10058818 0.70833928
100420707 3.19934292 2.72896701 3.71972682 3.75468823 3.23044150
100420752 1.23518926 1.54435747 0.89235840 1.58301336 1.77516000
100420869 4.49663563 4.60354182 4.59033095 4.32383993 4.55443485
100420981 6.77076751 6.89152912 6.42861972 6.53875754 6.41467281
100421093 3.57505988 4.04712982 3.71972682 3.56011309 3.90215305
100421109 0.61764517 -0.04126584 -0.24194410 1.27992521 0.30614877
100421160 0.33470266 0.19989478 1.04147333 -0.46353580 0.70833928
100421175 0.61764517 1.02338168 1.30016462 1.10058818 -1.17995959
100421246 1.05718758 0.40645750 0.72603549 0.37060226 0.30614877
100421311 1.53636363 2.43085231 1.30016462 2.23235584 1.77516000
100421372 2.18273421 1.70945243 3.09190080 1.43941396 2.07649020
100421400 1.66624571 1.70945243 2.51007561 2.39689723 1.85659511
100421415 1.05718758 0.58711526 1.79625418 2.14246700 2.48777358
100421429 0.33470266 -0.04126584 -0.63602280 0.01299707 0.30614877
100421465 1.53636363 2.33299244 1.87785941 0.65694049 1.28033937
100421468 2.62752259 2.64988725 2.51007561 2.23235584 2.26725944
100421506 1.05718758 0.74764744 1.30016462 1.27992521 1.15717397
100421569 0.61764517 0.58711526 0.72603549 1.27992521 0.52121407
100421595 -1.17995959 -0.04126584 -0.63602280 0.37060226 -0.64357763
100421794 -0.01761235 -0.69390919 -1.17995959 -1.17995959 -0.64357763
100422106 1.39362129 1.02338168 1.87785941 1.58301336 2.20643006
100422338 2.62752259 1.92630492 2.09816860 2.96740441 2.14292255
100422546 -0.01761235 1.02338168 1.51944679 2.23235584 1.15717397
100422561 4.18607992 4.43688710 3.92563559 3.69270055 3.92120620
10043 6.19231617 6.15670500 5.64855259 5.61407648 5.66469825
10044 -1.17995959 -1.17995959 0.32175062 0.65694049 -0.64357763
10045 0.61764517 1.70945243 0.72603549 0.89575100 0.87395641
10046 0.33470266 1.92630492 0.32175062 1.43941396 0.70833928
10048 6.87855529 6.70851879 6.90318912 6.96961356 7.05758953
10049 5.80506948 6.11314822 6.40472692 6.19749152 6.68373323
100499177 3.84570834 3.96783762 3.19101765 4.05488380 3.65141993
100499483 1.53636363 2.76693864 2.40388343 3.25161842 3.65141993
1005 0.33470266 0.89209200 0.32175062 0.01299707 1.68885173
100500719 -0.01761235 0.19989478 1.04147333 1.10058818 -1.17995959
100505385 1.53636363 1.62926524 2.65600687 2.39689723 2.43572377
100505501 1.78539449 2.28145519 2.34770464 2.04660318 2.99895967
100505538 0.33470266 1.02338168 1.04147333 1.27992521 2.48777358
100505549 0.85409132 0.89209200 1.30016462 2.85869570 2.58655726
100505573 6.20839898 6.00609020 6.73545009 6.87509961 6.48678642
100505576 1.53636363 1.70945243 2.02840456 2.47262693 1.77516000
100505616 -0.01761235 -0.33099280 -0.24194410 0.65694049 0.52121407
100505624 0.33470266 1.62926524 1.79625418 1.71360453 2.00685052
100505635 -0.01761235 0.58711526 0.72603549 0.65694049 0.70833928
100505641 2.26705125 2.38275196 2.40388343 2.23235584 2.63352323
100505648 2.68994550 2.11478105 3.28376049 3.97900814 3.23044150
100505678 2.34671138 1.78541639 3.09190080 3.75468823 3.50755980
100505696 4.07351487 4.28814689 4.55355168 4.46031148 4.91911704
100505715 0.33470266 -0.33099280 -1.17995959 0.01299707 0.70833928
100505738 -1.17995959 -1.17995959 -1.17995959 -1.17995959 -1.17995959
100505741 1.39362129 1.85757981 1.61773648 1.58301336 1.77516000
100505758 3.43628307 4.00007931 3.74169153 3.84294505 3.80291955
100505761 3.06447742 3.26837798 3.28376049 4.15021670 3.53255489
100505771 2.74977913 2.68996890 1.70975477 1.94391315 2.43572377
100505783 2.56227611 3.41906681 2.65600687 2.47262693 2.67900834
100505806 4.49663563 4.66516259 4.12263079 3.97900814 4.38637057
100505812 0.61764517 0.89209200 1.51944679 0.65694049 1.59704972
100505832 2.18273421 2.80393643 2.70154499 2.04660318 2.67900834
100505854 3.50733950 3.96783762 3.37089981 3.78471109 3.99499801
100505876 5.67222268 5.72668764 5.78172491 5.71886710 5.65903441
100505894 4.20757611 4.30114467 3.67476797 4.32383993 4.11569418
100505933 3.50733950 3.34568892 3.42619955 3.25161842 2.84783548
100505994 1.99770049 0.58711526 1.51944679 -1.17995959 1.28033937
100506020 -0.01761235 -0.33099280 1.41396792 0.37060226 0.52121407
100506033 4.59778253 4.62437589 5.00783673 5.32838283 5.10556395
100506054 2.74977913 2.33299244 2.45795635 2.61311224 3.55712429
100506068 0.61764517 1.02338168 1.17660950 1.58301336 2.14292255
100506070 2.42220218 1.85757981 2.28924928 2.31697104 2.32562746
100506083 0.85409132 0.74764744 0.72603549 0.65694049 1.15717397
100506100 1.39362129 0.89209200 -0.63602280 0.01299707 0.70833928
100506119 2.42220218 3.07003452 2.09816860 2.91407373 2.20643006
100506127 2.62752259 2.52249378 1.70975477 1.83334971 3.16800524
100506142 1.53636363 -0.04126584 0.32175062 1.83334971 -0.64357763
100506144 1.99770049 0.89209200 1.41396792 0.37060226 0.30614877
100506161 0.85409132 -0.33099280 -0.24194410 0.37060226 1.02250392
100506211 5.57633535 5.99413397 4.97112113 4.86341779 4.62585785
100506235 1.39362129 0.89209200 0.06726098 0.65694049 1.77516000
100506258 0.85409132 -0.69390919 1.87785941 2.14246700 2.14292255
100506282 3.15577370 2.84000909 2.60898436 3.16295918 3.06897217
100506286 1.66624571 1.70945243 2.02840456 2.67853708 2.07649020
100506302 1.89544932 2.17250527 1.70975477 1.27992521 2.00685052
100506321 0.85409132 0.89209200 0.06726098 0.89575100 0.70833928
100506325 -0.01761235 0.19989478 -0.63602280 1.58301336 1.28033937
100506343 0.85409132 -0.04126584 1.51944679 0.37060226 -0.25345796
100506365 5.65667752 5.67769436 5.64855259 5.35863864 5.54082143
100506368 1.39362129 0.58711526 0.32175062 1.27992521 0.70833928
100506380 4.09674148 4.47179377 3.84676256 3.97900814 4.42692854
100506392 4.09674148 4.42506129 4.08875666 4.69973048 4.19611432
100506394 2.42220218 2.17250527 2.74568960 2.39689723 2.92537548
100506411 0.61764517 1.25477744 1.04147333 -1.17995959 1.02250392
100506433 1.89544932 2.43085231 3.28376049 3.89891934 3.71830529
100506462 0.61764517 0.58711526 0.72603549 0.01299707 0.87395641
100506469 4.33023214 4.60354182 4.64961985 4.68388609 5.11386866
100506495 0.61764517 -0.04126584 1.30016462 0.65694049 1.02250392
100506504 1.89544932 2.05465059 2.78852345 1.83334971 2.26725944
100506540 0.61764517 1.35789878 1.30016462 1.83334971 1.49900676
100506581 1.39362129 1.70945243 1.61773648 1.58301336 1.28033937
100506606 0.33470266 0.58711526 0.06726098 0.01299707 1.28033937
100506658 1.39362129 0.89209200 1.04147333 2.23235584 1.85659511
100506668 2.42220218 2.33299244 2.34770464 3.06849265 3.58128227
100506686 2.09318177 2.84000909 2.40388343 1.71360453 2.80744451
100506691 -0.48476177 2.05465059 0.72603549 1.27992521 1.93367805
100506696 3.06447742 3.96783762 1.61773648 1.94391315 1.49900676
100506697 1.05718758 0.58711526 1.30016462 2.04660318 1.15717397
100506710 6.40728451 6.75176711 6.32331382 6.56061333 6.38066310
100506713 -1.17995959 0.58711526 0.72603549 0.37060226 -0.25345796
100506725 2.26705125 2.68996890 3.55583052 3.45200887 2.72310313
100506731 1.39362129 1.35789878 1.17660950 1.58301336 1.39381200
100506757 -0.01761235 0.89209200 0.89235840 1.94391315 -0.25345796
100506779 0.61764517 0.74764744 0.72603549 0.01299707 0.52121407
100506804 1.66624571 0.19989478 1.04147333 0.89575100 1.15717397
100506826 0.85409132 1.45413835 0.89235840 1.43941396 1.93367805
100506844 3.11084761 3.26837798 3.25350384 3.01883374 3.60504238
100506866 7.26430455 7.38369486 7.16126799 7.36693608 7.06831242
100506881 -0.01761235 0.40645750 0.06726098 0.01299707 1.39381200
100506885 -0.01761235 -0.33099280 -1.17995959 -1.17995959 0.30614877
100506911 0.85409132 0.74764744 0.72603549 1.27992521 -0.25345796
100506922 2.86247994 2.22800845 1.61773648 3.11649897 2.14292255
100506930 3.89953119 3.95144247 4.50300705 4.10333755 4.47929093
100506994 0.85409132 -0.69390919 -0.63602280 1.58301336 0.52121407
100507003 2.18273421 1.62926524 2.74568960 1.43941396 2.43572377
100507032 1.05718758 1.85757981 2.60898436 2.61311224 2.63352323
100507034 2.86247994 2.68996890 3.02182551 3.25161842 2.63352323
100507050 1.05718758 1.62926524 -0.63602280 -1.17995959 0.30614877
100507053 1.99770049 2.56622016 2.74568960 2.61311224 1.93367805
100507057 0.61764517 1.78541639 1.30016462 1.71360453 1.59704972
100507062 1.05718758 0.58711526 0.32175062 1.27992521 0.87395641
100507071 -0.01761235 -0.33099280 0.32175062 -1.17995959 0.52121407
100507156 2.56227611 2.33299244 2.16471412 2.61311224 2.20643006
100507171 2.80722976 2.38275196 2.60898436 2.67853708 2.88712635
100507173 -0.48476177 -0.33099280 1.17660950 0.65694049 1.28033937
100507178 1.05718758 0.58711526 0.53800850 1.71360453 0.52121407
100507244 0.33470266 -0.33099280 0.32175062 -0.46353580 0.05331021
100507246 2.49393848 2.56622016 3.25350384 2.85869570 2.20643006
100507250 -0.48476177 1.02338168 1.04147333 0.65694049 0.70833928
100507254 -1.17995959 -1.17995959 -0.24194410 0.01299707 -1.17995959
100507266 1.66624571 1.62926524 1.51944679 -1.17995959 1.68885173
100507290 5.52589080 5.54739695 4.64961985 4.74624557 4.95653814
100507291 2.62752259 2.05465059 0.72603549 1.83334971 2.20643006
100507303 2.68994550 3.32037615 2.65600687 2.31697104 2.48777358
100507308 0.85409132 1.02338168 -0.63602280 2.04660318 1.02250392
100507316 1.39362129 3.24165877 1.87785941 1.71360453 1.85659511
100507331 1.05718758 1.70945243 1.87785941 2.14246700 1.93367805
100507347 -1.17995959 1.54435747 0.53800850 1.10058818 1.85659511
100507373 1.39362129 2.72896701 2.34770464 2.31697104 2.00685052
100507392 -1.17995959 -1.17995959 -0.24194410 -1.17995959 -1.17995959
100507398 1.05718758 2.68996890 1.61773648 1.71360453 2.99895967
100507401 1.39362129 1.14371383 1.87785941 1.43941396 1.59704972
100507420 -1.17995959 0.19989478 -1.17995959 0.01299707 1.28033937
100507433 1.99770049 2.11478105 2.02840456 2.80110684 2.76589006
100507436 -0.48476177 0.40645750 0.53800850 0.01299707 0.30614877
100507437 2.74977913 2.68996890 1.95509477 1.94391315 3.34774930
100507459 2.68994550 2.87520176 2.16471412 3.16295918 3.13574370
100507463 -0.01761235 -1.17995959 -0.24194410 -0.46353580 -1.17995959
100507487 2.62752259 2.33299244 2.78852345 1.83334971 1.85659511
100507495 2.49393848 2.22800845 2.83012214 2.74112324 2.96263667
100507516 -0.01761235 0.19989478 -0.24194410 1.83334971 0.05331021
100507551 2.56227611 1.78541639 1.04147333 2.23235584 1.59704972
100507557 2.09318177 2.11478105 1.87785941 0.37060226 1.15717397
100507564 0.33470266 -0.33099280 -1.17995959 -1.17995959 0.05331021
100507567 1.78539449 0.19989478 1.61773648 1.10058818 2.14292255
100507588 -0.01761235 -0.04126584 0.32175062 1.43941396 -0.25345796
100507599 2.42220218 1.70945243 1.95509477 2.31697104 1.85659511
100507602 3.87287075 4.00007931 2.60898436 3.01883374 3.50755980
100508120 2.42220218 2.52249378 2.45795635 1.43941396 1.85659511
10051 7.01891434 6.71095579 8.67783747 7.81535069 7.52897464
10052 1.23518926 -0.04126584 1.79625418 1.58301336 1.59704972
100526737 1.39362129 1.35789878 2.22832504 2.23235584 2.38172558
100526760 0.85409132 1.02338168 0.72603549 1.43941396 1.02250392
100526820 1.05718758 0.58711526 1.04147333 0.65694049 0.30614877
100526835 3.60776416 2.94311186 4.20399174 4.47879480 3.78222667
100527978 1.39362129 1.45413835 2.16471412 0.37060226 2.00685052
100529145 0.85409132 -0.04126584 1.61773648 1.43941396 2.14292255
100529215 -0.48476177 -0.33099280 0.06726098 0.37060226 1.02250392
100532746 4.24963083 4.27503094 4.20399174 3.95280278 4.14840212
100533106 0.61764517 1.78541639 0.32175062 0.01299707 0.05331021
100533182 1.39362129 -1.17995959 0.53800850 0.89575100 1.39381200
100533619 -1.17995959 0.89209200 1.04147333 0.01299707 0.30614877
100533629 1.39362129 1.85757981 0.89235840 1.83334971 1.93367805
100533695 0.33470266 0.40645750 0.89235840 0.01299707 -0.25345796
100533970 0.85409132 1.70945243 1.17660950 1.58301336 2.00685052
100534593 2.56227611 1.70945243 1.95509477 2.04660318 2.00685052
10054 6.29629602 6.25349776 6.13284349 6.23058801 5.97843994
10056 5.98388607 6.07203196 6.34858161 5.93507630 6.44461079
10057 7.62538360 7.66456733 7.95794624 7.96543360 8.02689188
10058 6.29629602 6.62311186 5.42245802 5.18940580 5.17863951
10059 7.71816664 7.54126307 7.38535212 7.52202319 7.70694706
1006 4.29049430 4.16557587 4.75056158 4.82058563 4.47929093
10060 5.21167516 5.11865141 4.42370628 4.90501490 4.25737107
100616256 1.05718758 1.45413835 1.41396792 0.37060226 1.59704972
10062 2.56227611 2.72896701 2.51007561 3.33514322 3.23044150
10063 4.69230029 4.68513153 4.20399174 4.32383993 4.74826837
100652739 0.33470266 -1.17995959 -0.63602280 -0.46353580 -0.25345796
100652758 -0.01761235 0.89209200 -0.63602280 0.01299707 2.07649020
100652846 2.09318177 2.43085231 3.22259902 3.37515957 2.48777358
10066 6.21372032 6.38750275 6.27518048 6.09338709 6.40116498
10067 6.35044369 6.37526338 6.19784374 5.87354624 6.61810864
10068 3.06447742 2.56622016 2.74568960 3.56011309 3.80291955
10069 4.18607992 4.15129111 4.07151659 4.38391505 4.41353550
10072 4.62998141 4.40111485 4.98959572 4.90501490 5.40530028
10073 4.11960007 4.27503094 3.78464249 3.97900814 4.08222747
10075 8.68155966 8.62344263 8.93120542 9.23134806 9.24568588
10076 4.16425859 4.35199550 4.62619585 4.49704431 4.18038493
10077 5.93961170 6.63855577 4.54108056 4.68388609 4.60244087
100775107 1.05718758 1.02338168 1.04147333 2.14246700 1.68885173
10078 4.98148741 4.82668918 4.52850071 4.42261889 4.77992607
10079 3.92570789 3.12954017 4.33979173 4.51506585 4.56658694
1008 3.57505988 4.17972058 4.89476199 5.17813953 5.54696787
10081 5.36302361 5.31725310 5.61919075 5.43634962 5.40530028
10082 7.53687412 7.13055389 7.89930583 8.19656375 7.99465081
100820829 5.67993289 5.83789870 6.40816450 6.55626858 6.50899581
10084 5.21167516 5.30440028 5.27210369 4.91861828 5.39170400
100847074 1.66624571 1.78541639 2.16471412 1.43941396 1.93367805
10085 6.72678120 6.45883540 6.25623147 6.99872364 6.59752863
100852407 1.05718758 0.74764744 0.53800850 0.37060226 1.15717397
100861412 -0.48476177 -0.33099280 1.30016462 0.37060226 0.30614877
100861548 3.63974347 3.69989184 4.10579314 3.56011309 4.16448215
100862671 0.33470266 0.19989478 1.04147333 1.94391315 1.15717397
10087 6.59025073 6.57576269 6.48179015 6.45721612 6.49634663
100873257 1.05718758 1.02338168 -0.24194410 -0.46353580 0.05331021
100873333 2.68994550 3.00796851 3.42619955 3.56011309 3.06897217
100873790 4.79527260 5.31725310 4.80373151 4.58498181 5.20219801
100873949 1.05718758 0.89209200 1.79625418 2.14246700 2.14292255
100873952 0.33470266 0.19989478 0.53800850 -0.46353580 1.02250392
100873965 2.42220218 2.56622016 2.02840456 1.58301336 2.53801074
100874006 1.05718758 0.89209200 0.32175062 0.89575100 -0.25345796
100874008 1.05718758 -0.33099280 1.30016462 1.71360453 2.00685052
100874014 1.53636363 2.56622016 3.15872945 3.45200887 3.50755980
100874058 -0.01761235 1.70945243 0.32175062 0.01299707 1.85659511
100874080 -0.01761235 0.74764744 0.53800850 0.65694049 0.87395641
100874097 2.42220218 2.17250527 1.87785941 2.23235584 1.39381200
100874201 -1.17995959 -1.17995959 -0.63602280 -0.46353580 -0.25345796
100874212 1.05718758 0.89209200 0.53800850 1.10058818 1.28033937
100874217 -0.01761235 1.35789878 0.53800850 1.10058818 0.52121407
100874235 1.66624571 1.62926524 1.70975477 1.83334971 1.59704972
100874261 -1.17995959 1.14371383 1.17660950 0.65694049 1.28033937
100874291 0.85409132 1.99190453 -0.24194410 -1.17995959 0.70833928
100874362 2.18273421 1.25477744 1.79625418 2.67853708 2.32562746
100874523 1.39362129 0.58711526 1.87785941 2.39689723 1.85659511
100885775 6.22956758 6.08711926 4.99874505 4.46031148 5.14661755
100885776 1.05718758 1.35789878 1.04147333 0.37060226 1.77516000
100885848 5.62507550 5.71216356 5.50824660 5.44577565 5.34308185
1009 8.16806221 7.60554247 7.98467039 7.97360239 7.77660291
10090 4.80940082 4.88827839 4.50300705 4.30324582 4.37259385
10092 7.12156434 6.66895629 7.37309143 7.08871671 7.15938785
10093 6.85150070 6.56771784 6.34858161 6.26294223 6.37721761
10094 5.56804946 5.27834594 4.91423400 4.56781790 5.21769263
10095 4.56484859 4.10756806 4.42370628 4.38391505 4.46637742
10097 7.65110729 7.46679365 7.68507034 7.50634290 7.81912457
10098 5.16848239 4.95558981 6.25241162 6.12306650 6.12121743
10099 7.74045913 7.74643593 8.00410964 7.91032747 8.09873483
100996246 0.33470266 1.70945243 0.53800850 1.43941396 2.00685052
100996251 1.53636363 0.58711526 1.51944679 1.94391315 1.28033937
100996307 -0.48476177 0.19989478 -0.24194410 -1.17995959 0.52121407
100996384 1.23518926 1.78541639 1.04147333 1.27992521 0.70833928
100996419 1.53636363 1.14371383 0.72603549 1.83334971 2.32562746
100996485 2.42220218 2.64988725 2.22832504 2.47262693 2.26725944
100996539 0.85409132 -0.04126584 0.53800850 0.37060226 0.52121407
100996579 2.34671138 1.99190453 2.22832504 3.06849265 1.85659511
100996696 3.19934292 3.10009412 3.05728858 3.41409586 2.88712635
100996842 1.53636363 1.99190453 1.04147333 1.10058818 1.93367805
100996851 -1.17995959 -0.33099280 0.89235840 0.01299707 -0.25345796
100996939 0.33470266 1.02338168 0.06726098 1.71360453 1.15717397
101 1.66624571 2.47740056 2.65600687 2.85869570 2.53801074
1010 -0.01761235 0.19989478 1.30016462 1.83334971 2.76589006
10100 7.48939965 7.80235700 6.64219175 6.43845244 5.58927503
10101 5.32419092 5.23158703 5.28711754 4.97178428 5.34308185
10102 4.82339203 5.19026522 5.29456627 4.91861828 5.49068377
10103 -1.17995959 -0.04126584 0.06726098 0.01299707 1.28033937
10105 7.59715841 7.76531815 7.32479939 7.12143532 7.75552630
10106 7.44030963 7.41542045 7.51535497 7.88456606 7.95128295
101060200 3.01656719 3.24165877 3.34243419 3.97900814 3.84343564
101060691 -0.01761235 1.85757981 1.30016462 -1.17995959 -0.25345796
10109 7.99034074 7.93543904 7.77435040 7.83700357 7.91965701
10112 5.45576465 5.01990020 7.56239415 6.17499772 5.73098470
10113 6.35526690 6.45883540 5.57093229 5.79459467 6.16183417
10114 9.08802299 9.07133340 8.75680713 8.96743518 8.80173881
101154753 -0.01761235 -0.33099280 0.72603549 0.65694049 0.05331021
10116 8.23108283 7.95407481 7.52488631 7.39153276 7.79221072
10117 -1.17995959 0.89209200 1.51944679 1.71360453 1.49900676
1012 5.63304114 5.21794418 4.97112113 5.25521610 5.18653516
10121 5.99629028 6.27671425 6.18186616 6.21413467 6.54629124
10123 6.34560430 5.92023791 4.93344670 4.53286505 4.94727347
101241892 4.83724885 4.51705985 5.44940194 5.15533955 4.73755953
10125 1.99770049 0.74764744 1.95509477 3.11649897 1.93367805
10126 4.54809532 4.48324414 4.18808248 4.03003268 3.55712429
TUN_2_H2 THA_2_H2 DMSO_2_H2 TUN_24_H2 THA_24_H2 DOX_24_H2
100 3.2466848 3.3716502 3.42043262 3.3418905 3.56997936 5.90785106
1000 11.4717175 11.3503666 11.46657105 11.6005994 11.83208652 10.35950541
10000 6.3340039 6.5652141 6.50339753 6.8258335 6.81583840 5.45239103
10001 4.7208092 4.6362719 4.39038548 4.0038218 4.40485516 4.95667789
10003 4.2869332 3.9250572 4.08947424 3.6144253 3.88763862 3.98939497
100037417 2.4150833 1.7812322 2.69938264 2.5662851 1.50317758 1.77454190
100049716 2.1226975 1.5735194 2.04485969 2.2196708 1.96286455 2.90397033
10005 3.7447565 3.2370834 3.23121285 3.7562266 3.43460552 3.27083623
10006 6.6008213 6.4213472 6.66180014 6.5873062 6.39586583 6.45849579
10007 4.7341300 4.3405584 5.24098069 5.6373349 4.42285314 5.82754279
10009 4.9887324 5.2393233 5.54740880 4.7324705 4.83941129 5.37915563
100093630 4.2316539 4.3073592 4.02095389 4.5626793 4.40485516 4.60174413
1001 4.7073642 4.4662052 4.25772074 4.4833129 4.79863903 6.96955930
10010 5.4826940 5.4132374 5.14765493 4.9644849 5.11874710 5.94638872
100101267 2.3473526 2.5214735 2.04485969 2.5662851 1.96286455 2.41077864
100101467 4.1741717 4.2560825 4.02095389 5.4826770 4.85274994 2.61596251
10011 5.4181347 5.4054143 5.25098715 5.2784153 5.38056688 5.36025079
100113386 0.7350009 1.9627686 1.01480922 1.5710789 1.50317758 1.65553083
100113397 1.1067586 1.6811107 1.61987476 0.7708849 0.58981398 0.32662013
100113407 4.1143039 4.5537431 4.42615210 3.7104908 4.95523920 5.86154946
100125288 1.7555914 1.4572529 1.01480922 2.0827777 2.52602070 3.31077030
100127983 2.1226975 2.8327633 2.51237942 2.0827777 1.20340120 1.04738487
100128006 2.1226975 3.0490413 1.94976628 2.0827777 1.50317758 -0.48951083
100128016 1.4020816 0.8671498 0.81346205 1.0894757 1.50317758 1.88447924
100128025 0.7350009 -1.1799596 0.81346205 -1.1799596 1.20340120 2.17149647
100128054 0.7350009 1.4572529 -0.04723735 2.0827777 1.96286455 0.32662013
100128071 -0.5437809 0.4469532 0.29983048 1.5710789 1.36106171 3.27083623
100128191 2.0393026 1.0387903 2.91611105 2.5662851 1.96286455 3.52961790
100128252 -1.1799596 -1.1799596 -1.17995959 -1.1799596 -1.17995959 -1.17995959
100128379 0.9328212 -1.1799596 -1.17995959 -0.2125431 -1.17995959 -0.02448829
100128398 4.3746041 4.0903170 4.08947424 4.5626793 4.49268044 4.83871203
100128494 3.4541051 3.5806032 2.57744458 3.2166146 3.53730805 3.22976524
100128569 1.2619636 1.0387903 1.84795982 2.0827777 1.36106171 1.77454190
100128640 -1.1799596 -0.1483831 -0.50517311 1.0894757 -1.17995959 3.77774542
100128682 1.4020816 1.6811107 1.19146640 1.7625270 1.86093512 -1.17995959
100128731 6.3557118 5.9905984 6.33487239 6.3983138 6.35894969 6.69187455
100128766 -0.5437809 -0.5738695 0.81346205 -0.2125431 -1.17995959 -0.48951083
100128782 1.9507897 2.1239941 2.29747532 2.2196708 2.05806524 3.05268405
100128822 2.0393026 3.0886616 1.49070955 2.4597392 2.31093375 3.46029293
100128833 2.4797762 2.1983179 2.13407087 2.8455454 2.31093375 3.65900950
100128881 2.0393026 1.9627686 2.29747532 1.3502809 1.50317758 2.95526383
100128893 4.8730740 4.4662052 4.47819248 4.7094042 4.63843340 6.02651479
100129001 0.7350009 -0.1483831 1.19146640 -0.2125431 0.58981398 -1.17995959
100129013 2.4797762 2.9232008 1.84795982 1.9315203 1.96286455 2.48246501
100129029 -0.1038014 -0.1483831 -0.04723735 0.7708849 0.58981398 1.22507916
100129060 2.9596907 3.8578547 3.14798178 2.6655006 3.53730805 3.05268405
100129075 -0.1038014 2.1983179 1.73842004 1.3502809 2.05806524 4.03778836
100129195 2.1226975 1.1921644 1.61987476 1.3502809 0.58981398 1.65553083
100129203 0.9328212 0.4469532 1.49070955 0.3613926 0.58981398 4.98163232
100129250 1.8564894 1.6811107 2.21808533 1.3502809 2.23146900 1.98662899
100129259 -0.1038014 -0.1483831 -0.50517311 1.0894757 0.82454375 -1.17995959
100129361 5.4345474 5.4054143 5.55550581 5.1299722 5.57014697 4.72508798
100129398 -1.1799596 -0.5738695 -1.17995959 0.7708849 -0.49963426 0.60878527
100129434 2.3473526 2.4623753 1.84795982 1.7625270 2.23146900 3.18749068
100129461 0.9328212 0.4469532 1.73842004 -1.1799596 1.96286455 1.77454190
100129484 0.9328212 2.1983179 1.19146640 1.3502809 1.86093512 2.41077864
100129550 3.2090187 3.3391668 3.45547091 4.8843666 4.29188071 5.58857190
100129583 0.9328212 0.8671498 1.61987476 2.4597392 2.23146900 1.77454190
100129662 -0.5437809 1.5735194 -0.04723735 1.7625270 -0.03917952 2.41077864
100129707 0.9328212 -1.1799596 1.34883272 0.3613926 0.82454375 0.84468883
100129716 0.7350009 0.1797782 0.29983048 0.3613926 -0.03917952 1.77454190
100129726 -0.1038014 -1.1799596 -1.17995959 1.0894757 -0.03917952 2.73814652
100129774 4.1741717 4.0706655 4.35370956 4.2791479 4.21132950 3.83363916
100129781 1.2619636 -0.1483831 -1.17995959 0.7708849 1.02637309 -1.17995959
100129792 -1.1799596 -0.5738695 -1.17995959 1.3502809 0.30932810 -0.02448829
100129794 1.4020816 -1.1799596 1.01480922 1.0894757 1.02637309 0.32662013
100129842 0.5056792 1.1921644 -0.50517311 1.3502809 1.50317758 1.98662899
100129917 2.0393026 2.9232008 0.81346205 3.6144253 3.24530075 1.22507916
100129924 -1.1799596 0.8671498 -1.17995959 1.3502809 0.58981398 1.88447924
100129940 0.9328212 0.8671498 -0.04723735 -1.1799596 -0.03917952 0.60878527
100129995 1.7555914 0.1797782 0.29983048 -1.1799596 0.82454375 -0.02448829
10013 5.8001889 5.6763820 5.73733441 6.4268763 6.38213274 6.23286235
100130111 2.2015340 1.6811107 1.34883272 1.9315203 1.20340120 1.38326770
100130197 -1.1799596 -0.1483831 -0.04723735 -0.2125431 0.58981398 0.32662013
100130335 3.6354182 3.6081284 4.15488725 4.0038218 4.10387213 4.06138963
100130348 2.2015340 1.6811107 2.13407087 3.6144253 2.45782690 2.17149647
100130357 -0.1038014 0.8671498 0.57938459 -1.1799596 1.02637309 -0.48951083
100130466 3.1306014 3.2719200 3.38452215 3.4571520 3.43460552 3.31077030
100130476 -1.1799596 0.4469532 0.57938459 0.3613926 0.82454375 0.84468883
100130522 0.5056792 0.4469532 1.19146640 1.0894757 0.82454375 2.08202183
100130550 -1.1799596 -0.1483831 0.57938459 -1.1799596 -1.17995959 -0.02448829
100130564 3.4215404 3.3716502 3.55575217 2.8455454 2.05806524 2.41077864
100130581 -0.1038014 0.4469532 1.01480922 1.5710789 1.36106171 0.60878527
100130691 1.5297876 1.6811107 1.49070955 3.0055935 1.96286455 0.84468883
100130705 2.4150833 2.9232008 3.14798178 3.5638822 3.66377557 2.08202183
100130748 1.1067586 1.0387903 1.61987476 1.9315203 1.50317758 1.88447924
100130750 1.2619636 1.7812322 1.61987476 2.5662851 2.23146900 1.04738487
100130855 1.5297876 1.1921644 1.01480922 1.5710789 2.14737083 1.04738487
100130958 1.4020816 -0.1483831 0.81346205 1.3502809 1.50317758 2.41077864
100131017 1.6471027 2.8327633 2.13407087 2.8455454 2.38624908 3.56306991
100131031 2.2762848 1.1921644 1.01480922 1.5710789 1.86093512 -0.02448829
100131033 1.5297876 2.3363795 1.19146640 1.0894757 1.20340120 1.98662899
100131067 1.1067586 1.8748539 1.61987476 3.5638822 2.52602070 2.55075734
100131089 1.6471027 1.6811107 2.21808533 3.3418905 3.07365402 1.88447924
100131094 0.5056792 0.8671498 -0.04723735 0.7708849 -0.49963426 -0.02448829
100131138 3.1306014 2.9663788 2.63970152 3.7562266 3.75184414 2.08202183
100131187 1.4020816 0.8671498 2.37272350 2.3446927 1.20340120 1.65553083
100131193 3.5171088 3.0490413 2.86490422 1.9315203 2.52602070 2.48246501
100131211 3.5774759 3.6351383 3.05965342 3.7104908 2.05806524 3.31077030
100131213 2.6010602 1.7812322 1.84795982 1.7625270 2.45782690 3.31077030
100131471 1.4020816 -0.1483831 0.81346205 2.0827777 2.14737083 1.22507916
100131656 2.9136008 2.8786906 3.30990298 3.4006720 2.59113606 4.29832513
100131685 1.8564894 1.9627686 1.73842004 0.7708849 -0.03917952 -0.48951083
100131691 1.7555914 1.3307887 2.13407087 2.0827777 2.31093375 4.15211336
100131740 1.1067586 0.8671498 -0.50517311 1.3502809 0.30932810 0.60878527
100131801 3.0897342 2.8786906 2.91611105 2.9277877 3.11851790 4.21659802
100131827 -0.1038014 0.4469532 0.81346205 1.5710789 1.02637309 2.25574455
100131828 1.6471027 0.8671498 0.29983048 1.0894757 1.36106171 1.88447924
100131940 1.9507897 1.6811107 2.13407087 2.6655006 2.31093375 2.25574455
100132074 0.5056792 0.6722959 1.94976628 0.7708849 1.20340120 1.65553083
100132086 -0.1038014 0.8671498 1.01480922 -0.2125431 -0.49963426 -1.17995959
100132116 7.0973161 6.7981433 6.86114436 4.6379062 5.23536222 6.05029968
100132126 -0.1038014 -0.5738695 -0.50517311 -1.1799596 -0.03917952 -1.17995959
100132215 0.2328875 -0.1483831 0.57938459 0.7708849 1.20340120 0.60878527
100132537 1.9507897 2.1983179 2.04485969 2.5662851 2.45782690 1.04738487
100132609 2.0393026 0.6722959 -0.04723735 1.0894757 1.20340120 -0.02448829
100132659 -0.5437809 0.1797782 0.57938459 0.3613926 -0.03917952 0.60878527
100132891 -1.1799596 -0.1483831 -1.17995959 -0.2125431 0.58981398 -1.17995959
100132972 -1.1799596 0.8671498 -0.04723735 0.3613926 1.36106171 -0.48951083
100133234 0.5056792 1.1921644 0.81346205 -1.1799596 -0.03917952 1.88447924
100133286 -0.1038014 0.4469532 0.29983048 0.3613926 0.82454375 -0.02448829
100133315 -0.5437809 1.8748539 0.81346205 1.3502809 0.82454375 1.98662899
100134934 2.7129340 2.2689996 1.01480922 1.0894757 2.23146900 1.38326770
10014 6.2012189 6.3619548 5.80681610 5.0217826 5.50405516 5.66758749
100144603 -1.1799596 -1.1799596 -1.17995959 -1.1799596 -0.49963426 0.60878527
100144748 1.5297876 1.6811107 1.34883272 1.5710789 -0.03917952 5.98392367
10015 7.6581934 7.4616732 7.58145107 7.6215435 7.38291503 7.78052369
10016 5.1662884 5.1201118 5.37512393 5.1299722 4.94281920 5.92081166
100170229 0.7350009 0.6722959 0.29983048 -0.2125431 0.30932810 -1.17995959
100170841 3.6067379 4.4959786 3.30990298 4.2474716 4.03533324 6.29391009
10018 2.7657774 4.4662052 2.96556247 4.2474716 3.46965836 6.45404480
100188847 1.4020816 0.4469532 1.19146640 1.3502809 1.02637309 1.22507916
10019 4.0729657 5.2568197 4.21746258 4.6132638 4.69876830 5.33142077
100190938 2.3473526 2.1983179 1.73842004 2.2196708 3.02735008 1.38326770
1002 0.5056792 2.6854980 0.29983048 1.7625270 1.63254086 0.60878527
10020 3.8216441 3.9467800 3.61893192 4.3702061 3.91332843 3.80596296
10021 7.8721244 8.2256087 7.62442201 6.9192623 7.48922925 7.70573978
10023 0.9328212 0.6722959 1.19146640 0.7708849 2.05806524 4.93128420
10024 4.0304080 3.7132602 3.30990298 1.0894757 1.63254086 3.86079441
10026 6.4475267 5.9044145 6.38116453 6.3765145 6.45827977 6.38089547
100268168 1.7555914 1.7812322 1.49070955 1.9315203 1.96286455 2.55075734
100270804 1.5297876 0.4469532 1.94976628 2.6655006 1.20340120 1.88447924
100270827 1.5297876 -1.1799596 0.81346205 1.3502809 0.30932810 0.60878527
100270840 3.4541051 3.6876867 3.92421716 4.0412510 3.80770486 3.80596296
100270854 3.8946405 3.7132602 4.21746258 4.4278677 4.34947350 4.27832328
100270865 5.0107917 4.8003694 5.09307400 5.5229234 5.21484861 5.20996907
100271271 3.3882237 2.4623753 2.81181277 3.5115038 3.16202862 2.85078569
100271332 -0.1038014 -0.5738695 -1.17995959 0.3613926 -1.17995959 -0.02448829
100271415 1.9507897 2.0456324 1.61987476 2.3446927 -0.03917952 3.22976524
100271479 -0.5437809 -1.1799596 -0.04723735 0.3613926 -0.49963426 1.22507916
100271884 -0.1038014 -0.1483831 -1.17995959 -1.1799596 -1.17995959 -1.17995959
100272147 1.9507897 1.9627686 1.73842004 2.7583298 3.02735008 3.22976524
100286844 -0.5437809 -0.1483831 1.94976628 1.5710789 2.38624908 2.67834762
100287015 1.2619636 2.2689996 1.01480922 1.7625270 1.36106171 3.14393988
100287049 0.2328875 1.4572529 1.19146640 0.3613926 0.82454375 1.38326770
100287074 1.1067586 -0.5738695 1.49070955 0.3613926 -1.17995959 -0.02448829
100287616 3.5171088 3.2719200 3.38452215 3.0055935 3.80770486 3.27083623
100287722 0.9328212 1.0387903 0.57938459 1.0894757 1.20340120 1.38326770
100287808 0.5056792 0.4469532 -1.17995959 0.3613926 -1.17995959 3.71959863
100287837 1.2619636 1.0387903 0.29983048 -1.1799596 1.02637309 1.38326770
100287896 2.0393026 2.3363795 2.13407087 3.0794170 2.93003017 0.60878527
100287902 -0.1038014 -0.1483831 0.57938459 -1.1799596 0.82454375 1.52581239
100287928 2.8659896 1.3307887 2.13407087 2.3446927 2.14737083 2.85078569
100287932 5.3243673 4.8815614 5.36594510 4.7995361 4.94281920 5.07734538
100288001 2.0393026 1.8748539 3.01337488 2.0827777 1.36106171 2.90397033
100288073 3.2090187 4.9690805 3.84715490 6.7487383 6.54300417 2.08202183
100288123 -0.1038014 1.3307887 0.81346205 0.7708849 1.63254086 1.52581239
100288198 1.8564894 2.1239941 2.04485969 2.2196708 0.30932810 2.95526383
100288241 -1.1799596 -1.1799596 -1.17995959 -1.1799596 -1.17995959 -1.17995959
100288413 3.0897342 2.8327633 3.55575217 2.6655006 2.52602070 4.61775126
100288513 0.2328875 -0.1483831 -1.17995959 -0.2125431 -1.17995959 -0.02448829
100288842 0.9328212 1.8748539 -0.04723735 1.0894757 2.45782690 0.60878527
100289061 1.9507897 1.1921644 2.44424067 0.3613926 0.30932810 1.52581239
100289095 0.5056792 1.6811107 -1.17995959 0.3613926 1.02637309 1.22507916
100289133 4.2869332 3.7383882 4.08947424 3.5638822 3.78004485 3.49537178
100289178 2.6580812 2.4623753 2.96556247 2.5662851 2.31093375 3.18749068
100289211 0.5056792 1.1921644 1.19146640 0.3613926 -0.03917952 0.60878527
100289259 0.7350009 1.3307887 0.81346205 1.7625270 1.96286455 1.04738487
100289274 2.6010602 3.3716502 2.57744458 4.9048172 4.63843340 4.10746452
100289341 1.2619636 1.9627686 1.34883272 2.6655006 2.23146900 3.65900950
100289373 0.5056792 1.1921644 0.81346205 1.5710789 1.02637309 2.79556512
100289388 0.7350009 1.4572529 1.61987476 1.9315203 1.63254086 1.38326770
100289414 -1.1799596 -0.5738695 -0.50517311 1.0894757 0.82454375 -1.17995959
100289635 5.3677457 5.5823688 5.11515478 6.0491707 5.75199191 4.44907778
100289640 1.6471027 2.1239941 1.34883272 3.3418905 2.93003017 1.88447924
100289678 3.1703427 2.6328684 2.29747532 3.2166146 3.78004485 3.22976524
100293516 3.2090187 3.6081284 3.01337488 3.5638822 3.24530075 1.88447924
100294362 1.2619636 0.6722959 1.01480922 1.3502809 1.50317758 1.04738487
1003 2.2762848 2.1239941 2.29747532 1.0894757 0.82454375 -0.02448829
100302692 1.8564894 2.6328684 2.63970152 2.4597392 2.65343895 -0.02448829
100302736 1.8564894 2.0456324 1.49070955 2.3446927 3.07365402 1.38326770
100303728 2.2762848 2.9232008 2.81181277 1.5710789 2.05806524 2.73814652
100303755 1.4020816 1.7812322 0.29983048 1.0894757 0.30932810 -0.02448829
100312828 2.0393026 0.6722959 1.49070955 0.7708849 1.96286455 0.32662013
100312850 0.5056792 -1.1799596 -0.04723735 0.7708849 -0.03917952 1.04738487
10036 4.1345371 4.8357269 4.11160976 4.1819529 3.50387969 4.68006071
100379345 1.7555914 1.1921644 0.81346205 1.0894757 0.30932810 0.84468883
10038 5.3591737 5.0715038 4.78409543 5.8099099 5.16225101 3.05268405
100381270 0.2328875 0.6722959 -0.50517311 0.3613926 1.63254086 1.65553083
10039 3.0476755 2.9232008 3.38452215 3.7104908 3.16202862 1.65553083
1004 -0.1038014 1.8748539 1.61987476 2.6655006 -0.03917952 0.60878527
10040 3.8946405 4.4959786 3.19019744 5.3246858 4.47553790 3.27083623
100418710 0.7350009 0.8671498 1.61987476 0.7708849 0.58981398 2.61596251
100418735 1.4020816 1.4572529 2.29747532 2.0827777 1.20340120 1.88447924
100418744 1.2619636 2.3363795 1.73842004 0.3613926 1.75125294 0.60878527
100418770 0.2328875 0.1797782 -0.50517311 -1.1799596 -1.17995959 -1.17995959
100418781 2.8167535 2.4007524 3.55575217 1.7625270 2.31093375 2.73814652
100418819 2.0393026 2.0456324 1.84795982 1.7625270 2.05806524 2.55075734
100418829 2.6010602 2.0456324 2.51237942 1.9315203 1.86093512 -0.02448829
100418888 0.9328212 -0.1483831 1.73842004 1.0894757 -1.17995959 1.52581239
100418889 2.7129340 2.6328684 2.81181277 2.6655006 2.05806524 2.33534312
100418910 0.9328212 0.6722959 -0.50517311 1.0894757 0.82454375 -1.17995959
100418919 1.9507897 2.5214735 2.21808533 3.0794170 1.96286455 1.77454190
100419028 1.9507897 1.3307887 1.34883272 1.9315203 1.50317758 1.98662899
100419185 0.2328875 0.4469532 -1.17995959 0.3613926 -0.03917952 0.32662013
100419416 0.7350009 1.5735194 0.81346205 1.0894757 1.36106171 0.32662013
100419515 -1.1799596 1.1921644 0.57938459 0.3613926 -0.49963426 -1.17995959
100419645 -0.5437809 0.8671498 -0.04723735 0.3613926 -1.17995959 -1.17995959
100419758 0.5056792 0.8671498 1.19146640 1.0894757 0.30932810 1.52581239
100419928 1.4020816 1.6811107 2.13407087 2.7583298 1.96286455 1.52581239
10042 5.1060856 5.1763588 4.79781239 4.6132638 4.62294700 4.83871203
100420028 -1.1799596 -0.1483831 -1.17995959 -1.1799596 1.02637309 1.38326770
100420050 -1.1799596 -0.1483831 0.57938459 -0.2125431 0.58981398 0.32662013
100420110 2.6010602 3.0490413 2.21808533 2.9277877 3.32402759 3.38746784
100420187 -0.5437809 -0.5738695 -1.17995959 -1.1799596 -0.03917952 1.04738487
100420259 4.3746041 3.6876867 4.23773208 3.8853292 4.08138569 4.15211336
100420307 1.5297876 0.6722959 0.29983048 -1.1799596 0.30932810 1.52581239
100420341 5.6882982 5.7148707 5.95496316 7.3909145 7.21748233 5.16710167
100420423 0.5056792 1.1921644 1.61987476 0.7708849 1.02637309 0.84468883
100420591 0.2328875 0.4469532 -0.04723735 1.0894757 0.30932810 -0.02448829
100420707 2.5416923 2.0456324 1.94976628 1.7625270 1.50317758 1.88447924
100420752 1.6471027 1.3307887 1.01480922 2.7583298 2.14737083 2.08202183
100420869 4.2316539 3.7383882 4.08947424 3.5638822 3.66377557 4.37566965
100420981 6.1070874 5.5961802 6.18635505 6.4268763 6.44513079 6.08525757
100421093 3.8216441 4.5106380 3.76574288 3.8005570 4.01174375 4.43107295
100421109 0.2328875 0.4469532 1.01480922 0.3613926 0.58981398 1.77454190
100421160 0.9328212 0.8671498 0.29983048 1.3502809 0.82454375 0.84468883
100421175 0.2328875 0.4469532 0.57938459 0.3613926 0.82454375 0.60878527
100421246 0.2328875 0.6722959 0.81346205 1.5710789 1.20340120 1.38326770
100421311 1.1067586 1.9627686 1.61987476 2.6655006 0.58981398 1.98662899
100421372 2.3473526 2.3363795 1.73842004 2.0827777 1.75125294 3.14393988
100421400 2.0393026 2.4623753 2.29747532 2.5662851 1.75125294 1.65553083
100421415 0.9328212 0.6722959 0.29983048 0.3613926 0.30932810 1.04738487
100421429 -0.1038014 -0.5738695 -1.17995959 1.7625270 -0.03917952 0.60878527
100421465 2.0393026 1.0387903 1.34883272 1.7625270 0.58981398 0.84468883
100421468 2.4150833 2.1239941 2.29747532 2.9277877 2.31093375 1.98662899
100421506 0.2328875 -0.1483831 0.81346205 1.0894757 1.02637309 0.84468883
100421569 0.9328212 1.1921644 1.34883272 0.7708849 1.20340120 1.52581239
100421595 -0.5437809 -1.1799596 -0.04723735 -1.1799596 -1.17995959 -1.17995959
100421794 -0.1038014 -1.1799596 -1.17995959 -1.1799596 -0.49963426 -1.17995959
100422106 0.7350009 1.8748539 0.81346205 -0.2125431 1.20340120 1.65553083
100422338 2.2015340 1.4572529 1.19146640 1.9315203 2.65343895 2.17149647
100422546 0.2328875 0.8671498 0.29983048 0.7708849 1.20340120 1.04738487
100422561 3.5476081 3.2719200 3.38452215 4.1133166 4.10387213 2.73814652
10043 5.2050717 5.4054143 5.36594510 5.6001968 5.49557666 5.47013339
10044 0.9328212 1.8748539 1.94976628 0.3613926 -0.03917952 1.88447924
10045 1.2619636 1.0387903 1.49070955 2.2196708 2.05806524 1.77454190
10046 1.4020816 2.6328684 2.57744458 1.3502809 0.58981398 1.77454190
10048 6.5376499 6.4596258 6.50339753 6.2936418 6.55529437 7.16740702
10049 5.6745453 5.6166525 6.03242532 5.9929717 6.12062434 6.40415555
100499177 3.1306014 4.1663507 3.27109436 3.4006720 3.63318276 3.46029293
100499483 1.5297876 2.1239941 1.34883272 2.8455454 2.45782690 1.04738487
1005 -1.1799596 -1.1799596 -0.04723735 -1.1799596 -1.17995959 0.60878527
100500719 -0.1038014 0.4469532 0.57938459 -1.1799596 1.02637309 0.84468883
100505385 2.9136008 3.9467800 3.34769494 3.3418905 2.93003017 3.00479609
100505501 0.9328212 0.6722959 -0.04723735 2.0827777 0.82454375 2.79556512
100505538 2.1226975 0.4469532 -1.17995959 -0.2125431 1.63254086 3.31077030
100505549 0.7350009 1.9627686 0.57938459 -1.1799596 1.02637309 1.38326770
100505573 5.3155329 5.5329603 5.48942047 5.3094266 5.20448138 6.79049528
100505576 1.2619636 0.8671498 1.73842004 0.3613926 0.58981398 2.85078569
100505616 0.5056792 0.8671498 1.34883272 0.3613926 0.82454375 0.60878527
100505624 1.4020816 1.1921644 0.81346205 1.0894757 0.82454375 1.04738487
100505635 0.2328875 1.6811107 0.81346205 0.3613926 0.30932810 0.60878527
100505641 2.2015340 2.1983179 1.01480922 2.5662851 2.97951059 1.22507916
100505648 2.6580812 1.5735194 2.69938264 3.1496461 3.36183648 2.17149647
100505678 2.8167535 0.6722959 1.49070955 2.4597392 0.82454375 1.77454190
100505696 4.5803644 5.1485094 4.81140015 4.7995361 4.83941129 4.23746792
100505715 0.2328875 0.4469532 -0.04723735 -1.1799596 0.30932810 -1.17995959
100505738 -1.1799596 -1.1799596 -1.17995959 -1.1799596 -1.17995959 -1.17995959
100505741 1.4020816 0.4469532 1.34883272 1.3502809 1.75125294 2.67834762
100505758 3.1306014 3.5239255 3.27109436 3.6144253 2.97951059 3.05268405
100505761 2.7657774 2.0456324 2.91611105 3.7104908 3.98776213 1.65553083
100505771 0.9328212 0.4469532 1.73842004 1.0894757 1.86093512 1.52581239
100505783 1.8564894 2.0456324 0.57938459 2.4597392 2.05806524 4.46686069
100505806 5.4098578 5.4817995 5.56355762 6.8418312 6.39130264 4.95667789
100505812 -0.1038014 -0.1483831 1.34883272 -0.2125431 0.82454375 -0.02448829
100505832 -1.1799596 -1.1799596 1.19146640 0.3613926 1.36106171 1.65553083
100505854 3.6067379 4.9476934 3.48967838 4.9644849 4.52636629 5.57223587
100505876 1.9507897 1.9627686 2.91611105 2.2196708 2.05806524 3.00479609
100505894 3.0043537 1.6811107 2.57744458 2.5662851 3.24530075 2.17149647
100505933 0.7350009 -1.1799596 -0.50517311 0.3613926 -0.03917952 0.84468883
100505994 0.9328212 0.4469532 0.57938459 3.1496461 3.63318276 2.17149647
100506020 0.7350009 1.1921644 0.57938459 -0.2125431 1.20340120 -0.02448829
100506033 4.8730740 4.0706655 4.52842086 4.5367059 4.05854321 4.63358273
100506054 2.1226975 2.8786906 2.44424067 0.3613926 2.38624908 2.17149647
100506068 0.2328875 0.8671498 0.57938459 0.7708849 0.82454375 0.84468883
100506070 1.1067586 0.8671498 1.34883272 2.8455454 1.02637309 0.60878527
100506083 0.7350009 -0.1483831 1.19146640 -0.2125431 0.30932810 0.84468883
100506100 0.2328875 0.4469532 -0.04723735 1.0894757 -1.17995959 0.32662013
100506119 0.9328212 1.4572529 -0.04723735 1.3502809 1.20340120 2.48246501
100506127 1.2619636 1.6811107 1.19146640 -1.1799596 1.86093512 0.60878527
100506142 -1.1799596 0.1797782 -0.50517311 -0.2125431 1.02637309 -1.17995959
100506144 2.1226975 1.6811107 1.73842004 1.0894757 2.45782690 0.32662013
100506161 -0.1038014 0.8671498 0.29983048 0.3613926 0.30932810 -0.02448829
100506211 2.6580812 1.8748539 2.63970152 2.6655006 1.50317758 1.04738487
100506235 1.2619636 0.8671498 0.29983048 1.7625270 1.20340120 2.33534312
100506258 0.2328875 1.4572529 -1.17995959 1.0894757 1.36106171 -1.17995959
100506282 2.5416923 2.1239941 2.96556247 2.2196708 2.38624908 2.25574455
100506286 0.5056792 0.6722959 1.01480922 0.3613926 1.02637309 2.48246501
100506302 1.4020816 1.6811107 1.84795982 1.0894757 1.36106171 1.52581239
100506321 0.2328875 1.7812322 0.57938459 0.3613926 1.02637309 0.32662013
100506325 0.9328212 -0.1483831 0.57938459 1.3502809 0.58981398 1.04738487
100506343 0.9328212 0.6722959 0.81346205 1.0894757 0.30932810 1.98662899
100506365 5.0325187 5.1946308 5.57156475 5.4412756 5.98788760 4.46686069
100506368 1.5297876 1.4572529 -1.17995959 -0.2125431 -0.03917952 1.04738487
100506380 3.4859508 3.1647804 2.37272350 2.5662851 3.07365402 3.22976524
100506392 3.2833925 3.7132602 2.81181277 3.2806119 3.69373309 2.90397033
100506394 1.9507897 2.1983179 0.81346205 1.5710789 2.52602070 3.62773320
100506411 0.9328212 1.7812322 1.49070955 1.0894757 1.36106171 3.18749068
100506433 2.0393026 2.4623753 1.61987476 2.0827777 2.87879226 1.38326770
100506462 1.4020816 0.8671498 1.34883272 1.5710789 -0.03917952 3.31077030
100506469 4.3574909 4.2208566 4.59278237 5.0768913 4.87906288 3.88744796
100506495 1.1067586 0.4469532 0.57938459 1.9315203 -0.03917952 2.41077864
100506504 1.2619636 2.8786906 2.21808533 2.7583298 2.65343895 1.77454190
100506540 1.2619636 1.4572529 1.73842004 -1.1799596 -1.17995959 1.77454190
100506581 0.7350009 1.0387903 1.84795982 -1.1799596 1.20340120 -0.02448829
100506606 0.7350009 1.8748539 -0.04723735 1.5710789 0.58981398 1.77454190
100506658 2.7129340 2.8786906 2.29747532 4.0038218 3.53730805 3.18749068
100506668 1.6471027 2.5214735 2.63970152 3.4006720 3.11851790 1.04738487
100506686 1.5297876 0.6722959 2.13407087 1.7625270 1.50317758 1.38326770
100506691 -0.1038014 0.8671498 0.29983048 0.3613926 0.58981398 -1.17995959
100506696 2.1226975 1.6811107 2.69938264 2.7583298 2.71316230 3.88744796
100506697 1.2619636 0.4469532 0.81346205 0.3613926 1.86093512 -0.02448829
100506710 6.5452270 6.7801062 6.72059229 7.2096398 7.33143987 7.25188738
100506713 0.7350009 -0.1483831 0.29983048 -1.1799596 -0.49963426 -1.17995959
100506725 3.6635394 3.5239255 3.19019744 4.1480428 3.24530075 1.88447924
100506731 1.4020816 1.7812322 2.04485969 1.5710789 1.86093512 3.59576381
100506757 -1.1799596 -1.1799596 -0.50517311 1.0894757 0.82454375 0.84468883
100506779 0.5056792 0.1797782 0.81346205 -0.2125431 -0.49963426 0.60878527
100506804 -1.1799596 -1.1799596 0.57938459 -1.1799596 1.36106171 0.60878527
100506826 1.1067586 0.6722959 1.84795982 1.7625270 1.50317758 0.32662013
100506844 2.2762848 2.1239941 2.37272350 3.6144253 3.83484452 1.98662899
100506866 6.2759857 6.3579070 6.21219412 6.0854561 5.84168927 4.55262873
100506881 0.9328212 0.4469532 1.49070955 0.3613926 1.20340120 3.91361801
100506885 0.9328212 0.1797782 0.57938459 -1.1799596 -1.17995959 1.65553083
100506911 0.9328212 0.1797782 0.57938459 0.3613926 -0.49963426 -0.48951083
100506922 0.7350009 -1.1799596 0.57938459 0.3613926 0.58981398 3.22976524
100506930 4.0937828 3.9030024 3.30990298 4.0777337 4.12601346 3.68962211
100506994 0.2328875 1.0387903 1.01480922 0.3613926 0.58981398 1.04738487
100507003 2.4797762 2.3363795 1.34883272 2.2196708 2.45782690 -0.02448829
100507032 0.9328212 0.6722959 -0.04723735 3.4571520 2.05806524 -0.02448829
100507034 2.7129340 2.9232008 3.14798178 2.4597392 3.28520111 4.25804022
100507050 0.2328875 -0.1483831 -0.04723735 -1.1799596 -0.03917952 2.67834762
100507053 1.2619636 1.5735194 1.01480922 1.5710789 1.36106171 3.14393988
100507057 -0.5437809 1.0387903 -0.04723735 1.3502809 0.58981398 1.52581239
100507062 -0.1038014 1.0387903 1.19146640 1.3502809 -1.17995959 3.49537178
100507071 -0.1038014 0.6722959 -1.17995959 -0.2125431 -0.03917952 0.32662013
100507156 3.0476755 3.3059352 2.57744458 2.5662851 3.20426541 3.49537178
100507171 1.8564894 3.3059352 2.96556247 3.6632575 3.39867976 -0.02448829
100507173 -0.5437809 -0.5738695 -0.04723735 1.9315203 1.20340120 -1.17995959
100507178 0.9328212 1.9627686 -0.50517311 0.3613926 2.14737083 1.65553083
100507244 1.1067586 0.8671498 0.81346205 0.3613926 0.82454375 1.38326770
100507246 2.9596907 3.0083020 2.69938264 2.0827777 2.59113606 2.33534312
100507250 0.5056792 -1.1799596 0.57938459 -0.2125431 1.02637309 0.84468883
100507254 -0.1038014 -0.1483831 -0.04723735 -1.1799596 0.58981398 1.22507916
100507266 1.1067586 0.8671498 0.81346205 -0.2125431 0.30932810 -1.17995959
100507290 4.4247582 4.3889673 4.15488725 4.6132638 4.05854321 3.38746784
100507291 1.2619636 1.3307887 1.49070955 2.5662851 1.63254086 1.04738487
100507303 2.6580812 3.0886616 2.91611105 3.3418905 2.87879226 3.49537178
100507308 -0.1038014 0.8671498 -1.17995959 0.3613926 1.02637309 -0.02448829
100507316 0.9328212 1.3307887 0.57938459 1.5710789 1.75125294 2.25574455
100507331 2.4797762 2.0456324 2.86490422 2.2196708 2.65343895 2.79556512
100507347 1.2619636 1.4572529 1.01480922 1.9315203 0.58981398 2.67834762
100507373 1.2619636 1.4572529 2.44424067 3.2166146 2.05806524 1.98662899
100507392 1.4020816 2.1239941 1.49070955 1.9315203 1.36106171 2.41077864
100507398 1.1067586 0.8671498 1.01480922 1.3502809 0.58981398 2.85078569
100507401 -0.1038014 0.4469532 -0.50517311 -1.1799596 0.30932810 0.60878527
100507420 1.5297876 0.1797782 2.21808533 -1.1799596 -0.03917952 0.60878527
100507433 0.9328212 0.4469532 -0.04723735 1.0894757 0.58981398 1.38326770
100507436 -0.1038014 -1.1799596 -0.04723735 -1.1799596 0.30932810 -0.02448829
100507437 2.3473526 2.6328684 1.84795982 1.9315203 2.23146900 1.04738487
100507459 1.2619636 1.5735194 0.81346205 2.8455454 0.82454375 3.52961790
100507463 1.1067586 1.6811107 1.01480922 -0.2125431 -0.49963426 2.95526383
100507487 2.0393026 1.7812322 0.57938459 3.1496461 3.36183648 2.61596251
100507495 2.2762848 1.3307887 2.21808533 2.0827777 2.31093375 3.27083623
100507516 -0.1038014 -0.1483831 -1.17995959 -0.2125431 -1.17995959 -0.02448829
100507551 0.9328212 0.8671498 2.13407087 -1.1799596 0.58981398 2.08202183
100507557 0.5056792 1.0387903 0.81346205 0.3613926 -0.49963426 2.85078569
100507564 -1.1799596 -1.1799596 -1.17995959 -1.1799596 -1.17995959 -0.48951083
100507567 1.5297876 1.4572529 1.49070955 2.0827777 2.45782690 2.67834762
100507588 0.2328875 -0.1483831 0.29983048 1.0894757 0.82454375 -0.48951083
100507599 1.5297876 0.6722959 -0.04723735 1.9315203 1.36106171 1.65553083
100507602 2.4797762 1.7812322 2.57744458 2.8455454 2.23146900 2.48246501
100508120 1.8564894 1.6811107 2.13407087 3.4006720 1.86093512 1.38326770
10051 6.6613423 6.6928164 6.86440707 6.1208513 5.70863404 6.39489647
10052 2.1226975 1.4572529 1.19146640 0.3613926 0.58981398 2.41077864
100526737 1.8564894 1.9627686 2.13407087 1.0894757 1.75125294 2.17149647
100526760 1.2619636 0.4469532 1.01480922 1.0894757 1.63254086 0.60878527
100526820 0.7350009 0.4469532 0.57938459 0.3613926 -0.49963426 1.52581239
100526835 2.5416923 2.6854980 2.75669264 2.0827777 2.45782690 0.32662013
100527978 0.7350009 0.8671498 0.57938459 1.9315203 1.63254086 0.32662013
100529145 1.5297876 0.6722959 1.73842004 1.5710789 1.63254086 0.84468883
100529215 -1.1799596 -1.1799596 -1.17995959 -0.2125431 -1.17995959 -1.17995959
100532746 4.2687411 3.7383882 3.94901622 4.2791479 3.69373309 3.86079441
100533106 -0.1038014 1.0387903 0.57938459 0.3613926 1.02637309 0.32662013
100533182 -0.1038014 0.6722959 1.61987476 1.0894757 1.86093512 1.65553083
100533619 -1.1799596 0.8671498 -0.04723735 0.3613926 -1.17995959 2.67834762
100533629 0.9328212 -1.1799596 1.49070955 -0.2125431 -1.17995959 -1.17995959
100533695 0.2328875 0.8671498 0.57938459 0.7708849 0.58981398 0.84468883
100533970 1.4020816 1.1921644 1.73842004 -0.2125431 0.30932810 2.17149647
100534593 0.7350009 1.4572529 1.61987476 2.5662851 2.31093375 1.77454190
10054 6.1324604 5.9535248 5.89879016 5.8735466 5.73768358 5.94638872
10056 5.7221175 5.4287575 5.97924368 5.8314355 5.53747950 4.63358273
10057 7.4172820 7.2132441 7.54937546 7.4442817 7.58225060 8.47518910
10058 4.6800924 3.7383882 4.56096050 5.8941500 5.39886850 5.99008564
10059 7.2016880 7.0844333 7.33327949 6.3910839 6.59154897 6.43158150
1006 4.6800924 4.4047493 4.42615210 3.5115038 4.31133488 4.79714460
10060 3.1306014 2.5782458 2.63970152 1.0894757 3.60192714 3.59576381
100616256 1.2619636 0.8671498 0.81346205 0.7708849 0.30932810 1.88447924
10062 2.2015340 2.4623753 2.91611105 2.0827777 2.93003017 2.17149647
10063 3.7708436 3.4649297 4.19690424 4.1480428 4.29188071 3.42433985
100652739 -0.5437809 -0.1483831 -0.50517311 1.3502809 0.82454375 1.65553083
100652758 -1.1799596 -0.5738695 -0.50517311 0.3613926 -0.49963426 1.88447924
100652846 1.6471027 1.4572529 1.01480922 1.5710789 1.36106171 1.22507916
10066 6.3643043 6.3084263 6.54465830 6.6123921 6.48850255 6.42704656
10067 6.3981715 6.1721452 6.33016042 6.6431482 6.41397560 5.14518066
10068 3.5171088 3.6876867 3.61893192 3.0794170 3.56997936 3.80596296
10069 4.3048988 4.3730108 4.69893657 4.7551739 4.89204154 6.19067979
10072 5.1662884 5.2216121 5.35670749 4.3702061 4.49268044 5.51355753
10073 3.8707164 3.8347397 3.14798178 3.7562266 3.39867976 3.46029293
10075 8.5913252 8.9626119 8.49075342 9.1073188 9.10634373 8.77372711
10076 5.1264336 5.1578524 5.20024599 5.4272068 5.18352071 6.05029968
10077 2.6010602 2.1239941 3.48967838 1.7625270 2.82566739 1.22507916
100775107 0.5056792 1.1921644 0.57938459 0.7708849 1.02637309 1.04738487
10078 4.6937927 4.9039440 4.81140015 4.8636220 4.45818921 5.43442775
10079 5.2050717 5.1855237 5.35670749 5.2143183 5.87475582 5.28205229
1008 3.6635394 3.4947292 3.97339618 3.5638822 4.27216061 3.86079441
10081 4.7341300 5.2304948 4.86450651 5.1643046 4.83941129 6.23804950
10082 7.6441492 7.0167258 7.27317622 7.2381246 7.54164636 6.96017342
100820829 4.3226434 4.1477146 4.72788499 3.2166146 3.69373309 2.90397033
10084 5.2428397 5.0911440 5.20024599 5.3094266 5.06245493 4.60174413
100847074 1.1067586 1.3307887 2.44424067 2.0827777 1.86093512 1.38326770
10085 9.8029310 9.6121018 9.76240601 9.6826734 9.94575835 9.69969537
100852407 0.5056792 1.5735194 0.81346205 0.7708849 1.75125294 1.04738487
100861412 -0.1038014 1.1921644 1.19146640 2.3446927 1.20340120 0.84468883
100861548 4.3746041 3.9892682 4.25772074 5.1124947 4.94281920 5.23093439
100862671 1.9507897 1.3307887 1.19146640 0.7708849 0.30932810 0.60878527
10087 6.3252285 6.1442136 6.44793145 6.0213448 6.62691479 7.44144274
100873257 0.5056792 -1.1799596 -1.17995959 -0.2125431 0.30932810 1.22507916
100873333 3.5774759 2.8786906 3.38452215 2.9277877 2.97951059 3.09903338
100873790 3.7181889 3.5239255 4.19690424 2.9277877 3.39867976 4.25804022
100873949 1.1067586 0.8671498 -0.04723735 -0.2125431 0.30932810 0.84468883
100873952 -1.1799596 -1.1799596 0.57938459 0.7708849 -0.03917952 -1.17995959
100873965 1.6471027 1.9627686 1.73842004 2.4597392 1.75125294 2.17149647
100874006 -0.5437809 1.1921644 0.57938459 0.7708849 1.20340120 -1.17995959
100874008 0.7350009 0.4469532 0.57938459 0.7708849 1.50317758 1.77454190
100874014 3.2833925 3.0490413 2.37272350 3.5638822 2.14737083 0.60878527
100874058 0.2328875 0.8671498 -1.17995959 1.0894757 1.63254086 -0.02448829
100874080 0.2328875 1.1921644 0.81346205 0.3613926 0.30932810 0.32662013
100874097 1.7555914 1.5735194 0.81346205 1.9315203 2.23146900 1.65553083
100874201 0.7350009 -0.5738695 -0.04723735 -0.2125431 1.20340120 0.84468883
100874212 0.7350009 1.1921644 1.49070955 1.7625270 1.50317758 1.22507916
100874217 0.7350009 1.0387903 1.34883272 -0.2125431 0.82454375 -0.48951083
100874235 0.2328875 0.6722959 0.57938459 0.3613926 0.58981398 -0.02448829
100874261 0.5056792 0.8671498 -1.17995959 -1.1799596 1.86093512 2.25574455
100874291 -1.1799596 0.4469532 -0.50517311 -1.1799596 0.58981398 0.84468883
100874362 1.9507897 0.6722959 2.13407087 2.4597392 2.82566739 4.21659802
100874523 2.6580812 2.2689996 2.13407087 0.7708849 1.86093512 1.22507916
100885775 5.3505505 5.1008647 5.10415663 4.7324705 3.16202862 4.12996166
100885776 -0.5437809 1.1921644 -0.04723735 2.4597392 1.63254086 -0.02448829
100885848 4.8609814 4.9476934 4.49513032 4.0038218 2.93003017 3.68962211
1009 10.2751128 10.2215084 10.06605862 8.9937747 9.50146591 7.21026548
10090 4.2869332 4.2560825 4.27743623 4.3404874 3.53730805 4.82498887
10092 7.6978255 7.2959657 7.66614998 7.0807600 7.27062537 6.58601433
10093 7.1203259 7.1014804 6.95900735 6.5936187 6.47562738 6.60621316
10094 5.5818064 5.2741065 5.65682919 5.4552085 5.44363187 5.17793852
10095 5.9331921 5.6957547 6.02661214 6.0213448 5.73768358 6.17453783
10097 8.4081649 8.2465590 8.43698257 7.8549056 8.01783100 7.79643341
10098 7.2278200 7.2332690 7.23839145 6.7201744 6.62691479 5.62069929
10099 8.6627247 8.2088514 8.64763822 8.4016629 8.47457163 8.76835937
100996246 -0.1038014 -0.1483831 -0.04723735 -1.1799596 -1.17995959 -0.02448829
100996251 -0.1038014 0.1797782 0.29983048 0.3613926 -1.17995959 1.38326770
100996307 0.5056792 0.6722959 1.34883272 0.3613926 -0.03917952 0.60878527
100996384 -0.1038014 -0.1483831 1.73842004 1.0894757 0.30932810 1.38326770
100996419 1.8564894 0.6722959 1.19146640 2.5662851 1.36106171 -0.02448829
100996485 2.1226975 1.8748539 1.73842004 1.5710789 0.82454375 2.08202183
100996539 -0.1038014 -0.1483831 1.19146640 1.9315203 1.36106171 2.08202183
100996579 -1.1799596 -1.1799596 -0.50517311 -1.1799596 -1.17995959 -1.17995959
100996696 2.2762848 2.1983179 2.86490422 1.0894757 1.63254086 2.48246501
100996842 -0.1038014 0.1797782 1.01480922 1.0894757 0.30932810 -0.02448829
100996851 0.5056792 0.4469532 -1.17995959 -1.1799596 1.20340120 1.04738487
100996939 0.2328875 0.6722959 0.81346205 0.3613926 1.36106171 0.84468883
101 1.2619636 0.4469532 2.37272350 2.3446927 2.71316230 2.85078569
1010 -1.1799596 -0.5738695 -0.04723735 0.3613926 1.02637309 -1.17995959
10100 6.1573949 5.7523591 6.45227460 4.1819529 4.65375533 4.93128420
10101 4.8730740 4.6758309 5.03634665 5.3547284 4.96755319 5.58857190
10102 4.4572511 4.3568759 4.49513032 4.7551739 4.68391948 3.52961790
10103 -1.1799596 -0.1483831 1.34883272 1.5710789 1.63254086 1.98662899
10105 6.5338464 6.1395053 6.73135399 5.9043424 5.67898752 6.28391318
10106 7.0607773 7.1254893 6.85787425 7.6997010 7.61588785 7.63081559
101060200 2.2015340 2.7853257 3.23121285 3.3418905 2.77051125 3.42433985
101060691 1.9507897 2.2689996 1.73842004 2.0827777 2.38624908 1.04738487
10109 8.3840723 8.0894280 8.51794180 8.1992320 8.00594051 8.08972945
10112 5.3591737 5.0615826 5.48094282 3.2806119 3.07365402 5.31187563
10113 6.1324604 6.3042253 6.25756930 7.2895776 6.94910701 6.33805827
10114 7.5246684 7.6816615 7.48935598 7.1380266 7.46988296 8.62426466
101154753 0.5056792 0.1797782 -0.04723735 0.7708849 0.82454375 1.65553083
10116 7.7446484 8.1327151 7.95644607 7.5124994 7.67151877 7.30228096
10117 -0.1038014 1.6811107 1.49070955 0.3613926 1.36106171 2.79556512
1012 7.7691207 7.4039512 7.56148754 8.1699609 8.28955763 7.76802702
10121 5.9617835 5.8535734 6.07247465 5.8838851 5.73768358 5.72043129
10123 7.8856174 8.1445124 7.99416863 6.9783476 7.66963575 7.31951092
101241892 4.5201206 4.2208566 3.99737099 4.0412510 4.03533324 3.49537178
10125 1.5297876 1.4572529 1.94976628 1.0894757 0.58981398 4.50178212
10126 3.2466848 3.4649297 3.10449348 3.0055935 3.60192714 3.14393988
NUTL_24_H2 DMSO_24_H2 LPS_24_H2 TNFa_24_H2 H2O_24_H2 BPA_24_H2
100 4.11409899 3.5663342 3.56220442 3.7874669 3.1087077 3.9488028
1000 11.55492780 11.6148400 11.56480515 11.5837246 11.5594279 11.5459556
10000 6.67060685 6.7668296 6.55746368 6.7167959 6.6988751 6.5683288
10001 4.62057808 4.4681030 4.18025242 4.2695265 4.5626354 4.5635073
10003 4.41970137 4.2649532 4.43742110 3.5651285 4.2195291 4.1335347
100037417 2.12080165 2.3610415 2.45813625 1.8111389 2.1806983 1.7022202
100049716 1.93223038 2.2968362 1.56959504 1.2711502 2.9898719 2.4231749
10005 3.89043489 3.5663342 3.76351609 2.9397293 3.5051718 3.8815667
10006 6.61155431 6.3936175 6.40233793 6.5446203 6.3941627 6.4877273
10007 5.39259853 4.7336285 4.97826972 4.6555304 4.8623484 5.1346608
10009 4.87754940 5.0580435 5.25139450 5.2857109 5.4699061 5.2634902
100093630 4.25498266 4.1785112 3.81622632 3.2697585 3.9278349 3.9267371
1001 5.09559540 4.6842897 4.65560908 5.0767819 4.5060193 4.7383766
10010 5.04990888 5.3387658 5.29846968 5.7524603 5.1844089 4.9168861
100101267 2.38888811 2.2296398 1.14415007 1.3965265 2.3828859 1.8025659
100101467 5.10307111 4.4826064 4.36850044 4.1499649 4.3049800 4.0543361
10011 5.72850873 5.5393869 5.50523337 5.5310587 5.4846320 5.3238328
100113386 2.23408050 2.5381098 1.30032517 2.0588650 1.6643043 0.1947506
100113397 1.63501307 1.0048343 1.30032517 1.6186760 1.7642448 1.3509787
100113407 4.37099187 4.4534523 4.23934983 3.9800714 4.3049800 3.9488028
100125288 1.86346736 0.8343809 2.24397637 1.8111389 0.6582180 1.4778009
100127983 0.89720305 1.5366488 2.31895130 2.6179470 3.0701732 3.0721980
100128006 3.13590505 2.5381098 2.45813625 2.4545358 2.4444402 2.8082229
100128016 1.36344904 0.6410561 0.96899304 0.6201329 1.6643043 1.0580228
100128025 -0.69198904 -1.1799596 1.14415007 -0.1850394 -0.5805312 0.1947506
100128054 0.20402525 1.6437728 1.30032517 0.6201329 1.0234963 0.6900158
100128071 0.75259084 1.0048343 0.53814464 -0.5983817 1.3147236 -0.1358415
100128191 0.89720305 1.4209280 2.31895130 1.8111389 0.8523870 2.7591186
100128252 -1.17995959 -1.1799596 -1.17995959 -1.1799596 -1.1799596 -1.1799596
100128379 -1.17995959 0.6410561 -1.17995959 -1.1799596 -1.1799596 -1.1799596
100128398 4.51244802 4.2816370 3.91619896 3.9186832 4.0115641 4.0130445
100128494 3.54008072 3.5933145 2.80965601 3.4249894 3.3205160 3.3950662
100128569 1.14907965 1.1572599 1.14415007 1.1338321 1.7642448 2.0674884
100128640 0.59185151 -1.1799596 -0.07896917 -0.1850394 -0.5805312 1.2119240
100128682 1.36344904 1.2951091 1.30032517 -0.1850394 2.6147582 2.2204347
100128731 6.22633207 5.9370232 6.26213683 6.4246247 6.2763897 6.2238509
100128766 -0.69198904 -0.1703835 0.53814464 -1.1799596 0.4337911 0.4635322
100128782 2.33910873 2.4225109 1.89773177 1.2711502 2.1064743 2.6009032
100128822 3.04567837 2.7921019 1.99238917 1.8111389 2.3828859 1.9844712
100128833 2.06064218 2.0850595 2.95777141 2.8105009 2.4444402 1.7022202
100128881 2.23408050 1.9243596 2.64457594 1.8111389 2.2512898 1.8025659
100128893 4.97039471 5.1242886 5.06794407 4.2530410 4.9284672 4.9168861
100129001 0.59185151 0.4177570 -0.07896917 0.1358705 0.4337911 0.6900158
100129013 2.28755016 2.2296398 2.58506682 2.5110879 2.1806983 1.9844712
100129029 0.20402525 0.1534522 0.76959307 0.1358705 0.4337911 1.2119240
100129060 3.32678282 3.0860586 3.32817496 3.1679129 3.2873044 2.8557108
100129075 2.17855261 1.5366488 1.56959504 0.9820557 0.8523870 1.2119240
100129195 1.26024232 2.0850595 2.58506682 2.0588650 1.8577083 1.2119240
100129203 1.14907965 1.4209280 -1.17995959 0.9820557 0.4337911 0.4635322
100129250 1.79126215 2.0069459 1.30032517 2.2031526 1.5569218 1.0580228
100129259 1.45976297 -0.5886059 1.30032517 0.9820557 -1.1799596 0.1947506
100129361 5.50408860 5.4827961 5.43112578 5.4098809 5.8168649 5.3736193
100129398 1.02863120 -1.1799596 0.76959307 -0.5983817 0.4337911 0.6900158
100129434 1.79126215 1.4209280 2.16489047 2.6685480 2.6673378 2.2204347
100129461 1.55004743 0.8343809 0.26233556 0.6201329 0.1679036 0.6900158
100129484 2.28755016 0.8343809 0.96899304 0.3982258 1.7642448 0.8857217
100129550 4.02245363 3.9883424 3.56220442 3.4826886 3.3847302 3.9705361
100129583 1.45976297 0.4177570 1.44123320 0.3982258 2.2512898 0.8857217
100129662 1.79126215 0.8343809 0.76959307 0.1358705 0.8523870 0.1947506
100129707 0.75259084 0.1534522 0.26233556 -0.1850394 -0.1583148 0.4635322
100129716 0.89720305 0.8343809 1.44123320 -0.5983817 0.6582180 0.8857217
100129726 0.20402525 0.1534522 -0.07896917 -0.1850394 -1.1799596 -1.1799596
100129774 4.45518373 3.9883424 3.84187642 3.0198681 4.0115641 4.0338380
100129781 0.59185151 -0.5886059 1.44123320 -0.1850394 -1.1799596 0.8857217
100129792 -0.32800772 -0.5886059 -0.07896917 -0.5983817 0.4337911 0.4635322
100129794 0.41093130 1.6437728 1.56959504 0.1358705 0.4337911 1.3509787
100129842 2.12080165 0.6410561 0.26233556 0.8124139 1.1764460 1.0580228
100129917 1.93223038 2.1591600 0.96899304 1.2711502 1.0234963 1.8025659
100129924 0.41093130 -0.1703835 0.53814464 -0.5983817 -0.5805312 0.6900158
100129940 0.20402525 0.4177570 0.53814464 0.9820557 2.1064743 1.3509787
100129995 -0.32800772 1.5366488 0.53814464 0.8124139 0.4337911 1.8025659
10013 5.89279199 6.0089228 5.97973371 5.8652220 5.8284556 5.7135688
100130111 1.93223038 1.7434894 0.26233556 1.6186760 1.3147236 1.7022202
100130197 -0.69198904 -0.1703835 0.26233556 0.1358705 0.1679036 0.6900158
100130335 3.89043489 3.3301395 3.46651408 3.6681959 4.1838794 3.8584398
100130348 2.61487834 2.5381098 3.13421582 1.1338321 2.8144724 2.5440589
100130357 1.63501307 1.1572599 1.30032517 -0.1850394 1.8577083 -0.1358415
100130466 3.19306633 2.8823739 3.00394647 2.8548757 3.3205160 3.1118535
100130476 -1.17995959 0.8343809 0.76959307 -0.1850394 0.4337911 -0.5654357
100130522 1.45976297 0.4177570 -1.17995959 0.6201329 1.3147236 -1.1799596
100130550 0.59185151 0.1534522 0.96899304 -0.1850394 1.0234963 0.4635322
100130564 2.48357266 3.0080006 3.29141331 2.5655066 3.6944138 3.0721980
100130581 0.20402525 -0.1703835 -1.17995959 0.3982258 -1.1799596 -0.5654357
100130691 2.06064218 1.4209280 2.45813625 1.1338321 0.4337911 2.0674884
100130705 2.23408050 2.4225109 2.52299703 2.3343126 2.1806983 1.0580228
100130748 2.28755016 0.6410561 1.44123320 0.9820557 1.5569218 1.4778009
100130750 1.99786452 1.4209280 1.30032517 1.6186760 1.3147236 1.8025659
100130855 1.55004743 1.1572599 1.89773177 1.5118729 2.3828859 1.8963836
100130958 0.89720305 1.1572599 1.89773177 0.6201329 0.6582180 1.2119240
100131017 3.27477380 2.8823739 2.75670071 1.5118729 2.6673378 2.4848826
100131031 1.02863120 0.8343809 1.30032517 -0.1850394 2.1806983 0.4635322
100131033 1.02863120 1.1572599 0.76959307 1.5118729 1.0234963 0.8857217
100131067 2.28755016 1.7434894 1.56959504 1.8111389 2.1064743 2.1459874
100131089 2.23408050 2.7447553 3.13421582 2.3956761 2.1064743 2.9894593
100131094 0.59185151 -0.5886059 0.53814464 0.6201329 0.1679036 1.4778009
100131138 3.24804887 3.0475575 2.24397637 2.6685480 2.7180684 2.2912280
100131187 0.89720305 1.5366488 0.96899304 0.6201329 1.8577083 -0.1358415
100131193 3.07638520 3.5108110 3.36402310 2.7174341 3.5893321 3.6587270
100131211 3.27477380 3.1957562 3.09208628 3.4541274 2.8603616 2.9016852
100131213 2.88150161 2.3610415 2.45813625 2.2031526 2.7670755 2.7591186
100131471 2.43700702 1.1572599 1.89773177 1.8111389 2.0282234 2.2204347
100131656 3.47242577 3.0080006 3.17514992 3.5651285 3.0701732 3.1504480
100131685 1.71525187 2.0850595 1.14415007 2.1328118 1.8577083 2.3587094
100131691 2.43700702 1.7434894 1.99238917 0.9820557 1.7642448 2.0674884
100131740 0.75259084 -0.5886059 0.76959307 0.1358705 0.4337911 0.6900158
100131801 2.57242391 3.1957562 2.64457594 2.8979263 2.2512898 2.8082229
100131827 0.89720305 1.2951091 0.96899304 1.3965265 1.6643043 0.1947506
100131828 0.20402525 -1.1799596 -0.07896917 0.8124139 0.1679036 0.6900158
100131940 1.02863120 2.5926116 2.24397637 2.2031526 2.2512898 1.4778009
100132074 0.89720305 0.6410561 -0.52689086 1.2711502 0.6582180 0.6900158
100132086 0.41093130 -0.1703835 0.53814464 -0.1850394 0.4337911 -1.1799596
100132116 6.54998109 6.9580024 7.25559910 6.9748053 7.3726689 7.2752185
100132126 0.75259084 0.1534522 0.26233556 0.6201329 -1.1799596 -0.5654357
100132215 1.45976297 1.6437728 0.76959307 0.1358705 1.8577083 0.4635322
100132537 1.63501307 1.0048343 2.31895130 1.9809221 2.4444402 1.5943699
100132609 1.14907965 -0.1703835 -0.07896917 1.6186760 0.6582180 0.8857217
100132659 0.20402525 0.4177570 0.26233556 -0.5983817 0.4337911 0.1947506
100132891 -1.17995959 -0.1703835 -0.07896917 0.1358705 0.8523870 -1.1799596
100132972 0.59185151 1.1572599 0.76959307 0.3982258 -0.1583148 0.8857217
100133234 0.41093130 0.8343809 0.26233556 0.3982258 1.0234963 -0.5654357
100133286 -0.69198904 -0.5886059 0.53814464 -0.5983817 0.8523870 0.8857217
100133315 1.26024232 0.1534522 -0.07896917 -0.1850394 0.6582180 1.2119240
100134934 1.36344904 1.6437728 2.39022162 1.3965265 0.8523870 1.4778009
10014 6.08625383 6.1336295 6.03637352 5.8099425 5.8905916 6.1352235
100144603 0.20402525 -0.1703835 0.26233556 -0.5983817 -0.5805312 1.0580228
100144748 3.07638520 1.4209280 1.30032517 0.9820557 1.3147236 1.7022202
10015 7.84069305 7.7369352 7.53258268 7.6585078 7.7146675 7.6532852
10016 5.11050829 5.3703059 5.41412737 5.1319185 5.1478694 5.1442543
100170229 0.89720305 0.4177570 -1.17995959 0.8124139 0.1679036 1.3509787
100170841 2.65611909 4.0284344 3.21495456 3.7170937 3.4759909 3.4268568
10018 3.42549301 3.3618667 3.70880677 3.3952507 3.3205160 2.8082229
100188847 1.14907965 0.4177570 1.68746336 0.9820557 1.8577083 1.4778009
10019 3.92458932 3.8385368 3.96370196 4.5243028 3.6944138 4.0543361
100190938 1.86346736 1.9243596 2.31895130 1.8111389 2.1064743 2.2204347
1002 1.55004743 1.1572599 1.14415007 0.8124139 0.8523870 1.0580228
10020 3.37698198 3.7692450 3.89184774 3.7874669 3.7923587 4.2799725
10021 8.01922726 8.0810813 8.00657475 7.8239030 7.9450810 8.0817470
10023 2.23408050 2.0850595 1.14415007 1.8111389 0.6582180 1.8025659
10024 -1.17995959 3.3929112 3.70880677 2.6685480 3.5051718 3.6317009
10026 6.06344303 6.2778121 6.13303787 5.9236786 6.2114785 6.3411078
100268168 1.45976297 1.0048343 2.52299703 1.1338321 2.0282234 2.4231749
100270804 1.63501307 1.4209280 1.30032517 1.6186760 -1.1799596 1.9844712
100270827 0.20402525 -0.1703835 0.26233556 -1.1799596 -1.1799596 0.6900158
100270840 4.39555218 4.2137119 4.18025242 4.4099862 3.9703069 3.9919469
100270854 3.89043489 4.1605834 3.94014596 4.0195921 4.1286966 4.5491353
100270865 5.18988262 4.7091700 5.10018520 5.1675393 5.0816102 5.1442543
100271271 2.98223159 3.1957562 1.99238917 3.0583277 2.5034754 2.6009032
100271332 -0.32800772 -1.1799596 -1.17995959 -1.1799596 -0.1583148 -1.1799596
100271415 2.43700702 1.6437728 1.44123320 1.1338321 1.5569218 1.3509787
100271479 1.45976297 -0.1703835 1.14415007 0.9820557 -0.1583148 -0.1358415
100271884 -0.03760376 0.4177570 0.96899304 0.3982258 0.8523870 -0.1358415
100272147 1.86346736 1.9243596 2.16489047 1.3965265 1.1764460 1.9844712
100286844 1.26024232 1.5366488 2.31895130 0.1358705 1.1764460 1.0580228
100287015 1.36344904 2.5381098 1.79642493 2.1328118 1.9454836 1.3509787
100287049 1.02863120 1.4209280 0.76959307 0.8124139 0.8523870 1.0580228
100287074 0.41093130 0.4177570 0.96899304 0.3982258 0.8523870 1.3509787
100287616 3.56194524 3.6964564 3.17514992 3.9800714 3.4759909 3.6041588
100287722 1.63501307 1.9243596 1.30032517 1.2711502 0.8523870 1.3509787
100287808 1.55004743 -1.1799596 -0.07896917 -0.1850394 0.4337911 -0.1358415
100287837 0.59185151 0.4177570 -0.52689086 -0.1850394 0.1679036 -1.1799596
100287896 2.52868219 2.4225109 2.80965601 1.8985267 2.7670755 1.2119240
100287902 0.75259084 0.8343809 0.76959307 -0.1850394 0.8523870 -0.5654357
100287928 2.57242391 2.2296398 2.64457594 1.8111389 2.5601895 1.9844712
100287932 5.21079316 5.0772831 4.62638796 5.2775837 5.0423351 4.9717969
100288001 2.73522394 2.6958021 2.52299703 0.9820557 2.7180684 2.6009032
100288073 2.91586567 3.1957562 3.04868937 2.8105009 3.1828198 3.5474452
100288123 -0.03760376 1.5366488 1.30032517 0.6201329 1.6643043 1.5943699
100288198 1.45976297 1.8367571 1.56959504 1.5118729 1.8577083 1.9844712
100288241 -1.17995959 -1.1799596 -1.17995959 -1.1799596 -1.1799596 -1.1799596
100288413 2.84629900 2.7921019 3.09208628 3.1679129 3.3529803 2.7082839
100288513 1.02863120 -0.1703835 0.53814464 0.9820557 0.6582180 -0.1358415
100288842 1.71525187 1.0048343 0.53814464 1.8985267 1.8577083 1.7022202
100289061 1.86346736 2.0850595 1.44123320 2.0588650 2.2512898 1.8025659
100289095 0.20402525 0.8343809 -1.17995959 -0.1850394 -1.1799596 0.1947506
100289133 3.62561825 4.0284344 4.09749061 4.2530410 4.1286966 4.2624603
100289178 2.57242391 3.0080006 2.16489047 2.3343126 2.4444402 3.2246712
100289211 2.43700702 2.2968362 1.14415007 0.6201329 1.3147236 -0.5654357
100289259 0.41093130 1.0048343 0.96899304 0.6201329 0.4337911 0.4635322
100289274 2.28755016 2.0069459 1.99238917 2.1328118 2.5034754 2.0674884
100289341 2.06064218 1.8367571 1.44123320 1.3965265 1.3147236 1.3509787
100289373 1.99786452 -0.5886059 0.26233556 1.1338321 1.3147236 1.7022202
100289388 1.14907965 1.5366488 0.26233556 0.8124139 1.0234963 1.3509787
100289414 -0.32800772 0.8343809 0.53814464 -1.1799596 0.4337911 0.4635322
100289635 5.41679680 5.3858211 5.67181316 5.2446090 5.8168649 5.3322508
100289640 0.89720305 1.6437728 1.14415007 1.2711502 1.6643043 1.5943699
100289678 3.51787973 2.9254764 2.95777141 2.7174341 3.4462075 2.9894593
100293516 3.64623305 3.2645120 3.53100757 3.2026664 3.6163287 2.9894593
100294362 1.71525187 1.4209280 1.56959504 1.6186760 1.9454836 1.2119240
1003 0.89720305 2.5381098 3.49912118 3.4249894 2.3828859 2.7591186
100302692 3.16476877 2.5381098 1.99238917 2.3343126 2.6673378 2.4848826
100302736 1.02863120 1.9243596 0.96899304 1.5118729 1.6643043 1.9844712
100303728 2.61487834 2.6958021 2.91006946 2.1328118 2.3185878 2.3587094
100303755 1.02863120 1.6437728 -0.52689086 -0.1850394 0.1679036 1.3509787
100312828 0.59185151 1.4209280 0.76959307 -0.1850394 1.5569218 -0.5654357
100312850 0.20402525 -0.1703835 -1.17995959 1.3965265 0.8523870 0.8857217
10036 3.22081951 4.7457040 4.48703343 4.4965616 4.4319741 4.3808038
100379345 0.59185151 1.1572599 1.44123320 1.3965265 1.3147236 1.2119240
10038 5.26511673 5.1426702 4.78023969 5.0953959 5.4772879 5.0956358
100381270 1.45976297 0.8343809 0.96899304 0.6201329 0.8523870 0.8857217
10039 3.24804887 3.2305436 4.07603645 3.3952507 3.1087077 2.9894593
1004 2.06064218 1.6437728 1.68746336 1.8111389 1.6643043 2.0674884
10040 4.61012256 4.1605834 4.29612139 4.7048521 3.9492272 4.0543361
100418710 1.02863120 -0.5886059 0.96899304 0.8124139 1.5569218 0.6900158
100418735 0.59185151 1.4209280 1.56959504 1.7181145 1.5569218 1.5943699
100418744 0.41093130 2.0069459 2.24397637 2.4545358 2.6147582 1.7022202
100418770 -0.03760376 -1.1799596 -0.52689086 -1.1799596 -0.1583148 -1.1799596
100418781 2.77320713 2.3610415 2.52299703 2.7174341 2.8144724 2.5440589
100418819 1.86346736 2.1591600 1.30032517 1.8985267 2.1064743 1.5943699
100418829 2.06064218 2.7447553 2.16489047 2.1328118 2.2512898 2.2204347
100418888 1.45976297 0.8343809 0.96899304 1.3965265 0.4337911 0.1947506
100418889 2.61487834 2.4814678 2.58506682 2.8979263 3.0701732 1.8963836
100418910 1.14907965 2.1591600 0.76959307 1.8985267 1.0234963 0.8857217
100418919 1.71525187 2.2968362 1.79642493 2.6179470 2.5034754 2.5440589
100419028 2.28755016 1.5366488 1.68746336 2.0588650 1.5569218 -0.1358415
100419185 0.59185151 0.4177570 0.53814464 1.2711502 -0.5805312 1.2119240
100419416 1.36344904 1.1572599 1.30032517 1.2711502 1.6643043 0.1947506
100419515 -0.32800772 0.4177570 0.26233556 0.8124139 -0.5805312 -0.5654357
100419645 0.59185151 -0.1703835 -0.52689086 -1.1799596 -0.1583148 1.4778009
100419758 1.71525187 0.8343809 1.56959504 1.3965265 1.3147236 0.6900158
100419928 1.36344904 1.1572599 0.53814464 0.8124139 0.8523870 1.3509787
10042 4.71141681 4.9263135 4.88264984 5.0579246 5.0121608 5.0246941
100420028 -0.32800772 -0.5886059 0.76959307 0.1358705 -1.1799596 0.8857217
100420050 -0.32800772 -0.1703835 -0.07896917 -0.1850394 0.1679036 0.4635322
100420110 3.24804887 3.1957562 3.09208628 3.1679129 3.5051718 3.0721980
100420187 -0.32800772 1.1572599 -1.17995959 0.1358705 0.1679036 0.1947506
100420259 3.70636686 4.0284344 3.79011192 4.3178818 4.2018144 4.2267849
100420307 1.55004743 1.0048343 0.96899304 0.8124139 1.0234963 0.8857217
100420341 5.37417970 5.5736611 5.61343983 5.4393225 5.2462073 5.6065957
100420423 -0.03760376 0.4177570 0.53814464 0.1358705 0.8523870 0.4635322
100420591 0.59185151 0.1534522 0.53814464 -0.5983817 0.8523870 0.6900158
100420707 2.69621362 2.5926116 2.39022162 2.7647178 3.1087077 2.3587094
100420752 1.45976297 1.6437728 1.56959504 1.5118729 1.5569218 1.4778009
100420869 3.85545225 3.7211296 4.16000279 3.5651285 4.4470903 3.9043287
100420981 5.95608107 5.8942694 5.94465078 6.0906992 6.1388613 5.9452446
100421093 3.62561825 3.9678706 3.59274093 3.9999671 3.7442173 3.7113062
100421109 -0.03760376 -0.5886059 1.14415007 -0.5983817 -0.5805312 0.4635322
100421160 0.20402525 1.0048343 0.53814464 0.1358705 -0.5805312 -1.1799596
100421175 0.41093130 -0.1703835 0.26233556 0.1358705 -1.1799596 -1.1799596
100421246 -0.69198904 0.4177570 0.53814464 0.6201329 0.8523870 -0.1358415
100421311 0.59185151 -0.1703835 1.89773177 1.3965265 0.4337911 1.0580228
100421372 0.20402525 2.0850595 1.68746336 1.6186760 2.1806983 1.0580228
100421400 2.06064218 2.2296398 1.99238917 2.5655066 1.5569218 1.3509787
100421415 0.59185151 -0.1703835 0.53814464 0.8124139 0.6582180 0.4635322
100421429 -1.17995959 0.4177570 1.14415007 0.1358705 -1.1799596 0.4635322
100421465 0.89720305 1.8367571 0.76959307 0.1358705 1.5569218 1.4778009
100421468 2.17855261 2.4814678 2.70172733 2.3956761 1.6643043 2.3587094
100421506 0.89720305 0.1534522 -0.52689086 0.3982258 0.4337911 0.6900158
100421569 0.89720305 2.0850595 0.26233556 -1.1799596 -0.1583148 0.4635322
100421595 0.20402525 -1.1799596 -1.17995959 -0.1850394 -0.5805312 -1.1799596
100421794 -0.69198904 -1.1799596 -1.17995959 -1.1799596 -1.1799596 -1.1799596
100422106 1.36344904 1.9243596 1.99238917 0.6201329 0.8523870 1.3509787
100422338 2.12080165 2.4225109 2.08121651 2.5655066 2.7180684 2.5440589
100422546 -0.03760376 1.0048343 1.44123320 1.3965265 -0.5805312 0.4635322
100422561 3.07638520 3.6713540 3.65194073 3.5915938 3.5051718 3.3293030
10043 5.50972448 5.6203168 5.35300436 5.4320182 5.0323470 5.3238328
10044 -1.17995959 2.2296398 2.45813625 1.1338321 2.8603616 1.8963836
10045 1.02863120 0.8343809 1.56959504 1.1338321 0.6582180 0.8857217
10046 1.93223038 2.2296398 1.30032517 0.6201329 2.0282234 2.4848826
10048 6.48851926 6.4088853 6.23819088 6.5378314 6.7051759 6.4222061
10049 6.13082115 5.8219732 5.86557811 6.0906992 6.0770441 5.7949985
100499177 3.13590505 3.3929112 3.21495456 3.1323014 3.8158401 3.6041588
100499483 2.28755016 2.3610415 2.58506682 1.1338321 2.7670755 2.1459874
1005 -0.32800772 -0.1703835 0.53814464 0.3982258 -1.1799596 -1.1799596
100500719 0.20402525 0.8343809 0.53814464 -0.1850394 -0.1583148 0.4635322
100505385 3.66655743 2.8379438 3.04868937 3.0957886 3.4157963 3.5182298
100505501 1.36344904 0.4177570 -1.17995959 0.8124139 1.1764460 0.6900158
100505538 2.06064218 1.6437728 1.30032517 1.3965265 0.6582180 0.1947506
100505549 1.26024232 1.4209280 0.96899304 0.9820557 0.8523870 1.5943699
100505573 6.01274642 5.7518615 5.62825607 5.6043706 5.4846320 5.9507222
100505576 1.55004743 2.1591600 2.39022162 1.3965265 1.1764460 -0.1358415
100505616 -0.69198904 -0.1703835 -1.17995959 -0.5983817 0.4337911 -0.5654357
100505624 1.71525187 1.5366488 1.68746336 1.8985267 1.0234963 1.7022202
100505635 1.93223038 1.5366488 1.44123320 1.3965265 0.8523870 0.8857217
100505641 1.99786452 2.1591600 1.68746336 2.6179470 2.0282234 1.8963836
100505648 2.52868219 2.9673285 2.95777141 1.9809221 1.5569218 1.9844712
100505678 2.12080165 2.4814678 1.79642493 1.8111389 1.4408993 1.5943699
100505696 5.15434378 4.7091700 4.69836012 4.2530410 4.6696088 4.3644804
100505715 1.02863120 -0.1703835 -0.52689086 -0.1850394 0.4337911 -0.5654357
100505738 -1.17995959 -1.1799596 -1.17995959 -1.1799596 -1.1799596 -1.1799596
100505741 1.86346736 1.6437728 2.08121651 1.8985267 1.3147236 1.8025659
100505758 3.58348333 3.2305436 3.13421582 2.9397293 3.1828198 3.4268568
100505761 3.10645205 3.0860586 2.95777141 2.1328118 2.8144724 2.9462396
100505771 1.45976297 2.0069459 1.14415007 0.3982258 0.4337911 1.8963836
100505783 2.91586567 1.6437728 1.99238917 2.2702226 2.3828859 1.7022202
100505806 5.46400872 5.3467157 5.43112578 5.3645602 5.2548234 5.7766108
100505812 -0.03760376 0.4177570 0.53814464 0.8124139 0.8523870 1.0580228
100505832 0.20402525 0.4177570 0.96899304 -0.1850394 0.4337911 0.4635322
100505854 3.90761318 3.5108110 3.76351609 2.6685480 3.3529803 3.3625593
100505876 2.28755016 2.0069459 2.31895130 2.0588650 2.7670755 2.4848826
100505894 2.88150161 2.8379438 2.45813625 2.6685480 2.8144724 2.1459874
100505933 0.59185151 -0.1703835 -1.17995959 -0.5983817 -1.1799596 -1.1799596
100505994 1.79126215 2.1591600 0.96899304 1.3965265 0.1679036 1.3509787
100506020 1.86346736 1.1572599 1.44123320 1.2711502 0.1679036 0.6900158
100506033 4.86880495 5.0676953 4.89495469 4.1499649 4.8396178 4.8003666
100506054 1.79126215 1.7434894 1.99238917 2.3956761 0.6582180 2.2912280
100506068 1.93223038 1.5366488 0.76959307 0.9820557 0.8523870 1.7022202
100506070 2.43700702 1.5366488 2.31895130 1.7181145 2.1806983 0.4635322
100506083 0.41093130 0.6410561 -0.07896917 -0.5983817 1.1764460 -0.1358415
100506100 0.89720305 -0.5886059 -0.07896917 -0.1850394 0.4337911 0.4635322
100506119 1.71525187 1.2951091 2.31895130 1.3965265 -0.1583148 0.8857217
100506127 2.12080165 1.1572599 1.44123320 1.5118729 1.4408993 0.8857217
100506142 0.59185151 0.4177570 -0.52689086 0.1358705 0.1679036 -1.1799596
100506144 1.36344904 2.0850595 0.96899304 2.3343126 1.9454836 0.8857217
100506161 0.41093130 0.8343809 -0.52689086 -0.1850394 0.4337911 0.1947506
100506211 2.69621362 2.6958021 3.43315294 3.1323014 2.7670755 2.8557108
100506235 1.55004743 -0.1703835 1.30032517 0.3982258 1.0234963 1.0580228
100506258 -0.32800772 -1.1799596 0.53814464 -0.1850394 1.3147236 0.6900158
100506282 3.10645205 2.6451293 2.31895130 2.2031526 2.7670755 2.0674884
100506286 1.86346736 1.1572599 -1.17995959 0.8124139 0.8523870 0.4635322
100506302 2.23408050 0.4177570 1.44123320 1.1338321 0.4337911 2.0674884
100506321 0.75259084 1.0048343 0.53814464 1.1338321 0.6582180 0.6900158
100506325 1.71525187 1.0048343 0.96899304 0.3982258 0.4337911 1.5943699
100506343 1.36344904 1.4209280 0.53814464 0.1358705 1.3147236 0.4635322
100506365 5.52093060 5.4388468 5.06794407 5.0388176 5.2200457 5.5996390
100506368 0.59185151 -1.1799596 -0.07896917 0.3982258 -0.1583148 0.4635322
100506380 2.81021590 2.3610415 2.91006946 2.6179470 2.8603616 3.3293030
100506392 2.98223159 3.3301395 3.21495456 3.0957886 3.1462396 2.7591186
100506394 2.12080165 1.4209280 1.56959504 1.6186760 1.3147236 1.0580228
100506411 1.45976297 0.8343809 0.53814464 1.3965265 1.6643043 1.3509787
100506433 3.68659945 2.4814678 2.58506682 2.2702226 2.5034754 2.4231749
100506462 0.75259084 1.5366488 0.76959307 0.9820557 1.3147236 1.2119240
100506469 4.32058015 4.2816370 4.48703343 4.1320462 4.2018144 4.4129067
100506495 0.41093130 -0.1703835 0.53814464 1.2711502 -1.1799596 -0.1358415
100506504 0.75259084 1.5366488 0.53814464 1.6186760 2.6147582 2.0674884
100506540 1.02863120 1.5366488 0.26233556 0.8124139 0.6582180 1.3509787
100506581 1.02863120 1.8367571 0.96899304 0.8124139 1.3147236 0.6900158
100506606 0.20402525 0.1534522 0.26233556 1.2711502 -1.1799596 1.7022202
100506658 2.98223159 3.2645120 2.95777141 3.4541274 2.5601895 2.4848826
100506668 2.73522394 3.0080006 2.58506682 2.8105009 1.1764460 2.5440589
100506686 1.45976297 2.1591600 0.96899304 1.6186760 2.2512898 0.4635322
100506691 0.89720305 -0.5886059 0.26233556 -0.1850394 0.6582180 -0.5654357
100506696 1.71525187 2.2296398 1.99238917 -0.1850394 2.3828859 1.8963836
100506697 -0.32800772 1.4209280 -0.07896917 1.5118729 0.6582180 1.2119240
100506710 6.81188244 6.5737501 6.57668725 6.5747813 6.5102573 6.4611074
100506713 -0.32800772 -0.5886059 -1.17995959 -0.1850394 -0.5805312 0.1947506
100506725 3.32678282 2.5926116 3.53100757 2.8105009 3.1087077 3.4884105
100506731 1.93223038 1.1572599 0.26233556 2.2031526 2.4444402 1.3509787
100506757 -0.32800772 0.6410561 -1.17995959 -0.5983817 -1.1799596 -1.1799596
100506779 1.02863120 0.1534522 0.53814464 0.6201329 1.1764460 -0.5654357
100506804 0.20402525 0.6410561 0.26233556 0.8124139 0.1679036 0.4635322
100506826 2.12080165 1.4209280 1.89773177 1.7181145 1.4408993 2.0674884
100506844 2.38888811 2.9254764 2.31895130 2.3956761 1.6643043 1.7022202
100506866 6.32872083 6.5737501 6.36744077 5.8597884 6.3465893 6.4378927
100506881 0.41093130 1.0048343 -0.07896917 0.1358705 1.1764460 0.8857217
100506885 -0.69198904 0.4177570 -1.17995959 -0.1850394 -1.1799596 0.4635322
100506911 0.59185151 0.4177570 -0.52689086 0.8124139 0.1679036 -0.1358415
100506922 0.59185151 1.1572599 -1.17995959 0.6201329 0.8523870 -0.5654357
100506930 3.94136803 3.5933145 4.07603645 3.7643885 3.7195305 4.0338380
100506994 0.75259084 -0.5886059 0.53814464 0.3982258 1.1764460 0.8857217
100507003 1.71525187 2.4814678 2.58506682 1.6186760 2.3828859 1.9844712
100507032 1.02863120 1.1572599 2.08121651 2.4545358 2.0282234 2.6009032
100507034 3.35210073 3.3618667 3.39900204 3.3952507 2.6673378 2.8557108
100507050 0.59185151 -1.1799596 -1.17995959 -1.1799596 -1.1799596 -1.1799596
100507053 1.93223038 0.4177570 1.44123320 1.3965265 1.3147236 1.3509787
100507057 1.14907965 0.1534522 0.53814464 0.8124139 1.5569218 0.1947506
100507062 1.14907965 1.0048343 0.53814464 0.1358705 -0.1583148 -0.1358415
100507071 0.59185151 1.5366488 -0.52689086 0.6201329 0.4337911 1.3509787
100507156 3.13590505 2.7921019 3.09208628 3.4826886 2.9479804 2.6009032
100507171 2.52868219 1.5366488 2.95777141 2.6179470 2.7670755 2.0674884
100507173 -0.69198904 -0.1703835 0.53814464 0.1358705 0.6582180 0.4635322
100507178 0.59185151 1.8367571 0.96899304 0.8124139 0.6582180 1.8025659
100507244 0.59185151 1.1572599 0.76959307 1.3965265 0.8523870 0.8857217
100507246 2.73522394 2.5381098 2.64457594 2.3956761 2.2512898 2.5440589
100507250 0.20402525 -0.1703835 0.53814464 -0.5983817 0.8523870 -0.5654357
100507254 -0.03760376 0.4177570 0.26233556 -0.1850394 -1.1799596 0.6900158
100507266 1.36344904 1.0048343 0.76959307 -0.5983817 1.3147236 1.2119240
100507290 4.35855312 4.5111830 3.84187642 4.5379759 4.1657186 3.7867479
100507291 1.55004743 0.4177570 1.14415007 2.0588650 1.0234963 1.4778009
100507303 2.77320713 3.2645120 2.75670071 2.6179470 3.3529803 2.2204347
100507308 0.75259084 0.1534522 0.53814464 -0.1850394 -0.1583148 0.8857217
100507316 0.75259084 2.1591600 0.96899304 0.3982258 1.6643043 0.4635322
100507331 2.77320713 1.5366488 1.68746336 0.9820557 1.6643043 1.8963836
100507347 1.63501307 1.7434894 0.53814464 0.8124139 1.6643043 1.2119240
100507373 2.61487834 1.9243596 1.14415007 1.3965265 1.5569218 1.9844712
100507392 2.17855261 1.1572599 1.44123320 1.1338321 1.0234963 0.1947506
100507398 0.75259084 -0.1703835 1.30032517 0.6201329 0.8523870 -1.1799596
100507401 0.41093130 0.8343809 1.14415007 0.3982258 1.1764460 1.2119240
100507420 1.79126215 0.1534522 0.53814464 1.1338321 1.5569218 1.2119240
100507433 1.45976297 0.4177570 0.53814464 -0.1850394 0.4337911 1.5943699
100507436 -0.32800772 -0.5886059 -1.17995959 -0.1850394 -1.1799596 -0.1358415
100507437 1.86346736 1.6437728 1.14415007 2.3956761 1.8577083 2.0674884
100507459 1.99786452 1.8367571 2.16489047 0.9820557 2.3185878 2.2912280
100507463 0.89720305 1.4209280 1.14415007 1.5118729 0.8523870 1.0580228
100507487 2.94943021 1.5366488 1.56959504 0.8124139 2.1806983 1.4778009
100507495 2.12080165 2.0850595 2.58506682 2.2702226 1.8577083 2.9894593
100507516 -0.32800772 -1.1799596 -1.17995959 -0.1850394 -0.1583148 -0.5654357
100507551 1.63501307 1.5366488 1.14415007 0.9820557 0.4337911 0.6900158
100507557 1.45976297 -0.1703835 0.96899304 0.8124139 1.0234963 1.2119240
100507564 -0.03760376 -1.1799596 -1.17995959 0.3982258 -1.1799596 0.1947506
100507567 1.63501307 0.6410561 1.68746336 1.5118729 1.3147236 1.7022202
100507588 -1.17995959 -0.1703835 -1.17995959 0.3982258 -0.5805312 -0.1358415
100507599 2.12080165 2.0069459 0.96899304 0.3982258 1.4408993 -0.1358415
100507602 1.99786452 2.3610415 2.08121651 1.9809221 1.4408993 2.6009032
100508120 1.63501307 2.6451293 2.64457594 1.6186760 1.4408993 2.1459874
10051 5.62844980 6.8807167 6.83478217 6.4135416 6.9972857 6.8724141
10052 1.55004743 2.0850595 0.26233556 1.3965265 1.0234963 1.3509787
100526737 1.86346736 2.2968362 2.24397637 2.3343126 2.0282234 1.0580228
100526760 0.59185151 0.8343809 0.76959307 0.6201329 0.6582180 0.8857217
100526820 -1.17995959 1.7434894 1.14415007 1.8111389 0.1679036 -0.1358415
100526835 3.35210073 1.9243596 2.39022162 1.7181145 2.7670755 1.7022202
100527978 1.45976297 0.8343809 2.24397637 0.6201329 0.1679036 0.4635322
100529145 0.75259084 2.1591600 1.99238917 1.5118729 1.4408993 0.6900158
100529215 -0.03760376 0.1534522 -1.17995959 -0.1850394 -0.1583148 -0.5654357
100532746 4.20026880 4.2816370 3.79011192 3.8976259 4.0713188 3.9043287
100533106 -0.03760376 0.4177570 0.26233556 -0.1850394 0.6582180 0.4635322
100533182 1.63501307 -0.1703835 0.53814464 -0.1850394 0.4337911 0.8857217
100533619 0.20402525 0.1534522 0.53814464 -0.5983817 -0.1583148 -0.1358415
100533629 0.41093130 0.4177570 1.14415007 0.1358705 1.1764460 0.4635322
100533695 0.75259084 -1.1799596 0.26233556 0.1358705 1.0234963 -0.1358415
100533970 0.75259084 0.4177570 1.44123320 1.1338321 1.1764460 0.6900158
100534593 2.65611909 2.4814678 1.89773177 1.7181145 2.1806983 1.8963836
10054 5.58639871 5.7578360 5.82113450 5.7108150 6.1201212 5.8370130
10056 5.67934654 5.6333745 5.70713239 5.7228368 5.8626793 5.8370130
10057 8.14496519 7.7874584 7.75138538 7.3117281 7.7592536 7.7028171
10058 5.38034547 4.7695559 3.91619896 4.5243028 4.5901315 4.5918289
10059 6.93007944 7.1944227 7.29791358 7.1205077 7.3467076 7.2420965
1006 5.98469194 4.7457040 4.91925397 4.6804020 4.5060193 4.6736029
10060 2.77320713 2.6958021 2.80965601 2.7647178 2.4444402 3.1880369
100616256 0.59185151 0.6410561 1.14415007 0.1358705 0.1679036 0.4635322
10062 1.93223038 2.6958021 2.16489047 2.6179470 3.0305812 2.9016852
10063 3.89043489 3.6197995 3.96370196 4.1320462 3.9278349 3.7620364
100652739 -1.17995959 -0.1703835 0.96899304 -0.5983817 -0.5805312 0.1947506
100652758 -0.32800772 0.1534522 0.53814464 0.6201329 0.4337911 0.4635322
100652846 2.28755016 2.0069459 1.68746336 1.3965265 1.4408993 1.9844712
10066 6.36958557 6.2902323 6.28101149 5.9997573 5.9971350 6.0561202
10067 6.45093074 6.1921603 6.14853716 6.2815955 6.1435086 6.1964470
10068 3.42549301 3.6197995 3.62264446 3.4249894 3.6688522 3.2603983
10069 4.20026880 4.4534523 4.71233351 4.7407675 4.2195291 4.6057838
10072 5.23821062 5.3387658 5.27982352 5.6864666 5.3861118 5.3322508
10073 3.87304960 4.0480703 3.70880677 3.7874669 3.5051718 3.8110432
10075 9.21110893 9.1961171 8.88326724 8.9032897 9.0845617 8.9635258
10076 5.64390824 4.8612056 5.17272547 5.2193738 5.0323470 5.1912876
10077 2.88150161 2.5381098 2.58506682 0.6201329 2.1064743 2.4848826
100775107 1.71525187 1.6437728 1.14415007 0.9820557 1.1764460 0.6900158
10078 4.84224904 4.2981301 4.29612139 4.6302225 4.6951572 4.3312689
10079 5.87106324 5.6844547 5.55260467 5.8974007 5.6828143 5.5427439
1008 6.06344303 4.0865579 4.69836012 4.0955268 4.4012581 4.4901713
10081 4.87754940 4.9577977 4.85772073 4.3019428 4.7930532 4.6332952
10082 7.53418945 7.2820185 7.36357948 7.3176854 7.2616283 7.3844889
100820829 4.46681987 4.3778805 4.35074325 3.8101819 4.2018144 4.8714012
10084 5.13259251 4.8161084 4.94315074 4.8868296 5.2288190 5.1537844
100847074 1.45976297 1.5366488 1.68746336 1.6186760 1.7642448 1.9844712
10085 9.92523967 9.8253177 9.94679460 10.0530409 9.8984764 9.9171048
100852407 1.02863120 0.1534522 0.76959307 0.6201329 -0.1583148 0.1947506
100861412 0.20402525 -0.1703835 -0.52689086 1.1338321 -1.1799596 0.4635322
100861548 4.58898141 4.1785112 4.18025242 3.9800714 3.7923587 4.0944788
100862671 0.75259084 0.4177570 1.89773177 0.9820557 0.4337911 0.1947506
10087 6.43324626 6.0139240 6.10682984 6.2065281 6.1801572 6.4649404
100873257 0.59185151 0.4177570 0.53814464 0.6201329 0.1679036 -1.1799596
100873333 3.01430374 3.0475575 2.39022162 2.8105009 3.5337742 3.0721980
100873790 3.64623305 3.9471042 3.84187642 3.4826886 4.2195291 4.1335347
100873949 0.75259084 0.6410561 0.76959307 1.2711502 0.6582180 1.5943699
100873952 -0.32800772 0.1534522 -1.17995959 0.1358705 -0.1583148 -0.1358415
100873965 2.12080165 2.0069459 1.79642493 1.8985267 1.3147236 1.8025659
100874006 0.59185151 0.4177570 0.76959307 -0.5983817 -0.1583148 1.0580228
100874008 1.63501307 1.0048343 1.30032517 1.3965265 2.1806983 1.7022202
100874014 3.40144139 2.8823739 2.70172733 1.9809221 2.6673378 3.1880369
100874058 0.75259084 0.6410561 1.14415007 -0.5983817 1.1764460 1.7022202
100874080 0.59185151 1.4209280 0.53814464 0.8124139 1.0234963 1.2119240
100874097 1.45976297 1.1572599 1.30032517 1.3965265 1.3147236 1.8963836
100874201 0.89720305 0.4177570 0.53814464 0.8124139 0.1679036 0.8857217
100874212 0.89720305 0.8343809 1.30032517 0.3982258 1.0234963 1.2119240
100874217 0.41093130 0.4177570 1.30032517 -0.1850394 1.0234963 0.6900158
100874235 1.02863120 0.6410561 1.14415007 0.1358705 0.4337911 0.4635322
100874261 0.20402525 1.5366488 -0.07896917 -1.1799596 0.6582180 0.4635322
100874291 -1.17995959 -0.1703835 0.96899304 -1.1799596 -0.1583148 -1.1799596
100874362 2.81021590 2.6451293 1.79642493 2.4545358 2.0282234 1.3509787
100874523 2.12080165 1.8367571 1.89773177 1.9809221 1.6643043 1.8963836
100885775 3.97435113 4.1785112 5.44792623 4.8868296 4.9067626 4.9825326
100885776 -0.03760376 1.0048343 0.96899304 0.1358705 1.0234963 0.8857217
100885848 4.14339787 4.6589728 4.42049715 4.7407675 4.6951572 4.6736029
1009 9.66259977 10.2185008 10.18525762 10.2392732 10.2520878 10.2439990
10090 3.81960021 3.6964564 3.32817496 3.8545663 3.6688522 3.7113062
10092 7.31190870 7.4408515 7.52666389 7.8211098 7.7980886 7.6414789
10093 6.90890918 7.2292419 7.21691518 7.3037465 7.2204330 6.9727417
10094 5.52093060 5.5804193 5.66464436 5.9494865 5.7268328 5.3322508
10095 5.86667794 6.1564232 5.89037297 6.5513775 5.9659900 5.6809838
10097 8.31634965 8.2872187 8.48581325 8.6276572 8.5158025 8.3425158
10098 7.27267083 7.0846197 7.15942437 7.4501333 7.1689380 6.9861402
10099 8.36068324 8.4856646 8.52592560 8.3577349 8.4127383 8.4479507
100996246 0.20402525 -0.1703835 0.53814464 -1.1799596 -1.1799596 -0.1358415
100996251 0.59185151 -0.1703835 -0.07896917 0.8124139 0.6582180 0.4635322
100996307 0.89720305 0.4177570 0.53814464 -0.1850394 0.1679036 -1.1799596
100996384 1.86346736 1.4209280 -1.17995959 -0.5983817 1.1764460 1.2119240
100996419 0.89720305 1.0048343 1.30032517 1.6186760 1.0234963 1.0580228
100996485 2.33910873 2.2296398 1.99238917 1.6186760 2.5601895 2.2912280
100996539 1.26024232 0.4177570 -0.07896917 0.8124139 -0.1583148 1.2119240
100996579 -1.17995959 -1.1799596 -1.17995959 -1.1799596 -1.1799596 -1.1799596
100996696 2.43700702 2.8379438 2.39022162 2.2031526 2.5034754 2.7082839
100996842 0.20402525 0.6410561 0.76959307 -0.1850394 0.4337911 1.8025659
100996851 0.75259084 -0.5886059 -1.17995959 0.8124139 -0.1583148 0.1947506
100996939 1.14907965 0.6410561 -1.17995959 0.9820557 1.0234963 0.8857217
101 3.01430374 3.0080006 1.14415007 2.0588650 2.1806983 2.0674884
1010 -1.17995959 -1.1799596 -1.17995959 -1.1799596 -1.1799596 -1.1799596
10100 5.52093060 5.7337879 6.03080856 5.6428423 5.9501616 5.8310853
10101 5.00272814 5.0187770 4.31455941 4.6429319 4.7449354 4.5635073
10102 4.29469796 4.4534523 4.59656273 4.8100223 4.6036855 4.4597602
10103 1.36344904 0.4177570 0.53814464 0.1358705 -0.1583148 1.2119240
10105 5.64902446 6.1104698 6.23335362 6.4501589 6.3057102 6.2901664
10106 7.13905429 6.8418706 6.98046515 6.7524188 7.0302810 6.8924764
101060200 3.01430374 2.5926116 3.43315294 2.1328118 2.7670755 2.7082839
101060691 2.38888811 2.4814678 2.16489047 1.6186760 2.5601895 0.8857217
10109 8.54556136 8.3782628 8.47253287 8.6701848 8.5211692 8.5353063
10112 0.89720305 5.4827961 5.31687791 4.4965616 5.1570914 5.5354716
10113 5.99276333 5.9317477 6.07473852 6.0999468 6.1573611 5.7517236
10114 7.43401021 7.5855997 7.39424148 7.6316593 7.7547046 7.4361695
101154753 0.59185151 -0.1703835 0.26233556 0.3982258 0.4337911 0.1947506
10116 7.63303508 7.6416034 7.82878702 7.7062166 7.7668035 7.5560134
10117 0.89720305 1.5366488 1.56959504 -0.1850394 1.8577083 2.2204347
1012 7.33113457 7.3782373 7.35023647 7.7182766 7.5264638 7.5667546
10121 6.15259893 6.1290272 6.07473852 6.1408431 6.0867285 5.9778023
10123 7.90518863 7.5238320 7.78152121 7.7031857 7.7224537 7.7756094
101241892 4.62057808 5.0962694 4.83235327 4.1676638 4.5764490 4.6998624
10125 1.79126215 1.7434894 2.45813625 1.8985267 1.9454836 2.2204347
10126 3.35210073 2.5926116 3.29141331 3.2026664 3.1828198 3.5474452
PFOA_24_H2 EtOH_24_H2 TUN_2_H3 THA_2_H3 DMSO_2_H3 TUN_24_H3
100 3.6933295 3.56072127 3.0764817 3.7532729 3.4857130 4.1129087
1000 11.5034832 11.51059047 11.3446907 10.9522667 11.3001356 11.5915361
10000 6.4507755 6.65029357 6.1733865 6.1498437 5.9086797 6.3206576
10001 3.9760547 4.24496037 4.6848338 4.6456807 4.1641232 4.3865076
10003 3.8307265 3.75793506 5.4762975 4.9044692 5.3423555 4.8751003
100037417 2.7417315 1.76744285 2.3157410 2.5328344 2.4848105 0.7187284
100049716 2.3731588 2.61369848 1.9628481 1.1056724 2.2329278 1.5110114
10005 3.9155545 3.83484585 3.8128146 4.2350079 4.4570084 3.7749873
10006 6.4543241 6.44072239 6.4153625 6.5885124 6.3622721 6.2987539
10007 4.9253167 5.07795405 5.3289880 4.8626684 4.9921883 4.1129087
10009 5.2855009 5.21853457 5.0566847 4.7525394 5.3182388 4.7515407
100093630 3.6933295 3.75793506 3.8778678 4.7639384 3.9918707 4.6163990
1001 4.3251817 4.14782144 6.3442504 5.9195107 6.5044255 5.9788465
10010 5.0618447 5.22807072 5.3212125 5.7635745 5.4047626 4.3009463
100101267 2.1809318 1.41344017 1.8805872 2.0273124 1.8399384 2.9387686
100101467 4.7165804 4.08623514 3.7677569 4.6456807 4.0319656 4.6163990
10011 5.3705953 5.49618528 4.9088825 5.4116150 5.0519074 5.1926823
100113386 1.2510831 0.51508248 -0.1951503 0.1148324 -0.1685557 1.5110114
100113397 1.2510831 1.65881554 1.6012553 1.4820619 0.8371126 0.7187284
100113407 4.1080739 4.45444568 2.6984444 4.2990926 3.5423312 3.8966368
100125288 2.1107097 1.76744285 -0.1951503 -0.6100097 -0.5873845 0.7187284
100127983 3.2462968 3.18330288 2.9611362 3.1690434 3.3336096 3.3328940
100128006 2.6945013 2.13494762 2.1847516 2.9064486 2.1624310 2.3947423
100128016 1.5976405 1.41344017 1.6012553 0.1148324 1.2980862 2.6922483
100128025 0.1212047 0.51508248 -1.1799596 0.3748199 -0.1685557 -1.1799596
100128054 0.7940386 0.24141048 1.1175860 1.4820619 0.1556424 2.9387686
100128071 1.4911106 0.74502545 -0.1951503 0.9546899 0.1556424 2.3947423
100128191 2.2478940 1.86846070 1.3795955 1.2423403 2.3643593 1.5110114
100128252 -1.1799596 -1.17995959 0.3847129 0.5950320 -1.1799596 -1.1799596
100128379 -0.6064956 -1.17995959 -1.1799596 -0.2025374 -0.1685557 -1.1799596
100128398 4.4863826 4.31822105 3.8128146 3.5311248 3.9081749 4.9889075
100128494 3.4014119 3.25967920 3.0764817 2.8217196 3.1270045 3.7749873
100128569 1.5976405 1.27309082 1.3795955 0.7860397 1.0076660 1.5110114
100128640 -0.1972419 -0.09662254 -1.1799596 -0.2025374 -0.5873845 -1.1799596
100128682 2.4884108 2.05147087 1.2545305 1.9495794 1.8399384 -1.1799596
100128731 6.4893386 6.55121062 6.1905594 6.2825744 6.4792700 6.5967968
100128766 0.1212047 -0.09662254 -1.1799596 -0.2025374 0.4201881 -1.1799596
100128782 1.5976405 1.96286577 1.1175860 0.9546899 1.0076660 1.5110114
100128822 2.5951330 1.54133830 1.1175860 3.3614136 2.9288950 1.5110114
100128833 2.2478940 1.86846070 2.4923096 2.8217196 2.5959756 2.9387686
100128881 2.8747979 1.54133830 1.7004979 2.1010705 1.9275673 1.5110114
100128893 5.2450977 5.16988473 4.4048370 5.2344827 4.7849066 3.8966368
100129001 0.6026424 1.11760185 0.3847129 -0.6100097 0.1556424 0.7187284
100129013 2.9966208 2.21385732 2.3770299 2.3021030 2.7955000 1.5110114
100129029 0.3819135 0.24141048 -0.6051064 0.1148324 0.1556424 0.7187284
100129060 3.3716945 3.36715907 2.6496056 2.6356922 2.4848105 2.6922483
100129075 1.4911106 0.94330762 1.4946783 2.1712403 1.1601717 3.6421278
100129195 2.8747979 1.76744285 2.0406705 1.6875686 2.9707531 1.5110114
100129203 1.7896591 1.96286577 1.1175860 0.5950320 -0.1685557 1.5110114
100129250 1.3760829 1.54133830 1.7004979 1.5884713 1.5397265 1.5110114
100129259 1.1142165 -0.53890765 0.6056450 0.5950320 1.0076660 2.3947423
100129361 5.6559317 5.66717329 5.2816934 5.8027860 5.6173399 5.6731260
100129398 0.6026424 0.74502545 -0.6051064 0.3748199 0.1556424 1.5110114
100129434 2.4319354 2.13494762 2.1145090 2.2381549 1.7466408 1.5110114
100129461 0.9629916 -0.09662254 1.1175860 0.3748199 0.4201881 -1.1799596
100129484 1.4911106 1.54133830 1.8805872 2.5851798 0.4201881 2.3947423
100129550 3.5938776 3.73135918 3.2171971 2.7317022 3.7962277 4.7515407
100129583 1.2510831 0.74502545 1.2545305 1.1056724 0.8371126 1.5110114
100129662 1.3760829 1.27309082 -1.1799596 0.3748199 0.4201881 1.5110114
100129707 0.3819135 0.51508248 0.3847129 1.3671744 0.1556424 -1.1799596
100129716 0.6026424 0.74502545 1.1175860 1.1056724 1.8399384 -1.1799596
100129726 -0.1972419 -0.09662254 0.7971939 -1.1799596 -0.1685557 -1.1799596
100129774 4.0899377 3.80966176 3.7446891 3.7759700 4.1641232 3.8966368
100129781 0.9629916 0.74502545 0.3847129 -1.1799596 0.6436591 -1.1799596
100129792 -0.1972419 1.11760185 0.6056450 0.1148324 0.6436591 -1.1799596
100129794 0.7940386 1.65881554 2.1847516 2.1010705 1.1601717 -1.1799596
100129842 0.3819135 1.76744285 -1.1799596 -0.6100097 -1.1799596 -1.1799596
100129917 1.8768639 1.76744285 1.4946783 2.1712403 0.4201881 3.8966368
100129924 0.6026424 -0.09662254 -1.1799596 -0.6100097 -1.1799596 -1.1799596
100129940 1.2510831 0.74502545 1.4946783 1.2423403 0.1556424 -1.1799596
100129995 0.3819135 -0.09662254 0.7971939 0.3748199 0.1556424 -1.1799596
10013 6.1474239 5.71543136 5.3596778 5.6757794 5.3343613 4.7515407
100130111 0.6026424 1.76744285 1.6012553 1.3671744 0.8371126 2.6922483
100130197 -1.1799596 -0.53890765 -0.1951503 0.1148324 0.1556424 -1.1799596
100130335 4.0899377 3.80966176 4.1478020 3.7532729 3.5698283 4.2099889
100130348 2.4319354 2.28867387 2.2517325 3.0987640 1.7466408 2.0195114
100130357 0.3819135 0.51508248 -1.1799596 0.9546899 0.4201881 1.5110114
100130466 3.5145142 3.10265607 2.8787748 3.0622973 2.8413492 3.8966368
100130476 1.1142165 1.96286577 0.1237204 0.1148324 -1.1799596 -1.1799596
100130522 -0.1972419 0.74502545 -0.6051064 -0.2025374 1.6468900 -1.1799596
100130550 1.1142165 1.54133830 0.9662658 0.3748199 -0.1685557 2.0195114
100130564 2.2478940 2.82952887 2.6984444 2.0273124 3.1635593 3.4957804
100130581 -0.1972419 -1.17995959 -1.1799596 -0.2025374 -1.1799596 1.5110114
100130691 2.3731588 2.13494762 1.6012553 1.2423403 1.0076660 2.3947423
100130705 2.0368939 1.96286577 2.1145090 2.5851798 3.0509931 4.2099889
100130748 1.1142165 1.76744285 0.6056450 0.5950320 1.6468900 1.5110114
100130750 1.7896591 2.13494762 1.1175860 1.6875686 1.9275673 0.7187284
100130855 1.4911106 2.28867387 1.9628481 2.0273124 1.5397265 2.0195114
100130958 1.4911106 0.51508248 -0.1951503 1.4820619 0.6436591 -1.1799596
100131017 2.3731588 2.67075781 2.0406705 2.4785180 1.6468900 1.5110114
100131031 0.7940386 0.94330762 0.7971939 0.3748199 0.6436591 -1.1799596
100131033 0.7940386 -0.09662254 0.9662658 1.3671744 1.7466408 0.7187284
100131067 2.2478940 1.96286577 0.9662658 2.5328344 2.2329278 2.9387686
100131089 2.6456725 2.87879355 1.9628481 1.9495794 1.0076660 2.3947423
100131094 0.9629916 0.74502545 -0.1951503 -0.2025374 0.4201881 -1.1799596
100131138 3.0350450 3.25967920 4.4765971 4.8941320 5.0998518 4.8146429
100131187 1.7896591 1.54133830 3.0006183 2.8217196 2.7955000 2.9387686
100131193 3.7405974 3.70428455 2.0406705 2.6844957 2.1624310 1.5110114
100131211 2.3731588 3.36715907 3.8128146 3.1690434 2.9288950 2.3947423
100131213 3.0724722 2.67075781 1.3795955 0.7860397 1.6468900 -1.1799596
100131471 2.1809318 1.27309082 1.9628481 2.2381549 2.4848105 2.6922483
100131656 3.1445341 3.36715907 3.4054666 3.5041900 3.8193229 3.3328940
100131685 1.6968421 1.27309082 1.6012553 1.1056724 1.4239596 -1.1799596
100131691 2.1809318 2.21385732 1.4946783 1.2423403 1.2980862 3.1492484
100131740 0.6026424 -0.53890765 0.9662658 -0.6100097 0.4201881 1.5110114
100131801 2.9165590 2.67075781 2.4358209 2.7774129 2.2329278 2.0195114
100131827 -1.1799596 1.11760185 -0.6051064 0.1148324 -1.1799596 -1.1799596
100131828 0.3819135 1.65881554 0.6056450 1.1056724 1.1601717 -1.1799596
100131940 0.1212047 2.13494762 1.7933508 2.5851798 1.0076660 1.5110114
100132074 -0.6064956 1.41344017 1.1175860 0.1148324 0.6436591 -1.1799596
100132086 0.3819135 0.94330762 -0.6051064 0.1148324 -0.1685557 1.5110114
100132116 7.2752121 7.35238637 7.1024774 6.7577021 7.1211355 4.8146429
100132126 -0.1972419 -0.53890765 -0.1951503 0.1148324 1.2980862 -1.1799596
100132215 0.6026424 1.41344017 0.6056450 0.7860397 0.4201881 0.7187284
100132537 1.8768639 2.42758573 2.1145090 1.3671744 1.9275673 1.5110114
100132609 0.9629916 1.41344017 -0.6051064 1.3671744 1.5397265 2.6922483
100132659 -0.1972419 -1.17995959 0.6056450 -0.6100097 0.4201881 0.7187284
100132891 0.3819135 -0.09662254 -0.1951503 -1.1799596 -0.1685557 1.5110114
100132972 0.7940386 0.51508248 -1.1799596 -0.2025374 1.2980862 1.5110114
100133234 0.6026424 0.24141048 -0.1951503 0.9546899 -1.1799596 -1.1799596
100133286 -0.6064956 0.74502545 -0.6051064 -0.2025374 -0.1685557 -1.1799596
100133315 0.9629916 0.51508248 0.7971939 0.7860397 0.4201881 -1.1799596
100134934 1.3760829 1.86846070 1.3795955 2.4220764 1.1601717 -1.1799596
10014 6.1648559 6.17587207 5.8176399 6.3255191 6.1780095 5.9788465
100144603 0.1212047 -0.09662254 -0.6051064 -0.6100097 0.8371126 -1.1799596
100144748 2.1107097 1.41344017 1.7933508 0.9546899 1.0076660 3.8966368
10015 7.5699808 7.69432373 7.3345444 7.4750766 7.3305359 7.0803428
10016 5.0431140 5.31117303 5.1649086 5.3524387 5.0808648 4.8146429
100170229 0.9629916 0.74502545 0.1237204 0.1148324 0.1556424 0.7187284
100170841 4.1954850 3.46718395 2.1145090 3.7983156 3.1635593 2.9387686
10018 3.5414567 3.10265607 3.0006183 4.1332051 3.4857130 3.4957804
100188847 1.1142165 1.86846070 1.1175860 0.3748199 1.5397265 0.7187284
10019 4.2123492 4.31822105 4.1301093 4.9350436 4.3016779 5.1926823
100190938 2.2478940 2.55428917 0.6056450 0.7860397 1.5397265 -1.1799596
1002 1.4911106 -0.09662254 -0.1951503 1.4820619 1.4239596 -1.1799596
10020 3.3413520 3.64856158 3.4911238 3.7759700 3.1992107 3.6421278
10021 7.9800831 7.97904168 7.8146961 7.7576107 7.9222018 6.9458744
10023 2.1107097 1.11760185 1.6012553 1.1056724 2.2329278 1.5110114
10024 3.3413520 3.46718395 2.5990555 3.5835311 2.8413492 1.5110114
10026 6.0239040 6.19544844 6.1384149 5.3823302 5.9247414 5.7396729
100268168 1.4911106 1.65881554 1.7933508 2.0273124 1.7466408 0.7187284
100270804 1.1142165 0.94330762 0.7971939 1.1056724 1.9275673 1.5110114
100270827 1.1142165 0.24141048 1.1175860 -1.1799596 1.1601717 -1.1799596
100270840 4.1954850 4.12758339 4.1478020 4.0045770 4.5147420 4.4672774
100270854 4.5408053 4.16777952 4.1825495 3.9852283 4.3500578 4.4672774
100270865 5.2286142 4.88649490 4.8233915 4.6821868 4.8758375 5.0426124
100271271 3.0724722 3.40127707 2.7914253 2.7774129 3.1992107 3.1492484
100271332 -1.1799596 -0.09662254 -1.1799596 -1.1799596 -0.5873845 -1.1799596
100271415 1.2510831 1.65881554 2.0406705 2.3633365 1.9275673 0.7187284
100271479 0.7940386 0.24141048 0.3847129 -1.1799596 -0.5873845 0.7187284
100271884 0.1212047 -1.17995959 -1.1799596 0.3748199 -0.1685557 -1.1799596
100272147 2.1809318 1.96286577 1.1175860 1.2423403 0.8371126 2.0195114
100286844 1.3760829 1.41344017 0.3847129 -1.1799596 0.1556424 1.5110114
100287015 0.7940386 1.27309082 1.8805872 1.3671744 1.8399384 -1.1799596
100287049 1.2510831 1.11760185 0.7971939 1.8674184 -0.1685557 -1.1799596
100287074 0.7940386 0.24141048 -0.1951503 0.5950320 1.1601717 1.5110114
100287616 3.4305296 3.36715907 3.0006183 3.0622973 2.9288950 3.7749873
100287722 0.9629916 2.05147087 0.1237204 1.1056724 1.4239596 -1.1799596
100287808 0.1212047 0.24141048 -0.6051064 1.6875686 0.8371126 -1.1799596
100287837 1.2510831 0.74502545 1.8805872 2.3021030 0.8371126 0.7187284
100287896 1.6968421 1.96286577 1.7933508 1.1056724 1.4239596 1.5110114
100287902 0.9629916 -0.53890765 1.1175860 0.9546899 0.4201881 -1.1799596
100287928 2.3118855 2.05147087 3.0764817 1.8674184 2.5959756 2.6922483
100287932 5.6620827 5.46426373 5.5579648 5.2507786 5.3660756 5.0426124
100288001 1.8768639 2.72564601 2.1145090 2.7317022 2.2329278 1.5110114
100288073 3.0724722 3.06057657 3.5719791 4.1850043 2.6991843 6.6838726
100288123 1.2510831 1.27309082 0.9662658 1.4820619 -0.1685557 -1.1799596
100288198 0.3819135 1.76744285 1.2545305 2.4785180 2.0101770 2.3947423
100288241 -1.1799596 -1.17995959 -1.1799596 -1.1799596 -1.1799596 -1.1799596
100288413 3.4590711 2.87879355 2.6984444 2.0273124 2.1624310 2.9387686
100288513 0.7940386 0.51508248 0.1237204 0.3748199 1.2980862 -1.1799596
100288842 1.3760829 1.54133830 1.1175860 1.5884713 1.8399384 -1.1799596
100289061 1.6968421 2.05147087 1.4946783 1.7802942 1.7466408 -1.1799596
100289095 -0.1972419 0.94330762 0.7971939 0.7860397 0.6436591 -1.1799596
100289133 3.8307265 4.12758339 4.7441914 4.1506790 4.7127380 3.6421278
100289178 2.3118855 2.49232796 2.5466696 1.4820619 2.0101770 2.9387686
100289211 1.6968421 1.65881554 0.3847129 0.3748199 -0.1685557 -1.1799596
100289259 1.6968421 1.76744285 0.1237204 1.7802942 0.6436591 2.3947423
100289274 2.6456725 2.21385732 1.9628481 3.3614136 2.3001397 4.9889075
100289341 1.3760829 1.27309082 1.1175860 2.0273124 0.4201881 3.3328940
100289373 0.3819135 2.28867387 -1.1799596 1.5884713 1.4239596 -1.1799596
100289388 1.8768639 0.74502545 0.6056450 -1.1799596 -0.1685557 1.5110114
100289414 0.7940386 -0.09662254 -1.1799596 -0.2025374 0.4201881 -1.1799596
100289635 5.6373199 5.29311512 4.6480104 5.3897073 4.8536364 5.4528120
100289640 1.9590966 2.13494762 1.8805872 1.7802942 0.8371126 2.3947423
100289678 1.9590966 3.06057657 1.4946783 2.9864764 1.7466408 2.3947423
100293516 3.1445341 3.25967920 3.7904617 4.0794766 3.3653403 0.7187284
100294362 1.5976405 0.94330762 -0.1951503 1.3671744 2.1624310 0.7187284
1003 1.7896591 2.13494762 -0.1951503 1.5884713 0.8371126 1.5110114
100302692 2.3731588 1.11760185 2.0406705 2.1712403 1.0076660 2.9387686
100302736 1.8768639 1.41344017 1.6012553 1.3671744 1.8399384 2.6922483
100303728 2.3731588 2.28867387 2.3157410 2.4785180 2.4258416 1.5110114
100303755 1.4911106 1.54133830 1.6012553 1.8674184 1.0076660 2.0195114
100312828 0.3819135 0.24141048 -1.1799596 0.3748199 -1.1799596 1.5110114
100312850 0.7940386 1.54133830 0.1237204 -0.2025374 0.1556424 2.3947423
10036 4.4153337 4.70718657 4.3900465 4.2512979 4.5565748 4.1129087
100379345 1.9590966 1.54133830 1.7933508 1.3671744 1.0076660 -1.1799596
10038 5.1607296 5.28400068 5.0187275 5.3749152 5.2771263 5.3712048
100381270 0.3819135 1.27309082 0.9662658 1.1056724 0.4201881 1.5110114
10039 3.3716945 3.29640273 2.3157410 2.9064486 2.5959756 2.9387686
1004 2.0368939 1.54133830 3.2171971 3.5575659 3.1635593 2.9387686
10040 4.0150232 4.02190213 3.9401137 4.0236696 3.9506296 5.3286022
100418710 1.5976405 0.74502545 0.7971939 1.7802942 1.5397265 -1.1799596
100418735 1.3760829 2.13494762 1.6012553 1.4820619 1.1601717 1.5110114
100418744 2.0368939 2.61369848 2.4923096 2.9064486 2.0883116 -1.1799596
100418770 -0.6064956 -0.53890765 -1.1799596 0.1148324 -0.5873845 -1.1799596
100418781 2.6945013 2.55428917 3.3453991 3.0987640 3.4857130 0.7187284
100418819 2.1809318 2.28867387 1.9628481 1.7802942 1.9275673 2.0195114
100418829 1.7896591 1.27309082 2.6496056 2.2381549 2.6485027 1.5110114
100418888 0.3819135 0.94330762 0.6056450 1.6875686 1.1601717 1.5110114
100418889 2.4319354 2.77852226 3.1129680 2.7774129 3.0894994 2.9387686
100418910 0.9629916 0.74502545 1.1175860 0.7860397 2.4258416 2.0195114
100418919 2.3731588 2.42758573 3.0006183 2.7317022 2.6991843 0.7187284
100419028 1.1142165 1.76744285 1.3795955 2.3021030 1.6468900 1.5110114
100419185 0.3819135 0.24141048 -1.1799596 -1.1799596 -1.1799596 -1.1799596
100419416 1.1142165 1.27309082 0.7971939 1.5884713 0.8371126 1.5110114
100419515 -0.1972419 0.51508248 -1.1799596 1.7802942 0.4201881 -1.1799596
100419645 -0.1972419 0.24141048 0.1237204 0.1148324 -0.1685557 -1.1799596
100419758 1.1142165 1.41344017 -0.1951503 -0.2025374 1.0076660 2.6922483
100419928 2.3731588 1.11760185 1.7004979 2.0273124 1.8399384 2.3947423
10042 4.6806754 5.13988738 5.0660200 5.3219147 5.1092525 5.3712048
100420028 0.3819135 -0.09662254 1.6012553 0.7860397 -0.1685557 1.5110114
100420050 0.1212047 -1.17995959 -1.1799596 -0.2025374 0.4201881 -1.1799596
100420110 2.9571452 3.10265607 3.3453991 2.8647060 2.8857861 2.3947423
100420187 -0.6064956 -0.53890765 -0.1951503 -0.2025374 0.1556424 -1.1799596
100420259 4.1954850 3.90786318 4.2820362 3.3614136 4.0516027 3.6421278
100420307 0.7940386 -0.09662254 -0.1951503 0.9546899 0.8371126 1.5110114
100420341 5.4149783 5.48031279 5.7784251 5.2426537 5.4863894 7.7059561
100420423 0.1212047 0.94330762 0.7971939 0.9546899 0.8371126 -1.1799596
100420591 0.7940386 -0.53890765 0.3847129 0.9546899 1.0076660 2.3947423
100420707 2.8317919 1.86846070 2.2517325 2.6356922 2.4258416 2.9387686
100420752 1.3760829 1.65881554 0.3847129 0.5950320 1.9275673 2.6922483
100420869 4.2123492 4.22604879 3.9196620 3.7759700 4.0319656 3.6421278
100420981 5.6864275 6.04170914 6.2159415 5.7056420 6.1780095 6.2539227
100421093 3.7636630 3.56072127 4.1478020 4.1155170 4.0319656 3.8966368
100421109 0.9629916 0.51508248 1.1175860 -1.1799596 1.0076660 -1.1799596
100421160 -0.1972419 -1.17995959 0.9662658 0.5950320 0.4201881 1.5110114
100421175 0.7940386 0.24141048 0.9662658 0.7860397 0.8371126 1.5110114
100421246 0.9629916 0.74502545 0.1237204 0.5950320 -0.1685557 2.3947423
100421311 1.6968421 1.65881554 1.6012553 1.1056724 1.5397265 1.5110114
100421372 1.7896591 1.86846070 2.3770299 2.9864764 0.4201881 1.5110114
100421400 1.9590966 2.05147087 2.4358209 2.2381549 1.6468900 -1.1799596
100421415 1.2510831 0.51508248 -1.1799596 -0.2025374 -0.1685557 1.5110114
100421429 -0.1972419 0.24141048 -1.1799596 0.7860397 -1.1799596 -1.1799596
100421465 1.5976405 1.27309082 2.1847516 0.9546899 1.0076660 0.7187284
100421468 2.1107097 2.42758573 1.9628481 2.5328344 2.4258416 1.5110114
100421506 0.3819135 0.24141048 0.1237204 -0.2025374 0.1556424 0.7187284
100421569 -0.6064956 0.74502545 0.9662658 0.3748199 0.8371126 -1.1799596
100421595 0.1212047 -1.17995959 -1.1799596 -0.6100097 -1.1799596 -1.1799596
100421794 -1.1799596 -0.09662254 -1.1799596 -1.1799596 -1.1799596 -1.1799596
100422106 1.8768639 1.86846070 1.2545305 1.5884713 1.2980862 2.0195114
100422338 2.6945013 2.21385732 2.6496056 2.1010705 2.8857861 0.7187284
100422546 0.7940386 1.11760185 1.3795955 -0.2025374 0.6436591 0.7187284
100422561 3.5414567 3.75793506 2.8357611 2.9864764 3.0509931 3.6421278
10043 5.3092107 5.60265650 5.8395788 5.8463318 5.5704665 5.0426124
10044 2.1809318 1.27309082 -1.1799596 0.3748199 -1.1799596 1.5110114
10045 0.6026424 0.24141048 0.7971939 1.1056724 1.0076660 0.7187284
10046 1.2510831 2.05147087 2.4923096 1.8674184 1.1601717 -1.1799596
10048 6.5167508 6.48116074 6.5969901 6.7054526 6.7283597 6.6838726
10049 5.9703834 5.89975768 6.0088730 6.0274943 6.0999992 6.0329203
100499177 3.3716945 3.14354292 2.8357611 3.3911217 3.0894994 4.2099889
100499483 2.5951330 2.05147087 1.2545305 0.9546899 2.2329278 -1.1799596
1005 -1.1799596 -1.17995959 -1.1799596 -1.1799596 -1.1799596 -1.1799596
100500719 0.1212047 1.54133830 0.3847129 -0.2025374 -1.1799596 1.5110114
100505385 2.4319354 3.22199640 3.8989163 3.8203204 3.7962277 1.5110114
100505501 -1.1799596 1.27309082 0.3847129 0.3748199 0.6436591 -1.1799596
100505538 1.1142165 1.41344017 0.3847129 -0.2025374 0.4201881 -1.1799596
100505549 1.3760829 0.94330762 -0.1951503 0.7860397 0.6436591 1.5110114
100505573 5.7455508 5.60996917 6.2613464 6.3331917 6.4086938 5.8340693
100505576 2.1809318 1.54133830 0.3847129 0.9546899 2.0101770 1.5110114
100505616 -1.1799596 -1.17995959 0.1237204 0.1148324 -0.5873845 1.5110114
100505624 0.6026424 1.54133830 1.2545305 0.5950320 1.2980862 0.7187284
100505635 0.7940386 1.54133830 0.1237204 0.5950320 0.6436591 0.7187284
100505641 2.1809318 2.35980107 1.9628481 2.6356922 1.0076660 1.5110114
100505648 1.7896591 1.27309082 2.1145090 1.8674184 2.3643593 1.5110114
100505678 1.4911106 2.61369848 0.9662658 1.5884713 1.0076660 1.5110114
100505696 4.7970390 4.63733407 4.2820362 4.1850043 4.1275828 4.3865076
100505715 0.9629916 0.24141048 -0.1951503 1.5884713 -0.5873845 1.5110114
100505738 -1.1799596 -1.17995959 2.3770299 2.8647060 2.8413492 2.3947423
100505741 1.6968421 1.11760185 1.9628481 1.2423403 1.4239596 1.5110114
100505758 3.2462968 3.36715907 3.5185822 3.2360577 3.3336096 2.9387686
100505761 2.9165590 2.67075781 1.9628481 2.0273124 2.7955000 3.3328940
100505771 0.6026424 2.28867387 1.3795955 2.0273124 2.1624310 1.5110114
100505783 1.9590966 2.35980107 1.1175860 2.5328344 1.9275673 1.5110114
100505806 5.4076753 5.47231057 4.5449564 5.0788917 4.3341108 5.6731260
100505812 1.1142165 1.27309082 2.4923096 1.3671744 2.7955000 -1.1799596
100505832 -1.1799596 1.27309082 0.3847129 2.3633365 1.1601717 2.3947423
100505854 2.9165590 2.92643135 2.9205432 4.6082268 3.1635593 4.5437641
100505876 2.1107097 1.86846070 4.8123400 5.0135428 5.1370923 4.8146429
100505894 2.9966208 2.42758573 2.6496056 2.9864764 2.3643593 2.6922483
100505933 0.3819135 -1.17995959 -1.1799596 -0.2025374 -1.1799596 -1.1799596
100505994 1.4911106 -0.09662254 0.3847129 1.4820619 0.1556424 2.3947423
100506020 0.3819135 0.94330762 1.7933508 0.1148324 0.1556424 -1.1799596
100506033 4.8626031 5.11953692 4.4339708 4.4336526 4.6497110 4.5437641
100506054 2.4319354 2.72564601 0.7971939 0.7860397 1.4239596 1.5110114
100506068 1.8768639 1.96286577 1.3795955 1.1056724 1.0076660 1.5110114
100506070 1.9590966 2.61369848 0.3847129 1.4820619 1.1601717 -1.1799596
100506083 1.4911106 0.24141048 -0.1951503 0.1148324 -0.1685557 -1.1799596
100506100 1.2510831 0.51508248 0.3847129 -0.2025374 -1.1799596 -1.1799596
100506119 0.7940386 2.28867387 1.3795955 0.7860397 1.4239596 1.5110114
100506127 1.4911106 1.96286577 1.7933508 1.2423403 1.4239596 2.3947423
100506142 0.3819135 -1.17995959 -1.1799596 -0.6100097 -0.5873845 1.5110114
100506144 1.8768639 1.27309082 1.6012553 0.5950320 1.4239596 2.0195114
100506161 -0.1972419 -0.53890765 -0.6051064 0.3748199 -0.1685557 -1.1799596
100506211 4.0150232 3.56072127 2.5466696 2.6844957 2.3643593 1.5110114
100506235 1.1142165 1.27309082 1.7933508 1.6875686 2.3001397 0.7187284
100506258 0.1212047 0.24141048 -1.1799596 0.5950320 0.1556424 0.7187284
100506282 2.1107097 0.94330762 2.5466696 2.4785180 1.4239596 1.5110114
100506286 1.6968421 0.51508248 0.7971939 1.1056724 0.8371126 -1.1799596
100506302 1.4911106 1.27309082 0.6056450 1.8674184 0.8371126 -1.1799596
100506321 0.9629916 0.74502545 0.9662658 0.9546899 1.1601717 -1.1799596
100506325 1.2510831 0.74502545 -0.1951503 0.3748199 1.0076660 -1.1799596
100506343 1.3760829 0.51508248 0.7971939 1.5884713 0.4201881 -1.1799596
100506365 5.0618447 5.16988473 4.8667702 5.3219147 5.0123706 5.7396729
100506368 -0.1972419 0.51508248 -0.1951503 1.1056724 0.1556424 1.5110114
100506380 3.1089530 3.10265607 2.7914253 3.0622973 3.2340024 4.4672774
100506392 3.7636630 3.59059958 3.1485543 3.0248849 3.0114309 3.3328940
100506394 1.7896591 2.05147087 1.1175860 2.4785180 2.0883116 2.3947423
100506411 1.2510831 1.41344017 1.7004979 1.6875686 1.7466408 -1.1799596
100506433 2.5951330 2.77852226 2.2517325 1.8674184 2.0101770 1.5110114
100506462 -0.1972419 0.74502545 0.6056450 -0.2025374 0.6436591 1.5110114
100506469 4.4583815 4.42157633 4.1825495 4.5697745 4.2516192 4.9889075
100506495 0.3819135 -0.09662254 -1.1799596 0.5950320 -0.1685557 1.5110114
100506504 1.2510831 1.11760185 1.4946783 2.2381549 0.4201881 2.3947423
100506540 1.1142165 0.24141048 0.1237204 0.1148324 0.6436591 0.7187284
100506581 0.1212047 0.24141048 0.9662658 0.5950320 -1.1799596 0.7187284
100506606 0.6026424 -0.09662254 -1.1799596 1.1056724 1.0076660 -1.1799596
100506658 1.9590966 2.72564601 2.6984444 2.8647060 2.9288950 4.1129087
100506668 2.4884108 2.61369848 1.9628481 2.1010705 2.0101770 3.6421278
100506686 1.2510831 0.94330762 -0.1951503 0.5950320 1.0076660 0.7187284
100506691 -1.1799596 -1.17995959 0.3847129 -0.2025374 -0.1685557 2.0195114
100506696 1.9590966 2.13494762 1.1175860 2.1712403 1.6468900 3.3328940
100506697 1.6968421 0.74502545 1.1175860 1.4820619 1.7466408 -1.1799596
100506710 6.5765880 6.45297336 6.3969859 6.8245488 6.2349419 6.8284774
100506713 0.1212047 0.51508248 -0.6051064 -0.2025374 0.6436591 0.7187284
100506725 3.8307265 3.33221464 3.6974165 4.2990926 4.0709762 2.9387686
100506731 1.4911106 0.94330762 0.9662658 1.9495794 0.8371126 -1.1799596
100506757 -1.1799596 1.27309082 -0.1951503 -1.1799596 -0.5873845 -1.1799596
100506779 0.1212047 -0.09662254 0.3847129 0.1148324 -0.5873845 -1.1799596
100506804 0.6026424 -1.17995959 -0.1951503 0.3748199 0.4201881 -1.1799596
100506826 1.6968421 1.86846070 1.7933508 2.0273124 1.7466408 2.9387686
100506844 2.6945013 2.28867387 2.2517325 3.0248849 1.8399384 3.3328940
100506866 6.3816378 6.47716754 6.2326182 6.0648400 6.0373617 5.0943897
100506881 0.1212047 1.54133830 1.3795955 1.1056724 0.4201881 0.7187284
100506885 -0.1972419 0.94330762 0.1237204 0.7860397 -1.1799596 -1.1799596
100506911 1.2510831 -0.53890765 0.6056450 0.1148324 1.0076660 -1.1799596
100506922 -1.1799596 -0.09662254 1.4946783 0.1148324 0.8371126 2.0195114
100506930 4.2617903 3.36715907 3.7904617 3.5835311 3.5968111 4.1129087
100506994 0.1212047 0.51508248 1.2545305 0.7860397 1.0076660 -1.1799596
100507003 2.6945013 1.96286577 0.6056450 1.3671744 0.8371126 1.5110114
100507032 1.4911106 1.96286577 -0.1951503 1.3671744 0.1556424 -1.1799596
100507034 2.7417315 3.14354292 3.3144008 3.1690434 3.3963881 3.3328940
100507050 -1.1799596 -1.17995959 0.7971939 -1.1799596 0.4201881 1.5110114
100507053 1.6968421 1.96286577 1.3795955 1.5884713 0.4201881 1.5110114
100507057 1.3760829 0.74502545 1.1175860 0.5950320 0.1556424 -1.1799596
100507062 -1.1799596 0.24141048 -1.1799596 0.1148324 -0.5873845 1.5110114
100507071 0.3819135 0.74502545 0.3847129 0.5950320 0.1556424 0.7187284
100507156 2.9571452 2.77852226 2.9205432 3.4767428 3.2340024 2.9387686
100507171 2.7417315 2.55428917 3.1832839 3.4487633 1.4239596 2.9387686
100507173 0.3819135 -0.09662254 0.3847129 0.3748199 0.1556424 0.7187284
100507178 0.3819135 1.11760185 -1.1799596 1.1056724 0.8371126 -1.1799596
100507244 1.2510831 -0.09662254 1.7004979 1.2423403 1.0076660 -1.1799596
100507246 2.7874643 3.14354292 2.1145090 2.7317022 2.2329278 0.7187284
100507250 0.3819135 0.51508248 -1.1799596 0.7860397 -0.5873845 -1.1799596
100507254 -0.1972419 -0.09662254 0.3847129 0.3748199 0.4201881 2.3947423
100507266 0.3819135 -0.09662254 1.3795955 0.7860397 1.1601717 2.0195114
100507290 4.1436764 4.18746527 4.5844693 4.5827061 4.3658305 4.8146429
100507291 0.9629916 1.41344017 1.3795955 1.9495794 1.4239596 0.7187284
100507303 3.0350450 3.22199640 2.8787748 2.4785180 2.9288950 2.6922483
100507308 0.1212047 -0.53890765 -1.1799596 -1.1799596 -1.1799596 -1.1799596
100507316 -1.1799596 0.74502545 1.3795955 1.1056724 2.0101770 -1.1799596
100507331 2.1107097 2.13494762 2.3770299 2.1010705 1.7466408 0.7187284
100507347 1.4911106 0.94330762 2.1145090 1.1056724 1.4239596 2.3947423
100507373 1.9590966 1.41344017 1.1175860 2.3633365 -0.1685557 1.5110114
100507392 1.3760829 1.54133830 0.9662658 1.4820619 0.6436591 -1.1799596
100507398 1.2510831 -0.09662254 0.6056450 1.3671744 0.4201881 2.3947423
100507401 1.2510831 0.51508248 0.1237204 -0.6100097 0.4201881 0.7187284
100507420 1.8768639 1.27309082 1.6012553 0.7860397 1.1601717 1.5110114
100507433 1.3760829 0.94330762 -0.1951503 1.1056724 0.8371126 0.7187284
100507436 -1.1799596 0.51508248 -0.1951503 -1.1799596 0.6436591 -1.1799596
100507437 2.0368939 2.72564601 1.1175860 2.1010705 1.4239596 -1.1799596
100507459 1.9590966 2.61369848 1.3795955 1.4820619 1.5397265 1.5110114
100507463 1.1142165 0.24141048 0.7971939 0.3748199 0.6436591 -1.1799596
100507487 0.1212047 1.27309082 1.6012553 1.8674184 2.8857861 1.5110114
100507495 1.7896591 1.65881554 0.9662658 1.2423403 1.0076660 1.5110114
100507516 -0.1972419 -1.17995959 0.1237204 0.5950320 -0.1685557 -1.1799596
100507551 0.6026424 -0.09662254 1.1175860 0.1148324 0.1556424 -1.1799596
100507557 0.3819135 1.27309082 0.3847129 0.3748199 -1.1799596 1.5110114
100507564 0.3819135 -0.09662254 -0.6051064 0.3748199 -0.1685557 1.5110114
100507567 1.4911106 1.54133830 -0.1951503 1.1056724 1.2980862 0.7187284
100507588 -0.1972419 0.51508248 -0.1951503 1.3671744 0.8371126 -1.1799596
100507599 -0.1972419 1.27309082 0.3847129 1.3671744 1.1601717 -1.1799596
100507602 2.6945013 2.42758573 1.4946783 1.7802942 1.7466408 2.0195114
100508120 1.8768639 2.21385732 1.3795955 2.8217196 1.2980862 2.6922483
10051 6.8781523 7.03686815 6.7292023 6.6202168 6.5186055 5.8340693
10052 1.6968421 1.65881554 1.3795955 2.0273124 2.0101770 0.7187284
100526737 2.3118855 1.11760185 1.2545305 2.1010705 2.0101770 2.3947423
100526760 1.4911106 1.54133830 1.7004979 0.9546899 1.6468900 1.5110114
100526820 1.3760829 -0.09662254 1.7933508 1.2423403 0.4201881 1.5110114
100526835 1.5976405 2.42758573 3.4345877 3.9255748 3.1635593 2.9387686
100527978 0.7940386 1.27309082 0.6056450 1.5884713 0.6436591 2.6922483
100529145 1.8768639 0.51508248 1.1175860 1.1056724 -0.1685557 -1.1799596
100529215 -0.1972419 0.24141048 0.3847129 -1.1799596 -0.1685557 -1.1799596
100532746 4.3406037 3.73135918 4.0756908 3.4202303 3.6999622 2.6922483
100533106 0.9629916 0.51508248 -0.1951503 0.3748199 1.8399384 -1.1799596
100533182 1.4911106 0.74502545 1.6012553 -0.6100097 0.4201881 0.7187284
100533619 1.1142165 0.94330762 0.1237204 -0.2025374 1.4239596 -1.1799596
100533629 1.6968421 0.51508248 0.9662658 1.5884713 0.4201881 0.7187284
100533695 0.9629916 0.74502545 0.9662658 1.2423403 0.1556424 0.7187284
100533970 1.1142165 -1.17995959 1.2545305 1.1056724 0.8371126 0.7187284
100534593 1.9590966 2.21385732 -1.1799596 1.3671744 1.0076660 -1.1799596
10054 5.9851779 6.06317922 5.7555285 6.0694410 5.9194073 5.6731260
10056 5.5471418 5.88777447 5.7840929 5.6014816 5.7909434 5.0943897
10057 7.6952324 7.70631360 7.2874346 7.5311890 7.2307087 7.0803428
10058 4.7165804 4.74753023 3.6234701 3.8419946 3.9713975 5.1443729
10059 7.1733885 7.18865761 6.9291581 7.0965983 7.1373076 6.2076537
1006 4.6187736 4.83749701 4.6969023 4.2990926 4.8868112 4.7515407
10060 2.4319354 2.87879355 2.4358209 2.2381549 2.4848105 2.6922483
100616256 0.7940386 1.54133830 0.9662658 1.1056724 1.0076660 -1.1799596
10062 2.5951330 2.77852226 1.7933508 2.1010705 1.9275673 1.5110114
10063 3.9360044 3.90786318 3.4054666 3.8843899 3.2340024 2.3947423
100652739 0.9629916 1.41344017 0.7971939 0.1148324 0.1556424 2.3947423
100652758 -0.1972419 -0.53890765 0.3847129 -1.1799596 -0.5873845 0.7187284
100652846 1.4911106 2.42758573 2.0406705 2.0273124 2.0101770 -1.1799596
10066 6.0522813 6.16101347 6.1384149 6.0555938 6.2772566 6.4848554
10067 6.0428841 6.17587207 6.2694505 5.8570160 6.2477672 6.3844416
10068 3.9956705 3.43460683 3.5719791 2.5328344 2.9288950 2.6922483
10069 4.3095931 4.70718657 4.2164798 4.2018654 4.4861640 5.1926823
10072 5.0525098 5.23754426 5.3520664 5.0788917 5.2088077 5.0943897
10073 3.9956705 4.06510796 3.6731864 3.7532729 3.6493084 4.3865076
10075 8.9929204 8.99324097 8.5037796 8.6541581 8.6142224 8.8433092
10076 5.1607296 5.03513697 5.3897284 5.1149465 5.2000358 5.2847031
10077 3.2786827 2.97254630 2.3157410 2.8647060 2.7955000 2.0195114
100775107 0.1212047 0.51508248 0.7971939 0.5950320 0.6436591 2.0195114
10078 4.2454975 4.53348482 4.8774141 4.5827061 4.6105294 5.0943897
10079 5.5337864 5.48827086 5.0378310 4.6821868 5.0903896 5.8937346
1008 4.3251817 3.80966176 3.4345877 3.4767428 2.9707531 3.3328940
10081 4.9253167 4.89848870 4.3137302 4.8520262 4.6625386 4.6163990
10082 6.9899566 7.31260289 7.8703719 7.3445030 7.8678550 7.7225041
100820829 4.5803161 4.93388320 4.9396792 4.9943148 5.2000358 3.6421278
10084 5.1344261 5.28400068 4.9598510 5.2262652 5.0519074 5.7718295
100847074 0.9629916 1.76744285 1.7933508 1.8674184 2.2329278 1.5110114
10085 9.7768053 9.74237803 9.2073724 8.8426753 8.9950237 9.1852486
100852407 0.6026424 0.24141048 1.1175860 0.5950320 0.8371126 2.0195114
100861412 0.6026424 0.94330762 0.6056450 1.1056724 0.8371126 -1.1799596
100861548 3.9561685 3.80966176 3.8989163 3.2684325 3.9081749 4.3009463
100862671 0.9629916 -0.09662254 0.6056450 1.4820619 1.6468900 -1.1799596
10087 6.1648559 6.13590392 6.2367574 5.9695982 5.9770246 6.0850403
100873257 0.3819135 0.51508248 1.1175860 0.3748199 0.6436591 -1.1799596
100873333 3.1792587 3.33221464 3.4911238 3.4202303 3.7246374 2.0195114
100873790 3.8737639 4.12758339 3.4054666 3.2360577 3.9081749 2.9387686
100873949 0.3819135 -0.09662254 0.3847129 0.5950320 1.6468900 1.5110114
100873952 -0.1972419 -0.09662254 -0.6051064 -0.2025374 -0.5873845 -1.1799596
100873965 2.8747979 1.54133830 1.8805872 1.8674184 2.0883116 0.7187284
100874006 0.1212047 -0.53890765 0.3847129 0.5950320 0.6436591 0.7187284
100874008 1.3760829 0.51508248 2.1847516 0.5950320 1.6468900 -1.1799596
100874014 2.7874643 2.21385732 1.8805872 1.7802942 3.0509931 2.3947423
100874058 1.1142165 0.94330762 -0.1951503 1.2423403 -0.1685557 1.5110114
100874080 0.9629916 1.11760185 0.6056450 0.3748199 1.1601717 1.5110114
100874097 0.6026424 1.96286577 1.6012553 0.9546899 1.1601717 1.5110114
100874201 0.7940386 0.74502545 0.6056450 0.9546899 1.0076660 0.7187284
100874212 0.6026424 0.51508248 1.1175860 1.2423403 0.6436591 3.1492484
100874217 0.7940386 0.74502545 0.7971939 1.4820619 0.8371126 -1.1799596
100874235 0.6026424 -0.53890765 0.1237204 0.7860397 0.1556424 -1.1799596
100874261 -1.1799596 0.51508248 0.1237204 1.2423403 0.1556424 -1.1799596
100874291 0.3819135 -1.17995959 0.6056450 0.5950320 0.4201881 -1.1799596
100874362 2.4884108 1.54133830 1.4946783 1.5884713 1.7466408 2.0195114
100874523 2.0368939 2.13494762 2.5990555 2.5851798 2.2329278 1.5110114
100885775 4.9456297 5.21853457 5.3289880 5.5758403 5.6627382 4.8146429
100885776 0.6026424 -0.09662254 -1.1799596 1.3671744 0.6436591 2.6922483
100885848 4.7631047 4.77381257 4.1996144 4.6941531 4.7371976 2.9387686
1009 10.1654699 10.19063672 9.9493822 9.8138095 9.7246254 8.7971841
10090 3.9360044 3.99980410 4.3900465 4.2350079 3.8864696 4.2099889
10092 7.6355293 7.58724808 7.4848001 7.4076374 7.4919587 7.2033395
10093 7.0427690 7.06108009 7.1926005 7.1344160 7.3244951 6.2539227
10094 5.4998469 5.56552659 5.4336622 5.1149465 5.6173399 4.9331258
10095 6.1164017 5.60996917 6.1472375 6.0416125 6.1280164 6.0592156
10097 8.3815014 8.42695714 8.4115883 8.1452830 8.4333165 7.9712543
10098 7.0356802 7.10055168 6.6935081 6.6604176 6.7763571 6.4848554
10099 8.3972581 8.44444721 8.5684309 7.9569997 8.5239696 8.5367771
100996246 0.7940386 -1.17995959 -0.1951503 -0.2025374 -0.1685557 -1.1799596
100996251 -1.1799596 -0.09662254 0.3847129 -0.2025374 -1.1799596 1.5110114
100996307 -1.1799596 -0.53890765 -1.1799596 0.5950320 -1.1799596 -1.1799596
100996384 0.7940386 0.74502545 1.6012553 0.1148324 1.2980862 -1.1799596
100996419 1.3760829 0.94330762 -0.1951503 1.5884713 1.4239596 1.5110114
100996485 2.1107097 2.21385732 2.3157410 1.3671744 2.0883116 1.5110114
100996539 -0.1972419 -0.53890765 -1.1799596 -0.6100097 -1.1799596 0.7187284
100996579 -1.1799596 -1.17995959 0.7971939 0.3748199 -0.1685557 1.5110114
100996696 3.1089530 2.49232796 1.6012553 2.1010705 2.5959756 1.5110114
100996842 0.6026424 0.51508248 0.9662658 -0.6100097 0.8371126 -1.1799596
100996851 0.3819135 0.94330762 -1.1799596 -1.1799596 -1.1799596 -1.1799596
100996939 1.1142165 0.94330762 0.3847129 1.1056724 0.8371126 1.5110114
101 1.2510831 2.67075781 1.8805872 1.8674184 1.5397265 2.3947423
1010 -1.1799596 -1.17995959 -0.1951503 -1.1799596 -1.1799596 -1.1799596
10100 6.2033245 5.92928735 5.1561937 5.0419127 5.2687613 4.4672774
10101 4.9456297 4.91038361 4.6102225 5.0135428 4.7250196 4.9331258
10102 4.8410778 4.77381257 5.1297284 5.1844606 5.0223568 4.2099889
10103 0.3819135 1.27309082 1.4946783 0.3748199 0.8371126 2.3947423
10105 6.5065322 6.21955117 6.5511908 6.8753565 6.6532299 5.1443729
10106 7.0937162 7.02323940 6.7668997 6.7662293 6.7222462 7.1308066
101060200 3.1089530 2.67075781 1.6012553 2.4220764 2.2329278 2.9387686
101060691 2.1107097 1.76744285 2.7456838 3.1690434 3.0509931 3.6421278
10109 8.5360140 8.47580506 8.4908409 8.2247721 8.3770312 8.2070693
10112 5.1780026 5.15995475 5.2161210 5.3823302 5.5078725 3.6421278
10113 6.2773148 5.90571217 5.8982455 6.2666357 5.9718807 6.8131076
10114 7.6182334 7.70460685 7.3820343 7.7942056 7.5221838 6.9317117
101154753 0.3819135 0.51508248 0.9662658 0.5950320 1.2980862 0.7187284
10116 7.7511209 7.73502364 7.7143733 8.1839847 7.5603816 7.3596202
10117 1.9590966 1.54133830 2.1145090 2.3633365 1.4239596 2.9387686
1012 7.4147117 7.39745498 6.7525171 6.4150024 6.7374817 7.8102735
10121 6.1691812 6.08433446 6.2613464 6.1968601 6.3740183 5.5300491
10123 7.6339655 7.74502172 7.1926005 7.5948070 6.9194908 6.9875470
101241892 4.7631047 4.62294835 3.5455277 4.0425128 3.2340024 2.6922483
10125 2.2478940 1.96286577 2.7914253 2.3021030 2.0883116 2.0195114
10126 3.3103576 3.36715907 3.3144008 3.7759700 3.3963881 2.9387686
THA_24_H3 DOX_24_H3 NUTL_24_H3 DMSO_24_H3 LPS_24_H3
100 3.0533669 4.21485170 4.04870273 3.96478274 3.89340597
1000 11.6062940 11.11688771 11.18067412 11.50428197 11.41770738
10000 6.5490495 5.02008415 6.00570929 6.15886279 6.26127078
10001 4.2709489 3.78179050 4.26558807 4.35540045 3.99120839
10003 4.8892810 5.82081290 5.38349331 5.59051474 5.37899489
100037417 2.3666517 1.58044096 2.77468295 2.02957095 2.54270527
100049716 2.7978479 1.09819241 2.68487053 1.87901025 1.68748487
10005 3.5992269 3.75176968 4.45408901 3.86815702 3.57375549
10006 6.3045554 5.69235982 6.61346295 6.39912808 6.27103986
10007 4.9741916 5.12919416 5.60778377 5.14730422 4.96303482
10009 4.8448751 4.72793947 4.95444000 4.96308367 5.15111193
100093630 5.3207183 3.52206927 4.21835321 4.03767848 3.53103155
1001 6.0447680 7.26643779 6.97018091 6.19117700 6.41603526
10010 5.3125888 5.02008415 5.45315608 4.71897877 5.01821436
100101267 2.3666517 2.04390852 2.25644599 2.56158746 2.03194795
100101467 4.6129912 3.01598090 4.80258341 4.09003058 4.61994065
10011 5.2200039 4.78833849 5.92464766 5.41693699 5.15111193
100113386 1.5418533 -1.17995959 1.06589286 1.04250082 -0.70113573
100113397 0.6454584 0.65476843 0.91605806 0.06801802 0.18429250
100113407 4.0144960 5.08171649 3.58569238 3.76459218 3.19022937
100125288 1.5418533 3.33225801 1.90518387 0.53891890 1.83527522
100127983 2.2351997 0.36861570 1.20161990 2.70276412 2.40752520
100128006 2.4871201 0.89345002 2.93909618 2.22950973 2.85131879
100128016 1.8421367 0.01130032 -0.22703473 1.52055335 1.52280855
100128025 -1.1799596 2.96455754 -1.17995959 -0.63561188 -1.17995959
100128054 2.2351997 -1.17995959 0.74883885 0.89335536 1.43283921
100128071 0.1571566 1.71099363 1.54572908 0.72699446 1.12340349
100128191 1.6490440 2.85586217 0.74883885 1.17766206 0.72894919
100128252 0.6454584 -0.46471601 -0.62620923 0.32259674 0.72894919
100128379 -1.1799596 0.01130032 -1.17995959 -1.17995959 -0.34224707
100128398 4.8448751 4.05194670 4.79186794 4.28228639 4.33955736
100128494 3.1659431 1.94124229 3.12132547 3.19226230 2.70524846
100128569 1.9297838 1.43688812 1.54572908 2.09934167 2.45400689
100128640 -1.1799596 2.73830531 -1.17995959 -0.24131875 -0.34224707
100128682 1.0096232 1.09819241 1.54572908 1.04250082 1.00351539
100128731 6.2374344 6.98607859 6.13851047 6.07908493 6.40128487
100128766 0.1571566 0.01130032 -0.62620923 -0.63561188 -0.70113573
100128782 1.8421367 2.79828079 1.90518387 0.72699446 1.33688384
100128822 2.9731192 3.52206927 2.43233613 1.79739588 1.43283921
100128833 2.4871201 2.61031281 2.43233613 1.95625379 2.49903763
100128881 1.3001437 1.58044096 2.43233613 2.45915917 1.60749506
100128893 4.4741172 5.30487028 4.38447237 4.57945875 4.54676631
100129001 -0.5865395 0.65476843 1.32566871 0.72699446 0.56920670
100129013 2.7978479 0.89345002 2.05609502 2.29043907 2.74317578
100129029 -0.5865395 0.01130032 0.55966520 -0.24131875 0.38954870
100129060 2.5982998 1.71099363 3.18822609 3.12694377 3.55255166
100129075 2.3024224 2.39413302 1.20161990 2.51128215 1.00351539
100129195 1.5418533 3.24874108 2.12601612 1.71088621 1.60749506
100129203 0.6454584 4.10039780 -0.62620923 0.06801802 0.38954870
100129250 1.8421367 2.39413302 1.20161990 1.41505921 1.12340349
100129259 0.1571566 -0.46471601 -0.62620923 1.04250082 0.56920670
100129361 5.4449208 3.59151275 5.31029533 5.50312068 5.43799925
100129398 -0.1672917 -1.17995959 -0.62620923 0.06801802 0.18429250
100129434 1.8421367 2.13975160 2.19270453 2.45915917 2.30981247
100129461 1.0096232 1.27745680 0.55966520 -0.24131875 0.18429250
100129484 2.4281430 2.13975160 2.68487053 2.22950973 2.03194795
100129550 4.5862653 4.63231767 4.93509249 3.86815702 3.95933863
100129583 1.9297838 0.65476843 1.54572908 0.72699446 0.18429250
100129662 0.8390007 2.13975160 0.55966520 1.17766206 1.12340349
100129707 -0.5865395 0.01130032 0.34188840 -0.63561188 0.72894919
100129716 1.1621840 0.89345002 0.08529116 1.61885630 0.72894919
100129726 -0.1672917 -1.17995959 -1.17995959 -0.24131875 -0.34224707
100129774 4.0925351 4.14727447 3.70472102 4.12390550 3.78848810
100129781 0.4218688 0.01130032 0.91605806 -0.24131875 0.18429250
100129792 0.8390007 0.36861570 0.74883885 0.72699446 0.38954870
100129794 1.7488184 0.01130032 2.05609502 0.89335536 1.52280855
100129842 -0.1672917 -0.46471601 -1.17995959 1.17766206 0.72894919
100129917 3.4881214 0.89345002 0.91605806 1.30123813 1.33688384
100129924 -0.1672917 1.27745680 0.55966520 -0.63561188 0.72894919
100129940 0.6454584 0.65476843 1.20161990 1.30123813 0.38954870
100129995 -0.1672917 -1.17995959 -1.17995959 0.72699446 -0.34224707
10013 6.1024902 5.93208078 5.23318409 5.53494402 5.47791185
100130111 2.0124097 0.89345002 2.58909364 1.71088621 1.60749506
100130197 0.4218688 0.01130032 -0.22703473 0.06801802 -0.05508808
100130335 4.2369877 4.43863232 3.93642829 3.86815702 3.48700366
100130348 3.0918766 1.83070644 2.12601612 2.65722315 2.70524846
100130357 0.1571566 -1.17995959 1.06589286 1.79739588 1.33688384
100130466 3.0533669 2.54179008 3.08667464 3.12694377 3.27033945
100130476 -1.1799596 1.27745680 -1.17995959 0.06801802 0.72894919
100130522 1.4260546 2.39413302 1.73662263 1.04250082 0.38954870
100130550 1.1621840 -1.17995959 0.55966520 0.32259674 0.87275421
100130564 2.4281430 3.48605244 2.77468295 2.56158746 2.25835681
100130581 1.3001437 -1.17995959 -0.22703473 -0.24131875 -0.34224707
100130691 1.9297838 -0.46471601 0.55966520 0.89335536 2.09196737
100130705 3.8217517 2.22962221 2.37605554 1.87901025 1.43283921
100130748 1.3001437 0.89345002 0.74883885 1.30123813 1.83527522
100130750 1.4260546 1.43688812 1.82336364 2.09934167 1.52280855
100130855 1.1621840 0.01130032 1.43989067 1.52055335 1.23408874
100130958 1.4260546 2.31422125 1.20161990 0.89335536 0.18429250
100131017 2.4871201 2.79828079 2.97743003 2.09934167 2.14958925
100131031 1.1621840 -1.17995959 0.91605806 0.32259674 0.18429250
100131033 1.0096232 1.71099363 1.32566871 1.04250082 0.72894919
100131067 3.3360071 2.46984978 2.37605554 0.32259674 1.60749506
100131089 2.4871201 1.27745680 2.85923042 2.65722315 2.35949593
100131094 1.5418533 0.36861570 0.55966520 -0.63561188 0.56920670
100131138 4.8672489 4.95570089 4.26558807 4.07279010 4.64018357
100131187 1.9297838 3.78179050 2.97743003 2.98670368 3.01528652
100131193 1.6490440 2.13975160 1.54572908 2.34889911 2.54270527
100131211 2.8437021 3.06563424 3.12132547 3.69868587 3.48700366
100131213 1.1621840 3.01598090 2.63777673 2.45915917 2.85131879
100131471 1.9297838 0.36861570 2.48650335 2.70276412 1.52280855
100131656 2.7978479 4.52990533 3.31338314 3.34368514 3.73302187
100131685 1.0096232 0.65476843 1.64433087 1.71088621 1.83527522
100131691 2.4281430 3.65776655 1.82336364 1.30123813 1.68748487
100131740 1.0096232 1.71099363 -0.22703473 0.32259674 0.56920670
100131801 2.5982998 3.33225801 2.68487053 2.65722315 2.58508991
100131827 0.6454584 0.89345002 0.08529116 0.53891890 0.18429250
100131828 1.0096232 1.27745680 0.34188840 0.06801802 0.18429250
100131940 1.1621840 1.43688812 1.32566871 1.30123813 1.96932279
100132074 1.0096232 1.27745680 1.20161990 1.41505921 0.72894919
100132086 0.4218688 0.36861570 -0.62620923 -1.17995959 0.38954870
100132116 5.0148435 6.91674589 6.52887594 7.13168579 7.26038732
100132126 -0.5865395 0.65476843 0.55966520 -0.63561188 -0.70113573
100132215 0.6454584 1.09819241 -0.62620923 0.72699446 1.52280855
100132537 1.6490440 0.89345002 1.90518387 2.16589327 0.87275421
100132609 1.3001437 1.71099363 1.32566871 0.32259674 1.33688384
100132659 -0.5865395 0.01130032 0.91605806 0.06801802 0.72894919
100132891 2.1646911 -1.17995959 -0.22703473 0.32259674 0.18429250
100132972 1.1621840 -1.17995959 -0.22703473 -1.17995959 -1.17995959
100133234 0.6454584 -0.46471601 0.34188840 -0.24131875 0.72894919
100133286 -0.5865395 1.58044096 -0.22703473 -0.24131875 -0.34224707
100133315 1.1621840 0.01130032 1.20161990 0.06801802 0.18429250
100134934 1.6490440 1.83070644 1.64433087 1.71088621 1.83527522
10014 5.5454651 5.37547707 5.92954417 6.06171236 5.80372560
100144603 0.1571566 -0.46471601 -0.62620923 0.89335536 -0.34224707
100144748 2.3024224 5.49808612 3.37211231 1.95625379 1.76327168
10015 7.3249760 7.22606562 7.83431190 7.64468778 7.51041074
10016 5.3841557 5.39503162 5.47341545 5.30326995 5.52221384
100170229 0.8390007 -1.17995959 0.55966520 1.41505921 0.38954870
100170841 3.2015975 6.07228433 1.73662263 2.98670368 2.35949593
10018 3.9106084 6.10233428 3.81467336 3.53207735 3.07598865
100188847 1.5418533 1.09819241 1.32566871 1.17766206 1.52280855
10019 4.9638471 5.73134169 4.20225822 4.15700324 3.69482309
100190938 2.0905587 -1.17995959 0.55966520 1.17766206 1.23408874
1002 1.4260546 0.65476843 1.20161990 0.72699446 0.72894919
10020 3.3987902 3.48605244 3.31338314 3.25475117 3.59465218
10021 6.9744595 6.67423545 7.56214637 7.76764195 7.87312114
10023 1.7488184 5.10565062 1.06589286 1.52055335 1.52280855
10024 0.8390007 2.85586217 -0.22703473 3.02306230 3.53103155
10026 6.2244940 7.13596610 5.91973446 6.10475773 6.28396326
100268168 2.4871201 1.83070644 0.55966520 1.17766206 1.90385532
100270804 2.0124097 0.65476843 1.73662263 0.89335536 0.56920670
100270827 1.6490440 0.65476843 -0.62620923 0.53891890 0.18429250
100270840 4.3204372 3.89599140 3.58569238 4.20526826 4.19652282
100270854 4.5862653 4.36121409 4.15286702 4.43851068 4.03773066
100270865 5.0640987 5.18642503 4.88555719 5.07121366 5.04123161
100271271 2.9731192 3.78179050 3.25216140 2.16589327 2.58508991
100271332 -1.1799596 -1.17995959 -1.17995959 -0.24131875 -0.70113573
100271415 2.0124097 0.36861570 1.64433087 1.41505921 1.96932279
100271479 -0.1672917 0.65476843 1.06589286 -1.17995959 1.00351539
100271884 -0.1672917 0.65476843 0.34188840 -1.17995959 -0.34224707
100272147 2.5982998 2.85586217 2.19270453 1.61885630 2.25835681
100286844 1.8421367 -0.46471601 0.34188840 1.52055335 1.43283921
100287015 2.0905587 0.01130032 0.55966520 1.87901025 1.68748487
100287049 0.6454584 1.71099363 0.08529116 0.53891890 0.87275421
100287074 1.5418533 0.36861570 1.32566871 1.41505921 0.56920670
100287616 3.5722423 2.67572799 2.19270453 3.45432948 3.46447539
100287722 1.1621840 0.36861570 1.32566871 0.53891890 1.33688384
100287808 -0.1672917 3.11363537 -1.17995959 0.32259674 0.38954870
100287837 -0.1672917 1.27745680 1.32566871 0.89335536 0.72894919
100287896 2.0905587 0.89345002 1.43989067 2.16589327 2.49903763
100287902 -1.1799596 1.09819241 0.34188840 0.53891890 -0.34224707
100287928 2.7978479 3.92318300 2.53871020 3.28500907 2.91915801
100287932 4.7990588 5.02008415 4.93509249 5.31064263 5.01045961
100288001 2.0124097 0.89345002 2.19270453 1.95625379 1.76327168
100288073 6.6589359 2.22962221 3.01477163 2.91111640 2.98395002
100288123 0.6454584 1.27745680 0.91605806 1.17766206 0.56920670
100288198 2.2351997 0.89345002 1.82336364 2.16589327 0.56920670
100288241 -0.5865395 -1.17995959 -1.17995959 -1.17995959 -1.17995959
100288413 2.6508335 3.81119934 2.53871020 2.78974777 2.20499781
100288513 -0.5865395 0.36861570 0.34188840 0.72699446 -0.05508808
100288842 1.8421367 -1.17995959 1.64433087 1.71088621 0.38954870
100289061 -0.1672917 2.13975160 1.64433087 1.30123813 1.90385532
100289095 0.8390007 1.09819241 -1.17995959 0.72699446 0.72894919
100289133 3.4291860 4.30029603 4.08426638 4.46518315 4.42370996
100289178 1.4260546 2.85586217 2.85923042 2.51128215 2.58508991
100289211 0.4218688 1.27745680 -1.17995959 1.30123813 0.56920670
100289259 0.8390007 0.36861570 1.06589286 1.04250082 1.12340349
100289274 4.9001722 3.86827743 1.98261178 2.45915917 2.20499781
100289341 1.9297838 3.06563424 1.82336364 0.06801802 1.60749506
100289373 1.0096232 1.09819241 0.34188840 0.72699446 -0.34224707
100289388 0.4218688 0.36861570 1.73662263 -0.24131875 0.18429250
100289414 0.4218688 0.65476843 0.74883885 0.32259674 -1.17995959
100289635 5.5315236 3.06563424 5.10919136 4.96308367 4.91399792
100289640 2.0124097 0.36861570 0.55966520 1.79739588 1.00351539
100289678 2.5982998 3.24874108 2.53871020 2.56158746 2.40752520
100293516 2.8881436 1.71099363 3.34304655 3.15997267 3.21743000
100294362 1.3001437 0.65476843 1.64433087 -0.24131875 1.83527522
1003 -0.1672917 0.01130032 1.06589286 1.04250082 1.83527522
100302692 1.7488184 0.01130032 2.48650335 1.41505921 2.49903763
100302736 2.8881436 1.83070644 1.06589286 1.52055335 1.52280855
100303728 2.3666517 2.73830531 2.68487053 2.09934167 2.81616418
100303755 1.6490440 0.65476843 1.06589286 0.72699446 1.00351539
100312828 -1.1799596 -1.17995959 1.06589286 0.89335536 0.38954870
100312850 -0.5865395 -1.17995959 1.43989067 1.41505921 -0.34224707
10036 3.5447434 3.01598090 2.81757594 4.35540045 4.65019950
100379345 1.1621840 -1.17995959 0.34188840 0.53891890 1.33688384
10038 5.3368410 3.59151275 4.89560125 5.36830573 5.34856237
100381270 1.3001437 0.01130032 0.91605806 0.06801802 0.72894919
10039 2.8437021 0.89345002 2.73047552 2.70276412 3.21743000
1004 2.4871201 2.39413302 4.10172477 3.86815702 4.03773066
10040 4.5727144 3.48605244 3.74971243 3.78590846 4.05291058
100418710 0.1571566 1.43688812 0.34188840 0.72699446 0.72894919
100418735 1.5418533 2.13975160 1.98261178 0.89335536 0.38954870
100418744 2.2351997 -0.46471601 1.98261178 2.29043907 2.54270527
100418770 -0.5865395 -1.17995959 -0.62620923 -0.24131875 0.56920670
100418781 1.8421367 2.85586217 2.31748997 3.25475117 3.48700366
100418819 2.0905587 -0.46471601 1.90518387 1.79739588 1.43283921
100418829 1.4260546 1.83070644 1.90518387 2.83134883 2.66629708
100418888 1.1621840 1.27745680 0.91605806 1.30123813 0.56920670
100418889 3.2363920 2.54179008 3.15516354 2.61019762 2.78013150
100418910 0.1571566 0.89345002 0.74883885 0.72699446 1.12340349
100418919 2.7978479 2.31422125 2.93909618 2.91111640 2.20499781
100419028 2.1646911 0.65476843 1.82336364 2.16589327 1.60749506
100419185 0.4218688 0.01130032 -0.62620923 0.06801802 1.00351539
100419416 -0.1672917 0.89345002 1.43989067 0.53891890 0.38954870
100419515 1.0096232 -1.17995959 0.91605806 1.30123813 0.56920670
100419645 0.1571566 -0.46471601 -0.22703473 -1.17995959 -0.34224707
100419758 -0.1672917 -1.17995959 1.06589286 1.41505921 0.18429250
100419928 2.3024224 1.09819241 2.25644599 1.30123813 1.43283921
10042 4.6129912 3.92318300 4.79186794 4.96308367 4.77444838
100420028 -1.1799596 2.22962221 0.74883885 1.41505921 0.72894919
100420050 1.0096232 0.01130032 0.55966520 -0.24131875 0.56920670
100420110 2.8881436 1.83070644 2.19270453 2.98670368 2.95191771
100420187 -0.1672917 0.01130032 -0.22703473 -1.17995959 -0.05508808
100420259 3.6517274 3.29110380 3.95575801 4.29720864 4.14078142
100420307 -0.1672917 1.58044096 0.91605806 1.61885630 0.87275421
100420341 7.1143114 5.17515904 5.39769756 5.81965656 5.86090599
100420423 0.6454584 1.71099363 1.73662263 0.72699446 0.38954870
100420591 1.7488184 -0.46471601 0.74883885 0.53891890 -0.05508808
100420707 2.7015212 1.71099363 2.37605554 2.02957095 2.81616418
100420752 2.0124097 0.89345002 1.64433087 0.89335536 2.40752520
100420869 3.4881214 4.83203417 3.48285111 3.84803029 4.02238932
100420981 6.3647658 6.33272706 5.93442413 5.87540873 5.86521202
100421093 3.6257159 3.65776655 3.79334308 3.67603062 3.89340597
100421109 0.6454584 1.09819241 1.06589286 0.53891890 0.56920670
100421160 -0.1672917 0.65476843 -0.22703473 0.06801802 0.56920670
100421175 -1.1799596 -0.46471601 -0.22703473 1.17766206 -0.34224707
100421246 1.6490440 0.01130032 1.32566871 0.89335536 0.72894919
100421311 1.4260546 1.71099363 0.91605806 1.04250082 0.38954870
100421372 1.4260546 1.71099363 1.82336364 1.52055335 1.33688384
100421400 2.4281430 2.13975160 2.68487053 1.71088621 2.30981247
100421415 0.1571566 -1.17995959 -0.22703473 -0.24131875 -0.70113573
100421429 0.4218688 1.27745680 0.34188840 0.06801802 0.18429250
100421465 1.7488184 -0.46471601 0.74883885 0.89335536 0.56920670
100421468 2.8437021 1.27745680 1.73662263 2.16589327 1.96932279
100421506 1.3001437 1.71099363 0.08529116 0.72699446 -0.05508808
100421569 0.6454584 0.89345002 1.32566871 0.72699446 -0.05508808
100421595 0.4218688 -1.17995959 -1.17995959 -1.17995959 -1.17995959
100421794 -1.1799596 -1.17995959 -1.17995959 -1.17995959 0.18429250
100422106 1.9297838 2.04390852 0.91605806 1.52055335 1.96932279
100422338 2.0905587 2.22962221 2.53871020 3.15997267 2.30981247
100422546 1.0096232 1.43688812 1.06589286 1.52055335 0.18429250
100422561 3.8217517 2.96455754 3.31338314 3.31464539 3.29608388
10043 5.4072436 4.75845503 5.80718148 5.50312068 5.48352457
10044 0.4218688 2.39413302 -0.22703473 -0.24131875 -0.05508808
10045 0.6454584 0.01130032 -0.22703473 -0.24131875 0.56920670
10046 -0.5865395 0.01130032 1.73662263 1.30123813 1.60749506
10048 6.5033535 6.65814088 6.63460670 6.62882265 6.51526945
10049 6.0594165 6.79690985 5.96812930 6.06607515 6.08419722
100499177 3.1293851 2.31422125 2.31748997 2.83134883 2.25835681
100499483 1.7488184 -0.46471601 2.19270453 0.89335536 1.96932279
1005 -1.1799596 -1.17995959 -1.17995959 -1.17995959 -0.34224707
100500719 -1.1799596 1.09819241 0.08529116 -1.17995959 0.56920670
100505385 3.0533669 2.73830531 3.70472102 3.50662411 3.48700366
100505501 -0.1672917 2.22962221 0.91605806 0.72699446 -0.05508808
100505538 1.4260546 1.27745680 0.34188840 1.04250082 -0.34224707
100505549 1.8421367 0.36861570 0.74883885 0.72699446 -0.34224707
100505573 5.7398734 6.30715198 6.83318515 6.16294187 6.39534223
100505576 0.8390007 2.22962221 1.54572908 0.53891890 1.76327168
100505616 0.1571566 1.09819241 -0.22703473 -1.17995959 -0.34224707
100505624 0.6454584 -1.17995959 1.20161990 1.17766206 1.12340349
100505635 0.8390007 -0.46471601 -0.22703473 0.89335536 1.12340349
100505641 2.4281430 2.39413302 2.68487053 2.34889911 1.33688384
100505648 2.9731192 1.43688812 3.08667464 2.02957095 2.14958925
100505678 1.5418533 0.36861570 1.54572908 1.95625379 1.52280855
100505696 4.4741172 4.14727447 4.73706321 4.14054928 3.95933863
100505715 1.0096232 0.36861570 0.91605806 0.89335536 0.38954870
100505738 2.8881436 2.22962221 2.37605554 1.87901025 2.54270527
100505741 2.1646911 2.31422125 1.43989067 1.95625379 1.83527522
100505758 3.5447434 2.85586217 3.15516354 3.48071373 3.44158974
100505761 3.6257159 2.54179008 2.77468295 2.65722315 2.09196737
100505771 1.8421367 0.36861570 1.90518387 2.34889911 0.56920670
100505783 3.1293851 4.52990533 2.31748997 2.65722315 1.43283921
100505806 5.3918928 3.41120360 4.32625445 4.56719938 4.45832506
100505812 1.6490440 -1.17995959 0.74883885 1.79739588 1.00351539
100505832 1.4260546 1.09819241 1.90518387 -1.17995959 0.56920670
100505854 4.7755932 4.69676447 3.08667464 3.02306230 3.37067044
100505876 4.8106500 4.32088919 5.64992907 4.93473565 4.81062151
100505894 2.9312570 0.36861570 2.89971588 2.51128215 2.35949593
100505933 -0.1672917 -1.17995959 0.91605806 -0.24131875 -0.70113573
100505994 3.5992269 0.01130032 -0.22703473 0.06801802 0.18429250
100506020 0.1571566 0.36861570 1.82336364 0.06801802 0.56920670
100506033 4.4741172 3.59151275 3.77169269 4.62748032 4.84590980
100506054 1.5418533 1.09819241 1.06589286 1.04250082 0.72894919
100506068 -0.1672917 2.04390852 1.90518387 0.89335536 1.00351539
100506070 1.8421367 1.71099363 -0.22703473 1.41505921 1.33688384
100506083 0.1571566 0.01130032 0.74883885 0.06801802 0.18429250
100506100 0.4218688 0.36861570 0.08529116 0.06801802 0.18429250
100506119 1.6490440 0.65476843 1.32566871 1.30123813 1.23408874
100506127 1.1621840 0.65476843 0.74883885 1.04250082 1.60749506
100506142 1.0096232 -1.17995959 -0.62620923 0.72699446 -0.70113573
100506144 1.5418533 1.27745680 1.64433087 2.16589327 2.25835681
100506161 0.4218688 0.01130032 -0.22703473 1.04250082 -1.17995959
100506211 1.6490440 1.09819241 1.54572908 2.09934167 2.35949593
100506235 0.8390007 1.43688812 1.82336364 0.72699446 1.52280855
100506258 1.6490440 0.36861570 1.73662263 0.53891890 1.33688384
100506282 1.8421367 2.22962221 2.19270453 2.09934167 1.90385532
100506286 -0.1672917 3.29110380 1.32566871 1.87901025 1.33688384
100506302 1.3001437 1.58044096 1.43989067 1.79739588 1.00351539
100506321 1.0096232 0.36861570 0.08529116 0.53891890 0.38954870
100506325 1.1621840 0.01130032 -0.22703473 -0.24131875 -0.70113573
100506343 0.1571566 0.36861570 1.06589286 0.53891890 0.72894919
100506365 5.5315236 3.44911337 5.11779744 5.43728738 5.27279326
100506368 0.4218688 -0.46471601 -1.17995959 0.72699446 -1.17995959
100506380 3.4881214 0.65476843 2.97743003 3.05852710 2.09196737
100506392 3.4291860 0.01130032 2.31748997 3.02306230 3.67533761
100506394 2.0905587 3.41120360 1.73662263 2.16589327 2.49903763
100506411 0.6454584 1.27745680 0.08529116 0.72699446 1.68748487
100506433 1.6490440 1.43688812 3.12132547 2.87178384 1.76327168
100506462 -0.1672917 2.67572799 1.06589286 1.30123813 0.18429250
100506469 4.8561053 4.25820633 4.10172477 4.54236361 4.33955736
100506495 -1.1799596 1.83070644 0.34188840 -0.24131875 1.12340349
100506504 2.3024224 0.01130032 1.06589286 0.53891890 1.33688384
100506540 0.6454584 0.65476843 0.55966520 0.53891890 0.87275421
100506581 -0.1672917 0.01130032 1.20161990 0.32259674 1.23408874
100506606 1.5418533 1.43688812 0.74883885 0.89335536 -0.70113573
100506658 3.9943084 3.11363537 1.73662263 2.65722315 2.78013150
100506668 2.7978479 1.43688812 2.81757594 1.61885630 3.01528652
100506686 2.1646911 0.36861570 1.73662263 1.52055335 1.60749506
100506691 -1.1799596 -1.17995959 -0.22703473 0.53891890 0.18429250
100506696 2.0124097 2.85586217 1.82336364 1.95625379 2.03194795
100506697 1.4260546 -0.46471601 -0.22703473 0.89335536 1.33688384
100506710 7.1671158 6.32255137 6.36865313 6.38871602 6.33452937
100506713 -0.1672917 -1.17995959 -0.62620923 0.06801802 -0.05508808
100506725 3.8217517 1.27745680 3.61029672 4.28228639 3.69482309
100506731 2.3024224 2.22962221 2.12601612 1.41505921 1.23408874
100506757 0.8390007 -1.17995959 -1.17995959 -1.17995959 -0.34224707
100506779 -1.1799596 0.89345002 -0.62620923 -1.17995959 0.38954870
100506804 -1.1799596 0.65476843 -1.17995959 0.06801802 0.56920670
100506826 2.1646911 1.27745680 2.37605554 2.09934167 2.14958925
100506844 3.6257159 1.27745680 1.73662263 1.61885630 2.58508991
100506866 6.1351249 4.94247213 5.79112980 5.92908630 6.09156656
100506881 1.6490440 3.37227074 1.54572908 -0.24131875 0.38954870
100506885 -0.1672917 0.65476843 -0.62620923 -0.24131875 -0.70113573
100506911 0.8390007 0.01130032 1.32566871 0.06801802 0.56920670
100506922 2.0905587 3.20509671 1.82336364 2.09934167 1.00351539
100506930 3.8889020 2.91123328 4.01224019 3.80691436 3.73302187
100506994 0.6454584 1.43688812 0.34188840 1.04250082 0.56920670
100507003 1.4260546 0.01130032 -0.22703473 1.30123813 1.12340349
100507032 1.5418533 0.01130032 1.73662263 1.71088621 -0.05508808
100507034 3.2703670 4.02709697 3.34304655 3.22384504 3.27033945
100507050 -0.1672917 2.96455754 0.08529116 0.32259674 0.18429250
100507053 1.8421367 1.43688812 2.43233613 1.04250082 1.60749506
100507057 1.6490440 1.58044096 -1.17995959 0.72699446 0.72894919
100507062 0.8390007 3.29110380 -0.22703473 0.32259674 -0.34224707
100507071 -0.1672917 0.01130032 -0.22703473 -0.24131875 0.18429250
100507156 3.3677401 3.52206927 3.45595306 3.02306230 3.29608388
100507171 3.7023843 1.09819241 2.37605554 3.05852710 2.62626480
100507173 1.4260546 0.01130032 0.34188840 0.89335536 0.18429250
100507178 2.1646911 0.01130032 1.54572908 0.53891890 1.23408874
100507244 0.8390007 0.65476843 1.06589286 0.32259674 1.00351539
100507246 1.9297838 2.04390852 2.63777673 1.95625379 3.10540805
100507250 0.6454584 0.01130032 0.08529116 -0.24131875 -0.34224707
100507254 -1.1799596 -1.17995959 -1.17995959 -0.24131875 0.18429250
100507266 0.4218688 -1.17995959 0.74883885 0.72699446 -0.70113573
100507290 4.3682841 3.41120360 4.44043183 4.55483494 4.64018357
100507291 1.5418533 -0.46471601 2.12601612 1.71088621 1.43283921
100507303 2.8881436 1.71099363 2.81757594 1.95625379 3.32137695
100507308 0.4218688 -1.17995959 -0.62620923 -0.24131875 -1.17995959
100507316 1.5418533 0.01130032 -0.22703473 0.72699446 1.33688384
100507331 2.1646911 1.27745680 1.98261178 2.09934167 1.60749506
100507347 1.0096232 0.65476843 1.20161990 0.53891890 0.18429250
100507373 1.5418533 2.39413302 1.64433087 1.61885630 1.43283921
100507392 0.4218688 1.27745680 1.43989067 0.72699446 1.23408874
100507398 1.1621840 1.83070644 0.08529116 1.41505921 1.12340349
100507401 0.4218688 1.27745680 0.34188840 0.72699446 -0.70113573
100507420 -1.1799596 -1.17995959 1.32566871 0.32259674 1.00351539
100507433 1.8421367 0.89345002 1.20161990 1.04250082 1.23408874
100507436 0.8390007 1.94124229 0.34188840 -0.24131875 -0.05508808
100507437 2.0124097 -1.17995959 2.12601612 1.61885630 1.43283921
100507459 2.4871201 1.83070644 1.54572908 1.79739588 1.60749506
100507463 -0.1672917 2.85586217 2.53871020 1.04250082 1.76327168
100507487 3.1293851 0.65476843 3.68168798 2.45915917 2.49903763
100507495 2.2351997 2.91123328 1.73662263 1.61885630 2.14958925
100507516 0.1571566 -1.17995959 -1.17995959 0.06801802 -0.05508808
100507551 1.9297838 0.01130032 0.55966520 1.71088621 0.56920670
100507557 1.4260546 1.58044096 0.34188840 0.53891890 0.18429250
100507564 0.4218688 0.01130032 -0.62620923 -0.24131875 -1.17995959
100507567 1.8421367 1.58044096 1.73662263 -0.24131875 0.18429250
100507588 0.6454584 0.65476843 -1.17995959 0.72699446 0.38954870
100507599 1.4260546 1.27745680 0.34188840 0.53891890 1.12340349
100507602 1.5418533 1.83070644 0.91605806 1.71088621 0.72894919
100508120 2.7504884 1.27745680 2.12601612 2.09934167 1.83527522
10051 5.6132207 5.72362912 5.63801266 6.58693149 6.41603526
10052 0.8390007 1.58044096 1.32566871 0.53891890 1.43283921
100526737 1.6490440 1.27745680 1.82336364 2.65722315 1.83527522
100526760 1.9297838 1.71099363 0.74883885 1.52055335 0.87275421
100526820 -0.1672917 1.09819241 0.55966520 0.32259674 0.18429250
100526835 3.2363920 1.83070644 2.85923042 2.29043907 2.49903763
100527978 1.5418533 0.36861570 1.06589286 0.53891890 1.00351539
100529145 1.8421367 1.09819241 1.54572908 0.72699446 1.00351539
100529215 0.1571566 0.01130032 -0.62620923 0.53891890 -0.34224707
100532746 3.7513226 4.19267581 3.74971243 4.01979693 3.82431522
100533106 -1.1799596 0.89345002 0.55966520 0.53891890 0.38954870
100533182 1.0096232 1.09819241 1.32566871 0.89335536 1.33688384
100533619 0.4218688 2.61031281 -0.22703473 1.41505921 0.56920670
100533629 0.1571566 0.36861570 1.20161990 0.53891890 1.12340349
100533695 0.6454584 0.36861570 0.74883885 0.32259674 -0.05508808
100533970 1.1621840 1.43688812 -0.22703473 0.89335536 1.23408874
100534593 0.1571566 0.36861570 1.98261178 0.89335536 0.38954870
10054 5.6263982 4.75845503 5.41874512 5.75086357 5.69665183
10056 5.5797406 5.29449548 5.41874512 5.68431234 5.80372560
10057 7.3128007 7.65498503 7.99825760 7.75283365 7.74228793
10058 5.1848071 5.59426748 6.03326551 4.25197072 4.40016304
10059 6.4225637 6.39231857 6.71621283 6.99879149 7.07392698
1006 4.7396633 4.69676447 6.86164480 4.57945875 4.81952483
10060 3.2363920 2.46984978 3.01477163 2.02957095 2.40752520
100616256 -0.5865395 0.89345002 0.34188840 1.30123813 0.87275421
10062 1.0096232 0.89345002 1.54572908 1.71088621 2.35949593
10063 3.7270610 4.10039780 3.48285111 3.50662411 2.91915801
100652739 0.1571566 0.65476843 0.55966520 0.53891890 0.87275421
100652758 -1.1799596 3.55720880 -1.17995959 -0.24131875 -0.05508808
100652846 0.4218688 1.43688812 2.53871020 2.40508223 1.76327168
10066 6.4961931 5.77677077 6.49954107 6.30997442 6.40720314
10067 6.4035539 6.02286330 6.37225413 6.44004077 6.49318163
10068 2.9731192 3.29110380 3.31338314 3.28500907 3.61525051
10069 4.7517396 5.06959886 4.49430154 4.15700324 4.32712461
10072 4.5727144 5.79895989 4.99237360 5.38934874 5.42638986
10073 3.5992269 1.94124229 3.56066114 3.67603062 3.80651287
10075 8.9113317 8.04519703 9.01036148 8.72193654 8.83436582
10076 5.5729504 5.34563912 6.76085275 5.41008922 5.57574420
10077 2.1646911 2.73830531 2.73047552 2.87178384 2.14958925
100775107 0.8390007 -0.46471601 1.06589286 1.04250082 0.38954870
10078 4.9429328 4.41966375 4.49430154 4.63924004 4.57858226
10079 5.3044133 5.14082340 5.21725462 5.25822469 5.58098960
1008 3.5167102 2.73830531 6.45608687 3.42745371 3.94313579
10081 4.8335567 5.53380745 4.60862190 4.42498722 4.45832506
10082 7.6637926 8.14673644 7.73851401 7.89816637 7.93280396
100820829 4.2022078 4.83203417 5.19302570 4.80501868 5.10815875
10084 4.9001722 4.49408603 4.72584793 5.24289155 5.38500511
100847074 0.6454584 1.83070644 1.20161990 1.87901025 1.23408874
10085 9.1817530 9.73548306 9.54014055 9.49435594 9.39356053
100852407 1.8421367 0.36861570 0.55966520 0.72699446 0.18429250
100861412 1.1621840 1.09819241 -1.17995959 0.89335536 1.12340349
100861548 4.8561053 5.25223370 3.91683606 4.03767848 3.69482309
100862671 1.0096232 0.01130032 1.54572908 -0.24131875 1.12340349
10087 6.4300981 6.59190467 6.12576713 6.01734304 5.91174907
100873257 0.4218688 0.01130032 -0.22703473 -0.24131875 0.18429250
100873333 3.2015975 4.30029603 3.40060404 3.31464539 3.44158974
100873790 3.9106084 4.32088919 2.97743003 3.78590846 3.69482309
100873949 -0.1672917 -0.46471601 0.74883885 1.71088621 0.87275421
100873952 -0.1672917 0.36861570 -0.22703473 0.32259674 0.56920670
100873965 1.7488184 0.65476843 1.54572908 2.09934167 1.52280855
100874006 1.1621840 0.36861570 1.32566871 -0.24131875 0.38954870
100874008 0.8390007 2.04390852 0.34188840 1.71088621 0.72894919
100874014 2.5437807 0.65476843 3.08667464 2.56158746 2.20499781
100874058 2.0124097 -1.17995959 0.74883885 0.72699446 0.87275421
100874080 0.8390007 0.65476843 0.74883885 1.52055335 0.72894919
100874097 1.3001437 0.65476843 0.91605806 1.41505921 1.68748487
100874201 -0.5865395 0.36861570 -1.17995959 0.32259674 0.72894919
100874212 1.3001437 1.43688812 0.74883885 -0.63561188 1.23408874
100874217 1.1621840 0.36861570 1.06589286 0.53891890 0.38954870
100874235 -0.1672917 0.65476843 1.43989067 0.32259674 0.38954870
100874261 1.6490440 0.89345002 -0.62620923 0.06801802 0.18429250
100874291 -1.1799596 0.36861570 0.34188840 -1.17995959 -0.34224707
100874362 2.2351997 3.84002065 1.32566871 1.04250082 1.83527522
100874523 2.5437807 1.43688812 2.81757594 1.95625379 2.30981247
100885775 4.6650021 4.27940467 5.09182364 4.57945875 5.00266295
100885776 1.1621840 0.89345002 -0.22703473 -0.24131875 -0.34224707
100885848 3.6257159 4.72793947 3.25216140 3.88800683 4.63009761
1009 8.8487594 8.13370072 9.20263551 10.01601171 10.06347551
10090 4.1844983 4.90204209 3.93642829 4.25197072 3.73302187
10092 7.2115123 6.18890179 7.17991130 7.56678101 7.46998634
10093 6.6000376 6.75968254 6.98436828 7.12542844 7.22229046
10094 5.3685559 5.20869647 5.48010584 5.68431234 5.54922729
10095 6.1397273 6.45421398 6.12576713 6.16700945 6.24814157
10097 8.1294715 8.65441903 8.28093960 8.50129203 8.54400980
10098 6.6166408 5.41432466 7.07995541 7.09158969 7.15001505
10099 8.3921269 9.16709706 8.35013623 8.54336114 8.56533861
100996246 -1.1799596 -1.17995959 0.55966520 0.32259674 0.72894919
100996251 -1.1799596 1.83070644 -1.17995959 -0.63561188 0.38954870
100996307 -0.5865395 0.01130032 0.08529116 -0.24131875 0.38954870
100996384 0.4218688 0.89345002 1.43989067 0.53891890 0.56920670
100996419 1.3001437 1.09819241 1.06589286 0.06801802 0.87275421
100996485 1.5418533 2.54179008 2.63777673 1.95625379 1.76327168
100996539 0.8390007 1.09819241 1.43989067 -1.17995959 -0.34224707
100996579 0.8390007 0.01130032 0.74883885 0.32259674 0.56920670
100996696 2.5437807 1.83070644 2.05609502 2.56158746 2.70524846
100996842 -1.1799596 0.01130032 0.91605806 -0.63561188 1.00351539
100996851 -0.1672917 0.01130032 -1.17995959 -1.17995959 -0.05508808
100996939 0.8390007 -1.17995959 1.32566871 0.89335536 1.23408874
101 1.8421367 3.68978634 2.58909364 2.16589327 2.54270527
1010 -1.1799596 -1.17995959 -1.17995959 -1.17995959 -1.17995959
10100 3.9319930 5.44278893 4.86525682 4.87631174 5.23336224
10101 5.2628258 5.08171649 4.88555719 4.83600522 5.08619288
10102 4.5996902 4.59898151 5.10919136 4.88621484 5.19965927
10103 2.5437807 1.43688812 2.25644599 0.72699446 0.72894919
10105 6.0099985 6.58340716 5.68509888 6.32461445 6.35304389
10106 7.4264011 6.46350499 6.65248651 6.73126886 6.68563868
101060200 2.8437021 2.67572799 2.43233613 2.51128215 2.09196737
101060691 3.1293851 0.01130032 2.81757594 3.09314096 3.21743000
10109 8.0668111 8.46965673 8.78711541 8.45380324 8.49899738
10112 2.5437807 4.41966375 1.06589286 5.13073863 5.06388739
10113 6.8785934 5.27351934 6.01495330 5.90979747 6.24484051
10114 7.4264011 7.95914112 7.42671242 7.17272191 7.33057886
101154753 0.6454584 1.43688812 0.74883885 0.53891890 1.52280855
10116 7.7016374 6.03537817 7.36117540 7.39187936 7.37956421
10117 1.8421367 2.54179008 1.06589286 2.02957095 2.40752520
1012 7.6216418 7.69102634 7.13610376 6.82434707 6.89596678
10121 5.8618810 6.23303139 6.18019323 6.19516585 6.19781465
10123 7.2588204 4.84631017 7.25400051 6.94769113 7.16056445
101241892 3.8444842 2.31422125 3.85641052 3.60584871 3.57375549
10125 1.5418533 2.61031281 2.77468295 2.34889911 2.62626480
10126 3.5722423 2.91123328 3.65828124 3.45432948 3.63555888
TNFa_24_H3 H2O_24_H3 BPA_24_H3 EtOH_24_H3 TUN_2_H4 THA_2_H4
100 3.47631786 3.83380622 3.56351577 3.8319029 3.4009790 3.45463444
1000 11.32828010 11.37449396 11.27706819 11.3872966 11.3396489 11.06295990
10000 6.17808115 6.21747793 6.18039892 6.1133225 6.9882833 7.26848335
10001 4.39952034 4.28197062 4.22124842 4.4637852 4.7554890 4.53849415
10003 4.98416749 5.52838435 5.27175595 5.7490874 2.8028966 2.65236860
100037417 2.28069801 2.41259362 2.52425470 2.3724774 2.3449852 2.11717818
100049716 2.14782903 2.16773278 1.79761414 1.6409727 1.8497778 1.75025277
10005 3.90469982 4.10165341 3.91752138 4.3518304 3.6635667 3.69064336
10006 6.39637206 6.34464474 6.50358926 6.2755286 6.5491588 6.72065759
10007 4.75210418 5.03350666 4.75479948 5.1727808 5.2787320 5.25712587
10009 4.87630114 5.24589564 4.75479948 5.0879633 4.7554890 5.14242340
100093630 3.98479812 3.59422752 3.56351577 4.2924170 3.3421969 3.71225228
1001 6.23923357 6.36660822 6.31939045 6.3968525 5.5099495 5.63631852
10010 5.77444800 5.12224809 5.05837908 5.2213765 4.9648007 5.32181057
100101267 1.89493852 1.50125517 1.44237410 1.8199409 2.6170428 2.65236860
100101467 4.55629172 4.48301986 3.94146904 4.4088935 4.3557367 4.52634661
10011 5.16122230 5.19361082 5.29052358 5.1394497 5.8529626 5.91316625
100113386 0.20652668 1.33297241 0.77060275 0.7459561 0.3616029 1.25695305
100113397 1.83856970 0.34766909 0.26319667 1.0628073 0.7711224 1.25695305
100113407 3.19130798 3.26061206 3.09337803 3.2793635 3.8438761 4.33067497
100125288 0.52499034 1.95226383 2.24521173 2.1891715 0.9392034 0.28780344
100127983 2.40235537 2.92788493 2.75797401 2.8960364 2.5665815 2.56004922
100128006 2.36293190 2.49466743 2.16611868 2.4287453 2.0094156 2.40944954
100128016 1.51803642 0.66373647 1.44237410 1.0628073 1.3505457 1.75025277
100128025 -0.46120157 -0.05765314 -1.17995959 -0.6274547 0.5808447 0.68749821
100128054 1.36680764 1.50125517 0.26319667 0.7459561 1.3505457 0.50144857
100128071 0.20652668 1.20878380 2.32019309 0.3393405 1.2260235 -0.26695459
100128191 1.19784995 1.69886679 1.14524037 1.4366166 1.5713516 1.57263111
100128252 0.20652668 -0.40919958 0.26319667 1.0628073 -1.1799596 -1.17995959
100128379 -0.77627487 -1.17995959 0.97004823 -0.2289241 -1.1799596 -1.17995959
100128398 4.65751753 4.46277102 4.61289006 4.3663092 3.7788721 3.94907991
100128494 3.41980608 2.92788493 2.95905628 3.3968567 2.2199607 2.93564168
100128569 1.51803642 1.33297241 1.79761414 1.7332302 0.9392034 1.98139138
100128640 -0.46120157 -0.62337920 0.77060275 -0.2289241 -1.1799596 -0.26695459
100128682 1.28480076 1.55325303 1.14524037 0.7459561 0.3616029 0.03692681
100128731 6.26619572 6.23946614 6.46280308 6.2793590 6.7462262 6.34182482
100128766 -0.77627487 -0.40919958 -0.52639476 -0.6274547 0.7711224 -1.17995959
100128782 1.77990857 1.20878380 0.26319667 1.3224471 1.3505457 1.47488393
100128822 2.10067348 1.55325303 2.32019309 2.3724774 2.5142911 2.73913400
100128833 2.14782903 1.87264288 2.39146921 2.4287453 2.3449852 2.18056148
100128881 2.19349194 2.26448974 1.99360036 1.8199409 1.3505457 1.98139138
100128893 4.32966528 4.62341578 4.89629673 4.8715905 4.9352752 4.67680561
100129001 0.01635111 0.34766909 1.57075479 1.1984602 0.5808447 0.03692681
100129013 2.86429033 2.78297304 2.81093252 2.8555576 2.7586292 3.37558468
100129029 -0.20275519 0.34766909 -0.07824185 -0.6274547 -0.6165339 -0.26695459
100129060 2.97302530 3.27616716 3.46782194 3.4521995 2.8028966 3.32037112
100129075 0.66123200 1.83112155 1.30144337 1.9791380 0.7711224 1.83148373
100129195 1.44440267 2.32556754 1.30144337 1.9791380 2.0830646 1.37002961
100129203 1.10532062 0.92285046 0.53909296 1.5424100 -1.1799596 0.28780344
100129250 1.65490610 1.95226383 1.89893272 1.9017342 1.0897295 2.05088173
100129259 0.90029662 -0.05765314 0.26319667 0.0830085 0.1029677 -1.17995959
100129361 5.47958707 5.46871217 5.62960615 5.8504108 5.5429505 5.52472875
100129398 0.90029662 -0.40919958 0.53909296 -0.2289241 -0.2123866 1.00014173
100129434 3.25729931 2.09942399 3.04997897 2.4287453 2.2199607 1.37002961
100129461 0.90029662 0.34766909 -0.07824185 -0.2289241 -0.2123866 0.50144857
100129484 1.71876077 2.09942399 1.99360036 2.2528967 1.2260235 2.05088173
100129550 3.69845400 3.81262840 3.46782194 3.4247934 3.1499505 3.04186097
100129583 0.01635111 1.39127511 0.97004823 0.7459561 -0.2123866 0.03692681
100129662 0.20652668 0.56587772 -0.07824185 0.5569264 1.4651689 -0.26695459
100129707 0.52499034 0.92285046 0.26319667 1.4366166 0.3616029 1.13425417
100129716 0.90029662 0.46089500 1.14524037 1.0628073 -0.2123866 -0.65240704
100129726 -0.46120157 -0.22274493 -1.17995959 -1.1799596 -0.2123866 0.85227249
100129774 3.97175343 3.95473246 4.05558447 3.7236116 3.8438761 3.57745958
100129781 1.19784995 0.46089500 1.30144337 -0.2289241 -0.2123866 0.03692681
100129792 -0.77627487 0.92285046 -0.07824185 0.7459561 -0.6165339 0.28780344
100129794 0.20652668 1.27221398 1.30144337 1.9791380 1.3505457 1.37002961
100129842 0.20652668 0.34766909 -0.07824185 -0.2289241 -0.2123866 0.03692681
100129917 1.28480076 1.27221398 1.79761414 0.5569264 0.7711224 2.18056148
100129924 -0.46120157 0.22479432 -1.17995959 -0.2289241 0.1029677 -0.65240704
100129940 1.19784995 0.99981951 0.53909296 1.0628073 0.3616029 1.75025277
100129995 -1.17995959 0.56587772 -1.17995959 -1.1799596 -1.1799596 0.03692681
10013 5.55149024 5.72255159 5.65879008 5.7211968 5.5364104 5.70259368
100130111 2.40235537 1.87264288 2.81093252 2.1891715 0.3616029 1.66417377
100130197 -0.20275519 -0.62337920 -1.17995959 0.7459561 0.1029677 -0.26695459
100130335 3.77554177 3.91553923 3.68196928 3.6545071 3.8856400 3.26296009
100130348 2.55008554 2.35516337 2.16611868 2.5350966 2.8875537 2.65236860
100130357 0.37452802 0.66373647 0.97004823 1.6409727 -0.6165339 -0.26695459
100130466 2.68408360 2.98579484 2.86201566 3.1176130 3.9060771 3.85507851
100130476 0.01635111 0.84154247 0.77060275 0.7459561 1.8497778 2.11717818
100130522 1.10532062 1.44731289 1.44237410 0.3393405 0.5808447 -0.26695459
100130550 0.20652668 0.34766909 0.26319667 -0.2289241 0.7711224 -0.26695459
100130564 2.65173272 2.82588273 3.09337803 3.1514465 2.8458460 3.17231842
100130581 0.01635111 0.46089500 -0.07824185 -0.2289241 -0.2123866 -0.26695459
100130691 1.19784995 1.55325303 0.26319667 0.7459561 0.9392034 1.13425417
100130705 1.65490610 1.95226383 0.77060275 1.9791380 2.2199607 0.85227249
100130748 0.01635111 1.69886679 0.77060275 1.0628073 1.4651689 1.57263111
100130750 1.71876077 1.39127511 1.14524037 1.7332302 2.2199607 1.90838376
100130855 1.10532062 1.44731289 0.77060275 0.5569264 1.0897295 1.90838376
100130958 0.52499034 0.34766909 1.79761414 0.0830085 0.7711224 -1.17995959
100131017 2.36293190 1.99048489 2.75797401 1.9017342 2.2199607 3.20316942
100131031 1.36680764 1.60344179 1.79761414 -1.1799596 1.6702522 1.00014173
100131033 1.51803642 0.84154247 2.32019309 1.1984602 1.7628056 1.13425417
100131067 1.94918747 1.99048489 2.16611868 2.0525996 3.1152628 2.69640347
100131089 2.23775379 2.26448974 0.97004823 2.2528967 2.4036560 1.66417377
100131094 0.01635111 0.84154247 1.44237410 0.3393405 0.5808447 1.13425417
100131138 4.51192412 4.75135257 4.62772586 4.5801498 2.6657986 3.20316942
100131187 2.00147024 2.94744765 2.91135173 3.2484318 2.1531358 2.35554117
100131193 2.40235537 2.76102991 2.52425470 2.8555576 0.9392034 2.60694723
100131211 3.29967405 3.26061206 3.84319673 3.1176130 3.0797206 3.29195117
100131213 2.00147024 1.65194312 2.45938911 2.8139101 1.5713516 1.47488393
100131471 2.58476979 2.64601009 1.68863899 1.9017342 1.6702522 1.98139138
100131656 3.21364217 3.27616716 3.36532696 2.8139101 3.3118826 3.23337448
100131685 1.94918747 1.83112155 1.14524037 2.4829007 1.7628056 2.46141590
100131691 2.05192437 2.02771945 1.79761414 1.8199409 1.2260235 2.40944954
100131740 0.90029662 -0.40919958 0.53909296 0.0830085 0.5808447 0.68749821
100131801 3.07413624 2.02771945 2.75797401 2.9737384 3.1838237 2.46141590
100131827 0.01635111 -0.22274493 0.26319667 0.3393405 -1.1799596 -0.26695459
100131828 0.78571049 0.84154247 0.26319667 0.5569264 1.2260235 0.28780344
100131940 1.51803642 1.07288934 2.58632889 1.0628073 2.0094156 0.28780344
100132074 0.52499034 0.66373647 0.26319667 1.0628073 0.7711224 -1.17995959
100132086 0.01635111 -0.22274493 -0.07824185 -0.2289241 0.3616029 -0.65240704
100132116 7.18361149 7.20508941 7.06864935 7.3788579 8.1142924 7.75455333
100132126 0.20652668 0.09047169 -0.52639476 0.3393405 0.3616029 -1.17995959
100132215 0.52499034 1.07288934 0.97004823 0.7459561 0.3616029 1.25695305
100132537 1.10532062 1.33297241 1.99360036 1.8199409 2.6657986 2.05088173
100132609 1.77990857 1.33297241 0.77060275 1.5424100 0.5808447 1.13425417
100132659 -0.77627487 -0.40919958 -0.07824185 -1.1799596 -1.1799596 -0.65240704
100132891 0.01635111 0.66373647 0.26319667 0.7459561 2.2838269 2.69640347
100132972 0.01635111 0.75537697 -0.07824185 0.9130628 -0.2123866 -0.26695459
100133234 0.66123200 0.22479432 0.53909296 0.3393405 0.1029677 0.50144857
100133286 0.37452802 -0.22274493 -0.52639476 0.7459561 0.3616029 -0.26695459
100133315 -0.46120157 -0.22274493 0.53909296 1.0628073 0.1029677 1.00014173
100134934 1.58809377 2.02771945 1.89893272 2.1891715 1.6702522 1.83148373
10014 5.88989716 5.90370870 5.76995779 5.6812214 6.3016940 6.14534499
100144603 -0.46120157 0.46089500 0.97004823 -1.1799596 -0.6165339 -1.17995959
100144748 1.71876077 2.06401716 1.68863899 2.2528967 0.3616029 0.85227249
10015 7.66292498 7.56387387 7.52999849 7.4485548 7.5027896 7.29557649
10016 5.10856273 5.11793829 5.12263079 5.3213671 5.4624419 5.15036056
100170229 0.78571049 1.44731289 0.97004823 0.9130628 0.7711224 0.68749821
100170841 2.83577601 1.95226383 2.58632889 2.4829007 3.4009790 3.89341712
10018 2.83577601 3.19665821 3.29271416 2.8555576 3.3421969 3.81569319
100188847 1.44440267 1.20878380 1.57075479 0.9130628 1.3505457 0.85227249
10019 4.17890806 3.91553923 3.91752138 3.6307166 4.6862778 4.92831782
100190938 1.00644760 1.69886679 1.30144337 1.0628073 3.0797206 2.51157531
1002 0.90029662 1.20878380 1.30144337 1.0628073 2.0830646 2.05088173
10020 3.14557480 3.21291441 3.40030730 3.3683682 3.6393570 4.19911785
10021 7.47000410 7.73122224 7.43619727 7.7373985 7.5473823 7.57307219
10023 0.37452802 1.27221398 1.89893272 1.8199409 1.7628056 1.47488393
10024 2.51454685 3.38059563 3.65325515 2.5854698 3.8649092 3.23337448
10026 6.01597775 6.17246986 6.26823312 6.1003889 6.0991496 5.41040368
100268168 2.10067348 1.14243605 1.30144337 1.4366166 0.1029677 0.28780344
100270804 0.66123200 0.56587772 -0.07824185 0.7459561 0.5808447 0.50144857
100270827 0.78571049 0.34766909 -0.07824185 -0.6274547 -1.1799596 -1.17995959
100270840 3.99772591 4.02085846 4.22124842 4.2461941 4.4422438 3.69064336
100270854 3.97175343 4.03920797 4.22124842 4.0627862 4.1654099 3.96716694
100270865 4.94465665 4.73456048 5.01389771 4.8817046 5.3401021 5.17391335
100271271 2.86429033 2.92788493 3.21625207 3.2793635 3.2492736 3.29195117
100271332 -0.46120157 -0.62337920 -1.17995959 0.3393405 -1.1799596 -1.17995959
100271415 0.66123200 1.69886679 0.97004823 1.7332302 2.3449852 1.47488393
100271479 0.37452802 -0.22274493 1.14524037 0.3393405 -0.2123866 -0.26695459
100271884 -0.20275519 -0.62337920 0.26319667 0.9130628 -0.6165339 -1.17995959
100272147 1.19784995 1.83112155 1.89893272 1.7332302 0.7711224 2.24127690
100286844 1.00644760 1.33297241 1.57075479 1.4366166 0.7711224 0.28780344
100287015 1.44440267 1.91300256 1.68863899 1.6409727 0.9392034 0.85227249
100287049 0.66123200 0.84154247 0.26319667 0.3393405 1.2260235 0.85227249
100287074 1.00644760 0.84154247 0.97004823 -0.2289241 0.5808447 1.00014173
100287616 3.45772548 3.47797266 3.25498961 3.5314260 3.0058962 2.97192402
100287722 -0.20275519 0.84154247 -0.52639476 1.3224471 1.2260235 1.25695305
100287808 0.66123200 -0.40919958 0.53909296 0.0830085 -0.2123866 0.28780344
100287837 0.78571049 0.46089500 -0.52639476 -1.1799596 1.2260235 0.28780344
100287896 2.14782903 2.38416425 0.53909296 1.9791380 2.0830646 1.25695305
100287902 -0.77627487 -0.62337920 0.26319667 -0.2289241 0.3616029 0.03692681
100287928 2.32240080 2.80458741 1.44237410 2.0525996 2.0094156 2.35554117
100287932 5.20646980 5.19770069 5.49043971 5.2683885 5.6916264 5.37018940
100288001 1.77990857 2.92788493 2.64584206 2.6341434 2.1531358 2.86021923
100288073 2.86429033 3.11251051 3.36532696 2.9354105 3.1152628 4.00267463
100288123 0.78571049 1.14243605 1.57075479 0.9130628 1.9318036 1.83148373
100288198 1.77990857 1.99048489 0.77060275 1.5424100 1.0897295 1.47488393
100288241 -1.17995959 -0.87499367 -1.17995959 -1.1799596 -1.1799596 -1.17995959
100288413 2.68408360 3.04146967 2.45938911 2.6341434 1.3505457 2.65236860
100288513 1.10532062 1.07288934 0.53909296 -0.6274547 0.1029677 0.68749821
100288842 1.19784995 1.44731289 1.57075479 1.0628073 1.5713516 1.13425417
100289061 1.77990857 1.91300256 1.44237410 0.5569264 1.3505457 1.13425417
100289095 -1.17995959 0.34766909 0.97004823 0.7459561 1.0897295 1.13425417
100289133 4.41887305 4.45595775 4.61289006 4.5550899 3.4574594 2.97192402
100289178 2.05192437 2.59730549 2.08243671 3.0110744 2.3449852 1.75025277
100289211 -0.46120157 0.84154247 0.53909296 0.3393405 -0.2123866 0.50144857
100289259 0.90029662 0.46089500 0.26319667 0.7459561 0.7711224 1.90838376
100289274 2.05192437 2.35516337 2.24521173 1.5424100 2.0830646 3.45463444
100289341 1.10532062 1.99048489 0.26319667 1.6409727 0.5808447 1.57263111
100289373 0.90029662 0.84154247 1.30144337 1.0628073 0.7711224 0.68749821
100289388 0.52499034 0.46089500 0.26319667 -0.2289241 -0.2123866 -0.26695459
100289414 -0.46120157 -0.40919958 -1.17995959 -0.2289241 -0.2123866 0.03692681
100289635 5.22307832 5.24589564 4.97961289 4.9409438 5.6005142 5.91782364
100289640 1.51803642 1.33297241 1.44237410 1.3224471 2.2199607 2.24127690
100289678 2.19349194 2.88794523 3.17644562 1.9017342 2.7586292 2.93564168
100293516 2.83577601 3.32185081 3.76483407 3.4247934 3.9262288 4.24431636
100294362 1.36680764 1.74431223 0.26319667 1.8199409 0.1029677 0.28780344
1003 3.16862260 1.74431223 0.53909296 1.5424100 1.3505457 1.00014173
100302692 2.14782903 1.91300256 2.16611868 2.4287453 2.7586292 2.73913400
100302736 2.32240080 1.44731289 0.77060275 1.1984602 1.4651689 1.90838376
100303728 2.55008554 2.69312401 3.17644562 2.7268249 2.5142911 1.90838376
100303755 1.10532062 1.33297241 1.14524037 1.3224471 1.4651689 1.66417377
100312828 -0.46120157 0.99981951 1.30144337 0.3393405 0.5808447 0.28780344
100312850 0.37452802 0.22479432 0.53909296 -1.1799596 -0.2123866 -0.26695459
10036 4.14444635 4.34232799 4.93259436 4.4637852 4.5500653 4.47670704
100379345 0.90029662 1.20878380 0.77060275 0.9130628 1.4651689 0.68749821
10038 4.85514658 5.34878528 5.22374012 5.4078929 5.3097434 5.40377866
100381270 0.90029662 0.34766909 0.77060275 1.4366166 0.9392034 1.90838376
10039 3.02446638 2.80458741 2.81093252 3.1845047 3.4009790 2.51157531
1004 4.30906929 3.51777430 4.09881773 3.9898549 4.3996385 3.48005027
10040 4.03582844 4.19462733 4.29745303 4.1151628 4.1654099 3.94907991
100418710 0.01635111 0.56587772 -0.52639476 -1.1799596 1.7628056 1.00014173
100418735 1.00644760 1.91300256 1.44237410 1.6409727 2.2838269 1.66417377
100418744 2.23775379 1.99048489 2.58632889 1.5424100 0.3616029 2.11717818
100418770 -0.46120157 -0.40919958 -0.52639476 0.0830085 -1.1799596 -0.65240704
100418781 3.21364217 2.92788493 3.25498961 3.1845047 1.7628056 1.25695305
100418819 1.58809377 1.33297241 2.08243671 1.0628073 1.9318036 1.98139138
100418829 2.47811055 2.26448974 2.91135173 2.1891715 1.7628056 1.83148373
100418888 -0.20275519 0.56587772 0.77060275 1.0628073 0.9392034 1.57263111
100418889 2.71572492 3.07742732 2.75797401 3.1514465 2.5142911 3.29195117
100418910 0.90029662 0.56587772 1.30144337 0.9130628 1.9318036 1.66417377
100418919 2.40235537 2.90805329 3.46782194 1.7332302 2.3449852 2.18056148
100419028 1.89493852 1.99048489 1.44237410 1.6409727 1.7628056 1.83148373
100419185 0.01635111 0.22479432 -1.17995959 0.0830085 -0.2123866 -1.17995959
100419416 0.78571049 0.84154247 0.97004823 1.5424100 0.9392034 1.25695305
100419515 0.01635111 -0.62337920 0.77060275 1.1984602 1.0897295 0.03692681
100419645 0.20652668 0.09047169 -1.17995959 0.3393405 -0.2123866 0.68749821
100419758 0.66123200 1.27221398 0.77060275 0.3393405 0.1029677 0.85227249
100419928 1.36680764 1.87264288 1.89893272 2.2528967 2.0094156 2.40944954
10042 4.82644914 4.78979036 4.74122044 4.8199285 5.4275239 5.64195923
100420028 1.19784995 0.66373647 -0.07824185 1.5424100 1.2260235 1.25695305
100420050 -0.46120157 0.22479432 -0.07824185 -0.2289241 0.7711224 0.03692681
100420110 3.14557480 2.96674865 3.36532696 2.9737384 2.9675173 3.34824202
100420187 0.52499034 0.22479432 -0.52639476 -0.2289241 0.1029677 -0.65240704
100420259 4.19021477 4.15310765 4.03347209 4.0084363 4.2637096 4.19911785
100420307 0.01635111 1.14243605 0.53909296 0.0830085 1.4651689 0.68749821
100420341 5.72477365 5.70541888 5.76325521 5.7042000 5.6130001 5.59038084
100420423 1.00644760 0.99981951 1.57075479 0.9130628 1.2260235 1.00014173
100420591 0.20652668 -0.22274493 0.97004823 -0.2289241 1.3505457 1.37002961
100420707 2.19349194 2.26448974 2.45938911 2.1891715 2.4036560 1.98139138
100420752 2.00147024 2.02771945 2.39146921 1.6409727 2.3449852 2.11717818
100420869 3.95858971 4.02085846 4.43875560 4.2145350 4.1822654 3.69064336
100420981 6.13191994 5.90870723 5.93411668 6.0608778 6.1385468 5.97257018
100421093 3.95858971 3.67858566 3.53231781 4.1490531 4.0959469 4.38550297
100421109 1.10532062 0.75537697 0.53909296 0.5569264 1.3505457 1.13425417
100421160 0.52499034 -0.62337920 0.53909296 -0.2289241 0.1029677 0.50144857
100421175 0.20652668 0.22479432 0.53909296 -1.1799596 0.1029677 0.03692681
100421246 0.37452802 0.66373647 0.53909296 1.5424100 0.7711224 0.50144857
100421311 0.90029662 1.60344179 1.89893272 0.7459561 1.4651689 1.57263111
100421372 1.19784995 1.39127511 1.57075479 1.3224471 1.6702522 2.40944954
100421400 1.89493852 2.41259362 3.09337803 2.3139256 2.9280894 2.60694723
100421415 0.37452802 -0.87499367 0.53909296 -0.2289241 -1.1799596 1.00014173
100421429 -1.17995959 0.22479432 -1.17995959 0.7459561 -0.2123866 0.03692681
100421465 1.51803642 1.33297241 0.53909296 1.5424100 1.9318036 0.68749821
100421468 2.05192437 2.02771945 2.32019309 1.9017342 1.9318036 3.17231842
100421506 0.66123200 0.09047169 1.14524037 -0.6274547 1.5713516 1.00014173
100421569 1.19784995 0.56587772 -0.07824185 0.0830085 -1.1799596 0.50144857
100421595 -1.17995959 -0.40919958 -0.52639476 -0.6274547 -0.2123866 -0.65240704
100421794 -0.77627487 -1.17995959 -1.17995959 -1.1799596 -0.2123866 -1.17995959
100422106 1.83856970 1.44731289 1.14524037 0.9130628 0.5808447 0.68749821
100422338 1.77990857 2.32556754 2.45938911 3.1176130 2.8458460 2.73913400
100422546 0.52499034 0.66373647 1.79761414 1.9791380 1.5713516 0.28780344
100422561 3.09834428 2.84686828 3.73773789 3.3096460 3.6393570 3.66870584
10043 5.53384761 5.56683728 5.94600325 5.4287371 5.4204377 5.68083850
10044 0.90029662 0.09047169 -1.17995959 -1.1799596 1.4651689 2.11717818
10045 0.20652668 0.75537697 0.77060275 0.5569264 -0.2123866 -0.26695459
10046 0.78571049 1.55325303 1.44237410 0.9130628 1.5713516 2.24127690
10048 6.56870942 6.47504735 6.41656496 6.5346307 6.5328236 6.48364937
10049 6.06900137 6.17869063 6.23954514 6.2007492 5.6437502 5.89910319
100499177 2.19349194 2.62186331 2.91135173 2.6341434 2.9675173 3.52957689
100499483 2.23775379 1.20878380 1.57075479 1.4366166 3.2809177 3.64642959
1005 -1.17995959 -0.62337920 -1.17995959 -1.1799596 -0.2123866 -0.26695459
100500719 0.01635111 -0.05765314 -1.17995959 0.0830085 -1.1799596 -0.65240704
100505385 2.97302530 3.51777430 3.98820384 3.0110744 2.9675173 3.48005027
100505501 1.19784995 1.07288934 1.14524037 0.9130628 0.3616029 0.28780344
100505538 0.01635111 -0.05765314 1.57075479 0.3393405 -1.1799596 1.00014173
100505549 0.52499034 0.56587772 1.44237410 0.0830085 1.2260235 0.85227249
100505573 5.90026146 6.25916871 6.10818335 6.0156688 5.3173931 5.18167960
100505576 1.28480076 1.69886679 0.26319667 0.5569264 3.1499505 2.65236860
100505616 -0.77627487 0.46089500 0.77060275 -1.1799596 0.5808447 0.85227249
100505624 1.28480076 1.39127511 0.77060275 1.0628073 1.8497778 1.75025277
100505635 0.20652668 0.75537697 0.53909296 0.9130628 0.7711224 1.98139138
100505641 1.83856970 2.29535184 2.64584206 2.7268249 2.4036560 2.65236860
100505648 1.94918747 2.44047358 1.79761414 1.7332302 2.7586292 2.35554117
100505678 1.65490610 1.33297241 1.14524037 1.5424100 1.4651689 1.75025277
100505696 4.30906929 4.45595775 4.43875560 4.2145350 4.5105705 4.68775465
100505715 0.37452802 0.34766909 0.97004823 -0.2289241 0.7711224 1.37002961
100505738 3.09834428 2.66975937 3.32947735 2.6341434 -1.1799596 -1.17995959
100505741 1.83856970 1.78836972 1.30144337 1.5424100 2.1531358 1.00014173
100505758 3.02446638 3.12973728 3.40030730 3.0474685 3.1152628 3.00731624
100505761 2.40235537 2.71611629 2.81093252 2.0525996 2.5665815 1.98139138
100505771 0.78571049 1.27221398 2.24521173 1.1984602 1.6702522 1.25695305
100505783 2.14782903 1.60344179 1.57075479 1.3224471 2.6170428 1.98139138
100505806 4.40922914 4.52919041 4.16133141 4.5295871 4.3705196 4.90973393
100505812 1.83856970 1.33297241 2.32019309 1.5424100 1.0897295 1.47488393
100505832 0.52499034 0.92285046 0.77060275 0.7459561 1.0897295 -1.17995959
100505854 2.74668716 2.80458741 3.29271416 3.0110744 3.6147341 3.93076324
100505876 4.89023380 4.75135257 4.74122044 5.3139168 4.8215312 4.51409592
100505894 2.97302530 2.54689902 2.32019309 2.7268249 3.0797206 1.66417377
100505933 0.01635111 -0.40919958 -1.17995959 -1.1799596 -0.2123866 0.50144857
100505994 0.78571049 0.84154247 1.14524037 -0.2289241 -0.2123866 1.00014173
100506020 1.00644760 1.07288934 1.44237410 1.4366166 0.5808447 1.13425417
100506033 4.19021477 4.95353198 4.25985381 4.8304100 4.4422438 3.79558985
100506054 1.36680764 0.75537697 1.68863899 1.4366166 1.3505457 1.66417377
100506068 1.10532062 1.20878380 1.14524037 1.5424100 1.3505457 2.18056148
100506070 2.23775379 2.49466743 1.44237410 2.3139256 0.5808447 0.50144857
100506083 -0.20275519 0.22479432 0.97004823 0.9130628 0.1029677 0.68749821
100506100 0.01635111 -0.22274493 -1.17995959 -0.2289241 -1.1799596 0.28780344
100506119 1.10532062 1.20878380 1.57075479 1.6409727 1.2260235 0.28780344
100506127 1.77990857 0.99981951 1.30144337 1.3224471 2.0094156 1.25695305
100506142 0.52499034 0.22479432 -1.17995959 -0.6274547 -0.6165339 1.00014173
100506144 2.32240080 2.16773278 2.08243671 2.3139256 1.5713516 0.28780344
100506161 -1.17995959 0.46089500 -1.17995959 -0.2289241 0.3616029 -0.65240704
100506211 2.91968198 2.44047358 2.45938911 2.4287453 0.7711224 1.00014173
100506235 1.36680764 0.75537697 0.77060275 0.9130628 0.5808447 1.25695305
100506258 0.90029662 1.50125517 -0.07824185 -0.2289241 0.1029677 1.00014173
100506282 1.94918747 1.83112155 1.79761414 2.1225010 1.4651689 1.75025277
100506286 0.01635111 1.20878380 0.97004823 1.3224471 0.5808447 0.68749821
100506302 0.37452802 0.56587772 1.79761414 1.6409727 0.9392034 -0.26695459
100506321 0.90029662 0.75537697 -0.07824185 0.3393405 0.5808447 1.83148373
100506325 0.01635111 0.84154247 0.97004823 1.5424100 0.9392034 -0.65240704
100506343 1.51803642 0.66373647 0.26319667 1.1984602 0.1029677 0.03692681
100506365 5.10259123 5.25769695 5.25274095 5.0163255 5.0032510 5.06055341
100506368 -0.77627487 -0.22274493 -0.07824185 1.1984602 -1.1799596 -0.26695459
100506380 2.58476979 2.80458741 2.70299718 2.1225010 2.3449852 2.73913400
100506392 3.27864225 3.64303441 2.91135173 2.8555576 3.1499505 3.81569319
100506394 2.19349194 2.09942399 1.99360036 1.7332302 1.5713516 1.37002961
100506411 1.28480076 1.91300256 2.24521173 1.0628073 1.0897295 1.37002961
100506433 1.71876077 2.86755295 2.45938911 2.8139101 1.8497778 2.11717818
100506462 0.20652668 0.22479432 0.97004823 1.3224471 1.2260235 1.13425417
100506469 4.31940404 4.41438829 4.47201995 3.8526188 4.4281814 4.25907323
100506495 0.01635111 0.34766909 0.26319667 0.5569264 0.9392034 0.68749821
100506504 1.51803642 1.20878380 2.45938911 1.3224471 2.2838269 2.18056148
100506540 0.78571049 1.07288934 0.77060275 0.9130628 1.2260235 0.85227249
100506581 0.37452802 0.09047169 0.53909296 0.9130628 0.7711224 0.85227249
100506606 0.52499034 0.66373647 0.26319667 0.5569264 -0.2123866 0.50144857
100506658 2.32240080 2.54689902 2.45938911 2.7268249 0.7711224 1.66417377
100506668 2.19349194 2.64601009 2.58632889 1.7332302 2.0830646 1.98139138
100506686 1.10532062 1.69886679 1.89893272 1.9017342 1.0897295 1.75025277
100506691 -0.20275519 -0.22274493 0.77060275 0.9130628 -0.2123866 0.50144857
100506696 1.10532062 1.95226383 1.68863899 2.3139256 1.3505457 2.51157531
100506697 2.05192437 -0.22274493 0.97004823 1.1984602 0.3616029 1.57263111
100506710 6.35427169 6.50835787 6.23470786 6.4521955 6.1298844 6.38619110
100506713 0.52499034 0.34766909 -0.07824185 0.0830085 0.5808447 0.85227249
100506725 3.23563587 4.13615933 3.62395790 3.9326301 2.6657986 2.24127690
100506731 1.51803642 1.50125517 1.89893272 1.9017342 1.3505457 1.13425417
100506757 -0.46120157 -0.87499367 -0.07824185 -0.2289241 -1.1799596 -1.17995959
100506779 -0.77627487 -0.40919958 0.26319667 -1.1799596 0.3616029 0.85227249
100506804 0.37452802 -0.22274493 0.26319667 -1.1799596 -0.2123866 0.28780344
100506826 1.10532062 1.83112155 1.68863899 1.7332302 -0.2123866 0.68749821
100506844 2.05192437 2.35516337 1.79761414 2.0525996 2.4600338 1.90838376
100506866 6.26619572 6.41307882 6.11346321 5.9256615 5.0499161 5.30056963
100506881 1.00644760 -0.22274493 0.97004823 0.7459561 0.7711224 0.85227249
100506885 0.52499034 -0.05765314 -0.52639476 -1.1799596 1.3505457 -0.26695459
100506911 0.78571049 0.75537697 0.77060275 -0.6274547 1.0897295 0.68749821
100506922 1.51803642 1.60344179 1.68863899 1.0628073 1.6702522 2.24127690
100506930 3.87698071 3.99288903 4.14079303 3.3968567 3.8225319 3.98503002
100506994 0.78571049 -0.22274493 -0.52639476 0.9130628 -0.2123866 1.00014173
100507003 1.89493852 1.20878380 -0.07824185 1.0628073 0.3616029 1.83148373
100507032 1.71876077 0.99981951 0.97004823 1.7332302 1.4651689 1.25695305
100507034 3.07413624 3.24488741 3.56351577 3.3096460 3.3718873 3.10856379
100507050 -1.17995959 -0.05765314 -0.07824185 0.3393405 -1.1799596 -0.26695459
100507053 0.52499034 1.78836972 1.68863899 2.1891715 2.8028966 2.89842327
100507057 0.90029662 0.66373647 0.26319667 1.6409727 0.5808447 -0.26695459
100507062 -0.20275519 -0.22274493 -0.07824185 -1.1799596 -0.2123866 0.85227249
100507071 1.10532062 0.66373647 0.53909296 -0.2289241 1.5713516 -0.26695459
100507156 3.81989171 3.05956052 3.17644562 3.4790947 3.2169197 3.20316942
100507171 2.94660017 2.29535184 2.39146921 2.1225010 3.1838237 3.45463444
100507173 -0.77627487 -0.22274493 0.97004823 -1.1799596 0.3616029 0.28780344
100507178 0.66123200 1.20878380 1.30144337 1.5424100 -1.1799596 1.47488393
100507244 1.00644760 0.84154247 1.30144337 0.0830085 1.2260235 0.85227249
100507246 2.77699884 2.32556754 2.86201566 2.3139256 2.0094156 2.56004922
100507250 0.01635111 0.66373647 0.26319667 0.7459561 0.5808447 0.03692681
100507254 1.10532062 -0.22274493 -0.07824185 1.5424100 3.4294956 3.40241875
100507266 0.37452802 0.34766909 -0.07824185 0.9130628 0.3616029 0.50144857
100507290 4.15602530 4.05732702 3.96502567 4.2617669 4.3104568 4.60930674
100507291 1.28480076 1.27221398 1.57075479 1.7332302 0.3616029 1.66417377
100507303 2.68408360 3.07742732 3.00523379 3.3393058 3.0797206 3.23337448
100507308 0.01635111 0.09047169 -0.52639476 -0.2289241 -1.1799596 -0.65240704
100507316 1.10532062 1.20878380 2.16611868 1.7332302 1.5713516 2.35554117
100507331 1.36680764 1.83112155 1.44237410 1.8199409 2.1531358 0.85227249
100507347 1.28480076 0.75537697 -0.07824185 1.0628073 1.6702522 0.85227249
100507373 1.65490610 1.14243605 1.57075479 1.0628073 1.6702522 1.83148373
100507392 1.83856970 1.55325303 1.57075479 1.5424100 1.3505457 0.85227249
100507398 0.66123200 1.14243605 1.14524037 0.3393405 -0.2123866 0.50144857
100507401 0.01635111 0.46089500 1.14524037 0.0830085 0.3616029 0.28780344
100507420 0.66123200 0.92285046 0.97004823 1.0628073 0.7711224 2.18056148
100507433 0.52499034 0.99981951 -0.07824185 1.4366166 0.9392034 1.00014173
100507436 -0.46120157 0.09047169 0.77060275 -0.2289241 -0.6165339 -0.26695459
100507437 2.36293190 1.78836972 2.52425470 2.1225010 2.3449852 2.40944954
100507459 1.36680764 1.83112155 0.77060275 1.0628073 1.2260235 1.25695305
100507463 1.83856970 1.20878380 1.14524037 1.0628073 1.0897295 0.68749821
100507487 2.14782903 2.54689902 2.52425470 2.8139101 1.8497778 1.90838376
100507495 1.36680764 1.87264288 1.99360036 1.9017342 1.5713516 1.37002961
100507516 0.01635111 0.34766909 -1.17995959 -1.1799596 -0.2123866 -0.26695459
100507551 1.65490610 1.44731289 0.97004823 1.4366166 1.4651689 0.28780344
100507557 -0.20275519 1.07288934 0.77060275 -0.6274547 -0.2123866 0.85227249
100507564 0.20652668 -1.17995959 -0.07824185 -0.2289241 -0.2123866 -0.65240704
100507567 1.28480076 0.99981951 1.89893272 1.6409727 1.3505457 1.00014173
100507588 -0.20275519 -0.87499367 0.26319667 -1.1799596 1.0897295 -1.17995959
100507599 0.66123200 1.33297241 0.53909296 1.9017342 1.3505457 1.00014173
100507602 1.10532062 1.07288934 -0.52639476 1.5424100 2.0094156 2.35554117
100508120 2.14782903 1.50125517 1.30144337 2.3139256 1.6702522 2.05088173
10051 6.24195257 6.65090442 6.90778330 6.4790907 6.8474437 6.77813630
10052 1.36680764 1.99048489 0.77060275 1.9017342 0.9392034 1.13425417
100526737 1.77990857 1.87264288 2.08243671 2.1225010 2.3449852 2.18056148
100526760 0.78571049 0.56587772 1.44237410 1.0628073 -0.2123866 -0.26695459
100526820 0.20652668 0.34766909 0.53909296 0.0830085 -0.6165339 0.28780344
100526835 2.77699884 3.05956052 2.39146921 2.3724774 3.2809177 3.71225228
100527978 0.52499034 1.33297241 0.26319667 1.0628073 0.9392034 1.13425417
100529145 1.65490610 1.44731289 1.79761414 1.3224471 0.5808447 0.85227249
100529215 0.90029662 -0.40919958 -0.07824185 0.3393405 -0.6165339 -0.65240704
100532746 3.76045022 4.00227255 4.07736304 4.0267814 3.6393570 3.26296009
100533106 0.37452802 0.09047169 -0.52639476 0.5569264 -0.2123866 0.50144857
100533182 0.37452802 1.14243605 0.53909296 1.6409727 0.1029677 1.98139138
100533619 0.37452802 0.84154247 -1.17995959 0.5569264 0.3616029 1.00014173
100533629 1.44440267 1.50125517 0.53909296 -0.2289241 1.3505457 -0.65240704
100533695 0.52499034 0.66373647 -0.07824185 0.9130628 0.1029677 0.85227249
100533970 0.78571049 0.92285046 1.99360036 -0.6274547 0.7711224 0.50144857
100534593 1.00644760 1.14243605 0.97004823 1.4366166 0.7711224 1.25695305
10054 5.51148653 5.69388298 5.65154926 5.5414827 6.2665611 6.12534973
10056 5.52940304 5.73667505 5.97529815 5.7155534 5.9298308 5.51246426
10057 7.59223620 7.74106404 7.76621632 7.5199042 7.0989431 7.02258227
10058 4.28817500 4.22700365 4.14079303 4.5166647 3.6873768 3.85507851
10059 7.00785803 7.16596303 7.08486732 6.9804709 7.1231502 7.17625676
1006 5.07235725 4.78436155 4.61289006 4.5423949 5.2629727 5.43009813
10060 2.32240080 1.78836972 1.30144337 2.4287453 3.8008671 3.85507851
100616256 0.78571049 0.75537697 0.53909296 1.3224471 0.3616029 0.50144857
10062 2.23775379 2.09942399 2.91135173 2.7710245 1.7628056 1.90838376
10063 2.80668674 3.71328188 4.11995803 3.3393058 3.1152628 3.17231842
100652739 0.52499034 1.20878380 -0.07824185 -0.2289241 -0.2123866 0.28780344
100652758 -0.46120157 0.09047169 0.77060275 -0.6274547 0.3616029 0.50144857
100652846 2.10067348 2.38416425 2.70299718 1.9017342 0.9392034 1.83148373
10066 6.30831373 6.31294606 6.42932303 6.1804087 5.7033513 5.72933428
10067 6.63019144 6.36297078 6.27295948 6.3319435 6.4201072 6.31735786
10068 3.38086306 3.35152220 2.81093252 3.3393058 3.4848915 3.40241875
10069 4.30906929 4.71757063 4.68558892 4.4088935 3.9461028 4.22940697
10072 5.51148653 5.29253248 5.48230014 5.6519738 5.2787320 5.48761798
10073 3.56584701 3.89553597 3.94146904 4.0804572 3.2169197 4.19911785
10075 8.80157326 8.82995890 8.86988488 8.7559758 8.4313613 8.84519922
10076 5.49790161 5.28101384 5.53833571 5.6039082 5.4345754 5.30056963
10077 2.36293190 2.54689902 2.45938911 2.4287453 1.9318036 1.47488393
100775107 1.00644760 1.20878380 1.68863899 0.0830085 0.1029677 1.13425417
10078 4.70558588 4.37880801 4.83369441 4.8715905 4.9648007 4.93752076
10079 5.43750899 5.20990121 5.38959611 5.0966730 5.5623947 5.48133897
1008 3.95858971 3.79113506 3.50043026 3.5568966 4.9152504 4.25907323
10081 4.72125923 4.74017959 4.84643408 4.6528187 4.6744128 5.12641686
10082 7.81491823 7.84184865 7.58614571 7.6032527 6.6795294 6.72065759
100820829 4.62455850 5.14783993 5.29981663 4.7772241 4.3408007 3.85507851
10084 5.42320574 5.10056921 5.49853362 5.4287371 5.3698352 5.30056963
100847074 2.05192437 1.60344179 1.89893272 1.6409727 1.6702522 1.83148373
10085 9.58441308 9.36166408 9.21260466 9.3849019 10.0738568 9.71235239
100852407 0.52499034 0.66373647 0.26319667 0.5569264 1.8497778 1.00014173
100861412 -0.46120157 0.66373647 0.97004823 0.5569264 0.9392034 1.37002961
100861548 4.04830889 4.25081781 4.03347209 3.9519584 3.7108004 3.52957689
100862671 1.00644760 1.20878380 1.57075479 1.3224471 -0.2123866 -0.65240704
10087 6.14940393 6.24144855 5.94600325 6.0741687 5.7033513 5.75037554
100873257 0.90029662 0.22479432 0.26319667 0.5569264 0.3616029 -0.26695459
100873333 3.07413624 3.29155634 3.71012304 3.3968567 3.3421969 3.73354231
100873790 3.87698071 3.93526893 4.24068024 3.5314260 4.8107320 4.00267463
100873949 1.00644760 1.60344179 0.53909296 1.0628073 0.3616029 0.68749821
100873952 0.01635111 -0.40919958 -1.17995959 -0.6274547 -0.2123866 0.03692681
100873965 1.36680764 1.55325303 1.57075479 1.6409727 2.2199607 2.05088173
100874006 0.20652668 0.46089500 -0.07824185 0.3393405 1.2260235 0.68749821
100874008 0.78571049 1.39127511 1.79761414 1.6409727 1.3505457 1.37002961
100874014 1.94918747 2.09942399 2.58632889 2.3139256 2.7129605 1.90838376
100874058 1.19784995 0.75537697 -0.07824185 0.5569264 -0.6165339 0.85227249
100874080 1.36680764 1.65194312 1.30144337 1.4366166 0.9392034 0.85227249
100874097 0.66123200 1.27221398 1.14524037 1.0628073 2.4036560 2.29953998
100874201 0.01635111 0.46089500 1.30144337 0.3393405 0.1029677 0.50144857
100874212 0.78571049 1.20878380 0.26319667 0.0830085 0.9392034 0.68749821
100874217 0.20652668 1.39127511 1.14524037 0.0830085 0.5808447 0.85227249
100874235 0.52499034 0.92285046 0.53909296 0.5569264 -0.6165339 0.68749821
100874261 1.00644760 0.46089500 -1.17995959 0.0830085 -0.6165339 0.28780344
100874291 -0.46120157 -1.17995959 -0.07824185 -0.2289241 0.9392034 -0.26695459
100874362 0.90029662 1.07288934 0.97004823 1.9017342 1.7628056 1.75025277
100874523 2.44073014 2.32556754 2.52425470 1.5424100 2.2838269 1.83148373
100885775 5.26645508 5.05169700 4.95629516 5.1478550 4.7441819 4.55054026
100885776 0.37452802 0.46089500 0.53909296 -0.2289241 -0.6165339 -0.65240704
100885848 4.36001825 4.64753681 4.45548364 4.3372049 4.4422438 4.56248662
1009 10.09734390 9.98940727 9.92694655 10.1132834 10.3824517 10.21512225
10090 3.99772591 4.09289642 3.73773789 3.9710310 4.0599195 4.05434947
10092 7.64660123 7.46214388 7.56510490 7.6660441 8.2463870 8.02229565
10093 7.32623624 7.08768497 7.18355248 7.3645051 7.5763630 7.48950372
10094 5.70913864 5.62569956 5.59981966 5.6039082 5.8686674 5.91782364
10095 6.54248174 6.13457118 6.30099699 6.5249836 6.1642264 5.93630428
10097 8.73316609 8.51462344 8.65226107 8.6281403 8.8857144 8.89151350
10098 7.17510081 6.98375444 6.85517462 7.0826484 6.7001568 6.69103602
10099 8.31136447 8.46712985 8.44277158 8.4526798 7.8152623 7.52656664
100996246 0.37452802 0.09047169 -1.17995959 -1.1799596 1.3505457 0.03692681
100996251 -0.20275519 0.46089500 -1.17995959 0.0830085 -1.1799596 -0.26695459
100996307 -0.20275519 -0.05765314 0.53909296 -0.2289241 0.3616029 -0.26695459
100996384 0.78571049 0.46089500 0.77060275 0.7459561 0.7711224 1.13425417
100996419 0.01635111 -0.22274493 1.30144337 1.3224471 0.3616029 1.47488393
100996485 2.23775379 2.62186331 1.68863899 2.5350966 2.3449852 1.83148373
100996539 -0.46120157 0.34766909 0.26319667 0.7459561 0.3616029 -1.17995959
100996579 -0.46120157 0.09047169 0.97004823 0.0830085 -1.1799596 -0.26695459
100996696 1.77990857 2.44047358 2.39146921 2.0525996 2.8875537 1.75025277
100996842 -1.17995959 -0.22274493 -0.07824185 0.9130628 1.4651689 0.50144857
100996851 -1.17995959 -0.87499367 0.53909296 -1.1799596 1.3505457 0.50144857
100996939 1.28480076 1.44731289 0.97004823 1.1984602 1.0897295 1.13425417
101 2.83577601 2.49466743 2.24521173 0.3393405 1.8497778 1.00014173
1010 -1.17995959 -1.17995959 -1.17995959 -1.1799596 -0.2123866 -1.17995959
10100 5.21756336 5.38151337 5.26227978 5.3867431 4.7667081 4.53849415
10101 4.56500383 4.64753681 5.14342750 4.8614051 4.9152504 5.05210496
10102 4.79716927 4.67713180 4.96800113 4.6528187 4.5885077 4.52634661
10103 1.28480076 1.07288934 1.57075479 1.3224471 0.3616029 -0.26695459
10105 6.63640464 6.32046747 6.47105308 6.4038876 6.2705072 6.24136425
10106 6.38657605 6.53769360 6.53540783 6.6277115 6.9469629 7.04404287
101060200 2.40235537 2.16773278 2.81093252 2.4287453 2.1531358 2.56004922
101060691 3.04951506 3.36613215 3.09337803 2.9354105 3.3118826 2.86021923
10109 8.57772848 8.50475390 8.47081126 8.5954823 8.8452763 8.61507070
10112 4.17890806 5.46532356 5.25274095 5.1972832 5.4061600 5.57866418
10113 6.05669941 5.97930466 6.19042655 6.0474632 5.9447249 5.92709355
10114 7.28596381 7.42337675 7.33587055 7.0538663 7.3320452 7.62526199
101154753 0.52499034 0.22479432 -0.52639476 0.5569264 -1.1799596 0.03692681
10116 7.50211381 7.43987233 7.28764189 7.3279859 7.4270305 7.92963779
10117 0.90029662 1.65194312 0.97004823 2.1891715 1.3505457 1.83148373
1012 7.10514511 6.77379182 6.97603731 7.0130417 8.1230487 7.65764344
10121 6.32892044 6.20939839 6.14474294 6.0873384 6.4094098 6.33138975
10123 7.08408563 6.94169908 7.14797532 6.9155000 7.4533069 7.75194746
101241892 2.94660017 3.83380622 3.94146904 3.0829670 4.2794609 4.42529845
10125 1.44440267 2.29535184 2.86201566 2.8555576 2.2838269 0.85227249
10126 3.61701352 3.61883735 3.00523379 3.5314260 2.7129605 3.45463444
DMSO_2_H4 TUN_24_H4 THA_24_H4 DOX_24_H4 NUTL_24_H4
100 3.39966167 2.63712976 3.21621015 4.64954474 3.7743131
1000 11.44594085 11.41593661 11.69548928 10.61327537 11.0063401
10000 7.29296289 6.94974876 7.13241136 6.07919757 7.1137603
10001 4.70504207 4.19549641 4.23677178 4.42812209 5.1541168
10003 3.47187864 3.29765442 3.07179999 3.50139234 2.7047600
100037417 1.57018112 2.08209034 1.71106443 1.49675833 2.2578812
100049716 0.91530468 1.95344403 1.54593900 2.85666841 1.5003945
10005 3.96437092 3.84282195 4.18153856 3.70322735 4.2562488
10006 6.63250271 6.62488976 6.49507550 5.90181273 6.6101603
10007 4.94382929 5.00217836 5.28674603 5.67571952 6.0348360
10009 5.39760751 5.08895056 4.78286281 4.98005778 4.7508554
100093630 3.39966167 3.15867607 3.88574034 3.04679020 3.5520474
1001 5.99192462 5.57231163 5.45921839 7.57151271 6.5907964
10010 5.26838873 4.85688417 5.39389817 5.49712680 5.1003567
100101267 2.08183315 0.77031612 2.05631609 2.37928657 0.8022514
100101467 4.50157558 5.03433897 5.22662309 3.92939404 4.8410298
10011 5.53317471 5.65220260 5.84420053 4.95654726 6.4723468
100113386 0.60863559 0.21885475 0.20104240 1.58117285 1.1229857
100113397 -0.02460436 0.77031612 0.20104240 -0.70977630 -0.1917946
100113407 4.18092409 4.44317603 4.76418604 6.47359086 3.8193776
100125288 -0.31740023 1.16830673 1.35944143 3.62584781 1.9688579
100127983 2.45876939 1.88454657 1.99356123 0.16551730 0.8022514
100128006 2.01894479 2.30936486 2.38445770 2.47063996 2.3832308
100128016 1.47966749 2.08209034 1.54593900 1.87669739 0.8022514
100128025 0.42679184 -0.31727101 -0.33016365 2.98615808 -0.6028763
100128054 1.95318964 0.91552461 0.89351241 0.36918083 1.3852237
100128071 0.77010330 0.77031612 1.71106443 2.12185708 2.1908706
100128191 1.57018112 1.27982128 0.58843139 3.91320119 0.6104584
100128252 -1.17995959 -1.17995959 -1.17995959 -0.35574497 -1.1799596
100128379 -0.31740023 -1.17995959 0.89351241 -0.35574497 -0.1917946
100128398 4.31784748 4.52467714 5.14235130 5.21615977 4.7155319
100128494 2.41058548 3.06837232 2.76868122 3.21474959 3.1549931
100128569 0.42679184 2.55082805 2.22969635 1.49675833 1.7992651
100128640 0.21867652 -1.17995959 1.02484062 3.77666702 -0.6028763
100128682 0.21867652 1.04744501 1.14520514 -0.35574497 -0.6028763
100128731 6.68914237 6.33006001 6.43139467 7.29671852 6.7621527
100128766 -0.68515433 -0.68507096 -0.69337599 -0.07169853 -1.1799596
100128782 2.14209427 1.65559659 1.45570169 2.98615808 2.0467205
100128822 2.14209427 1.38333123 2.52421407 3.52289486 1.7992651
100128833 2.55056256 1.88454657 2.69170487 2.55655161 2.7047600
100128881 2.19993889 2.25581396 2.43256321 2.63763352 2.2578812
100128893 4.73469887 5.11925344 4.74526431 5.79540103 4.5381874
100129001 0.60863559 -0.02444614 -0.69337599 -0.07169853 0.3892013
100129013 2.59435799 2.93843989 2.38445770 1.20909502 2.8851444
100129029 0.42679184 0.60883961 0.58843139 0.36918083 1.1229857
100129060 3.06810031 3.21588375 2.52421407 2.55655161 3.5520474
100129075 1.38309270 1.65559659 2.11645462 3.99240695 1.2600549
100129195 2.36073652 2.01920065 1.71106443 3.70322735 2.4985546
100129203 1.16807600 -1.17995959 -0.33016365 5.46416147 -0.1917946
100129250 1.57018112 1.04744501 1.85921634 2.06436123 2.1908706
100129259 -0.02460436 -0.31727101 0.58843139 -0.70977630 0.6104584
100129361 5.69278389 5.38547826 5.66954000 4.20686025 5.5513820
100129398 0.21867652 0.91552461 1.02484062 0.36918083 0.6104584
100129434 1.47966749 1.04744501 1.45570169 3.43489231 1.5003945
100129461 1.04721921 -0.02444614 0.40770061 1.58117285 0.8022514
100129484 1.81194208 1.57042557 1.35944143 2.12185708 2.3832308
100129550 3.44820572 3.21588375 4.54099918 5.81732055 4.6670469
100129583 -0.31740023 -1.17995959 2.28314946 1.80829575 0.9715133
100129662 -0.68515433 -0.02444614 0.74902121 3.52289486 0.8022514
100129707 0.77010330 -0.02444614 0.20104240 0.36918083 0.9715133
100129716 0.60863559 0.91552461 1.54593900 1.58117285 0.1277549
100129726 -1.17995959 -1.17995959 0.89351241 2.47063996 -1.1799596
100129774 3.15840315 3.09910592 3.93666847 2.98615808 3.1549931
100129781 0.91530468 -0.31727101 -0.33016365 0.54761794 -1.1799596
100129792 -1.17995959 -1.17995959 -0.04024848 -1.17995959 -0.1917946
100129794 1.47966749 1.04744501 1.14520514 -0.07169853 2.7977696
100129842 0.21867652 0.21885475 1.63086288 0.16551730 -0.1917946
100129917 1.38309270 1.04744501 2.87695308 0.36918083 1.5003945
100129924 -1.17995959 0.42698469 0.40770061 3.41202656 0.3892013
100129940 1.81194208 2.14235268 0.89351241 -0.70977630 1.7992651
100129995 -0.31740023 -1.17995959 -1.17995959 -1.17995959 -1.1799596
10013 5.53878953 5.79043898 6.08521342 6.19422939 5.5580447
100130111 0.60863559 0.91552461 0.20104240 1.20909502 2.1205952
100130197 0.42679184 0.21885475 -0.33016365 -0.07169853 0.1277549
100130335 3.98096445 3.93087890 3.93666847 3.82939303 3.9054915
100130348 2.59435799 2.83268441 2.94486833 2.12185708 3.1897307
100130357 -1.17995959 1.04744501 0.20104240 0.54761794 0.3892013
100130466 3.98096445 3.49544526 4.12410628 3.96124450 4.1006599
100130476 2.25555338 2.08209034 1.14520514 1.73648890 2.2578812
100130522 -0.31740023 0.21885475 0.89351241 2.71439996 2.0467205
100130550 -0.31740023 -0.31727101 -0.04024848 -0.35574497 -0.1917946
100130564 2.97176546 3.03696972 2.17418629 3.58554390 3.4696374
100130581 -0.31740023 -1.17995959 0.58843139 -0.07169853 0.3892013
100130691 1.73576944 0.91552461 1.02484062 0.16551730 0.9715133
100130705 2.25555338 1.57042557 2.84175764 3.26665491 1.9688579
100130748 1.27958636 2.25581396 0.89351241 2.47063996 2.1908706
100130750 1.88429378 1.04744501 1.54593900 1.73648890 1.6070470
100130855 1.47966749 2.01920065 2.33469265 1.58117285 1.3852237
100130958 0.21867652 0.60883961 1.35944143 0.84941683 0.8022514
100131017 1.73576944 2.90404229 1.92795201 2.78728716 2.9269244
100131031 1.38309270 1.27982128 1.14520514 1.40709591 0.8022514
100131033 1.88429378 1.27982128 0.58843139 2.33134489 0.8022514
100131067 2.63686302 2.75761257 3.44450729 3.60583660 2.3219169
100131089 1.38309270 2.14235268 2.56794472 1.40709591 2.2578812
100131094 -0.02460436 0.91552461 0.74902121 0.16551730 -0.1917946
100131138 2.45876939 2.71855902 2.56794472 3.34117099 2.3219169
100131187 1.88429378 2.08209034 2.28314946 3.29192367 2.3219169
100131193 2.19993889 2.25581396 1.02484062 2.59766211 1.5003945
100131211 3.39966167 2.71855902 3.07179999 3.24093567 3.0829032
100131213 0.91530468 1.04744501 0.40770061 3.36517826 0.9715133
100131471 2.25555338 2.14235268 1.92795201 1.09887402 1.7063549
100131656 3.24338507 2.83268441 3.07179999 4.64954474 2.7047600
100131685 1.95318964 2.45903346 1.14520514 1.31148960 1.7063549
100131691 1.27958636 1.27982128 1.92795201 4.35807203 2.1908706
100131740 1.38309270 0.77031612 0.20104240 0.70639474 -0.1917946
100131801 2.41058548 2.67841883 2.28314946 3.82939303 3.3208761
100131827 -0.31740023 -0.68507096 -0.04024848 -1.17995959 -0.6028763
100131828 0.77010330 1.04744501 0.20104240 1.31148960 0.1277549
100131940 1.38309270 0.21885475 1.85921634 1.49675833 -0.1917946
100132074 -0.02460436 -0.02444614 0.58843139 2.33134489 -0.1917946
100132086 -0.68515433 -1.17995959 -0.04024848 -1.17995959 -0.1917946
100132116 8.03593351 8.13314332 5.45921839 7.50283743 6.9812303
100132126 -0.31740023 -0.02444614 0.20104240 -0.70977630 0.6104584
100132215 0.42679184 1.65559659 0.89351241 1.20909502 0.6104584
100132537 1.95318964 2.83268441 2.94486833 1.09887402 1.5003945
100132609 1.27958636 -0.02444614 1.35944143 -1.17995959 1.1229857
100132659 0.60863559 -0.68507096 -0.04024848 0.16551730 0.1277549
100132891 2.55056256 2.30936486 3.29639090 1.20909502 2.7047600
100132972 0.60863559 -1.17995959 0.74902121 -0.70977630 -0.1917946
100133234 -0.68515433 -0.68507096 -0.69337599 0.54761794 -0.6028763
100133286 -0.68515433 -0.02444614 -0.04024848 0.54761794 -0.6028763
100133315 1.04721921 -0.31727101 1.02484062 1.73648890 0.6104584
100134934 1.27958636 1.27982128 1.63086288 1.20909502 1.6070470
10014 6.07542244 6.24672954 5.89229584 5.75053687 6.3277836
100144603 -0.31740023 -1.17995959 -0.69337599 0.36918083 -1.1799596
100144748 1.88429378 1.47990917 1.54593900 6.20091480 3.2891904
10015 7.51144748 7.42341804 7.41278922 7.08174351 7.6418147
10016 5.08099097 5.17801406 4.88147470 5.36048967 5.5175989
100170229 -0.31740023 0.21885475 0.58843139 0.84941683 0.9715133
100170841 2.86853472 3.06837232 3.37234908 7.05984524 1.7063549
10018 3.09883359 2.55082805 3.96964843 6.77405041 3.6300032
100188847 1.04721921 1.27982128 1.54593900 2.17714910 1.6070470
10019 4.95226888 4.84786412 4.86403937 6.06460986 4.8078713
100190938 3.00459703 3.00486836 2.87695308 2.33134489 2.1205952
1002 1.04721921 1.04744501 1.02484062 1.40709591 0.3892013
10020 3.91341353 3.76828958 4.58423150 4.28444633 3.7277954
10021 7.46501931 7.56086033 7.08428579 7.23617222 6.9662808
10023 1.73576944 1.57042557 2.05631609 5.53994060 -0.1917946
10024 3.78700882 3.47215434 1.85921634 3.50139234 0.3892013
10026 5.80886373 5.45246673 5.96360778 6.20091480 5.5175989
100268168 1.27958636 0.21885475 1.92795201 2.12185708 1.9688579
100270804 0.60863559 0.77031612 2.05631609 -0.35574497 0.3892013
100270827 0.91530468 0.60883961 0.74902121 0.36918083 -0.1917946
100270840 3.94758432 3.89629837 3.62095276 3.38879257 4.0257302
100270854 4.22338259 3.64873300 3.96964843 4.55877641 4.1187997
100270865 5.48163299 4.92708349 4.99795606 5.01841011 5.3739523
100271271 2.90377211 2.93843989 3.00972968 2.67652727 3.0070208
100271332 -0.68515433 -1.17995959 0.40770061 -1.17995959 -0.1917946
100271415 1.88429378 1.95344403 1.85921634 2.17714910 1.7992651
100271479 -0.31740023 1.16830673 0.74902121 0.97953044 0.1277549
100271884 -0.31740023 -0.02444614 -0.04024848 -0.07169853 0.3892013
100272147 1.65534970 1.57042557 1.99356123 3.04679020 1.7063549
100286844 -0.02460436 0.42698469 0.58843139 1.94200221 0.1277549
100287015 0.60863559 1.16830673 2.17418629 2.33134489 0.6104584
100287049 0.42679184 1.38333123 0.89351241 1.66091997 1.7063549
100287074 0.60863559 0.91552461 0.89351241 0.84941683 0.6104584
100287616 3.00459703 2.14235268 2.56794472 2.67652727 2.5529342
100287722 0.91530468 1.57042557 1.63086288 1.49675833 1.5003945
100287808 0.60863559 0.60883961 0.40770061 4.03792378 0.3892013
100287837 0.77010330 0.42698469 0.58843139 -0.70977630 -1.1799596
100287896 1.73576944 2.50566071 2.61038872 -0.07169853 2.4420447
100287902 0.77010330 0.42698469 0.20104240 1.20909502 -0.1917946
100287928 2.79536787 2.45903346 1.78704128 2.75130381 2.1205952
100287932 5.36637158 5.24825130 5.07575116 4.84999392 5.0349947
100288001 2.41058548 2.75761257 2.80568207 1.40709591 3.4696374
100288073 3.49516938 3.21588375 6.60148638 2.23040001 3.3518809
100288123 0.60863559 1.16830673 1.45570169 1.40709591 1.7992651
100288198 1.27958636 1.16830673 1.02484062 2.78728716 1.5003945
100288241 -1.17995959 -1.17995959 -1.17995959 -0.70977630 -1.1799596
100288413 2.25555338 2.45903346 2.17418629 4.32172880 1.9688579
100288513 1.04721921 -0.02444614 0.89351241 0.97953044 -0.6028763
100288842 1.73576944 0.91552461 1.25629632 -0.35574497 0.8022514
100289061 0.91530468 1.38333123 -0.33016365 2.89014663 1.7063549
100289095 0.21867652 0.21885475 -0.33016365 1.20909502 0.3892013
100289133 3.32363837 2.83268441 2.52421407 2.92286556 2.5529342
100289178 1.95318964 2.50566071 1.54593900 2.55655161 1.5003945
100289211 1.04721921 2.14235268 1.14520514 1.09887402 -0.1917946
100289259 0.77010330 1.38333123 1.71106443 -0.07169853 0.6104584
100289274 2.01894479 2.14235268 4.22316045 4.59982445 0.9715133
100289341 0.77010330 0.42698469 0.20104240 3.75865460 1.1229857
100289373 -1.17995959 -0.31727101 -0.33016365 2.51423519 0.3892013
100289388 -0.02460436 1.57042557 0.58843139 1.20909502 0.6104584
100289414 0.42679184 0.21885475 0.58843139 -0.35574497 0.6104584
100289635 5.30179457 5.59405217 6.24528481 3.81203092 5.4759865
100289640 2.01894479 1.65559659 3.39680503 1.49675833 1.1229857
100289678 2.59435799 2.86880449 3.18846142 3.54408160 2.9675284
100293516 3.54065232 3.32391284 3.68192679 2.12185708 3.1193984
100294362 0.60863559 1.38333123 1.45570169 0.97953044 0.3892013
1003 0.21867652 0.21885475 -0.33016365 -1.17995959 1.3852237
100302692 1.81194208 2.63712976 3.10186161 1.49675833 2.7520142
100302736 1.57018112 1.88454657 2.61038872 1.09887402 1.1229857
100303728 2.14209427 2.30936486 1.63086288 1.94200221 2.1908706
100303755 1.16807600 1.04744501 1.35944143 -1.17995959 0.8022514
100312828 0.21867652 1.16830673 0.89351241 -1.17995959 1.3852237
100312850 -0.31740023 -0.31727101 0.20104240 -0.35574497 -0.1917946
10036 4.43086661 4.35679360 3.10186161 4.41668074 3.2236516
100379345 0.21867652 -0.31727101 -0.33016365 0.16551730 0.9715133
10038 4.98554204 5.47020910 5.59751708 2.67652727 4.9665304
100381270 1.95318964 0.60883961 0.74902121 0.70639474 0.9715133
10039 2.59435799 3.06837232 3.32215721 1.66091997 3.1549931
1004 3.80575897 4.31812824 2.33469265 1.80829575 4.2886581
10040 3.51809008 3.87869222 4.43871249 3.58554390 4.1006599
100418710 1.65534970 1.47990917 0.58843139 1.87669739 1.7063549
100418735 1.81194208 1.65559659 1.35944143 1.49675833 1.2600549
100418744 1.04721921 -0.02444614 1.92795201 1.58117285 2.0467205
100418770 -0.68515433 -1.17995959 -1.17995959 -1.17995959 -1.1799596
100418781 1.16807600 1.27982128 1.54593900 1.94200221 0.1277549
100418819 2.19993889 1.57042557 2.22969635 1.73648890 0.8022514
100418829 1.38309270 1.27982128 0.74902121 0.16551730 0.9715133
100418888 0.42679184 -0.02444614 0.40770061 0.97953044 1.3852237
100418889 2.79536787 2.67841883 2.47911631 1.31148960 2.7520142
100418910 1.73576944 1.47990917 -0.33016365 1.09887402 0.3892013
100418919 3.24338507 2.20019843 2.52421407 1.80829575 1.9688579
100419028 1.38309270 1.16830673 1.85921634 1.87669739 0.9715133
100419185 -1.17995959 -0.68507096 -1.17995959 -0.35574497 -1.1799596
100419416 0.42679184 0.77031612 1.02484062 1.09887402 1.2600549
100419515 0.60863559 -0.31727101 0.40770061 -1.17995959 -0.1917946
100419645 0.91530468 0.60883961 -1.17995959 -1.17995959 -1.1799596
100419758 0.21867652 -0.31727101 1.02484062 0.54761794 -1.1799596
100419928 0.77010330 1.57042557 2.61038872 1.20909502 1.8865521
10042 5.14864935 5.19233774 4.81950628 4.59982445 4.9864254
100420028 1.16807600 2.14235268 0.40770061 2.06436123 1.1229857
100420050 -0.31740023 0.21885475 0.40770061 -0.07169853 0.1277549
100420110 2.83241508 2.86880449 2.91131031 2.33134489 2.4985546
100420187 0.60863559 -0.02444614 -0.33016365 0.36918083 -0.6028763
100420259 4.50157558 4.10753904 4.23677178 4.43947342 3.7970213
100420307 0.21867652 1.16830673 0.89351241 1.09887402 0.9715133
100420341 5.59915200 5.66766330 7.41128952 5.36644888 5.7033629
100420423 -0.02460436 1.04744501 1.45570169 1.31148960 0.9715133
100420591 0.42679184 1.04744501 0.40770061 -0.35574497 1.7992651
100420707 2.71829116 2.90404229 2.52421407 2.42568622 2.7047600
100420752 1.65534970 1.47990917 2.87695308 0.84941683 1.2600549
100420869 4.25100957 3.74903892 3.86835679 4.59982445 3.5250971
100420981 6.23611311 6.06796048 6.34605605 6.07192215 5.7564670
100421093 4.40650528 4.01386896 4.12410628 3.70322735 4.0822892
100421109 1.38309270 0.77031612 -0.04024848 0.36918083 0.6104584
100421160 0.77010330 1.16830673 0.20104240 0.54761794 0.8022514
100421175 1.04721921 1.16830673 0.89351241 -1.17995959 -0.1917946
100421246 1.04721921 1.47990917 0.74902121 0.16551730 1.2600549
100421311 0.91530468 -1.17995959 1.54593900 2.28175515 1.7063549
100421372 1.57018112 1.38333123 0.40770061 3.29192367 2.3219169
100421400 1.73576944 1.65559659 1.99356123 1.49675833 1.9688579
100421415 -0.31740023 1.04744501 1.71106443 -0.35574497 0.6104584
100421429 -1.17995959 0.21885475 -0.04024848 -0.35574497 -0.1917946
100421465 1.57018112 1.57042557 1.02484062 0.84941683 1.6070470
100421468 2.71829116 2.55082805 2.69170487 1.58117285 1.6070470
100421506 -0.68515433 1.16830673 1.54593900 2.17714910 1.7063549
100421569 0.60863559 1.04744501 -0.33016365 1.80829575 1.2600549
100421595 -0.31740023 -1.17995959 0.20104240 -1.17995959 -1.1799596
100421794 -1.17995959 -0.68507096 -1.17995959 0.36918083 0.1277549
100422106 0.91530468 1.38333123 1.35944143 1.31148960 1.1229857
100422338 2.67815151 2.67841883 2.28314946 2.17714910 2.4420447
100422546 1.16807600 1.47990917 1.14520514 0.54761794 1.6070470
100422561 3.74876123 3.37503796 3.55728756 2.71439996 3.5250971
10043 5.40991495 5.33472834 5.56011081 4.84146206 5.7093608
10044 0.77010330 1.88454657 -0.69337599 3.16090689 -0.1917946
10045 0.21867652 0.42698469 0.20104240 1.31148960 0.3892013
10046 1.65534970 1.27982128 1.02484062 1.31148960 2.1908706
10048 6.43288042 6.40269257 6.53693669 6.62294256 6.1714564
10049 5.42211828 5.58864767 5.58160443 6.87364653 6.2599327
100499177 3.47187864 3.27090921 3.96964843 2.98615808 3.8844401
100499483 3.03669805 3.39993679 3.70169194 2.47063996 3.4696374
1005 -1.17995959 -1.17995959 -0.33016365 1.94200221 -1.1799596
100500719 -0.02460436 0.42698469 0.20104240 0.84941683 1.1229857
100505385 2.75734419 3.06837232 1.99356123 2.82239483 3.8630770
100505501 0.77010330 -0.68507096 0.20104240 2.55655161 0.1277549
100505538 0.60863559 -0.02444614 0.20104240 3.47956449 1.6070470
100505549 0.91530468 0.21885475 1.71106443 0.84941683 0.8022514
100505573 5.04198507 4.94411229 4.99795606 6.88821732 6.1627400
100505576 3.06810031 3.39993679 2.76868122 4.24617479 3.1193984
100505616 0.77010330 -1.17995959 0.20104240 1.31148960 -1.1799596
100505624 1.27958636 1.73601851 1.02484062 0.70639474 0.6104584
100505635 1.16807600 1.47990917 -0.04024848 0.16551730 0.3892013
100505641 2.25555338 2.71855902 2.61038872 2.55655161 1.8865521
100505648 1.38309270 2.14235268 2.47911631 2.51423519 3.1897307
100505678 1.57018112 2.59462413 1.45570169 2.47063996 1.7992651
100505696 4.45482340 4.44317603 5.19907584 4.62986177 4.9864254
100505715 0.42679184 1.88454657 1.02484062 0.70639474 0.8022514
100505738 -1.17995959 -1.17995959 -1.17995959 -1.17995959 -0.1917946
100505741 0.60863559 0.60883961 2.11645462 2.47063996 1.8865521
100505758 2.79536787 3.24365880 3.62095276 1.73648890 2.9269244
100505761 1.88429378 1.88454657 3.98585993 3.16090689 1.7063549
100505771 1.73576944 1.47990917 1.92795201 1.58117285 1.8865521
100505783 2.19993889 1.81219310 2.56794472 4.73493877 1.9688579
100505806 4.22338259 4.68520887 5.32547964 3.91320119 4.7274027
100505812 1.73576944 2.08209034 1.71106443 1.31148960 1.7063549
100505832 0.60863559 0.91552461 0.89351241 0.54761794 1.5003945
100505854 3.21561027 3.24365880 4.84639075 5.99707591 2.8851444
100505876 4.26462717 4.30500603 4.67701278 4.25904511 5.1974356
100505894 2.71829116 2.63712976 3.04109862 2.33134489 2.2578812
100505933 -1.17995959 -0.31727101 0.40770061 0.54761794 0.1277549
100505994 0.60863559 0.60883961 3.04109862 0.36918083 0.9715133
100506020 1.16807600 0.60883961 0.89351241 -0.70977630 1.3852237
100506033 4.06118455 4.38200655 4.42688637 3.52289486 4.3817343
100506054 1.27958636 1.73601851 2.17418629 2.06436123 1.5003945
100506068 1.27958636 1.04744501 -0.04024848 1.58117285 1.5003945
100506070 1.04721921 1.38333123 1.71106443 -0.35574497 1.3852237
100506083 -0.02460436 -0.02444614 0.58843139 0.16551730 -0.1917946
100506100 -0.31740023 -1.17995959 0.20104240 -0.07169853 -0.1917946
100506119 0.77010330 0.60883961 1.63086288 1.73648890 2.0467205
100506127 0.60863559 1.16830673 0.89351241 1.73648890 0.8022514
100506142 -0.31740023 -0.31727101 0.89351241 -0.35574497 -0.1917946
100506144 0.60863559 1.47990917 1.02484062 -0.07169853 1.2600549
100506161 0.21867652 -0.31727101 0.20104240 0.70639474 0.3892013
100506211 0.91530468 0.42698469 1.14520514 -0.35574497 1.7992651
100506235 0.21867652 0.60883961 0.74902121 2.67652727 1.5003945
100506258 0.21867652 0.21885475 1.45570169 0.97953044 0.3892013
100506282 1.81194208 2.41084876 2.33469265 2.28175515 2.7520142
100506286 0.91530468 -0.31727101 1.14520514 3.18807941 1.1229857
100506302 1.38309270 0.60883961 2.28314946 1.94200221 1.9688579
100506321 -0.02460436 1.04744501 1.63086288 1.31148960 0.8022514
100506325 0.21867652 0.60883961 0.40770061 0.70639474 0.1277549
100506343 0.60863559 0.91552461 0.58843139 2.67652727 -0.1917946
100506365 4.64383442 4.56926207 5.26033355 3.43489231 4.8840878
100506368 -1.17995959 0.21885475 -1.17995959 -0.35574497 -1.1799596
100506380 2.83241508 2.41084876 2.97766348 2.17714910 3.0454609
100506392 3.15840315 3.49544526 3.44450729 1.87669739 3.3822333
100506394 1.47966749 1.04744501 1.14520514 3.99240695 0.8022514
100506411 1.47966749 1.47990917 0.89351241 2.71439996 1.3852237
100506433 1.95318964 2.20019843 2.43256321 1.31148960 2.9675284
100506462 1.27958636 1.04744501 0.58843139 3.64558525 2.0467205
100506469 4.13717806 4.33113218 4.47362007 4.30940806 4.0448306
100506495 0.77010330 0.77031612 0.74902121 2.71439996 0.8022514
100506504 2.08183315 1.88454657 1.63086288 1.73648890 0.8022514
100506540 0.42679184 0.21885475 1.02484062 1.40709591 0.8022514
100506581 1.04721921 0.77031612 1.45570169 1.49675833 0.3892013
100506606 0.21867652 0.21885475 0.89351241 1.09887402 -1.1799596
100506658 1.04721921 1.73601851 2.38445770 3.07617671 0.8022514
100506668 1.16807600 2.41084876 1.71106443 2.63763352 2.4985546
100506686 1.47966749 1.16830673 1.45570169 0.97953044 1.6070470
100506691 0.21867652 0.60883961 1.35944143 -1.17995959 -0.6028763
100506696 2.08183315 0.60883961 2.17418629 4.30940806 1.8865521
100506697 1.57018112 1.47990917 0.89351241 -0.35574497 1.3852237
100506710 6.21872870 6.31049525 7.18776956 7.10509745 6.3160394
100506713 0.77010330 0.42698469 0.20104240 0.36918083 -0.1917946
100506725 3.18729025 3.00486836 1.63086288 0.54761794 3.0070208
100506731 1.47966749 1.16830673 1.45570169 3.41202656 2.1908706
100506757 -1.17995959 -0.31727101 -0.33016365 0.70639474 -1.1799596
100506779 -0.68515433 0.42698469 -1.17995959 1.40709591 -1.1799596
100506804 -0.02460436 0.60883961 -0.04024848 1.80829575 -0.1917946
100506826 -0.31740023 1.27982128 1.54593900 0.84941683 1.7992651
100506844 1.81194208 1.65559659 2.76868122 2.17714910 1.8865521
100506866 4.90087450 5.30866783 4.98188067 3.54408160 4.9155584
100506881 -0.02460436 0.91552461 1.14520514 3.36517826 1.1229857
100506885 1.04721921 -0.02444614 -0.33016365 0.36918083 -0.1917946
100506911 0.77010330 0.21885475 1.14520514 0.84941683 0.6104584
100506922 1.38309270 1.81219310 2.22969635 4.06748960 1.8865521
100506930 3.70947197 3.56314353 4.04894344 2.59766211 3.6300032
100506994 0.77010330 0.42698469 1.54593900 1.31148960 0.6104584
100507003 1.27958636 2.45903346 1.35944143 0.54761794 0.8022514
100507032 -0.31740023 1.73601851 2.38445770 1.31148960 1.5003945
100507034 3.49516938 3.39993679 3.66188708 4.16644427 3.2567931
100507050 -1.17995959 -0.31727101 -1.17995959 3.77666702 -1.1799596
100507053 2.71829116 3.34970185 2.56794472 2.55655161 3.7970213
100507057 -0.31740023 0.21885475 1.14520514 1.09887402 0.3892013
100507062 0.60863559 0.21885475 1.35944143 4.06748960 -0.1917946
100507071 -0.31740023 0.60883961 0.74902121 0.97953044 1.1229857
100507156 2.86853472 3.32391284 3.10186161 3.99240695 3.1193984
100507171 2.79536787 2.50566071 4.06429255 1.58117285 2.3219169
100507173 -1.17995959 -0.31727101 1.25629632 -1.17995959 -0.1917946
100507178 0.91530468 1.04744501 1.14520514 0.36918083 0.9715133
100507244 0.42679184 1.27982128 0.89351241 1.20909502 1.2600549
100507246 2.63686302 2.20019843 3.00972968 2.12185708 1.9688579
100507250 -0.31740023 0.21885475 0.20104240 -1.17995959 0.3892013
100507254 2.90377211 2.41084876 0.89351241 -0.35574497 1.6070470
100507266 0.42679184 -0.31727101 0.58843139 0.16551730 -0.6028763
100507290 4.41873737 4.41901856 4.42688637 3.99240695 4.8519154
100507291 1.47966749 1.16830673 1.92795201 1.80829575 1.1229857
100507303 3.37476305 1.81219310 3.04109862 3.24093567 2.6053383
100507308 0.42679184 -0.68507096 0.20104240 -0.35574497 0.1277549
100507316 0.60863559 1.04744501 1.35944143 1.31148960 0.8022514
100507331 1.57018112 2.01920065 2.05631609 2.51423519 2.0467205
100507347 1.47966749 1.73601851 1.92795201 2.95485888 1.5003945
100507373 2.19993889 2.20019843 2.11645462 2.33134489 2.1205952
100507392 0.91530468 0.21885475 0.58843139 1.49675833 0.9715133
100507398 0.91530468 -0.68507096 0.89351241 3.04679020 0.9715133
100507401 -0.31740023 -0.31727101 -0.69337599 0.16551730 -1.1799596
100507420 1.88429378 1.38333123 -0.04024848 -0.35574497 1.2600549
100507433 1.38309270 0.77031612 0.89351241 2.37928657 1.5003945
100507436 -0.68515433 -0.31727101 0.20104240 0.54761794 -1.1799596
100507437 1.81194208 2.20019843 -0.04024848 0.70639474 0.6104584
100507459 1.16807600 1.27982128 2.11645462 3.60583660 2.0467205
100507463 0.42679184 0.91552461 0.20104240 2.59766211 2.4985546
100507487 1.16807600 1.65559659 2.52421407 1.66091997 3.5520474
100507495 1.81194208 2.14235268 2.33469265 3.45740130 0.6104584
100507516 -0.31740023 1.27982128 0.40770061 0.36918083 -0.1917946
100507551 1.04721921 0.42698469 1.25629632 1.73648890 2.2578812
100507557 0.21867652 1.04744501 1.63086288 1.58117285 0.3892013
100507564 -0.02460436 -1.17995959 -1.17995959 0.54761794 -0.1917946
100507567 1.38309270 1.73601851 1.63086288 1.20909502 -0.1917946
100507588 0.77010330 -0.31727101 0.40770061 0.54761794 0.3892013
100507599 2.25555338 1.16830673 1.99356123 2.95485888 1.1229857
100507602 2.50539591 1.95344403 1.85921634 2.37928657 1.3852237
100508120 2.36073652 1.88454657 2.69170487 1.58117285 0.9715133
10051 7.03934820 6.87179821 5.92629387 6.37061913 5.2722753
10052 1.47966749 1.16830673 -0.33016365 0.70639474 0.3892013
100526737 1.88429378 1.95344403 2.22969635 1.40709591 1.8865521
100526760 0.60863559 0.77031612 1.71106443 0.97953044 -0.6028763
100526820 -1.17995959 0.60883961 0.89351241 0.36918083 0.3892013
100526835 3.72925034 3.51836614 3.81491292 0.54761794 3.2891904
100527978 0.60863559 1.38333123 1.25629632 -0.35574497 2.1205952
100529145 1.38309270 -0.02444614 2.43256321 -0.07169853 1.7063549
100529215 -1.17995959 -0.68507096 -0.04024848 -0.70977630 -0.6028763
100532746 3.70947197 3.62780694 3.74042797 4.09646167 4.2062273
100533106 0.60863559 0.77031612 0.20104240 0.70639474 0.9715133
100533182 0.77010330 0.42698469 0.58843139 1.58117285 1.2600549
100533619 1.27958636 0.42698469 0.74902121 3.52289486 -1.1799596
100533629 0.91530468 1.57042557 -0.33016365 -0.35574497 0.6104584
100533695 0.60863559 -0.68507096 1.14520514 -0.07169853 0.3892013
100533970 1.16807600 1.04744501 1.25629632 2.06436123 -0.1917946
100534593 0.91530468 0.91552461 1.99356123 1.80829575 1.1229857
10054 6.17972922 6.22599304 5.97583432 5.32420807 5.8785985
10056 5.85460291 5.58864767 5.62882532 4.36998580 5.4475627
10057 7.02141253 7.38496210 7.24781954 7.55334244 7.6355287
10058 3.78700882 4.07698647 5.13510131 5.96208521 5.7680071
10059 7.37529175 7.14280382 6.75598792 6.46250584 6.9307842
1006 5.37894723 5.48773592 5.49363915 6.23388493 7.6133094
10060 4.06118455 4.64411646 3.86835679 3.91320119 3.9054915
100616256 0.42679184 0.42698469 0.74902121 0.97953044 0.8022514
10062 2.14209427 2.36099897 2.33469265 2.55655161 1.8865521
10063 2.90377211 2.45903346 3.00972968 3.50139234 3.9054915
100652739 -0.02460436 0.21885475 0.74902121 1.49675833 1.1229857
100652758 -1.17995959 -0.31727101 0.58843139 3.99240695 -0.6028763
100652846 1.47966749 1.57042557 0.74902121 1.09887402 0.9715133
10066 5.57749310 5.91658030 6.07388308 6.18751285 6.0204346
10067 6.29037602 6.55732839 6.61196936 5.93025351 6.5612544
10068 4.01358968 3.32391284 3.64156510 4.33394522 4.2397669
10069 4.07670686 4.18120422 4.19554637 5.88114905 4.4406080
10072 5.57749310 5.34758417 4.59484014 5.67571952 5.3587686
10073 4.10725927 4.02990910 4.25025589 3.21474959 4.1544090
10075 8.72877732 8.99368975 9.14262472 8.20442356 8.9824074
10076 5.27513207 5.44051609 5.82179750 6.01994029 7.0817516
10077 1.57018112 1.04744501 1.35944143 -0.35574497 0.8022514
100775107 1.73576944 1.16830673 1.14520514 0.84941683 1.3852237
10078 4.88332797 4.56926207 4.65690423 5.34246292 5.1974356
10079 5.83191458 5.83676578 6.10018342 5.63680369 5.6729935
1008 4.95226888 4.95255191 4.39081501 5.43042524 6.9282150
10081 4.75413670 4.83878733 5.14235130 5.85595550 4.9564791
10082 6.83546794 6.93491794 7.00497486 6.90059051 6.8270314
100820829 4.06118455 3.56314353 3.29639090 2.71439996 3.7039618
10084 5.19916293 5.09658616 5.10573141 4.19351367 4.9564791
100847074 2.01894479 0.91552461 1.02484062 2.28175515 1.7063549
10085 10.20275500 10.08948748 10.08629575 10.23165603 10.1182100
100852407 0.21867652 1.04744501 1.71106443 0.97953044 0.8022514
100861412 1.57018112 0.42698469 1.78704128 0.16551730 -0.1917946
100861548 3.64845599 4.30500603 4.98188067 5.20289934 4.2725445
100862671 0.42679184 0.77031612 0.40770061 0.36918083 0.3892013
10087 5.82273839 5.85488784 6.42546367 7.37565731 5.9961080
100873257 0.77010330 -0.31727101 -0.04024848 0.54761794 0.1277549
100873333 3.27063522 2.75761257 2.33469265 3.82939303 3.6550797
100873790 4.23726221 4.39444969 3.88574034 4.75324785 4.1187997
100873949 0.42679184 1.95344403 1.54593900 0.16551730 0.8022514
100873952 -0.31740023 -0.31727101 -0.04024848 -0.70977630 -0.6028763
100873965 2.36073652 2.08209034 1.92795201 0.54761794 1.5003945
100874006 0.42679184 1.27982128 1.85921634 0.36918083 -0.1917946
100874008 1.38309270 1.04744501 1.78704128 2.51423519 0.8022514
100874014 1.73576944 2.55082805 2.69170487 0.36918083 3.7743131
100874058 0.91530468 1.27982128 2.33469265 0.54761794 1.9688579
100874080 1.04721921 1.47990917 0.58843139 1.49675833 0.6104584
100874097 2.01894479 1.65559659 2.47911631 1.94200221 1.8865521
100874201 0.77010330 -0.31727101 0.74902121 -0.35574497 -0.1917946
100874212 1.57018112 1.38333123 1.63086288 0.70639474 1.5003945
100874217 0.60863559 -0.02444614 0.74902121 -0.35574497 -1.1799596
100874235 -0.31740023 0.42698469 0.20104240 0.70639474 1.2600549
100874261 0.21867652 0.60883961 1.35944143 1.73648890 0.1277549
100874291 1.16807600 -0.31727101 -1.17995959 -1.17995959 -0.1917946
100874362 1.95318964 1.81219310 2.80568207 4.72569635 1.3852237
100874523 2.14209427 2.20019843 1.14520514 0.54761794 1.7992651
100885775 4.10725927 4.36945515 4.15310819 3.54408160 3.9262402
100885776 -0.68515433 -0.31727101 1.71106443 0.70639474 0.9715133
100885848 4.27811743 4.63365784 2.94486833 3.01679264 3.7039618
1009 10.51356806 10.51830349 9.65459806 8.15363695 9.6685755
10090 3.86059017 4.19549641 4.19554637 5.65152042 4.7391767
10092 8.17041597 8.03522720 7.75422274 6.89647789 7.9749788
10093 7.38779022 7.36928803 6.70793313 7.01122699 7.4634431
10094 5.83648088 5.92518204 5.38169735 5.09935950 5.9359939
10095 6.34587814 5.93798924 5.78057392 6.32544610 6.2558404
10097 8.98571517 8.96007637 8.32989107 8.72051080 8.7136695
10098 6.78675058 6.99539147 6.35232194 5.88530553 6.8917572
10099 7.70864638 7.59764687 7.77185992 8.06480555 7.5988426
100996246 1.73576944 0.77031612 -0.33016365 0.16551730 0.8022514
100996251 -0.02460436 0.60883961 0.20104240 -0.07169853 1.3852237
100996307 0.21867652 -0.31727101 -0.33016365 0.54761794 0.6104584
100996384 0.77010330 0.21885475 1.02484062 1.20909502 0.9715133
100996419 1.04721921 1.16830673 1.45570169 2.06436123 2.1205952
100996485 2.14209427 1.57042557 1.25629632 2.33134489 2.1205952
100996539 -0.31740023 -0.31727101 0.20104240 2.12185708 0.8022514
100996579 -0.31740023 -1.17995959 0.20104240 -1.17995959 -1.1799596
100996696 2.30910332 2.55082805 2.22969635 1.20909502 1.7992651
100996842 1.38309270 -0.02444614 1.25629632 0.54761794 0.6104584
100996851 1.04721921 0.42698469 0.58843139 -0.07169853 0.3892013
100996939 1.38309270 0.21885475 1.02484062 0.54761794 0.6104584
101 0.77010330 0.91552461 1.45570169 3.07617671 2.3219169
1010 -1.17995959 -1.17995959 -0.33016365 -1.17995959 -1.1799596
10100 4.73469887 4.81120918 2.56794472 4.65928643 4.2725445
10101 4.78281106 4.74473291 5.16388521 5.66608853 5.1628853
10102 4.23726221 4.09234363 4.28996815 3.66505630 3.7743131
10103 -1.17995959 -1.17995959 0.89351241 -0.70977630 0.6104584
10105 6.19047042 5.86386421 5.75715250 5.84745892 5.2722753
10106 7.05314562 6.92423037 7.39165030 7.50418941 6.9712812
101060200 2.97176546 2.63712976 3.07179999 3.45740130 2.3832308
101060691 2.71829116 2.71855902 3.32215721 1.31148960 3.2891904
10109 8.89559839 8.79859225 7.99450391 8.29547323 9.0954996
10112 5.51619791 5.05799752 3.18846142 5.00319130 0.9715133
10113 5.80886373 6.08341350 6.78175131 6.11856945 6.0910460
10114 7.68225360 7.57596085 7.29249407 8.46126287 7.6971895
101154753 0.42679184 -0.68507096 0.58843139 2.12185708 -0.6028763
10116 7.83153421 7.66338804 7.60083787 7.08536112 7.6433820
10117 2.08183315 0.91552461 1.99356123 2.92286556 0.3892013
1012 8.23841590 8.20554463 8.52486670 8.67621837 8.1702614
10121 6.24644409 6.26378514 5.92208767 5.79540103 6.4474435
10123 7.28963657 7.46972238 6.62755237 5.81296321 7.5445212
101241892 4.01358968 4.16676903 3.57882298 3.66505630 4.2562488
10125 1.65534970 2.08209034 0.89351241 3.58554390 1.7992651
10126 3.78700882 3.34970185 3.85076123 3.52289486 3.7970213
DMSO_24_H4 LPS_24_H4 TNFa_24_H4 H2O_24_H4 BPA_24_H4 PFOA_24_H4
100 3.87473496 3.39563421 3.7221291 3.75180180 3.16854237 3.2844181
1000 11.40400269 11.33870439 11.5210974 11.41631114 11.42641938 11.3976841
10000 7.17238600 7.20777797 7.3081617 7.28609563 7.29893033 7.1388703
10001 4.44515541 4.34414803 4.0391257 4.61531543 4.45421998 4.4654875
10003 3.29895305 3.07866041 2.6992956 3.32664361 2.74361673 3.4628879
100037417 1.99941028 2.28973403 1.6020358 1.81469096 1.91760555 1.9890314
100049716 1.90469362 1.15100291 1.8813911 0.77243403 1.55768322 0.9143929
10005 3.44072589 3.84592727 3.8998025 3.56589352 3.32683408 3.7302804
10006 6.38847931 6.44842867 6.5620371 6.63037132 6.53965157 6.6092688
10007 5.23992798 5.58164806 5.1483276 5.23729786 5.29385736 5.1523614
10009 4.78800792 5.29608340 5.1658107 5.02116598 5.11442632 4.7324405
100093630 3.09957342 3.17654654 3.1841529 3.32664361 2.65085610 3.3079721
1001 5.13951711 5.90805694 5.7679281 5.50788119 5.79428898 5.7421907
10010 4.99757394 5.32838671 5.1744734 5.14439095 4.89942092 5.0159972
100101267 2.08828980 1.88886884 1.7941478 1.81469096 2.06868078 2.0461708
100101467 4.34048701 4.16494663 4.3909406 4.42181624 4.84811658 4.7583189
10011 5.57587709 5.75009494 5.6044579 5.55861828 5.42569098 5.4080558
100113386 1.30680824 0.70272496 0.3853175 1.17060276 1.07701014 0.4891714
100113397 0.97511144 0.41253551 1.7012872 -0.02287121 1.33727343 0.6452567
100113407 3.44072589 4.14089647 3.4640094 3.88146316 4.11543756 3.8792258
100125288 1.44784768 0.04889175 1.3803539 0.42890409 0.35107609 0.9143929
100127983 2.53028703 2.80023332 2.1153292 2.55346964 1.65642508 2.1011331
100128006 1.80331889 2.28973403 2.1153292 1.38570489 2.55171892 2.1011331
100128016 2.65191482 1.76845720 0.3853175 1.28215902 2.06868078 1.6634851
100128025 -0.52401161 -1.17995959 -0.1946984 -1.17995959 0.56953835 -1.1799596
100128054 1.69427879 1.76845720 1.4954486 1.38570489 2.20542469 1.0322101
100128071 -1.17995959 0.70272496 0.3853175 1.04969205 0.56953835 0.9143929
100128191 0.26733018 1.88886884 2.1153292 2.50829547 0.56953835 0.6452567
100128252 -1.17995959 -1.17995959 -1.1799596 -1.17995959 -1.17995959 -1.1799596
100128379 -1.17995959 -1.17995959 -1.1799596 -1.17995959 -0.62170854 -0.3919060
100128398 3.26122072 4.34414803 3.6243506 4.00042618 4.02592994 4.4121479
100128494 3.14171469 2.67184245 2.3778656 2.76028287 2.99071786 2.8108352
100128569 1.90469362 2.19947024 2.1153292 2.02174645 1.33727343 0.9143929
100128640 -1.17995959 0.04889175 -1.1799596 0.22062865 -0.22021455 -0.3919060
100128682 -1.17995959 0.70272496 1.2552749 0.22062865 1.21300281 1.1411280
100128731 6.52608738 6.50605036 6.5946756 6.69731314 6.36450915 6.4437074
100128766 -0.52401161 0.04889175 -0.1946984 0.61087003 -1.17995959 -0.3919060
100128782 0.54364433 1.15100291 1.6020358 2.31196729 1.33727343 1.8674797
100128822 1.99941028 1.33184002 1.3803539 1.73849692 1.55768322 1.9295353
100128833 2.65191482 2.67184245 2.1855763 2.63978384 2.33032227 2.6725137
100128881 2.25113731 2.60309142 1.1183135 2.31196729 1.83568891 2.2544730
100128893 4.64882793 4.96730147 4.3759966 4.72797212 4.90946643 4.6146055
100129001 0.26733018 0.41253551 0.3853175 1.38570489 -0.62170854 1.0322101
100129013 2.91750178 2.91812611 3.0773472 2.76028287 3.20162066 2.8434384
100129029 0.77544800 -0.43846972 -0.1946984 -0.02287121 0.09352599 0.4891714
100129060 3.44072589 3.35439777 2.9619978 3.24638238 2.60213889 3.1861575
100129075 1.57631855 0.94420560 1.7941478 1.17060276 2.06868078 1.4258198
100129195 1.90469362 2.45490381 1.3803539 2.25840677 2.13867227 2.0461708
100129203 -1.17995959 -1.17995959 -0.1946984 -0.02287121 -0.22021455 -0.3919060
100129250 1.44784768 2.19947024 2.0414859 1.38570489 0.56953835 2.5195102
100129259 0.97511144 0.41253551 0.9669728 1.17060276 1.21300281 0.6452567
100129361 5.77643754 5.65140409 5.5321573 5.41302603 5.33915372 5.3296754
100129398 -1.17995959 0.04889175 0.1242637 -0.31598465 0.35107609 0.3141273
100129434 1.90469362 1.63707289 0.3853175 1.38570489 0.92685151 1.7347368
100129461 0.77544800 0.70272496 -0.6048062 -0.02287121 0.75922877 0.7860917
100129484 1.30680824 1.88886884 1.2552749 1.38570489 1.65642508 0.4891714
100129550 3.44072589 3.51271065 3.5194603 3.13191103 3.57421006 3.3311477
100129583 -0.07474958 0.04889175 -0.1946984 0.42890409 1.33727343 1.2423970
100129662 0.54364433 -1.17995959 0.9669728 -1.17995959 0.92685151 1.1411280
100129707 0.54364433 0.04889175 0.3853175 -0.02287121 0.75922877 1.4258198
100129716 -0.07474958 0.41253551 -1.1799596 -0.31598465 0.09352599 -0.1163774
100129726 -1.17995959 -1.17995959 -0.1946984 -0.31598465 -0.22021455 -0.3919060
100129774 3.94781426 3.98751391 3.8136992 3.84559072 3.91063198 3.2113571
100129781 -0.07474958 0.04889175 0.3853175 -1.17995959 -1.17995959 -1.1799596
100129792 -1.17995959 -1.17995959 -1.1799596 0.22062865 -0.62170854 0.1148737
100129794 1.15047166 1.15100291 0.7978753 1.57285797 1.65642508 0.6452567
100129842 1.57631855 -1.17995959 -0.6048062 -0.02287121 -1.17995959 0.1148737
100129917 0.26733018 0.04889175 1.1183135 0.77243403 1.21300281 1.7347368
100129924 0.26733018 0.70272496 -1.1799596 0.22062865 0.09352599 0.6452567
100129940 1.80331889 2.00000016 1.8813911 2.14492391 1.07701014 2.2544730
100129995 -0.07474958 -1.17995959 -1.1799596 0.22062865 -1.17995959 -1.1799596
10013 5.50500245 5.78930352 5.5654710 5.47890333 5.38307110 5.8504169
100130111 -0.07474958 1.49251376 0.7978753 0.91771327 1.65642508 0.6452567
100130197 -1.17995959 -1.17995959 -1.1799596 -0.31598465 -1.17995959 0.3141273
100130335 4.26623612 3.98751391 3.7686406 4.19828423 4.06240204 3.7127402
100130348 2.76408116 2.45490381 2.6992956 2.63978384 2.78785228 2.8108352
100130357 1.44784768 0.94420560 -0.1946984 1.28215902 0.56953835 1.5094680
100130466 3.79775540 4.18860243 4.0579745 3.82731438 3.46946253 3.6216905
100130476 2.17201006 1.88886884 1.8813911 2.31196729 2.65085610 2.2544730
100130522 1.30680824 0.94420560 0.3853175 0.22062865 0.92685151 -0.3919060
100130550 -0.07474958 -1.17995959 1.1183135 0.77243403 -0.22021455 0.9143929
100130564 3.37158026 3.31194791 2.7922804 3.35243485 3.13468783 2.9065143
100130581 -0.07474958 0.04889175 -1.1799596 0.61087003 -1.17995959 -1.1799596
100130691 1.69427879 0.70272496 1.2552749 1.65805331 1.33727343 0.7860917
100130705 0.54364433 -0.43846972 1.7012872 -0.02287121 0.09352599 1.5094680
100130748 1.44784768 1.15100291 0.7978753 1.81469096 1.45168342 1.8026344
100130750 1.69427879 2.10317985 1.7941478 2.31196729 1.33727343 1.4258198
100130855 1.44784768 0.70272496 1.6020358 1.65805331 2.33032227 1.5885309
100130958 -0.07474958 -1.17995959 0.3853175 0.61087003 -0.22021455 1.1411280
100131017 2.76408116 2.00000016 1.7941478 2.36361033 2.44526339 3.0249509
100131031 0.77544800 0.04889175 -0.1946984 0.61087003 0.35107609 0.4891714
100131033 0.77544800 0.41253551 1.6020358 1.48231410 1.74883954 1.5094680
100131067 2.59238229 1.76845720 2.2525611 2.76028287 2.55171892 2.1540781
100131089 1.99941028 2.10317985 2.2525611 1.88706197 2.38893721 1.9295353
100131094 0.97511144 0.04889175 0.6062935 -0.02287121 0.09352599 -0.1163774
100131138 3.26122072 3.17654654 3.1494222 2.83536416 2.26922464 2.7433316
100131187 2.53028703 2.00000016 2.0414859 2.36361033 2.69798181 2.4785823
100131193 2.17201006 1.76845720 1.3803539 1.57285797 1.83568891 1.6634851
100131211 3.60034758 2.53089943 2.9619978 3.00756800 3.67186444 3.1343979
100131213 1.57631855 2.10317985 1.6020358 -0.31598465 -0.22021455 1.2423970
100131471 2.25113731 2.37468135 1.7941478 2.20278088 0.92685151 1.9295353
100131656 3.84952876 3.31194791 3.5464064 3.67211743 3.10001973 3.3311477
100131685 2.32614941 1.63707289 1.7012872 2.25840677 1.65642508 2.1011331
100131691 1.44784768 1.63707289 2.4366597 1.48231410 1.65642508 1.1411280
100131740 0.54364433 0.70272496 0.3853175 0.61087003 0.35107609 0.4891714
100131801 2.59238229 2.86038361 2.4931513 3.47489740 3.16854237 3.0807120
100131827 -1.17995959 0.70272496 -0.1946984 0.22062865 -0.22021455 -1.1799596
100131828 1.15047166 0.70272496 0.7978753 1.04969205 0.09352599 0.9143929
100131940 1.30680824 1.76845720 1.2552749 1.57285797 1.45168342 1.2423970
100132074 -1.17995959 -1.17995959 -0.6048062 -0.31598465 0.09352599 -1.1799596
100132086 -1.17995959 -1.17995959 -0.6048062 0.22062865 -0.22021455 -0.3919060
100132116 7.81566936 7.84903928 7.8072767 7.88524113 7.88318163 8.0067934
100132126 -0.07474958 -0.43846972 0.1242637 0.77243403 -0.22021455 0.3141273
100132215 0.26733018 0.94420560 1.1183135 -0.31598465 -0.62170854 1.0322101
100132537 2.46539843 2.37468135 2.3165734 1.95597535 3.23395749 2.4785823
100132609 1.44784768 -1.17995959 1.1183135 1.04969205 1.21300281 1.5885309
100132659 0.77544800 0.41253551 0.1242637 -0.02287121 -0.22021455 0.1148737
100132891 2.91750178 2.67184245 2.5999022 2.59727215 2.20542469 2.0461708
100132972 0.54364433 0.41253551 -0.6048062 -0.31598465 0.56953835 -0.3919060
100133234 -0.52401161 1.15100291 -0.1946984 0.42890409 0.56953835 0.6452567
100133286 0.54364433 -1.17995959 -1.1799596 -0.31598465 -0.22021455 -0.7327807
100133315 -0.07474958 0.41253551 0.3853175 0.61087003 -0.22021455 1.0322101
100134934 1.69427879 2.45490381 1.6020358 1.73849692 0.92685151 1.9890314
10014 6.06626369 6.32044100 5.6361610 6.05124601 6.12689376 6.2414429
100144603 0.26733018 0.70272496 -0.1946984 0.61087003 -0.62170854 -0.7327807
100144748 0.54364433 2.00000016 0.3853175 -1.17995959 2.33032227 1.2423970
10015 7.46155199 7.49069814 7.5962214 7.41100759 7.52972748 7.4638318
10016 5.39605996 5.28515287 4.9707326 5.23729786 5.04321886 5.1392905
100170229 0.97511144 1.15100291 0.7978753 0.61087003 0.92685151 0.6452567
100170841 2.70908780 3.02710858 2.5999022 3.40267402 3.26558537 2.9669476
10018 2.91750178 3.47473112 2.7922804 3.03967282 3.10001973 3.1861575
100188847 0.54364433 1.15100291 1.3803539 0.77243403 1.21300281 1.5885309
10019 5.07573517 4.99439810 4.5983000 4.53875547 4.58532549 4.6051298
100190938 2.91750178 2.67184245 3.2512023 2.97473246 3.10001973 2.9669476
1002 3.22247497 1.49251376 0.9669728 2.63978384 2.33032227 1.8026344
10020 3.97137393 3.68891795 3.6982987 3.91646522 3.93049962 3.8634156
10021 7.49850739 7.49307495 7.3754511 7.35150263 7.69854558 7.4427076
10023 1.15047166 1.76845720 1.4954486 1.17060276 1.55768322 1.4258198
10024 4.16770310 3.96028644 3.4063418 3.84559072 3.76332571 3.9852961
10026 5.98757334 5.91516423 5.4911381 5.88006005 5.91388197 5.7027526
100268168 0.97511144 1.49251376 0.9669728 1.57285797 0.56953835 1.6634851
100270804 0.97511144 0.41253551 -1.1799596 0.42890409 0.35107609 1.5094680
100270827 -0.52401161 1.33184002 -0.1946984 0.42890409 0.35107609 -0.1163774
100270840 4.39377022 4.21187660 3.7913458 4.25408045 3.84933274 3.7302804
100270854 4.42822956 4.55903296 3.8573931 4.58300019 4.21599525 4.2634640
100270865 5.48058213 5.27413890 4.9707326 5.47890333 4.93918998 4.9650524
100271271 2.91750178 3.02710858 3.0773472 3.37777311 3.10001973 3.2604732
100271332 -0.52401161 -1.17995959 -1.1799596 -1.17995959 -1.17995959 -1.1799596
100271415 1.57631855 2.45490381 0.3853175 1.65805331 2.20542469 1.3370215
100271479 0.54364433 0.70272496 1.2552749 0.42890409 0.75922877 0.6452567
100271884 0.77544800 -0.43846972 -1.1799596 -1.17995959 0.92685151 -0.7327807
100272147 1.69427879 2.19947024 1.7012872 2.08464940 1.65642508 1.8674797
100286844 -1.17995959 0.41253551 0.3853175 0.42890409 0.09352599 0.1148737
100287015 1.80331889 1.33184002 2.0414859 1.04969205 1.07701014 0.4891714
100287049 0.54364433 1.49251376 0.6062935 0.61087003 1.21300281 -0.1163774
100287074 1.44784768 1.33184002 -0.1946984 1.04969205 0.09352599 0.4891714
100287616 2.96521877 2.10317985 2.6992956 2.55346964 2.74361673 2.7083571
100287722 0.54364433 0.04889175 0.6062935 0.77243403 0.35107609 1.4258198
100287808 -0.52401161 0.04889175 -1.1799596 0.22062865 -1.17995959 0.1148737
100287837 0.77544800 -1.17995959 0.1242637 0.77243403 0.75922877 0.6452567
100287896 1.57631855 0.04889175 1.2552749 1.73849692 0.92685151 0.3141273
100287902 -0.52401161 0.70272496 -1.1799596 -0.68424088 0.09352599 -0.7327807
100287928 2.46539843 1.88886884 1.2552749 2.20278088 2.44526339 2.5980393
100287932 5.18052383 5.47025099 5.2664804 5.51931131 5.24709260 5.2589271
100288001 3.26122072 2.97364618 2.3778656 2.59727215 2.55171892 3.2844181
100288073 2.86815240 2.91812611 3.5194603 2.63978384 3.46946253 3.2844181
100288123 -0.07474958 1.33184002 0.6062935 1.73849692 1.07701014 1.5094680
100288198 1.30680824 1.49251376 2.0414859 1.17060276 2.13867227 0.3141273
100288241 -1.17995959 -1.17995959 -1.1799596 -0.68424088 -1.17995959 -1.1799596
100288413 1.80331889 2.60309142 2.1153292 2.72122422 2.83077176 1.8674797
100288513 1.15047166 1.76845720 1.2552749 0.77243403 0.92685151 1.2423970
100288842 0.77544800 0.70272496 0.7978753 0.91771327 0.35107609 1.4258198
100289061 0.26733018 1.33184002 1.1183135 1.28215902 1.07701014 0.7860917
100289095 1.15047166 1.15100291 0.9669728 1.17060276 0.75922877 0.4891714
100289133 3.56980491 3.07866041 3.3462728 3.47489740 3.10001973 3.4628879
100289178 1.57631855 2.60309142 2.3778656 1.95597535 2.13867227 2.3930693
100289211 0.54364433 1.76845720 0.7978753 1.17060276 1.21300281 -0.1163774
100289259 0.54364433 0.41253551 1.3803539 1.17060276 1.21300281 1.5885309
100289274 1.30680824 2.19947024 2.4931513 1.73849692 1.45168342 1.8026344
100289341 1.30680824 0.04889175 1.1183135 1.65805331 0.35107609 -0.3919060
100289373 -1.17995959 -0.43846972 -0.1946984 -0.02287121 -1.17995959 0.1148737
100289388 0.26733018 0.94420560 0.6062935 0.77243403 0.56953835 -0.1163774
100289414 -0.07474958 0.70272496 0.9669728 0.22062865 -0.22021455 -0.3919060
100289635 5.46406921 5.59055425 5.0575859 5.45529452 5.69324868 5.3637898
100289640 1.15047166 1.49251376 1.7941478 1.73849692 1.07701014 1.9295353
100289678 1.90469362 3.26821104 2.3165734 2.02174645 2.69798181 2.7083571
100293516 3.29895305 3.31194791 3.1841529 3.27363528 3.35651015 3.5042571
100294362 -0.52401161 -1.17995959 0.9669728 1.17060276 1.55768322 0.7860917
1003 1.57631855 0.70272496 1.4954486 1.57285797 1.33727343 1.3370215
100302692 2.65191482 2.00000016 1.9636580 2.08464940 2.74361673 2.5195102
100302736 1.69427879 1.49251376 1.2552749 1.65805331 1.65642508 0.9143929
100303728 2.08828980 2.45490381 2.1855763 2.41346845 2.26922464 2.3483338
100303755 1.15047166 1.33184002 1.2552749 1.17060276 1.33727343 1.0322101
100312828 -0.07474958 1.33184002 -0.1946984 1.04969205 0.09352599 0.4891714
100312850 -0.07474958 -1.17995959 -1.1799596 0.42890409 0.09352599 -1.1799596
10036 5.26873729 4.57706952 4.0200274 4.42181624 4.54722946 4.3108661
100379345 0.54364433 1.76845720 0.6062935 0.77243403 0.35107609 0.1148737
10038 5.30627607 4.93968615 5.2170234 5.33755369 5.32421240 5.3805491
100381270 1.90469362 1.15100291 0.9669728 0.61087003 1.55768322 1.5094680
10039 3.09957342 2.67184245 3.2512023 3.03967282 3.06449799 2.9669476
1004 4.70612097 4.52226894 4.7097686 4.95536779 4.49481755 4.6240194
10040 3.63025702 4.32292790 3.8787537 3.79005208 3.74099822 3.7302804
100418710 1.15047166 1.33184002 1.8813911 0.42890409 0.92685151 0.9143929
100418735 2.17201006 1.49251376 2.3165734 1.17060276 2.20542469 1.8674797
100418744 1.30680824 1.15100291 1.1183135 0.77243403 1.45168342 1.3370215
100418770 -1.17995959 -1.17995959 -1.1799596 -1.17995959 -1.17995959 -1.1799596
100418781 1.90469362 1.33184002 0.7978753 2.02174645 2.38893721 1.6634851
100418819 1.57631855 2.37468135 2.8796333 1.73849692 1.45168342 1.8026344
100418829 1.44784768 0.70272496 1.2552749 1.65805331 0.56953835 0.9143929
100418888 0.97511144 -1.17995959 1.1183135 0.77243403 -1.17995959 0.4891714
100418889 2.53028703 2.91812611 2.8796333 2.90673057 2.60213889 2.5980393
100418910 2.59238229 1.15100291 2.3165734 1.73849692 1.65642508 1.7347368
100418919 2.08828980 2.19947024 3.0773472 2.36361033 2.78785228 2.4785823
100419028 1.99941028 0.70272496 -1.1799596 1.28215902 1.55768322 1.4258198
100419185 -1.17995959 -0.43846972 -0.6048062 -0.68424088 0.09352599 -1.1799596
100419416 1.57631855 1.76845720 1.2552749 0.22062865 1.07701014 1.2423970
100419515 -0.07474958 0.94420560 -0.6048062 -0.31598465 -0.22021455 -0.1163774
100419645 -1.17995959 -1.17995959 0.6062935 -1.17995959 0.35107609 -0.7327807
100419758 1.15047166 1.33184002 1.2552749 0.91771327 -1.17995959 1.2423970
100419928 1.57631855 2.28973403 2.2525611 1.28215902 2.13867227 1.8674797
10042 5.41336518 5.34952729 5.4273361 5.25107473 5.12308513 5.3296754
100420028 0.54364433 1.15100291 2.1153292 1.81469096 2.06868078 1.5885309
100420050 -1.17995959 -0.43846972 0.3853175 -0.02287121 -0.22021455 0.1148737
100420110 2.76408116 2.00000016 3.1138347 2.68107862 2.99071786 2.8108352
100420187 -0.52401161 -0.43846972 -1.1799596 -1.17995959 0.92685151 -0.3919060
100420259 4.61930496 4.34414803 4.2340421 4.18399135 4.35479849 4.4654875
100420307 1.15047166 2.00000016 1.1183135 0.22062865 1.21300281 1.0322101
100420341 5.42194057 5.57268654 5.9655434 5.53628845 5.38307110 5.4243116
100420423 1.30680824 1.33184002 0.9669728 1.73849692 1.21300281 1.2423970
100420591 1.30680824 0.04889175 0.9669728 0.22062865 1.07701014 0.3141273
100420707 3.26122072 2.10317985 2.5999022 2.55346964 2.69798181 2.6725137
100420752 2.08828980 2.19947024 1.8813911 2.50829547 2.38893721 1.7347368
100420869 3.53860163 3.62099520 3.8573931 3.42715242 3.71831974 4.0565534
100420981 6.10937470 6.20339629 6.1914672 6.27001240 6.02431566 6.0521805
100421093 4.30383919 4.04047415 4.3146232 4.46973524 4.42650603 3.9557777
100421109 0.77544800 1.49251376 -0.1946984 1.04969205 1.07701014 1.1411280
100421160 0.54364433 1.15100291 -0.1946984 0.22062865 1.45168342 0.1148737
100421175 1.15047166 -1.17995959 0.7978753 1.04969205 0.56953835 1.1411280
100421246 0.97511144 0.41253551 0.3853175 0.91771327 1.45168342 0.7860917
100421311 1.44784768 2.00000016 1.7941478 1.04969205 1.45168342 1.5094680
100421372 1.44784768 2.67184245 2.1855763 1.48231410 1.55768322 1.5094680
100421400 2.25113731 0.94420560 1.9636580 2.31196729 2.26922464 2.7083571
100421415 -0.52401161 0.70272496 -1.1799596 -0.68424088 -1.17995959 0.1148737
100421429 0.26733018 0.04889175 -0.1946984 -1.17995959 0.35107609 0.6452567
100421465 1.69427879 0.94420560 1.2552749 0.22062865 0.56953835 0.9143929
100421468 2.25113731 2.28973403 2.4366597 2.36361033 2.78785228 2.3021665
100421506 1.30680824 -0.43846972 0.7978753 0.22062865 1.33727343 1.4258198
100421569 0.97511144 1.63707289 1.6020358 0.42890409 0.75922877 1.3370215
100421595 -0.07474958 -1.17995959 -0.1946984 -0.68424088 -0.62170854 -0.3919060
100421794 -0.52401161 -1.17995959 -0.6048062 -1.17995959 -0.62170854 -0.3919060
100422106 1.80331889 1.33184002 1.1183135 1.81469096 1.07701014 1.3370215
100422338 2.65191482 3.22310668 2.0414859 2.02174645 2.44526339 3.0807120
100422546 1.15047166 1.88886884 0.9669728 1.17060276 1.07701014 1.8026344
100422561 3.99455503 3.54971595 3.3462728 4.03268855 3.32683408 3.5245052
10043 5.63608052 5.47025099 5.2664804 5.48474565 5.70483124 5.4457049
10044 1.80331889 2.97364618 2.4366597 2.83536416 2.26922464 1.8674797
10045 0.54364433 -1.17995959 -0.1946984 -0.31598465 0.09352599 1.1411280
10046 2.25113731 1.33184002 1.7941478 1.04969205 2.26922464 1.6634851
10048 6.27472827 6.39350755 6.5882067 6.40553424 6.42177833 6.1979804
10049 5.86714707 5.97079624 5.6975507 6.04730356 5.82114393 5.7889732
100499177 3.37158026 2.91812611 2.5999022 3.00756800 3.13468783 2.8753211
100499483 3.22247497 3.58579574 2.5999022 2.79831188 2.65085610 2.9669476
1005 -0.07474958 0.04889175 -0.1946984 0.22062865 -1.17995959 -1.1799596
100500719 -1.17995959 -1.17995959 -0.6048062 -0.31598465 -0.22021455 0.1148737
100505385 2.91750178 2.73746566 3.2180671 3.42715242 3.16854237 2.5593090
100505501 0.54364433 1.15100291 0.9669728 0.77243403 0.35107609 1.2423970
100505538 -0.07474958 1.33184002 0.7978753 -0.31598465 0.35107609 0.4891714
100505549 -0.07474958 1.15100291 1.4954486 0.77243403 1.07701014 0.6452567
100505573 4.69200960 5.05999342 5.1483276 5.02116598 4.90946643 4.8967920
100505576 2.32614941 3.22310668 3.0773472 2.90673057 2.91296025 3.0531008
100505616 0.97511144 0.70272496 -0.1946984 -0.31598465 -0.22021455 0.3141273
100505624 1.15047166 0.94420560 1.8813911 1.38570489 1.74883954 1.5094680
100505635 0.26733018 1.15100291 1.2552749 1.57285797 1.33727343 0.9143929
100505641 2.53028703 1.15100291 1.4954486 2.55346964 1.65642508 1.9890314
100505648 1.69427879 1.76845720 1.9636580 2.14492391 1.07701014 1.8026344
100505678 2.17201006 1.76845720 1.9636580 1.88706197 1.91760555 1.5094680
100505696 4.41110278 4.14089647 4.1834406 4.19828423 4.39824925 4.7668428
100505715 0.77544800 0.04889175 1.1183135 0.22062865 -0.22021455 0.4891714
100505738 -1.17995959 -1.17995959 -1.1799596 -1.17995959 -1.17995959 -1.1799596
100505741 1.44784768 1.88886884 1.4954486 1.28215902 1.21300281 1.7347368
100505758 3.05616406 3.07866041 2.9214033 2.72122422 2.99071786 3.5835984
100505761 1.99941028 1.88886884 2.1153292 1.81469096 2.49947284 2.2544730
100505771 0.97511144 1.88886884 1.2552749 1.73849692 1.07701014 1.3370215
100505783 2.39745331 1.33184002 0.7978753 1.17060276 1.74883954 2.2544730
100505806 4.58916520 4.74602168 4.8352582 4.70813261 4.58532549 4.6882509
100505812 1.90469362 2.10317985 2.7465370 2.50829547 1.07701014 1.5094680
100505832 0.54364433 -1.17995959 -0.1946984 -0.31598465 0.09352599 0.4891714
100505854 3.68827760 3.07866041 2.6992956 3.19028176 2.65085610 3.3079721
100505876 4.32227947 4.32292790 4.4774923 4.38480270 4.13269148 4.3454228
100505894 1.15047166 2.45490381 2.1855763 2.02174645 0.56953835 1.7347368
100505933 -1.17995959 -0.43846972 -0.1946984 -0.02287121 -1.17995959 0.3141273
100505994 0.54364433 -0.43846972 1.1183135 1.17060276 -0.62170854 -0.7327807
100506020 -0.52401161 1.15100291 -0.1946984 -0.31598465 1.65642508 0.9143929
100506033 4.22762665 4.16494663 4.1309996 4.50465807 4.18324867 4.4337209
100506054 1.57631855 2.00000016 0.7978753 2.59727215 1.65642508 0.7860917
100506068 0.77544800 0.94420560 0.6062935 0.77243403 0.09352599 0.3141273
100506070 1.69427879 0.04889175 0.7978753 1.38570489 1.33727343 1.4258198
100506083 -1.17995959 0.70272496 0.3853175 -0.68424088 0.35107609 0.6452567
100506100 -1.17995959 -1.17995959 0.7978753 0.42890409 0.56953835 0.1148737
100506119 0.97511144 -1.17995959 0.1242637 0.77243403 -0.62170854 1.1411280
100506127 1.30680824 0.04889175 2.0414859 2.02174645 0.92685151 1.2423970
100506142 -0.52401161 -1.17995959 -1.1799596 -0.31598465 -1.17995959 -1.1799596
100506144 1.57631855 1.33184002 1.7012872 1.17060276 0.92685151 1.4258198
100506161 0.26733018 0.04889175 0.6062935 0.22062865 -1.17995959 0.1148737
100506211 0.97511144 2.00000016 1.7941478 0.91771327 0.92685151 1.2423970
100506235 1.44784768 0.94420560 0.6062935 1.28215902 1.45168342 0.9143929
100506258 1.99941028 0.04889175 0.3853175 0.77243403 1.21300281 0.6452567
100506282 2.32614941 1.49251376 2.8796333 1.81469096 2.13867227 2.6357570
100506286 1.80331889 0.70272496 0.7978753 1.57285797 1.33727343 0.4891714
100506302 1.15047166 1.15100291 0.6062935 0.91771327 0.09352599 1.3370215
100506321 1.44784768 1.15100291 0.3853175 0.42890409 0.75922877 0.3141273
100506325 0.77544800 0.94420560 -1.1799596 0.42890409 0.56953835 0.9143929
100506343 0.26733018 -0.43846972 -0.1946984 0.42890409 0.09352599 0.9143929
100506365 4.80121501 4.61247994 4.8461431 4.87757045 4.84811658 4.8967920
100506368 -1.17995959 0.04889175 -1.1799596 -0.31598465 0.75922877 0.3141273
100506380 2.86815240 3.22310668 2.3778656 3.00756800 2.60213889 2.0461708
100506392 3.22247497 3.39563421 3.1841529 3.10181548 3.20162066 3.3764110
100506394 0.77544800 0.04889175 0.7978753 1.88706197 0.35107609 1.4258198
100506411 -0.07474958 1.33184002 1.3803539 1.38570489 1.33727343 1.0322101
100506433 1.57631855 2.00000016 2.0414859 1.65805331 2.65085610 2.1011331
100506462 1.80331889 1.33184002 0.3853175 1.48231410 -0.22021455 0.7860917
100506469 4.06194393 4.38567428 3.8573931 3.84559072 4.24801502 3.5641684
100506495 1.69427879 0.41253551 -1.1799596 0.42890409 -1.17995959 1.0322101
100506504 2.53028703 1.76845720 1.7941478 1.73849692 1.07701014 1.9295353
100506540 -0.07474958 0.04889175 0.7978753 -0.31598465 0.35107609 0.7860917
100506581 0.26733018 -0.43846972 1.3803539 0.42890409 1.07701014 1.6634851
100506606 -0.07474958 0.04889175 0.9669728 -0.02287121 0.75922877 1.3370215
100506658 0.26733018 2.10317985 1.6020358 1.88706197 1.07701014 1.7347368
100506668 2.17201006 2.45490381 1.9636580 2.25840677 1.99511978 2.3930693
100506686 0.97511144 1.63707289 1.9636580 1.73849692 0.92685151 1.2423970
100506691 -0.52401161 0.41253551 -1.1799596 0.22062865 -1.17995959 -0.1163774
100506696 1.30680824 2.67184245 1.6020358 1.95597535 1.45168342 1.3370215
100506697 1.15047166 0.94420560 1.8813911 0.91771327 1.07701014 1.3370215
100506710 6.08798023 6.39350755 6.0989385 5.83045305 6.20645511 6.3072008
100506713 0.26733018 0.04889175 -0.1946984 -0.02287121 0.75922877 0.1148737
100506725 2.46539843 2.80023332 3.3152736 2.25840677 2.74361673 2.8108352
100506731 0.54364433 0.70272496 1.2552749 0.42890409 1.74883954 1.9890314
100506757 -1.17995959 -1.17995959 -0.1946984 -1.17995959 -1.17995959 -0.3919060
100506779 -1.17995959 0.41253551 -0.6048062 -0.31598465 0.09352599 0.6452567
100506804 0.54364433 0.70272496 -1.1799596 -0.31598465 -0.22021455 -0.3919060
100506826 1.44784768 -0.43846972 -0.1946984 0.77243403 1.65642508 1.4258198
100506844 2.08828980 1.49251376 1.8813911 2.68107862 2.13867227 1.8674797
100506866 5.07573517 5.42117110 5.0945702 4.76685094 5.32421240 5.1845295
100506881 0.54364433 0.94420560 0.9669728 -0.31598465 0.75922877 1.0322101
100506885 0.26733018 -1.17995959 -0.1946984 0.22062865 -1.17995959 -0.1163774
100506911 -0.52401161 0.04889175 -1.1799596 0.77243403 0.56953835 -0.7327807
100506922 1.57631855 1.49251376 1.2552749 0.42890409 0.92685151 1.1411280
100506930 3.60034758 3.75378614 3.1138347 3.89907034 3.02807952 3.1861575
100506994 0.77544800 1.15100291 0.9669728 1.38570489 1.21300281 1.8026344
100507003 0.97511144 0.70272496 2.1153292 1.88706197 0.75922877 1.6634851
100507032 1.99941028 1.49251376 1.4954486 2.02174645 1.33727343 0.6452567
100507034 3.50670852 3.58579574 3.7221291 3.65148914 2.95236286 3.3311477
100507050 -0.07474958 0.04889175 -1.1799596 0.22062865 -1.17995959 -1.1799596
100507053 2.86815240 2.80023332 2.8796333 2.50829547 3.16854237 2.8434384
100507057 1.15047166 -1.17995959 -1.1799596 1.17060276 0.35107609 0.4891714
100507062 -0.07474958 0.70272496 0.3853175 0.22062865 -1.17995959 1.2423970
100507071 0.26733018 0.41253551 0.3853175 0.22062865 -1.17995959 0.4891714
100507156 3.22247497 2.67184245 3.4063418 3.10181548 3.23395749 3.1078047
100507171 3.47409439 3.02710858 2.9214033 3.27363528 2.91296025 3.3079721
100507173 -0.52401161 0.41253551 -1.1799596 -0.02287121 -0.62170854 -1.1799596
100507178 -0.07474958 0.41253551 0.3853175 0.77243403 0.35107609 1.0322101
100507244 0.77544800 -0.43846972 0.7978753 0.22062865 0.56953835 0.6452567
100507246 2.96521877 2.19947024 2.3165734 2.90673057 2.06868078 2.2051486
100507250 0.26733018 0.04889175 -0.6048062 0.77243403 -0.62170854 0.6452567
100507254 2.70908780 3.58579574 2.7922804 3.56589352 2.87245119 2.8108352
100507266 -0.07474958 -1.17995959 -0.1946984 0.77243403 0.56953835 -0.1163774
100507290 4.67775883 4.71377713 4.6612870 4.87757045 4.79492030 4.5269963
100507291 1.30680824 0.04889175 1.2552749 0.42890409 1.33727343 1.1411280
100507303 3.01140793 2.91812611 2.5999022 3.03967282 2.91296025 3.0807120
100507308 -0.07474958 -1.17995959 -0.6048062 -0.02287121 -1.17995959 -1.1799596
100507316 0.97511144 1.33184002 0.7978753 1.88706197 0.35107609 1.8674797
100507331 1.57631855 1.63707289 1.6020358 1.73849692 1.83568891 2.2544730
100507347 1.80331889 1.49251376 0.3853175 1.88706197 0.92685151 0.7860917
100507373 2.17201006 2.53089943 1.6020358 1.95597535 2.13867227 1.7347368
100507392 1.57631855 0.70272496 1.1183135 1.57285797 1.55768322 -0.1163774
100507398 0.97511144 1.49251376 0.1242637 1.81469096 1.55768322 0.4891714
100507401 -0.52401161 0.41253551 -0.6048062 0.42890409 -0.22021455 0.7860917
100507420 0.97511144 1.15100291 0.7978753 1.88706197 0.56953835 0.7860917
100507433 0.54364433 0.70272496 1.3803539 1.04969205 1.33727343 1.0322101
100507436 -0.07474958 -1.17995959 -1.1799596 -0.31598465 -0.22021455 0.1148737
100507437 1.57631855 1.76845720 1.7941478 1.81469096 0.09352599 1.1411280
100507459 0.54364433 1.15100291 0.7978753 1.28215902 1.74883954 1.3370215
100507463 -0.52401161 0.04889175 1.6020358 1.17060276 0.92685151 1.2423970
100507487 0.97511144 1.63707289 1.2552749 1.48231410 1.45168342 1.5885309
100507495 0.77544800 0.70272496 0.9669728 2.08464940 1.33727343 1.0322101
100507516 1.15047166 1.76845720 0.3853175 -0.31598465 0.09352599 -1.1799596
100507551 0.54364433 1.15100291 1.4954486 1.38570489 0.56953835 1.1411280
100507557 0.97511144 -1.17995959 0.6062935 1.28215902 1.21300281 0.9143929
100507564 -1.17995959 -1.17995959 -1.1799596 -0.31598465 0.35107609 -0.1163774
100507567 1.15047166 1.33184002 0.1242637 0.22062865 0.75922877 0.3141273
100507588 0.77544800 0.70272496 0.7978753 0.91771327 0.92685151 0.9143929
100507599 1.57631855 1.15100291 2.1153292 1.38570489 -1.17995959 1.0322101
100507602 2.25113731 -0.43846972 0.9669728 1.48231410 1.99511978 1.7347368
100508120 1.30680824 2.00000016 0.9669728 1.38570489 1.65642508 2.2544730
10051 7.11007225 6.93806485 6.6639824 6.98799081 6.98657882 7.0280034
10052 1.99941028 1.76845720 0.9669728 1.95597535 2.26922464 1.0322101
100526737 1.30680824 1.76845720 1.2552749 1.88706197 1.74883954 2.1540781
100526760 1.15047166 0.04889175 0.3853175 0.42890409 1.07701014 0.7860917
100526820 -0.07474958 0.70272496 -1.1799596 -0.02287121 -0.22021455 1.0322101
100526835 2.08828980 2.28973403 2.7465370 1.38570489 2.65085610 2.9370474
100527978 -0.52401161 1.63707289 1.6020358 0.77243403 0.56953835 0.9143929
100529145 -0.52401161 0.04889175 0.9669728 1.38570489 1.55768322 1.8026344
100529215 -1.17995959 -0.43846972 0.1242637 -1.17995959 -0.62170854 0.1148737
100532746 3.82387431 3.84592727 3.9410008 3.89907034 3.95009736 3.7476098
100533106 -0.07474958 -1.17995959 0.7978753 -0.31598465 -0.62170854 0.7860917
100533182 1.90469362 1.76845720 1.1183135 1.28215902 0.09352599 1.0322101
100533619 0.26733018 -1.17995959 -0.1946984 0.22062865 1.21300281 0.4891714
100533629 0.54364433 1.33184002 -0.6048062 -0.31598465 0.56953835 0.7860917
100533695 0.54364433 0.70272496 0.1242637 -0.02287121 0.35107609 -0.3919060
100533970 0.54364433 0.41253551 0.7978753 0.77243403 0.35107609 0.4891714
100534593 -0.07474958 0.04889175 0.6062935 -0.31598465 1.45168342 1.9295353
10054 6.18185151 6.19757869 5.9199074 6.19002355 6.00101705 5.8703301
10056 5.88586442 5.93627842 5.6235632 5.93229964 5.85792036 6.0061240
10057 7.09137860 7.23643291 7.0805251 6.88351617 7.20621782 7.1967949
10058 4.44515541 4.25732793 3.7686406 3.88146316 4.32508682 4.1893062
10059 7.13375643 7.29208986 7.1392306 7.21406927 7.13736757 7.1306381
1006 5.34286282 5.22922239 5.8780936 5.71093217 5.52703767 5.5823626
10060 4.08372510 3.78515828 4.3456363 4.28118967 4.57273826 4.2391658
100616256 1.30680824 0.41253551 0.1242637 1.17060276 0.09352599 1.6634851
10062 1.44784768 1.63707289 2.4366597 2.25840677 1.55768322 2.1011331
10063 3.71643569 3.17654654 3.6243506 3.30038289 3.13468783 3.0531008
100652739 0.26733018 0.70272496 -0.1946984 0.61087003 0.92685151 -0.1163774
100652758 0.26733018 0.04889175 -0.6048062 -1.17995959 -0.62170854 0.4891714
100652846 0.54364433 1.63707289 0.7978753 1.73849692 1.45168342 0.7860917
10066 5.96427887 6.04394785 5.6915279 5.96610390 5.75025338 5.8261525
10067 6.85852700 6.72002042 6.5487721 6.52090748 6.47008931 6.4330356
10068 3.01140793 3.58579574 3.3152736 3.07107871 3.54872750 3.5444731
10069 3.87473496 4.09155890 4.0765802 4.25408045 4.23209397 4.0703921
10072 5.69387198 5.56366901 5.5654710 5.46714722 5.46027032 5.0925869
10073 3.65955896 4.01423703 4.1130869 4.03268855 4.08029805 4.1507470
10075 8.92397510 8.89785184 8.8511346 8.66659895 9.05075677 8.9087420
10076 5.48058213 5.47025099 5.7793310 5.64463398 5.45342044 5.2947349
10077 1.57631855 0.04889175 1.3803539 0.61087003 1.83568891 0.9143929
100775107 0.77544800 0.94420560 0.3853175 0.91771327 0.75922877 1.0322101
10078 5.23019560 5.05999342 4.6978001 5.03715710 4.92935002 4.7324405
10079 6.07172355 5.44100386 5.7564344 5.87562015 5.89378255 5.7973184
1008 4.90273260 5.02099518 5.1395060 5.05297291 4.75090426 4.9501601
10081 5.23992798 4.80842610 4.8132389 5.00499562 4.82707286 5.1458408
10082 6.44004996 6.60166172 6.9377211 6.65389665 6.94323088 6.7999123
100820829 3.82387431 3.93253521 3.3766199 3.79005208 4.41244682 4.0840992
10084 5.39605996 5.11040352 4.9707326 5.37578333 4.69392580 5.0513155
100847074 1.15047166 2.37468135 1.7012872 1.57285797 1.65642508 1.8674797
10085 10.22197793 10.03813073 10.1213391 10.24643854 10.14328139 10.0616770
100852407 0.77544800 0.94420560 0.7978753 1.04969205 0.75922877 0.4891714
100861412 0.77544800 1.49251376 1.1183135 0.22062865 0.35107609 -0.3919060
100861548 4.08372510 3.39563421 3.6243506 4.18399135 3.89048692 3.7983832
100862671 0.54364433 -0.43846972 0.6062935 0.42890409 0.35107609 1.1411280
10087 6.02182464 6.03744887 5.7564344 5.61830082 5.91388197 5.8504169
100873257 -1.17995959 0.04889175 0.3853175 0.22062865 0.35107609 -0.3919060
100873333 3.37158026 3.17654654 3.0399129 3.37777311 3.29653474 3.4417497
100873790 4.18795543 4.11643858 4.1661712 4.29455561 4.42650603 3.9998319
100873949 1.44784768 0.94420560 1.7012872 0.77243403 1.33727343 1.1411280
100873952 -0.52401161 -1.17995959 -0.6048062 0.42890409 0.09352599 -1.1799596
100873965 2.08828980 2.28973403 2.0414859 1.28215902 2.33032227 2.2051486
100874006 1.30680824 1.33184002 0.1242637 0.77243403 0.35107609 0.7860917
100874008 1.80331889 1.76845720 1.6020358 1.04969205 1.45168342 1.6634851
100874014 1.99941028 2.19947024 2.0414859 2.55346964 2.69798181 2.3930693
100874058 1.80331889 1.33184002 0.3853175 0.91771327 -0.22021455 0.4891714
100874080 -0.07474958 1.15100291 1.2552749 1.04969205 0.35107609 1.0322101
100874097 2.76408116 2.10317985 1.9636580 2.36361033 2.55171892 2.5195102
100874201 0.26733018 0.04889175 0.1242637 0.91771327 -0.62170854 0.4891714
100874212 1.30680824 0.70272496 1.4954486 1.04969205 1.07701014 1.2423970
100874217 -1.17995959 0.04889175 -0.6048062 0.91771327 0.35107609 0.6452567
100874235 -0.07474958 -0.43846972 0.7978753 -0.31598465 -0.62170854 0.1148737
100874261 -1.17995959 1.15100291 0.3853175 0.91771327 0.92685151 -0.3919060
100874291 -1.17995959 -1.17995959 -1.1799596 -0.31598465 0.35107609 -0.3919060
100874362 1.57631855 2.00000016 0.1242637 1.28215902 0.75922877 2.1540781
100874523 2.08828980 2.45490381 2.3165734 1.81469096 1.74883954 1.5094680
100885775 4.08372510 4.68079540 4.5052262 4.65730636 4.11543756 4.6240194
100885776 -1.17995959 0.04889175 -1.1799596 -0.31598465 -0.62170854 0.3141273
100885848 3.94781426 4.68079540 4.5052262 4.24033239 4.14974149 4.2873597
1009 10.50529197 10.40985087 10.5155727 10.60082106 10.56136723 10.5250542
10090 3.87473496 4.30139098 4.2340421 3.89907034 4.04428124 4.2513661
10092 8.22510852 8.18812620 8.0619221 8.28153933 8.18970608 8.0812998
10093 7.61152872 7.62246212 7.4978414 7.77513173 7.41629975 7.4413770
10094 5.98178489 5.97760179 6.1348907 5.97027428 5.73903121 5.8544216
10095 6.47755312 6.40364998 6.3867551 6.57119638 6.23868496 6.4032744
10097 8.96562844 8.99580277 9.0053620 9.00926637 8.86257154 8.8908186
10098 7.01974386 7.13049694 7.2499273 7.05823921 7.10276457 7.0244533
10099 7.94475659 7.66524420 7.6328262 7.77035633 7.49679219 7.6142938
100996246 -1.17995959 1.15100291 0.9669728 0.91771327 1.33727343 0.4891714
100996251 -0.07474958 0.41253551 0.1242637 0.42890409 -1.17995959 -0.7327807
100996307 -0.52401161 0.70272496 -1.1799596 0.77243403 -0.62170854 0.6452567
100996384 1.44784768 0.41253551 -0.1946984 -0.02287121 1.07701014 0.9143929
100996419 -0.07474958 1.15100291 -1.1799596 0.91771327 0.92685151 1.5885309
100996485 1.69427879 1.76845720 1.7012872 1.88706197 2.13867227 2.3483338
100996539 0.54364433 -1.17995959 -1.1799596 0.22062865 -1.17995959 -0.7327807
100996579 -1.17995959 1.15100291 -0.1946984 -1.17995959 -1.17995959 -1.1799596
100996696 2.81705500 2.60309142 2.1855763 2.08464940 1.55768322 1.9295353
100996842 -0.07474958 0.41253551 0.3853175 0.77243403 0.56953835 0.9143929
100996851 0.54364433 0.04889175 0.3853175 1.04969205 1.07701014 0.6452567
100996939 0.97511144 0.70272496 1.1183135 1.04969205 1.21300281 0.1148737
101 1.44784768 2.00000016 2.1153292 0.91771327 0.92685151 1.1411280
1010 -1.17995959 -1.17995959 -1.1799596 -0.31598465 -0.22021455 -1.1799596
10100 4.54274103 4.59488337 4.6735610 4.77640912 5.01558309 4.2144514
10101 4.84012599 4.74602168 4.6735610 4.78590438 4.39824925 5.0513155
10102 4.32227947 4.66401741 4.5853658 4.37225078 4.16659236 4.4012391
10103 -1.17995959 -1.17995959 0.3853175 -0.31598465 0.35107609 0.7860917
10105 6.13567922 6.41873117 6.1699688 6.15747519 5.96293852 5.9659707
10106 7.03099876 6.92404057 6.8859171 6.95259513 6.89348783 6.8865502
101060200 2.81705500 2.73746566 1.9636580 1.65805331 2.33032227 2.3021665
101060691 2.65191482 3.84592727 2.9619978 2.83536416 3.13468783 3.0807120
10109 8.80608961 8.93066217 8.8524848 8.99142324 8.66178896 8.8255080
10112 5.98757334 5.65989114 4.7334118 5.72086679 5.44653788 5.4510040
10113 5.89820908 6.05041768 5.9705261 6.14646049 6.00570697 6.0097194
10114 7.15962406 7.38460398 7.4752320 7.09116389 7.47328178 7.4453651
101154753 -0.52401161 -0.43846972 0.7978753 0.22062865 -1.17995959 0.1148737
10116 7.52859650 7.42499786 7.6217836 7.38468989 7.51335382 7.5928805
10117 0.97511144 2.67184245 1.6020358 1.38570489 1.33727343 1.5094680
1012 8.31302257 8.15097913 8.2209065 8.37808271 8.15845778 8.1545846
10121 6.49797452 6.44352135 6.3904778 6.54067310 6.49698619 6.2291581
10123 7.32876915 7.40746453 7.4125384 7.38156188 7.41805996 7.3704386
101241892 3.40656729 4.48454351 3.5194603 3.13191103 3.95009736 4.2513661
10125 0.97511144 1.76845720 1.7012872 1.88706197 0.92685151 1.7347368
10126 3.47409439 3.72171660 3.6243506 3.82731438 3.82830688 2.8753211
EtOH_24_H4 TUN_2_H5 THA_2_H5 DMSO_2_H5 TUN_24_H5 THA_24_H5
100 3.73141759 2.85530514 2.70444369 2.3709717 3.12299504 2.1477474
1000 11.44587320 11.09106490 11.36452689 11.1969822 11.39252169 11.4179813
10000 7.39031327 6.86720278 6.72824764 6.8371366 7.12968247 7.2735248
10001 4.52118521 5.09406789 4.59942348 4.5288911 4.50759638 4.7211701
10003 3.06063379 3.75585531 4.35359413 4.0586415 3.80478092 3.6335861
100037417 1.68125730 2.68985907 2.75942445 2.7059248 2.37940313 2.6839992
100049716 1.38649160 1.94071728 1.79896886 1.6531038 0.95984886 0.8248578
10005 4.09048256 4.03421151 4.01252468 3.8032293 3.99819855 4.3498827
10006 6.55278943 6.43776295 6.07221459 5.8804299 6.70667148 6.0790834
10007 5.08012154 4.91818152 4.61441371 4.2755647 5.14069929 5.0161968
10009 5.34142185 5.10506503 5.22527343 5.3810504 5.02330851 5.0743032
100093630 3.52408893 3.81062480 3.71162236 3.0963561 4.42584566 2.6839992
1001 5.38299413 4.70343557 4.45700407 3.9043801 4.12794489 4.3020495
10010 4.99330845 5.49610700 5.15524690 4.9156362 5.39385888 5.1025017
100101267 1.01561832 1.83899643 1.30271726 1.4890954 1.29063290 3.0740503
100101467 4.18752422 5.13756228 4.56896748 4.9475887 5.45283476 6.0790834
10011 5.54436855 5.72006351 5.71698303 5.4935492 5.66723161 5.8150942
100113386 0.86727858 -0.50898272 0.54017346 2.9775777 1.98188763 1.6328996
100113397 0.30049458 -1.17995959 0.97125040 1.0916633 0.76084465 1.6328996
100113407 4.15589676 4.36216229 4.35359413 5.0094462 4.47544982 4.7211701
100125288 1.38649160 -0.05278768 0.54017346 -1.1799596 3.16391247 3.0740503
100127983 2.42764119 2.68985907 2.58776654 1.3040218 2.57412220 2.9553769
100128006 1.68125730 2.90649031 2.52568734 2.1689504 2.69071495 3.5541387
100128016 1.27314021 1.18322683 -0.07741301 1.6531038 1.29063290 -1.1799596
100128025 0.51512424 0.29328288 0.77175310 0.5412801 -0.08526516 0.8248578
100128054 1.49158217 1.00682747 1.68997827 1.3040218 1.98188763 1.9131691
100128071 0.51512424 1.00682747 0.97125040 1.4890954 0.76084465 -1.1799596
100128191 0.70191972 1.61112654 2.16751780 1.3040218 2.15424073 0.8248578
100128252 -1.17995959 1.18322683 0.77175310 1.6531038 2.94662820 1.6328996
100128379 -1.17995959 0.29328288 0.26417786 -1.1799596 -0.08526516 -1.1799596
100128398 4.20308169 3.88906743 4.07887412 4.4418320 4.78181733 5.6337577
100128494 3.22205396 3.33791920 2.52568734 3.5767909 3.48776715 4.5267765
100128569 1.99901716 0.57219069 1.30271726 2.0562349 1.78611469 2.1477474
100128640 -0.25762257 1.18322683 1.14648250 -1.1799596 1.13470054 1.6328996
100128682 0.30049458 1.34038858 1.99498009 2.1689504 2.74565825 3.1836995
100128731 6.61517194 6.32470812 6.40954003 5.9764818 6.51440271 5.7452703
100128766 0.51512424 0.29328288 0.54017346 0.5412801 -0.08526516 -1.1799596
100128782 1.38649160 1.61112654 2.39289038 1.0916633 2.15424073 2.8260596
100128822 0.70191972 3.75585531 2.58776654 1.9339610 2.69071495 2.3494648
100128833 2.87885034 2.85530514 2.32160765 1.0916633 2.99278204 2.5264069
100128881 2.13500197 1.83899643 2.52568734 2.8481357 2.63359608 2.1477474
100128893 4.53354409 5.63915263 5.88092081 5.0975269 5.27749352 5.8150942
100129001 1.68125730 1.00682747 0.26417786 1.0916633 0.52992955 0.8248578
100129013 2.87885034 2.68985907 2.24661898 2.0562349 1.78611469 1.9131691
100129029 -0.25762257 -0.50898272 0.26417786 0.1600124 0.76084465 1.9131691
100129060 3.31089208 2.03573600 3.65475237 2.9775777 3.28013098 3.0740503
100129075 1.01561832 2.63020737 1.57207599 2.0562349 2.30818336 2.1477474
100129195 2.75766021 2.68985907 2.70444369 0.8425603 1.67727128 0.8248578
100129203 0.04825833 -1.17995959 -1.17995959 -1.1799596 -0.53118197 -1.1799596
100129250 2.52987889 2.85530514 1.44367385 1.0916633 2.23326438 2.1477474
100129259 1.27314021 0.57219069 0.26417786 0.1600124 0.25487818 -1.1799596
100129361 5.71141754 5.74839578 5.66753289 5.2203186 5.45283476 4.6843305
100129398 0.30049458 1.48209914 0.26417786 1.6531038 0.25487818 0.1458237
100129434 1.58953463 -0.05278768 1.68997827 2.5481473 0.95984886 1.6328996
100129461 1.38649160 -0.05278768 0.54017346 0.8425603 0.52992955 0.8248578
100129484 1.38649160 -0.50898272 0.97125040 2.7059248 3.38768129 1.6328996
100129550 2.67081404 3.88906743 4.05709493 4.1711763 4.82071995 4.3498827
100129583 0.04825833 1.72955575 1.44367385 0.1600124 1.55954121 0.8248578
100129662 0.30049458 1.18322683 0.77175310 -1.1799596 0.76084465 2.1477474
100129707 0.30049458 0.57219069 -0.07741301 -0.3596932 0.52992955 -1.1799596
100129716 -1.17995959 1.18322683 0.97125040 1.3040218 1.43134334 2.3494648
100129726 -0.25762257 -1.17995959 -1.17995959 -1.1799596 -0.08526516 -1.1799596
100129774 3.44778406 3.44566317 3.79293290 3.9989014 3.83042447 2.6839992
100129781 0.30049458 -0.50898272 -0.07741301 0.8425603 -1.17995959 -1.1799596
100129792 0.30049458 0.57219069 0.54017346 0.1600124 -1.17995959 -1.1799596
100129794 0.86727858 2.50295226 1.79896886 2.7059248 2.44727185 2.9553769
100129842 1.15011763 0.29328288 -0.52582932 0.1600124 0.95984886 1.2847265
100129917 1.27314021 2.03573600 2.24661898 2.3709717 3.55083058 3.8486307
100129924 -0.64630514 0.57219069 0.54017346 -1.1799596 -0.08526516 0.8248578
100129940 1.84886810 1.61112654 1.57207599 1.8003561 0.52992955 2.6839992
100129995 -0.25762257 0.80581528 0.54017346 1.3040218 0.76084465 1.2847265
10013 5.41674542 5.91388053 5.95345058 6.1095393 6.24085764 6.3381775
100130111 0.04825833 -0.50898272 1.14648250 0.1600124 1.29063290 -1.1799596
100130197 0.70191972 0.57219069 0.97125040 -1.1799596 0.52992955 -1.1799596
100130335 4.05662850 3.93908894 3.36681217 2.8481357 4.32120751 3.6335861
100130348 2.06861117 2.50295226 2.64728432 1.4890954 3.77867331 1.9131691
100130357 0.70191972 1.72955575 1.14648250 0.5412801 0.52992955 1.6328996
100130466 4.24877214 3.93908894 3.76633534 3.8714449 3.77867331 2.9553769
100130476 2.91708569 -1.17995959 0.77175310 2.2734943 0.52992955 -1.1799596
100130522 -0.64630514 0.57219069 0.77175310 1.3040218 0.52992955 1.6328996
100130550 0.70191972 -1.17995959 0.26417786 -1.1799596 0.95984886 0.8248578
100130564 2.83957400 2.85530514 2.86347314 3.4926595 2.30818336 1.6328996
100130581 0.30049458 -1.17995959 0.97125040 0.5412801 0.52992955 0.8248578
100130691 1.27314021 1.18322683 1.30271726 1.8003561 1.98188763 2.5264069
100130705 0.70191972 1.83899643 0.54017346 2.2734943 3.58135780 3.2856004
100130748 1.68125730 2.28817553 1.57207599 0.1600124 1.55954121 1.6328996
100130750 2.37367046 1.48209914 1.30271726 2.1689504 1.88731940 0.1458237
100130855 1.01561832 1.83899643 0.77175310 1.6531038 0.95984886 2.1477474
100130958 0.30049458 -1.17995959 -0.52582932 0.1600124 0.52992955 -1.1799596
100131017 2.42764119 2.20883760 1.90030080 3.2579849 2.44727185 3.1836995
100131031 1.27314021 1.61112654 2.39289038 3.0963561 2.30818336 2.6839992
100131033 1.99901716 1.61112654 2.32160765 -1.1799596 1.88731940 0.8248578
100131067 2.13500197 2.20883760 1.79896886 1.3040218 2.84963983 2.5264069
100131089 1.68125730 3.69892425 2.46081628 3.6562854 3.45517064 4.2013451
100131094 0.30049458 1.61112654 0.26417786 1.4890954 -0.08526516 -1.1799596
100131138 2.47966549 2.28817553 1.68997827 2.0562349 2.84963983 -1.1799596
100131187 2.87885034 1.00682747 0.54017346 -1.1799596 0.25487818 0.8248578
100131193 1.76749544 2.85530514 3.25646954 2.9775777 1.67727128 2.3494648
100131211 2.87885034 3.37473520 3.36681217 3.3080731 2.37940313 2.1477474
100131213 0.86727858 0.57219069 -0.52582932 1.0916633 1.67727128 1.6328996
100131471 1.58953463 1.61112654 1.68997827 1.0916633 2.07063644 0.1458237
100131656 3.61992990 2.85530514 3.17792153 1.9339610 2.94662820 2.8260596
100131685 2.37367046 1.94071728 0.26417786 1.4890954 1.43134334 0.1458237
100131691 0.51512424 2.68985907 1.30271726 1.4890954 2.89894889 3.0740503
100131740 -0.64630514 0.29328288 1.14648250 -0.3596932 -0.08526516 0.1458237
100131801 2.83957400 2.68985907 2.86347314 0.8425603 2.37940313 1.6328996
100131827 0.04825833 -0.05278768 -1.17995959 -1.1799596 -1.17995959 -1.1799596
100131828 0.86727858 0.57219069 0.26417786 1.0916633 0.25487818 1.9131691
100131940 2.06861117 1.72955575 1.57207599 2.1689504 -0.53118197 0.8248578
100132074 -1.17995959 2.03573600 0.54017346 0.5412801 1.43134334 2.1477474
100132086 0.04825833 0.57219069 -1.17995959 -1.1799596 0.25487818 -1.1799596
100132116 7.71046188 7.09939471 7.05104150 6.4590163 5.31430810 5.7272732
100132126 0.70191972 0.29328288 -0.52582932 0.1600124 0.25487818 -1.1799596
100132215 1.01561832 0.29328288 1.14648250 0.8425603 0.52992955 -1.1799596
100132537 2.31760197 1.61112654 1.14648250 1.4890954 0.95984886 2.1477474
100132609 2.19847150 0.29328288 -0.07741301 -1.1799596 -0.08526516 -1.1799596
100132659 0.30049458 0.29328288 -0.07741301 -0.3596932 1.13470054 0.8248578
100132891 2.52987889 2.80223697 2.24661898 1.8003561 3.28013098 2.3494648
100132972 -1.17995959 -0.05278768 -0.07741301 0.1600124 1.13470054 -1.1799596
100133234 1.01561832 0.80581528 -0.07741301 0.1600124 0.76084465 -1.1799596
100133286 -0.64630514 -0.50898272 -1.17995959 -1.1799596 -0.53118197 -1.1799596
100133315 0.30049458 -0.50898272 -1.17995959 1.8003561 0.52992955 2.8260596
100134934 0.51512424 1.48209914 0.77175310 2.8481357 2.15424073 -1.1799596
10014 6.06643237 6.65162450 6.28858920 6.7031708 6.29711731 6.5372358
100144603 -0.25762257 0.29328288 -0.07741301 0.8425603 0.52992955 -1.1799596
100144748 0.30049458 2.36337694 0.97125040 1.6531038 2.15424073 3.0740503
10015 7.49513569 7.51051642 7.39714770 7.4910638 7.38894183 7.5995845
10016 5.30583910 5.02626424 4.96953089 4.5288911 4.82071995 5.0455425
100170229 0.70191972 0.29328288 0.97125040 -0.3596932 0.52992955 1.2847265
100170841 2.19847150 3.78349994 3.17792153 4.1979900 4.02064953 3.3807762
10018 2.91708569 4.10165125 3.36681217 4.6886754 4.04275648 4.7570923
100188847 1.15011763 0.80581528 1.90030080 2.1689504 1.55954121 1.2847265
10019 4.89136391 4.80134101 4.56896748 4.5288911 5.19105636 4.6843305
100190938 3.15963607 1.61112654 2.32160765 2.0562349 3.03750501 1.2847265
1002 2.06861117 -1.17995959 1.57207599 1.3040218 1.43134334 0.8248578
10020 3.89361099 4.18693070 3.84470067 3.9680773 3.95222045 4.3498827
10021 7.13650250 7.89805579 8.10013297 8.2588063 7.05822912 8.4712096
10023 1.27314021 1.48209914 1.79896886 1.3040218 2.07063644 2.3494648
10024 4.13981916 2.74714195 4.03498192 3.0381889 1.98188763 1.6328996
10026 5.71684663 6.09578478 6.03370276 5.7863854 5.97376433 5.9138757
100268168 1.38649160 0.57219069 -0.52582932 0.5412801 0.76084465 1.6328996
100270804 0.70191972 2.20883760 1.79896886 2.0562349 2.94662820 3.2856004
100270827 0.04825833 -1.17995959 -0.07741301 -1.1799596 -1.17995959 0.8248578
100270840 4.40491566 3.51326687 3.94297612 4.0290806 3.85562015 4.0357402
100270854 4.20308169 3.69892425 4.28029227 4.0586415 4.30300545 3.7804496
100270865 5.14599662 5.54538171 5.31975953 4.4860181 5.37655613 4.3498827
100271271 3.87430635 3.30013904 2.81238661 2.2734943 3.31687918 1.6328996
100271332 -0.25762257 -1.17995959 -1.17995959 -1.1799596 -1.17995959 -1.1799596
100271415 2.13500197 1.72955575 1.57207599 0.8425603 2.07063644 1.6328996
100271479 -0.25762257 1.34038858 -0.52582932 1.4890954 0.52992955 1.2847265
100271884 -0.25762257 -0.05278768 -1.17995959 -1.1799596 -1.17995959 -1.1799596
100272147 2.42764119 2.85530514 2.52568734 2.6291919 2.15424073 2.3494648
100286844 0.30049458 1.00682747 1.30271726 1.9339610 1.29063290 0.1458237
100287015 1.38649160 1.48209914 0.97125040 1.9339610 0.25487818 0.8248578
100287049 0.86727858 2.03573600 1.30271726 1.4890954 1.67727128 2.5264069
100287074 0.30049458 -0.05278768 -0.07741301 0.5412801 0.25487818 0.1458237
100287616 2.71489052 3.13827203 2.24661898 2.3709717 3.03750501 1.2847265
100287722 0.86727858 1.34038858 0.26417786 1.0916633 -0.08526516 2.3494648
100287808 0.86727858 1.00682747 0.97125040 2.1689504 -0.08526516 -1.1799596
100287837 -0.25762257 1.61112654 0.54017346 1.4890954 0.52992955 -1.1799596
100287896 1.84886810 2.74714195 2.39289038 2.2734943 3.03750501 1.6328996
100287902 -0.25762257 1.34038858 0.97125040 1.3040218 -0.08526516 -1.1799596
100287928 1.92589510 1.72955575 2.91281237 2.2734943 2.37940313 1.6328996
100287932 5.61585261 5.38319559 5.10306160 5.2590316 4.85860104 4.0930801
100288001 3.59655992 2.36337694 3.00670016 2.2734943 2.23326438 1.9131691
100288073 3.44778406 4.96722049 3.71162236 2.7787818 6.52621972 5.4263068
100288123 0.86727858 2.03573600 1.79896886 1.3040218 0.25487818 0.8248578
100288198 1.68125730 2.74714195 2.70444369 1.9339610 2.30818336 2.1477474
100288241 -1.17995959 -1.17995959 -1.17995959 -1.1799596 -1.17995959 -1.1799596
100288413 2.42764119 2.95592154 3.00670016 3.2579849 2.69071495 3.9137344
100288513 1.01561832 0.29328288 0.26417786 -0.3596932 -0.08526516 -1.1799596
100288842 0.70191972 1.83899643 1.68997827 2.3709717 1.43134334 2.8260596
100289061 1.58953463 1.00682747 1.14648250 1.6531038 0.25487818 0.1458237
100289095 -1.17995959 -1.17995959 0.54017346 0.1600124 -1.17995959 -1.1799596
100289133 3.09439508 2.12488144 1.99498009 1.4890954 1.67727128 0.1458237
100289178 2.31760197 3.00371506 2.08382672 3.0381889 1.43134334 1.9131691
100289211 1.01561832 1.34038858 1.79896886 2.7059248 0.76084465 3.2856004
100289259 1.38649160 1.34038858 0.54017346 1.8003561 1.55954121 2.1477474
100289274 1.58953463 3.54591672 2.96051989 2.2734943 4.56981725 4.5678072
100289341 1.27314021 0.29328288 1.44367385 0.1600124 1.55954121 0.8248578
100289373 0.70191972 0.57219069 1.79896886 1.3040218 1.98188763 2.3494648
100289388 0.51512424 -0.05278768 -0.07741301 0.5412801 0.25487818 -1.1799596
100289414 -1.17995959 -0.05278768 -1.17995959 -0.3596932 -1.17995959 0.8248578
100289635 5.37614808 5.37413277 5.07081962 5.3574583 5.44455581 5.4263068
100289640 2.37367046 0.80581528 -0.52582932 0.8425603 2.30818336 2.1477474
100289678 2.71489052 2.50295226 3.05144795 3.0963561 3.51964342 4.0357402
100293516 3.54865264 3.88906743 3.96653347 4.1438548 2.99278204 3.6335861
100294362 1.01561832 0.29328288 0.26417786 1.4890954 1.43134334 1.6328996
1003 1.84886810 0.57219069 -0.07741301 0.8425603 0.52992955 -1.1799596
100302692 1.68125730 2.95592154 2.81238661 4.1160059 2.63359608 4.7921418
100302736 -0.25762257 1.34038858 0.97125040 -0.3596932 2.23326438 0.1458237
100303728 2.52987889 3.00371506 2.91281237 3.3080731 2.63359608 2.5264069
100303755 0.86727858 1.48209914 1.44367385 0.8425603 1.55954121 0.8248578
100312828 -0.64630514 0.57219069 0.77175310 0.5412801 0.76084465 2.3494648
100312850 -0.25762257 -0.05278768 1.30271726 1.0916633 -0.08526516 0.8248578
10036 4.90093507 4.34371060 4.28029227 3.9043801 3.16391247 3.0740503
100379345 -0.64630514 1.34038858 0.54017346 0.1600124 -0.53118197 -1.1799596
10038 5.32729389 5.70568595 5.56323746 5.1670303 5.90904836 5.0455425
100381270 0.04825833 0.80581528 1.44367385 2.2734943 0.95984886 3.2856004
10039 2.75766021 3.72767058 2.70444369 3.6944481 4.04275648 4.5678072
1004 5.05462168 4.77403937 5.15524690 4.9788489 4.33918277 3.3807762
10040 3.83490440 3.69892425 3.59554829 3.6170856 4.50759638 4.3498827
100418710 1.15011763 1.34038858 0.77175310 2.1689504 0.95984886 0.8248578
100418735 2.06861117 2.20883760 2.16751780 1.4890954 0.95984886 2.5264069
100418744 0.30049458 1.94071728 0.77175310 -1.1799596 -0.53118197 0.8248578
100418770 -0.64630514 -1.17995959 -1.17995959 -1.1799596 -1.17995959 -1.1799596
100418781 1.92589510 -0.05278768 1.57207599 1.9339610 1.13470054 0.1458237
100418819 1.99901716 2.43485187 2.81238661 1.4890954 1.43134334 2.1477474
100418829 1.49158217 0.57219069 1.14648250 1.4890954 0.95984886 1.2847265
100418888 1.15011763 1.00682747 1.44367385 1.3040218 0.25487818 1.2847265
100418889 3.06063379 2.50295226 3.05144795 2.0562349 2.30818336 2.3494648
100418910 1.15011763 -0.05278768 0.26417786 1.3040218 -0.08526516 -1.1799596
100418919 3.12738433 2.50295226 2.08382672 2.3709717 2.15424073 3.4700599
100419028 1.27314021 1.18322683 1.14648250 1.3040218 1.55954121 1.6328996
100419185 -1.17995959 -1.17995959 0.54017346 0.1600124 -0.53118197 -1.1799596
100419416 0.86727858 -0.05278768 1.68997827 0.5412801 -0.53118197 -1.1799596
100419515 1.15011763 1.34038858 0.97125040 0.1600124 1.29063290 1.9131691
100419645 -0.25762257 -0.05278768 -0.07741301 0.1600124 0.25487818 0.8248578
100419758 1.27314021 1.48209914 1.44367385 1.6531038 2.07063644 2.1477474
100419928 2.13500197 -0.05278768 1.57207599 0.5412801 2.63359608 0.8248578
10042 5.28406042 5.74839578 5.50007010 5.4042629 5.05628306 4.8924536
100420028 1.92589510 -0.05278768 0.77175310 0.5412801 0.52992955 1.9131691
100420050 0.04825833 -0.05278768 -0.52582932 -0.3596932 0.52992955 0.1458237
100420110 2.75766021 2.68985907 3.05144795 2.9143080 3.31687918 2.9553769
100420187 -1.17995959 -1.17995959 -1.17995959 -1.1799596 0.95984886 2.1477474
100420259 4.49614522 4.14492101 3.91902771 4.0290806 3.66924514 4.0930801
100420307 0.70191972 -0.05278768 0.77175310 1.4890954 -0.08526516 1.6328996
100420341 5.61585261 5.30904701 5.31975953 4.4418320 7.16538440 6.0790834
100420423 1.27314021 0.80581528 0.26417786 -0.3596932 1.13470054 0.8248578
100420591 0.04825833 -0.50898272 0.54017346 -0.3596932 0.25487818 -1.1799596
100420707 2.52987889 2.74714195 3.17792153 3.4486795 2.89894889 3.1836995
100420752 2.67081404 1.00682747 0.26417786 0.8425603 2.23326438 2.5264069
100420869 4.09048256 4.18693070 4.10032941 3.7678725 4.22780995 2.9553769
100420981 6.36500818 5.87586078 6.07221459 5.6762767 6.03570149 5.2858188
100421093 4.59379859 4.26744930 4.10032941 3.7316274 3.72499649 3.9760267
100421109 0.70191972 1.48209914 -0.07741301 0.5412801 1.43134334 0.1458237
100421160 0.04825833 0.57219069 0.26417786 0.1600124 0.76084465 0.8248578
100421175 0.70191972 -0.50898272 -0.52582932 0.1600124 -0.08526516 0.1458237
100421246 1.01561832 0.80581528 0.54017346 -1.1799596 0.25487818 -1.1799596
100421311 1.76749544 1.72955575 2.16751780 1.3040218 1.55954121 -1.1799596
100421372 1.38649160 1.83899643 2.16751780 2.7059248 2.30818336 1.6328996
100421400 2.47966549 2.12488144 1.68997827 0.8425603 1.29063290 1.2847265
100421415 0.70191972 0.57219069 -0.07741301 1.8003561 0.76084465 -1.1799596
100421429 -0.25762257 -0.50898272 -0.07741301 -0.3596932 -0.53118197 1.6328996
100421465 1.38649160 1.94071728 0.97125040 0.1600124 2.15424073 -1.1799596
100421468 3.19118255 2.43485187 2.81238661 1.8003561 2.69071495 2.1477474
100421506 0.86727858 0.29328288 1.57207599 0.1600124 0.52992955 -1.1799596
100421569 1.01561832 1.18322683 -0.52582932 -1.1799596 -0.08526516 0.1458237
100421595 -1.17995959 -1.17995959 -0.07741301 -1.1799596 -0.53118197 -1.1799596
100421794 -1.17995959 -0.05278768 -0.07741301 -1.1799596 -1.17995959 -1.1799596
100422106 1.84886810 1.48209914 1.44367385 0.8425603 1.29063290 1.9131691
100422338 2.87885034 1.94071728 1.57207599 2.5481473 1.78611469 2.6839992
100422546 1.38649160 1.00682747 0.77175310 1.0916633 1.29063290 0.1458237
100422561 3.42142512 2.95592154 2.86347314 3.2579849 3.99819855 2.5264069
10043 5.65030884 5.71289264 5.59381338 5.2203186 5.56401218 5.4484468
10044 2.19847150 1.48209914 0.54017346 1.8003561 1.55954121 -1.1799596
10045 -0.25762257 -0.05278768 -0.07741301 0.1600124 -1.17995959 -1.1799596
10046 1.92589510 1.61112654 1.57207599 0.8425603 1.43134334 1.2847265
10048 6.53138108 6.74246114 6.51315406 6.3792595 6.48644736 6.4953135
10049 5.75955923 5.79667661 5.66032816 5.8126478 6.03570149 5.4702521
100499177 3.25227859 3.69892425 3.84470067 2.8481357 3.55083058 2.6839992
100499483 3.09439508 3.30013904 2.86347314 2.1689504 2.44727185 2.9553769
1005 -1.17995959 -0.05278768 -1.17995959 0.8425603 -0.08526516 -1.1799596
100500719 -1.17995959 0.57219069 -0.52582932 -1.1799596 -0.08526516 -1.1799596
100505385 3.33932935 2.85530514 2.58776654 1.3040218 2.51209076 1.9131691
100505501 1.01561832 1.18322683 0.97125040 0.1600124 2.07063644 1.2847265
100505538 0.51512424 1.34038858 -0.52582932 1.6531038 1.29063290 0.8248578
100505549 1.27314021 -0.05278768 -0.07741301 1.0916633 1.78611469 1.2847265
100505573 4.78166425 5.76928572 6.09376841 5.6179018 5.72988832 5.8320347
100505576 3.31089208 2.90649031 2.46081628 3.0381889 2.84963983 2.1477474
100505616 0.04825833 -1.17995959 -0.07741301 -1.1799596 0.25487818 -1.1799596
100505624 1.68125730 1.00682747 2.39289038 1.9339610 0.95984886 1.9131691
100505635 1.01561832 -0.50898272 -0.52582932 -1.1799596 0.52992955 0.8248578
100505641 2.91708569 1.61112654 2.39289038 1.8003561 2.37940313 2.9553769
100505648 1.99901716 2.74714195 2.58776654 3.3080731 3.48776715 3.0740503
100505678 1.76749544 2.20883760 2.16751780 2.4622776 2.07063644 3.3807762
100505696 4.76079068 4.12344834 4.26136971 4.8663399 5.14069929 5.5337578
100505715 0.51512424 1.48209914 1.30271726 0.8425603 0.52992955 1.2847265
100505738 -1.17995959 -0.05278768 -0.07741301 0.8425603 -0.08526516 -1.1799596
100505741 1.15011763 1.18322683 1.68997827 1.3040218 2.30818336 1.6328996
100505758 3.19118255 3.63965398 3.05144795 2.5481473 3.64054016 3.4700599
100505761 2.47966549 1.83899643 2.81238661 3.4486795 4.33918277 4.0357402
100505771 1.76749544 1.61112654 2.39289038 2.0562349 0.95984886 1.2847265
100505783 2.31760197 3.09479935 3.13698334 3.4033164 3.12299504 3.2856004
100505806 4.59379859 4.70343557 4.10032941 4.0290806 4.75528696 4.2525758
100505812 2.62534841 1.72955575 2.32160765 1.4890954 1.55954121 0.8248578
100505832 0.30049458 2.90649031 2.16751780 2.3709717 2.63359608 1.6328996
100505854 3.52408893 4.82813557 3.21773004 3.0963561 4.91960633 4.3020495
100505876 4.37775420 5.76235596 5.75806030 5.5673842 5.76355660 5.0743032
100505894 2.19847150 3.47986097 3.71162236 4.5076139 3.99819855 4.0357402
100505933 -1.17995959 1.18322683 -1.17995959 -1.1799596 1.29063290 -1.1799596
100505994 -1.17995959 -1.17995959 0.54017346 -0.3596932 0.95984886 1.9131691
100506020 0.86727858 1.00682747 0.97125040 1.4890954 0.95984886 0.8248578
100506033 4.37775420 4.64435419 4.26136971 4.4418320 4.42584566 4.4410391
100506054 0.70191972 3.00371506 2.70444369 1.8003561 2.63359608 0.1458237
100506068 1.92589510 1.34038858 1.44367385 1.9339610 -0.53118197 2.1477474
100506070 1.38649160 1.61112654 1.44367385 2.7787818 2.84963983 2.8260596
100506083 0.30049458 -1.17995959 1.68997827 1.3040218 -0.53118197 1.2847265
100506100 -1.17995959 -0.05278768 0.54017346 -1.1799596 0.95984886 -1.1799596
100506119 0.30049458 1.18322683 1.57207599 2.1689504 1.43134334 1.9131691
100506127 1.76749544 1.18322683 2.32160765 2.7059248 1.13470054 2.1477474
100506142 -1.17995959 1.34038858 0.97125040 0.5412801 0.25487818 2.6839992
100506144 0.86727858 0.57219069 1.44367385 -1.1799596 0.76084465 1.6328996
100506161 -0.25762257 -0.05278768 0.77175310 -1.1799596 1.29063290 -1.1799596
100506211 1.58953463 3.44566317 3.91902771 4.0586415 1.88731940 -1.1799596
100506235 0.70191972 1.48209914 0.97125040 2.1689504 2.23326438 -1.1799596
100506258 0.04825833 1.83899643 1.30271726 1.8003561 1.67727128 2.3494648
100506282 2.06861117 2.43485187 3.00670016 2.1689504 2.44727185 3.7804496
100506286 -0.25762257 1.48209914 -1.17995959 1.3040218 0.95984886 1.2847265
100506302 1.58953463 -0.50898272 1.30271726 2.1689504 1.67727128 2.1477474
100506321 0.30049458 1.34038858 1.30271726 1.6531038 1.29063290 2.3494648
100506325 0.70191972 0.29328288 0.77175310 2.4622776 0.76084465 1.6328996
100506343 0.04825833 1.00682747 0.97125040 -1.1799596 -0.08526516 0.8248578
100506365 4.92927335 6.09026120 6.02811618 5.5776302 5.95056574 5.4917328
100506368 0.30049458 1.00682747 0.97125040 0.1600124 -0.08526516 0.8248578
100506380 2.47966549 3.60907998 3.79293290 3.2060948 4.52340498 3.2856004
100506392 3.57280513 3.30013904 2.86347314 3.5767909 3.95222045 3.1836995
100506394 1.49158217 2.28817553 2.64728432 2.5481473 2.23326438 2.3494648
100506411 1.49158217 1.48209914 0.97125040 0.8425603 -1.17995959 1.2847265
100506433 1.76749544 3.04997591 2.81238661 2.3709717 2.84963983 3.3807762
100506462 -0.25762257 2.20883760 1.44367385 1.3040218 0.52992955 1.2847265
100506469 3.96834566 4.26744930 4.68711395 4.8152994 5.22044794 5.4484468
100506495 0.70191972 2.03573600 1.79896886 0.1600124 0.95984886 0.1458237
100506504 2.91708569 1.18322683 1.44367385 0.8425603 1.88731940 1.9131691
100506540 0.30049458 1.48209914 1.14648250 1.3040218 0.76084465 -1.1799596
100506581 0.04825833 0.29328288 0.97125040 0.5412801 1.78611469 -1.1799596
100506606 -0.25762257 0.57219069 1.79896886 0.1600124 1.13470054 1.2847265
100506658 1.84886810 0.57219069 1.68997827 0.5412801 2.69071495 2.5264069
100506668 2.37367046 2.63020737 2.75942445 2.6291919 3.20370133 3.3807762
100506686 1.01561832 1.48209914 0.77175310 1.4890954 2.63359608 2.3494648
100506691 0.70191972 0.57219069 -0.07741301 -0.3596932 1.29063290 1.2847265
100506696 1.49158217 2.12488144 2.86347314 2.5481473 2.69071495 2.5264069
100506697 1.68125730 0.80581528 0.26417786 0.1600124 0.95984886 1.6328996
100506710 6.03635134 6.94576805 6.76229567 6.5709481 7.32272735 7.0600584
100506713 -0.25762257 0.29328288 -1.17995959 0.1600124 -0.53118197 0.1458237
100506725 2.37367046 3.93908894 3.25646954 3.5353384 3.45517064 3.0740503
100506731 0.70191972 0.57219069 1.90030080 0.5412801 2.07063644 2.3494648
100506757 -0.25762257 -1.17995959 -1.17995959 -1.1799596 1.13470054 -1.1799596
100506779 0.70191972 0.29328288 -0.52582932 0.1600124 -1.17995959 1.6328996
100506804 0.51512424 -1.17995959 1.14648250 1.9339610 0.52992955 -1.1799596
100506826 1.38649160 -0.05278768 1.44367385 -0.3596932 0.52992955 1.2847265
100506844 2.37367046 2.50295226 3.33096089 1.8003561 3.31687918 3.0740503
100506866 4.89136391 6.13922822 6.40523660 7.8386158 6.36009546 8.2273299
100506881 0.30049458 1.00682747 1.14648250 -1.1799596 -0.08526516 0.1458237
100506885 0.04825833 0.80581528 -0.07741301 0.1600124 -1.17995959 0.1458237
100506911 1.01561832 0.29328288 -0.07741301 1.3040218 0.52992955 0.8248578
100506922 1.76749544 1.34038858 0.77175310 -0.3596932 0.52992955 0.8248578
100506930 3.73141759 4.10165125 3.56500950 3.4926595 4.24697944 4.3961807
100506994 1.27314021 1.34038858 0.26417786 -0.3596932 1.29063290 -1.1799596
100507003 1.27314021 1.94071728 1.14648250 1.3040218 1.43134334 3.2856004
100507032 1.68125730 0.29328288 0.54017346 0.1600124 1.98188763 -1.1799596
100507034 3.73141759 2.95592154 2.70444369 2.2734943 2.51209076 2.5264069
100507050 -1.17995959 -1.17995959 0.77175310 1.6531038 -1.17995959 -1.1799596
100507053 2.31760197 0.57219069 1.44367385 0.1600124 1.13470054 1.6328996
100507057 0.70191972 -1.17995959 0.54017346 0.8425603 1.88731940 1.2847265
100507062 1.01561832 0.29328288 1.79896886 1.3040218 -0.08526516 1.2847265
100507071 0.30049458 1.00682747 0.54017346 0.8425603 0.52992955 0.1458237
100507156 2.87885034 2.90649031 3.25646954 3.8377403 2.51209076 3.4700599
100507171 3.19118255 2.50295226 2.91281237 2.9775777 3.66924514 3.5541387
100507173 -0.25762257 0.57219069 -0.07741301 1.3040218 0.95984886 -1.1799596
100507178 0.04825833 0.57219069 1.14648250 1.0916633 1.13470054 0.8248578
100507244 0.86727858 0.29328288 0.54017346 1.0916633 0.52992955 1.2847265
100507246 2.25926603 3.13827203 2.58776654 3.0381889 3.85562015 2.6839992
100507250 0.70191972 -0.50898272 -0.07741301 0.5412801 -0.08526516 0.1458237
100507254 3.15963607 1.00682747 -0.52582932 0.1600124 0.52992955 0.8248578
100507266 -0.25762257 0.57219069 0.77175310 2.2734943 1.55954121 2.1477474
100507290 4.81241903 4.32501986 4.53785466 5.1533949 4.47544982 4.8263599
100507291 0.70191972 2.56798246 1.57207599 0.8425603 2.23326438 2.9553769
100507303 2.99064438 2.36337694 2.39289038 2.4622776 2.79858564 2.8260596
100507308 0.04825833 -1.17995959 0.54017346 0.1600124 -1.17995959 1.2847265
100507316 1.27314021 1.18322683 1.57207599 2.2734943 2.44727185 3.2856004
100507331 1.76749544 2.43485187 1.99498009 1.9339610 2.37940313 2.9553769
100507347 0.86727858 -0.05278768 1.57207599 1.3040218 1.13470054 1.9131691
100507373 0.86727858 1.72955575 2.24661898 2.7787818 2.37940313 0.8248578
100507392 1.49158217 -1.17995959 -0.07741301 -0.3596932 -0.08526516 -1.1799596
100507398 1.15011763 -0.05278768 1.79896886 2.0562349 2.07063644 1.6328996
100507401 -0.25762257 0.29328288 2.08382672 1.0916633 -1.17995959 1.2847265
100507420 1.38649160 -1.17995959 0.54017346 -1.1799596 -0.08526516 -1.1799596
100507433 1.01561832 1.94071728 1.79896886 2.1689504 1.29063290 2.1477474
100507436 -1.17995959 -1.17995959 -0.52582932 -1.1799596 -0.08526516 0.8248578
100507437 1.92589510 2.20883760 2.24661898 2.0562349 2.15424073 1.6328996
100507459 1.58953463 1.00682747 2.32160765 3.1522686 3.08088317 2.6839992
100507463 -0.25762257 1.48209914 1.14648250 0.8425603 0.25487818 1.6328996
100507487 1.15011763 0.29328288 1.57207599 0.8425603 0.52992955 3.0740503
100507495 1.58953463 1.48209914 1.57207599 2.7787818 2.51209076 3.3807762
100507516 1.27314021 0.80581528 0.54017346 0.8425603 -0.08526516 0.8248578
100507551 0.30049458 1.34038858 2.08382672 1.0916633 1.67727128 2.3494648
100507557 0.70191972 0.57219069 0.54017346 1.3040218 1.43134334 0.8248578
100507564 0.30049458 0.29328288 -1.17995959 0.1600124 0.52992955 -1.1799596
100507567 -0.64630514 1.48209914 1.30271726 2.1689504 2.23326438 0.8248578
100507588 1.01561832 -1.17995959 0.54017346 0.1600124 1.29063290 1.2847265
100507599 0.30049458 1.61112654 0.97125040 2.3709717 1.98188763 -1.1799596
100507602 1.68125730 2.68985907 2.81238661 3.3080731 3.38768129 2.5264069
100508120 2.47966549 2.63020737 2.08382672 2.8481357 2.69071495 2.3494648
10051 7.08285182 6.90229969 7.26326794 6.2051595 6.24563066 5.8320347
10052 1.01561832 1.72955575 1.68997827 0.5412801 1.67727128 1.9131691
100526737 1.58953463 2.28817553 2.64728432 1.8003561 2.23326438 2.5264069
100526760 0.70191972 1.00682747 0.77175310 0.1600124 0.52992955 0.1458237
100526820 1.01561832 0.57219069 1.68997827 0.8425603 0.52992955 2.5264069
100526835 2.75766021 4.26744930 4.18309540 4.3250566 3.38768129 4.2525758
100527978 1.76749544 1.48209914 2.16751780 1.3040218 0.76084465 -1.1799596
100529145 1.58953463 -0.05278768 0.77175310 1.4890954 1.43134334 1.2847265
100529215 0.51512424 0.29328288 -0.07741301 -0.3596932 0.76084465 0.1458237
100532746 3.87430635 3.72767058 3.79293290 4.2755647 4.26589756 4.3020495
100533106 0.04825833 1.18322683 0.54017346 0.5412801 0.25487818 1.2847265
100533182 1.01561832 1.34038858 1.90030080 0.5412801 2.15424073 1.9131691
100533619 0.04825833 1.00682747 0.54017346 -1.1799596 1.29063290 -1.1799596
100533629 0.30049458 1.61112654 1.30271726 0.5412801 0.52992955 1.6328996
100533695 1.01561832 -0.50898272 0.54017346 0.8425603 0.76084465 0.8248578
100533970 1.68125730 0.57219069 0.54017346 0.5412801 1.55954121 0.1458237
100534593 -0.25762257 1.72955575 1.14648250 1.9339610 0.95984886 2.5264069
10054 6.30499521 6.09026120 6.01687769 5.6762767 6.11086974 5.3577722
10056 5.72764392 5.76235596 5.81107165 5.3455160 5.78993671 5.0743032
10057 7.21724930 7.75003213 7.87279397 8.1202368 7.56919399 8.1982270
10058 4.44472246 4.32501986 4.74274648 5.6079388 6.07377512 5.7630456
10059 7.30997149 7.56330219 7.50564967 7.3517448 6.81660975 6.7393227
1006 5.45623156 6.14988770 6.38789334 5.9131629 5.92103289 6.5059088
10060 4.24877214 4.74621109 4.86059027 5.8553833 4.30300545 5.0455425
100616256 1.15011763 0.80581528 1.14648250 0.5412801 -0.53118197 -1.1799596
10062 2.06861117 1.61112654 2.24661898 2.0562349 2.23326438 2.5264069
10063 3.42142512 4.56692847 4.38889414 4.4640942 3.64054016 3.0740503
100652739 0.30049458 -1.17995959 -0.07741301 0.1600124 0.76084465 0.8248578
100652758 -0.64630514 -0.50898272 0.26417786 1.0916633 1.55954121 -1.1799596
100652846 1.58953463 2.74714195 1.79896886 2.7059248 1.43134334 1.9131691
10066 6.11247072 5.69116367 5.66753289 5.5362022 6.14192324 5.9138757
10067 6.46195185 6.60590413 6.72479822 6.3615797 6.96868948 6.6077906
10068 3.22205396 3.00371506 2.91281237 3.5767909 3.03750501 3.8486307
10069 4.24877214 3.81062480 3.36681217 2.5481473 3.64054016 2.1477474
10072 5.41005803 4.30608379 4.55349494 4.8152994 3.69739010 3.3807762
10073 4.03939883 3.69892425 3.33096089 3.2579849 4.24697944 3.7804496
10075 8.80637587 8.59124939 8.64288656 9.3599915 8.99636398 9.7125342
10076 5.31302620 5.03778846 5.22527343 5.4607110 5.36782631 5.4484468
10077 -0.25762257 2.90649031 3.09484946 4.2501671 1.98188763 1.6328996
100775107 0.86727858 1.34038858 1.79896886 0.8425603 1.55954121 2.3494648
10078 4.90093507 4.56692847 4.65847196 3.8714449 4.58496204 3.6335861
10079 5.97876596 4.53475600 4.79631315 5.0687600 5.36782631 6.0504188
1008 5.16994441 3.69892425 3.86990423 3.3080731 3.80478092 3.4700599
10081 5.03736788 5.00293590 5.05991016 4.3250566 4.94330401 4.7570923
10082 6.64680280 7.42094399 7.68320532 7.1536764 7.29306287 7.6289620
100820829 3.52408893 6.11767002 5.82402563 5.2590316 4.58496204 4.7570923
10084 5.23192732 4.88027644 4.93412357 4.2243145 4.82071995 4.1482279
100847074 1.76749544 1.34038858 1.90030080 0.5412801 1.98188763 0.1458237
10085 10.24413763 9.13600067 9.53242001 9.2360992 9.36978643 9.1657483
100852407 0.30049458 -0.05278768 -0.52582932 -0.3596932 2.30818336 1.2847265
100861412 1.15011763 1.48209914 1.14648250 0.5412801 2.07063644 1.6328996
100861548 3.98643970 3.26134285 3.62545400 4.0876088 4.50759638 5.2858188
100862671 1.01561832 1.34038858 -0.07741301 0.5412801 -1.17995959 0.8248578
10087 5.96514414 6.25236262 5.95345058 6.3376643 5.77680695 6.1071896
100873257 -0.25762257 -0.50898272 -1.17995959 1.4890954 -0.53118197 0.8248578
100873333 3.61992990 2.95592154 2.39289038 2.9143080 2.23326438 3.7088859
100873790 4.03939883 4.22775166 4.56896748 4.4418320 3.77867331 3.2856004
100873949 0.70191972 1.18322683 0.54017346 1.6531038 1.29063290 -1.1799596
100873952 -0.25762257 -0.50898272 -0.07741301 -0.3596932 -0.08526516 -1.1799596
100873965 1.92589510 2.03573600 1.57207599 1.3040218 1.55954121 0.1458237
100874006 1.01561832 0.29328288 0.26417786 0.5412801 0.25487818 1.2847265
100874008 1.68125730 1.48209914 2.39289038 1.4890954 1.13470054 2.1477474
100874014 2.06861117 3.18047298 2.96051989 2.4622776 3.20370133 2.3494648
100874058 1.15011763 1.34038858 0.54017346 0.5412801 2.23326438 1.2847265
100874080 0.51512424 0.80581528 1.44367385 0.8425603 0.95984886 0.8248578
100874097 2.57840321 1.18322683 1.44367385 1.9339610 1.67727128 2.1477474
100874201 -0.25762257 -0.50898272 0.54017346 0.1600124 -0.53118197 -1.1799596
100874212 1.01561832 1.48209914 0.54017346 1.9339610 0.95984886 1.6328996
100874217 0.04825833 1.61112654 0.54017346 0.8425603 0.52992955 0.1458237
100874235 0.30049458 1.34038858 0.26417786 0.8425603 0.76084465 0.1458237
100874261 0.51512424 0.57219069 1.57207599 1.6531038 2.07063644 2.1477474
100874291 0.30049458 -1.17995959 -0.07741301 0.8425603 -1.17995959 0.1458237
100874362 1.58953463 2.36337694 1.79896886 2.1689504 3.20370133 3.4700599
100874523 1.76749544 1.00682747 1.44367385 0.5412801 1.88731940 -1.1799596
100885775 3.95002179 5.11597898 4.94602283 4.3491801 4.04275648 3.3807762
100885776 -0.25762257 1.18322683 1.14648250 1.6531038 2.69071495 1.6328996
100885848 4.30752539 5.51271960 5.36477898 5.2071799 3.20370133 4.3961807
1009 10.62214839 9.50893042 9.90773208 9.4088688 8.62908545 9.3238084
10090 3.85473989 3.98743406 3.96653347 3.5767909 4.16872413 4.0930801
10092 8.20064956 7.70917438 7.76608772 7.1399136 7.66494726 7.1302205
10093 7.60608108 6.66283173 6.60607769 6.1095393 6.23606878 5.8978747
10094 6.07913468 5.37413277 5.28270431 4.4418320 5.12005377 4.6465256
10095 6.25735713 4.71783546 4.86059027 3.9680773 5.57163497 5.1301596
10097 9.01577468 8.29971845 8.39417234 7.7598209 8.01168870 7.5076828
10098 7.01616145 6.45075292 6.60982259 6.0665360 6.31084599 6.2273015
10099 7.88095613 7.95842266 8.35342932 7.5778400 7.98624770 7.7586616
100996246 1.15011763 1.61112654 -0.07741301 0.8425603 -0.08526516 -1.1799596
100996251 -1.17995959 -1.17995959 0.77175310 2.1689504 0.25487818 0.8248578
100996307 -0.25762257 -0.05278768 0.54017346 0.8425603 -0.53118197 -1.1799596
100996384 0.86727858 0.80581528 0.97125040 1.4890954 -0.53118197 1.2847265
100996419 0.86727858 1.18322683 2.24661898 2.7787818 1.98188763 -1.1799596
100996485 1.68125730 1.00682747 1.90030080 2.2734943 1.29063290 0.1458237
100996539 0.04825833 -1.17995959 -1.17995959 0.1600124 -0.08526516 0.1458237
100996579 -0.25762257 -1.17995959 -1.17995959 0.1600124 0.25487818 -1.1799596
100996696 1.92589510 3.00371506 2.91281237 2.7787818 2.51209076 0.8248578
100996842 0.30049458 1.00682747 0.26417786 -0.3596932 -0.08526516 0.1458237
100996851 1.15011763 -0.50898272 1.14648250 -1.1799596 -1.17995959 2.6839992
100996939 1.49158217 0.57219069 0.97125040 0.1600124 0.76084465 0.8248578
101 0.51512424 1.34038858 1.44367385 1.4890954 2.37940313 2.5264069
1010 -0.25762257 0.57219069 -1.17995959 0.1600124 -0.53118197 -1.1799596
10100 4.78166425 5.64669857 5.50007010 5.5043312 3.55083058 2.9553769
10101 5.09687444 5.02626424 4.94602283 5.1670303 5.62389573 5.3102042
10102 4.68525897 4.39837244 4.44027566 3.8377403 5.04537507 4.3020495
10103 -1.17995959 -0.05278768 -0.07741301 0.1600124 0.52992955 0.8248578
10105 5.75428880 7.01153462 7.04552179 7.0173045 6.04668258 5.6718943
10106 6.91823442 7.36027879 7.15977689 7.4856330 7.62886722 7.8065869
101060200 2.75766021 2.95592154 2.86347314 4.2501671 3.20370133 3.8486307
101060691 2.62534841 3.18047298 3.50192140 3.0381889 3.12299504 3.2856004
10109 8.98741732 8.07626643 8.18918119 7.7047938 7.85497072 7.3636611
10112 5.74368983 4.91818152 5.81107165 4.7260018 3.88038336 3.6335861
10113 6.11247072 6.11222975 5.68893368 5.8039467 7.17292121 6.0358701
10114 7.23816561 8.62792951 8.38546002 8.5399515 7.97191752 8.2652426
101154753 0.04825833 -0.05278768 1.14648250 0.1600124 0.25487818 0.1458237
10116 7.46963541 8.56261549 8.16647587 8.3272002 8.08009118 8.0026221
10117 2.75766021 -1.17995959 1.30271726 0.1600124 1.55954121 1.6328996
1012 8.27245744 7.14539698 7.20256434 7.0173045 8.12999090 7.9099275
10121 6.47802718 6.27688309 6.38789334 6.2313546 5.84758531 5.8816943
10123 7.59137809 7.55730917 6.98047906 7.1364523 6.88550733 7.2230457
101241892 3.68785082 5.30904701 5.67470182 5.3574583 4.22780995 5.1839339
10125 1.38649160 1.83899643 2.52568734 2.5481473 1.67727128 3.0740503
10126 3.22205396 3.26134285 3.05144795 3.4033164 3.97539265 3.7804496
DOX_24_H5 NUTL_24_H5 DMSO_24_H5 LPS_24_H5 TNFa_24_H5 H2O_24_H5
100 6.0754494 3.72579487 3.32522651 2.8267717 2.7689646 2.70360322
1000 10.0318347 11.04885381 11.33082336 11.3439795 11.2991579 11.32544243
10000 6.9618065 6.89249827 6.84819481 6.9660395 6.8389497 6.75667919
10001 4.8840142 4.65554039 4.30803145 4.3667590 4.7487332 4.20614683
10003 3.2838577 3.60194084 3.95672295 3.9405751 3.6143080 4.29808853
100037417 2.9248273 2.91000365 3.06901316 2.3305508 3.1980588 3.28586842
100049716 3.0546878 1.78012705 1.31033212 1.9571052 1.9056693 2.23032514
10005 4.1381000 4.18018421 3.99411751 3.5177830 4.0021859 4.51797555
10006 6.3360580 6.37313360 6.39274470 6.4033078 6.4088269 6.44764370
10007 6.2662755 5.65068797 5.02004588 4.9196893 5.3840378 4.70873872
10009 5.1395523 4.96299752 5.32892621 5.1792132 5.1354005 5.01001439
100093630 4.0369605 4.02003035 3.41067701 3.2309949 3.1980588 3.76546306
1001 6.4466631 5.03660660 4.89712066 4.3827140 4.4546282 4.20614683
10010 5.2700743 5.51132502 5.19081158 5.2152996 5.3840378 5.36211306
100101267 2.9694256 1.38859560 2.10927576 1.5680803 2.1554709 2.03037377
100101467 4.6977638 5.39485912 5.27677448 4.7700218 5.0557115 5.54211688
10011 5.8614072 6.16458424 5.71221703 5.6103219 5.7558779 5.82570800
100113386 2.3811929 1.23028155 1.52992623 1.6756035 0.6976727 1.41581037
100113397 1.0774291 -0.02095203 0.07443772 1.0337769 0.8937434 0.89404163
100113407 4.2141978 4.06763107 4.67335398 4.3178072 4.0440854 4.02067254
100125288 3.7090020 1.38859560 1.52992623 1.1870124 0.2012290 1.30197707
100127983 1.7234928 1.89012497 2.30051418 2.6269357 0.8937434 1.87980237
100128006 1.2318548 2.48837031 2.88218913 2.5723307 1.8117679 2.61103267
100128016 1.7234928 0.61334338 1.72046900 1.1870124 0.4707002 -0.63532892
100128025 0.2099028 -0.02095203 0.07443772 0.4426365 0.6976727 -0.24088818
100128054 0.9044700 0.61334338 0.73512119 1.1870124 0.8937434 1.52131501
100128071 1.6153852 1.53124218 1.72046900 0.4426365 1.6033656 1.52131501
100128191 1.2318548 0.84952653 2.17587860 1.6756035 0.8937434 1.30197707
100128252 1.2318548 1.66104499 1.31033212 1.3255235 2.3683364 2.10014908
100128379 -0.5568616 -1.17995959 -0.63212330 -1.1799596 -1.1799596 -1.17995959
100128398 4.9633335 4.47314357 4.62649580 4.4448259 4.2727491 4.59249845
100128494 3.3860954 3.23587483 3.59233880 3.2658244 3.2704451 2.70360322
100128569 1.2318548 2.17728021 2.03944872 1.0337769 1.7113265 1.95705154
100128640 3.1351909 -0.48706929 1.52992623 0.8623099 0.6976727 0.72765460
100128682 2.0063325 1.78012705 2.17587860 1.1870124 2.7689646 2.34972124
100128731 7.1061041 6.68305627 6.28748849 6.5160981 6.5572699 6.62971873
100128766 0.2099028 -0.02095203 0.54663527 0.1758826 0.4707002 0.06853921
100128782 2.5075420 2.26156385 2.41523340 2.0399285 2.3008118 1.17838658
100128822 3.8105506 2.91000365 2.41523340 2.0399285 3.0821775 3.28586842
100128833 3.9506120 2.62191247 3.03353382 2.7793474 2.4328414 2.40590734
100128881 2.0895020 2.26156385 2.66752176 2.6795491 1.3596923 1.79818171
100128893 6.3445482 5.46763595 5.93046411 5.8813253 5.2109172 6.05823046
100129001 0.2099028 0.84952653 0.54663527 1.1870124 0.8937434 0.72765460
100129013 2.2427069 2.34119416 2.10927576 2.5155774 2.2299708 2.70360322
100129029 0.4802917 1.23028155 1.05120626 0.4426365 0.6976727 0.32317923
100129060 3.1351909 3.01085488 3.29558004 2.9171851 3.4051561 3.25560965
100129075 3.1738183 1.23028155 2.80011413 1.9571052 1.9938306 2.51211258
100129195 2.3811929 2.08776546 2.71308672 2.4564998 2.6106698 2.45998704
100129203 2.6784665 -1.17995959 -0.23601344 -1.1799596 -1.1799596 1.17838658
100129250 1.0774291 2.41665819 1.52992623 1.7756659 1.7113265 1.87980237
100129259 0.9044700 0.61334338 0.73512119 -0.1516428 -1.1799596 0.53954562
100129361 5.9307112 6.13695848 5.84093973 5.5480149 5.8709336 5.90094891
100129398 0.2099028 0.61334338 0.07443772 0.4426365 -1.1799596 1.17838658
100129434 3.3187482 0.84952653 1.52992623 1.4518935 1.9938306 0.72765460
100129461 -0.1231278 -0.48706929 -0.23601344 0.8623099 0.4707002 0.72765460
100129484 3.3187482 2.48837031 1.52992623 2.1182541 1.7113265 0.72765460
100129550 4.8245629 4.45535908 4.04845249 4.0038393 3.5862224 4.25284997
100129583 2.1681371 1.38859560 1.42430323 0.6676798 0.8937434 1.04320809
100129662 3.2481024 1.38859560 0.90180299 1.4518935 0.8937434 0.32317923
100129707 0.9044700 0.61334338 0.32976980 -0.1516428 0.2012290 0.53954562
100129716 3.4186257 0.61334338 2.03944872 1.4518935 -1.1799596 1.52131501
100129726 1.8240611 -1.17995959 0.54663527 0.8623099 -0.5617745 -0.63532892
100129774 3.9281924 3.46644697 3.61651928 3.6554868 3.6954262 3.34454611
100129781 0.4802917 -0.02095203 -1.17995959 -0.1516428 -0.5617745 0.32317923
100129792 -0.1231278 -0.48706929 0.54663527 0.1758826 -0.1304083 0.32317923
100129794 0.4802917 3.10511442 2.23954190 2.7793474 1.8117679 1.30197707
100129842 0.4802917 -0.02095203 0.90180299 0.1758826 0.8937434 0.53954562
100129917 3.0126865 2.68431708 1.31033212 1.3255235 1.9056693 1.04320809
100129924 1.0774291 -0.02095203 1.31033212 -0.1516428 0.4707002 0.72765460
100129940 2.5667956 0.61334338 1.05120626 0.8623099 1.0663271 0.53954562
100129995 1.6153852 -0.02095203 0.32976980 -0.1516428 1.2204537 1.30197707
10013 5.7761064 5.61107756 5.97322573 6.0305610 5.9111116 6.14745038
100130111 1.4985157 1.78012705 0.73512119 0.4426365 1.9056693 -0.63532892
100130197 -0.1231278 -0.02095203 -1.17995959 -0.1516428 -0.1304083 -0.63532892
100130335 4.4991445 3.81217165 3.83834634 3.3655350 4.4072548 3.69955538
100130348 3.0126865 3.15003102 2.52149857 2.7793474 2.1554709 2.34972124
100130357 2.0895020 1.66104499 1.62834105 2.3305508 1.6033656 1.87980237
100130466 4.2326113 4.02003035 3.93765580 3.7070874 4.2727491 4.09090736
100130476 1.7234928 1.38859560 0.32976980 0.1758826 0.8937434 1.71166498
100130522 2.1681371 1.38859560 0.73512119 1.3255235 -0.1304083 0.32317923
100130550 -1.1799596 0.33077777 0.07443772 0.8623099 0.2012290 0.53954562
100130564 2.6784665 3.43048741 3.03353382 3.0022650 3.4051561 2.51211258
100130581 -1.1799596 -1.17995959 0.07443772 -0.1516428 0.4707002 -0.63532892
100130691 -1.1799596 0.84952653 1.42430323 1.3255235 1.2204537 1.61962708
100130705 1.9180734 1.66104499 1.18657916 1.5680803 0.8937434 1.79818171
100130748 3.0126865 2.62191247 0.73512119 1.0337769 1.9056693 1.30197707
100130750 2.0895020 2.62191247 1.42430323 1.8692360 1.9056693 0.72765460
100130855 1.4985157 1.23028155 2.10927576 2.1182541 1.7113265 1.87980237
100130958 2.9694256 -0.48706929 0.32976980 1.0337769 0.2012290 0.72765460
100131017 3.2114384 2.85680485 2.41523340 1.8692360 2.6106698 1.87980237
100131031 1.0774291 -1.17995959 0.32976980 0.8623099 1.4866674 0.72765460
100131033 1.9180734 1.89012497 1.80706530 1.5680803 1.3596923 1.87980237
100131067 1.0774291 1.78012705 1.62834105 0.8623099 1.2204537 2.10014908
100131089 2.4457502 3.10511442 2.80011413 3.1953038 2.7689646 3.22470263
100131094 0.2099028 0.33077777 0.07443772 0.6676798 0.6976727 1.30197707
100131138 0.7079145 1.99232702 2.52149857 3.0826056 2.3683364 2.10014908
100131187 -1.1799596 0.61334338 0.07443772 -0.1516428 0.6976727 1.52131501
100131193 2.8312686 1.78012705 2.92153958 2.2631976 2.5537948 2.95025369
100131211 4.1184313 2.08776546 3.03353382 3.3972971 2.9115955 2.95025369
100131213 1.2318548 2.34119416 0.73512119 1.9571052 1.2204537 2.03037377
100131471 1.3713375 1.99232702 2.30051418 2.5723307 0.8937434 1.71166498
100131656 3.4504385 2.08776546 3.46495576 2.7303110 2.9994062 2.98755367
100131685 1.0774291 0.84952653 0.90180299 2.2631976 0.6976727 1.61962708
100131691 3.8822803 2.34119416 2.17587860 2.6795491 2.2299708 1.87980237
100131740 0.2099028 0.84952653 1.05120626 0.8623099 0.6976727 0.06853921
100131801 2.5075420 2.34119416 2.99715991 2.5155774 3.0413853 3.45519334
100131827 -1.1799596 -1.17995959 -1.17995959 -0.1516428 -1.1799596 -1.17995959
100131828 1.0774291 1.05242883 0.32976980 0.8623099 0.6976727 0.72765460
100131940 0.9044700 1.78012705 1.42430323 1.5680803 1.9056693 1.41581037
100132074 2.5667956 1.89012497 1.31033212 1.5680803 1.0663271 1.79818171
100132086 -0.1231278 -0.02095203 0.54663527 0.1758826 -1.1799596 -1.17995959
100132116 4.8605269 6.01478189 7.10048285 6.9713248 6.4287336 7.42202143
100132126 -0.5568616 -0.48706929 1.05120626 0.1758826 0.8937434 -1.17995959
100132215 -0.5568616 1.05242883 0.54663527 0.8623099 0.4707002 1.17838658
100132537 0.9044700 1.23028155 1.52992623 0.6676798 -0.1304083 1.52131501
100132609 -0.1231278 0.61334338 1.31033212 0.4426365 0.4707002 0.89404163
100132659 0.9044700 0.61334338 0.73512119 -0.5760576 0.4707002 -0.24088818
100132891 1.0774291 2.55668600 2.30051418 2.7303110 2.5537948 2.29125798
100132972 1.4985157 0.61334338 1.05120626 -1.1799596 0.4707002 1.04320809
100133234 1.3713375 0.33077777 -0.63212330 0.1758826 -0.1304083 -1.17995959
100133286 -1.1799596 -0.48706929 -1.17995959 -1.1799596 -1.1799596 -0.24088818
100133315 1.2318548 -0.02095203 0.32976980 1.3255235 0.8937434 -0.24088818
100134934 1.9180734 0.84952653 1.62834105 1.1870124 1.9056693 2.23032514
10014 6.3571905 6.65216408 6.69765594 6.5088470 6.4483694 6.76475881
100144603 0.7079145 0.84952653 -0.23601344 -1.1799596 0.4707002 -0.63532892
100144748 5.9419449 4.11371128 2.46934417 1.8692360 2.4945853 1.95705154
10015 8.1922944 7.64703792 7.39070432 7.4093102 7.5115782 7.56150824
10016 5.7119336 5.02459629 5.21476854 5.0452897 5.1450591 5.49756220
100170229 -0.5568616 0.33077777 1.18657916 0.6676798 1.0663271 0.32317923
100170841 2.7312193 2.55668600 3.64030116 3.1953038 3.9145495 3.48157824
10018 5.4772961 4.02003035 3.46495576 3.7070874 3.4051561 3.45519334
100188847 1.7234928 1.23028155 1.80706530 0.8623099 1.7113265 1.17838658
10019 4.8245629 4.43735262 4.75186295 4.8976502 5.1736529 4.56808272
100190938 -1.1799596 1.05242883 2.10927576 2.6795491 2.4945853 2.61103267
1002 -0.5568616 0.33077777 1.52992623 1.3255235 1.4866674 0.32317923
10020 3.4186257 4.24372880 3.85876265 3.6554868 4.0848023 3.37301360
10021 7.8723790 8.00890188 8.05236304 8.1048560 7.4130914 7.80686703
10023 2.4457502 1.53124218 0.73512119 1.1870124 2.1554709 1.41581037
10024 1.0774291 -0.02095203 3.64030116 3.6815178 2.6653874 3.22470263
10026 4.9522657 5.92070965 6.19416947 6.1977132 5.8054452 6.08858764
100268168 0.2099028 0.33077777 1.18657916 -0.5760576 -1.1799596 0.32317923
100270804 2.2427069 1.66104499 1.88875676 1.1870124 1.7113265 1.95705154
100270827 0.9044700 0.84952653 -0.23601344 0.4426365 -0.1304083 -1.17995959
100270840 3.4504385 3.50153197 3.77530442 3.5744513 4.2727491 3.88888010
100270854 4.1184313 4.41911858 4.40839341 3.9405751 4.7862503 3.96565740
100270865 4.7498282 5.74885705 5.23833417 4.8525354 5.6848169 5.40409952
100271271 2.6784665 2.91000365 2.62047065 2.5155774 3.3393723 3.12779840
100271332 -1.1799596 -0.02095203 -1.17995959 -1.1799596 -1.1799596 -0.24088818
100271415 2.0063325 2.26156385 1.80706530 1.7756659 2.7689646 1.61962708
100271479 1.0774291 1.38859560 -0.63212330 1.3255235 0.4707002 1.17838658
100271884 0.2099028 -1.17995959 -0.23601344 -1.1799596 -0.1304083 0.89404163
100272147 2.8788062 1.99232702 2.35901376 2.9171851 3.2704451 2.65806029
100286844 2.3811929 1.23028155 1.96606935 0.4426365 0.6976727 1.71166498
100287015 1.7234928 0.33077777 1.80706530 1.0337769 1.0663271 1.79818171
100287049 1.6153852 1.78012705 1.62834105 1.4518935 1.0663271 1.41581037
100287074 1.2318548 0.84952653 1.05120626 -0.1516428 0.4707002 0.32317923
100287616 2.6237112 2.55668600 2.84173521 2.2631976 2.7689646 3.34454611
100287722 1.3713375 0.61334338 1.31033212 1.1870124 1.0663271 1.52131501
100287808 0.4802917 0.61334338 0.90180299 -0.1516428 0.2012290 1.04320809
100287837 0.2099028 1.66104499 1.05120626 -0.5760576 -0.5617745 1.30197707
100287896 1.4985157 2.34119416 2.71308672 2.6269357 1.9938306 2.79059043
100287902 1.8240611 -0.48706929 1.05120626 1.3255235 1.0663271 -0.24088818
100287928 2.4457502 2.74413389 2.41523340 2.9603521 2.6653874 2.16670486
100287932 5.1297614 5.06033138 4.85708909 5.0251010 5.3257793 5.01904931
100288001 2.3136109 2.62191247 3.23439438 2.0399285 2.8180918 3.31550556
100288073 2.6784665 4.18018421 2.92153958 2.7793474 2.9994062 2.29125798
100288123 1.9180734 -0.02095203 0.73512119 0.8623099 1.3596923 1.79818171
100288198 4.1955464 2.41665819 2.03944872 2.4564998 2.5537948 1.95705154
100288241 -1.1799596 -1.17995959 -1.17995959 -1.1799596 -1.1799596 -1.17995959
100288413 5.8554788 2.55668600 2.52149857 3.1587073 3.1218478 2.91196369
100288513 0.4802917 -0.02095203 0.07443772 -0.5760576 1.0663271 -0.24088818
100288842 0.9044700 2.26156385 1.62834105 1.4518935 1.2204537 1.52131501
100289061 1.4985157 1.23028155 0.73512119 1.1870124 1.3596923 1.52131501
100289095 -1.1799596 -1.17995959 0.73512119 0.1758826 -0.1304083 -1.17995959
100289133 3.2838577 1.05242883 2.10927576 2.7303110 2.4328414 1.79818171
100289178 1.9180734 2.08776546 2.52149857 2.6795491 2.4328414 2.51211258
100289211 0.9044700 -0.02095203 2.30051418 1.9571052 1.8117679 1.95705154
100289259 0.9044700 1.99232702 2.03944872 0.6676798 0.8937434 1.04320809
100289274 3.0955008 2.80156901 2.57183315 3.0022650 1.6033656 2.56242028
100289341 3.1738183 1.38859560 0.32976980 0.4426365 0.8937434 1.30197707
100289373 2.7312193 1.66104499 0.90180299 1.3255235 1.6033656 2.03037377
100289388 1.2318548 0.61334338 0.73512119 0.8623099 0.8937434 1.17838658
100289414 -1.1799596 -0.02095203 -0.23601344 -1.1799596 0.2012290 -0.24088818
100289635 5.1297614 5.16251418 4.97399803 5.0750526 5.0557115 5.16457077
100289640 0.7079145 0.84952653 1.31033212 1.5680803 1.6033656 1.04320809
100289678 3.2114384 3.39360859 3.13745690 3.5463953 2.2299708 3.60671619
100293516 3.8822803 3.39360859 3.61651928 3.8516614 3.5862224 3.16082833
100294362 1.2318548 0.61334338 1.05120626 0.4426365 1.2204537 1.17838658
1003 -0.1231278 1.38859560 0.73512119 1.1870124 1.7113265 1.79818171
100302692 2.7312193 2.48837031 2.62047065 2.3948993 3.4680706 2.95025369
100302736 -0.1231278 0.84952653 1.18657916 1.1870124 1.2204537 0.32317923
100303728 3.5997608 3.19359132 3.26531155 3.0022650 3.6418573 2.95025369
100303755 1.0774291 1.38859560 1.72046900 1.1870124 1.3596923 1.95705154
100312828 0.4802917 1.05242883 0.54663527 0.1758826 0.4707002 0.89404163
100312850 0.4802917 -0.02095203 -0.23601344 0.4426365 0.6976727 1.17838658
10036 3.3528147 2.96131034 4.40839341 4.6299973 4.1438009 4.29808853
100379345 0.9044700 -0.48706929 0.32976980 0.8623099 0.6976727 -0.24088818
10038 3.3860954 5.51990628 5.44824546 5.7274016 5.2472432 5.51682579
100381270 0.2099028 1.23028155 1.62834105 1.5680803 1.0663271 1.41581037
10039 3.5418730 2.91000365 4.06611873 3.8516614 3.9590330 3.48157824
1004 5.0592990 5.06033138 5.11645708 5.7765353 5.6580834 4.90670626
10040 3.0126865 4.18018421 4.08357124 3.8744088 3.9145495 3.90846087
100418710 2.1681371 1.23028155 0.73512119 2.1925453 0.6976727 1.71166498
100418735 1.3713375 1.05242883 2.17587860 1.5680803 1.7113265 1.17838658
100418744 2.0063325 1.23028155 1.52992623 1.0337769 0.8937434 1.61962708
100418770 -1.1799596 -0.48706929 -1.17995959 -1.1799596 -1.1799596 -1.17995959
100418781 2.3136109 1.78012705 1.05120626 1.5680803 1.7113265 0.89404163
100418819 2.3136109 2.17728021 1.96606935 2.4564998 1.2204537 2.03037377
100418829 -0.1231278 0.84952653 0.73512119 0.1758826 0.6976727 1.61962708
100418888 1.8240611 1.38859560 0.90180299 1.3255235 1.2204537 0.32317923
100418889 2.8312686 2.80156901 2.30051418 2.6795491 3.1980588 2.61103267
100418910 0.2099028 0.61334338 0.90180299 -0.5760576 0.2012290 -0.63532892
100418919 2.7821111 2.55668600 2.46934417 2.4564998 2.5537948 2.10014908
100419028 2.0895020 1.23028155 0.90180299 1.4518935 1.9938306 2.23032514
100419185 0.4802917 -1.17995959 -0.23601344 -0.1516428 -1.1799596 -1.17995959
100419416 1.2318548 1.23028155 0.73512119 1.3255235 1.6033656 1.04320809
100419515 0.9044700 -1.17995959 0.73512119 0.6676798 0.4707002 0.32317923
100419645 0.2099028 -0.02095203 -1.17995959 -1.1799596 0.2012290 -1.17995959
100419758 1.4985157 1.38859560 1.80706530 1.6756035 1.2204537 1.95705154
100419928 2.7312193 1.78012705 2.10927576 1.0337769 1.4866674 0.89404163
10042 4.4991445 5.06033138 5.18273670 5.2152996 5.5747756 5.51043313
100420028 -0.1231278 1.66104499 0.90180299 0.4426365 0.6976727 1.87980237
100420050 0.4802917 -0.48706929 0.90180299 0.1758826 -0.5617745 0.06853921
100420110 2.7821111 3.01085488 2.92153958 3.2309949 3.3053203 3.16082833
100420187 -0.5568616 0.84952653 -1.17995959 -0.1516428 -0.5617745 0.32317923
100420259 3.9506120 4.11371128 3.95672295 3.7070874 3.7722252 3.88888010
100420307 1.7234928 1.23028155 1.18657916 -0.5760576 1.2204537 1.04320809
100420341 5.3225891 5.49400783 5.71781614 5.1138049 5.4633836 5.45158758
100420423 -0.5568616 1.38859560 0.73512119 0.8623099 0.4707002 0.89404163
100420591 1.3713375 0.61334338 1.05120626 1.3255235 0.8937434 0.32317923
100420707 2.9248273 2.80156901 2.95984515 3.4885916 2.9115955 3.19311895
100420752 1.0774291 1.53124218 1.31033212 1.1870124 1.9056693 0.89404163
100420869 3.9726884 4.02003035 3.97554139 4.2498422 3.9590330 3.98422986
100420981 6.3360580 5.86117372 5.81505321 5.8414731 6.2612133 5.63319556
100421093 4.5292483 3.69581385 4.04845249 4.0644455 3.9145495 3.82849091
100421109 -0.1231278 0.84952653 1.62834105 0.4426365 1.3596923 0.32317923
100421160 -0.1231278 1.05242883 0.73512119 0.4426365 0.8937434 -0.24088818
100421175 -0.5568616 0.84952653 -0.23601344 0.6676798 0.2012290 0.06853921
100421246 0.4802917 0.61334338 1.05120626 -0.1516428 0.8937434 0.53954562
100421311 1.8240611 1.66104499 1.62834105 1.7756659 1.6033656 1.41581037
100421372 2.3136109 2.17728021 2.35901376 1.1870124 1.4866674 1.30197707
100421400 0.9044700 2.08776546 2.03944872 1.7756659 1.3596923 2.03037377
100421415 0.4802917 0.61334338 -1.17995959 1.1870124 0.8937434 0.06853921
100421429 -0.1231278 -0.02095203 0.32976980 -0.5760576 0.8937434 0.06853921
100421465 2.0063325 1.23028155 1.62834105 1.3255235 1.2204537 0.53954562
100421468 2.7821111 2.62191247 1.62834105 2.5723307 3.0413853 3.02391354
100421506 0.7079145 0.84952653 1.72046900 1.0337769 1.2204537 0.53954562
100421569 0.4802917 -1.17995959 0.73512119 0.8623099 0.8937434 -0.24088818
100421595 -0.5568616 -1.17995959 -0.63212330 0.1758826 -1.1799596 -1.17995959
100421794 -0.5568616 -1.17995959 -1.17995959 -0.5760576 -1.1799596 -0.24088818
100422106 1.2318548 1.53124218 2.03944872 0.6676798 2.6106698 0.89404163
100422338 3.0126865 2.68431708 2.92153958 2.2631976 2.5537948 2.45998704
100422546 1.4985157 1.05242883 0.73512119 1.0337769 1.6033656 0.53954562
100422561 2.5667956 3.27695426 3.03353382 3.3972971 3.6418573 3.09399451
10043 5.5598220 5.43170639 5.47494240 5.1042140 5.6848169 5.59745107
10044 1.0774291 -0.02095203 1.18657916 1.3255235 1.4866674 1.71166498
10045 0.7079145 0.61334338 0.73512119 -1.1799596 -1.1799596 0.06853921
10046 2.3811929 0.33077777 1.42430323 1.1870124 1.9938306 1.30197707
10048 6.8228816 6.65216408 6.60098427 6.5124771 6.6786143 6.29235799
10049 4.8956161 6.42431123 5.95911222 6.2067041 6.0817475 5.90582816
100499177 1.9180734 3.31689632 2.99715991 3.3972971 3.7969424 3.42831689
100499483 1.7234928 3.10511442 3.66369735 2.9603521 2.6653874 2.95025369
1005 -0.1231278 -1.17995959 -0.23601344 0.8623099 -1.1799596 -1.17995959
100500719 0.4802917 -0.02095203 -0.23601344 0.4426365 -0.1304083 -1.17995959
100505385 3.2114384 2.68431708 2.35901376 2.9603521 2.7181053 2.95025369
100505501 1.2318548 1.23028155 0.32976980 1.6756035 1.3596923 1.52131501
100505538 1.4985157 1.66104499 1.05120626 0.4426365 0.4707002 1.30197707
100505549 1.2318548 1.53124218 1.72046900 0.4426365 -1.1799596 2.03037377
100505573 6.7156979 6.55530851 6.09008334 6.1378654 5.9989508 6.15156437
100505576 2.3811929 2.68431708 2.95984515 2.9603521 2.5537948 2.74775234
100505616 0.9044700 -0.02095203 0.54663527 1.0337769 -1.1799596 -0.24088818
100505624 1.7234928 1.23028155 0.07443772 1.5680803 1.2204537 1.61962708
100505635 -0.1231278 -0.02095203 0.32976980 0.1758826 -0.5617745 0.53954562
100505641 2.5075420 2.85680485 2.66752176 2.2631976 2.6106698 2.65806029
100505648 2.7821111 2.91000365 2.71308672 2.4564998 3.4369562 2.34972124
100505678 1.3713375 1.99232702 2.71308672 2.7303110 1.3596923 2.34972124
100505696 4.9743171 5.18427109 4.44935660 4.5755104 4.2727491 4.56808272
100505715 1.2318548 1.05242883 1.42430323 0.4426365 1.9056693 1.04320809
100505738 -1.1799596 -1.17995959 -1.17995959 -1.1799596 -1.1799596 -0.24088818
100505741 2.6237112 1.78012705 1.05120626 0.8623099 1.3596923 1.95705154
100505758 3.3187482 3.15003102 2.92153958 3.1587073 3.3393723 3.53294311
100505761 1.9180734 3.43048741 3.38275212 2.9603521 3.3053203 3.16082833
100505771 2.3136109 2.80156901 2.41523340 1.6756035 1.3596923 1.41581037
100505783 2.6784665 2.62191247 3.32522651 3.0429945 2.9115955 2.65806029
100505806 4.1766506 4.38194420 4.27802580 4.5332507 4.3911116 4.76352550
100505812 -0.1231278 0.61334338 1.62834105 0.8623099 1.3596923 1.61962708
100505832 3.0546878 1.89012497 3.03353382 1.5680803 2.6106698 2.34972124
100505854 4.4683990 3.99562777 3.56774612 3.4587975 4.0021859 3.50748926
100505876 6.6959279 6.31515170 5.37925830 5.5829616 5.6580834 5.50401202
100505894 3.3860954 4.15836512 3.93765580 3.9830580 3.6954262 4.05621731
100505933 0.2099028 -0.48706929 -0.63212330 0.6676798 -0.1304083 0.32317923
100505994 3.7606696 -1.17995959 0.32976980 0.6676798 -0.5617745 -0.63532892
100506020 1.3713375 1.66104499 0.73512119 1.1870124 0.4707002 0.72765460
100506033 3.6824574 4.49071149 4.57806446 4.6165673 4.0232878 4.54324666
100506054 2.1681371 2.26156385 2.62047065 2.3305508 2.3008118 2.23032514
100506068 2.5075420 1.38859560 0.54663527 1.3255235 -0.1304083 2.23032514
100506070 0.7079145 2.68431708 2.23954190 1.9571052 1.4866674 2.16670486
100506083 0.9044700 0.84952653 -0.23601344 -0.5760576 -0.1304083 0.53954562
100506100 -0.5568616 0.61334338 -0.63212330 -0.5760576 0.2012290 0.32317923
100506119 4.3720243 1.05242883 1.05120626 1.4518935 1.9056693 1.30197707
100506127 0.4802917 1.89012497 2.62047065 1.8692360 0.8937434 1.30197707
100506142 -0.1231278 0.61334338 0.32976980 0.1758826 0.2012290 0.32317923
100506144 -0.1231278 1.05242883 1.72046900 0.4426365 0.6976727 1.17838658
100506161 0.4802917 0.84952653 0.07443772 0.6676798 0.2012290 0.32317923
100506211 2.1681371 2.08776546 3.66369735 3.7322117 4.5449490 4.23744964
100506235 2.6784665 1.53124218 0.73512119 1.4518935 1.9056693 0.06853921
100506258 2.1681371 2.08776546 0.54663527 1.1870124 1.3596923 1.04320809
100506282 2.5075420 3.10511442 3.23439438 2.4564998 2.7181053 2.65806029
100506286 1.7234928 -0.02095203 1.05120626 2.1925453 1.4866674 2.03037377
100506302 1.9180734 1.99232702 1.42430323 0.6676798 1.0663271 0.89404163
100506321 -0.1231278 0.61334338 -0.23601344 0.1758826 0.8937434 1.04320809
100506325 1.2318548 1.38859560 1.42430323 1.5680803 0.2012290 1.87980237
100506343 2.3136109 -0.48706929 1.18657916 1.0337769 -0.1304083 0.06853921
100506365 5.2789606 5.62705247 5.73448429 5.6958210 5.7684303 5.67380807
100506368 -0.1231278 -0.02095203 -0.23601344 -0.1516428 -0.1304083 0.72765460
100506380 3.9726884 4.30459219 3.89874844 4.0840947 4.0645875 3.65388244
100506392 1.9180734 2.96131034 3.10364088 2.7793474 3.0821775 3.19311895
100506394 3.9054190 2.41665819 2.46934417 2.5723307 2.0769133 2.61103267
100506411 1.0774291 1.05242883 0.73512119 1.1870124 -0.1304083 1.71166498
100506433 1.4985157 3.86701063 3.23439438 3.2658244 2.6653874 3.22470263
100506462 3.0126865 1.05242883 1.05120626 1.3255235 1.8117679 1.17838658
100506469 4.5142749 4.93760223 4.72986435 4.4448259 4.9046973 5.06339421
100506495 3.0126865 1.78012705 0.73512119 1.1870124 0.2012290 1.71166498
100506504 1.2318548 1.89012497 1.62834105 1.3255235 1.8117679 2.03037377
100506540 0.7079145 0.84952653 1.18657916 1.1870124 0.4707002 1.61962708
100506581 0.2099028 0.84952653 0.90180299 1.0337769 1.2204537 1.30197707
100506606 0.2099028 0.61334338 -0.23601344 0.6676798 1.3596923 0.06853921
100506658 -1.1799596 -0.02095203 1.88875676 0.4426365 1.2204537 1.04320809
100506668 2.5075420 3.63391535 2.23954190 2.2631976 2.4945853 2.65806029
100506686 2.3136109 1.89012497 2.35901376 1.9571052 2.2299708 2.56242028
100506691 -1.1799596 -0.48706929 0.32976980 -1.1799596 2.0769133 0.06853921
100506696 1.9180734 1.89012497 2.10927576 0.8623099 2.7181053 2.45998704
100506697 2.0895020 0.61334338 1.18657916 1.8692360 0.4707002 1.71166498
100506710 7.0578702 6.77553946 6.63689155 6.7646401 6.8478485 6.73764888
100506713 -0.1231278 0.84952653 0.73512119 -0.1516428 -0.1304083 0.53954562
100506725 3.5711072 2.55668600 3.87889407 3.5744513 3.3726391 3.84890280
100506731 4.1575040 2.74413389 2.03944872 1.5680803 1.8117679 1.41581037
100506757 0.2099028 0.61334338 0.32976980 -0.1516428 -1.1799596 1.17838658
100506779 -0.5568616 1.05242883 -1.17995959 1.0337769 0.6976727 0.32317923
100506804 0.2099028 0.33077777 0.54663527 1.1870124 0.6976727 0.32317923
100506826 0.4802917 1.53124218 1.05120626 1.8692360 1.2204537 2.03037377
100506844 3.4815650 3.01085488 3.51726621 2.8726866 3.0413853 2.95025369
100506866 5.6854433 5.63497407 6.24933638 6.4188658 6.1360333 6.10565205
100506881 1.0774291 1.66104499 0.90180299 0.4426365 1.3596923 1.52131501
100506885 0.9044700 -1.17995959 -0.63212330 -0.1516428 0.2012290 -0.24088818
100506911 0.4802917 -0.02095203 0.54663527 0.8623099 0.4707002 0.72765460
100506922 2.5667956 1.38859560 0.07443772 1.3255235 0.6976727 0.89404163
100506930 3.8105506 4.18018421 3.59233880 3.8744088 3.3726391 4.32747823
100506994 -0.1231278 0.84952653 0.73512119 1.8692360 1.0663271 0.53954562
100507003 -1.1799596 1.38859560 1.52992623 1.6756035 1.2204537 1.52131501
100507032 0.4802917 0.61334338 1.80706530 1.4518935 1.2204537 1.71166498
100507034 4.4838536 2.68431708 3.35427602 2.7793474 2.9115955 3.42831689
100507050 2.0895020 -1.17995959 0.07443772 -1.1799596 1.7113265 -1.17995959
100507053 3.0955008 2.48837031 0.73512119 1.3255235 1.6033656 1.61962708
100507057 2.9694256 0.84952653 0.90180299 0.6676798 0.2012290 1.30197707
100507062 -0.1231278 0.61334338 -1.17995959 -0.5760576 0.2012290 0.32317923
100507071 -0.1231278 1.89012497 1.05120626 1.0337769 0.2012290 2.03037377
100507156 2.0063325 2.74413389 3.32522651 3.2309949 3.7969424 2.74775234
100507171 0.9044700 2.26156385 2.57183315 2.6269357 3.1604565 3.31550556
100507173 -0.5568616 0.61334338 0.54663527 -0.1516428 -0.1304083 0.89404163
100507178 2.2427069 0.33077777 1.31033212 -1.1799596 0.8937434 0.53954562
100507244 0.7079145 -1.17995959 -1.17995959 0.8623099 -1.1799596 0.89404163
100507246 3.0955008 3.15003102 2.80011413 3.2658244 3.5575792 3.09399451
100507250 -1.1799596 -1.17995959 1.05120626 -1.1799596 -0.1304083 0.06853921
100507254 0.7079145 -1.17995959 -1.17995959 0.4426365 -1.1799596 0.72765460
100507266 0.4802917 1.23028155 1.52992623 1.5680803 -1.1799596 1.04320809
100507290 4.3885405 4.49071149 4.76273772 4.2146200 4.6839516 4.60455309
100507291 2.0063325 2.80156901 2.30051418 2.4564998 2.8180918 2.23032514
100507303 2.8312686 2.80156901 2.57183315 2.7793474 2.8180918 2.65806029
100507308 -0.1231278 0.33077777 0.07443772 0.6676798 0.2012290 0.06853921
100507316 2.0895020 1.89012497 2.84173521 1.3255235 2.0769133 1.79818171
100507331 2.6784665 2.48837031 2.03944872 2.3305508 1.6033656 2.03037377
100507347 2.5075420 1.78012705 1.31033212 1.7756659 2.2299708 1.41581037
100507373 2.6237112 1.66104499 2.41523340 3.0022650 1.3596923 2.16670486
100507392 0.9044700 -1.17995959 0.32976980 -0.1516428 0.2012290 0.32317923
100507398 3.6554151 1.78012705 2.17587860 2.3948993 0.8937434 1.79818171
100507401 -0.1231278 0.84952653 -0.63212330 1.3255235 0.2012290 0.06853921
100507420 1.2318548 1.38859560 0.54663527 1.1870124 0.6976727 1.41581037
100507433 0.9044700 3.10511442 1.18657916 1.8692360 2.1554709 2.23032514
100507436 0.7079145 -1.17995959 0.32976980 -0.1516428 -0.1304083 0.06853921
100507437 2.8312686 1.53124218 2.57183315 1.4518935 1.9056693 2.91196369
100507459 3.9281924 2.80156901 2.41523340 3.0826056 3.0821775 2.79059043
100507463 2.6784665 2.48837031 0.73512119 0.6676798 1.9056693 1.17838658
100507487 3.5997608 2.08776546 0.73512119 1.1870124 0.8937434 2.10014908
100507495 2.3136109 2.17728021 1.88875676 2.2631976 2.2299708 2.51211258
100507516 1.4985157 -1.17995959 1.05120626 -1.1799596 0.4707002 0.32317923
100507551 0.7079145 1.53124218 1.05120626 0.1758826 1.3596923 2.03037377
100507557 1.4985157 1.89012497 2.17587860 -1.1799596 1.0663271 1.87980237
100507564 -1.1799596 -0.02095203 -0.23601344 -1.1799596 -1.1799596 -0.24088818
100507567 1.7234928 0.84952653 0.32976980 1.1870124 1.8117679 0.89404163
100507588 1.2318548 -0.02095203 1.31033212 -0.5760576 1.2204537 1.61962708
100507599 1.7234928 1.05242883 1.42430323 0.8623099 -1.1799596 2.40590734
100507602 2.0063325 2.74413389 2.46934417 2.3948993 3.5862224 2.83219313
100508120 0.9044700 2.96131034 1.80706530 1.4518935 2.7181053 2.10014908
10051 5.7184809 6.10309376 6.93488187 7.0000531 6.5608824 6.69318466
10052 2.4457502 0.61334338 2.03944872 2.2631976 1.9938306 1.87980237
100526737 2.0063325 2.34119416 1.18657916 1.5680803 1.4866674 2.16670486
100526760 0.4802917 0.61334338 0.32976980 0.1758826 -1.1799596 0.53954562
100526820 1.4985157 -1.17995959 1.31033212 1.1870124 0.4707002 0.72765460
100526835 4.0782709 3.78395013 3.64030116 3.3655350 3.1604565 3.42831689
100527978 0.7079145 0.84952653 1.18657916 0.8623099 0.6976727 1.71166498
100529145 1.3713375 1.66104499 0.73512119 1.1870124 0.8937434 1.52131501
100529215 -0.5568616 0.33077777 1.05120626 -0.1516428 0.8937434 0.32317923
100532746 3.8822803 3.91984121 4.06611873 4.0243256 3.6954262 4.15788107
100533106 0.2099028 1.23028155 0.54663527 -0.1516428 0.6976727 0.89404163
100533182 1.4985157 1.38859560 1.42430323 1.3255235 1.4866674 1.71166498
100533619 -0.1231278 -1.17995959 1.05120626 0.4426365 -0.1304083 0.06853921
100533629 0.2099028 0.61334338 1.05120626 0.1758826 0.4707002 1.71166498
100533695 0.7079145 -0.48706929 0.32976980 -0.1516428 0.2012290 -0.24088818
100533970 1.9180734 1.66104499 0.54663527 0.1758826 0.6976727 0.53954562
100534593 2.0895020 1.38859560 1.18657916 1.1870124 1.0663271 0.89404163
10054 5.9860251 5.94002123 5.74549035 5.9737594 5.8709336 5.93476208
10056 5.4060770 5.92070965 5.75641308 5.5049298 5.7495606 6.08858764
10057 7.8185437 8.20257113 8.00047675 7.9394212 7.9887846 8.04884186
10058 6.6725152 6.27516065 4.94564690 5.0046259 5.5089776 5.04581948
10059 6.9562773 7.18193159 7.21180544 7.5324175 7.4388414 7.32700124
1006 7.7626214 7.69139512 5.97789971 6.3915281 6.3967497 6.16383642
10060 5.4617707 4.38194420 4.67335398 4.4749071 5.1924053 4.62836435
100616256 1.4985157 0.61334338 0.54663527 0.1758826 1.6033656 1.30197707
10062 2.5667956 1.38859560 2.10927576 2.8267717 2.3008118 2.45998704
10063 4.4369840 4.45535908 4.10081516 3.8516614 4.7738527 4.79542594
100652739 0.2099028 0.33077777 0.90180299 -1.1799596 -1.1799596 -0.63532892
100652758 2.2427069 1.05242883 0.32976980 0.6676798 0.6976727 1.52131501
100652846 1.7234928 2.55668600 2.52149857 2.5723307 2.6653874 1.87980237
10066 5.6170081 5.71188598 5.91592387 5.6894211 5.8651014 5.92036765
10067 6.2116303 6.77195175 6.58575507 6.7150925 6.7372594 6.95095045
10068 3.3187482 3.27695426 3.23439438 3.2658244 3.4985280 3.02391354
10069 4.6018695 3.91984121 3.23439438 3.5177830 3.4985280 3.82849091
10072 4.3720243 4.59185038 4.63835380 4.8410328 4.7360075 4.56808272
10073 4.1575040 3.75516551 4.03056725 4.0243256 4.1047378 3.82849091
10075 9.2873695 9.06522764 9.00095616 8.9327150 8.6273303 8.87862305
10076 7.3762567 6.45147956 5.44824546 5.1608257 5.4083031 5.41782778
10077 1.3713375 2.08776546 2.95984515 2.1182541 3.4051561 2.10014908
100775107 1.4985157 1.78012705 1.31033212 2.0399285 1.3596923 0.89404163
10078 4.5587369 4.88542989 4.32280345 4.7700218 4.5449490 4.70873872
10079 5.7571525 5.30834185 5.29186833 5.0148998 4.8228165 4.47921899
1008 5.9696525 6.58832149 3.95672295 4.1414859 3.9807708 4.35628114
10081 5.5670955 5.18427109 5.29186833 5.0046259 4.9929162 5.26672036
10082 5.1492772 7.45903603 7.37129554 7.3897060 7.2209799 7.29202199
100820829 4.9071254 5.57034883 5.58931790 5.5409228 5.5531746 5.92036765
10084 4.6437498 5.21630334 4.92643182 4.6030111 5.3921716 5.31153272
100847074 1.6153852 1.05242883 1.31033212 2.1182541 1.9938306 1.79818171
10085 8.5433596 9.43322326 9.34824396 9.3231728 9.0415343 9.17030751
100852407 -0.1231278 0.61334338 0.54663527 0.1758826 0.4707002 0.89404163
100861412 -0.5568616 -0.02095203 -0.23601344 -0.5760576 -0.1304083 -1.17995959
100861548 4.6159651 4.62404682 3.79662595 3.8516614 4.0848023 3.82849091
100862671 -1.1799596 1.23028155 0.32976980 0.8623099 0.2012290 1.79818171
10087 6.5493891 6.50432789 5.94007683 6.1977132 6.3845705 6.02273587
100873257 0.7079145 -0.02095203 0.90180299 -0.5760576 -0.5617745 0.06853921
100873333 3.8105506 2.26156385 2.99715991 2.3948993 2.9994062 2.79059043
100873790 3.7858257 4.40065112 4.72986435 4.7455530 4.5449490 4.70873872
100873949 0.2099028 -0.02095203 1.31033212 0.8623099 0.2012290 0.53954562
100873952 1.4985157 -0.48706929 0.32976980 -0.5760576 0.4707002 0.72765460
100873965 1.3713375 2.26156385 1.18657916 1.1870124 2.7689646 1.79818171
100874006 1.2318548 -0.02095203 0.54663527 1.3255235 0.8937434 0.06853921
100874008 1.2318548 0.84952653 1.62834105 1.4518935 1.9938306 1.71166498
100874014 5.1199036 4.28458834 3.51726621 3.5463953 3.6954262 3.65388244
100874058 -0.1231278 -0.02095203 0.73512119 2.1182541 -0.1304083 1.71166498
100874080 -0.1231278 0.61334338 1.52992623 -0.1516428 0.4707002 0.32317923
100874097 2.3136109 2.48837031 1.80706530 1.7756659 2.1554709 2.61103267
100874201 0.4802917 -0.02095203 -0.63212330 0.6676798 -0.1304083 1.04320809
100874212 1.0774291 1.53124218 1.52992623 1.0337769 0.8937434 0.89404163
100874217 0.4802917 1.05242883 0.73512119 0.8623099 0.8937434 0.06853921
100874235 -0.5568616 1.23028155 1.52992623 1.5680803 1.6033656 1.71166498
100874261 -0.5568616 -0.48706929 -0.63212330 0.4426365 0.2012290 1.30197707
100874291 1.2318548 -1.17995959 -1.17995959 -1.1799596 -0.5617745 -0.24088818
100874362 3.2481024 2.48837031 2.23954190 2.3305508 2.0769133 2.51211258
100874523 2.8788062 1.66104499 1.05120626 2.0399285 1.6033656 1.87980237
100885775 4.4369840 4.20167823 3.95672295 4.8752691 5.4710834 4.54324666
100885776 0.4802917 0.33077777 1.18657916 0.6676798 0.8937434 1.04320809
100885848 3.7606696 4.43735262 5.21476854 5.2417842 5.5089776 5.17269040
1009 8.4510398 9.01223416 9.83145607 9.9482360 9.6614353 9.79292929
10090 3.3860954 4.04402702 3.99411751 4.3667590 4.1244016 3.90846087
10092 6.8198402 7.33078914 7.56700933 7.6945893 7.6349500 7.65140803
10093 6.7156979 6.53004338 6.81983828 6.7307597 7.0464438 7.04904072
10094 5.4302094 5.50269241 5.11645708 5.0148998 5.2738997 5.31886796
10095 5.4302094 5.14042413 5.50115428 5.1792132 5.5531746 5.44489853
10097 8.3928770 8.21319269 8.29359866 8.4335196 8.4042011 8.32319448
10098 6.1596529 6.49129619 6.93968154 6.7245132 6.4326822 6.67900378
10099 8.6652864 8.10471184 8.13524584 8.0434514 8.0179881 8.10295548
100996246 -0.1231278 -0.02095203 1.05120626 0.4426365 0.4707002 0.32317923
100996251 1.0774291 0.84952653 0.54663527 -0.1516428 0.4707002 0.32317923
100996307 0.2099028 0.33077777 0.07443772 1.1870124 0.6976727 -0.63532892
100996384 1.2318548 1.38859560 1.18657916 0.6676798 0.2012290 1.71166498
100996419 0.9044700 1.23028155 1.18657916 2.1182541 1.7113265 1.87980237
100996485 2.2427069 0.84952653 1.80706530 1.0337769 1.9056693 1.52131501
100996539 2.5667956 0.84952653 0.90180299 0.8623099 -0.1304083 -0.63532892
100996579 1.4985157 -1.17995959 -1.17995959 -0.1516428 -1.1799596 -1.17995959
100996696 2.0895020 2.68431708 2.17587860 2.4564998 2.3008118 1.41581037
100996842 0.9044700 0.61334338 1.05120626 1.0337769 0.8937434 1.04320809
100996851 -0.1231278 1.05242883 -0.23601344 -0.5760576 -1.1799596 -1.17995959
100996939 1.6153852 1.99232702 1.18657916 0.8623099 0.8937434 1.30197707
101 3.2481024 2.62191247 2.35901376 2.2631976 1.2204537 3.12779840
1010 -1.1799596 -1.17995959 0.32976980 -1.1799596 -0.1304083 -1.17995959
10100 4.6159651 4.20167823 5.16645007 4.9305839 5.5459018 4.71986378
10101 5.1395523 5.79907475 5.28434115 4.7455530 4.6161237 5.15640518
10102 4.3040011 4.98795351 5.08213929 4.6825012 4.9713621 4.96397103
10103 1.4985157 1.66104499 -0.63212330 -0.1516428 -1.1799596 0.32317923
10105 7.0133028 6.29529474 6.66034266 6.6960645 6.9724255 6.72941555
10106 7.6761334 7.35975883 7.17970701 7.2224737 7.2458792 7.27515213
101060200 4.1381000 3.27695426 3.17049842 2.6269357 3.5283557 2.95025369
101060691 3.5711072 3.63391535 3.06901316 3.4283750 2.7181053 3.48157824
10109 8.7987136 8.47498708 8.16833745 8.1510006 8.3394248 8.31588125
10112 0.9044700 0.84952653 5.24610461 5.3990928 4.8107305 5.01001439
10113 6.0445169 6.11447055 5.96853655 6.1236945 5.9882590 6.10140484
10114 8.6533763 8.22636059 8.23036979 8.3548215 8.4652300 8.06310783
101154753 1.0774291 -0.02095203 -0.23601344 -0.1516428 -0.5617745 0.53954562
10116 8.2667740 8.06568340 7.93227737 8.2401801 8.3971457 7.87064687
10117 1.4985157 -1.17995959 1.31033212 -0.1516428 1.2204537 0.72765460
1012 6.9507269 7.39049980 7.34077694 7.4571859 7.5447930 7.20957960
10121 6.3275175 6.32497863 6.32832238 6.1795615 6.2478289 6.18003844
10123 8.5266685 7.56026309 7.17564402 7.4703112 7.6755030 7.34327893
101241892 4.8605269 5.04851776 5.23833417 5.6103219 5.3510358 5.27428641
10125 2.7821111 2.26156385 2.57183315 3.0022650 2.7689646 2.91196369
10126 3.0955008 3.43048741 3.35427602 2.8726866 3.8212433 3.86902992
BPA_24_H5 PFOA_24_H5 EtOH_24_H5 TUN_2_H6 THA_2_H6 DMSO_2_H6
100 2.98558864 3.0613309 3.15516503 3.6014712 3.5097453 2.43793980
1000 11.29520088 11.2411811 11.24930730 11.4818922 10.8374740 11.30820170
10000 6.86254723 6.8022624 6.96144323 5.9850206 5.9938269 5.45919637
10001 4.44889820 4.2576453 4.29899618 4.1951518 4.6292519 4.39044533
10003 4.09268370 4.1252684 3.91324660 6.0869002 5.9637713 5.98367546
100037417 2.64580713 3.2181199 3.27472709 1.9075683 2.9794221 3.09245991
100049716 1.07271680 2.0125784 1.70651134 1.8201049 2.0579815 0.99767049
10005 4.11014478 4.4438563 4.18151206 4.0295655 4.2014588 4.18372712
10006 6.41637501 6.3683574 6.52014934 6.1994921 6.5638139 6.03248605
10007 4.80037217 4.6779032 5.19450731 5.0099377 4.8424686 4.99370302
10009 5.12632944 4.7820745 5.32027387 5.2877189 5.2352696 4.97954757
100093630 3.64282376 3.0193186 3.11300287 3.8862011 5.1399306 3.54105773
1001 3.46424800 3.9574271 3.48768974 6.0049890 5.6291527 6.09946972
10010 4.94360970 5.1562050 5.32950891 4.8424808 5.5638658 5.20312059
100101267 2.06382184 2.6302249 2.18478478 1.9900310 1.8976555 0.99767049
100101467 5.33378172 5.2590697 5.22451865 4.3119656 5.1127971 4.69766693
10011 5.72800103 5.3801997 5.69367332 5.0295665 5.4814097 4.86100728
100113386 1.83093027 1.3771581 2.47842723 1.1420275 2.0579815 2.43793980
100113397 0.75521570 -0.1194806 0.78596637 0.8200957 1.6178299 1.94982044
100113407 4.02064603 4.4117388 4.28006792 4.1420404 4.8090496 4.30220497
100125288 2.06382184 1.0829796 1.81569148 1.6274585 2.0579815 1.20655264
100127983 2.44027297 2.1744647 2.18478478 3.2124281 3.3943040 2.35264327
100128006 2.44027297 2.8854012 2.60550600 3.3746999 3.5372179 2.98319041
100128016 1.44712987 1.7295721 1.70651134 0.6274480 1.9800444 1.82870574
100128025 0.09034385 1.0829796 1.70651134 -0.1799227 -0.5987095 0.75334040
100128054 2.59710305 1.6213917 1.16182328 0.4050521 0.1352793 0.75334040
100128071 0.34752647 0.7130373 1.31844800 0.9900228 1.2703427 0.99767049
100128191 1.55306751 1.2375541 1.45972187 2.5749962 2.5101762 1.69648385
100128252 1.07271680 0.9098339 2.18478478 1.2795324 1.5110377 1.38898133
100128379 -1.17995959 -0.1194806 0.27631047 0.6274480 0.1352793 0.08885748
100128398 4.51593475 4.1449394 3.81146323 4.2124298 4.7515713 4.32477617
100128494 3.22878140 3.1804910 3.31247616 2.7269998 3.1313630 2.26198508
100128569 1.83093027 2.0957910 1.81569148 1.2795324 2.4536272 1.82870574
100128640 -0.22285083 -0.1194806 0.27631047 -0.1799227 0.9812883 1.94982044
100128682 2.06382184 2.1744647 2.47842723 1.9075683 2.7165122 1.94982044
100128731 6.66994795 6.8145973 6.80140488 6.1688419 6.2435675 5.56726331
100128766 0.34752647 -1.1799596 -0.51882411 -0.5949725 0.1352793 0.75334040
100128782 1.99029078 1.5044371 2.01200950 2.4639644 2.5101762 2.16524571
100128822 2.73854395 3.1021543 2.18478478 2.6780901 3.6672420 3.24225770
100128833 2.44027297 2.4521981 2.60550600 2.7269998 3.0189337 2.92528680
100128881 2.54669715 2.7377690 2.60550600 3.0680378 2.9387979 2.80200357
100128893 5.74486666 5.9433035 5.34780351 5.9022626 6.5334414 6.15720606
100129001 1.33279231 1.0829796 1.45972187 0.9900228 0.3975686 0.99767049
100129013 2.20051401 1.8302034 1.91718722 2.2124246 2.6676283 1.69648385
100129029 -0.62344910 0.4850909 -0.51882411 -1.1799596 0.6194285 0.45902181
100129060 3.46424800 3.4253517 2.83032747 3.4639674 3.8752983 4.25597472
100129075 2.54669715 2.1744647 1.45972187 1.6274585 3.1669732 2.16524571
100129195 2.82567796 1.8302034 2.93083362 2.1420349 2.6170299 2.73617217
100129203 -1.17995959 -0.1194806 -1.17995959 0.1420128 0.6194285 0.08885748
100129250 2.49446617 1.8302034 1.58838721 1.7269949 2.0579815 0.45902181
100129259 -0.22285083 0.4850909 -0.06715709 0.6274480 0.3975686 -0.41034056
100129361 5.85770836 6.0038045 5.55095390 5.6466620 5.9938269 5.69404086
100129398 0.34752647 0.2142449 -0.51882411 1.2795324 -0.1855317 0.45902181
100129434 2.20051401 1.7295721 2.18478478 0.6274480 0.9812883 0.75334040
100129461 0.56572446 0.9098339 0.98610034 -0.1799227 0.1352793 -0.41034056
100129484 0.56572446 1.3771581 1.31844800 1.9900310 -0.1855317 0.75334040
100129550 3.78005576 3.8416574 3.70195016 3.6780926 3.9589373 4.32477617
100129583 1.07271680 1.2375541 1.16182328 1.1420275 1.1330427 2.06155030
100129662 -0.22285083 0.2142449 0.78596637 1.1420275 1.6178299 0.99767049
100129707 -0.22285083 0.4850909 -0.06715709 0.4050521 0.3975686 0.99767049
100129716 0.34752647 0.2142449 1.16182328 0.6274480 0.1352793 1.38898133
100129726 1.20860713 0.2142449 0.98610034 -1.1799596 -0.5987095 0.08885748
100129774 3.26040375 3.8173454 3.91324660 4.0295655 3.9384778 3.57910689
100129781 -0.22285083 -0.1194806 -1.17995959 1.4050644 0.3975686 0.75334040
100129792 0.56572446 -0.5543974 0.27631047 1.9075683 1.2703427 -0.41034056
100129794 2.20051401 1.5044371 2.47842723 1.9075683 1.9800444 2.16524571
100129842 -0.22285083 0.4850909 0.27631047 -1.1799596 0.1352793 -1.17995959
100129917 1.99029078 -0.5543974 1.81569148 2.1420349 3.5372179 2.43793980
100129924 0.56572446 -0.5543974 -0.51882411 0.1420128 0.8116741 1.38898133
100129940 1.07271680 1.0829796 0.55352791 1.4050644 1.1330427 1.55090994
100129995 -1.17995959 1.9242708 0.98610034 0.9900228 2.8539478 2.43793980
10013 5.83163087 6.1618050 5.84944757 5.8257381 6.1127262 6.20056720
100130111 0.75521570 -0.1194806 -1.17995959 1.4050644 0.6194285 -1.17995959
100130197 -0.22285083 -1.1799596 -1.17995959 -0.5949725 0.1352793 0.99767049
100130335 4.30468807 3.9574271 4.00831987 3.7508491 3.6421578 3.97125619
100130348 2.49446617 2.3876148 2.01200950 1.4050644 2.6676283 2.35264327
100130357 1.33279231 0.9098339 1.31844800 0.4050521 0.8116741 0.08885748
100130466 3.80171030 3.9574271 4.16096641 2.4639644 3.5097453 2.98319041
100130476 0.09034385 1.0829796 0.55352791 0.8200957 0.6194285 -0.41034056
100130522 0.34752647 0.2142449 0.55352791 0.4050521 0.3975686 2.06155030
100130550 0.56572446 0.2142449 1.31844800 0.6274480 0.8116741 0.99767049
100130564 2.98558864 2.8854012 2.60550600 3.0295635 3.0948514 3.09245991
100130581 -0.22285083 -1.1799596 0.55352791 -1.1799596 0.3975686 0.08885748
100130691 0.75521570 0.7130373 1.16182328 1.6274585 2.3947708 1.94982044
100130705 1.55306751 1.6213917 0.98610034 3.5480318 4.2520757 4.74863957
100130748 1.65175542 1.6213917 0.98610034 0.9900228 1.1330427 1.94982044
100130750 2.26429144 2.3876148 1.91718722 2.2795391 2.1319231 1.38898133
100130855 1.65175542 1.6213917 1.16182328 1.2795324 1.8102750 1.38898133
100130958 0.56572446 -0.1194806 -0.51882411 -1.1799596 -0.5987095 0.99767049
100131017 2.26429144 2.7377690 2.54336537 2.7269998 2.9794221 2.98319041
100131031 1.99029078 1.5044371 1.16182328 2.6780901 2.6170299 2.92528680
100131033 1.91280979 1.3771581 1.58838721 0.6274480 1.9800444 1.38898133
100131067 1.74412263 1.6213917 0.78596637 1.7269949 1.8976555 2.59474859
100131089 3.40888543 3.0193186 2.77732061 3.1420386 3.5097453 3.33412514
100131094 0.09034385 0.2142449 0.55352791 0.8200957 1.1330427 1.20655264
100131138 3.35131328 2.9314354 2.54336537 5.3899690 5.6669521 5.12810577
100131187 1.33279231 0.4850909 -0.06715709 2.7743057 1.8102750 2.06155030
100131193 2.73854395 2.7377690 3.45430815 3.5749989 3.7399793 3.94235439
100131211 2.94724178 2.6849988 3.11300287 3.4348210 3.2017256 2.51847362
100131213 1.55306751 2.0957910 0.98610034 1.9900310 1.1330427 1.20655264
100131471 2.26429144 2.3876148 1.91718722 1.9075683 2.1319231 1.94982044
100131656 3.22878140 2.6302249 2.77732061 3.2795424 3.7634324 3.65232092
100131685 2.32536841 0.9098339 1.58838721 1.8201049 1.9800444 0.45902181
100131691 1.91280979 1.9242708 2.01200950 2.2795391 2.6170299 0.99767049
100131740 1.07271680 -0.5543974 -0.06715709 -0.5949725 -0.5987095 0.99767049
100131801 2.94724178 3.1021543 2.77732061 2.9075727 2.8969966 1.94982044
100131827 -1.17995959 -1.1799596 -1.17995959 -1.1799596 0.3975686 -1.17995959
100131828 0.92268293 -0.5543974 1.70651134 -0.5949725 0.6194285 0.45902181
100131940 1.55306751 1.6213917 1.58838721 1.6274585 2.1319231 0.99767049
100132074 1.65175542 1.0829796 1.91718722 1.8201049 0.9812883 0.99767049
100132086 -0.62344910 0.2142449 0.78596637 0.1420128 0.9812883 0.08885748
100132116 7.16574534 7.1549280 7.04790630 6.6904786 5.4814097 6.38370815
100132126 0.34752647 -0.5543974 -0.06715709 0.1420128 -0.1855317 0.45902181
100132215 0.75521570 0.2142449 0.27631047 1.1420275 0.8116741 1.38898133
100132537 1.44712987 0.9098339 2.10098201 2.1420349 0.9812883 1.38898133
100132609 1.07271680 0.9098339 1.45972187 1.1420275 1.6178299 0.99767049
100132659 0.09034385 0.4850909 -1.17995959 0.9900228 -0.5987095 0.75334040
100132891 2.44027297 2.4521981 2.66508024 -1.1799596 -1.1799596 -0.41034056
100132972 0.75521570 -1.1799596 -1.17995959 1.7269949 -1.1799596 -1.17995959
100133234 0.75521570 1.0829796 -0.06715709 0.1420128 0.9812883 -1.17995959
100133286 -1.17995959 -1.1799596 -1.17995959 -0.5949725 -1.1799596 -0.41034056
100133315 -1.17995959 -1.1799596 0.98610034 0.9900228 0.8116741 -0.41034056
100134934 1.91280979 2.4521981 1.16182328 1.6274585 1.8976555 1.38898133
10014 6.76119355 6.7454115 6.65481956 6.5205535 6.9913074 6.76004490
100144603 -0.62344910 -0.5543974 -0.51882411 0.4050521 -1.1799596 -1.17995959
100144748 2.06382184 1.3771581 1.81569148 -0.1799227 0.9812883 0.75334040
10015 7.44568461 7.4947685 7.35424133 7.3553893 7.5637880 7.61781964
10016 5.20968544 5.3035070 5.10053519 4.8535360 5.1218985 5.00772093
100170229 -0.22285083 1.5044371 -0.06715709 0.4050521 0.1352793 0.45902181
100170841 3.26040375 3.9122278 4.20176922 4.0868988 4.1490013 3.72199823
10018 3.54350138 3.3595273 3.11300287 3.4925366 4.8202755 4.08139954
100188847 1.07271680 1.7295721 1.81569148 1.5205425 0.8116741 1.20655264
10019 4.66515199 5.0454391 5.36586903 4.3279072 4.3482744 4.30220497
100190938 2.44027297 2.1744647 1.91718722 2.2124246 1.8102750 2.06155030
1002 1.33279231 0.7130373 -1.17995959 0.8200957 0.1352793 0.75334040
10020 3.35131328 3.6346213 3.45430815 3.7743081 3.5097453 3.61617829
10021 8.04936596 7.7294707 7.56829742 8.3426956 7.9974826 8.03204648
10023 1.74412263 2.0125784 1.81569148 1.2795324 1.8976555 2.16524571
10024 3.66662154 3.4253517 2.66508024 4.5205525 4.1129390 4.27927501
10026 5.75044501 5.8445067 5.87490154 6.0441153 5.0664089 5.48948101
100268168 0.34752647 -0.1194806 0.78596637 0.6274480 0.3975686 0.99767049
100270804 2.54669715 1.7295721 1.58838721 1.8201049 1.9800444 2.16524571
100270827 0.34752647 -1.1799596 0.55352791 -0.1799227 0.8116741 0.45902181
100270840 3.96415444 3.8655665 3.78485440 4.4639689 3.9384778 4.05464197
100270854 4.43510882 4.6779032 4.49229880 4.4348225 4.2848598 4.62677494
100270865 5.33378172 5.6098740 5.39255010 4.8313403 4.9587795 5.21525243
100271271 3.12952993 3.1021543 2.77732061 3.1776626 3.1669732 2.16524571
100271332 -1.17995959 -1.1799596 -0.06715709 -1.1799596 -0.1855317 -1.17995959
100271415 1.83093027 1.5044371 1.91718722 1.9075683 2.4536272 0.75334040
100271479 1.44712987 -0.1194806 1.31844800 0.4050521 0.3975686 -1.17995959
100271884 0.92268293 -0.1194806 0.27631047 -0.1799227 -0.5987095 0.75334040
100272147 2.32536841 2.8854012 3.55222145 1.6274585 2.5645921 3.03885942
100286844 1.07271680 1.5044371 1.58838721 0.8200957 1.7172589 1.94982044
100287015 1.20860713 1.0829796 1.31844800 0.9900228 1.5110377 1.38898133
100287049 0.56572446 1.6213917 1.58838721 0.9900228 1.7172589 1.55090994
100287074 1.55306751 0.7130373 1.58838721 1.2795324 0.1352793 1.55090994
100287616 2.86734779 2.6302249 3.02479165 2.2795391 2.9387979 1.20655264
100287722 1.74412263 1.7295721 0.55352791 0.8200957 1.1330427 0.75334040
100287808 0.34752647 -1.1799596 1.16182328 -0.1799227 -0.1855317 1.38898133
100287837 0.09034385 0.4850909 -1.17995959 -0.5949725 0.1352793 0.75334040
100287896 2.86734779 2.7886769 2.01200950 1.8201049 2.1319231 2.26198508
100287902 0.09034385 -0.5543974 0.78596637 0.4050521 -0.1855317 0.45902181
100287928 2.26429144 2.5732891 2.01200950 2.2124246 2.5645921 3.24225770
100287932 5.41329934 5.3635057 5.06779987 5.5882978 5.5300799 5.58607085
100288001 2.59710305 2.7886769 2.18478478 2.2124246 2.2022591 1.94982044
100288073 3.02294258 2.4521981 1.91718722 2.8645038 4.4238131 3.28892254
100288123 1.74412263 0.9098339 0.78596637 1.7269949 0.8116741 1.55090994
100288198 1.91280979 2.0957910 0.55352791 1.8201049 3.1313630 1.38898133
100288241 -1.17995959 -1.1799596 -1.17995959 -1.1799596 -1.1799596 -1.17995959
100288413 2.94724178 2.7886769 3.52031638 4.1776644 2.9794221 3.28892254
100288513 -1.17995959 -0.1194806 -0.06715709 -0.1799227 0.1352793 -0.41034056
100288842 1.07271680 1.7295721 0.98610034 1.8201049 1.6178299 1.38898133
100289061 1.74412263 0.7130373 1.31844800 1.6274585 0.6194285 1.20655264
100289095 0.56572446 0.4850909 0.55352791 0.6274480 -0.5987095 0.08885748
100289133 2.98558864 2.7886769 2.18478478 3.2124281 2.8095749 3.09245991
100289178 2.59710305 2.6302249 2.54336537 2.6780901 2.2693248 2.35264327
100289211 1.20860713 2.3200044 2.72229168 1.9900310 2.1319231 1.38898133
100289259 0.56572446 1.0829796 1.45972187 1.2795324 0.6194285 1.38898133
100289274 2.73854395 2.7377690 1.91718722 2.8645038 4.8534385 2.66719261
100289341 1.65175542 0.4850909 1.31844800 0.4050521 1.3957040 2.51847362
100289373 2.06382184 1.6213917 0.27631047 1.1420275 1.8102750 1.82870574
100289388 0.09034385 0.7130373 0.55352791 2.2124246 2.2693248 1.38898133
100289414 -0.22285083 0.4850909 -1.17995959 0.1420128 0.8116741 1.20655264
100289635 5.54752262 5.2590697 5.16385838 5.2795449 5.1927130 5.08908309
100289640 0.75521570 -0.1194806 0.78596637 2.0680339 1.5110377 1.94982044
100289678 3.05935371 3.5187783 3.38513440 2.5205482 3.0948514 3.03885942
100293516 3.16337812 2.8378495 3.19612992 3.6014712 4.2520757 4.25597472
100294362 1.44712987 1.3771581 2.01200950 -0.1799227 0.9812883 0.99767049
1003 1.55306751 0.4850909 1.70651134 3.4050736 3.1313630 2.86496165
100302692 2.64580713 2.5732891 3.34926264 2.0680339 2.5645921 2.43793980
100302736 0.92268293 0.9098339 0.27631047 0.8200957 1.5110377 1.55090994
100303728 3.26040375 3.3928149 3.34926264 3.0295635 3.4817394 3.61617829
100303755 0.75521570 1.6213917 0.55352791 0.6274480 1.6178299 2.06155030
100312828 0.09034385 0.7130373 1.31844800 -0.1799227 0.3975686 0.08885748
100312850 0.34752647 0.2142449 0.27631047 0.1420128 1.3957040 -1.17995959
10036 4.86350862 4.2933387 4.00831987 5.2958468 5.4383443 4.95081305
100379345 0.75521570 0.2142449 1.16182328 1.2795324 1.5110377 1.55090994
10038 5.53464848 5.3635057 5.58990166 5.6718626 6.0663356 5.85776980
100381270 1.33279231 1.3771581 1.91718722 0.6274480 1.8102750 1.20655264
10039 3.78005576 4.0645930 3.75774557 3.6530016 3.3012257 3.28892254
1004 5.37047025 5.5447275 5.58990166 2.4050705 1.7172589 2.43793980
10040 3.92522579 3.7418501 3.81146323 3.7270023 3.7865102 3.91286173
100418710 0.75521570 2.0125784 0.98610034 0.6274480 1.7172589 1.20655264
100418735 2.20051401 0.9098339 1.81569148 1.9075683 2.1319231 1.82870574
100418744 0.92268293 1.6213917 1.70651134 1.4050644 1.8102750 1.20655264
100418770 -1.17995959 -1.1799596 -1.17995959 -0.1799227 -1.1799596 -0.41034056
100418781 1.91280979 1.2375541 1.16182328 1.9075683 1.3957040 2.43793980
100418819 1.33279231 1.3771581 2.41042778 2.4050705 2.2693248 2.73617217
100418829 0.92268293 0.2142449 0.27631047 1.5205425 0.6194285 1.55090994
100418888 1.44712987 0.4850909 2.54336537 0.6274480 0.3975686 0.08885748
100418889 2.32536841 2.5732891 2.33906405 2.2124246 2.1319231 3.24225770
100418910 1.44712987 0.7130373 0.27631047 1.1420275 0.6194285 0.45902181
100418919 2.82567796 2.5140137 2.47842723 2.9075727 2.8969966 0.45902181
100419028 1.20860713 2.1744647 2.01200950 1.2795324 1.3957040 2.35264327
100419185 -0.62344910 0.2142449 -1.17995959 0.9900228 0.9812883 1.38898133
100419416 0.56572446 0.4850909 1.58838721 -0.1799227 1.7172589 0.75334040
100419515 0.34752647 0.9098339 0.55352791 0.4050521 0.8116741 0.08885748
100419645 -0.22285083 -1.1799596 -1.17995959 -1.1799596 -1.1799596 -0.41034056
100419758 1.91280979 1.5044371 2.33906405 0.1420128 1.2703427 1.94982044
100419928 1.65175542 1.2375541 2.18478478 1.9075683 1.9800444 2.26198508
10042 4.98205195 5.3295269 5.46975458 4.6904776 5.6977123 4.78164752
100420028 2.06382184 0.4850909 0.27631047 0.4050521 0.3975686 -1.17995959
100420050 -0.62344910 -1.1799596 -0.51882411 0.6274480 1.1330427 0.08885748
100420110 3.38038652 3.1021543 3.23596368 2.7743057 2.6170299 2.73617217
100420187 -0.62344910 -0.5543974 0.98610034 0.1420128 -0.1855317 -1.17995959
100420259 3.49115245 4.1252684 3.55222145 3.9698592 4.1129390 4.49365865
100420307 1.74412263 1.3771581 1.31844800 0.1420128 0.9812883 0.08885748
100420341 5.68786376 4.9702494 5.36586903 5.5205532 5.2928155 5.66779641
100420423 0.92268293 1.6213917 1.70651134 1.5205425 1.5110377 1.55090994
100420591 0.92268293 0.7130373 -0.51882411 0.1420128 0.8116741 -0.41034056
100420707 3.35131328 2.3200044 3.11300287 2.2124246 2.9387979 2.66719261
100420752 1.33279231 1.0829796 1.31844800 2.2124246 0.9812883 1.82870574
100420869 4.50277432 4.3108597 3.73011758 4.0680397 4.1310828 4.47359827
100420981 5.99562322 5.8384790 5.88119548 5.9596650 6.0897174 6.04613389
100421093 3.46424800 3.7674567 3.06957134 4.3279072 4.3789661 3.99959035
100421109 -0.22285083 0.4850909 0.55352791 1.1420275 0.6194285 -0.41034056
100421160 0.56572446 0.4850909 -0.06715709 -1.1799596 0.3975686 0.08885748
100421175 -1.17995959 -0.5543974 -0.51882411 0.6274480 0.6194285 -1.17995959
100421246 0.34752647 0.7130373 0.27631047 0.9900228 0.9812883 -0.41034056
100421311 1.33279231 0.9098339 2.18478478 1.4050644 2.4536272 1.38898133
100421372 1.74412263 1.5044371 2.10098201 2.6274638 2.8095749 2.66719261
100421400 2.26429144 1.6213917 1.81569148 2.7743057 2.3334109 2.26198508
100421415 1.20860713 -0.1194806 0.78596637 1.4050644 0.3975686 1.55090994
100421429 0.56572446 -0.5543974 -1.17995959 -0.1799227 0.3975686 0.75334040
100421465 1.44712987 1.0829796 0.98610034 0.9900228 1.5110377 1.55090994
100421468 2.64580713 2.5140137 2.54336537 2.0680339 2.5645921 1.82870574
100421506 -0.22285083 1.2375541 0.27631047 0.1420128 0.6194285 1.55090994
100421569 -0.62344910 1.2375541 0.27631047 -0.1799227 0.8116741 1.55090994
100421595 -1.17995959 -1.1799596 -0.51882411 0.1420128 -1.1799596 -0.41034056
100421794 -1.17995959 -1.1799596 -0.06715709 -0.5949725 -1.1799596 -1.17995959
100422106 1.83093027 1.0829796 1.58838721 1.8201049 1.5110377 1.20655264
100422338 2.13378623 1.3771581 2.83032747 3.1055126 1.6178299 2.26198508
100422546 1.07271680 0.9098339 0.78596637 1.9075683 1.8102750 -1.17995959
100422561 3.49115245 3.0193186 3.02479165 3.7027547 3.4240418 4.13347038
10043 5.47524941 5.5956491 5.51902047 5.9338558 5.8257694 5.59538347
10044 1.83093027 2.3876148 1.31844800 0.1420128 2.5101762 1.20655264
10045 -0.22285083 0.7130373 -0.06715709 -0.1799227 0.3975686 0.08885748
10046 1.20860713 1.2375541 1.70651134 0.9900228 0.1352793 0.75334040
10048 6.65217779 6.4693309 6.53219797 6.7973938 6.8776945 6.89437588
10049 6.07779190 6.2139548 6.04712337 5.9442349 6.0804101 5.94777116
100499177 3.64282376 3.7157808 3.70195016 2.7269998 3.8966670 3.19403286
100499483 2.54669715 2.5732891 3.02479165 1.9900310 2.9387979 2.43793980
1005 -0.22285083 1.0829796 0.98610034 0.1420128 0.3975686 -1.17995959
100500719 0.34752647 -1.1799596 0.55352791 0.4050521 1.6178299 0.45902181
100505385 2.38396434 2.3876148 2.97857740 3.2463755 3.7634324 3.14414011
100505501 1.33279231 1.9242708 0.98610034 2.1420349 0.6194285 0.99767049
100505538 0.75521570 0.9098339 0.55352791 0.4050521 1.8976555 0.75334040
100505549 1.07271680 1.6213917 -0.06715709 -1.1799596 -0.5987095 1.20655264
100505573 5.94786718 5.7254371 5.94867497 6.1644096 6.4013896 6.35658075
100505576 3.12952993 3.4253517 2.01200950 1.9900310 2.5101762 3.28892254
100505616 -0.62344910 0.4850909 0.55352791 0.6274480 -0.1855317 0.75334040
100505624 1.20860713 1.3771581 1.45972187 0.4050521 1.1330427 1.38898133
100505635 0.92268293 -0.1194806 -0.06715709 0.8200957 0.6194285 -0.41034056
100505641 2.54669715 2.0957910 2.33906405 1.8201049 2.3334109 2.26198508
100505648 2.20051401 2.5732891 1.91718722 2.5205482 3.0189337 2.59474859
100505678 2.54669715 2.2490690 2.33906405 2.6780901 2.3947708 3.28892254
100505696 4.77869738 4.7046597 3.91324660 4.6014725 5.0378426 4.73184800
100505715 0.75521570 -0.1194806 1.16182328 0.9900228 0.3975686 -1.17995959
100505738 -0.62344910 -1.1799596 -0.51882411 3.1420386 3.4817394 3.33412514
100505741 1.91280979 0.9098339 1.16182328 0.6274480 1.2703427 1.20655264
100505758 2.38396434 3.6065209 2.77732061 4.1055145 3.6421578 3.97125619
100505761 3.29134782 3.2547922 3.27472709 3.1055126 2.8969966 2.80200357
100505771 2.54669715 0.7130373 1.81569148 2.6780901 2.5645921 3.14414011
100505783 2.86734779 3.4253517 3.11300287 2.8201095 2.7165122 2.66719261
100505806 4.16129475 4.6913435 4.07572658 5.3358132 5.7514801 4.82978525
100505812 1.07271680 1.3771581 1.45972187 0.8200957 2.5101762 1.55090994
100505832 2.20051401 2.8378495 2.60550600 1.4050644 2.6170299 1.82870574
100505854 3.40888543 2.6302249 3.38513440 3.5205510 5.5705290 4.05464197
100505876 5.44804392 5.3380969 5.32950891 4.5615798 4.5505510 4.58997832
100505894 3.59401713 3.8655665 3.70195016 3.1420386 4.0570970 3.75561427
100505933 0.34752647 -0.5543974 0.55352791 -0.1799227 1.2703427 -0.41034056
100505994 -1.17995959 -1.1799596 0.55352791 0.6274480 1.1330427 -1.17995959
100506020 0.34752647 2.0957910 1.45972187 -0.1799227 0.3975686 0.08885748
100506033 4.27403187 4.0645930 4.07572658 4.9596645 4.9279769 5.03535463
100506054 2.69292055 2.3876148 2.41042778 2.4639644 2.0579815 -1.17995959
100506068 1.65175542 -0.1194806 1.81569148 1.8201049 2.2022591 1.94982044
100506070 2.13378623 2.0957910 2.41042778 0.6274480 1.5110377 1.82870574
100506083 0.56572446 1.3771581 -0.06715709 -0.5949725 1.6178299 -0.41034056
100506100 0.56572446 0.2142449 0.55352791 0.4050521 0.1352793 0.75334040
100506119 2.20051401 1.0829796 1.58838721 1.8201049 1.5110377 1.82870574
100506127 1.44712987 3.0613309 1.45972187 2.6274638 2.6170299 1.82870574
100506142 1.07271680 0.4850909 0.78596637 0.4050521 1.2703427 0.99767049
100506144 1.33279231 0.2142449 -0.51882411 0.4050521 0.9812883 -1.17995959
100506161 0.34752647 0.7130373 0.55352791 0.1420128 1.7172589 0.75334040
100506211 3.46424800 4.6779032 4.63320692 3.4348210 4.6794308 4.15881758
100506235 2.06382184 1.6213917 1.45972187 1.7269949 1.8976555 1.55090994
100506258 1.33279231 0.7130373 1.31844800 0.6274480 1.1330427 1.38898133
100506282 3.22878140 2.3200044 3.02479165 2.2795391 2.6170299 3.03885942
100506286 1.07271680 0.9098339 1.45972187 -1.1799596 0.8116741 1.20655264
100506302 1.83093027 0.2142449 2.47842723 1.4050644 2.3334109 0.75334040
100506321 0.92268293 0.7130373 1.16182328 -0.1799227 0.8116741 -1.17995959
100506325 0.75521570 0.2142449 -0.06715709 0.4050521 0.1352793 0.08885748
100506343 1.33279231 0.4850909 0.55352791 1.5205425 0.3975686 -1.17995959
100506365 5.61022443 5.6517261 5.86223069 5.2877189 5.6033914 5.39665049
100506368 0.34752647 -1.1799596 -1.17995959 1.1420275 1.3957040 0.08885748
100506380 3.82304461 3.1418543 3.02479165 3.9900371 4.8090496 4.25597472
100506392 3.29134782 2.6302249 3.11300287 3.3746999 2.5101762 3.78846483
100506394 1.91280979 2.5140137 2.01200950 0.8200957 1.8976555 1.82870574
100506411 1.07271680 1.7295721 1.70651134 0.4050521 1.6178299 2.51847362
100506433 2.44027297 2.3200044 2.93083362 2.6274638 2.3334109 2.66719261
100506462 1.20860713 -0.5543974 1.45972187 0.9900228 0.8116741 -1.17995959
100506469 4.72304145 4.3452758 4.24144969 4.3747014 4.8424686 5.47945660
100506495 1.33279231 0.7130373 1.58838721 0.4050521 1.1330427 -0.41034056
100506504 1.20860713 0.9098339 2.01200950 0.9900228 1.3957040 2.26198508
100506540 1.55306751 1.3771581 0.98610034 1.6274585 0.6194285 1.38898133
100506581 0.92268293 0.4850909 0.98610034 1.4050644 0.8116741 0.08885748
100506606 1.55306751 1.0829796 0.98610034 0.8200957 1.2703427 1.38898133
100506658 0.75521570 0.9098339 0.98610034 2.5749962 2.6170299 2.26198508
100506668 2.94724178 2.2490690 2.26398573 2.4639644 2.8969966 -1.17995959
100506686 2.32536841 1.8302034 2.47842723 2.1420349 1.8102750 2.51847362
100506691 0.56572446 0.9098339 -1.17995959 0.9900228 0.3975686 0.75334040
100506696 1.91280979 2.9760461 2.47842723 2.8645038 2.7637938 2.73617217
100506697 0.92268293 0.9098339 1.31844800 0.1420128 0.8116741 0.08885748
100506710 6.69330605 6.4809862 6.72298198 5.9390547 6.9356191 6.47734862
100506713 -0.22285083 0.2142449 -0.51882411 -0.1799227 -0.5987095 0.45902181
100506725 3.84406803 3.4883034 2.72229168 4.1951518 4.6419612 4.05464197
100506731 1.74412263 2.3200044 2.41042778 2.0680339 2.7165122 1.94982044
100506757 0.92268293 -1.1799596 -1.17995959 -1.1799596 0.3975686 0.08885748
100506779 -0.22285083 1.9242708 0.27631047 0.4050521 0.1352793 0.08885748
100506804 0.56572446 0.7130373 -0.06715709 0.4050521 0.1352793 0.45902181
100506826 2.20051401 1.2375541 1.31844800 1.7269949 1.7172589 1.55090994
100506844 2.73854395 2.9314354 2.72229168 2.8645038 3.5097453 3.14414011
100506866 6.26870289 6.3808541 6.41995677 6.9493969 6.6823664 7.41450045
100506881 0.75521570 0.4850909 1.81569148 0.4050521 0.1352793 0.45902181
100506885 0.34752647 -0.1194806 -0.51882411 -0.1799227 0.9812883 -1.17995959
100506911 0.75521570 0.7130373 0.27631047 0.9900228 0.6194285 1.20655264
100506922 0.34752647 0.2142449 -0.06715709 2.4050705 3.2688155 2.26198508
100506930 3.61862683 3.7418501 3.34926264 4.5480332 4.4529549 4.51344391
100506994 0.75521570 0.2142449 0.55352791 0.9900228 0.6194285 0.45902181
100507003 1.07271680 1.2375541 1.91718722 2.9075727 3.7634324 3.28892254
100507032 2.20051401 1.9242708 2.26398573 1.8201049 1.3957040 0.75334040
100507034 3.05935371 2.8854012 3.38513440 3.2124281 2.3334109 2.80200357
100507050 -1.17995959 0.9098339 0.55352791 0.4050521 0.3975686 0.08885748
100507053 0.92268293 2.1744647 2.33906405 0.6274480 2.6676283 2.43793980
100507057 1.07271680 0.4850909 1.31844800 0.1420128 0.8116741 -1.17995959
100507062 -1.17995959 0.2142449 0.55352791 0.4050521 1.2703427 1.55090994
100507071 1.20860713 0.9098339 0.98610034 -1.1799596 -0.1855317 0.99767049
100507156 3.05935371 3.4571709 3.38513440 3.4639674 3.6421578 3.42049124
100507171 3.09486847 3.0193186 2.66508024 3.2124281 3.3639403 3.14414011
100507173 0.09034385 0.4850909 -0.06715709 -1.1799596 1.3957040 0.08885748
100507178 0.34752647 0.7130373 0.78596637 0.4050521 1.1330427 1.20655264
100507244 1.44712987 0.2142449 -0.51882411 0.1420128 -0.1855317 -0.41034056
100507246 3.38038652 3.1418543 2.33906405 2.7743057 2.5645921 2.73617217
100507250 0.09034385 -0.1194806 -0.51882411 0.8200957 1.1330427 0.08885748
100507254 -0.22285083 -1.1799596 0.55352791 -0.1799227 -1.1799596 -1.17995959
100507266 0.75521570 0.2142449 0.78596637 1.1420275 2.0579815 0.75334040
100507290 4.77869738 4.4907305 5.05672093 4.6530029 5.2766067 5.04897550
100507291 2.20051401 2.4521981 1.70651134 1.8201049 2.6676283 1.94982044
100507303 2.90784776 2.7377690 2.60550600 3.3436729 3.3639403 2.98319041
100507308 0.75521570 0.9098339 0.55352791 0.6274480 1.3957040 1.20655264
100507316 2.06382184 1.5044371 0.98610034 1.9075683 2.4536272 2.16524571
100507331 1.33279231 1.5044371 2.72229168 1.4050644 2.0579815 1.94982044
100507347 1.07271680 0.9098339 0.98610034 1.2795324 0.8116741 0.08885748
100507373 2.20051401 2.8854012 2.77732061 1.8201049 1.2703427 2.06155030
100507392 0.75521570 -1.1799596 -1.17995959 0.4050521 -1.1799596 0.08885748
100507398 1.55306751 1.5044371 0.55352791 2.2124246 2.1319231 2.35264327
100507401 1.20860713 0.2142449 1.58838721 0.8200957 1.3957040 1.20655264
100507420 1.07271680 -0.1194806 -0.51882411 0.4050521 -0.5987095 0.08885748
100507433 0.75521570 1.0829796 1.81569148 0.6274480 1.3957040 1.55090994
100507436 0.34752647 -1.1799596 -1.17995959 -0.5949725 0.3975686 0.99767049
100507437 2.13378623 2.0957910 2.72229168 2.1420349 1.9800444 2.51847362
100507459 2.20051401 1.5044371 2.47842723 2.8201095 2.5101762 2.43793980
100507463 1.65175542 0.9098339 1.16182328 -0.1799227 -0.1855317 -1.17995959
100507487 0.09034385 0.7130373 1.31844800 1.6274585 1.3957040 2.16524571
100507495 2.26429144 0.7130373 2.01200950 0.1420128 2.5645921 2.98319041
100507516 -0.22285083 0.7130373 0.27631047 0.6274480 0.1352793 0.45902181
100507551 1.99029078 0.9098339 0.55352791 1.4050644 1.8102750 2.26198508
100507557 0.56572446 0.9098339 0.98610034 0.6274480 0.3975686 1.20655264
100507564 0.56572446 -0.1194806 -1.17995959 -1.1799596 -1.1799596 0.08885748
100507567 0.75521570 1.5044371 1.45972187 0.6274480 2.3334109 0.75334040
100507588 1.44712987 1.6213917 -0.51882411 -1.1799596 0.3975686 1.69648385
100507599 1.33279231 0.9098339 0.98610034 1.8201049 2.1319231 2.51847362
100507602 3.02294258 3.2181199 3.02479165 2.4050705 1.8976555 2.80200357
100508120 3.12952993 2.2490690 2.26398573 1.8201049 2.3334109 2.43793980
10051 7.05965275 6.7550436 6.74385466 7.6354973 7.5554149 7.40393931
10052 1.20860713 1.8302034 2.33906405 2.5205482 2.3947708 1.94982044
100526737 1.65175542 2.2490690 2.18478478 1.5205425 2.6170299 1.55090994
100526760 0.09034385 0.2142449 1.16182328 0.9900228 0.9812883 0.99767049
100526820 1.07271680 0.2142449 0.55352791 1.2795324 1.6178299 1.38898133
100526835 3.73574649 3.9795066 3.06957134 4.6274678 4.9689026 4.45325502
100527978 1.44712987 -0.1194806 2.10098201 1.4050644 1.6178299 2.06155030
100529145 1.07271680 1.9242708 0.55352791 0.9900228 2.1319231 2.06155030
100529215 -1.17995959 0.9098339 1.16182328 0.1420128 0.6194285 0.08885748
100532746 4.25845597 4.5656207 4.16096641 4.1238930 3.7161387 4.23229192
100533106 1.55306751 1.2375541 0.78596637 0.8200957 0.8116741 1.82870574
100533182 0.75521570 1.7295721 0.27631047 0.6274480 2.2022591 1.55090994
100533619 -0.62344910 -1.1799596 -1.17995959 -0.5949725 0.3975686 0.45902181
100533629 0.92268293 1.7295721 1.81569148 1.9075683 1.5110377 1.69648385
100533695 0.92268293 -0.1194806 0.27631047 0.1420128 2.0579815 0.08885748
100533970 0.75521570 0.4850909 0.98610034 0.6274480 -0.5987095 0.45902181
100534593 1.91280979 1.7295721 1.31844800 0.1420128 1.8102750 1.69648385
10054 5.82635832 6.0410247 5.91839315 5.9799850 6.0897174 5.67659771
10056 6.04184896 5.8079565 5.67205629 6.1238944 5.6291527 5.91839017
10057 8.05049693 8.0003979 7.95142832 7.3650784 7.5436104 7.89358568
10058 5.21776216 5.6098740 6.20096130 4.5615798 4.7159519 5.14088225
10059 7.25478832 7.4793558 7.49631967 7.3785347 7.4291228 7.48633981
1006 6.07779190 6.2092910 6.06382012 3.7973917 3.4531790 4.57122198
10060 4.67691720 4.8909245 5.30162453 5.0775010 5.2766067 5.00772093
100616256 0.92268293 0.4850909 0.98610034 1.1420275 1.1330427 -1.17995959
10062 2.69292055 2.6849988 2.47842723 1.6274585 2.3334109 1.82870574
10063 4.40712826 4.7309289 4.54081351 4.0295655 4.2685609 3.65232092
100652739 1.07271680 1.0829796 -1.17995959 -0.1799227 -0.5987095 -1.17995959
100652758 1.20860713 1.6213917 0.55352791 0.1420128 1.6178299 1.82870574
100652846 1.91280979 2.0125784 2.47842723 2.8645038 2.5101762 3.03885942
10066 5.87823620 5.8683690 5.74288799 6.2038180 5.9433806 6.44165152
10067 6.75288027 6.5490073 6.54810786 6.3239395 5.8750473 6.36749300
10068 3.22878140 3.4883034 2.88145559 2.8201095 3.3639403 3.42049124
10069 3.43683226 3.4253517 2.88145559 3.0295635 3.5372179 2.73617217
10072 4.97253699 4.9812337 4.58774972 4.7858973 4.3940705 4.58997832
10073 4.19441423 4.1053255 3.93760871 3.6780926 4.2353999 3.33412514
10075 8.86616576 8.8370468 8.95909440 8.8617732 8.5528804 8.52654736
10076 5.29613577 5.2500156 5.32950891 4.8313403 4.8314148 5.19088587
10077 1.55306751 2.5140137 2.88145559 4.8535360 5.5094220 5.42826235
100775107 1.55306751 1.0829796 1.45972187 1.2795324 1.5110377 1.69648385
10078 4.85317589 4.6779032 4.61821310 5.0099377 5.1665632 4.79787255
10079 4.84276863 4.6913435 5.08970574 4.6530029 3.8966670 3.99959035
1008 3.71307086 4.0012533 3.83759016 2.6274638 2.6170299 1.82870574
10081 5.01949639 5.3035070 5.15349565 5.0099377 5.4528428 5.17854651
10082 7.15946933 7.2802886 7.36550856 7.8355291 7.2372672 7.89735537
100820829 5.96236070 5.6990668 5.46975458 5.3975422 5.7278304 5.44895855
10084 4.94360970 4.9921350 5.11128396 5.0585179 5.3088443 5.38595738
100847074 1.74412263 1.5044371 1.81569148 1.8201049 2.0579815 2.16524571
10085 9.15717524 9.2198238 9.19463174 8.2568256 7.6033156 7.72776417
100852407 1.07271680 0.7130373 0.98610034 0.9900228 0.6194285 1.38898133
100861412 1.33279231 -0.1194806 0.55352791 1.1420275 2.2022591 1.55090994
100861548 3.56898035 3.9122278 2.93083362 3.3119640 3.8752983 3.99959035
100862671 1.55306751 -0.1194806 -0.51882411 1.7269949 -0.5987095 0.45902181
10087 6.12149679 6.4848505 6.36263297 6.3159688 6.1969587 6.21875888
100873257 0.09034385 -0.5543974 -0.06715709 0.8200957 -0.1855317 0.99767049
100873333 3.02294258 3.1418543 2.33906405 3.4348210 2.3334109 3.09245991
100873790 4.61710754 4.5801433 4.85406385 4.3747014 4.1666999 4.78164752
100873949 0.75521570 1.0829796 1.16182328 1.4050644 1.2703427 1.38898133
100873952 0.09034385 -1.1799596 0.27631047 0.6274480 0.3975686 -0.41034056
100873965 1.74412263 1.9242708 1.31844800 1.2795324 2.6170299 1.20655264
100874006 0.75521570 0.4850909 1.16182328 0.1420128 -0.5987095 -0.41034056
100874008 1.55306751 1.7295721 2.01200950 1.1420275 0.3975686 0.45902181
100874014 3.61862683 3.2905554 3.23596368 3.1055126 3.6672420 3.03885942
100874058 1.83093027 -0.1194806 0.78596637 0.9900228 1.2703427 0.99767049
100874080 0.56572446 0.2142449 -0.06715709 0.4050521 0.9812883 0.45902181
100874097 2.49446617 2.3200044 2.01200950 1.8201049 1.1330427 1.82870574
100874201 -0.62344910 0.9098339 0.27631047 0.8200957 0.1352793 0.99767049
100874212 1.91280979 1.0829796 1.58838721 0.8200957 1.3957040 0.75334040
100874217 0.56572446 0.9098339 0.27631047 0.6274480 0.8116741 0.75334040
100874235 1.33279231 1.3771581 1.31844800 1.5205425 0.9812883 1.20655264
100874261 -0.62344910 -0.5543974 -0.06715709 0.1420128 0.6194285 0.08885748
100874291 0.75521570 0.4850909 0.98610034 0.4050521 1.1330427 0.99767049
100874362 2.49446617 2.3876148 2.26398573 1.5205425 2.2022591 1.20655264
100874523 1.20860713 0.7130373 0.98610034 2.0680339 1.3957040 2.35264327
100885775 4.68858725 4.8192778 5.18436318 4.7389762 5.3788481 5.23921427
100885776 -0.22285083 1.7295721 -0.06715709 0.1420128 1.1330427 0.99767049
100885848 5.58546975 5.4530204 5.67205629 4.9286375 5.2519468 4.78164752
1009 9.73298744 9.6992190 9.68614278 9.2247235 8.3422194 8.64898988
10090 3.88521751 4.0645930 3.91324660 3.7027547 4.5639696 3.82058400
10092 7.65645600 7.4676872 7.47150633 7.0775018 7.0159268 6.96433061
10093 6.90318031 6.9153930 6.82771295 6.6812007 6.7775860 6.57001130
10094 5.05599351 5.3466163 5.12195323 5.3670078 4.7977357 5.06246897
10095 5.19339509 5.3295269 5.23438528 5.3975422 4.6164296 4.92149458
10097 8.30291734 8.1526922 8.21453246 7.8562876 7.5803896 7.43539359
10098 6.65812553 6.5818518 6.55992618 6.1908011 6.4954294 6.51218374
10099 8.09502382 7.9284448 8.00716493 8.3279087 7.8910442 8.28894709
100996246 -1.17995959 0.9098339 0.55352791 0.1420128 0.3975686 -0.41034056
100996251 -0.22285083 0.4850909 0.55352791 0.9900228 -0.1855317 1.38898133
100996307 -0.22285083 -0.1194806 -0.51882411 -0.5949725 0.6194285 0.99767049
100996384 0.75521570 2.3876148 1.31844800 1.6274585 1.1330427 2.66719261
100996419 1.55306751 2.0125784 1.58838721 1.9075683 2.2693248 2.59474859
100996485 1.44712987 1.9242708 2.26398573 2.6274638 1.5110377 1.38898133
100996539 0.56572446 -1.1799596 0.55352791 -0.1799227 -0.1855317 0.45902181
100996579 -1.17995959 -0.1194806 -1.17995959 0.6274480 1.8102750 0.75334040
100996696 3.29134782 2.8378495 2.66508024 2.7269998 3.0189337 3.50197782
100996842 1.55306751 0.9098339 0.27631047 0.9900228 2.1319231 0.45902181
100996851 0.34752647 -0.1194806 -0.51882411 -0.5949725 0.8116741 0.75334040
100996939 1.33279231 0.7130373 1.16182328 0.1420128 1.5110377 1.38898133
101 2.86734779 2.0957910 1.58838721 1.9075683 1.8976555 2.59474859
1010 -0.22285083 -1.1799596 -1.17995959 -1.1799596 0.1352793 -1.17995959
10100 4.86350862 5.6098740 6.18578662 6.2124311 6.0989650 6.50231638
10101 5.16025193 5.0029546 4.97669051 5.2713244 5.8423831 5.53858413
10102 4.84276863 4.4752744 4.45902491 5.1147340 5.1488629 4.74863957
10103 -0.22285083 0.7130373 0.78596637 0.4050521 -0.1855317 0.08885748
10105 6.74731135 6.9296393 6.82771295 7.1666277 7.1487591 7.11114227
10106 7.10172169 7.2979678 7.19662701 6.9338561 7.1420646 7.25029195
101060200 3.16337812 3.0613309 2.88145559 2.4639644 2.8095749 3.42049124
101060691 3.16337812 3.5486227 3.02479165 2.4050705 2.3947708 3.09245991
10109 8.40901039 8.1368160 8.27314099 8.0320023 7.8641780 7.79397166
10112 5.16860938 5.0558676 4.47575778 6.1994921 5.6854869 6.20665661
10113 6.08222245 5.8324259 6.03588388 6.2795454 6.3127620 6.34558533
10114 8.11353937 8.4292574 8.61934019 8.1510309 8.6504511 8.23782992
101154753 0.34752647 -0.5543974 -0.06715709 1.1420275 0.8116741 0.08885748
10116 7.96191192 8.1695965 8.38698629 7.9812459 8.6991506 7.90111524
10117 0.75521570 -0.1194806 0.98610034 2.1420349 2.5101762 2.26198508
1012 7.38062591 7.3518589 7.32913924 6.7478918 6.1035667 6.45194114
10121 6.37001931 6.1276097 6.07484489 6.2998940 6.2724624 6.43128799
10123 7.39494337 7.3894506 7.59151352 6.0099382 6.2887176 5.68534565
101241892 5.42729774 5.4687155 5.34780351 4.8424808 4.9383176 5.55776678
10125 2.82567796 2.3876148 3.06957134 1.9900310 2.3334109 1.82870574
10126 3.56898035 3.9350045 3.81146323 3.4348210 4.0186308 3.37795438
TUN_24_H6 THA_24_H6 DOX_24_H6 NUTL_24_H6 DMSO_24_H6 LPS_24_H6
100 3.67717935 3.2533550 4.19568603 3.2588629 3.5118694 3.06840174
1000 11.66244996 11.6879294 9.66364566 11.3650394 11.1268342 11.22909335
10000 6.36656505 6.4176280 5.52890199 5.8895967 5.7718266 5.34852879
10001 4.53298712 4.7006684 5.83036541 4.5213207 4.4972204 4.52092924
10003 5.97252212 5.6179133 6.07959363 6.7022145 5.7323126 6.21771183
100037417 2.07938214 2.2826436 1.91168399 3.0972291 3.5382965 3.67133902
100049716 2.68201555 2.6075472 2.17915803 2.7067831 2.6658544 2.74103362
10005 4.46954256 4.5115172 4.27397682 4.2252133 4.5501241 4.49695023
10006 6.62423991 6.5858025 6.35192825 6.5698115 6.2901374 6.34069355
10007 5.29595693 5.0608254 6.58860666 5.6541219 5.2630319 5.57155986
10009 5.09199744 5.1633358 5.19842238 5.3368009 5.0314900 4.92302982
100093630 4.95045686 4.3643354 3.44832665 3.7471252 3.2169768 3.51297158
1001 6.08263247 6.0078292 7.22284955 7.2461392 6.1168520 6.17301194
10010 5.05789273 5.1731973 6.03532343 5.1760594 5.0499753 4.94091478
100101267 2.43869013 1.5357153 2.00645986 2.1032091 2.4037110 2.01309332
100101467 5.21315720 5.3135609 4.84792618 4.9100669 4.6625083 5.13207871
10011 5.31773764 5.1027076 5.42120528 5.3796193 4.9253566 5.51298486
100113386 0.71069716 0.5105031 2.92496211 1.7146166 2.5143464 2.37065632
100113397 0.71069716 0.7401441 -0.07050463 0.3253876 1.4652192 0.26090223
100113407 3.92434177 4.5872303 6.08503310 4.3878590 3.6874347 4.28925747
100125288 3.26375572 2.1289848 3.34330014 2.5152597 1.6703038 2.01309332
100127983 1.93653486 3.0109646 1.31332003 2.7509392 2.7586853 2.78129832
100128006 2.32857294 2.9662895 2.53760523 3.2891250 2.5143464 2.56769816
100128016 1.59980854 1.9569875 2.00645986 0.5419215 1.5714026 0.96723632
100128025 0.71069716 0.2372591 1.91168399 0.5419215 0.7711668 1.43933362
100128054 1.28298262 0.9382017 0.78133143 0.7301570 1.0897770 1.22251015
100128071 1.28298262 0.2372591 4.15488752 1.3047779 0.7711668 1.22251015
100128191 2.14582969 1.5357153 4.15488752 3.6100035 2.7586853 1.87106914
100128252 1.85943145 1.7616737 1.91168399 1.4186574 2.2200150 1.87106914
100128379 0.30822628 -1.1799596 -0.52111235 0.7301570 -0.2123573 -0.66524903
100128398 5.22088392 5.3046165 5.91831297 4.9766609 4.2317400 4.65699158
100128494 2.43869013 2.9201867 3.75171637 3.7028504 2.7130164 3.79448855
100128569 2.85086724 2.4215004 1.58307073 1.7146166 2.0831183 1.62778784
100128640 1.50173248 1.6531137 4.61209235 1.4186574 0.3616422 0.82038386
100128682 2.20935108 2.0455479 1.15682197 0.7301570 2.6170985 2.20292406
100128731 6.37004381 6.3055329 6.90690926 6.2192316 6.1386064 6.39684529
100128766 -0.25192668 -0.5412829 -0.52111235 -1.1799596 0.5808870 0.01294308
100128782 2.63652331 2.8725618 3.26877892 3.0972291 2.4600889 2.20292406
100128822 3.07203204 2.9201867 4.21566062 2.6612328 2.6658544 2.89575929
100128833 2.76891026 2.4215004 2.71647639 2.5655764 2.5666370 2.52090282
100128881 2.49074927 2.0455479 3.48170249 2.4090343 2.3450399 2.61302320
100128893 5.80272047 6.1791033 6.91303891 6.1631470 6.2823410 6.73338576
100129001 0.30822628 0.9382017 -0.52111235 0.3253876 0.1030030 -0.28666343
100129013 1.15976496 1.4079105 1.70112283 1.5242018 2.0831183 2.07918476
100129029 0.87640885 -0.1001200 0.27235211 -0.2392554 0.7711668 0.01294308
100129060 3.48522615 3.6702910 3.01889736 3.9875456 3.7565945 3.69260787
100129075 2.68201555 2.6645879 4.19568603 3.5362239 2.6170985 2.37065632
100129195 2.68201555 2.7723192 3.75171637 3.5107678 2.4037110 3.25152692
100129203 -0.25192668 -0.1001200 6.69559636 1.7146166 0.7711668 0.26090223
100129250 1.50173248 2.4215004 3.19019771 2.5152597 1.6703038 2.52090282
100129259 0.05516694 1.5357153 -1.17995959 0.3253876 -0.6165145 0.65687139
100129361 5.42196589 5.6814797 4.69979661 6.0616186 5.7884354 5.54256962
100129398 -0.64257408 0.2372591 1.81024143 0.3253876 0.5808870 -0.28666343
100129434 1.39649960 1.9569875 2.87559668 1.1811328 1.3505953 0.82038386
100129461 0.05516694 0.5105031 1.31332003 0.0705154 0.1030030 -0.28666343
100129484 1.59980854 2.0455479 1.31332003 0.7301570 2.0831183 -1.17995959
100129550 4.24545331 4.3294841 5.55265351 4.1447524 3.4575169 4.01313088
100129583 1.77797351 2.2826436 0.78133143 2.7509392 1.7628578 1.71352149
100129662 1.59980854 1.8626333 3.30652064 1.8828045 -0.2123573 1.10051198
100129707 1.50173248 -0.1001200 0.54917215 0.7301570 1.2260722 0.47242934
100129716 1.77797351 1.7616737 1.15682197 1.4186574 1.4652192 0.47242934
100129726 0.52345119 -0.1001200 3.14924147 1.5242018 0.3616422 0.26090223
100129774 4.18353595 3.6978791 2.47268886 3.7471252 3.8439342 3.58298214
100129781 0.71069716 -0.1001200 0.54917215 -1.1799596 -0.2123573 0.65687139
100129792 1.15976496 1.2676735 -1.17995959 1.4186574 1.0897770 1.10051198
100129794 1.69163958 2.4215004 0.98125850 2.5655764 1.9318566 1.87106914
100129842 0.30822628 -0.1001200 -0.52111235 1.3047779 0.3616422 0.47242934
100129917 3.53566139 3.2900708 1.31332003 2.2334154 1.7628578 1.62778784
100129924 1.15976496 -0.1001200 3.44832665 0.8966431 -0.6165145 0.65687139
100129940 -1.17995959 0.5105031 1.81024143 1.0458890 0.3616422 1.71352149
100129995 2.14582969 1.2676735 1.31332003 0.5419215 2.2200150 3.00180285
10013 6.23157251 6.7562214 6.88524805 6.1384269 6.1769563 6.35076283
100130111 2.07938214 0.7401441 -0.07050463 0.0705154 1.0897770 1.22251015
100130197 0.05516694 0.2372591 -0.07050463 0.5419215 0.1030030 -0.66524903
100130335 3.69947263 3.7249496 3.72409232 3.5612387 3.5642483 3.51297158
100130348 3.07203204 3.5238345 2.65928184 2.2943615 2.1531898 2.14238063
100130357 0.30822628 1.7616737 1.81024143 2.5655764 1.3505953 2.26102874
100130466 3.07203204 3.5543394 3.06366670 3.9117715 3.0059528 3.03548656
100130476 -0.25192668 0.2372591 2.59972593 0.3253876 -1.1799596 1.33499137
100130522 0.71069716 0.9382017 3.41416035 0.0705154 0.9392495 -0.28666343
100130550 -1.17995959 -1.1799596 0.27235211 0.8966431 0.3616422 0.01294308
100130564 3.07203204 2.6645879 2.25832660 3.5858271 3.0433373 2.69961281
100130581 -0.64257408 0.9382017 -0.07050463 0.3253876 0.7711668 -0.28666343
100130691 1.93653486 2.1289848 2.33337583 1.9600750 1.7628578 2.01309332
100130705 5.11705709 4.9273487 2.97269413 2.1032091 2.5143464 2.61302320
100130748 1.02503241 0.5105031 2.47268886 2.1032091 1.5714026 0.01294308
100130750 2.20935108 2.2826436 2.00645986 1.3047779 2.2200150 2.01309332
100130855 1.85943145 1.4079105 2.97269413 2.1032091 1.7628578 2.26102874
100130958 0.71069716 0.9382017 1.91168399 -0.6342556 0.1030030 1.10051198
100131017 2.07938214 2.4215004 2.92496211 2.5152597 2.5666370 2.14238063
100131031 2.58954975 2.3537420 -0.07050463 1.6225484 1.9318566 1.53663568
100131033 1.59980854 1.6531137 3.10708849 2.1032091 2.2200150 1.87106914
100131067 3.72142666 2.9201867 4.79580362 3.7687632 2.4037110 3.16286795
100131089 3.53566139 3.9933570 2.87559668 4.1774772 3.5382965 3.90794770
100131094 1.15976496 1.4079105 0.78133143 0.0705154 1.2260722 1.33499137
100131138 5.81808393 5.6465113 4.84792618 4.1447524 5.4555849 5.42040644
100131187 1.50173248 2.3537420 3.23002327 2.5655764 2.7130164 2.14238063
100131193 2.72611702 2.5481580 1.81024143 3.5107678 4.0960053 4.60184971
100131211 2.89016343 3.3608129 2.97269413 3.9310914 3.2809749 2.69961281
100131213 2.00972576 1.4079105 3.51432364 0.7301570 1.0897770 -0.28666343
100131471 2.20935108 2.5481580 1.45449086 2.1697807 2.6170985 1.79444484
100131656 2.96568356 3.7249496 4.82210028 4.0058832 3.1838807 3.27990913
100131685 1.59980854 1.4079105 0.78133143 0.7301570 0.1030030 0.65687139
100131691 2.32857294 2.7194589 5.37754415 2.7067831 1.4652192 1.71352149
100131740 0.71069716 -0.1001200 1.81024143 1.0458890 0.5808870 0.01294308
100131801 2.85086724 3.0963671 3.80542658 3.2891250 3.0433373 2.82046971
100131827 -0.25192668 -0.1001200 1.45449086 0.3253876 0.7711668 0.96723632
100131828 1.02503241 0.2372591 2.09539151 0.8966431 1.3505953 -1.17995959
100131940 2.58954975 1.6531137 2.09539151 1.8828045 1.7628578 2.07918476
100132074 1.15976496 1.4079105 1.81024143 0.8966431 2.1531898 2.07918476
100132086 0.87640885 -0.5412829 -1.17995959 -0.6342556 -0.2123573 -0.66524903
100132116 4.40317908 3.5842126 5.18834960 5.5265683 6.1769563 5.94830518
100132126 -0.25192668 -0.5412829 -0.07050463 0.7301570 1.3505953 0.26090223
100132215 1.02503241 0.9382017 2.59972593 1.3047779 0.9392495 0.82038386
100132537 1.39649960 0.9382017 1.70112283 1.4186574 2.0094690 1.10051198
100132609 0.05516694 1.1123226 -0.07050463 0.7301570 0.7711668 1.33499137
100132659 0.30822628 1.2676735 0.54917215 0.8966431 1.0897770 0.47242934
100132891 1.77797351 1.6531137 0.27235211 -0.2392554 0.3616422 0.65687139
100132972 1.50173248 2.0455479 -1.17995959 0.3253876 1.0897770 1.10051198
100133234 0.87640885 0.5105031 -0.07050463 0.0705154 -0.2123573 0.65687139
100133286 -0.64257408 0.7401441 -0.52111235 -1.1799596 -0.2123573 -0.28666343
100133315 0.71069716 0.9382017 2.65928184 1.4186574 0.1030030 0.82038386
100134934 1.77797351 2.6075472 1.70112283 1.5242018 1.6703038 2.01309332
10014 6.21232169 6.4864766 6.55372240 6.6093253 6.8632680 6.80349009
100144603 -0.64257408 -0.1001200 1.70112283 0.0705154 -0.2123573 -1.17995959
100144748 1.50173248 1.5357153 6.32459743 1.5242018 0.5808870 0.26090223
10015 7.56898567 7.7115882 7.13904102 7.8514138 7.7546316 7.83332148
10016 4.84441055 4.8309692 6.21475303 4.9951365 4.8323092 4.98468057
100170229 0.71069716 -0.5412829 1.31332003 1.1811328 0.5808870 0.82038386
100170841 3.90528736 4.0797774 6.84092482 2.6141973 4.4140393 4.18805799
10018 4.48245664 4.7276871 6.13832869 4.7120920 3.8649673 3.75459541
100188847 1.69163958 2.0455479 1.70112283 1.6225484 1.2260722 1.94382820
10019 4.76207527 5.2404028 6.13308686 3.9875456 4.4282401 4.07922063
100190938 2.63652331 2.9201867 2.65928184 2.0334164 2.6170985 2.61302320
1002 -0.25192668 -1.1799596 -0.07050463 1.1811328 -0.2123573 0.26090223
10020 3.45933155 4.1809958 3.48170249 3.3187653 3.6874347 3.27990913
10021 7.30025399 7.7516287 6.97880018 8.4371471 8.0742777 8.14242570
10023 2.32857294 2.8233110 5.93648106 3.1640709 1.4652192 2.31688358
10024 4.08537296 3.3258754 5.15770228 5.8796872 4.2317400 4.65699158
10026 6.12442652 6.4341257 6.09585089 6.8717723 5.8156987 6.00890741
100268168 1.93653486 2.3537420 2.33337583 -0.2392554 0.1030030 0.65687139
100270804 2.00972576 2.6075472 2.00645986 2.8353927 1.5714026 2.20292406
100270827 1.15976496 1.5357153 2.00645986 0.8966431 0.7711668 0.82038386
100270840 4.19926619 4.1005972 3.75171637 4.1612076 3.9851062 4.48480959
100270854 4.87411387 4.2384846 4.69979661 4.4561326 4.9051918 4.23230117
100270865 5.16590717 5.3400663 5.07264295 4.7560883 5.3174524 4.85862648
100271271 2.92841759 3.0109646 3.48170249 3.0972291 3.5382965 3.48885883
100271332 0.30822628 -1.1799596 -0.07050463 -0.2392554 -1.1799596 -1.17995959
100271415 2.14582969 1.5357153 3.23002327 2.6141973 2.1531898 2.61302320
100271479 0.52345119 0.5105031 0.98125850 0.5419215 0.7711668 1.53663568
100271884 -1.17995959 -1.1799596 -1.17995959 -0.6342556 -1.1799596 1.22251015
100272147 1.69163958 3.1769953 3.85720877 2.5655764 2.2838814 2.96731386
100286844 1.59980854 1.5357153 3.19019771 1.8828045 1.2260722 0.65687139
100287015 1.69163958 2.1289848 3.19019771 1.6225484 1.5714026 1.22251015
100287049 1.28298262 1.7616737 2.00645986 0.7301570 1.5714026 1.43933362
100287074 0.30822628 0.2372591 -0.07050463 1.1811328 1.3505953 1.22251015
100287616 2.76891026 2.0455479 1.81024143 2.6141973 2.2838814 2.89575929
100287722 0.87640885 1.2676735 1.31332003 0.8966431 0.7711668 1.79444484
100287808 0.30822628 1.1123226 5.05057076 0.7301570 -0.2123573 0.26090223
100287837 1.50173248 -1.1799596 1.15682197 1.0458890 -1.1799596 0.65687139
100287896 3.10580799 3.0109646 0.54917215 3.1310371 2.4037110 2.93198015
100287902 0.05516694 -0.1001200 2.17915803 -0.6342556 0.9392495 0.96723632
100287928 2.96568356 2.6075472 3.66720493 2.8353927 2.8459023 2.96731386
100287932 5.09199744 5.2590430 5.57602032 5.5202037 5.2787912 5.47666323
100288001 2.14582969 2.4862187 2.17915803 2.3528370 2.4037110 2.31688358
100288073 6.21232169 6.4943646 2.00645986 2.9534699 2.5666370 2.07918476
100288123 1.02503241 1.1123226 1.81024143 1.1811328 1.8498304 1.62778784
100288198 3.07203204 2.5481580 3.57743316 1.3047779 1.9318566 1.10051198
100288241 -1.17995959 -1.1799596 -1.17995959 -1.1799596 -1.1799596 -1.17995959
100288413 3.13881125 2.6645879 3.06366670 3.9310914 3.0433373 2.85860558
100288513 -0.25192668 -1.1799596 0.27235211 -1.1799596 -0.2123573 0.01294308
100288842 2.68201555 2.5481580 0.98125850 2.0334164 1.6703038 1.22251015
100289061 -0.25192668 0.7401441 2.82448205 0.7301570 0.9392495 0.65687139
100289095 0.71069716 0.7401441 1.70112283 1.9600750 0.3616422 1.22251015
100289133 2.89016343 2.5481580 2.65928184 2.5655764 3.8009252 3.06840174
100289178 2.54099511 2.9201867 2.65928184 3.2891250 2.5666370 2.65696754
100289211 0.71069716 0.5105031 -1.17995959 2.1032091 1.3505953 1.22251015
100289259 2.14582969 1.6531137 0.54917215 1.0458890 0.9392495 2.20292406
100289274 5.14980690 5.4084550 4.72788527 3.8317958 2.7130164 2.78129832
100289341 0.87640885 1.6531137 3.57743316 0.0705154 0.7711668 0.65687139
100289373 2.58954975 2.5481580 4.38398091 1.8828045 1.5714026 0.96723632
100289388 2.43869013 2.7723192 2.82448205 2.5152597 0.7711668 2.37065632
100289414 1.02503241 1.1123226 -0.07050463 0.8966431 -1.1799596 0.26090223
100289635 5.73418744 5.8751646 4.00225818 5.8239338 5.4062193 5.48887233
100289640 2.20935108 2.2826436 2.09539151 2.1032091 2.7130164 1.53663568
100289678 3.26375572 3.4608187 4.15488752 2.8758351 2.5666370 3.06840174
100293516 3.48522615 3.3949242 2.71647639 3.6337814 3.5118694 3.64975192
100294362 2.27019320 1.4079105 1.81024143 1.3047779 0.3616422 1.94382820
1003 3.35083899 2.5481580 1.81024143 3.0626099 3.1153197 3.00180285
100302692 2.32857294 2.9201867 2.65928184 2.4631245 2.4037110 1.87106914
100302736 3.35083899 3.5238345 0.98125850 1.5242018 1.0897770 1.43933362
100303728 2.72611702 2.9201867 2.97269413 3.2891250 3.0059528 3.38816353
100303755 1.28298262 1.1123226 -1.17995959 1.5242018 1.9318566 1.79444484
100312828 1.69163958 1.7616737 0.54917215 1.3047779 0.9392495 1.10051198
100312850 -0.25192668 0.2372591 -1.17995959 1.3047779 0.9392495 0.26090223
10036 4.34779882 3.6978791 4.29290323 6.2152971 5.0221577 4.92302982
100379345 2.14582969 1.5357153 0.54917215 0.5419215 1.5714026 1.10051198
10038 5.97709173 5.8871974 3.85720877 6.5667267 6.1895164 6.11511616
100381270 0.30822628 1.8626333 0.54917215 1.3047779 0.3616422 1.33499137
10039 3.90528736 4.2937701 2.09539151 3.3187653 3.7789301 4.20295698
1004 1.28298262 1.2676735 1.91168399 1.7146166 2.0094690 2.01309332
10040 4.72994638 4.9156476 3.19019771 4.3738078 3.9262870 4.04655417
100418710 1.15976496 1.2676735 2.25832660 0.7301570 1.5714026 1.43933362
100418735 0.52345119 1.5357153 1.58307073 1.8011600 1.3505953 0.65687139
100418744 1.50173248 -0.1001200 2.17915803 1.6225484 1.5714026 0.82038386
100418770 -0.25192668 -1.1799596 -1.17995959 -1.1799596 -0.6165145 -0.66524903
100418781 2.14582969 1.7616737 0.54917215 1.8011600 2.8029528 1.94382820
100418819 1.39649960 1.6531137 1.45449086 1.6225484 2.1531898 2.01309332
100418829 1.28298262 1.2676735 -1.17995959 0.5419215 1.7628578 1.10051198
100418888 0.71069716 1.6531137 0.78133143 0.8966431 0.1030030 0.96723632
100418889 2.68201555 2.4215004 2.40471328 2.9534699 2.6658544 2.78129832
100418910 -0.64257408 0.2372591 0.54917215 -1.1799596 1.0897770 1.33499137
100418919 2.58954975 2.7194589 2.53760523 2.8353927 2.2200150 2.42249663
100419028 1.15976496 2.4215004 2.25832660 1.7146166 1.8498304 2.14238063
100419185 0.87640885 1.5357153 -1.17995959 0.3253876 0.9392495 0.65687139
100419416 1.15976496 0.5105031 1.45449086 1.8828045 0.5808870 1.43933362
100419515 -1.17995959 -0.1001200 -1.17995959 -1.1799596 0.3616422 0.47242934
100419645 -0.25192668 -0.1001200 -1.17995959 -0.2392554 0.1030030 -0.66524903
100419758 1.28298262 1.4079105 2.09539151 2.3528370 1.0897770 1.62778784
100419928 2.54099511 2.9662895 1.31332003 2.4631245 2.5143464 2.31688358
10042 4.44336234 4.9618934 4.88581835 5.6482970 5.4762352 5.31463452
100420028 1.39649960 1.1123226 1.91168399 0.0705154 -0.6165145 0.26090223
100420050 -0.25192668 -0.1001200 1.15682197 1.6225484 0.1030030 0.47242934
100420110 2.89016343 2.9201867 3.26877892 2.3528370 2.2200150 2.01309332
100420187 -0.25192668 0.9382017 -0.07050463 -0.6342556 -0.2123573 -1.17995959
100420259 3.94314779 4.0586527 3.66720493 4.1447524 4.6260111 3.94386760
100420307 0.05516694 -0.1001200 0.98125850 0.0705154 0.3616422 0.26090223
100420341 7.32555824 7.1820473 4.87329788 5.7222464 5.0499753 5.41401810
100420423 0.87640885 0.5105031 1.70112283 1.1811328 1.2260722 1.33499137
100420591 0.30822628 0.2372591 0.27235211 0.0705154 1.2260722 0.01294308
100420707 3.10580799 2.7723192 2.09539151 2.9151746 2.6170985 2.61302320
100420752 2.58954975 2.2826436 1.58307073 1.6225484 1.0897770 0.82038386
100420869 4.08537296 4.1413565 5.18834960 4.7232175 4.2317400 4.33054597
100420981 5.95409756 6.0405206 6.02404031 6.0484101 5.8894041 6.04656334
100421093 3.86640654 3.6421650 4.33002708 3.6571737 4.0041916 3.64975192
100421109 0.30822628 -0.5412829 0.54917215 1.0458890 -0.2123573 0.47242934
100421160 1.28298262 0.9382017 0.78133143 1.3047779 1.5714026 0.26090223
100421175 0.30822628 1.1123226 2.00645986 2.4090343 1.2260722 0.65687139
100421246 0.05516694 -0.1001200 0.54917215 0.0705154 0.5808870 -1.17995959
100421311 1.85943145 1.9569875 1.70112283 1.3047779 1.8498304 1.79444484
100421372 2.14582969 1.9569875 3.37916525 2.5655764 1.3505953 1.33499137
100421400 1.69163958 2.2078590 2.17915803 2.1697807 2.8459023 2.74103362
100421415 -0.25192668 1.1123226 -1.17995959 1.1811328 -0.2123573 2.01309332
100421429 -1.17995959 0.2372591 -0.07050463 0.3253876 -0.2123573 1.10051198
100421465 0.05516694 1.2676735 -0.07050463 1.1811328 0.7711668 1.71352149
100421468 1.69163958 1.9569875 2.00645986 2.6612328 1.9318566 1.94382820
100421506 -0.25192668 0.9382017 2.25832660 0.7301570 1.3505953 0.01294308
100421569 1.02503241 1.1123226 1.91168399 1.1811328 0.3616422 0.82038386
100421595 -0.25192668 -1.1799596 -1.17995959 -1.1799596 -1.1799596 -0.66524903
100421794 -0.25192668 -0.5412829 -1.17995959 -0.6342556 -1.1799596 -0.28666343
100422106 0.71069716 1.4079105 1.45449086 1.4186574 1.8498304 2.01309332
100422338 2.58954975 2.4862187 2.71647639 2.9151746 2.6170985 2.37065632
100422546 2.20935108 1.1123226 2.09539151 1.5242018 0.3616422 0.01294308
100422561 3.92434177 4.2195751 2.97269413 3.5612387 3.4849491 3.48885883
10043 5.67354153 5.5664606 5.11579940 5.7166906 5.7208212 6.07518654
10044 1.02503241 0.5105031 2.71647639 1.4186574 1.3505953 0.96723632
10045 0.52345119 0.7401441 1.31332003 -0.2392554 0.5808870 0.96723632
10046 0.52345119 -0.1001200 0.27235211 1.4186574 0.3616422 1.33499137
10048 6.47715366 6.7230390 7.20047124 7.1545941 7.0050192 6.82772409
10049 6.07412638 5.9343493 7.46111154 6.2503275 5.9497151 6.06298893
100499177 2.96568356 3.0109646 3.66720493 3.4315879 3.0433373 3.25152692
100499483 2.49074927 2.7194589 2.53760523 3.5612387 2.8459023 3.00180285
1005 0.30822628 -0.5412829 2.92496211 1.3047779 -1.1799596 0.26090223
100500719 0.71069716 -0.1001200 1.31332003 -1.1799596 -1.1799596 0.82038386
100505385 1.93653486 2.4215004 2.97269413 3.1640709 1.7628578 2.65696754
100505501 2.07938214 2.2078590 3.41416035 1.0458890 2.1531898 1.22251015
100505538 1.39649960 2.2078590 4.31158456 2.0334164 1.0897770 1.43933362
100505549 1.69163958 0.9382017 0.54917215 1.6225484 0.1030030 0.96723632
100505573 5.85330826 6.0934121 7.06940035 6.8104995 6.9883431 7.10457732
100505576 2.54099511 2.8233110 3.72409232 3.3187653 2.6170985 2.82046971
100505616 0.30822628 1.1123226 1.70112283 1.1811328 -0.2123573 0.01294308
100505624 1.28298262 1.4079105 -0.52111235 1.6225484 1.8498304 0.65687139
100505635 -1.17995959 -1.1799596 -0.07050463 -1.1799596 0.3616422 0.82038386
100505641 1.59980854 2.8725618 2.47268886 3.3762792 1.8498304 2.01309332
100505648 2.92841759 3.6134798 3.23002327 2.7509392 1.7628578 3.00180285
100505678 2.00972576 2.9201867 2.59972593 3.2588629 2.8029528 2.74103362
100505696 5.24381883 5.6814797 5.76409231 5.2080895 4.1484136 4.71010320
100505715 1.28298262 0.5105031 0.27235211 1.1811328 1.0897770 1.10051198
100505738 2.68201555 2.9201867 3.34330014 2.6612328 2.4037110 3.30774374
100505741 1.28298262 1.2676735 2.92496211 1.3047779 0.5808870 0.47242934
100505758 3.82644878 3.4608187 3.60798198 3.9875456 3.8439342 3.87111058
100505761 4.10220433 4.5872303 3.19019771 3.4848544 3.3119399 3.36185189
100505771 1.28298262 1.9569875 2.00645986 1.8828045 1.7628578 2.56769816
100505783 2.96568356 3.5842126 5.73670647 2.6141973 2.5143464 3.33505146
100505806 6.42124299 6.0724876 4.79580362 5.0403161 5.0127647 5.05205630
100505812 2.68201555 1.5357153 -0.07050463 1.4186574 0.9392495 1.62778784
100505832 1.02503241 2.3537420 3.30652064 1.9600750 1.6703038 1.79444484
100505854 5.07504586 4.3643354 6.60762843 3.8921893 3.5382965 3.96149766
100505876 4.66345895 4.5872303 4.58163137 4.7008800 4.3705782 4.43519882
100505894 3.07203204 3.4608187 3.44832665 3.5107678 3.4575169 3.87111058
100505933 0.87640885 1.2676735 1.31332003 0.5419215 1.2260722 1.33499137
100505994 1.59980854 2.5481580 0.98125850 0.0705154 0.9392495 0.96723632
100506020 0.05516694 0.5105031 -1.17995959 1.1811328 0.9392495 1.33499137
100506033 4.98716499 4.6450640 5.14734011 5.4143554 4.7442409 4.56772373
100506054 2.49074927 2.1289848 2.47268886 1.8828045 2.1531898 1.62778784
100506068 1.02503241 0.9382017 2.53760523 2.3528370 1.6703038 2.07918476
100506070 1.28298262 1.4079105 0.54917215 1.9600750 0.7711668 0.96723632
100506083 1.28298262 1.8626333 0.78133143 1.8828045 0.3616422 0.96723632
100506100 -0.25192668 -0.1001200 -0.07050463 1.0458890 0.7711668 1.71352149
100506119 1.93653486 1.6531137 2.00645986 0.7301570 1.0897770 1.62778784
100506127 2.32857294 2.0455479 1.58307073 3.5612387 2.1531898 3.06840174
100506142 0.87640885 1.6531137 0.54917215 0.7301570 0.9392495 0.65687139
100506144 2.27019320 1.2676735 -0.52111235 1.7146166 0.5808870 0.47242934
100506161 1.28298262 0.9382017 1.45449086 1.7146166 -0.2123573 0.26090223
100506211 2.07938214 1.1123226 -0.07050463 2.2334154 5.5879787 5.83809861
100506235 1.15976496 1.6531137 3.85720877 2.2943615 1.3505953 2.26102874
100506258 2.20935108 2.7723192 1.45449086 2.4631245 1.2260722 1.94382820
100506282 2.20935108 1.8626333 3.06366670 2.7509392 2.5143464 2.61302320
100506286 1.15976496 2.8233110 3.83154999 2.6141973 1.7628578 1.94382820
100506302 0.87640885 2.0455479 1.81024143 2.1032091 1.7628578 1.33499137
100506321 0.71069716 1.1123226 1.31332003 0.3253876 0.7711668 1.10051198
100506325 1.50173248 1.2676735 1.45449086 1.4186574 0.5808870 0.47242934
100506343 1.15976496 -0.1001200 2.00645986 1.3047779 0.9392495 1.22251015
100506365 5.67354153 5.7555509 4.72788527 5.5641773 5.6679463 5.38164501
100506368 0.87640885 0.2372591 0.54917215 1.0458890 1.0897770 0.26090223
100506380 4.36184445 4.1809958 3.44832665 4.3738078 4.4423025 4.18805799
100506392 3.98004000 3.6978791 2.82448205 3.4041986 3.8439342 4.21770368
100506394 1.69163958 0.9382017 3.34330014 1.8828045 0.7711668 1.62778784
100506411 1.59980854 1.2676735 4.11290160 2.1697807 1.3505953 1.33499137
100506433 2.72611702 3.6421650 2.47268886 4.1935654 2.7586853 2.85860558
100506462 -0.64257408 0.5105031 4.19568603 1.0458890 0.9392495 0.01294308
100506469 4.99619792 5.4496081 4.50254042 5.1841339 4.5758659 4.83968483
100506495 -0.25192668 0.5105031 3.54622345 1.8011600 0.9392495 0.47242934
100506504 1.69163958 1.8626333 2.97269413 1.6225484 1.8498304 2.52090282
100506540 0.52345119 0.9382017 2.87559668 2.3528370 0.9392495 1.10051198
100506581 0.71069716 1.7616737 0.78133143 1.1811328 1.3505953 0.82038386
100506606 1.50173248 1.8626333 2.17915803 0.3253876 1.2260722 1.22251015
100506658 4.19926619 3.9481247 3.72409232 1.8828045 2.5666370 1.79444484
100506668 2.27019320 3.1372444 3.80542658 2.2943615 2.6658544 2.07918476
100506686 1.85943145 1.8626333 1.70112283 2.2334154 1.5714026 1.62778784
100506691 1.28298262 2.5481580 -0.07050463 0.7301570 0.3616422 -0.28666343
100506696 2.96568356 2.7194589 4.17543099 1.8011600 3.3119399 3.25152692
100506697 2.32857294 1.4079105 -1.17995959 1.0458890 0.3616422 0.65687139
100506710 7.07579833 7.3059909 7.09118849 6.6331143 6.2427142 6.36076231
100506713 -0.25192668 -0.5412829 -0.07050463 0.5419215 0.3616422 0.65687139
100506725 3.65453616 2.7194589 2.47268886 3.9310914 3.5118694 3.33505146
100506731 2.38468190 2.0455479 3.90719658 2.2943615 1.4652192 0.82038386
100506757 0.52345119 0.5105031 1.91168399 0.5419215 0.3616422 0.82038386
100506779 -0.25192668 -1.1799596 2.00645986 0.0705154 0.1030030 -0.28666343
100506804 0.30822628 0.5105031 1.91168399 1.1811328 0.7711668 0.47242934
100506826 1.02503241 1.2676735 0.78133143 1.7146166 1.5714026 1.22251015
100506844 3.82644878 4.0372142 3.41416035 3.5107678 3.1838807 3.16286795
100506866 6.94662495 6.5254923 5.18834960 6.8000295 7.1872366 7.37344061
100506881 1.02503241 -0.1001200 4.71390930 0.0705154 0.3616422 -0.28666343
100506885 0.30822628 1.2676735 1.15682197 0.3253876 0.7711668 0.65687139
100506911 0.30822628 0.2372591 0.27235211 1.0458890 1.3505953 1.33499137
100506922 3.17107637 3.2156803 4.95874166 2.6612328 2.6658544 3.16286795
100506930 4.69708564 4.7410090 4.25479882 4.8299940 4.4423025 4.37068563
100506994 0.30822628 0.5105031 1.81024143 1.4186574 0.9392495 0.96723632
100507003 2.85086724 3.7776127 1.15682197 1.8011600 2.4600889 2.82046971
100507032 2.63652331 2.4215004 2.09539151 2.0334164 2.0094690 2.61302320
100507034 3.63153192 3.3258754 4.02507613 3.3478088 2.6170985 3.48885883
100507050 -1.17995959 -1.1799596 2.09539151 -1.1799596 1.3505953 0.26090223
100507053 1.93653486 1.1123226 3.06366670 1.9600750 2.2838814 1.87106914
100507057 2.38468190 2.3537420 1.81024143 1.8828045 0.3616422 1.79444484
100507062 0.30822628 0.5105031 4.46964868 1.3047779 0.3616422 1.33499137
100507071 0.05516694 1.2676735 0.54917215 0.5419215 0.7711668 0.01294308
100507156 2.58954975 2.1289848 3.14924147 2.1032091 2.7586853 3.53668794
100507171 3.76435720 3.7776127 2.65928184 2.8758351 3.0433373 2.47253860
100507173 1.28298262 0.9382017 0.54917215 0.8966431 -0.6165145 0.26090223
100507178 0.05516694 1.1123226 1.58307073 1.8828045 0.5808870 0.96723632
100507244 0.05516694 -0.5412829 0.27235211 1.3047779 0.5808870 0.01294308
100507246 2.54099511 2.6075472 1.58307073 1.8828045 2.8459023 3.10058268
100507250 0.87640885 -0.1001200 -0.52111235 0.3253876 0.5808870 -0.28666343
100507254 0.05516694 -1.1799596 -1.17995959 -0.6342556 -0.2123573 -0.28666343
100507266 1.85943145 1.4079105 1.70112283 -0.6342556 1.5714026 1.79444484
100507290 4.44336234 4.9956301 4.33002708 5.0579991 5.1390077 4.97603298
100507291 1.77797351 1.6531137 2.00645986 2.1697807 2.4600889 1.53663568
100507303 3.84656599 3.4926706 3.80542658 3.9117715 3.1153197 3.58298214
100507308 0.52345119 1.1123226 2.25832660 1.4186574 0.7711668 0.96723632
100507316 2.58954975 2.8725618 1.91168399 1.5242018 2.2200150 2.07918476
100507331 2.20935108 2.4215004 3.26877892 2.6141973 1.4652192 1.94382820
100507347 1.77797351 1.7616737 3.06366670 1.5242018 1.7628578 1.10051198
100507373 2.27019320 2.2826436 3.06366670 1.9600750 0.1030030 1.71352149
100507392 1.02503241 0.2372591 2.33337583 -1.1799596 0.3616422 -0.28666343
100507398 1.59980854 2.7194589 3.51432364 2.2943615 1.0897770 2.07918476
100507401 0.71069716 1.4079105 1.70112283 1.8828045 0.1030030 1.53663568
100507420 -0.25192668 0.9382017 0.54917215 1.4186574 -1.1799596 0.65687139
100507433 1.59980854 1.6531137 3.97907353 2.2943615 2.4600889 2.65696754
100507436 -1.17995959 1.6531137 2.33337583 1.0458890 0.1030030 -1.17995959
100507437 2.81047065 2.9201867 1.15682197 2.9151746 2.9281459 2.37065632
100507459 2.68201555 2.4862187 4.38398091 2.1697807 2.4037110 2.14238063
100507463 0.30822628 -0.1001200 1.91168399 0.0705154 -0.2123573 -0.66524903
100507487 2.68201555 3.0109646 3.34330014 2.4090343 0.3616422 2.26102874
100507495 3.07203204 1.4079105 3.97907353 2.3528370 2.1531898 1.33499137
100507516 1.02503241 -0.1001200 -1.17995959 0.3253876 -0.2123573 0.01294308
100507551 1.77797351 1.6531137 2.47268886 1.1811328 1.3505953 2.37065632
100507557 1.28298262 2.5481580 2.40471328 1.4186574 1.3505953 0.82038386
100507564 -0.64257408 -0.1001200 0.98125850 -0.2392554 -1.1799596 -0.28666343
100507567 2.20935108 1.8626333 1.45449086 1.0458890 0.7711668 1.22251015
100507588 1.77797351 -0.5412829 0.78133143 -0.2392554 0.9392495 0.26090223
100507599 2.27019320 1.6531137 3.26877892 3.1640709 2.0831183 2.47253860
100507602 2.81047065 2.6075472 2.92496211 2.4631245 3.1153197 1.79444484
100508120 3.45933155 3.2156803 1.31332003 2.5152597 2.3450399 2.20292406
10051 6.74436735 6.5022097 7.19041280 8.9084670 7.5178673 7.56581143
10052 1.77797351 1.8626333 2.25832660 2.0334164 1.6703038 2.52090282
100526737 2.00972576 2.7194589 2.53760523 2.5152597 2.0831183 2.20292406
100526760 1.15976496 0.9382017 0.98125850 1.3047779 0.9392495 1.33499137
100526820 -0.25192668 1.2676735 1.70112283 1.8011600 1.0897770 1.43933362
100526835 3.96171181 3.8284210 0.27235211 4.0769880 3.5897414 4.12687400
100527978 1.69163958 2.3537420 0.54917215 1.4186574 0.5808870 1.10051198
100529145 1.39649960 1.9569875 -0.07050463 1.1811328 1.4652192 1.43933362
100529215 1.02503241 0.5105031 -1.17995959 1.0458890 0.5808870 0.82038386
100532746 3.90528736 4.2755760 5.33252034 4.1935654 3.9851062 4.27522781
100533106 1.59980854 1.4079105 0.54917215 1.4186574 0.7711668 0.82038386
100533182 1.02503241 1.6531137 2.59972593 1.5242018 0.5808870 1.62778784
100533619 0.05516694 1.2676735 4.40152626 0.8966431 -0.2123573 0.82038386
100533629 1.59980854 -0.1001200 1.45449086 1.3047779 1.8498304 1.71352149
100533695 0.71069716 0.5105031 1.91168399 0.3253876 0.1030030 0.82038386
100533970 0.87640885 0.5105031 2.47268886 1.3047779 1.8498304 1.53663568
100534593 1.93653486 0.9382017 2.40471328 2.2334154 1.5714026 2.52090282
10054 5.77674545 5.8071283 5.72281611 6.0919763 5.9644070 6.00890741
10056 5.92127732 6.0724876 5.12638977 6.4510372 5.7773841 5.62784916
10057 7.55224033 7.6721442 8.39834583 8.1116621 7.6509737 7.90909645
10058 5.62777700 5.6465113 5.35970288 4.5958469 5.5560018 5.94830518
10059 6.43791342 6.6294362 6.76840033 7.4574219 7.4323840 7.31463833
1006 3.10580799 4.2195751 2.40471328 3.4848544 4.1136871 4.50898955
10060 4.59375875 4.8058335 5.48019267 4.6781912 4.8535112 5.23713972
100616256 0.05516694 -0.5412829 2.09539151 1.8828045 1.7628578 0.96723632
10062 2.63652331 3.0542977 1.58307073 2.8758351 1.7628578 2.26102874
10063 3.69947263 3.2533550 3.83154999 3.8921893 3.9262870 4.02993931
100652739 0.71069716 0.5105031 -0.07050463 0.3253876 -1.1799596 -0.28666343
100652758 0.52345119 2.0455479 4.00225818 0.5419215 -0.2123573 0.47242934
100652846 1.15976496 1.5357153 2.25832660 3.2891250 3.0059528 3.41400387
10066 6.58586147 6.5894895 6.29673882 6.3216000 6.5130335 6.35076283
10067 6.74971844 6.7129335 5.75729443 6.4643593 6.3170978 6.05068731
10068 3.17107637 3.6702910 4.84792618 3.6801928 3.4295530 3.46433620
10069 3.53566139 3.4926706 5.55265351 3.1963653 3.3119399 3.06840174
10072 3.65453616 4.1613123 5.73670647 4.7882268 4.9353343 4.54451620
10073 3.26375572 3.3608129 3.48170249 3.8921893 4.2478430 3.85233319
10075 8.81648521 8.9447714 9.02326591 9.2259807 8.7769329 8.79920833
10076 4.75144494 5.3046165 4.46964868 5.4549640 5.0314900 5.18556535
10077 2.89016343 4.5422809 3.06366670 4.4017746 5.0499753 5.34852879
100775107 1.39649960 1.4079105 0.27235211 1.4186574 1.0897770 0.82038386
10078 4.80383019 5.0923505 5.77759272 5.0042863 4.7999103 4.71010320
10079 4.90321795 5.6814797 4.46964868 5.2159871 4.2317400 3.85233319
1008 2.27019320 3.4282477 0.78133143 4.1112680 2.6170985 2.85860558
10081 5.51916882 5.3224502 6.71677508 5.5579768 5.3845344 5.07653249
10082 7.88204296 7.9539501 6.65959261 7.9879750 7.7949177 7.72523950
100820829 4.41669824 4.7930995 4.02507613 6.2920185 5.8264614 5.82852314
10084 5.09199744 5.2215185 4.62708501 5.4212033 5.1476161 5.29390902
100847074 2.14582969 2.5481580 2.09539151 1.8828045 2.2838814 1.71352149
10085 8.48467719 7.8455816 7.73466092 7.5848704 7.5045258 7.69525919
100852407 1.39649960 1.8626333 0.54917215 -0.6342556 0.7711668 -0.28666343
100861412 1.59980854 -0.5412829 -0.07050463 1.0458890 0.5808870 0.96723632
100861548 4.65207359 4.9504701 5.68032410 4.1281074 3.9657651 3.73422740
100862671 0.05516694 1.9569875 0.98125850 1.0458890 1.6703038 1.43933362
10087 6.07412638 6.7627673 8.03366055 6.8078891 6.2346565 6.62693082
100873257 0.05516694 0.2372591 -0.07050463 0.5419215 0.1030030 1.33499137
100873333 3.26375572 3.2533550 3.80542658 3.6100035 3.0059528 3.19303039
100873790 3.78535272 3.6421650 5.05057076 4.8504327 4.4972204 4.49695023
100873949 1.15976496 1.5357153 -0.52111235 1.6225484 1.5714026 2.07918476
100873952 0.71069716 0.7401441 0.78133143 0.0705154 -1.1799596 -0.28666343
100873965 1.02503241 2.2078590 2.17915803 2.1032091 2.2838814 2.01309332
100874006 0.30822628 0.7401441 -0.52111235 -1.1799596 -0.2123573 1.10051198
100874008 0.71069716 -0.1001200 2.33337583 2.3528370 0.5808870 1.33499137
100874014 3.51066415 3.2900708 0.78133143 3.8723377 2.8876101 3.00180285
100874058 1.59980854 0.9382017 0.54917215 1.0458890 0.7711668 -0.28666343
100874080 -0.64257408 0.5105031 0.27235211 0.3253876 0.1030030 1.10051198
100874097 2.00972576 1.5357153 1.81024143 1.8011600 0.5808870 1.22251015
100874201 1.39649960 -0.1001200 -0.52111235 0.0705154 0.1030030 0.65687139
100874212 0.71069716 0.9382017 1.70112283 0.7301570 0.1030030 1.22251015
100874217 0.52345119 1.4079105 0.54917215 1.1811328 0.1030030 0.26090223
100874235 0.52345119 0.2372591 1.45449086 1.9600750 1.7628578 2.31688358
100874261 1.02503241 0.7401441 3.75171637 -0.6342556 0.7711668 -0.28666343
100874291 -0.64257408 0.5105031 0.54917215 -1.1799596 1.3505953 1.22251015
100874362 2.43869013 2.4862187 4.74172714 2.7937838 1.9318566 2.42249663
100874523 2.20935108 2.2078590 -0.07050463 2.0334164 2.6658544 2.56769816
100885775 4.10220433 3.7776127 3.44832665 4.0418736 5.6619499 5.01876171
100885776 1.85943145 1.9569875 1.45449086 1.1811328 0.7711668 0.26090223
100885848 4.15155137 3.8775006 4.19568603 4.3161933 5.4830535 5.43309890
1009 8.31547564 8.1096959 6.22464377 8.4771279 8.1055425 8.32290331
10090 4.10220433 3.7515214 5.28604602 4.5340121 4.0416211 4.21770368
10092 6.86761449 6.8967648 6.67048839 6.6003023 6.7377592 6.78628078
10093 6.27304126 6.0882094 6.35643348 6.2994709 6.3170978 6.60185595
10094 5.53784752 5.4000816 5.38638273 5.0667600 5.0499753 5.01876171
10095 5.39489963 5.7620998 5.93045042 5.1182366 4.8847412 4.92302982
10097 7.65420183 7.7384050 7.67278840 7.7692629 7.6509737 7.59998215
10098 6.41114748 6.5138980 4.58163137 6.8767629 6.5908444 6.66239758
10099 8.35023643 8.1980801 8.07388335 8.4354570 8.2594119 8.22867573
100996246 -0.25192668 -1.1799596 -0.52111235 0.7301570 0.7711668 0.65687139
100996251 0.30822628 0.2372591 2.87559668 0.3253876 1.2260722 0.65687139
100996307 -0.64257408 -0.1001200 0.27235211 0.0705154 -0.6165145 0.96723632
100996384 0.87640885 0.7401441 1.81024143 1.4186574 1.4652192 1.87106914
100996419 1.50173248 1.4079105 2.40471328 2.1032091 0.7711668 2.07918476
100996485 1.39649960 1.2676735 2.71647639 2.1697807 2.0831183 2.56769816
100996539 0.30822628 0.9382017 3.10708849 0.3253876 0.5808870 1.22251015
100996579 2.07938214 1.2676735 0.98125850 0.7301570 1.7628578 0.65687139
100996696 2.58954975 1.5357153 1.81024143 2.9907748 2.8029528 2.56769816
100996842 1.02503241 -0.1001200 1.45449086 0.7301570 0.9392495 1.33499137
100996851 0.05516694 0.2372591 0.78133143 0.7301570 -1.1799596 -0.28666343
100996939 1.85943145 1.7616737 -1.17995959 1.9600750 1.2260722 1.53663568
101 2.89016343 2.6075472 3.41416035 2.7937838 2.5666370 2.52090282
1010 -1.17995959 -1.1799596 -1.17995959 -1.1799596 -0.2123573 -1.17995959
10100 4.03366757 3.9709181 4.65661084 4.8402495 6.7377592 6.38382839
10101 5.46163636 5.7357239 6.46472073 5.5641773 5.5166697 5.32147738
10102 5.18972561 4.7930995 4.17543099 5.5454953 4.7999103 4.94977480
10103 1.39649960 2.7194589 1.70112283 0.3253876 0.5808870 1.10051198
10105 6.39416304 6.2692134 7.02481135 6.8234810 7.3264295 7.19863695
10106 7.69776495 7.9568075 7.99950315 7.5894375 7.2182149 7.29217225
101060200 3.58439286 3.5238345 2.87559668 3.5362239 2.2200150 3.33505146
101060691 0.71069716 2.6645879 -0.07050463 2.4631245 2.3450399 2.52090282
10109 7.79024996 7.6493633 7.92411686 7.8615187 7.9689326 7.87345359
10112 5.45509991 4.1809958 6.31999152 7.9705744 6.3621748 6.16542543
10113 7.05649679 6.8636530 5.39516748 6.0703576 6.2666206 6.13078362
10114 7.60928221 7.9015248 8.71310615 8.2783880 8.3404893 8.44385671
101154753 0.87640885 0.7401441 0.54917215 0.0705154 0.3616422 -0.28666343
10116 7.89175635 8.1032627 6.70974999 7.3430790 8.0342191 7.94277086
10117 2.76891026 3.1372444 3.63789732 1.5242018 2.6658544 1.22251015
1012 7.48965534 7.1942057 6.75481322 6.0790440 6.0587057 6.11117256
10121 5.96333925 5.9343493 6.09585089 6.5068258 6.3132770 6.25393208
10123 5.28862300 5.1927204 4.71390930 5.2080895 5.3250619 5.27288144
101241892 4.31929053 4.1413565 4.45291726 5.1182366 5.0221577 5.50097897
10125 1.15976496 -1.1799596 3.34330014 2.0334164 2.6170985 2.93198015
10126 3.40610488 3.6421650 3.69592900 4.0418736 3.6874347 3.83330818
TNFa_24_H6 H2O_24_H6 BPA_24_H6 PFOA_24_H6 EtOH_24_H6 TUN_2_H7
100 3.8061577 2.96094181 3.7609699 3.7572007 3.4436449 3.1794003
1000 11.2853128 11.23431903 11.2179017 11.1374571 11.1495689 11.3309264
10000 5.7261794 5.22404047 5.5038158 5.9282177 5.8103307 5.7609980
10001 4.5025183 4.33398324 4.5995488 4.3885764 4.3333760 4.2602589
10003 5.7433829 6.30245572 6.1071505 6.3779118 6.1630564 4.5619770
100037417 3.3474228 3.60801616 3.4443126 3.0996925 3.4436449 2.3774264
100049716 3.0484518 2.27749031 2.1135302 2.5221029 2.3450801 2.6746350
10005 4.1875961 4.40715555 4.1836302 4.5496857 4.2826922 3.8488354
10006 6.1482878 6.09665572 6.3669474 6.3901253 6.2967751 6.3126776
10007 5.2762747 5.26398405 5.5267992 5.1328433 5.3258641 4.6499893
10009 4.9105157 4.91842936 4.6973324 4.8964490 4.7363161 5.3419631
100093630 4.0094465 3.58297012 3.7083275 3.3701599 3.6968923 4.1438216
1001 6.1134263 5.89265516 6.1571074 6.2226674 6.0614853 6.4066345
10010 5.2524392 4.79299238 4.5703485 5.3232181 4.9353776 5.0239545
100101267 2.2249073 2.33862238 2.2670128 1.9915281 1.7895428 2.1058721
100101467 4.8900639 5.17460095 5.1062210 5.0885621 5.2040473 4.1678730
10011 5.1269703 5.29516128 4.9675137 5.2844852 5.3669921 5.4635378
100113386 2.1580579 2.79636876 2.1135302 1.7090862 1.5816410 0.9465181
100113397 0.7751747 0.76595846 0.9249822 0.5868163 1.3386519 0.4145415
100113407 3.8061577 3.99735579 3.6536912 2.9091578 3.9343122 3.9354487
100125288 2.8509745 1.75674437 0.9249822 2.1144008 1.8832413 1.6396477
100127983 2.7637368 3.14332819 3.2736518 3.3199715 2.6417232 2.4576626
100128006 3.1204483 2.79636876 3.3094373 2.8396118 3.1738438 2.3774264
100128016 0.5846980 0.57593521 0.4986544 1.1433750 1.7895428 0.4145415
100128025 0.1061882 0.76595846 0.4986544 0.5868163 1.5816410 1.4950437
100128054 0.9434109 1.84366336 -0.1091572 0.8917693 1.6893337 1.1534072
100128071 1.0940615 1.08420798 0.9249822 2.1144008 1.4652562 1.6396477
100128191 1.6749591 2.00321163 2.6485924 1.7090862 1.5816410 2.0026695
100128252 1.0940615 1.45931564 2.1135302 1.3575483 1.5816410 1.1534072
100128379 -1.1799596 -1.17995959 -1.1799596 1.3575483 -0.5705930 -1.1799596
100128398 4.5025183 4.64353911 4.5405450 4.6945971 4.3333760 3.8488354
100128494 3.4062143 3.39430119 3.0380172 3.3701599 3.0580656 3.1794003
100128569 1.5760048 1.84366336 1.8475322 2.3326062 1.8832413 2.2924636
100128640 0.3651917 0.76595846 0.4986544 0.5868163 0.8743803 0.7049121
100128682 1.6749591 2.07682256 2.5322636 1.8572080 2.6943771 2.0026695
100128731 6.4040671 6.24373834 6.3325772 6.1237406 6.3052640 6.0726353
100128766 -0.6147654 -1.17995959 -0.5474115 -1.1799596 0.6791935 -0.4372633
100128782 2.9332364 2.56013230 2.1923116 2.8396118 2.8876514 2.2924636
100128822 2.5193330 2.33862238 2.1923116 1.7090862 2.9321790 2.3774264
100128833 2.3499747 2.50786104 2.9039957 2.9755050 1.6893337 2.8030435
100128881 2.6708826 2.27749031 2.5916002 2.7665427 2.6943771 2.1058721
100128893 6.0129720 6.71643491 6.4292645 6.2696980 6.2925119 5.2771048
100129001 0.1061882 0.57593521 0.4986544 -0.3311811 0.4534051 -0.4372633
100129013 1.6749591 1.56541920 1.9417537 2.6082674 1.9712236 2.6746350
100129029 0.1061882 0.09886635 -1.1799596 -0.3311811 0.4534051 0.0506126
100129060 3.4627036 3.91946194 3.7609699 3.7944351 3.4740810 3.2710739
100129075 2.5716385 1.92564194 2.9947121 2.1144008 2.3450801 0.9465181
100129195 3.3171035 2.88100069 2.5322636 3.2679740 2.2776604 2.1058721
100129203 0.7751747 1.08420798 0.2265237 -0.3311811 -0.1435065 1.4950437
100129250 1.5760048 1.56541920 0.9249822 0.8917693 2.0541475 1.7710690
100129259 0.3651917 0.93384097 -0.1091572 0.8917693 1.1998593 0.0506126
100129361 5.7261794 6.02872035 5.8459624 5.9694997 5.8630319 5.7609980
100129398 -0.2097145 -0.61878358 -0.5474115 0.5868163 -0.1435065 -1.1799596
100129434 0.5846980 1.75674437 1.0986511 2.4304636 1.7895428 0.7049121
100129461 -0.2097145 0.35703116 -0.1091572 0.8917693 0.1856029 -1.1799596
100129484 0.9434109 1.34478478 0.4986544 0.8917693 1.4652562 2.0026695
100129550 3.5434949 3.65684036 3.7609699 3.7189798 3.4740810 3.4386025
100129583 1.8545732 1.34478478 0.2265237 1.8572080 1.4652562 0.7049121
100129662 0.3651917 0.35703116 1.5211473 0.8917693 0.4534051 1.7710690
100129707 0.7751747 0.57593521 0.2265237 1.3575483 0.6791935 0.0506126
100129716 0.3651917 0.09886635 0.9249822 0.1996341 1.4652562 0.0506126
100129726 -0.2097145 0.35703116 -1.1799596 0.8917693 1.0462791 -1.1799596
100129774 4.2531210 3.45077044 4.1445395 3.0996925 3.2104599 4.1678730
100129781 0.3651917 0.76595846 -0.5474115 -1.1799596 -0.1435065 0.7049121
100129792 0.7751747 1.92564194 1.0986511 1.3575483 1.4652562 1.1534072
100129794 2.0142810 1.84366336 2.0301970 1.7090862 1.8832413 2.2021823
100129842 -1.1799596 0.57593521 0.2265237 0.8917693 -0.5705930 -1.1799596
100129917 0.9434109 1.92564194 1.6383403 2.6082674 1.5816410 1.6396477
100129924 0.3651917 0.93384097 1.0986511 0.5868163 0.1856029 -1.1799596
100129940 -1.1799596 0.93384097 0.9249822 -0.3311811 0.4534051 0.9465181
100129995 2.4650596 3.27426527 2.8564047 2.6895745 2.1325629 1.3343145
10013 5.9697722 6.14451745 6.0126230 6.2893940 6.2403453 6.2909404
100130111 0.5846980 1.08420798 -0.1091572 -1.1799596 -1.1799596 0.9465181
100130197 -0.2097145 -1.17995959 -0.5474115 -1.1799596 0.4534051 0.4145415
100130335 3.6446271 3.87887894 3.3784506 4.0312042 3.7476050 4.2602589
100130348 2.3499747 2.65931483 2.5322636 2.1144008 2.5302741 2.7402674
100130357 1.7675595 2.33862238 1.2536423 0.1996341 -1.1799596 1.1534072
100130466 3.3171035 2.92152488 3.4117574 3.2140321 3.0976997 3.1794003
100130476 -0.2097145 1.34478478 0.4986544 0.1996341 1.1998593 -1.1799596
100130522 1.0940615 0.76595846 0.9249822 1.8572080 1.5816410 0.7049121
100130550 0.5846980 -0.61878358 0.7275093 -1.1799596 0.4534051 0.9465181
100130564 2.9726728 2.70646103 3.2736518 3.5550866 2.4711454 3.2259651
100130581 -1.1799596 -0.61878358 -0.5474115 -1.1799596 -1.1799596 -1.1799596
100130691 2.0879598 2.27749031 1.9417537 1.7090862 1.7895428 1.1534072
100130705 1.7675595 2.21365280 1.5211473 2.4304636 2.6417232 2.2021823
100130748 1.2304576 1.92564194 2.4057257 2.2276250 0.6791935 1.6396477
100130750 2.0142810 2.27749031 2.0301970 2.5221029 2.3450801 1.7710690
100130855 1.6749591 2.33862238 2.4703815 2.3326062 1.8832413 2.7402674
100130958 -0.6147654 0.09886635 -1.1799596 0.1996341 -0.5705930 0.0506126
100131017 2.5193330 2.79636876 2.5916002 2.1144008 1.4652562 2.3774264
100131031 0.7751747 1.34478478 0.9249822 1.9915281 1.4652562 2.2924636
100131033 1.0940615 1.92564194 1.2536423 2.4304636 1.9712236 2.2021823
100131067 2.2249073 2.45362447 3.0380172 2.4304636 2.8417057 2.5336706
100131089 3.4347354 3.87887894 4.1043601 3.9344477 3.8670965 1.8915117
100131094 0.3651917 -0.21578803 1.5211473 1.5439982 -0.1435065 0.7049121
100131138 4.8900639 5.19953248 5.1757297 5.1034740 5.4687413 4.6328111
100131187 2.2887958 2.50786104 0.7275093 1.8572080 1.5816410 3.2259651
100131193 4.3610824 4.01618942 4.3982412 4.2877331 3.8439768 2.5336706
100131211 3.0484518 3.24262815 2.9039957 2.7665427 3.0580656 3.3985086
100131213 2.0142810 0.76595846 0.4986544 0.1996341 0.8743803 1.4950437
100131471 2.0142810 1.92564194 1.2536423 2.9091578 1.6893337 2.3774264
100131656 2.9332364 2.33862238 3.5377898 2.6082674 2.9321790 3.0299464
100131685 -0.2097145 -0.21578803 0.4986544 0.8917693 0.4534051 0.0506126
100131691 2.0142810 2.39726902 1.6383403 2.6082674 1.6893337 1.3343145
100131740 0.1061882 0.35703116 -1.1799596 0.1996341 -0.1435065 0.7049121
100131801 3.3171035 3.14332819 3.1993026 2.6082674 3.0173118 2.8030435
100131827 0.3651917 -0.21578803 0.2265237 -0.3311811 -0.1435065 0.0506126
100131828 -0.2097145 0.35703116 0.2265237 1.1433750 0.1856029 0.0506126
100131940 1.4697602 2.14685926 1.9417537 1.8572080 1.8832413 1.6396477
100132074 0.5846980 2.21365280 2.2670128 1.1433750 1.5816410 0.9465181
100132086 0.1061882 -0.21578803 -0.1091572 -0.3311811 -1.1799596 0.0506126
100132116 6.3109782 5.95742720 6.0395079 6.5124863 6.5711855 6.3234246
100132126 0.5846980 0.35703116 0.9249822 0.8917693 0.6791935 0.7049121
100132215 1.4697602 -0.21578803 0.2265237 1.7090862 1.1998593 0.0506126
100132537 0.1061882 0.93384097 -0.5474115 0.8917693 1.3386519 2.6058738
100132609 0.9434109 1.22037151 1.0986511 0.8917693 1.1998593 0.0506126
100132659 -0.2097145 -0.21578803 -1.1799596 -0.3311811 0.8743803 0.0506126
100132891 -0.2097145 -1.17995959 -0.5474115 -1.1799596 -1.1799596 0.0506126
100132972 0.1061882 0.76595846 1.3935861 1.1433750 1.7895428 0.7049121
100133234 0.1061882 0.35703116 1.3935861 -0.3311811 0.4534051 0.4145415
100133286 0.3651917 -0.61878358 -0.5474115 -1.1799596 0.1856029 0.0506126
100133315 -0.2097145 0.93384097 -0.5474115 -1.1799596 -0.1435065 0.0506126
100134934 2.5193330 2.45362447 1.6383403 1.8572080 2.2776604 0.9465181
10014 6.6119188 6.89493847 6.7874754 6.7817932 6.6532756 6.1288549
100144603 -0.2097145 -0.61878358 0.7275093 -1.1799596 -1.1799596 0.4145415
100144748 0.7751747 0.76595846 1.2536423 2.2276250 0.1856029 2.6746350
10015 7.6608992 7.77275345 7.8129159 7.6426116 7.8314843 7.5125967
10016 5.0735591 5.07931217 5.1062210 5.0428785 4.6981482 4.9144881
100170229 0.7751747 0.35703116 -0.1091572 1.3575483 1.3386519 0.4145415
100170841 4.5025183 4.77098341 4.8750143 4.4127231 4.2653940 3.0815039
10018 4.0468799 4.19212446 4.0838427 3.9006977 4.1570091 2.9209512
100188847 1.4697602 1.45931564 1.6383403 1.1433750 1.8832413 0.9465181
10019 4.6557534 3.68064650 3.9542055 4.2345386 3.7476050 4.0171553
100190938 2.4650596 2.39726902 2.2670128 3.2140321 2.3450801 1.6396477
1002 0.3651917 0.35703116 -0.1091572 0.1996341 0.8743803 0.7049121
10020 3.2544837 3.39430119 3.5072988 3.6393593 3.2104599 3.3572685
10021 8.2008615 7.80153695 8.0024767 7.9781312 7.9253371 8.1479413
10023 2.0142810 2.50786104 2.7034185 1.5439982 2.5870746 0.7049121
10024 4.5683550 4.12430275 4.5101128 3.7944351 4.7237053 3.7880624
10026 5.7771863 6.06082201 6.0234371 6.0563646 5.8858505 6.3759904
100268168 0.3651917 1.45931564 0.2265237 1.1433750 0.8743803 1.1534072
100270804 1.9366359 2.50786104 2.3380357 2.2276250 2.0541475 0.7049121
100270827 -0.6147654 1.75674437 0.4986544 0.8917693 0.4534051 -1.1799596
100270840 4.4753187 4.49032849 4.6281697 3.4186609 4.8796262 3.9632016
100270854 4.7495554 4.59425487 4.2403493 5.1616267 4.6851978 3.9904306
100270865 4.8900639 4.78202986 5.1062210 5.3484741 5.1295222 5.2548208
100271271 3.4062143 3.24262815 3.4117574 3.1579948 3.6173156 3.0815039
100271332 -0.2097145 -1.17995959 -1.1799596 -1.1799596 -0.1435065 0.0506126
100271415 2.0142810 2.96094181 2.6485924 1.7090862 2.4094893 2.5336706
100271479 0.9434109 1.22037151 0.4986544 0.8917693 1.4652562 0.0506126
100271884 -1.1799596 -1.17995959 -0.5474115 -1.1799596 0.8743803 -1.1799596
100272147 2.4086644 3.27426527 2.6485924 2.4304636 2.8417057 2.4576626
100286844 -0.6147654 0.76595846 1.3935861 2.3326062 1.8832413 1.4950437
100287015 0.9434109 1.75674437 2.0301970 1.3575483 0.6791935 2.0026695
100287049 1.4697602 0.57593521 0.2265237 0.5868163 0.4534051 0.9465181
100287074 0.9434109 1.08420798 1.7467246 0.8917693 0.1856029 0.7049121
100287616 3.3474228 2.99931038 2.5322636 3.6797188 3.0580656 3.3572685
100287722 0.3651917 1.56541920 1.6383403 1.5439982 1.0462791 0.9465181
100287808 0.7751747 1.66425107 -1.1799596 0.1996341 0.8743803 0.0506126
100287837 -1.1799596 -1.17995959 -0.1091572 1.3575483 -0.1435065 0.0506126
100287896 2.0142810 2.61057572 2.7034185 3.2140321 2.1325629 1.1534072
100287902 0.7751747 0.35703116 0.4986544 1.1433750 0.4534051 2.0026695
100287928 2.8080149 3.03668492 2.9500668 3.4186609 3.3807760 2.6746350
100287932 5.4329312 5.59360813 5.3317821 5.4452963 5.7243219 4.7489725
100288001 2.8080149 2.14685926 2.9039957 2.9755050 2.0541475 1.7710690
100288073 1.4697602 1.08420798 1.6383403 3.3199715 2.6417232 2.9209512
100288123 1.2304576 1.34478478 1.5211473 1.9915281 1.5816410 1.1534072
100288198 2.0142810 1.75674437 2.4703815 2.3326062 2.4711454 1.4950437
100288241 -0.6147654 -1.17995959 -1.1799596 -1.1799596 -1.1799596 -1.1799596
100288413 4.0282846 3.60801616 3.4443126 2.5221029 3.4125529 3.1312823
100288513 -0.6147654 -1.17995959 0.2265237 -0.3311811 -1.1799596 0.9465181
100288842 1.6749591 0.76595846 1.9417537 1.7090862 1.1998593 2.0026695
100289061 1.9366359 1.34478478 1.0986511 0.8917693 1.1998593 1.6396477
100289095 1.2304576 1.08420798 0.2265237 1.1433750 1.1998593 0.7049121
100289133 3.7618217 3.10864900 2.7034185 3.2679740 3.3807760 4.4089353
100289178 2.6221137 2.33862238 3.0800602 1.3575483 3.1362740 2.3774264
100289211 1.4697602 2.21365280 1.7467246 1.1433750 0.8743803 0.0506126
100289259 0.7751747 0.57593521 0.9249822 1.5439982 1.1998593 0.0506126
100289274 2.9332364 2.99931038 2.9500668 1.9915281 3.0580656 2.6058738
100289341 0.7751747 1.22037151 -0.1091572 2.4304636 1.6893337 2.1058721
100289373 1.5760048 1.56541920 2.1135302 1.9915281 1.4652562 0.7049121
100289388 2.4650596 2.00321163 2.0301970 1.9915281 0.6791935 0.9465181
100289414 0.3651917 0.76595846 -0.1091572 -1.1799596 1.4652562 0.0506126
100289635 5.6491653 5.55549033 5.5343797 5.5138737 5.3990707 5.0757228
100289640 1.9366359 1.84366336 1.3935861 2.3326062 0.6791935 1.7710690
100289678 1.5760048 2.50786104 2.4703815 2.7665427 2.7942484 3.3572685
100293516 3.8491718 3.55748157 3.6812680 3.7572007 3.8670965 3.6582514
100294362 0.7751747 0.09886635 1.2536423 1.1433750 0.1856029 1.1534072
1003 4.3310518 3.85815115 2.5916002 3.2140321 3.7965955 1.4950437
100302692 2.2887958 2.00321163 2.9947121 2.6895745 2.4711454 3.1794003
100302736 1.4697602 1.34478478 1.7467246 1.9915281 1.3386519 1.1534072
100303728 3.2221241 3.27426527 2.9947121 3.8307326 3.4436449 3.4386025
100303755 0.5846980 2.00321163 0.2265237 0.8917693 1.4652562 1.6396477
100312828 1.5760048 1.22037151 0.4986544 -1.1799596 1.3386519 0.4145415
100312850 -0.2097145 0.35703116 0.4986544 -1.1799596 0.1856029 -1.1799596
10036 5.4747342 5.12340689 5.3317821 5.0582677 5.1199300 4.6499893
100379345 1.5760048 1.34478478 1.0986511 2.1144008 1.4652562 1.6396477
10038 5.8688733 5.90281134 6.0017271 5.9365691 6.0863254 5.3419631
100381270 1.6749591 1.22037151 -0.5474115 1.7090862 1.0462791 0.0506126
10039 4.1875961 3.63263479 3.6812680 3.9674262 3.8439768 3.5526031
1004 2.3499747 2.14685926 1.6383403 2.6895745 2.6417232 5.1858261
10040 3.6926532 3.68064650 4.2027854 4.0620662 4.1381260 3.9071514
100418710 1.6749591 0.57593521 0.4986544 1.5439982 -1.1799596 -0.4372633
100418735 1.7675595 1.92564194 1.0986511 1.9915281 1.0462791 1.1534072
100418744 1.2304576 0.76595846 0.9249822 1.5439982 1.3386519 0.9465181
100418770 -0.6147654 -0.21578803 -0.5474115 0.1996341 -1.1799596 -0.4372633
100418781 1.6749591 2.56013230 1.8475322 2.1144008 1.6893337 2.5336706
100418819 0.3651917 0.57593521 1.0986511 1.5439982 1.5816410 1.1534072
100418829 2.0142810 1.22037151 1.0986511 1.9915281 0.6791935 2.5336706
100418888 0.9434109 0.09886635 0.4986544 1.3575483 1.5816410 0.4145415
100418889 2.7637368 2.61057572 2.3380357 3.3701599 2.9753733 2.2021823
100418910 1.0940615 0.57593521 0.2265237 0.5868163 0.4534051 1.3343145
100418919 1.7675595 1.92564194 1.3935861 2.2276250 1.7895428 2.0026695
100419028 0.9434109 1.56541920 1.2536423 2.2276250 1.6893337 2.0026695
100419185 1.6749591 0.76595846 1.2536423 0.1996341 0.4534051 0.0506126
100419416 0.7751747 0.09886635 1.5211473 0.1996341 0.4534051 0.9465181
100419515 0.3651917 0.93384097 -0.5474115 0.1996341 -1.1799596 0.0506126
100419645 -1.1799596 -0.21578803 -0.1091572 -0.3311811 0.1856029 0.9465181
100419758 0.5846980 2.27749031 2.9039957 2.1144008 2.9753733 0.4145415
100419928 2.4086644 2.56013230 2.1923116 2.5221029 1.8832413 1.7710690
10042 5.1093854 5.03382712 5.3317821 5.4799924 5.5566918 5.2435484
100420028 -0.2097145 -1.17995959 -1.1799596 0.8917693 0.8743803 -1.1799596
100420050 0.1061882 -0.61878358 1.5211473 1.1433750 0.4534051 0.0506126
100420110 2.3499747 1.75674437 3.4443126 2.3326062 2.0541475 2.8632016
100420187 -0.6147654 0.09886635 -0.5474115 0.5868163 -1.1799596 -0.4372633
100420259 4.3310518 3.85815115 4.1245897 4.4828291 4.0193229 4.1678730
100420307 0.3651917 -0.21578803 0.9249822 1.1433750 1.1998593 0.9465181
100420341 5.3151459 5.46242520 5.5419206 5.4913748 5.6529518 5.4340910
100420423 1.2304576 2.07682256 1.2536423 0.8917693 1.6893337 1.1534072
100420591 0.3651917 -1.17995959 1.0986511 0.8917693 -0.1435065 0.4145415
100420707 2.5193330 2.56013230 2.1135302 2.9755050 2.5870746 1.8915117
100420752 1.4697602 0.09886635 1.8475322 0.1996341 0.8743803 0.9465181
100420869 4.3157987 4.24097709 4.6837626 4.4598369 4.3982982 4.4874845
100420981 6.3451862 6.01005066 6.1373317 6.1740518 6.2135371 5.7688823
100421093 3.8278250 3.68064650 3.5969041 3.9996676 3.9122531 3.6238878
100421109 0.3651917 0.76595846 0.4986544 0.5868163 -0.1435065 -1.1799596
100421160 0.7751747 0.35703116 -0.1091572 -1.1799596 -0.5705930 0.0506126
100421175 0.3651917 0.09886635 -1.1799596 0.8917693 0.1856029 -0.4372633
100421246 1.2304576 0.09886635 1.0986511 0.5868163 1.0462791 0.7049121
100421311 1.9366359 1.34478478 1.2536423 1.7090862 1.0462791 0.4145415
100421372 2.3499747 2.33862238 0.9249822 2.3326062 1.4652562 2.1058721
100421400 2.9332364 2.56013230 2.9500668 2.4304636 2.4711454 2.0026695
100421415 0.9434109 1.22037151 1.7467246 -1.1799596 0.4534051 0.4145415
100421429 0.3651917 -0.21578803 -0.5474115 -0.3311811 -1.1799596 0.4145415
100421465 1.3550649 1.34478478 1.8475322 1.3575483 1.0462791 0.7049121
100421468 2.0142810 2.14685926 2.5916002 3.0996925 1.4652562 2.9209512
100421506 0.1061882 1.45931564 1.0986511 -0.3311811 0.4534051 0.4145415
100421569 -0.6147654 0.35703116 1.3935861 -1.1799596 1.3386519 0.4145415
100421595 -1.1799596 -0.61878358 -0.5474115 -0.3311811 -1.1799596 -0.4372633
100421794 0.1061882 -1.17995959 -1.1799596 -1.1799596 0.4534051 -1.1799596
100422106 1.9366359 1.08420798 2.0301970 2.1144008 2.0541475 1.3343145
100422338 1.7675595 2.61057572 1.5211473 2.3326062 2.2776604 2.6058738
100422546 1.0940615 2.27749031 -0.5474115 1.8572080 0.8743803 0.0506126
100422561 3.4062143 3.50511242 3.1993026 3.9344477 3.4125529 3.5526031
10043 5.7145954 6.00534524 5.8701270 5.8059181 5.5279666 5.5484349
10044 2.2249073 1.08420798 2.0301970 1.5439982 1.4652562 0.4145415
10045 0.1061882 -0.61878358 0.4986544 1.3575483 0.4534051 -1.1799596
10046 1.6749591 1.34478478 2.0301970 0.8917693 1.1998593 0.7049121
10048 6.8342732 6.89748020 6.8404166 6.6457947 6.6632161 6.5043210
10049 5.9202046 6.01005066 6.0395079 5.8596064 6.0714727 6.1288549
100499177 2.9726728 3.63263479 3.4443126 3.6797188 3.4125529 3.1794003
100499483 2.0879598 3.14332819 3.0380172 2.9091578 2.4094893 2.2924636
1005 0.3651917 -0.21578803 -0.1091572 1.3575483 -0.1435065 -1.1799596
100500719 -0.2097145 0.93384097 -0.1091572 -0.3311811 0.4534051 0.7049121
100505385 3.0110598 2.65931483 2.4057257 2.1144008 2.6417232 2.4576626
100505501 1.0940615 1.75674437 1.2536423 2.1144008 2.0541475 1.6396477
100505538 0.7751747 0.76595846 -1.1799596 1.3575483 0.6791935 0.0506126
100505549 0.7751747 1.22037151 0.4986544 1.1433750 0.8743803 1.1534072
100505573 6.5480843 6.96446705 7.3132808 7.1081195 6.9845479 6.2294173
100505576 2.8080149 2.45362447 3.1606399 2.6082674 2.6943771 0.7049121
100505616 0.5846980 0.57593521 0.7275093 -1.1799596 -0.1435065 -1.1799596
100505624 1.3550649 1.75674437 1.3935861 0.5868163 1.3386519 0.9465181
100505635 -0.6147654 0.93384097 0.7275093 0.8917693 0.8743803 1.3343145
100505641 2.0879598 1.84366336 1.8475322 2.7665427 2.0541475 2.6746350
100505648 2.6708826 2.92152488 2.9947121 2.6082674 2.5870746 2.2021823
100505678 2.7180566 2.92152488 3.2369561 2.8396118 2.5870746 2.0026695
100505696 4.6435874 4.71444564 4.7503703 4.7141598 4.6186427 4.9144881
100505715 1.2304576 1.08420798 0.9249822 1.3575483 0.4534051 -0.4372633
100505738 2.7637368 3.07311562 2.7562371 3.7944351 2.9321790 3.3148148
100505741 1.2304576 2.00321163 0.4986544 1.3575483 1.4652562 1.4950437
100505758 3.6446271 3.58297012 3.7609699 4.0620662 3.4740810 3.4776122
100505761 3.0484518 3.21028168 2.9500668 3.5978382 3.4436449 2.4576626
100505771 0.9434109 1.84366336 1.6383403 2.3326062 1.7895428 2.6058738
100505783 2.9726728 2.33862238 2.3380357 2.8396118 1.9712236 2.4576626
100505806 5.4115665 4.92840633 4.9675137 5.4799924 5.4148464 4.2148053
100505812 1.5760048 1.34478478 2.2670128 1.3575483 1.4652562 0.7049121
100505832 0.7751747 2.14685926 2.7562371 2.2276250 1.1998593 1.3343145
100505854 2.8926917 3.53153460 3.7083275 4.2613810 3.6443318 3.7246164
100505876 4.5554258 4.60673467 4.9220052 4.9469283 4.7488176 5.2321872
100505894 3.2221241 3.79411872 4.4946525 3.6797188 4.0996018 3.4386025
100505933 0.7751747 0.76595846 1.0986511 0.1996341 0.4534051 0.4145415
100505994 0.7751747 0.35703116 0.4986544 0.5868163 1.1998593 0.0506126
100506020 0.1061882 0.76595846 0.7275093 0.5868163 0.1856029 2.2924636
100506033 4.9003261 4.88807769 4.8264411 5.0582677 4.8097499 4.5978287
100506054 2.1580579 0.57593521 1.7467246 2.8396118 2.0541475 1.6396477
100506068 1.0940615 1.66425107 1.9417537 1.9915281 1.1998593 1.4950437
100506070 1.3550649 0.35703116 1.7467246 1.3575483 0.8743803 0.7049121
100506083 0.1061882 0.09886635 0.2265237 0.5868163 0.6791935 1.4950437
100506100 -0.2097145 -1.17995959 1.0986511 0.8917693 1.0462791 1.1534072
100506119 1.6749591 1.66425107 0.9249822 1.5439982 2.3450801 0.9465181
100506127 2.0879598 3.07311562 2.6485924 3.0389346 3.2810169 1.3343145
100506142 1.2304576 0.35703116 0.4986544 0.1996341 1.0462791 0.4145415
100506144 0.3651917 0.93384097 1.0986511 1.1433750 1.3386519 1.7710690
100506161 -0.6147654 1.08420798 -1.1799596 -1.1799596 1.0462791 0.0506126
100506211 5.4539841 5.63684222 5.6985664 5.7689827 5.5279666 2.6058738
100506235 0.5846980 1.22037151 1.2536423 1.3575483 1.4652562 1.6396477
100506258 1.6749591 1.45931564 1.0986511 1.1433750 1.6893337 1.8915117
100506282 1.6749591 2.70646103 2.9947121 3.0996925 3.0173118 2.8030435
100506286 1.7675595 1.34478478 1.2536423 1.5439982 1.5816410 -1.1799596
100506302 1.8545732 1.45931564 1.3935861 2.1144008 1.3386519 1.3343145
100506321 0.1061882 0.76595846 -0.1091572 0.1996341 0.4534051 -0.4372633
100506325 0.9434109 -0.21578803 1.3935861 0.8917693 0.6791935 0.7049121
100506343 1.7675595 0.35703116 0.4986544 1.3575483 1.3386519 -0.4372633
100506365 5.4115665 5.49635606 5.6985664 5.5686322 5.5918123 5.1739992
100506368 -0.2097145 1.56541920 -0.1091572 0.8917693 0.8743803 0.0506126
100506380 3.8061577 4.12430275 4.1043601 3.9344477 3.3807760 3.1794003
100506392 3.4901398 4.01618942 4.0630294 4.3885764 4.1189925 3.8488354
100506394 1.9366359 1.92564194 2.1923116 2.3326062 1.8832413 1.4950437
100506411 2.0142810 1.75674437 1.2536423 1.1433750 1.4652562 1.6396477
100506433 2.4086644 3.53153460 3.1209126 3.5110294 1.8832413 2.5336706
100506462 1.2304576 0.93384097 0.4986544 0.1996341 0.4534051 -0.4372633
100506469 4.6435874 4.24097709 4.3815271 4.3136124 4.3333760 4.8711976
100506495 1.5760048 1.22037151 2.1923116 0.1996341 0.8743803 1.6396477
100506504 1.2304576 1.84366336 2.5916002 1.8572080 1.1998593 1.3343145
100506540 1.6749591 1.66425107 0.9249822 1.9915281 0.4534051 1.3343145
100506581 0.1061882 1.84366336 0.9249822 0.8917693 1.0462791 1.3343145
100506606 0.3651917 0.93384097 0.9249822 0.1996341 0.1856029 0.9465181
100506658 2.5716385 2.14685926 1.5211473 0.8917693 1.6893337 1.6396477
100506668 2.5193330 2.27749031 2.6485924 2.7665427 2.9321790 2.2924636
100506686 1.9366359 1.66425107 2.6485924 1.3575483 1.7895428 0.4145415
100506691 1.5760048 1.34478478 0.2265237 0.5868163 0.8743803 0.4145415
100506696 3.0110598 3.58297012 3.1606399 2.8396118 3.5897838 2.0026695
100506697 0.1061882 1.75674437 1.2536423 -1.1799596 0.4534051 0.7049121
100506710 6.2837996 6.38446961 6.3325772 6.3593956 6.2180399 6.6734664
100506713 0.5846980 -0.21578803 -1.1799596 -0.3311811 0.4534051 0.4145415
100506725 3.7841600 3.95893451 4.1445395 4.2345386 3.8439768 4.9286343
100506731 1.7675595 1.56541920 0.9249822 0.8917693 -0.5705930 2.0026695
100506757 0.7751747 1.22037151 0.9249822 0.1996341 -1.1799596 -1.1799596
100506779 0.5846980 -0.61878358 1.0986511 -1.1799596 0.1856029 -1.1799596
100506804 -0.6147654 0.76595846 0.7275093 0.1996341 0.4534051 1.6396477
100506826 0.7751747 2.14685926 1.6383403 0.8917693 2.1325629 1.6396477
100506844 3.1204483 3.30522347 3.3443566 3.0996925 3.0976997 3.2710739
100506866 7.2112905 7.39691258 7.6427605 7.3863243 7.3451183 6.7865232
100506881 1.0940615 0.35703116 -0.1091572 0.1996341 -0.1435065 0.9465181
100506885 -1.1799596 0.57593521 -0.1091572 1.1433750 0.1856029 0.0506126
100506911 0.7751747 1.08420798 1.3935861 -0.3311811 -0.1435065 1.3343145
100506922 2.8926917 3.17719330 2.4703815 2.8396118 2.2776604 -0.4372633
100506930 4.1875961 4.60673467 4.3301907 4.4828291 4.3333760 3.8187689
100506994 0.1061882 0.35703116 -0.5474115 1.1433750 0.1856029 0.4145415
100507003 3.0110598 2.70646103 2.5322636 3.0389346 3.0580656 2.2021823
100507032 1.5760048 2.07682256 2.6485924 0.8917693 2.1325629 0.4145415
100507034 3.1551426 2.88100069 2.8071901 2.8396118 2.4711454 2.5336706
100507050 1.0940615 1.08420798 0.4986544 -1.1799596 1.4652562 1.1534072
100507053 2.2887958 2.70646103 2.4057257 1.9915281 2.8876514 1.1534072
100507057 1.5760048 2.00321163 2.3380357 1.3575483 0.8743803 0.4145415
100507062 0.9434109 1.08420798 0.9249822 0.1996341 1.1998593 0.4145415
100507071 1.2304576 0.35703116 1.5211473 0.1996341 0.8743803 0.9465181
100507156 3.3474228 3.10864900 3.5072988 2.8396118 3.4436449 3.1312823
100507171 2.6221137 2.45362447 3.4117574 2.9091578 2.8417057 2.8030435
100507173 0.7751747 -0.21578803 0.2265237 -1.1799596 -0.1435065 1.1534072
100507178 -0.2097145 0.93384097 -0.1091572 -1.1799596 1.6893337 0.7049121
100507244 0.9434109 0.76595846 0.7275093 -0.3311811 0.6791935 1.7710690
100507246 2.2887958 2.70646103 2.9500668 1.5439982 2.5302741 3.0299464
100507250 0.5846980 0.35703116 0.4986544 0.1996341 0.1856029 0.4145415
100507254 -1.1799596 -1.17995959 -1.1799596 0.8917693 -1.1799596 -1.1799596
100507266 0.9434109 -0.21578803 1.8475322 1.8572080 1.4652562 0.0506126
100507290 5.0368205 4.94815562 5.2420430 4.8792222 4.4296956 4.3679965
100507291 1.2304576 2.07682256 2.1135302 1.7090862 2.2776604 1.6396477
100507303 2.8509745 3.53153460 2.9039957 2.9091578 3.3482835 2.9209512
100507308 0.7751747 1.56541920 0.7275093 1.5439982 0.8743803 1.3343145
100507316 2.0879598 1.92564194 2.1135302 1.7090862 1.1998593 2.0026695
100507331 2.0142810 1.66425107 1.3935861 2.1144008 1.5816410 1.6396477
100507347 0.3651917 0.76595846 0.9249822 1.5439982 0.8743803 1.4950437
100507373 1.6749591 2.14685926 2.0301970 1.3575483 1.9712236 2.1058721
100507392 1.5760048 -1.17995959 -0.1091572 0.1996341 1.1998593 1.1534072
100507398 1.8545732 1.08420798 1.5211473 1.5439982 1.1998593 1.1534072
100507401 1.3550649 0.76595846 -0.1091572 0.5868163 1.0462791 0.7049121
100507420 0.7751747 0.35703116 -0.1091572 1.7090862 0.4534051 0.9465181
100507433 1.9366359 2.33862238 2.5322636 2.1144008 1.5816410 2.0026695
100507436 0.5846980 1.34478478 -0.1091572 0.1996341 0.4534051 0.0506126
100507437 2.2887958 2.33862238 2.4057257 3.4655843 2.6417232 2.4576626
100507459 2.4086644 2.33862238 2.1135302 2.1144008 2.2776604 1.6396477
100507463 0.5846980 -0.21578803 0.4986544 0.5868163 0.6791935 1.4950437
100507487 1.0940615 2.21365280 2.4057257 1.3575483 2.0541475 1.8915117
100507495 1.7675595 1.75674437 2.7562371 2.6082674 2.5870746 2.1058721
100507516 -1.1799596 0.35703116 1.2536423 0.1996341 -0.5705930 0.7049121
100507551 1.6749591 1.56541920 2.5916002 0.5868163 1.5816410 2.2924636
100507557 1.5760048 1.92564194 2.1923116 2.2276250 1.1998593 -1.1799596
100507564 -1.1799596 -0.61878358 -0.1091572 -1.1799596 -0.1435065 -0.4372633
100507567 1.2304576 1.66425107 0.9249822 0.1996341 0.8743803 1.1534072
100507588 -0.6147654 0.09886635 -1.1799596 -0.3311811 0.4534051 0.0506126
100507599 1.6749591 1.56541920 2.2670128 1.7090862 1.8832413 1.6396477
100507602 2.7180566 3.03668492 2.3380357 3.4655843 2.5302741 2.6058738
100508120 1.2304576 2.07682256 1.9417537 1.5439982 1.4652562 2.9209512
10051 7.5414032 7.47556702 7.6427605 7.6927757 7.6534375 7.0257466
10052 2.6221137 1.84366336 2.0301970 2.2276250 2.4094893 1.7710690
100526737 1.5760048 2.14685926 2.4703815 2.1144008 1.9712236 2.1058721
100526760 0.5846980 0.09886635 0.7275093 -0.3311811 0.8743803 0.4145415
100526820 1.2304576 1.34478478 0.4986544 0.1996341 1.4652562 -0.4372633
100526835 3.9113798 3.63263479 4.2403493 3.6797188 3.8204807 4.9286343
100527978 -0.2097145 1.22037151 1.6383403 0.5868163 0.4534051 1.1534072
100529145 1.6749591 1.08420798 2.2670128 1.7090862 2.2069350 0.9465181
100529215 0.1061882 1.56541920 0.2265237 -0.3311811 0.6791935 -1.1799596
100532746 4.0094465 4.05313475 3.8847396 4.1218775 4.2301627 3.9632016
100533106 1.9366359 0.76595846 -0.5474115 0.1996341 1.0462791 -0.4372633
100533182 -0.2097145 2.00321163 0.9249822 0.8917693 1.1998593 1.3343145
100533619 0.9434109 0.35703116 0.4986544 0.1996341 0.6791935 1.1534072
100533629 0.9434109 1.22037151 1.2536423 1.3575483 1.6893337 1.7710690
100533695 0.3651917 0.35703116 0.4986544 0.5868163 0.8743803 0.9465181
100533970 1.0940615 1.34478478 1.5211473 1.7090862 0.4534051 -0.4372633
100534593 1.7675595 1.45931564 2.0301970 1.1433750 1.3386519 0.9465181
10054 5.8047632 6.16575873 5.9796855 5.9365691 6.0311012 5.2548208
10056 5.7087683 5.86175048 5.6223685 5.8770676 5.8222096 5.9462270
10057 7.6548507 7.77275345 7.7262142 7.7483873 7.4991983 7.7738750
10058 5.1700171 5.91289652 5.8026753 5.9198176 5.7740958 4.6669653
10059 7.2398562 7.36787999 7.4637811 7.2820445 7.3976664 7.3539222
1006 4.0468799 4.20859316 3.6536912 3.4655843 4.4905120 6.0339004
10060 4.1189529 4.71444564 5.3914353 4.7713049 4.6721302 4.1438216
100616256 1.0940615 1.08420798 0.2265237 0.5868163 0.8743803 1.1534072
10062 2.4650596 2.50786104 2.0301970 2.9091578 3.0173118 1.6396477
10063 4.0652385 3.30522347 3.8847396 4.0620662 4.2122191 4.0944814
100652739 -1.1799596 0.35703116 -0.1091572 -0.3311811 -0.5705930 0.0506126
100652758 -0.2097145 0.09886635 0.2265237 1.3575483 -0.1435065 0.7049121
100652846 3.1551426 3.17719330 3.1993026 3.0996925 3.3150422 2.7402674
10066 6.3895707 6.28314758 6.2567029 6.2089436 6.3052640 6.1591666
10067 6.3032650 5.93780528 6.2521130 6.0331881 6.0413005 6.3708192
10068 3.1551426 3.81578018 2.6485924 2.7665427 3.4125529 2.6746350
10069 2.8509745 2.65931483 3.4117574 2.6082674 3.1738438 4.5978287
10072 4.9991218 4.65560153 4.8509321 5.1616267 4.7977676 5.1009266
10073 4.0282846 3.87887894 4.0419115 3.8661392 3.8898514 3.7880624
10075 8.7816371 8.76086573 8.8075945 8.8422211 8.6062100 8.7889914
10076 5.2444057 5.30285144 5.3576504 5.1616267 4.7488176 5.6023786
10077 4.8588322 5.64291409 5.5790448 5.4913748 4.9890544 4.1193624
100775107 1.0940615 1.56541920 0.9249822 0.5868163 1.3386519 1.3343145
10078 4.7034166 4.85707373 5.1062210 4.4598369 4.9243983 4.5437113
10079 4.6064616 4.17546559 4.1245897 3.8307326 4.2478859 4.9144881
1008 3.2861333 2.99931038 2.9947121 3.6797188 1.3386519 4.2148053
10081 5.2997229 5.40641922 5.2420430 5.4097451 5.2662410 4.6328111
10082 7.7712502 7.72059893 7.7229008 7.5639352 7.5801281 8.1266237
100820829 5.6307934 5.89265516 6.0288140 5.8240371 5.9194158 5.2990498
10084 5.4747342 5.34815095 5.2327542 5.0273235 5.1199300 5.3733307
100847074 1.9366359 1.66425107 1.7467246 2.1144008 1.6893337 1.6396477
10085 8.0291301 7.83108755 7.5690199 7.8754495 7.9376749 8.5852943
100852407 0.3651917 0.76595846 1.0986511 0.5868163 0.8743803 0.4145415
100861412 0.7751747 -0.21578803 0.4986544 1.8572080 -0.1435065 0.7049121
100861548 3.6688400 3.33553128 3.4117574 3.2679740 4.1940495 4.1915300
100862671 0.1061882 1.22037151 1.9417537 1.9915281 0.6791935 1.1534072
10087 6.4396836 6.40247638 6.6719498 6.6457947 6.6632161 6.0141358
100873257 -0.6147654 0.09886635 -0.1091572 -0.3311811 -0.1435065 0.0506126
100873333 2.9332364 3.45077044 2.4057257 2.3326062 3.5330920 3.0815039
100873790 4.3157987 4.42135497 4.1642173 4.9796259 4.3333760 4.0944814
100873949 1.2304576 2.14685926 1.2536423 2.1144008 1.5816410 0.9465181
100873952 -0.6147654 0.57593521 0.7275093 -1.1799596 -0.5705930 -0.4372633
100873965 2.1580579 2.00321163 1.8475322 2.1144008 2.3450801 0.7049121
100874006 0.3651917 0.35703116 0.4986544 0.5868163 1.0462791 0.7049121
100874008 0.5846980 1.34478478 0.9249822 0.1996341 1.0462791 1.6396477
100874014 3.1551426 2.99931038 3.0800602 3.5550866 3.3482835 2.8030435
100874058 0.1061882 -0.61878358 0.9249822 -1.1799596 0.4534051 0.9465181
100874080 0.9434109 1.22037151 -0.1091572 0.5868163 0.6791935 1.1534072
100874097 1.6749591 1.22037151 1.0986511 1.1433750 1.9712236 1.8915117
100874201 0.5846980 0.09886635 -1.1799596 1.3575483 -0.1435065 0.4145415
100874212 1.0940615 0.76595846 0.9249822 1.8572080 -0.1435065 1.1534072
100874217 1.0940615 1.34478478 0.9249822 1.5439982 0.6791935 -0.4372633
100874235 0.9434109 1.92564194 1.8475322 1.7090862 1.9712236 1.8915117
100874261 0.9434109 1.08420798 0.9249822 0.1996341 0.4534051 0.0506126
100874291 -0.2097145 2.14685926 1.7467246 1.8572080 1.6893337 1.4950437
100874362 2.2887958 1.92564194 2.2670128 1.5439982 2.5870746 2.0026695
100874523 1.2304576 1.34478478 2.0301970 2.5221029 1.5816410 2.9209512
100885775 5.3678639 5.34815095 5.1163582 5.1328433 5.7556312 5.5756589
100885776 0.5846980 0.76595846 1.7467246 -0.3311811 0.4534051 0.0506126
100885848 5.4678506 5.52950719 5.6152376 5.9198176 5.4762788 5.1620746
1009 8.8763032 8.51656766 8.3068583 8.7047452 8.6716876 9.4245906
10090 4.0094465 3.87887894 4.3475066 3.6393593 4.3166785 4.3258619
10092 6.8816579 6.82723094 6.7618733 7.1118116 7.0029297 7.0388477
10093 6.7713692 6.50270307 6.3412468 6.7298834 6.6926330 6.7066824
10094 5.3678639 5.17460095 5.1163582 5.2037528 5.2040473 4.9565173
10095 5.5418218 4.87781689 4.5703485 5.0582677 5.1102735 5.2321872
10097 7.9097592 7.63027176 7.6842391 7.8732759 7.8122560 8.0782686
10098 6.4710035 6.65166361 6.6123138 6.5456216 6.7119162 7.0224527
10099 8.1598068 8.21314271 8.2342441 8.2535023 8.3129585 8.2903166
100996246 1.2304576 1.22037151 -0.1091572 0.1996341 -0.1435065 0.0506126
100996251 0.3651917 1.22037151 1.5211473 -0.3311811 1.3386519 -1.1799596
100996307 -0.2097145 1.22037151 1.2536423 -1.1799596 0.8743803 0.0506126
100996384 1.0940615 1.34478478 1.3935861 1.7090862 0.6791935 0.7049121
100996419 0.7751747 1.08420798 1.9417537 2.5221029 1.7895428 0.7049121
100996485 1.3550649 2.27749031 2.3380357 2.2276250 2.4094893 2.2021823
100996539 -1.1799596 0.57593521 0.2265237 0.5868163 -0.1435065 0.0506126
100996579 0.3651917 1.92564194 1.0986511 1.7090862 0.4534051 -1.1799596
100996696 3.0848992 3.07311562 2.1135302 2.9091578 2.0541475 2.9764779
100996842 2.0879598 1.08420798 1.3935861 1.5439982 1.0462791 1.1534072
100996851 -0.2097145 -0.61878358 0.7275093 -1.1799596 -1.1799596 0.0506126
100996939 1.2304576 0.76595846 0.7275093 1.5439982 0.6791935 1.4950437
101 2.3499747 2.00321163 3.0380172 2.6895745 2.5302741 0.0506126
1010 -1.1799596 0.35703116 -1.1799596 0.5868163 -1.1799596 -1.1799596
10100 6.2520982 6.74211631 6.9606332 6.9967180 6.7246300 5.9252150
10101 5.3529972 5.36294013 5.0007271 5.2175258 5.4381911 4.8415983
10102 5.1182046 5.04303958 5.2604429 5.1034740 4.9784776 4.5252115
10103 0.9434109 0.09886635 -1.1799596 1.3575483 0.8743803 -1.1799596
10105 7.3599750 7.22543806 7.2246907 7.3492706 7.2884445 6.7311020
10106 7.1394667 7.08532299 7.0346595 7.1154943 6.9950805 6.8172621
101060200 3.1551426 2.79636876 3.5072988 2.3326062 2.8876514 2.6746350
101060691 1.7675595 2.07682256 2.5322636 1.7090862 2.3450801 2.5336706
10109 8.0774128 7.98719269 7.9296132 8.0587663 8.2648072 8.2344715
10112 6.0822158 6.03796537 6.1423011 6.2158218 6.3345879 5.0629539
10113 6.1439759 6.05172276 6.0017271 5.9531284 6.0564655 6.0726353
10114 8.1197470 8.35951309 8.4072924 8.4717708 8.2637187 7.7777875
101154753 -0.2097145 0.35703116 -0.5474115 0.1996341 0.1856029 0.7049121
10116 7.8434965 7.81235278 7.9859857 7.8469345 7.7607204 7.5242883
10117 1.3550649 2.14685926 1.9417537 2.2276250 2.4711454 1.1534072
1012 6.7544982 6.28702994 6.3194743 6.3343317 6.5391562 5.9181424
10121 6.1738920 6.07885012 6.1373317 6.3023768 6.0714727 6.1770526
10123 5.6307934 4.89826603 4.9449389 5.0885621 5.6529518 5.9181424
101241892 4.7942642 5.37027825 5.3054416 5.4097451 5.1485175 5.2435484
10125 2.0879598 2.70646103 2.5322636 2.6895745 2.9321790 2.4576626
10126 3.7841600 3.60801616 3.4443126 3.9674262 3.8898514 2.4576626
THA_2_H7 DMSO_2_H7 TUN_24_H7 THA_24_H7 DOX_24_H7 NUTL_24_H7
100 3.74194395 3.8748121 4.0701124 3.7008666 5.6920606 4.5513277
1000 10.91652875 11.2895160 11.3290128 11.4753754 9.8695647 10.9681203
10000 5.97275713 5.3922647 6.3304481 6.5070916 5.6590282 5.6489608
10001 4.06551353 3.7103025 4.1783329 3.7706258 4.7489601 4.2856335
10003 4.23368925 4.8753206 4.7918341 4.0763219 3.9685310 4.0194008
100037417 2.02290761 2.4946720 1.9747196 1.9944452 1.7004370 2.7645340
100049716 2.99012673 3.4066435 3.3271899 2.6414149 4.1506611 2.8546911
10005 3.90033450 4.5110183 3.9119023 3.9616943 3.7348994 4.3797409
10006 6.34755248 6.3650327 6.5941183 6.4497661 5.8700289 6.5170751
10007 4.66006360 5.0526839 5.1694090 4.9411143 5.8700289 5.5779460
10009 5.62489707 5.5742471 5.3344456 5.3810091 6.2663467 5.4391279
100093630 4.87885359 4.0423803 4.8905942 4.7813083 3.8090448 4.2022314
1001 5.90584267 6.6702982 6.2541873 6.0193540 8.0275842 7.1361280
10010 5.72003547 5.1749762 5.0977182 5.1777633 5.3797112 5.0289744
100101267 1.17165012 2.8513949 1.6126968 1.4309107 2.4829822 2.7172507
100101467 5.02359910 4.7598010 5.3653026 5.0712137 3.3930896 5.4536264
10011 5.62489707 5.4897537 5.1781249 5.4464140 4.8693691 6.0433550
100113386 1.17165012 0.8451782 1.9747196 2.2106564 2.3568238 1.8109670
100113397 0.99561542 1.5488093 0.8071874 1.2473525 0.1934833 -0.1851374
100113407 3.99702447 3.9185638 3.9119023 4.2328078 6.0438708 3.2695709
100125288 -0.51431550 0.8451782 2.8483176 2.1065973 4.1506611 1.9807475
100127983 3.16679298 2.3098863 1.9747196 2.3077122 2.1441300 1.5117067
100128006 3.56399464 2.6058994 3.3885592 1.8728340 1.5926084 3.2364151
100128016 2.02290761 2.0979069 2.1968383 2.1065973 1.2102541 1.3963629
100128025 -0.51431550 -0.1631525 0.3935837 -1.1799596 2.8062898 -0.1851374
100128054 -0.06056847 0.6513460 1.2654449 1.0369876 -0.1369039 -0.1851374
100128071 0.79507679 1.1687667 1.1282546 -0.3893400 2.9875107 2.3341331
100128191 1.82639511 1.3068736 1.9747196 2.2106564 3.8329367 1.1336750
100128252 1.46999765 0.6513460 1.1282546 1.7400202 0.1934833 0.3980950
100128379 -1.17995959 -1.1799596 -0.1885155 -1.1799596 -1.1799596 -1.1799596
100128398 3.84944561 4.2956450 4.9220670 4.7981094 5.2614506 4.9078502
100128494 2.61685396 3.0996488 3.1960169 2.8491542 2.9442946 3.5649392
100128569 1.46999765 1.6560888 2.3279400 2.7140362 2.5989901 2.0586892
100128640 0.56209200 1.4329070 -0.1885155 0.4933489 4.2952579 0.6199927
100128682 0.79507679 1.4329070 1.9747196 1.9944452 0.8841515 1.6185077
100128731 6.49141589 6.4935405 6.1693044 6.5914344 7.0543609 6.5342292
100128766 -1.17995959 -1.1799596 -1.1799596 -1.1799596 -0.5661510 0.1357529
100128782 1.82639511 2.0979069 1.7120683 3.0307109 3.8564393 2.5109065
100128822 3.46604914 3.2442045 2.8483176 3.0864845 3.8795652 3.8323542
100128833 2.27509761 2.4356679 3.0891649 2.8491542 3.1484874 2.4543550
100128881 2.67646395 1.9370321 1.8923702 2.5649435 2.8062898 1.8109670
100128893 5.34160673 5.4153539 5.1429407 5.4140822 5.5261189 4.9390979
100129001 -0.06056847 -0.1631525 0.1316953 0.1184844 -0.1369039 0.8122667
100129013 2.02290761 2.0197107 0.6151570 1.5937283 0.4621297 2.1326350
100129029 0.56209200 0.6513460 0.3935837 0.7906250 1.9826382 -0.5984469
100129060 3.82331181 3.9610277 3.0517134 2.7140362 2.0656425 3.3019819
100129075 1.59882996 1.5488093 2.1968383 2.2106564 3.9685310 2.6177645
100129195 2.61685396 2.6584544 1.8050341 1.5937283 2.8997438 2.3341331
100129203 0.79507679 0.1621137 1.1282546 0.7906250 6.1475339 1.3963629
100129250 1.59882996 2.0979069 0.6151570 1.4309107 1.8007638 1.8983533
100129259 0.56209200 0.4273692 0.6151570 0.1184844 -0.1369039 1.3963629
100129361 5.88704146 5.5810699 5.3029142 5.7866201 4.4108862 5.3796313
100129398 -0.06056847 -0.1631525 -1.1799596 0.1184844 0.4621297 -1.1799596
100129434 0.28409641 1.6560888 1.3907147 1.4309107 2.8062898 0.3980950
100129461 -0.06056847 -0.1631525 1.1282546 1.4309107 2.0656425 -1.1799596
100129484 0.56209200 1.5488093 2.5046447 2.8491542 2.7063601 3.0196822
100129550 3.46604914 3.5526296 4.7918341 3.8042799 6.1331732 4.7046589
100129583 2.11195991 -1.1799596 2.4481143 1.7400202 1.3492726 1.7179443
100129662 1.92799470 2.3741475 2.7109187 2.3986481 4.8808752 2.5653246
100129707 0.56209200 -0.1631525 0.3935837 -0.3893400 -0.5661510 0.3980950
100129716 1.92799470 0.6513460 1.2654449 1.5937283 1.4760648 1.7179443
100129726 -1.17995959 -1.1799596 -1.1799596 -1.1799596 3.3605846 -0.1851374
100129774 2.61685396 4.2277043 4.1431538 3.9912163 3.2227055 3.9997759
100129781 -1.17995959 -0.1631525 -1.1799596 0.7906250 0.4621297 -1.1799596
100129792 0.79507679 -0.1631525 0.1316953 0.7906250 -1.1799596 -0.5984469
100129794 2.78876780 2.7091619 1.7120683 2.1065973 0.1934833 2.8977413
100129842 -0.06056847 -1.1799596 1.3907147 0.7906250 0.1934833 0.6199927
100129917 2.48969381 1.6560888 3.8477947 3.3369707 2.3568238 1.7179443
100129924 -0.06056847 1.0160259 -0.1885155 1.4309107 3.2227055 0.8122667
100129940 -0.06056847 0.4273692 -0.1885155 0.7906250 -0.5661510 0.3980950
100129995 1.46999765 0.8451782 0.3935837 -1.1799596 2.2185669 0.3980950
10013 6.08149450 6.1011713 6.5477918 6.4865086 6.4513577 5.9995620
100130111 -0.06056847 1.0160259 0.3935837 0.7906250 1.2102541 1.7179443
100130197 -0.51431550 -0.1631525 0.3935837 -0.3893400 0.4621297 0.6199927
100130335 4.08763926 3.3113903 3.2299451 4.0763219 2.8997438 3.8974351
100130348 3.20777477 2.8513949 3.4182919 3.8042799 2.2893509 2.5109065
100130357 0.28409641 0.8451782 -1.1799596 -0.3893400 -0.1369039 0.9819030
100130466 3.24762451 3.6071245 3.0517134 2.4841905 2.2893509 3.1321147
100130476 0.56209200 1.4329070 -0.6006954 -1.1799596 0.6885173 0.3980950
100130522 0.56209200 0.8451782 1.1282546 0.1184844 3.4864285 0.9819030
100130550 1.17165012 0.1621137 1.1282546 -1.1799596 -0.1369039 0.1357529
100130564 2.89295741 3.1371682 2.5590434 1.9944452 2.9442946 3.5649392
100130581 0.79507679 -0.1631525 0.3935837 1.0369876 -1.1799596 0.3980950
100130691 0.99561542 1.0160259 1.1282546 1.8728340 0.1934833 1.5117067
100130705 2.02290761 3.2442045 4.5311237 4.0763219 3.4559816 1.6185077
100130748 1.17165012 0.8451782 0.9766342 0.4933489 0.8841515 1.5117067
100130750 1.71709480 2.1720818 1.3907147 2.5649435 1.3492726 1.8983533
100130855 2.35023273 1.8493256 1.6126968 2.1065973 1.7004370 1.3963629
100130958 -0.06056847 0.8451782 1.3907147 1.8728340 2.4212815 1.8983533
100131017 3.28640305 2.6584544 2.5590434 2.5649435 3.6021704 2.8103167
100131031 0.99561542 2.1720818 1.7120683 1.5937283 1.4760648 1.3963629
100131033 -0.06056847 2.0197107 1.2654449 1.7400202 2.4212815 1.5117067
100131067 2.84180296 2.7581476 2.3892781 3.2419290 3.5740938 2.9395440
100131089 3.03636250 3.1371682 3.6108489 3.1919523 2.4212815 2.5109065
100131094 0.79507679 0.6513460 1.1282546 1.0369876 0.4621297 1.3963629
100131138 4.96504283 4.6342201 5.3729149 5.2405700 3.3605846 4.4097936
100131187 3.43186506 3.7103025 2.8039562 3.0307109 3.3605846 3.6926621
100131193 3.71376854 3.0215496 2.7109187 1.4309107 2.8062898 2.7172507
100131211 3.39685130 3.2442045 3.5039811 3.5894642 3.6297111 3.3646979
100131213 0.56209200 0.6513460 0.1316953 2.1065973 3.1098956 2.1326350
100131471 2.27509761 2.0197107 2.7581873 1.4309107 1.3492726 1.9807475
100131656 3.79669585 3.1737364 3.7341808 4.1825085 4.6582645 3.2695709
100131685 1.17165012 0.8451782 0.1316953 1.7400202 0.8841515 0.1357529
100131691 2.42164777 2.0197107 2.5046447 1.8728340 4.7236236 2.7172507
100131740 -0.51431550 0.1621137 -0.1885155 0.4933489 0.4621297 0.1357529
100131801 3.28640305 2.8513949 2.7581873 2.9122461 3.9247338 3.4539387
100131827 -0.51431550 -1.1799596 -0.1885155 0.4933489 1.4760648 0.8122667
100131828 -0.51431550 0.8451782 0.3935837 0.4933489 0.6885173 0.3980950
100131940 1.32852242 1.6560888 1.9747196 1.9944452 1.7004370 1.8109670
100132074 2.02290761 1.8493256 1.3907147 1.0369876 2.8997438 2.5653246
100132086 -0.06056847 -1.1799596 0.6151570 0.1184844 -1.1799596 0.8122667
100132116 6.09247791 6.3167983 4.3424076 5.2157744 5.7745642 5.4679807
100132126 0.28409641 1.3068736 -0.1885155 0.4933489 -0.5661510 0.3980950
100132215 0.79507679 -0.1631525 1.2654449 0.4933489 1.4760648 1.2709895
100132537 2.84180296 2.8513949 2.1968383 2.1065973 1.7004370 1.7179443
100132609 1.59882996 1.1687667 -0.1885155 1.0369876 -0.1369039 -0.1851374
100132659 -0.06056847 0.6513460 0.9766342 0.1184844 -0.1369039 0.1357529
100132891 -0.51431550 -0.5837706 1.5059710 1.2473525 -1.1799596 0.9819030
100132972 0.28409641 0.4273692 1.3907147 1.0369876 -1.1799596 0.3980950
100133234 1.59882996 1.1687667 0.8071874 0.1184844 1.2102541 1.5117067
100133286 -0.06056847 0.1621137 0.6151570 0.4933489 -0.1369039 0.1357529
100133315 1.46999765 -0.5837706 0.3935837 -1.1799596 0.8841515 0.9819030
100134934 2.67646395 2.4356679 2.5590434 2.3077122 -0.1369039 1.8109670
10014 6.65222745 6.8016946 6.2746500 6.7292138 6.1758335 6.6892936
100144603 0.56209200 0.4273692 0.8071874 0.1184844 1.2102541 0.3980950
100144748 2.11195991 1.0160259 1.8923702 2.1065973 6.7310894 4.0387624
10015 7.37770748 7.5503490 7.5359334 7.5881290 7.5175620 7.8527131
10016 5.21666635 5.2877074 4.9528678 4.6942364 5.8642439 5.2773893
100170229 0.56209200 0.8451782 0.1316953 0.1184844 -0.1369039 1.5117067
100170841 4.27283911 3.5245903 3.4474242 3.2902323 7.0157416 1.2709895
10018 4.27283911 3.6071245 4.2462179 3.9315556 6.5662751 3.9392466
100188847 0.56209200 1.8493256 1.5059710 1.8728340 1.3492726 1.8983533
10019 4.85325181 3.8968538 5.0125642 4.8311357 5.8526038 3.7407448
100190938 0.56209200 -1.1799596 1.2654449 0.7906250 -0.1369039 -1.1799596
1002 -0.06056847 -1.1799596 -1.1799596 0.1184844 -0.5661510 -1.1799596
10020 4.10943078 3.6071245 4.1070953 3.6646799 4.2604445 3.2364151
10021 7.92268443 8.1060724 7.3784620 7.7040947 8.0796871 8.1550874
10023 2.61685396 1.8493256 1.8050341 2.6414149 5.5039670 2.3954960
10024 4.04304318 3.5526296 1.3907147 1.4309107 2.8997438 -0.5984469
10026 5.72003547 6.2369676 6.4682985 6.3044638 6.0692365 6.5170751
100268168 1.59882996 0.4273692 1.8050341 1.4309107 2.7571900 1.9807475
100270804 1.32852242 1.7559401 1.8923702 1.2473525 0.8841515 2.6683650
100270827 -0.06056847 -0.1631525 1.5059710 1.2473525 1.0563972 1.2709895
100270840 3.56399464 3.9610277 3.9119023 4.4396864 3.4864285 4.1497732
100270854 4.04304318 4.0022773 4.2462179 4.5627700 3.6832637 4.0387624
100270865 5.17593994 5.0914282 5.0415109 5.4675729 4.1506611 4.6172069
100271271 2.67646395 2.6058994 2.6620487 2.6414149 2.7571900 2.8103167
100271332 -1.17995959 -1.1799596 -1.1799596 0.1184844 -0.5661510 -0.1851374
100271415 2.94236000 1.7559401 2.4481143 1.4309107 1.4760648 2.3954960
100271479 -0.51431550 0.8451782 1.2654449 -1.1799596 0.4621297 -0.1851374
100271884 0.79507679 -1.1799596 0.1316953 0.1184844 -0.1369039 0.6199927
100272147 2.11195991 2.4946720 2.9737614 1.9944452 3.0294699 2.7172507
100286844 1.59882996 -0.1631525 1.7120683 1.7400202 1.7004370 1.3963629
100287015 1.46999765 1.6560888 2.2638779 2.7831765 3.0702431 2.1326350
100287049 0.99561542 2.0197107 1.3907147 1.0369876 0.4621297 1.3963629
100287074 1.59882996 0.6513460 0.3935837 1.4309107 1.3492726 0.3980950
100287616 3.59521919 3.5526296 2.8913556 2.3986481 3.4248783 3.0581415
100287722 1.17165012 0.6513460 0.8071874 0.7906250 2.3568238 1.5117067
100287808 0.56209200 -0.1631525 0.3935837 -1.1799596 4.0725379 -0.1851374
100287837 1.92799470 1.1687667 -0.1885155 1.0369876 0.8841515 1.1336750
100287896 2.55467443 2.8958516 2.8039562 3.1919523 -1.1799596 3.4248009
100287902 1.32852242 -1.1799596 0.9766342 -0.3893400 1.5926084 -0.1851374
100287928 2.48969381 2.5513573 2.5590434 3.0307109 2.5989901 2.8546911
100287932 5.33237083 5.6080427 5.1340089 5.1120975 5.0330092 5.0482087
100288001 2.42164777 1.9370321 1.6126968 2.1065973 1.8945651 1.8109670
100288073 4.58427890 2.5513573 6.6977678 5.9383115 1.4760648 1.5117067
100288123 2.73370836 1.1687667 -0.1885155 1.5937283 0.6885173 1.1336750
100288198 0.28409641 2.4356679 2.1265311 3.0864845 3.3930896 1.9807475
100288241 -1.17995959 -1.1799596 -1.1799596 -1.1799596 -1.1799596 -1.1799596
100288413 2.78876780 2.9389793 2.8913556 3.5101103 6.1475339 3.2695709
100288513 -1.17995959 -0.5837706 0.6151570 -0.3893400 -0.5661510 -1.1799596
100288842 2.02290761 1.3068736 0.8071874 0.7906250 -0.1369039 2.0586892
100289061 0.28409641 1.9370321 0.9766342 0.1184844 2.4829822 2.2029748
100289095 0.79507679 0.8451782 1.8050341 1.0369876 1.5926084 -0.5984469
100289133 3.68503190 3.5526296 3.0132638 3.2419290 3.1860736 2.8103167
100289178 1.32852242 2.6584544 2.0526213 2.2106564 2.0656425 2.1326350
100289211 0.56209200 0.8451782 0.8071874 0.4933489 0.4621297 0.6199927
100289259 0.56209200 0.8451782 0.9766342 2.3077122 1.4760648 1.2709895
100289274 4.34808893 1.8493256 5.4469063 4.9105379 4.5614826 2.4543550
100289341 -0.06056847 1.3068736 1.2654449 1.7400202 3.9685310 0.6199927
100289373 0.99561542 1.6560888 1.2654449 1.5937283 3.2227055 1.1336750
100289388 1.32852242 2.0979069 1.8050341 1.8728340 1.0563972 1.2709895
100289414 0.56209200 0.4273692 -1.1799596 0.1184844 -0.1369039 0.6199927
100289635 5.43085252 5.2193828 5.7745586 5.6170846 3.9899409 5.3872040
100289640 1.59882996 0.1621137 1.8923702 1.0369876 1.9826382 0.9819030
100289678 2.94236000 3.1371682 3.1256686 3.7361678 3.8564393 3.9597065
100293516 4.43694669 3.5801344 2.9331468 2.7831765 2.0656425 3.8543757
100294362 1.46999765 0.8451782 1.6126968 2.3077122 1.7004370 0.1357529
1003 1.82639511 0.1621137 0.8071874 1.2473525 0.8841515 -0.5984469
100302692 3.36096658 2.4356679 3.0132638 2.3077122 2.2185669 3.4824997
100302736 1.59882996 1.7559401 2.9737614 3.1919523 0.8841515 1.1336750
100303728 2.94236000 3.9399520 3.0891649 3.7706258 3.6297111 3.6173928
100303755 1.82639511 1.6560888 1.8050341 1.5937283 0.1934833 1.8109670
100312828 0.99561542 -0.1631525 0.1316953 2.3077122 0.1934833 0.9819030
100312850 1.17165012 2.3741475 1.2654449 1.2473525 0.6885173 1.8109670
10036 4.71794952 4.4966564 2.8913556 3.2902323 4.8460778 3.3336807
100379345 1.32852242 1.6560888 0.1316953 0.7906250 -0.1369039 0.8122667
10038 5.54719112 5.5184715 5.7860076 4.9411143 3.0702431 5.4318236
100381270 0.56209200 0.4273692 -0.1885155 0.4933489 1.2102541 1.8983533
10039 3.20777477 3.4668219 3.5584043 4.1036102 1.7004370 3.8099914
1004 5.14462245 4.4226211 4.0512593 3.5894642 3.3605846 4.6678266
10040 4.59975767 4.0224682 4.4470790 4.8792995 3.1484874 4.6802088
100418710 1.17165012 1.3068736 0.9766342 2.2106564 1.9826382 1.3963629
100418735 0.99561542 1.5488093 0.9766342 0.7906250 0.4621297 1.9807475
100418744 2.67646395 1.6560888 0.6151570 0.7906250 2.2893509 2.2029748
100418770 -1.17995959 -0.5837706 -1.1799596 -1.1799596 -1.1799596 -1.1799596
100418781 2.61685396 2.5513573 1.2654449 1.7400202 1.8945651 2.2700439
100418819 2.02290761 2.0979069 0.9766342 1.8728340 1.9826382 1.6185077
100418829 1.59882996 1.4329070 0.8071874 1.4309107 0.6885173 0.6199927
100418888 0.56209200 2.1720818 0.6151570 1.2473525 0.4621297 1.2709895
100418889 3.39685130 2.6584544 2.9331468 2.6414149 2.4212815 2.7645340
100418910 0.56209200 0.1621137 0.1316953 -0.3893400 -0.1369039 -0.1851374
100418919 2.61685396 2.8055245 2.8039562 2.2106564 2.8062898 2.3341331
100419028 1.17165012 1.6560888 1.9747196 2.1065973 2.8997438 1.2709895
100419185 -0.06056847 -1.1799596 0.3935837 0.4933489 0.8841515 0.3980950
100419416 1.32852242 0.8451782 1.1282546 -1.1799596 1.5926084 0.1357529
100419515 -1.17995959 0.4273692 0.6151570 0.4933489 -0.1369039 0.8122667
100419645 0.99561542 0.8451782 -1.1799596 1.0369876 0.4621297 -1.1799596
100419758 2.02290761 0.8451782 1.7120683 0.7906250 2.2893509 1.9807475
100419928 2.02290761 2.6584544 1.8050341 2.1065973 1.3492726 2.0586892
10042 5.32307543 5.0128703 4.8031473 4.7643093 4.7363474 4.7287014
100420028 -0.06056847 0.1621137 0.6151570 0.1184844 1.3492726 0.6199927
100420050 0.79507679 -1.1799596 0.8071874 0.1184844 -1.1799596 -0.5984469
100420110 2.94236000 3.3113903 3.1612715 3.4687341 3.8564393 3.5105062
100420187 0.56209200 -1.1799596 -0.1885155 0.4933489 0.4621297 0.8122667
100420259 3.94948936 3.6851915 3.7576307 3.8371669 3.8564393 4.0953353
100420307 0.99561542 0.8451782 -0.1885155 -1.1799596 0.4621297 0.8122667
100420341 5.12335995 5.4678338 7.2664508 6.8589835 4.7861495 5.2692160
100420423 2.11195991 0.4273692 1.5059710 0.1184844 1.0563972 1.6185077
100420591 0.56209200 0.8451782 -0.1885155 1.0369876 0.4621297 0.1357529
100420707 1.17165012 2.1720818 2.8913556 1.4309107 2.0656425 1.8109670
100420752 1.92799470 2.1720818 2.6114652 1.2473525 -0.1369039 1.3963629
100420869 4.15205054 4.0620213 3.8694820 3.4261362 4.7861495 3.9597065
100420981 5.76191520 5.8475554 5.9062909 5.8921093 5.3958411 5.6615053
100421093 3.92512127 3.5526296 3.9931750 3.8371669 4.5031166 3.8543757
100421109 -0.51431550 0.1621137 0.3935837 0.1184844 1.2102541 -0.5984469
100421160 0.99561542 0.6513460 0.3935837 0.7906250 0.1934833 0.8122667
100421175 -0.06056847 -0.5837706 -0.1885155 -1.1799596 0.8841515 -0.5984469
100421246 0.56209200 0.1621137 0.6151570 0.1184844 1.2102541 0.9819030
100421311 -1.17995959 1.3068736 1.2654449 1.7400202 2.0656425 0.6199927
100421372 1.59882996 1.6560888 1.8050341 2.3986481 4.0725379 1.5117067
100421400 1.46999765 1.9370321 2.4481143 1.4309107 0.4621297 1.9807475
100421415 1.46999765 1.4329070 2.3892781 1.2473525 -1.1799596 2.2029748
100421429 -1.17995959 -0.5837706 0.3935837 1.0369876 -0.1369039 -1.1799596
100421465 1.32852242 0.8451782 1.6126968 1.0369876 1.2102541 -0.1851374
100421468 2.35023273 2.0979069 1.8923702 2.1065973 2.4212815 2.3341331
100421506 0.56209200 0.4273692 1.1282546 -1.1799596 1.5926084 -0.5984469
100421569 1.17165012 -0.1631525 1.2654449 -0.3893400 1.5926084 0.6199927
100421595 -0.06056847 -1.1799596 -0.6006954 0.1184844 -0.1369039 0.1357529
100421794 -1.17995959 -1.1799596 -1.1799596 -1.1799596 -1.1799596 -1.1799596
100422106 1.32852242 1.1687667 1.5059710 1.8728340 2.3568238 1.6185077
100422338 1.32852242 2.7091619 2.0526213 1.9944452 2.6536737 2.3341331
100422546 0.56209200 0.1621137 0.6151570 0.1184844 1.9826382 0.3980950
100422561 3.16679298 3.6336190 3.8477947 3.5101103 2.7063601 2.8103167
10043 5.74808993 5.9721645 5.6485177 5.8443784 5.4038390 5.9492913
10044 0.99561542 0.1621137 -0.1885155 -1.1799596 2.4212815 -0.1851374
10045 -0.06056847 0.4273692 -0.1885155 0.4933489 1.8945651 0.8122667
10046 -0.06056847 -0.5837706 -0.1885155 0.4933489 1.4760648 0.3980950
10048 6.73516261 6.5744037 6.7944672 6.5573000 7.4554310 6.7697099
10049 6.35669200 5.8700143 6.1517116 6.3393174 6.5698339 6.3254228
100499177 2.94236000 2.1720818 2.7581873 2.7140362 1.7004370 3.4248009
100499483 3.20777477 2.9389793 3.1256686 2.3077122 2.1441300 3.1321147
1005 0.56209200 -0.1631525 -1.1799596 -1.1799596 -0.1369039 -1.1799596
100500719 0.56209200 1.7559401 0.8071874 0.1184844 1.4760648 1.3963629
100505385 4.04304318 2.7091619 2.0526213 3.2419290 3.7093125 2.8977413
100505501 2.11195991 0.8451782 2.3892781 2.5649435 1.3492726 2.4543550
100505538 0.99561542 0.8451782 0.8071874 -1.1799596 3.3605846 0.8122667
100505549 0.79507679 1.9370321 0.8071874 2.2106564 0.6885173 1.8983533
100505573 5.96081945 6.1200331 5.9010356 6.2926563 7.3225156 7.2105764
100505576 1.82639511 1.1687667 2.1968383 -1.1799596 2.5421519 1.7179443
100505616 0.99561542 0.4273692 0.6151570 0.1184844 0.1934833 0.1357529
100505624 1.17165012 2.1720818 0.8071874 -0.3893400 0.6885173 0.3980950
100505635 -0.06056847 0.8451782 -0.6006954 -1.1799596 -1.1799596 -0.1851374
100505641 2.67646395 2.8055245 2.7109187 2.3986481 2.4212815 2.8103167
100505648 1.92799470 2.7581476 3.1256686 2.4841905 1.8945651 3.3019819
100505678 2.19583345 2.5513573 2.3892781 2.7831765 2.2893509 3.2024792
100505696 5.09086683 4.5110183 5.1606401 4.6393538 5.2789502 4.9996333
100505715 0.28409641 1.1687667 0.9766342 1.7400202 0.6885173 1.6185077
100505738 3.49944196 3.9399520 3.0132638 3.6275622 4.2779562 3.3019819
100505741 1.32852242 2.6058994 1.8050341 1.5937283 2.3568238 2.3954960
100505758 3.46604914 3.1371682 3.6363732 3.4261362 3.0702431 3.5914044
100505761 2.78876780 2.8513949 3.6861057 3.8371669 2.6536737 3.8099914
100505771 1.32852242 2.9808551 2.2638779 2.3077122 2.6536737 2.6683650
100505783 2.67646395 2.0197107 3.0132638 2.8491542 4.6715754 3.2364151
100505806 5.26600902 4.4226211 5.4965313 5.2157744 4.0318304 4.3490488
100505812 0.79507679 2.1720818 2.1265311 1.5937283 1.2102541 -0.1851374
100505832 0.99561542 1.6560888 2.8039562 1.0369876 2.4212815 1.5117067
100505854 5.15513733 3.2781885 4.9730423 4.5228976 5.6920606 3.6429214
100505876 5.69863071 5.7049241 5.5309608 5.7696839 5.1132433 6.2443545
100505894 2.89295741 2.3098863 3.2954978 3.0307109 2.3568238 3.3019819
100505933 -1.17995959 0.1621137 0.1316953 0.1184844 0.6885173 -1.1799596
100505994 1.32852242 0.1621137 0.9766342 1.0369876 -1.1799596 -0.1851374
100506020 2.27509761 1.4329070 1.7120683 0.7906250 0.6885173 2.5653246
100506033 4.38429138 4.4073469 4.3578337 4.3051141 4.2604445 4.9183415
100506054 -0.06056847 1.3068736 0.6151570 0.4933489 1.4760648 1.2709895
100506068 1.32852242 1.6560888 0.3935837 0.1184844 2.6536737 2.2029748
100506070 2.61685396 1.1687667 1.8923702 2.1065973 0.6885173 1.9807475
100506083 0.28409641 0.1621137 1.1282546 0.7906250 0.6885173 1.5117067
100506100 -1.17995959 0.6513460 -0.6006954 0.7906250 0.6885173 -1.1799596
100506119 1.71709480 2.2426288 1.3907147 1.9944452 3.2584302 2.0586892
100506127 2.84180296 1.7559401 0.8071874 1.5937283 2.4829822 1.8983533
100506142 -0.06056847 -1.1799596 -0.6006954 0.7906250 -0.1369039 0.6199927
100506144 0.79507679 0.6513460 1.8050341 2.5649435 0.6885173 1.2709895
100506161 1.59882996 -0.1631525 1.1282546 -1.1799596 -0.1369039 -0.1851374
100506211 3.65571120 4.0813986 2.2638779 1.7400202 0.1934833 2.2700439
100506235 1.59882996 1.8493256 2.0526213 2.1065973 3.0294699 2.2029748
100506258 1.17165012 2.5513573 1.8050341 1.5937283 1.4760648 2.8546911
100506282 2.55467443 2.6584544 2.7581873 2.7140362 2.5421519 2.6683650
100506286 0.99561542 1.1687667 1.5059710 0.1184844 3.7348994 1.3963629
100506302 1.82639511 1.7559401 -0.1885155 1.4309107 1.8945651 2.0586892
100506321 1.71709480 0.4273692 -0.1885155 0.1184844 0.4621297 0.1357529
100506325 0.28409641 1.1687667 1.5059710 0.4933489 1.7004370 1.3963629
100506343 0.79507679 0.6513460 0.6151570 -0.3893400 3.1098956 0.6199927
100506365 5.52303906 5.3449471 5.5909363 5.4780371 3.2227055 5.3872040
100506368 -0.06056847 -0.1631525 0.8071874 -1.1799596 0.4621297 0.3980950
100506380 4.15205054 3.8748121 3.8694820 4.4181114 4.0725379 3.7169037
100506392 3.94948936 3.2442045 3.6108489 3.5503327 2.4829822 3.0196822
100506394 2.19583345 1.6560888 3.0517134 2.1065973 5.1229659 2.5109065
100506411 1.46999765 1.3068736 0.6151570 1.4309107 3.1098956 0.6199927
100506433 3.24762451 2.2426288 3.0132638 2.4841905 1.2102541 4.5103060
100506462 0.99561542 0.1621137 0.3935837 0.7906250 3.1098956 1.2709895
100506469 4.80064360 4.9404381 5.0222778 5.2769821 4.8224044 5.0386236
100506495 1.46999765 1.3068736 1.3907147 0.4933489 2.8537734 1.5117067
100506504 1.92799470 1.3068736 2.3279400 2.1065973 1.9826382 0.9819030
100506540 2.19583345 1.0160259 0.6151570 -1.1799596 2.4829822 0.9819030
100506581 -0.06056847 1.4329070 1.2654449 2.3077122 0.6885173 1.5117067
100506606 1.71709480 0.4273692 0.9766342 1.0369876 3.0702431 0.8122667
100506658 1.59882996 1.6560888 2.6114652 2.3077122 3.1484874 0.3980950
100506668 2.42164777 2.1720818 2.7581873 1.9944452 2.5421519 2.2700439
100506686 0.79507679 1.6560888 1.8050341 2.7140362 0.8841515 1.6185077
100506691 0.28409641 1.5488093 0.9766342 1.4309107 0.1934833 0.9819030
100506696 1.71709480 2.6058994 2.4481143 2.9726941 3.5454598 1.9807475
100506697 0.79507679 0.4273692 0.1316953 -1.1799596 0.4621297 0.1357529
100506710 6.75948575 6.3571048 7.2947786 7.1083619 7.2600035 6.7609929
100506713 -0.51431550 0.4273692 -0.6006954 -1.1799596 0.1934833 0.6199927
100506725 4.81397659 4.5252385 4.2627015 2.6414149 1.3492726 3.2364151
100506731 2.35023273 1.1687667 1.5059710 2.5649435 3.0294699 1.7179443
100506757 -0.51431550 -1.1799596 1.9747196 1.5937283 2.1441300 0.3980950
100506779 -0.51431550 0.6513460 0.1316953 -0.3893400 0.8841515 0.3980950
100506804 0.56209200 0.6513460 0.3935837 0.7906250 1.7004370 -0.5984469
100506826 2.55467443 1.7559401 1.5059710 1.0369876 0.8841515 2.3341331
100506844 2.99012673 2.6584544 3.5039811 3.7361678 2.3568238 1.9807475
100506866 6.57210072 6.6956675 6.8225348 6.2985721 4.6175789 6.3175180
100506881 0.56209200 0.1621137 1.1282546 0.7906250 4.1881915 -0.5984469
100506885 0.79507679 -1.1799596 -1.1799596 0.1184844 1.0563972 -1.1799596
100506911 0.56209200 0.8451782 0.3935837 1.7400202 -0.1369039 0.9819030
100506922 0.28409641 0.4273692 -0.1885155 -0.3893400 3.6297111 0.6199927
100506930 4.04304318 3.9610277 4.1431538 4.0485075 3.2227055 4.3797409
100506994 -1.17995959 0.4273692 0.9766342 0.1184844 1.5926084 0.1357529
100507003 1.82639511 0.4273692 1.9747196 2.9726941 -0.1369039 1.1336750
100507032 0.99561542 1.4329070 0.8071874 1.2473525 1.8945651 1.3963629
100507034 3.08116239 2.8513949 2.5046447 2.9122461 3.7348994 3.3019819
100507050 0.56209200 1.9370321 -0.1885155 0.1184844 3.6297111 -1.1799596
100507053 0.79507679 0.4273692 1.6126968 0.7906250 2.5989901 2.6177645
100507057 0.56209200 -0.1631525 0.6151570 0.4933489 1.5926084 1.1336750
100507062 0.99561542 -0.1631525 1.5059710 0.4933489 3.6021704 1.1336750
100507071 -0.06056847 0.6513460 0.9766342 -0.3893400 0.1934833 0.1357529
100507156 2.99012673 2.8055245 2.4481143 2.7140362 3.9467986 1.8109670
100507171 2.99012673 2.9389793 3.7103435 4.0485075 1.2102541 2.1326350
100507173 0.99561542 0.4273692 1.1282546 0.4933489 -0.1369039 0.8122667
100507178 0.28409641 0.4273692 1.3907147 1.0369876 1.2102541 1.3963629
100507244 0.79507679 0.8451782 1.6126968 1.2473525 2.4829822 1.3963629
100507246 2.89295741 3.4066435 2.0526213 3.5503327 2.4829822 2.9395440
100507250 -0.06056847 -0.1631525 0.1316953 -1.1799596 -0.5661510 0.3980950
100507254 0.56209200 0.4273692 -1.1799596 -1.1799596 -1.1799596 -1.1799596
100507266 0.99561542 0.8451782 1.2654449 1.4309107 1.2102541 -0.5984469
100507290 4.61507212 4.4821502 4.4897133 4.8792995 4.3459517 5.0482087
100507291 2.84180296 0.4273692 2.2638779 2.7140362 2.0656425 2.2029748
100507303 2.89295741 3.6071245 2.3279400 2.6414149 3.0294699 3.1677259
100507308 0.56209200 0.4273692 -0.1885155 0.4933489 0.4621297 1.6185077
100507316 1.32852242 2.0197107 1.3907147 2.9122461 2.7571900 2.6683650
100507331 2.27509761 1.9370321 2.0526213 2.7140362 2.5989901 2.2700439
100507347 1.82639511 1.4329070 1.2654449 1.2473525 2.5989901 1.3963629
100507373 1.32852242 2.1720818 2.5046447 2.3077122 2.8537734 2.4543550
100507392 1.46999765 0.8451782 -1.1799596 -1.1799596 0.4621297 -0.1851374
100507398 0.56209200 1.3068736 2.2638779 2.6414149 4.0110377 1.7179443
100507401 0.99561542 1.0160259 0.6151570 -1.1799596 1.8007638 1.2709895
100507420 1.32852242 0.1621137 0.1316953 0.7906250 -0.1369039 0.8122667
100507433 2.35023273 1.9370321 1.9747196 1.4309107 2.5989901 2.6177645
100507436 -1.17995959 0.1621137 0.3935837 0.4933489 0.4621297 0.3980950
100507437 1.92799470 2.0979069 2.2638779 3.0307109 1.4760648 1.2709895
100507459 2.27509761 2.0979069 2.7581873 1.7400202 3.8090448 2.2700439
100507463 0.28409641 1.4329070 0.8071874 0.1184844 2.9442946 2.6683650
100507487 2.35023273 1.8493256 2.6620487 2.3077122 3.2584302 3.0196822
100507495 2.61685396 2.6058994 2.7109187 2.2106564 3.1098956 2.2029748
100507516 -0.06056847 0.4273692 -0.6006954 -1.1799596 -1.1799596 -1.1799596
100507551 2.11195991 2.2426288 1.2654449 1.2473525 1.7004370 1.5117067
100507557 -0.06056847 0.4273692 1.8050341 0.7906250 1.8007638 1.3963629
100507564 -0.06056847 -1.1799596 -0.1885155 0.7906250 1.0563972 0.1357529
100507567 0.79507679 1.4329070 0.8071874 0.7906250 2.1441300 0.3980950
100507588 1.17165012 0.8451782 0.8071874 -0.3893400 0.6885173 0.8122667
100507599 1.32852242 1.4329070 1.9747196 1.2473525 1.7004370 2.1326350
100507602 3.12461291 3.2442045 2.6620487 2.6414149 2.3568238 2.5109065
100508120 3.43186506 2.8513949 3.5584043 3.3369707 0.1934833 2.7645340
10051 7.05729696 7.0157371 5.7099120 5.1387235 6.2924292 5.6426475
10052 1.59882996 1.4329070 0.9766342 1.7400202 1.8945651 1.7179443
100526737 2.11195991 1.9370321 2.4481143 1.5937283 2.4212815 1.8983533
100526760 0.56209200 -0.1631525 1.2654449 1.2473525 1.3492726 0.1357529
100526820 1.17165012 -0.1631525 -0.6006954 1.4309107 1.3492726 0.6199927
100526835 5.24647399 4.7108724 4.3730966 4.3051141 -0.1369039 4.2856335
100527978 1.32852242 1.4329070 1.2654449 1.4309107 1.0563972 0.8122667
100529145 1.32852242 2.0197107 0.8071874 1.9944452 0.1934833 1.8983533
100529215 -0.51431550 -0.1631525 0.9766342 0.7906250 -0.5661510 1.5117067
100532746 3.74194395 4.1924952 4.0887224 4.2328078 4.0523277 4.4822956
100533106 1.17165012 1.1687667 -0.1885155 1.5937283 0.8841515 0.3980950
100533182 -0.51431550 -0.1631525 1.1282546 0.7906250 2.7063601 2.2029748
100533619 -0.06056847 0.4273692 -0.6006954 -1.1799596 2.1441300 0.1357529
100533629 1.32852242 1.3068736 0.9766342 0.1184844 -0.5661510 0.9819030
100533695 0.28409641 -0.1631525 0.3935837 0.7906250 0.6885173 0.1357529
100533970 0.99561542 0.6513460 1.6126968 1.4309107 1.9826382 1.1336750
100534593 0.56209200 2.0197107 1.8923702 1.2473525 2.1441300 3.0581415
10054 5.73413089 5.4751775 5.6039323 5.5191510 5.6183644 5.6041758
10056 5.74808993 5.4153539 5.8364323 5.4884259 4.3949245 5.6489608
10057 7.45420812 7.6687711 7.7571086 7.5588531 8.4812805 8.4490199
10058 4.13089804 4.8071245 5.6978404 5.6728047 6.6693967 5.9796634
10059 7.35963701 7.0282725 6.4718473 6.4813166 6.7215221 6.8757942
1006 5.31371974 5.8475554 5.5034832 6.0960851 6.9045821 7.8568097
10060 2.73370836 4.1380160 4.2126746 4.4396864 3.9247338 4.3490488
100616256 0.56209200 1.3068736 0.6151570 0.4933489 1.0563972 0.9819030
10062 0.28409641 2.0197107 0.9766342 1.8728340 2.5421519 2.2700439
10063 4.27283911 3.6851915 4.2951142 4.5429715 4.1121282 4.2361730
100652739 0.28409641 -1.1799596 0.8071874 1.8728340 2.0656425 0.1357529
100652758 0.99561542 0.1621137 -0.1885155 1.5937283 3.7348994 0.8122667
100652846 2.55467443 3.0611276 2.2638779 1.8728340 1.8007638 3.6680061
10066 6.11957608 6.3885584 6.4894619 6.8347611 6.4552112 6.5376357
10067 5.78240782 6.2711204 6.6263210 6.7892686 5.8290381 6.6202841
10068 3.12461291 2.8055245 2.9331468 3.0864845 3.9899409 3.7407448
10069 4.41960758 4.3919093 4.6611562 4.7981094 6.2217999 4.3948455
10072 4.53682051 5.0914282 3.8477947 4.0201463 5.6723321 4.7523499
10073 4.31095458 3.5245903 3.6363732 4.0763219 3.7348994 4.1137104
10075 8.46723516 8.7307101 9.1571401 9.1250117 8.9153523 9.2716644
10076 5.21666635 5.6986639 5.6672119 5.8033597 7.0052661 6.7374868
10077 4.56863226 4.6857714 2.8913556 3.8042799 1.5926084 4.3017506
100775107 1.71709480 1.1687667 1.2654449 0.4933489 1.0563972 1.9807475
10078 5.03503046 4.5532654 4.5446672 5.0291374 5.3633988 5.0094801
10079 4.40205754 5.1476610 5.4251046 5.8033597 5.4431764 5.6552467
1008 3.97345268 4.4966564 3.5039811 4.1303919 4.3949245 6.5511818
10081 5.44805781 4.8529448 5.1429407 5.1648671 6.6187571 4.9797357
10082 7.36643999 8.1155022 8.3116864 7.9381019 7.0157416 8.0154770
100820829 5.68418237 5.7358242 4.6858132 4.7471075 3.6297111 5.2855165
10084 5.01207644 5.1198186 4.9830247 5.0849707 4.7861495 5.5102059
100847074 1.82639511 1.0160259 2.1265311 1.2473525 2.0656425 1.5117067
10085 8.34741833 8.3818705 8.3372037 8.5816297 8.5405186 8.7912437
100852407 1.59882996 0.6513460 2.0526213 2.1065973 1.5926084 0.6199927
100861412 1.59882996 0.8451782 1.9747196 0.1184844 -1.1799596 0.3980950
100861548 3.24762451 4.0813986 4.8143724 5.1387235 5.7929516 4.6924856
100862671 1.17165012 1.6560888 0.6151570 0.1184844 0.8841515 0.6199927
10087 6.12493516 6.0231567 6.3304481 6.7026905 7.7781724 6.4643538
100873257 0.56209200 0.6513460 0.9766342 0.1184844 0.6885173 0.1357529
100873333 2.78876780 3.1371682 2.5046447 3.2419290 3.5162461 2.8546911
100873790 4.19344729 4.3121417 3.6363732 3.1919523 4.1506611 4.1497732
100873949 1.17165012 0.6513460 0.9766342 0.1184844 -0.5661510 1.6185077
100873952 1.17165012 -0.1631525 0.8071874 0.4933489 -0.5661510 0.6199927
100873965 2.02290761 2.3098863 1.9747196 2.6414149 1.3492726 1.8983533
100874006 -0.06056847 0.1621137 -0.6006954 0.7906250 -0.5661510 0.1357529
100874008 1.32852242 0.4273692 0.8071874 1.4309107 2.5421519 2.1326350
100874014 3.90033450 2.7091619 3.3271899 3.1919523 2.2893509 4.0953353
100874058 0.79507679 1.4329070 2.1968383 1.2473525 0.4621297 1.8983533
100874080 0.99561542 1.3068736 0.9766342 0.1184844 0.6885173 1.8109670
100874097 1.17165012 1.0160259 1.5059710 1.8728340 1.2102541 1.2709895
100874201 0.79507679 1.0160259 0.3935837 -0.3893400 -0.1369039 -0.5984469
100874212 0.28409641 1.0160259 0.8071874 1.7400202 1.3492726 0.8122667
100874217 1.17165012 0.4273692 1.1282546 0.4933489 -0.5661510 0.3980950
100874235 0.28409641 1.4329070 0.9766342 0.7906250 0.4621297 2.2700439
100874261 -0.06056847 0.8451782 0.9766342 -0.3893400 1.8007638 0.3980950
100874291 0.99561542 -0.1631525 -0.1885155 -1.1799596 -0.1369039 -0.1851374
100874362 1.92799470 1.5488093 2.3892781 2.3986481 3.9685310 3.3019819
100874523 2.73370836 1.0160259 1.6126968 1.0369876 0.6885173 1.3963629
100885775 5.96081945 5.5466289 4.4325829 4.3284327 3.5162461 3.8974351
100885776 -0.06056847 0.4273692 2.0526213 2.9122461 1.0563972 1.2709895
100885848 5.46506032 5.2281025 3.9531109 3.7361678 3.9023263 3.9997759
1009 9.19607443 8.9302461 7.7158027 8.5852641 7.1382499 8.1461888
10090 3.90033450 4.3919093 4.2627015 4.3962089 5.1612142 4.2022314
10092 7.29454608 6.7175055 6.6135261 6.7160131 6.3432208 6.3681421
10093 6.97956003 6.8561473 6.1909979 6.2867161 6.1711553 6.5812032
10094 5.35078388 5.3687999 5.0792247 5.4140822 4.6037580 5.3720187
10095 5.56307075 5.7296969 5.2542859 5.4464140 5.9376978 5.1934951
10097 7.98589766 7.7129248 7.5477516 7.5977571 7.8176224 7.7075334
10098 6.79353679 7.0579203 6.7887876 6.5172741 6.1570290 7.1338791
10099 8.06609144 8.5134162 8.2133542 8.4009556 8.2523989 8.2557304
100996246 0.99561542 1.1687667 0.1316953 2.1065973 -0.1369039 0.8122667
100996251 0.56209200 0.6513460 0.6151570 0.4933489 1.8945651 -0.1851374
100996307 0.79507679 -0.5837706 0.8071874 -1.1799596 -0.1369039 -1.1799596
100996384 -0.06056847 0.4273692 0.6151570 0.7906250 1.0563972 0.3980950
100996419 1.92799470 2.6058994 2.0526213 1.8728340 2.5421519 2.3954960
100996485 2.27509761 1.0160259 0.8071874 2.6414149 2.7571900 2.0586892
100996539 -1.17995959 1.1687667 0.3935837 0.7906250 2.8062898 2.0586892
100996579 -0.51431550 -0.1631525 1.3907147 1.2473525 1.4760648 1.8109670
100996696 2.27509761 2.2426288 2.5046447 2.7831765 2.0656425 1.9807475
100996842 0.28409641 1.8493256 0.8071874 -0.3893400 0.8841515 1.6185077
100996851 -1.17995959 0.4273692 -1.1799596 -1.1799596 0.6885173 0.1357529
100996939 0.99561542 1.0160259 0.8071874 0.4933489 0.4621297 0.3980950
101 -0.06056847 1.7559401 2.3892781 2.3077122 3.3273304 2.5653246
1010 -0.06056847 -1.1799596 -0.1885155 -1.1799596 -1.1799596 -1.1799596
10100 5.91824206 6.1432689 3.5848649 4.7296982 4.9480489 4.8210548
10101 5.36896489 5.0914282 5.3422220 5.4780371 6.1283543 5.4608214
10102 4.89148610 4.7598010 4.2126746 4.6205856 3.1860736 4.4963688
10103 0.56209200 -1.1799596 0.9766342 0.7906250 1.7004370 1.1336750
10105 6.93143623 6.7929058 5.9425513 6.1028625 6.7993755 5.9896470
10106 7.09601408 7.0554728 7.6992462 7.8031296 7.7673644 7.1803850
101060200 2.84180296 2.3098863 2.8483176 2.6414149 3.0294699 3.1321147
101060691 3.08116239 2.0197107 2.0526213 2.1065973 0.4621297 2.6683650
10109 8.29845758 8.2262764 7.7887535 7.9381019 8.0970560 8.4562378
10112 5.69863071 5.5878605 2.8913556 1.7400202 4.3787843 1.1336750
10113 6.49555912 6.1841728 7.3245249 7.0880118 6.5769253 6.0385542
10114 8.02511931 8.1832061 7.9347653 7.9974980 8.9083417 8.0056712
101154753 0.56209200 0.4273692 0.8071874 1.2473525 1.8945651 0.3980950
10116 8.23544279 7.5624660 7.8155355 7.5953561 7.3538169 7.4096058
10117 0.79507679 1.6560888 0.8071874 1.8728340 1.8007638 1.3963629
1012 5.48186479 5.9825081 6.1605348 6.2382929 6.1186681 5.4751046
10121 5.98459685 6.3411171 5.9219428 5.9533891 5.7868485 6.4096326
10123 6.61843084 5.7111573 5.0222778 5.9230745 6.1989998 5.9130296
101241892 4.75988897 4.7232610 4.3268148 4.4181114 3.8090448 5.0671900
10125 2.02290761 2.1720818 1.5059710 1.5937283 4.0110377 1.9807475
10126 3.36096658 3.5801344 3.4474242 3.3822422 3.6021704 3.4824997
DMSO_24_H7 LPS_24_H7 TNFa_24_H7 H2O_24_H7 BPA_24_H7
100 4.06502675 4.14079772 3.656996171 3.9758175 3.8280439
1000 11.17480131 11.08799747 11.161700660 11.0318898 11.1095409
10000 5.72307647 5.66743614 5.697662015 5.7927561 5.6409866
10001 4.86561709 4.49162125 4.181703172 4.6180472 4.2770519
10003 5.01158331 5.05399690 4.531532395 4.9416994 4.8952035
100037417 2.73324157 2.87202330 2.578829608 2.2787917 2.8120134
100049716 3.68454909 2.94964527 3.835350579 2.9067989 3.3239650
10005 4.68155252 4.18960731 3.748927773 3.9758175 4.5221341
10006 6.22764021 6.14268338 6.257814890 6.2371489 6.1944469
10007 5.07107555 5.03631457 5.186146407 4.6689707 5.1992050
10009 5.39087889 5.27364850 5.371103248 5.4389082 5.5640130
100093630 3.44857859 3.53232244 4.442553642 4.4340171 3.8076414
1001 6.32161887 6.39938157 6.406373812 6.4655544 6.5419101
10010 5.04587867 4.97266180 4.882182359 5.2173319 5.1186824
100101267 1.90281671 2.34913185 0.867627611 2.5919363 2.0111917
100101467 5.22118320 5.21197932 5.060212159 5.3992442 5.3193657
10011 5.33650167 5.53519641 5.437079297 5.3164868 5.1992050
100113386 1.97578766 1.71110667 1.681654357 1.3219244 2.4402024
100113397 1.25181011 0.32276163 1.249735588 1.7579891 0.7118996
100113407 3.25694041 3.53232244 3.943073782 3.6772988 3.6097416
100125288 1.65874379 2.29067090 1.911221574 1.6267538 1.0263218
100127983 2.04524478 2.34913185 1.681654357 2.8490852 2.7704500
100128006 3.28592570 2.98694431 3.081421626 2.6606465 3.0735919
100128016 1.12921482 1.17786717 1.551539048 0.6939653 1.6930610
100128025 0.28377768 1.04270104 0.630406142 1.8782755 0.8776595
100128054 0.49710856 1.52076897 0.346351616 -1.1799596 0.8776595
100128071 1.56725880 0.53909632 1.551539048 1.6267538 1.1610862
100128191 2.29379643 1.41527186 1.911221574 2.1885982 1.5031223
100128252 1.82595738 1.17786717 1.249735588 1.3219244 0.5245921
100128379 -1.17995959 -1.17995959 -1.179959587 -1.1799596 -0.2511454
100128398 4.72453302 4.67420521 4.740063478 4.3323780 4.5346020
100128494 3.68454909 3.53232244 3.453440407 3.2567318 3.3239650
100128569 1.90281671 2.22974057 2.510427501 2.3636767 2.0808566
100128640 0.84750736 0.32276163 0.867627611 0.6939653 -0.6420619
100128682 1.97578766 2.16612303 1.800999360 0.4045040 1.0263218
100128731 6.48676322 6.50921320 6.675984614 5.9724270 6.1983703
100128766 1.12921482 -0.24119687 -1.179959587 -0.4432933 -0.6420619
100128782 2.40366442 1.95647963 0.630406142 2.3636767 2.8120134
100128822 3.13479926 2.78998633 2.823990810 3.2567318 3.1403751
100128833 2.29379643 2.74714947 3.127821494 2.0923879 2.3300746
100128881 1.97578766 2.09957025 2.198887644 2.4438435 2.3861891
100128893 5.89754232 5.58469735 5.666567465 5.6896631 5.7731268
100129001 0.49710856 0.53909632 0.867627611 0.0420052 0.7118996
100129013 2.04524478 2.16612303 1.551539048 2.9622923 2.5910754
100129029 -0.26991026 -0.24119687 0.867627611 0.6939653 0.8776595
100129060 3.39637228 3.48095847 3.718930123 3.3428865 3.5859786
100129075 2.77473096 1.30144732 1.911221574 1.9893002 2.3300746
100129195 2.29379643 3.09338260 2.363050640 1.7579891 2.8917117
100129203 1.12921482 1.30144732 0.630406142 1.6267538 1.3978700
100129250 2.55421203 1.87923449 1.071295295 1.7579891 1.3978700
100129259 0.03333457 0.53909632 1.071295295 0.0420052 0.3092859
100129361 5.73888554 5.37560633 5.720550872 5.8305250 5.6352092
100129398 -0.65433680 -0.63553178 -1.179959587 0.4045040 0.7118996
100129434 -0.26991026 1.95647963 1.800999360 0.6939653 2.0111917
100129461 0.28377768 0.53909632 0.346351616 1.4823752 1.5031223
100129484 2.29379643 1.41527186 1.800999360 0.9349419 1.5031223
100129550 3.76909584 3.92715287 2.983889734 3.3841082 3.4345427
100129583 1.65874379 1.41527186 1.551539048 1.1413698 1.6930610
100129662 1.82595738 1.52076897 1.681654357 2.1885982 2.5425166
100129707 1.25181011 0.32276163 1.071295295 0.6939653 0.0561141
100129716 0.49710856 0.72718134 -0.477897884 0.9349419 0.3092859
100129726 0.68291994 -0.24119687 -0.007692304 -1.1799596 0.3092859
100129774 3.82940533 3.86840414 3.863044793 3.5742072 3.7869463
100129781 0.03333457 0.72718134 -1.179959587 0.0420052 0.8776595
100129792 0.84750736 0.06816556 0.630406142 -1.1799596 0.5245921
100129794 2.17486665 1.87923449 1.551539048 2.4438435 2.5910754
100129842 0.68291994 0.72718134 -0.007692304 0.0420052 0.0561141
100129917 1.25181011 1.30144732 1.249735588 1.9893002 0.3092859
100129924 -0.65433680 0.89354964 0.630406142 -1.1799596 0.7118996
100129940 1.12921482 -0.24119687 1.408514912 -1.1799596 0.3092859
100129995 1.46957735 2.56182323 2.283302879 1.4823752 2.0808566
10013 5.89754232 6.23083111 6.338944834 6.0892027 5.9923492
100130111 0.68291994 1.52076897 0.346351616 0.6939653 0.8776595
100130197 0.03333457 -0.24119687 0.630406142 0.6939653 0.3092859
100130335 3.16631758 3.78615512 3.835350579 3.8042087 3.1726420
100130348 2.77473096 2.56182323 2.198887644 2.8490852 2.8524128
100130357 1.46957735 0.06816556 0.630406142 1.4823752 1.1610862
100130466 3.66261489 2.74714947 2.706611571 2.8490852 2.8120134
100130476 0.99522613 1.04270104 -0.477897884 1.1413698 -0.2511454
100130522 0.49710856 1.41527186 -0.007692304 0.6939653 1.2843304
100130550 0.28377768 0.32276163 -1.179959587 0.4045040 -0.6420619
100130564 2.96596932 2.83158785 3.656996171 3.2116450 2.7276535
100130581 0.28377768 0.32276163 -1.179959587 -1.1799596 1.0263218
100130691 1.74477181 2.29067090 1.911221574 0.9349419 1.0263218
100130705 2.55421203 0.89354964 0.630406142 0.9349419 1.8608776
100130748 0.99522613 1.41527186 1.408514912 1.1413698 0.8776595
100130750 1.90281671 1.79761834 1.249735588 2.1885982 1.7794080
100130855 1.46957735 2.16612303 1.408514912 2.2787917 1.9379914
100130958 0.03333457 0.32276163 0.867627611 1.3219244 1.0263218
100131017 2.55421203 2.22974057 2.983889734 2.7889661 2.4402024
100131031 1.25181011 2.09957025 0.630406142 0.6939653 1.8608776
100131033 1.25181011 1.04270104 2.198887644 2.0923879 0.7118996
100131067 2.89248716 2.56182323 2.578829608 1.9893002 1.7794080
100131089 3.25694041 2.87202330 2.766494625 3.1651036 3.2949436
100131094 0.03333457 1.30144732 -0.007692304 -0.4432933 -0.2511454
100131138 4.41911793 4.03792645 4.812872216 4.8996765 4.8757354
100131187 3.72744171 3.37239582 4.043309356 4.3323780 4.2164339
100131193 3.42271157 3.45457404 3.524531679 3.1170106 3.4609118
100131211 2.29379643 3.34392888 3.656996171 3.6093960 3.2350884
100131213 1.65874379 1.79761834 1.911221574 0.9349419 1.5031223
100131471 2.50575429 2.16612303 0.630406142 2.4438435 2.1473118
100131656 3.39637228 3.28525235 2.823990810 2.7889661 3.3239650
100131685 1.25181011 1.79761834 -0.007692304 0.9349419 0.8776595
100131691 2.11151099 2.22974057 2.510427501 2.7262325 1.7794080
100131740 0.28377768 -0.63553178 -0.007692304 0.0420052 0.0561141
100131801 2.96596932 2.87202330 2.766494625 3.0157300 2.8120134
100131827 0.28377768 1.87923449 1.071295295 -0.4432933 0.7118996
100131828 0.99522613 0.06816556 0.630406142 0.0420052 1.1610862
100131940 1.46957735 2.65746014 2.198887644 1.4823752 2.0111917
100132074 1.46957735 1.41527186 2.510427501 1.1413698 1.1610862
100132086 -0.26991026 -1.17995959 -0.007692304 0.0420052 0.0561141
100132116 6.05737671 6.28424474 5.898364026 6.4462216 6.4428624
100132126 0.03333457 0.32276163 0.346351616 0.0420052 -0.2511454
100132215 1.12921482 0.89354964 0.867627611 0.0420052 0.3092859
100132537 1.36479869 2.91135626 2.578829608 2.5919363 2.0111917
100132609 1.97578766 1.52076897 1.800999360 1.8782755 1.3978700
100132659 0.49710856 0.53909632 1.249735588 -0.4432933 0.0561141
100132891 0.84750736 1.04270104 0.867627611 1.4823752 1.1610862
100132972 0.49710856 1.30144732 0.346351616 -1.1799596 0.7118996
100133234 0.68291994 0.32276163 -0.477897884 0.4045040 -0.2511454
100133286 0.68291994 0.06816556 -0.007692304 0.9349419 1.0263218
100133315 -0.26991026 0.53909632 -1.179959587 0.6939653 0.7118996
100134934 1.97578766 2.09957025 1.249735588 1.6267538 2.5910754
10014 6.83939910 6.66978538 6.411071690 6.7281880 6.7882701
100144603 0.49710856 0.53909632 -1.179959587 -1.1799596 0.3092859
100144748 2.17486665 1.79761834 -0.007692304 1.7579891 2.0111917
10015 7.84028478 7.70072984 7.787502713 7.6039285 7.6714534
10016 4.95856146 4.98192881 4.754922151 5.4389082 4.9796984
100170229 1.36479869 -0.63553178 1.071295295 0.9349419 -0.2511454
100170841 3.19716203 3.58192041 3.835350579 3.7100881 2.8917117
10018 4.04820703 3.92715287 3.656996171 3.4631781 3.8280439
100188847 1.65874379 2.34913185 1.249735588 0.9349419 1.1610862
10019 4.11434039 4.47858648 4.347724278 3.9758175 3.9447468
100190938 0.99522613 0.72718134 -0.477897884 0.4045040 -0.6420619
1002 -0.26991026 -1.17995959 -1.179959587 -1.1799596 0.3092859
10020 3.10257694 3.48095847 3.416536420 3.6437468 3.3239650
10021 7.98539857 7.92508909 7.959314249 8.0837358 8.1067375
10023 2.29379643 2.02979823 2.438620142 1.4823752 2.0808566
10024 3.44857859 3.28525235 3.299798116 3.5011452 3.7230179
10026 6.60073323 6.48985573 6.149533007 6.4462216 6.5419101
100268168 1.82595738 0.72718134 0.630406142 -0.4432933 0.3092859
100270804 0.99522613 1.52076897 -0.007692304 0.9349419 2.0808566
100270827 -0.65433680 0.72718134 0.346351616 0.0420052 1.0263218
100270840 3.84896096 4.00193876 4.018895763 4.2896288 3.8481618
100270854 4.06502675 4.14079772 4.565642130 4.0798391 4.1851422
100270865 5.08763226 5.00937795 5.141613644 5.2173319 5.3828025
100271271 2.40366442 3.02330329 2.823990810 3.0672589 2.4922663
100271332 -1.17995959 -1.17995959 -1.179959587 -1.1799596 -1.1799596
100271415 2.04524478 1.30144732 1.408514912 1.4823752 1.9379914
100271479 0.84750736 0.72718134 0.630406142 0.0420052 0.7118996
100271884 -0.26991026 0.53909632 -1.179959587 0.6939653 -0.2511454
100272147 2.64650208 2.29067090 2.879283133 2.8490852 2.8120134
100286844 1.25181011 1.41527186 2.283302879 1.1413698 1.3978700
100287015 0.99522613 0.06816556 2.109224430 2.0923879 1.2843304
100287049 0.84750736 0.89354964 0.630406142 -0.4432933 1.1610862
100287074 0.99522613 0.72718134 0.630406142 1.1413698 0.3092859
100287616 3.54764413 2.65746014 3.835350579 3.7100881 3.4345427
100287722 0.28377768 0.32276163 0.867627611 0.9349419 1.1610862
100287808 0.68291994 -0.24119687 -0.007692304 1.1413698 0.3092859
100287837 0.49710856 1.04270104 -1.179959587 1.1413698 0.0561141
100287896 3.06961848 2.40531582 2.438620142 2.9067989 2.3300746
100287902 0.49710856 0.72718134 0.346351616 -0.4432933 0.7118996
100287928 2.40366442 2.45939354 2.766494625 2.5197893 2.5425166
100287932 5.12018634 5.40346097 5.291811796 5.1352057 5.3265536
100288001 2.04524478 1.71110667 1.911221574 2.1885982 2.3300746
100288073 1.36479869 1.71110667 2.109224430 1.8782755 2.6835486
100288123 0.84750736 1.87923449 2.013617205 1.3219244 1.6930610
100288198 1.90281671 1.95647963 1.681654357 2.3636767 2.3861891
100288241 -1.17995959 -1.17995959 -1.179959587 -1.1799596 -1.1799596
100288413 3.03588943 2.65746014 2.879283133 1.1413698 3.5618176
100288513 0.03333457 -0.24119687 1.071295295 -1.1799596 -1.1799596
100288842 2.23555670 1.17786717 2.438620142 1.4823752 1.8608776
100289061 1.36479869 2.56182323 2.510427501 2.4438435 1.7794080
100289095 0.84750736 1.30144732 -0.007692304 0.9349419 0.8776595
100289133 3.49896151 4.10731576 3.592283709 3.5011452 3.5372450
100289178 2.11151099 1.95647963 2.283302879 1.8782755 2.1473118
100289211 -0.26991026 0.72718134 0.630406142 1.3219244 -0.2511454
100289259 1.25181011 1.30144732 1.681654357 0.0420052 -0.2511454
100289274 2.92969603 2.56182323 2.109224430 3.2116450 3.0735919
100289341 1.25181011 1.04270104 -0.477897884 1.9893002 1.6012152
100289373 1.12921482 1.17786717 1.408514912 0.0420052 0.7118996
100289388 1.74477181 1.30144732 0.630406142 1.1413698 1.6930610
100289414 0.28377768 0.53909632 0.630406142 0.0420052 -0.2511454
100289635 5.26551478 4.95394727 5.427836868 5.1230822 5.6000503
100289640 0.84750736 0.72718134 1.681654357 1.3219244 -0.2511454
100289678 3.61771996 3.28525235 3.216370851 3.6093960 3.0035667
100293516 3.34220565 3.34392888 3.416536420 3.2116450 2.7704500
100294362 1.65874379 1.87923449 0.867627611 0.9349419 1.0263218
1003 1.12921482 1.87923449 2.109224430 0.6939653 1.7794080
100302692 3.36954316 2.61043402 2.879283133 3.2116450 2.0111917
100302736 1.65874379 1.52076897 0.867627611 1.7579891 1.6930610
100303728 3.90608598 3.92715287 3.968793092 3.9758175 3.5372450
100303755 1.46957735 0.89354964 1.071295295 1.7579891 1.7794080
100312828 1.36479869 0.89354964 0.867627611 0.4045040 1.2843304
100312850 1.56725880 1.04270104 1.249735588 2.6606465 0.8776595
10036 4.94044545 4.43876031 4.694546585 4.4917320 4.6306466
100379345 1.25181011 1.30144732 1.071295295 1.9893002 1.2843304
10038 5.72836543 5.70149283 5.794326119 5.5607660 5.7731268
100381270 1.12921482 1.04270104 1.249735588 0.6939653 1.1610862
10039 4.04820703 4.02004482 4.267100561 4.6855534 3.9259402
1004 4.97645280 4.54261360 4.868584158 4.6689707 4.8054505
10040 4.62596118 3.80716114 4.582399267 4.3942165 4.3494094
100418710 0.68291994 -1.17995959 -1.179959587 -1.1799596 1.6930610
100418735 1.82595738 1.30144732 1.911221574 2.1885982 1.0263218
100418744 0.49710856 1.41527186 2.013617205 1.7579891 1.2843304
100418770 -0.26991026 -0.63553178 -1.179959587 -0.4432933 -0.6420619
100418781 2.45561219 2.65746014 2.438620142 2.2787917 2.3861891
100418819 1.82595738 1.52076897 2.510427501 0.9349419 2.0111917
100418829 2.04524478 2.09957025 0.867627611 1.1413698 1.6930610
100418888 1.90281671 1.17786717 1.551539048 1.1413698 0.3092859
100418889 2.64650208 3.02330329 2.823990810 2.7262325 1.9379914
100418910 -0.65433680 -0.24119687 -1.179959587 0.4045040 -0.6420619
100418919 2.69052361 2.22974057 1.681654357 2.6606465 2.4922663
100419028 1.46957735 1.17786717 1.408514912 2.1885982 2.0111917
100419185 0.84750736 0.89354964 0.346351616 0.4045040 0.3092859
100419416 0.99522613 0.89354964 1.071295295 1.8782755 1.1610862
100419515 0.28377768 -0.63553178 -1.179959587 0.0420052 1.0263218
100419645 -0.26991026 -0.24119687 -0.007692304 -1.1799596 -0.2511454
100419758 0.99522613 2.22974057 2.109224430 1.1413698 1.6930610
100419928 2.40366442 1.52076897 1.551539048 2.3636767 1.9379914
10042 4.93130142 4.62773059 5.118820939 4.9554393 4.8855023
100420028 -0.26991026 -0.63553178 0.867627611 -1.1799596 -0.6420619
100420050 0.49710856 -0.24119687 -0.007692304 0.0420052 -0.6420619
100420110 3.13479926 3.05876842 2.983889734 2.7262325 3.0035667
100420187 0.68291994 0.06816556 -1.179959587 0.4045040 -0.6420619
100420259 4.09808908 4.14079772 3.863044793 4.3942165 4.1531568
100420307 0.49710856 -1.17995959 0.346351616 0.9349419 0.3092859
100420341 5.40415888 5.44425979 5.446262892 5.7221758 5.3965286
100420423 -0.65433680 1.30144732 1.408514912 0.9349419 1.6930610
100420591 0.28377768 -0.24119687 0.630406142 0.6939653 1.6012152
100420707 2.60109491 2.56182323 2.109224430 3.2567318 3.1726420
100420752 0.68291994 0.89354964 1.681654357 1.1413698 2.1473118
100420869 4.55629431 4.22125312 4.405366486 4.2677696 4.2470613
100420981 5.73363507 5.74023543 6.283661500 5.9520112 5.8549420
100421093 3.72744171 3.42769807 3.778314373 4.1291661 3.8481618
100421109 0.28377768 0.32276163 0.346351616 0.4045040 0.0561141
100421160 0.28377768 -1.17995959 -1.179959587 1.1413698 -0.2511454
100421175 0.28377768 -1.17995959 -1.179959587 -0.4432933 0.0561141
100421246 0.49710856 0.89354964 0.346351616 0.6939653 1.2843304
100421311 1.46957735 1.04270104 1.551539048 1.1413698 1.6012152
100421372 0.99522613 2.16612303 1.681654357 1.6267538 1.6930610
100421400 2.29379643 1.87923449 1.551539048 1.8782755 1.5031223
100421415 2.11151099 1.41527186 2.013617205 1.8782755 2.3861891
100421429 1.12921482 0.06816556 -0.477897884 0.0420052 -0.2511454
100421465 0.49710856 0.53909632 1.071295295 0.0420052 1.1610862
100421468 1.56725880 1.30144732 1.681654357 1.1413698 2.6380528
100421506 -0.65433680 0.72718134 1.408514912 1.1413698 -0.2511454
100421569 -0.26991026 0.06816556 1.071295295 -1.1799596 0.5245921
100421595 -0.65433680 0.32276163 -1.179959587 -0.4432933 -0.6420619
100421794 -0.65433680 0.06816556 -0.007692304 -1.1799596 -0.6420619
100422106 1.82595738 0.89354964 2.438620142 1.3219244 2.0111917
100422338 2.55421203 2.29067090 2.510427501 0.4045040 1.6012152
100422546 1.12921482 0.89354964 0.630406142 1.3219244 0.0561141
100422561 3.13479926 3.45457404 3.378663596 3.7735124 3.1073699
10043 5.78021522 5.78856581 5.794326119 5.6896631 5.9417575
10044 0.68291994 0.89354964 -1.179959587 0.6939653 0.3092859
10045 -0.26991026 -0.24119687 -0.007692304 1.3219244 0.0561141
10046 0.49710856 1.04270104 0.630406142 1.8782755 1.0263218
10048 6.68747070 6.37848173 6.545333035 6.4462216 6.6575742
10049 6.18596009 6.07933808 6.263021389 6.0124117 6.2672264
100499177 2.89248716 2.87202330 3.172775436 2.7262325 3.0390041
100499483 3.44857859 2.87202330 2.510427501 3.0157300 2.9672369
1005 0.49710856 -1.17995959 1.071295295 -1.1799596 0.3092859
100500719 0.99522613 0.06816556 0.630406142 0.4045040 1.3978700
100505385 2.69052361 3.22408782 2.983889734 3.1651036 3.1403751
100505501 2.04524478 2.02979823 1.911221574 2.0923879 2.2716889
100505538 0.49710856 0.72718134 1.071295295 0.0420052 0.0561141
100505549 2.29379643 0.32276163 -1.179959587 1.9893002 1.1610862
100505573 6.59205578 6.84251704 6.579121810 6.3866183 6.7513580
100505576 0.84750736 1.04270104 -0.007692304 1.1413698 1.6012152
100505616 0.28377768 -0.24119687 -0.007692304 -0.4432933 -0.2511454
100505624 1.25181011 1.41527186 1.249735588 1.7579891 1.5031223
100505635 -0.26991026 0.89354964 0.346351616 -0.4432933 1.0263218
100505641 1.97578766 2.34913185 2.706611571 2.4438435 2.7704500
100505648 3.34220565 2.45939354 2.879283133 2.5919363 1.6930610
100505678 2.60109491 2.70300167 2.283302879 2.9067989 2.3861891
100505696 4.62596118 4.65115503 4.548688068 4.4727491 4.8659019
100505715 0.28377768 1.41527186 0.346351616 1.3219244 1.6012152
100505738 3.16631758 3.40031192 3.524531679 2.9067989 3.3524141
100505741 1.82595738 2.02979823 2.198887644 1.7579891 2.0808566
100505758 3.44857859 3.28525235 3.718930123 3.1170106 3.3803130
100505761 3.25694041 3.22408782 2.766494625 3.9485964 3.3524141
100505771 1.90281671 2.09957025 1.911221574 2.4438435 2.4922663
100505783 1.65874379 2.91135626 2.198887644 2.5919363 2.3861891
100505806 4.48309182 4.50453930 4.531532395 4.8416713 5.0333985
100505812 0.99522613 0.72718134 1.551539048 -0.4432933 -0.2511454
100505832 1.56725880 1.04270104 1.071295295 2.0923879 2.1473118
100505854 3.74841910 3.19250482 3.558805380 3.3004522 2.9299685
100505876 5.56060003 5.41034140 5.626732460 5.5057998 5.7140606
100505894 3.49896151 3.22408782 3.558805380 3.2116450 3.2350884
100505933 0.28377768 0.32276163 -0.007692304 0.0420052 0.8776595
100505994 0.68291994 0.53909632 1.249735588 0.0420052 0.5245921
100506020 1.90281671 2.45939354 1.408514912 2.3636767 1.8608776
100506033 4.80683341 4.74122518 4.514170259 4.4535131 4.9048399
100506054 1.56725880 1.17786717 1.249735588 0.4045040 0.7118996
100506068 1.90281671 1.17786717 1.800999360 1.3219244 0.8776595
100506070 1.74477181 1.79761834 -0.007692304 1.4823752 1.9379914
100506083 1.46957735 -0.63553178 1.911221574 0.4045040 1.0263218
100506100 0.68291994 -0.24119687 -0.477897884 0.0420052 0.5245921
100506119 2.11151099 1.30144732 1.408514912 1.8782755 2.4922663
100506127 2.29379643 1.95647963 2.879283133 1.7579891 1.9379914
100506142 0.68291994 1.30144732 -0.477897884 -0.4432933 1.5031223
100506144 1.90281671 1.41527186 2.013617205 1.6267538 2.0808566
100506161 -0.26991026 -0.24119687 -0.007692304 0.9349419 0.8776595
100506211 5.15987238 5.37560633 5.301964846 4.6689707 5.1913520
100506235 0.99522613 1.52076897 0.346351616 1.8782755 1.6930610
100506258 1.82595738 1.95647963 2.198887644 2.1885982 2.0111917
100506282 2.40366442 2.29067090 2.644134861 2.6606465 2.3861891
100506286 0.28377768 1.71110667 1.071295295 0.0420052 1.6930610
100506302 1.25181011 1.41527186 1.681654357 1.3219244 1.6930610
100506321 0.49710856 0.06816556 0.346351616 0.6939653 0.0561141
100506325 0.68291994 0.53909632 1.408514912 -0.4432933 1.1610862
100506343 1.12921482 0.89354964 -1.179959587 0.6939653 0.5245921
100506365 5.42385244 5.16393343 5.197068079 5.4389082 5.2454459
100506368 0.03333457 1.04270104 -0.007692304 0.0420052 0.3092859
100506380 3.78948041 4.18960731 3.863044793 4.2455741 4.0352695
100506392 3.74841910 3.58192041 3.592283709 3.8042087 3.4609118
100506394 1.56725880 1.79761834 2.644134861 1.9893002 1.9379914
100506411 1.82595738 0.89354964 1.911221574 1.1413698 1.5031223
100506433 3.25694041 3.45457404 2.706611571 3.2116450 3.4076826
100506462 1.12921482 1.30144732 1.071295295 1.6267538 1.3978700
100506469 4.83652463 4.77360268 4.679049472 4.7019477 4.8659019
100506495 1.36479869 1.04270104 -1.179959587 0.0420052 -0.2511454
100506504 1.46957735 1.95647963 1.800999360 0.6939653 0.8776595
100506540 1.56725880 1.30144732 1.071295295 0.9349419 1.0263218
100506581 1.12921482 1.30144732 -1.179959587 1.7579891 1.0263218
100506606 1.36479869 1.52076897 0.630406142 0.6939653 1.1610862
100506658 0.99522613 1.61907450 2.198887644 1.6267538 0.7118996
100506668 1.97578766 2.09957025 3.033479716 1.7579891 2.2716889
100506686 2.77473096 2.56182323 2.644134861 1.4823752 2.0808566
100506691 1.56725880 0.72718134 1.408514912 1.8782755 0.8776595
100506696 2.50575429 3.53232244 2.283302879 1.8782755 2.7276535
100506697 0.99522613 0.89354964 1.551539048 1.4823752 1.1610862
100506710 6.52980670 6.59324458 6.501952879 6.2315134 6.4884374
100506713 0.03333457 -1.17995959 1.071295295 0.6939653 0.0561141
100506725 4.11434039 3.65325980 3.656996171 4.2677696 4.3634554
100506731 1.25181011 1.17786717 1.071295295 1.7579891 0.3092859
100506757 0.49710856 0.32276163 0.630406142 0.0420052 0.8776595
100506779 -0.26991026 0.06816556 -1.179959587 0.0420052 0.5245921
100506804 1.36479869 1.41527186 -0.007692304 -1.1799596 0.0561141
100506826 1.97578766 2.16612303 1.551539048 1.4823752 2.3861891
100506844 3.10257694 2.02979823 2.283302879 2.6606465 3.3803130
100506866 7.16996563 6.87272210 6.777705775 6.9468592 7.1027795
100506881 -1.17995959 1.04270104 1.681654357 0.4045040 0.5245921
100506885 0.68291994 -0.24119687 0.346351616 0.4045040 -0.2511454
100506911 0.03333457 -0.24119687 -1.179959587 0.0420052 -0.2511454
100506922 0.49710856 0.89354964 -0.007692304 -0.4432933 0.7118996
100506930 3.97889586 3.62986978 4.181703172 3.8342655 4.1531568
100506994 0.68291994 0.32276163 -0.477897884 1.1413698 1.1610862
100507003 1.90281671 1.71110667 2.283302879 1.6267538 1.2843304
100507032 0.84750736 1.04270104 1.408514912 2.1885982 1.9379914
100507034 3.64034205 2.74714947 3.216370851 3.3841082 3.0035667
100507050 1.46957735 1.52076897 1.681654357 1.3219244 0.3092859
100507053 1.56725880 1.79761834 1.551539048 1.8782755 1.1610862
100507057 0.99522613 1.17786717 0.867627611 0.0420052 -0.2511454
100507062 1.25181011 1.61907450 -0.007692304 0.0420052 -0.6420619
100507071 0.84750736 1.04270104 -1.179959587 0.0420052 1.0263218
100507156 2.60109491 3.05876842 3.258687447 2.9067989 2.6380528
100507171 2.50575429 3.05876842 3.127821494 2.1885982 3.0390041
100507173 0.68291994 0.32276163 0.630406142 0.0420052 0.7118996
100507178 0.28377768 1.71110667 1.551539048 0.6939653 1.3978700
100507244 0.99522613 0.53909632 -0.007692304 0.4045040 1.2843304
100507246 1.90281671 3.05876842 3.416536420 2.9622923 3.1073699
100507250 0.03333457 -0.24119687 -0.007692304 -0.4432933 0.3092859
100507254 -1.17995959 -1.17995959 -1.179959587 -1.1799596 -0.2511454
100507266 0.49710856 0.32276163 0.346351616 0.0420052 1.3978700
100507290 4.49555309 5.00937795 4.679049472 4.9416994 4.8460315
100507291 2.69052361 0.89354964 1.408514912 1.6267538 1.2843304
100507303 2.64650208 2.29067090 2.283302879 3.4241848 2.6835486
100507308 0.68291994 0.32276163 0.346351616 0.9349419 1.0263218
100507316 1.82595738 2.09957025 2.510427501 1.4823752 1.7794080
100507331 2.23555670 1.79761834 2.198887644 1.8782755 1.9379914
100507347 1.36479869 1.71110667 1.071295295 0.6939653 0.8776595
100507373 2.17486665 2.34913185 2.438620142 2.2787917 2.9672369
100507392 -1.17995959 -1.17995959 -0.007692304 -0.4432933 0.7118996
100507398 1.65874379 1.79761834 2.109224430 0.9349419 2.2108403
100507401 0.28377768 0.06816556 0.346351616 0.0420052 0.3092859
100507420 0.99522613 1.71110667 1.800999360 0.6939653 -0.2511454
100507433 2.40366442 1.41527186 2.109224430 0.6939653 1.9379914
100507436 -1.17995959 -0.24119687 -1.179959587 -0.4432933 -0.2511454
100507437 2.34977604 2.70300167 2.013617205 1.1413698 2.5425166
100507459 2.11151099 2.56182323 2.510427501 2.5197893 2.9672369
100507463 0.28377768 1.71110667 1.249735588 0.4045040 0.7118996
100507487 2.23555670 2.83158785 1.681654357 1.9893002 2.2716889
100507495 1.25181011 1.95647963 2.283302879 1.8782755 2.3861891
100507516 -0.26991026 -1.17995959 -0.007692304 0.6939653 -1.1799596
100507551 1.82595738 1.17786717 1.551539048 2.1885982 1.6012152
100507557 0.49710856 1.30144732 1.681654357 -0.4432933 1.1610862
100507564 -0.65433680 -1.17995959 -0.007692304 -0.4432933 -1.1799596
100507567 0.68291994 -0.24119687 -0.477897884 1.3219244 1.1610862
100507588 0.84750736 0.72718134 -0.007692304 1.9893002 0.5245921
100507599 1.46957735 0.72718134 1.551539048 2.3636767 1.2843304
100507602 2.45561219 2.40531582 2.879283133 2.4438435 2.8120134
100508120 3.57138295 2.29067090 2.644134861 2.7262325 2.4402024
10051 6.80727061 6.64957444 6.620274464 6.8508812 6.7646496
10052 1.74477181 1.71110667 2.283302879 1.8782755 0.8776595
100526737 2.34977604 1.87923449 1.800999360 2.0923879 1.8608776
100526760 0.03333457 1.04270104 1.071295295 0.4045040 0.7118996
100526820 0.84750736 -1.17995959 -0.007692304 1.4823752 0.0561141
100526835 4.04820703 3.82786569 4.114165096 3.5381387 4.4317045
100527978 1.25181011 1.41527186 1.800999360 1.1413698 1.2843304
100529145 1.25181011 1.87923449 1.911221574 2.1885982 1.7794080
100529215 1.36479869 0.06816556 0.346351616 -0.4432933 1.0263218
100532746 4.22324535 4.31222727 4.531532395 4.2677696 4.3634554
100533106 0.99522613 -0.24119687 0.630406142 -0.4432933 0.0561141
100533182 1.36479869 1.61907450 0.346351616 0.4045040 1.8608776
100533619 0.68291994 -0.24119687 -1.179959587 -1.1799596 0.5245921
100533629 0.28377768 1.41527186 0.630406142 1.6267538 0.0561141
100533695 0.28377768 0.89354964 0.346351616 0.4045040 0.0561141
100533970 0.03333457 0.32276163 0.630406142 1.9893002 1.1610862
100534593 0.84750736 2.09957025 1.800999360 2.2787917 1.9379914
10054 5.56060003 5.41718917 5.409172461 5.4192125 5.3689445
10056 5.91155938 5.55395886 5.918300677 5.9243329 6.0629079
10057 8.03426123 8.07008726 7.868298348 7.9867114 7.9711337
10058 5.33650167 5.56633296 5.332002192 5.1352057 4.9978214
10059 7.21775559 7.16689444 7.245780422 7.2044376 7.2096628
1006 5.53668163 6.02657984 6.188362904 6.0189694 5.7836111
10060 3.90608598 4.03792645 4.090931044 4.0798391 4.2918167
100616256 1.36479869 1.52076897 1.071295295 0.9349419 0.7118996
10062 1.82595738 2.83158785 1.681654357 2.5919363 2.4922663
10063 4.49555309 4.38388862 4.598963999 4.6180472 3.9259402
100652739 0.28377768 0.72718134 -1.179959587 0.0420052 1.1610862
100652758 0.99522613 -0.63553178 0.346351616 -1.1799596 0.7118996
100652846 3.03588943 3.05876842 2.578829608 3.0157300 3.4609118
10066 6.33554881 6.45367804 6.415754319 6.3506775 6.4094043
10067 6.34590870 6.40628143 6.263021389 6.4559204 6.2139582
10068 3.52350816 3.45457404 3.890217382 2.8490852 3.2653264
10069 4.81679853 4.38388862 4.709878999 4.8563927 4.9239218
10072 5.03738096 4.79479092 4.909000187 5.2058820 4.7097411
10073 3.76909584 4.03792645 3.863044793 4.0025344 3.9447468
10075 9.11558928 8.87238335 8.909058300 8.9515781 9.0266859
10076 5.81045358 5.97181879 5.950928153 5.8305250 5.9229116
10077 4.49555309 4.63949035 4.754922151 4.6689707 4.0352695
100775107 1.12921482 1.87923449 1.551539048 0.9349419 1.3978700
10078 4.54434894 4.62773059 4.631533577 4.8563927 4.5469631
10079 4.86561709 5.00028614 4.935328591 5.1352057 4.9144124
1008 4.39271235 4.20551698 4.267100561 4.0798391 4.1692381
10081 5.35713405 4.92541227 5.218666468 5.0985253 4.9520796
10082 7.80317241 8.00453334 8.080750475 7.8898616 8.0729445
100820829 5.49384585 5.50337302 5.569048395 5.7696109 5.7249814
10084 5.33650167 5.17205302 5.560616259 5.1352057 5.3337058
100847074 1.65874379 1.04270104 0.867627611 2.0923879 1.7794080
10085 8.16872601 8.41268262 8.418339633 8.4504700 8.4114006
100852407 0.03333457 0.72718134 0.346351616 0.0420052 0.5245921
100861412 0.99522613 0.06816556 0.867627611 0.6939653 0.3092859
100861548 4.19295938 4.12415387 3.835350579 3.5742072 4.0352695
100862671 0.03333457 0.32276163 0.630406142 -0.4432933 0.5245921
10087 6.51151652 6.27296427 6.536760728 6.4364571 6.4195234
100873257 0.03333457 0.89354964 0.346351616 -0.4432933 -0.2511454
100873333 3.49896151 3.50686903 3.216370851 3.2567318 3.0035667
100873790 4.04820703 4.28253543 4.615340695 4.1291661 4.3773659
100873949 1.56725880 0.53909632 1.408514912 1.4823752 2.0808566
100873952 0.28377768 0.53909632 -1.179959587 0.0420052 -0.6420619
100873965 1.97578766 2.40531582 2.706611571 2.4438435 1.7794080
100874006 0.03333457 0.32276163 -0.007692304 0.0420052 0.3092859
100874008 1.56725880 1.79761834 0.867627611 1.1413698 1.0263218
100874014 2.69052361 3.05876842 3.339769690 2.9067989 3.0035667
100874058 1.12921482 0.53909632 -0.007692304 0.6939653 1.5031223
100874080 0.68291994 0.72718134 0.346351616 1.9893002 1.3978700
100874097 2.11151099 1.52076897 0.630406142 1.4823752 1.6012152
100874201 0.84750736 0.89354964 1.249735588 0.4045040 0.5245921
100874212 1.25181011 0.72718134 1.071295295 1.1413698 -0.2511454
100874217 1.12921482 0.72718134 -0.007692304 1.1413698 1.0263218
100874235 2.04524478 2.29067090 1.681654357 1.3219244 2.2716889
100874261 -0.26991026 1.04270104 0.346351616 -1.1799596 -0.6420619
100874291 0.28377768 -1.17995959 -0.007692304 -1.1799596 -0.2511454
100874362 2.23555670 2.51151724 2.932534325 2.4438435 2.7704500
100874523 2.04524478 1.79761834 1.800999360 2.2787917 2.3300746
100885775 5.19085346 5.55395886 5.674404157 5.1472281 5.2301964
100885776 0.49710856 0.53909632 0.630406142 0.0420052 1.2843304
100885848 5.12821136 5.26608248 5.281586787 4.4535131 5.3828025
1009 8.71848237 8.90258594 8.945945400 9.0054069 8.8415249
10090 3.80958098 4.20551698 4.405366486 4.1291661 3.8481618
10092 6.71703653 6.83742081 6.987259747 7.0368484 6.9224062
10093 6.59495407 6.63496271 6.872724769 6.7946653 6.6801957
10094 5.26551478 5.19614114 5.552134549 5.2841865 5.3549521
10095 5.64691996 5.84043308 5.836845742 5.6137146 5.5145188
10097 7.75345345 7.77857126 8.012835421 7.8013363 7.9257077
10098 7.28210868 7.16078720 7.136556297 7.2130422 7.2518043
10099 8.40091227 8.25248814 8.127171590 8.4852209 8.4046242
100996246 1.12921482 0.72718134 2.109224430 0.6939653 0.3092859
100996251 1.25181011 0.53909632 -0.007692304 1.3219244 1.5031223
100996307 0.68291994 0.53909632 0.867627611 0.4045040 0.5245921
100996384 1.46957735 1.52076897 1.551539048 1.7579891 1.8608776
100996419 1.36479869 1.30144732 1.911221574 2.4438435 1.5031223
100996485 2.55421203 2.22974057 2.766494625 2.0923879 2.2716889
100996539 0.84750736 0.32276163 0.346351616 -1.1799596 -1.1799596
100996579 1.25181011 0.32276163 1.071295295 0.0420052 0.3092859
100996696 2.34977604 1.95647963 2.198887644 2.5197893 2.6380528
100996842 0.84750736 1.04270104 0.867627611 1.4823752 0.0561141
100996851 -0.65433680 -0.24119687 -0.007692304 -1.1799596 0.3092859
100996939 0.49710856 1.04270104 1.681654357 0.6939653 0.8776595
101 2.50575429 2.56182323 1.681654357 2.1885982 2.6380528
1010 -1.17995959 -0.24119687 -1.179959587 -1.1799596 -1.1799596
10100 5.97522972 6.35727467 6.628365983 6.1077784 6.1505699
10101 5.32258097 5.18815637 5.197068079 5.0608879 4.8359928
10102 4.62596118 4.39780344 4.961185114 4.4535131 4.4581250
10103 0.03333457 1.30144732 0.630406142 1.4823752 -0.2511454
10105 6.78713761 6.82974254 6.942530878 6.8174152 6.8936574
10106 7.03134896 7.15260378 7.159072683 7.0336136 7.0985869
101060200 2.55421203 2.51151724 3.339769690 3.1651036 2.8917117
101060691 1.65874379 1.87923449 2.109224430 1.1413698 2.5910754
10109 8.21467331 8.33796867 8.252869567 8.3552163 8.3270091
10112 5.22118320 4.95394727 4.840997096 5.1591512 5.1351505
10113 6.29691308 6.41998295 6.343867111 6.2759929 6.2216894
10114 8.13028538 7.97234903 8.049454193 8.0214171 8.1600168
101154753 0.68291994 0.53909632 -1.179959587 1.3219244 -0.2511454
10116 7.48007687 7.56857382 7.617034594 7.4834448 7.4225234
10117 0.68291994 1.52076897 -1.179959587 0.6939653 0.3092859
1012 5.78529917 5.72375869 5.618631749 5.7696109 5.4435670
10121 6.48363899 6.31390178 6.343867111 6.2483543 6.2332091
10123 5.59575016 6.04879737 5.905040235 5.4290940 5.5821442
101241892 4.93130142 4.90607048 4.769629349 5.0352394 5.3121418
10125 2.60109491 2.51151724 2.706611571 2.6606465 2.8917117
10126 3.34220565 3.34392888 3.625002746 3.1651036 3.4868076
PFOA_24_H7 EtOH_24_H7
100 3.81229516 3.5669481
1000 11.11830990 11.1968189
10000 5.62717885 6.0568267
10001 4.13023370 4.0451043
10003 4.40751881 4.7034905
100037417 2.78106643 2.5352942
100049716 1.96527710 3.6495749
10005 3.98000511 4.2707041
10006 6.25533566 6.2279312
10007 5.08063746 4.9075405
10009 5.27751624 5.4966180
100093630 3.36976178 3.8018577
1001 5.73832567 6.1916231
10010 4.68232221 4.7788472
100101267 2.43008177 1.3431396
100101467 4.77648765 4.6509732
10011 5.11193720 5.1726339
100113386 1.27531357 0.8785083
100113397 0.94540292 0.8785083
100113407 3.83748074 3.9175286
100125288 0.74702885 1.3431396
100127983 2.49483378 2.5921107
100128006 2.92899255 3.0632127
100128016 1.96527710 0.8785083
100128025 0.24311486 0.8785083
100128054 1.41570893 1.3431396
100128071 0.51696221 0.4570902
100128191 0.51696221 1.3431396
100128252 1.41570893 1.2042513
100128379 -1.17995959 -1.1799596
100128398 4.04631299 4.4194046
100128494 3.29899961 3.4793001
100128569 1.66115471 1.5862754
100128640 -0.09518615 0.1889309
100128682 2.05390053 1.2042513
100128731 6.59879609 6.2144225
100128766 -1.17995959 -0.5687184
100128782 1.96527710 1.8880267
100128822 3.10523540 3.1028546
100128833 2.49483378 2.5352942
100128881 2.13739354 2.4144731
100128893 5.50674901 5.5762270
100129001 0.51696221 1.0505540
100129013 1.96527710 2.2118510
100129029 -0.09518615 0.1889309
100129060 3.46979444 3.2513519
100129075 2.05390053 2.6467741
100129195 2.88134945 2.5921107
100129203 0.74702885 0.4570902
100129250 0.51696221 1.6940257
100129259 -0.09518615 0.1889309
100129361 5.66986860 5.6583388
100129398 -1.17995959 -0.5687184
100129434 0.94540292 1.8880267
100129461 -0.09518615 -0.1407189
100129484 1.11976813 1.8880267
100129550 3.22458681 3.9175286
100129583 0.94540292 1.7942847
100129662 -0.09518615 1.9760475
100129707 0.94540292 0.4570902
100129716 1.11976813 1.5862754
100129726 0.51696221 -1.1799596
100129774 4.35616221 4.2531945
100129781 -0.09518615 -0.1407189
100129792 0.74702885 0.4570902
100129794 1.41570893 2.5352942
100129842 -1.17995959 0.8785083
100129917 1.27531357 1.6940257
100129924 -0.09518615 0.4570902
100129940 -1.17995959 -0.1407189
100129995 2.55680395 1.2042513
10013 6.10788545 6.0668840
100130111 -1.17995959 0.4570902
100130197 0.24311486 0.4570902
100130335 3.91050221 3.5950195
100130348 2.43008177 1.7942847
100130357 -0.09518615 0.4570902
100130466 2.49483378 2.5921107
100130476 -1.17995959 0.1889309
100130522 1.27531357 0.8785083
100130550 0.74702885 0.1889309
100130564 3.01980358 3.1028546
100130581 0.51696221 0.1889309
100130691 0.94540292 0.4570902
100130705 1.76980956 1.6940257
100130748 1.54364525 0.6831322
100130750 1.87085124 2.1374514
100130855 2.21631777 2.0590054
100130958 0.51696221 0.8785083
100131017 1.87085124 2.8468062
100131031 1.54364525 1.4698234
100131033 1.27531357 1.3431396
100131067 1.66115471 1.2042513
100131089 2.72818365 2.5921107
100131094 -0.53793164 1.3431396
100131138 4.64000480 4.5106529
100131187 3.50165453 3.6495749
100131193 2.83207911 3.2156358
100131211 2.88134945 3.7021422
100131213 1.27531357 2.2826012
100131471 1.96527710 2.2118510
100131656 3.33481450 3.0224507
100131685 0.94540292 1.6940257
100131691 2.29114739 2.0590054
100131740 0.74702885 -0.5687184
100131801 2.72818365 2.8468062
100131827 -0.09518615 -0.1407189
100131828 -0.09518615 -0.5687184
100131940 0.94540292 1.8880267
100132074 2.21631777 1.8880267
100132086 -0.09518615 -0.5687184
100132116 6.29223713 6.6850440
100132126 0.51696221 0.4570902
100132215 0.24311486 1.6940257
100132537 3.18588980 2.2826012
100132609 0.94540292 0.1889309
100132659 -0.09518615 0.1889309
100132891 0.24311486 1.4698234
100132972 0.51696221 0.6831322
100133234 -0.53793164 -0.1407189
100133286 0.51696221 -0.1407189
100133315 0.24311486 -1.1799596
100134934 1.76980956 1.3431396
10014 6.73570226 6.3889168
100144603 -0.09518615 -1.1799596
100144748 1.27531357 2.3500434
10015 7.60287030 7.6538647
10016 5.21162145 4.9516308
100170229 -0.09518615 0.6831322
100170841 4.72343364 3.5669481
10018 2.92899255 3.5669481
100188847 1.27531357 1.8880267
10019 4.35616221 4.2531945
100190938 -1.17995959 -0.1407189
1002 -0.09518615 -0.1407189
10020 3.62249303 3.2156358
10021 7.71922513 7.9043634
10023 1.76980956 1.2042513
10024 2.55680395 3.1028546
10026 6.28767573 6.3441338
100268168 0.74702885 1.0505540
100270804 -0.09518615 1.5862754
100270827 1.27531357 1.0505540
100270840 4.35616221 4.3715207
100270854 4.40751881 4.3386918
100270865 5.30486085 5.2974695
100271271 3.06315177 2.9372998
100271332 -1.17995959 -0.1407189
100271415 1.76980956 1.6940257
100271479 0.24311486 -0.1407189
100271884 0.51696221 0.8785083
100272147 3.50165453 3.0224507
100286844 1.76980956 1.4698234
100287015 1.54364525 1.2042513
100287049 0.51696221 0.6831322
100287074 0.94540292 -0.1407189
100287616 3.67931723 3.2513519
100287722 1.11976813 0.6831322
100287808 0.51696221 1.2042513
100287837 -1.17995959 0.1889309
100287896 2.36228639 3.0632127
100287902 1.27531357 0.1889309
100287928 2.83207911 2.4761481
100287932 5.52236409 5.2094169
100288001 2.13739354 2.2118510
100288073 1.11976813 1.4698234
100288123 0.51696221 -0.5687184
100288198 1.41570893 2.0590054
100288241 -1.17995959 -1.1799596
100288413 2.36228639 2.8927624
100288513 -0.09518615 0.6831322
100288842 0.51696221 1.9760475
100289061 1.66115471 1.4698234
100289095 1.41570893 -1.1799596
100289133 2.55680395 3.9395901
100289178 0.94540292 2.2826012
100289211 0.51696221 1.0505540
100289259 0.51696221 0.4570902
100289274 1.96527710 2.6994418
100289341 0.51696221 1.9760475
100289373 0.51696221 1.5862754
100289388 0.74702885 0.4570902
100289414 -0.09518615 0.1889309
100289635 4.90116741 5.2452854
100289640 1.66115471 0.6831322
100289678 1.54364525 2.2826012
100293516 2.67328842 3.2513519
100294362 1.27531357 1.3431396
1003 1.27531357 1.5862754
100302692 2.05390053 2.8927624
100302736 1.11976813 1.7942847
100303728 4.17043172 3.6760980
100303755 0.74702885 1.2042513
100312828 -1.17995959 -0.1407189
100312850 0.94540292 0.4570902
10036 4.10970672 4.2354697
100379345 1.27531357 0.8785083
10038 5.29580345 5.4202248
100381270 0.24311486 1.8880267
10039 2.88134945 3.9613194
1004 4.56659481 5.0562991
10040 4.04631299 3.8492447
100418710 2.13739354 -0.5687184
100418735 1.11976813 1.4698234
100418744 1.87085124 0.1889309
100418770 -1.17995959 -1.1799596
100418781 1.87085124 2.2826012
100418819 1.87085124 1.3431396
100418829 1.66115471 1.5862754
100418888 1.27531357 -0.1407189
100418889 2.61622150 2.8927624
100418910 -0.53793164 -0.5687184
100418919 1.66115471 2.0590054
100419028 2.49483378 1.5862754
100419185 -0.09518615 -0.1407189
100419416 1.54364525 0.8785083
100419515 0.51696221 -1.1799596
100419645 -0.09518615 -0.5687184
100419758 0.74702885 1.6940257
100419928 1.87085124 1.7942847
10042 4.85258071 5.0359641
100420028 -1.17995959 -1.1799596
100420050 0.24311486 -0.1407189
100420110 2.36228639 2.7993378
100420187 0.74702885 -1.1799596
100420259 4.00244806 4.1048968
100420307 0.74702885 0.8785083
100420341 5.62717885 5.7610215
100420423 1.41570893 1.5862754
100420591 0.51696221 0.4570902
100420707 1.96527710 2.7993378
100420752 1.54364525 1.3431396
100420869 4.13023370 3.9613194
100420981 6.03355365 5.7548135
100421093 3.70691147 4.2707041
100421109 -0.53793164 0.8785083
100421160 0.94540292 1.0505540
100421175 -1.17995959 1.3431396
100421246 0.24311486 -1.1799596
100421311 2.43008177 1.2042513
100421372 2.13739354 1.3431396
100421400 0.74702885 1.6940257
100421415 1.11976813 1.2042513
100421429 0.24311486 -0.1407189
100421465 0.94540292 -1.1799596
100421468 2.13739354 1.6940257
100421506 0.51696221 -0.5687184
100421569 -0.09518615 0.4570902
100421595 -1.17995959 0.4570902
100421794 -1.17995959 -1.1799596
100422106 1.76980956 1.3431396
100422338 1.87085124 2.2118510
100422546 -0.09518615 0.1889309
100422561 3.67931723 3.3534829
10043 6.08703570 5.5477839
10044 -1.17995959 -0.1407189
10045 0.24311486 0.1889309
10046 1.41570893 0.1889309
10048 6.70524196 6.6520211
10049 6.24596091 6.3441338
100499177 3.14612615 2.5921107
100499483 2.43008177 3.1028546
1005 -1.17995959 0.4570902
100500719 0.51696221 0.8785083
100505385 2.49483378 3.0224507
100505501 1.41570893 1.4698234
100505538 -1.17995959 0.8785083
100505549 -1.17995959 2.1374514
100505573 6.54629922 6.4439739
100505576 1.41570893 1.6940257
100505616 -1.17995959 -1.1799596
100505624 1.66115471 1.5862754
100505635 -0.53793164 0.4570902
100505641 2.21631777 1.7942847
100505648 1.76980956 2.2118510
100505678 1.96527710 3.1414363
100505696 4.13023370 4.8849795
100505715 0.51696221 1.0505540
100505738 2.97511246 2.7993378
100505741 1.76980956 2.0590054
100505758 3.26227292 3.5383197
100505761 2.67328842 3.5669481
100505771 2.21631777 2.0590054
100505783 2.92899255 2.7993378
100505806 4.22870363 4.6642829
100505812 -1.17995959 0.8785083
100505832 1.87085124 0.6831322
100505854 3.43721485 3.3859808
100505876 5.68382235 5.7977184
100505894 3.14612615 2.9805034
100505933 0.51696221 1.0505540
100505994 -0.09518615 -0.5687184
100506020 1.11976813 2.0590054
100506033 4.70985958 4.3715207
100506054 0.94540292 0.8785083
100506068 0.94540292 1.5862754
100506070 1.11976813 2.1374514
100506083 -1.17995959 0.6831322
100506100 -0.09518615 0.4570902
100506119 1.54364525 1.9760475
100506127 2.97511246 2.4144731
100506142 1.11976813 -0.1407189
100506144 0.94540292 2.4761481
100506161 0.51696221 -1.1799596
100506211 5.59061299 4.8387706
100506235 0.94540292 1.3431396
100506258 1.41570893 2.1374514
100506282 2.43008177 2.5352942
100506286 1.96527710 0.8785083
100506302 0.74702885 1.2042513
100506321 -0.09518615 0.8785083
100506325 -0.09518615 0.8785083
100506343 0.51696221 1.2042513
100506365 5.39243838 5.3312390
100506368 0.51696221 -0.1407189
100506380 3.70691147 3.4488594
100506392 2.83207911 3.7277246
100506394 2.78106643 1.2042513
100506411 0.94540292 1.7942847
100506433 2.21631777 3.7277246
100506462 1.11976813 1.6940257
100506469 4.20953999 4.4958400
100506495 1.11976813 0.6831322
100506504 2.05390053 1.4698234
100506540 0.51696221 0.6831322
100506581 0.94540292 1.6940257
100506606 -0.09518615 1.2042513
100506658 1.11976813 2.2826012
100506668 2.49483378 2.6467741
100506686 1.66115471 2.2826012
100506691 1.11976813 0.8785083
100506696 3.43721485 2.2826012
100506697 0.51696221 -0.1407189
100506710 6.63156252 6.3274981
100506713 0.74702885 -0.5687184
100506725 4.10970672 4.5253153
100506731 0.74702885 1.3431396
100506757 1.11976813 1.3431396
100506779 -1.17995959 -0.1407189
100506804 -0.53793164 0.1889309
100506826 1.27531357 1.0505540
100506844 2.88134945 2.6994418
100506866 7.04769386 6.8801782
100506881 -1.17995959 0.1889309
100506885 -0.09518615 0.8785083
100506911 1.54364525 0.1889309
100506922 -0.09518615 0.4570902
100506930 3.70691147 4.1623094
100506994 1.11976813 1.2042513
100507003 1.76980956 1.8880267
100507032 2.13739354 1.5862754
100507034 2.72818365 2.8927624
100507050 2.61622150 0.4570902
100507053 0.24311486 1.7942847
100507057 0.24311486 0.6831322
100507062 1.27531357 -0.1407189
100507071 1.11976813 0.6831322
100507156 3.10523540 2.8927624
100507171 2.97511246 2.9805034
100507173 -0.09518615 0.4570902
100507178 -0.53793164 -0.5687184
100507244 0.51696221 0.6831322
100507246 3.59321896 2.7993378
100507250 -0.09518615 -0.5687184
100507254 -1.17995959 1.2042513
100507266 0.51696221 -0.5687184
100507290 4.77648765 4.7788472
100507291 1.96527710 1.8880267
100507303 2.49483378 3.0632127
100507308 0.24311486 1.3431396
100507316 1.96527710 2.0590054
100507331 1.76980956 2.2826012
100507347 -0.09518615 0.6831322
100507373 1.76980956 2.8468062
100507392 -0.53793164 0.8785083
100507398 1.76980956 1.3431396
100507401 1.27531357 1.0505540
100507420 0.94540292 1.6940257
100507433 1.54364525 1.3431396
100507436 0.51696221 0.1889309
100507437 0.51696221 1.8880267
100507459 2.61622150 2.1374514
100507463 0.24311486 -0.5687184
100507487 1.27531357 1.7942847
100507495 0.74702885 1.8880267
100507516 0.24311486 -0.1407189
100507551 1.96527710 1.8880267
100507557 -0.09518615 2.0590054
100507564 0.74702885 -1.1799596
100507567 0.94540292 0.4570902
100507588 0.24311486 1.0505540
100507599 -0.09518615 1.6940257
100507602 3.18588980 2.2118510
100508120 2.78106643 2.8927624
10051 6.22225399 6.7012763
10052 1.41570893 0.4570902
100526737 1.87085124 2.2118510
100526760 0.74702885 0.8785083
100526820 0.51696221 0.4570902
100526835 3.06315177 4.0451043
100527978 0.74702885 1.3431396
100529145 1.27531357 1.2042513
100529215 -0.09518615 0.6831322
100532746 4.47326855 4.3050984
100533106 -0.53793164 1.0505540
100533182 0.94540292 1.2042513
100533619 -1.17995959 0.1889309
100533629 0.51696221 1.2042513
100533695 0.74702885 -1.1799596
100533970 0.74702885 0.1889309
100534593 1.66115471 1.9760475
10054 5.58318727 5.6847027
10056 5.42603312 6.0158812
10057 7.52168025 7.7997002
10058 5.56822018 4.9624461
10059 7.38316329 7.3770517
1006 5.59061299 6.1449141
10060 4.82765964 4.0852400
100616256 1.11976813 0.6831322
10062 2.49483378 1.6940257
10063 4.68232221 4.4808735
100652739 0.94540292 -1.1799596
100652758 0.74702885 0.8785083
100652846 3.22458681 3.0632127
10066 6.26464989 6.2279312
10067 6.37196822 6.1064265
10068 2.83207911 3.1790130
10069 4.33862889 4.8031161
10072 4.76340593 4.6905393
10073 4.19011837 4.0653117
10075 8.68513370 8.8732558
10076 5.55309619 5.9192704
10077 5.10157922 4.1623094
100775107 1.41570893 0.1889309
10078 4.55145368 4.4808735
10079 4.58157868 5.3804558
1008 3.73398782 4.2880037
10081 5.29580345 4.8269834
10082 7.91677706 8.1189435
100820829 5.58318727 5.6583388
10084 4.80230052 5.1819179
100847074 1.66115471 1.3431396
10085 8.24083515 8.8924693
100852407 0.94540292 0.6831322
100861412 0.24311486 1.0505540
100861548 3.91050221 4.0038200
100862671 1.27531357 -0.1407189
10087 6.44342750 6.4555033
100873257 0.24311486 0.1889309
100873333 2.92899255 3.2513519
100873790 4.24761605 4.2880037
100873949 1.66115471 2.0590054
100873952 0.51696221 -0.1407189
100873965 2.72818365 1.6940257
100874006 0.74702885 0.4570902
100874008 1.41570893 1.6940257
100874014 2.55680395 2.9372998
100874058 1.87085124 1.6940257
100874080 1.41570893 1.2042513
100874097 1.11976813 1.0505540
100874201 0.51696221 1.3431396
100874212 1.27531357 1.2042513
100874217 0.51696221 1.6940257
100874235 1.96527710 1.8880267
100874261 1.11976813 -0.5687184
100874291 0.51696221 -1.1799596
100874362 2.21631777 1.7942847
100874523 1.87085124 2.1374514
100885775 5.89647726 5.7548135
100885776 0.24311486 0.1889309
100885848 5.33169679 5.2094169
1009 8.74292455 9.3501849
10090 4.22870363 4.3219929
10092 6.78184248 7.0083456
10093 6.63515772 6.8830272
10094 5.27751624 5.2889022
10095 5.31386174 5.6977062
10097 7.77079798 8.1500245
10098 7.24881716 7.1895638
10099 8.26540153 8.3099419
100996246 0.94540292 1.3431396
100996251 0.24311486 0.8785083
100996307 -0.53793164 0.6831322
100996384 1.66115471 0.6831322
100996419 1.11976813 1.5862754
100996485 1.76980956 1.7942847
100996539 0.24311486 0.4570902
100996579 0.24311486 1.2042513
100996696 2.67328842 2.0590054
100996842 1.66115471 0.8785083
100996851 0.94540292 0.8785083
100996939 0.94540292 0.8785083
101 2.13739354 2.6994418
1010 -1.17995959 -1.1799596
10100 7.31531425 6.1161451
10101 4.95968645 4.8031161
10102 4.17043172 4.4194046
10103 0.51696221 -0.1407189
10105 7.43770736 6.7077184
10106 6.99270478 7.0393228
101060200 2.49483378 2.5921107
101060691 0.51696221 2.2118510
10109 8.30994383 8.3403178
10112 4.42423929 5.0461674
10113 6.16868557 6.1870197
10114 8.38553021 7.9754940
101154753 -0.53793164 -0.1407189
10116 8.13562373 7.5302879
10117 0.51696221 -0.1407189
1012 5.89647726 6.0002220
10121 6.18839590 6.2457482
10123 6.00048613 5.9737397
101241892 4.92486062 5.2094169
10125 2.43008177 3.2156358
10126 3.43721485 2.9372998
[ reached getOption("max.print") -- omitted 13224 rows ]
#the column names are encoded in my metadata which I'll read in here
metadata_sub <- read_csv("data/counts/metadata_subset.csv")
#I want to reorder my cpm matrix and metadata so that the comparisons are easier
#order by stimulus, time, species/individual where all 2hr are first and followed by 24hr, group all of the individuals in a line together for ease of interpretation
# stim_order <- c(
# "TUN", "THA", "DMSO", #2hr samples
# "TUN", "THA", "DOX", "NUTL", "DMSO", #24hr samples
# "LPS", "TNFa", "H2O",
# "BPA", "PFOA", "EtOH"
# ) |> unique()
#
# time_order <- c(2, 24)
# species_order <- c("H", "C")
#
# meta_cmf <- metadata_sub |>
# dplyr::mutate(
# Stimulus = factor(Stimulus, levels = stim_order),
# Time = factor(Time, levels = time_order),
# Species = factor(Species, levels = species_order)
# ) |>
# dplyr::arrange(
# Stimulus,
# Time,
# Species,
# Ind
# )
# saveRDS(meta_cmf, "data/cmf/metadata_cormotif_reordered.RDS")
meta_cmf <- readRDS("data/cmf/metadata_cormotif_reordered.RDS")
meta_cmf <- meta_cmf %>%
dplyr::filter(Final_sample_name != "PFOA_24_H3")
#now that the metadata dataframe is reordered, use it to reorder my expr matrix
expr <- hc_cpm_matrix[, meta_cmf$Final_sample_name]
#check that the order is the same
stopifnot(colnames(expr) == meta_cmf$Final_sample_name)
#the columns match, now save the expr matrix for later
# saveRDS(expr, "data/cmf/cormotif_reordered_cpm_matrix_rmoutlier.RDS")
expr <- readRDS("data/cmf/cormotif_reordered_cpm_matrix_rmoutlier.RDS")
expr <- as.matrix(expr)
#create my groupid to define the different experimental parameters present
#I have Stimulus, Time, Species/Individual. The individual has species built in.
#groupid is laid out as follows:
#TUN_2_H1-7 = 1; C1-7 = 2
#THA_2_H1-7 = 3; C1-7 = 4
#DMSO_2_H1-7 = 5; C1-7 = 6
#TUN_24_H1-7 = 7; C1-7 = 8
#THA_24_H1-7 = 9; C1-7 = 10
#DOX_24_H1-7 = 11; C1-7 = 12
#NUTL_24_H1-7 = 13; C1-7 = 14
#DMSO_24_H1-7 = 15; C1-7 = 16
#LPS_24_H1-7 = 17; C1-7 = 18
#TNFa_24_H1-7 = 19; C1-7 = 20
#H2O_24_H1-7 = 21; C1-7 = 22
#BPA_24_H1-7 = 23; C1-7 = 24
#PFOA_24_H1-7 = 25; C1-7 = 26
#EtOH_24_H1-7 = 27; C1-7 = 28
# groupid <- read_csv("data/cmf/groupid.csv")
# write_csv(groupid_rmout, "data/cmf/groupid_noout.csv")
#now read in the one where I removed that outlier column
groupid <- read_csv("data/cmf/groupid_noout.csv")
#flatten into a vector
groupid <- as.numeric(groupid[1,])
#now make the comparisons between stimulus and vehicle within species
# compid <- read_csv("data/cmf/compid.csv")
#flatten into a vector
compid <- data.frame(Cond1 = c(1, 2, 3, 4,
7, 8, 9, 10, 11, 12, 13, 14,
17, 18, 19, 20,
23, 24, 25, 26),
Cond2 = c(5, 6, 5, 6,
15, 16, 15, 16, 15, 16, 15, 16,
21, 22, 21, 22,
27, 28, 27, 28))
#comparing each stim to veh within timepoint and species
Utilize the components put together above to run Cormotif.
#I haven't changed this one to have no outlier
#fit cormotif model
# set.seed(19191)
#only set seed once for reproducibility
# cmf_fit <- cormotiffit(
# exprs = expr,
# groupid = groupid,
# compid = compid,
# K = 1:20,
# max.iter = 1000,
# BIC = TRUE,
# runtype = "logCPM"
# )
#save this so you have it for later
# saveRDS(cmf_fit, "data/cmf/cormotif_fitmatrix_k20.RDS")
cmf_fit <- readRDS("data/cmf/cormotif_fitmatrix_k20.RDS")
plotIC(cmf_fit)

| Version | Author | Date |
|---|---|---|
| 8a4bbba | Emma M. Pfortmiller | 2026-01-13 |
#visual check of the lowest BIC
cmf_fit$bic
K bic
[1,] 1 948445.9
[2,] 2 939057.6
[3,] 3 935136.5
[4,] 4 931227.9
[5,] 5 930593.3
[6,] 6 930083.8
[7,] 7 930023.8
[8,] 8 929492.3
[9,] 9 929540.0
[10,] 10 929305.9
[11,] 11 929419.2
[12,] 12 929518.0
[13,] 13 929541.2
[14,] 14 929549.4
[15,] 15 929924.9
[16,] 16 929771.9
[17,] 17 930085.5
[18,] 18 930306.6
[19,] 19 930565.9
[20,] 20 930746.4
#it looks like with the first run that 10 + motifs are appearing, so I'll have to increase my K
plotMotif(cmf_fit)

| Version | Author | Date |
|---|---|---|
| 8a4bbba | Emma M. Pfortmiller | 2026-01-13 |
#plot the probability legend
myColors <- rev(c("#FFFFFF", "#E6E6E6" ,"#CCCCCC", "#B3B3B3", "#999999", "#808080", "#666666","#4C4C4C", "#333333", "#191919","#000000"))
plot.new()
legend('bottomleft',fill=myColors, legend =rev(c("0", "0.1", "0.2", "0.3", "0.4", "0.5", "0.6", "0.7", "0.8","0.9", "1")), box.col="white",title = "Probability\nlegend", horiz=FALSE,title.cex=.8)

| Version | Author | Date |
|---|---|---|
| 8a4bbba | Emma M. Pfortmiller | 2026-01-13 |
#I want to go ahead and subset my data to focus on the 24hr samples for Cormotif
#I will take my same matrix and remove any 2hr samples
expr_24 <- expr[, grep("_24_", colnames(expr))]
#also make sure that my metadata is only 24hr samples
metadata_24 <- metadata_sub %>%
dplyr::filter(Time == "24")
#groupid is laid out as follows:
#TUN_24_H1-7 = 1; C1-7 = 2
#THA_24_H1-7 = 3; C1-7 = 4
#DOX_24_H1-7 = 5; C1-7 = 6
#NUTL_24_H1-7 = 7; C1-7 = 8
#DMSO_24_H1-7 = 9; C1-7 = 10
#LPS_24_H1-7 = 11; C1-7 = 12
#TNFa_24_H1-7 = 13; C1-7 = 14
#H2O_24_H1-7 = 15; C1-7 = 16
#BPA_24_H1-7 = 17; C1-7 = 18
#PFOA_24_H1-7 = 19; C1-7 = 20
#EtOH_24_H1-7 = 21; C1-7 = 22
#remove my outlier sample here
# groupid_24noout <- read_csv("data/cmf/groupid_24.csv",
# col_types = cols(PFOA_24_H3 = col_skip(),
# PFOA_24_C3 = col_double()))
# write_csv(groupid_24noout, "data/cmf/groupid_24_noout.csv")
groupid_24 <- read_csv("data/cmf/groupid_24_noout.csv")
#flatten into a vector
groupid_24 <- as.numeric(groupid_24[1,])
#now make the comparisons between stimulus and vehicle within species
#flatten into a vector
compid_24 <- data.frame(Cond1 = c(1, 2, 3, 4, 5, 6, 7, 8,
11, 12, 13, 14,
17, 18, 19, 20),
Cond2 = c(9, 10, 9, 10, 9, 10, 9, 10,
15, 16, 15, 16,
21, 22, 21, 22))
#comparing each stim to veh within timepoint and species
#I have not rerun this to get rid of the outlier
#fit cormotif model
# set.seed(19191)
# #only set seed once for reproducibility
#
# cmf_fit_24 <- cormotiffit(
# exprs = expr_24,
# groupid = groupid_24,
# compid = compid_24,
# K = 1:30,
# max.iter = 10,000,
# BIC = TRUE,
# runtype = "logCPM"
# )
#save this so you have it for later
# saveRDS(cmf_fit_24, "data/cmf/cormotif_fitmatrix_k30_24hr.RDS")
cmf_fit_24 <- readRDS("data/cmf/cormotif_fitmatrix_k30_24hr.RDS")
#plot these
plotIC(cmf_fit_24)

| Version | Author | Date |
|---|---|---|
| 8a4bbba | Emma M. Pfortmiller | 2026-01-13 |
plotMotif(cmf_fit_24)

| Version | Author | Date |
|---|---|---|
| 8a4bbba | Emma M. Pfortmiller | 2026-01-13 |
#extract the posterior probability that these genes belong to motifs
gene_prob_all24 <- cmf_fit_24$bestmotif$p.post
rownames(gene_prob_all24) <- rownames(expr_24)
gene_probs24 <- gene_prob_all24
#assign each gene to a motif with max post prob
assigned_motifs24 <- apply(gene_probs24, 1, which.max)
max_probs24 <- apply(gene_probs24, 1, max)
#combine these into a dataframe - motif assigned genes (p.post)
motif_assignment_df24 <- gene_probs24 %>%
as.data.frame() %>%
rownames_to_column("Gene") %>%
mutate(
Assigned_Motif = assigned_motifs24[Gene],
Max_Probability = max_probs24[Gene]
)
#make some histograms of the unfiltered data from Cormotif p.post
gene_prob_all24 %>%
as.data.frame() %>%
ggplot(., aes(x = V1))+
geom_histogram(bins = 50)+
xlim(0,1)+
ggtitle("Cormotif p.post RUV M1 24hr")

| Version | Author | Date |
|---|---|---|
| 8a4bbba | Emma M. Pfortmiller | 2026-01-13 |
gene_prob_all24 %>%
as.data.frame() %>%
ggplot(., aes(x = V2))+
geom_histogram(bins = 50)+
xlim(0,1)+
ggtitle("Cormotif p.post RUV M2 24hr")

| Version | Author | Date |
|---|---|---|
| 8a4bbba | Emma M. Pfortmiller | 2026-01-13 |
#extract the cluster likelihood - which DEGs are most likely to be in this cluster
motif_prob24 <- cmf_fit_24$bestmotif$clustlike
rownames(motif_prob24) <- rownames(gene_prob_all24)
# write.csv(motif_prob24,"data/cmf/cormotif_probability_genelist_all_24hr_subset.csv")
#make some histograms to look at the distribution of clustlike genes without filtering
# motif_prob %>%
# as.data.frame() %>%
# ggplot(., aes(x = V1))+
# geom_histogram(bins = 50)+
# xlim(0,1)+
# ggtitle("Cormotif Genes clustlike Distribution M1")
#
# motif_prob %>%
# as.data.frame() %>%
# ggplot(., aes(x = V2))+
# geom_histogram(bins = 50)+
# xlim(0,1)+
# ggtitle("Cormotif Genes clustlike Distribution M2")
#use clustlike and p.post to define my motifs
#m1
#filter 1: clustlike
clust1_24 <-
motif_prob24 %>%
as.data.frame() %>%
filter(V1 > 0.6 & V2 < 0.5 & V3 < 0.5
& V4 < 0.5 & V5 < 0.5 & V6 < 0.5) %>%
rownames
length(clust1_24)
[1] 6840
#6480 genes
#m2
clust2_24 <-
motif_prob24 %>%
as.data.frame() %>%
filter(V1 < 0.5 & V2 > 0.5 & V3 < 0.5
& V4 < 0.5 & V5 < 0.5 & V6 < 0.5) %>%
rownames
length(clust2_24)
[1] 3741
#3741 genes
#m3
clust3_24 <-
motif_prob24 %>%
as.data.frame() %>%
filter(V1 < 0.5 & V2 < 0.5 & V3 > 0.5
& V4 < 0.5 & V5 < 0.5 & V6 < 0.5) %>%
rownames
length(clust3_24)
[1] 1381
#1381 genes
#m4
clust4_24 <-
motif_prob24 %>%
as.data.frame() %>%
filter(V1 < 0.5 & V2 < 0.5 & V3 < 0.5
& V4 > 0.1 & V5 < 0.5 & V6 < 0.5) %>%
rownames
length(clust4_24)
[1] 108
#108 genes
#m5
clust5_24 <-
motif_prob24 %>%
as.data.frame() %>%
filter(V1 < 0.5 & V2 < 0.5 & V3 < 0.5
& V4 < 0.5 & V5 > 0.5 & V6 < 0.5) %>%
rownames
length(clust5_24)
[1] 36
#36 genes
#m6
clust6_24 <-
motif_prob24 %>%
as.data.frame() %>%
filter(V1 < 0.5 & V2 < 0.5 & V3 < 0.5
& V4 < 0.5 & V5 < 0.5 & V6 > 0.5) %>%
rownames
length(clust6_24)
[1] 917
#917 genes
# ### Filter 2: Gene-level posterior pattern (add later)
# prob_filtered_genes_1 <- rownames(gene_probs[(gene_probs[,1] > 0.05 & gene_probs[,1] <0.5 & gene_probs[,2] <0.5 & gene_probs[,3] <0.5),])
# ### Final intersection of both filters
# final_genes_1_RUV <- intersect(clust1_genes_RUV, prob_filtered_genes_1_RUV)
# cat("Number of genes passing both filters:", length(final_genes_1_RUV), "\n")
#now look at these just based on cluster likelihood and go through to refine later
#first check that each list of genes is unique
cmf24_clustlike <- list(
all_24_c1 = clust1_24,
all_24_c2 = clust2_24,
all_24_c3 = clust3_24,
all_24_c4 = clust4_24,
all_24_c5 = clust5_24,
all_24_c6 = clust6_24
)
#total of 13023 genes out of my original 13739
length(unique(unlist(cmf24_clustlike))) == sum(lengths(cmf24_clustlike))
[1] TRUE
#each of these gene lists is unique
assign_24 <- unique(unlist(cmf24_clustlike))
all_genes <- rownames(hc_cpm_matrix_24)
unassign_24 <- setdiff(all_genes, assign_24)
#quick barplot and pie chart
clust24_data <- data.frame(
Category = c("1", "2", "3", "4", "5", "6", "unassign"),
Value = c(length(clust1_24), length(clust2_24), length(clust3_24),
length(clust4_24), length(clust5_24), length(clust6_24),
length(unassign_24)
))
piecolors <- c("1" = "blue",
"2" = "red",
"3" = "hotpink",
"4" = "lightgreen",
"5" = "purple",
"6" = "orange",
"unassign" = "gray"
)
clust24_data <- clust24_data %>%
mutate(Prop = Value / sum(Value) * 100)
clust24_data <- clust24_data %>%
mutate(Category = factor(Category, levels = c("1", "2", "3", "4", "5", "6", "unassign"))) %>%
mutate(Prop = Value / sum(Value) * 100)
#stacked bar with no axes
ggplot(clust24_data, aes(x = "", y = Value, fill = Category)) +
geom_bar(stat = "identity", width = 0.6) +
labs(title = "Distr of Gene Clusters Cormotif clustlike") +
scale_fill_manual(values = piecolors) +
theme_void() +
theme(legend.title = element_blank(),
plot.title = element_text(hjust = 0.5))

| Version | Author | Date |
|---|---|---|
| 8a4bbba | Emma M. Pfortmiller | 2026-01-13 |
#make a piechart of these distributions
clust24_data %>% ggplot(aes(x = "", y = Value, fill = Category))+
geom_bar(width = 1, stat = "identity")+
coord_polar("y", start = 0)+
geom_text(aes(label = Value),
position = position_dodge(width = 2),
size = 4, color = "black")+
labs(title = "Distr of Gene Clusters Cormotif clustlike", x = NULL, y = NULL)+
theme_void()+
scale_fill_manual(values = piecolors)

| Version | Author | Date |
|---|---|---|
| 8a4bbba | Emma M. Pfortmiller | 2026-01-13 |
#read in my toptable list so I can look at the logFC
toptable_list_24 <- readRDS("data/de/Toptable_list_24hr.RDS")
#also add in my combined dataframe
combined_24hr <- readRDS("data/de/Combined_24hr_Toptable_EMP_251001.RDS")
#go kegg for each
clust1_mat <- as.matrix(clust1_24)
colnames(clust1_mat) <- c("Entrez_ID")
c1_gk <- gost(query = clust1_mat,
organism = "hsapiens",
ordered_query = FALSE,
measure_underrepresentation = FALSE,
evcodes = TRUE,
user_threshold = 0.05,
significant = TRUE,
custom_bg = all_genes,
correction_method = c("fdr"),
sources = c("GO:BP", "KEGG"))
c1_gk_gost <- gostplot(c1_gk, capped = FALSE, interactive = TRUE)
c1_gk_gost
table_c1 <- c1_gk$result %>%
dplyr::select(c(source, term_id, term_name, intersection_size, term_size, p_value))
table_c1 %>%
mutate_at(.vars = 6, .funs = scales::label_scientific(digits=4)) %>%
kableExtra::kable(.,) %>%
kableExtra::kable_paper("striped", full_width = FALSE) %>%
kableExtra::kable_styling(full_width = FALSE, position = "left", bootstrap_options = c("striped", "hover")) %>%
kableExtra::scroll_box(width = "100%", height = "400px")
| source | term_id | term_name | intersection_size | term_size | p_value |
|---|---|---|---|---|---|
| KEGG | KEGG:04512 | ECM-receptor interaction | 51 | 70 | 1.379e-02 |
| KEGG | KEGG:04510 | Focal adhesion | 109 | 175 | 4.260e-02 |
# #GO:BP
# table_c1 <- table_c1 %>%
# dplyr::filter(source=="GO:BP") %>%
# dplyr::select(p_value, term_name, intersection_size) %>%
# dplyr::slice_min(., n=20, order_by=p_value) %>%
# mutate(log_val = -log10(p_value))
# table_c1 %>% ggplot(., aes(x = log_val, y = reorder(term_name, p_value))) +
# geom_point() +
# ggtitle("M1 Enriched GO:BP")+
# xlab(expression("-log"[10]~"p-value"))+
# ylab("GO:BP term")+
# scale_y_discrete(labels = scales::label_wrap(30))+
# theme_custom()
#KEGG
table_c1 <- table_c1 %>%
dplyr::filter(source=="KEGG") %>%
dplyr::select(p_value, term_name, intersection_size) %>%
dplyr::slice_min(., n=20, order_by=p_value) %>%
mutate(log_val = -log10(p_value))
table_c1 %>%
ggplot(aes(x = log_val, y = reorder(term_name, p_value))) +
geom_point() +
ggtitle("KEGG Clust1") +
xlab(expression("-log"[10]~"adj. p-value")) +
ylab("KEGG Term") +
scale_y_discrete(labels = scales::label_wrap(30)) +
theme_custom() +
theme(legend.position = "none")

| Version | Author | Date |
|---|---|---|
| 8a4bbba | Emma M. Pfortmiller | 2026-01-13 |
#C2
clust2_mat <- as.matrix(clust2_24)
colnames(clust2_mat) <- c("Entrez_ID")
c2_gk <- gost(query = clust2_mat,
organism = "hsapiens",
ordered_query = FALSE,
measure_underrepresentation = FALSE,
evcodes = TRUE,
user_threshold = 0.05,
significant = TRUE,
custom_bg = all_genes,
correction_method = c("fdr"),
sources = c("GO:BP", "KEGG"))
#no terms found
# c2_gk_gost <- gostplot(c2_gk, capped = FALSE, interactive = TRUE)
# c2_gk_gost
#
# table_c2 <- c2_gk$result %>%
# dplyr::select(c(source, term_id, term_name, intersection_size, term_size, p_value))
#
# table_c2 %>%
# mutate_at(.vars = 6, .funs = scales::label_scientific(digits=4)) %>%
# kableExtra::kable(.,) %>%
# kableExtra::kable_paper("striped", full_width = FALSE) %>%
# kableExtra::kable_styling(full_width = FALSE, position = "left", bootstrap_options = c("striped", "hover")) %>%
# kableExtra::scroll_box(width = "100%", height = "400px")
# #GO:BP
# table_c2_go <- table_c2 %>%
# dplyr::filter(source=="GO:BP") %>%
# dplyr::select(p_value, term_name, intersection_size) %>%
# dplyr::slice_min(., n=20, order_by=p_value) %>%
# mutate(log_val = -log10(p_value))
#
# table_c2_go %>% ggplot(., aes(x = log_val, y = reorder(term_name, p_value))) +
# geom_point() +
# ggtitle("GO:BP Clust2")+
# xlab(expression("-log"[10]~"p-value"))+
# ylab("GO:BP term")+
# scale_y_discrete(labels = scales::label_wrap(30))+
# theme_custom()
# #KEGG
# table_c2_kegg <- table_c2 %>%
# dplyr::filter(source=="KEGG") %>%
# dplyr::select(p_value, term_name, intersection_size) %>%
# dplyr::slice_min(., n=20, order_by=p_value) %>%
# mutate(log_val = -log10(p_value))
#
# table_c2_kegg %>%
# ggplot(aes(x = log_val, y = reorder(term_name, p_value))) +
# geom_point() +
# ggtitle("KEGG Clust2") +
# xlab(expression("-log"[10]~"adj. p-value")) +
# ylab("KEGG Term") +
# scale_y_discrete(labels = scales::label_wrap(30)) +
# theme_custom() +
# theme(legend.position = "none")
#C3
clust3_mat <- as.matrix(clust3_24)
colnames(clust3_mat) <- c("Entrez_ID")
c3_gk <- gost(query = clust3_mat,
organism = "hsapiens",
ordered_query = FALSE,
measure_underrepresentation = FALSE,
evcodes = TRUE,
user_threshold = 0.05,
significant = TRUE,
custom_bg = all_genes,
correction_method = c("fdr"),
sources = c("GO:BP", "KEGG"))
c3_gk_gost <- gostplot(c3_gk, capped = FALSE, interactive = TRUE)
c3_gk_gost
table_c3 <- c3_gk$result %>%
dplyr::select(c(source, term_id, term_name, intersection_size, term_size, p_value))
table_c3 %>%
mutate_at(.vars = 6, .funs = scales::label_scientific(digits=4)) %>%
kableExtra::kable(.,) %>%
kableExtra::kable_paper("striped", full_width = FALSE) %>%
kableExtra::kable_styling(full_width = FALSE, position = "left", bootstrap_options = c("striped", "hover")) %>%
kableExtra::scroll_box(width = "100%", height = "400px")
| source | term_id | term_name | intersection_size | term_size | p_value |
|---|---|---|---|---|---|
| GO:BP | GO:0034976 | response to endoplasmic reticulum stress | 58 | 230 | 3.107e-07 |
| GO:BP | GO:0008150 | biological_process | 1269 | 11801 | 5.067e-07 |
| GO:BP | GO:0012501 | programmed cell death | 219 | 1496 | 1.351e-05 |
| GO:BP | GO:0008219 | cell death | 219 | 1500 | 1.351e-05 |
| GO:BP | GO:0006915 | apoptotic process | 212 | 1451 | 1.872e-05 |
| GO:BP | GO:0006986 | response to unfolded protein | 34 | 125 | 7.857e-05 |
| GO:BP | GO:0034620 | cellular response to unfolded protein | 26 | 83 | 1.129e-04 |
| GO:BP | GO:0051234 | establishment of localization | 430 | 3448 | 1.610e-04 |
| GO:BP | GO:0046907 | intracellular transport | 174 | 1189 | 1.610e-04 |
| GO:BP | GO:0045184 | establishment of protein localization | 202 | 1418 | 1.610e-04 |
| GO:BP | GO:0035967 | cellular response to topologically incorrect protein | 28 | 98 | 1.610e-04 |
| GO:BP | GO:0035966 | response to topologically incorrect protein | 36 | 142 | 1.610e-04 |
| GO:BP | GO:0015031 | protein transport | 173 | 1181 | 1.610e-04 |
| GO:BP | GO:0030968 | endoplasmic reticulum unfolded protein response | 23 | 70 | 1.610e-04 |
| GO:BP | GO:0051179 | localization | 484 | 3958 | 1.883e-04 |
| GO:BP | GO:0006810 | transport | 401 | 3192 | 1.883e-04 |
| GO:BP | GO:0009987 | cellular process | 1230 | 11533 | 5.066e-04 |
| GO:BP | GO:0051641 | cellular localization | 351 | 2769 | 5.367e-04 |
| GO:BP | GO:0042981 | regulation of apoptotic process | 159 | 1092 | 5.380e-04 |
| GO:BP | GO:0008104 | protein localization | 275 | 2102 | 7.560e-04 |
| GO:BP | GO:0043067 | regulation of programmed cell death | 162 | 1125 | 7.560e-04 |
| GO:BP | GO:0032501 | multicellular organismal process | 559 | 4718 | 7.560e-04 |
| GO:BP | GO:0070727 | cellular macromolecule localization | 276 | 2112 | 7.568e-04 |
| GO:BP | GO:0050896 | response to stimulus | 665 | 5754 | 1.117e-03 |
| GO:BP | GO:0009100 | glycoprotein metabolic process | 55 | 290 | 1.180e-03 |
| GO:BP | GO:0071705 | nitrogen compound transport | 206 | 1512 | 1.180e-03 |
| GO:BP | GO:0006886 | intracellular protein transport | 94 | 585 | 1.282e-03 |
| GO:BP | GO:0097190 | apoptotic signaling pathway | 81 | 485 | 1.282e-03 |
| GO:BP | GO:0006984 | ER-nucleus signaling pathway | 16 | 45 | 1.282e-03 |
| GO:BP | GO:0023052 | signaling | 510 | 4296 | 1.831e-03 |
| GO:BP | GO:0007154 | cell communication | 510 | 4308 | 2.500e-03 |
| GO:BP | GO:0009225 | nucleotide-sugar metabolic process | 15 | 43 | 2.922e-03 |
| GO:BP | GO:0051649 | establishment of localization in cell | 218 | 1647 | 3.421e-03 |
| GO:BP | GO:0043603 | amide metabolic process | 59 | 334 | 3.997e-03 |
| GO:BP | GO:0042592 | homeostatic process | 168 | 1227 | 5.645e-03 |
| GO:BP | GO:0006575 | modified amino acid metabolic process | 28 | 121 | 5.645e-03 |
| GO:BP | GO:0033036 | macromolecule localization | 302 | 2414 | 5.793e-03 |
| GO:BP | GO:0007165 | signal transduction | 465 | 3921 | 5.793e-03 |
| GO:BP | GO:0051716 | cellular response to stimulus | 570 | 4922 | 6.388e-03 |
| GO:BP | GO:0006796 | phosphate-containing compound metabolic process | 241 | 1872 | 6.621e-03 |
| GO:BP | GO:0006793 | phosphorus metabolic process | 241 | 1873 | 6.702e-03 |
| GO:BP | GO:0043069 | negative regulation of programmed cell death | 102 | 681 | 7.004e-03 |
| GO:BP | GO:0036503 | ERAD pathway | 24 | 99 | 7.694e-03 |
| GO:BP | GO:0070059 | intrinsic apoptotic signaling pathway in response to endoplasmic reticulum stress | 16 | 53 | 8.556e-03 |
| GO:BP | GO:0043066 | negative regulation of apoptotic process | 98 | 654 | 9.132e-03 |
| GO:BP | GO:0019538 | protein metabolic process | 428 | 3611 | 1.303e-02 |
| GO:BP | GO:0007166 | cell surface receptor signaling pathway | 247 | 1950 | 1.303e-02 |
| GO:BP | GO:0018279 | protein N-linked glycosylation via asparagine | 13 | 39 | 1.303e-02 |
| GO:BP | GO:1901135 | carbohydrate derivative metabolic process | 109 | 752 | 1.303e-02 |
| GO:BP | GO:0006487 | protein N-linked glycosylation | 17 | 61 | 1.358e-02 |
| GO:BP | GO:0035592 | establishment of protein localization to extracellular region | 49 | 278 | 1.424e-02 |
| GO:BP | GO:0006749 | glutathione metabolic process | 11 | 30 | 1.575e-02 |
| GO:BP | GO:0032879 | regulation of localization | 198 | 1523 | 1.628e-02 |
| GO:BP | GO:0046349 | amino sugar biosynthetic process | 7 | 13 | 1.628e-02 |
| GO:BP | GO:0071692 | protein localization to extracellular region | 49 | 282 | 1.897e-02 |
| GO:BP | GO:0051604 | protein maturation | 67 | 421 | 1.975e-02 |
| GO:BP | GO:0048193 | Golgi vesicle transport | 49 | 283 | 2.000e-02 |
| GO:BP | GO:0009306 | protein secretion | 48 | 276 | 2.052e-02 |
| GO:BP | GO:0097193 | intrinsic apoptotic signaling pathway | 45 | 255 | 2.278e-02 |
| GO:BP | GO:0006047 | UDP-N-acetylglucosamine metabolic process | 7 | 14 | 2.393e-02 |
| GO:BP | GO:0048731 | system development | 358 | 2993 | 2.393e-02 |
| GO:BP | GO:0030970 | retrograde protein transport, ER to cytosol | 10 | 27 | 2.393e-02 |
| GO:BP | GO:1903513 | endoplasmic reticulum to cytosol transport | 10 | 27 | 2.393e-02 |
| GO:BP | GO:0009226 | nucleotide-sugar biosynthetic process | 10 | 27 | 2.393e-02 |
| GO:BP | GO:0009101 | glycoprotein biosynthetic process | 42 | 234 | 2.393e-02 |
| GO:BP | GO:0051223 | regulation of protein transport | 56 | 340 | 2.393e-02 |
| GO:BP | GO:0032328 | alanine transport | 7 | 14 | 2.393e-02 |
| GO:BP | GO:0055085 | transmembrane transport | 142 | 1051 | 2.460e-02 |
| GO:BP | GO:0070482 | response to oxygen levels | 47 | 274 | 2.781e-02 |
| GO:BP | GO:1901137 | carbohydrate derivative biosynthetic process | 72 | 469 | 2.781e-02 |
| GO:BP | GO:0007275 | multicellular organism development | 407 | 3461 | 2.905e-02 |
| GO:BP | GO:2001233 | regulation of apoptotic signaling pathway | 51 | 306 | 3.072e-02 |
| GO:BP | GO:0070201 | regulation of establishment of protein localization | 65 | 416 | 3.169e-02 |
| GO:BP | GO:1903829 | positive regulation of protein localization | 63 | 400 | 3.169e-02 |
| GO:BP | GO:0036499 | PERK-mediated unfolded protein response | 8 | 19 | 3.251e-02 |
| GO:BP | GO:0051246 | regulation of protein metabolic process | 189 | 1473 | 3.350e-02 |
| GO:BP | GO:0032880 | regulation of protein localization | 104 | 737 | 3.350e-02 |
| GO:BP | GO:0070085 | glycosylation | 36 | 196 | 3.398e-02 |
| GO:BP | GO:0044790 | suppression of viral release by host | 7 | 15 | 3.471e-02 |
| GO:BP | GO:0023051 | regulation of signaling | 321 | 2677 | 3.955e-02 |
| GO:BP | GO:0016055 | Wnt signaling pathway | 61 | 389 | 3.990e-02 |
| GO:BP | GO:0009056 | catabolic process | 253 | 2056 | 4.096e-02 |
| GO:BP | GO:0006888 | endoplasmic reticulum to Golgi vesicle-mediated transport | 25 | 121 | 4.204e-02 |
| GO:BP | GO:0044281 | small molecule metabolic process | 167 | 1289 | 4.440e-02 |
| GO:BP | GO:0060341 | regulation of cellular localization | 113 | 821 | 4.440e-02 |
| GO:BP | GO:0006457 | protein folding | 33 | 179 | 4.995e-02 |
| KEGG | KEGG:04141 | Protein processing in endoplasmic reticulum | 46 | 150 | 1.021e-09 |
| KEGG | KEGG:01100 | Metabolic pathways | 154 | 1101 | 3.144e-03 |
| KEGG | KEGG:00000 | KEGG root term | 641 | 5615 | 4.452e-03 |
| KEGG | KEGG:01250 | Biosynthesis of nucleotide sugars | 12 | 35 | 8.981e-03 |
| KEGG | KEGG:00520 | Amino sugar and nucleotide sugar metabolism | 13 | 46 | 2.680e-02 |
| KEGG | KEGG:00900 | Terpenoid backbone biosynthesis | 8 | 20 | 2.680e-02 |
| KEGG | KEGG:04145 | Phagosome | 21 | 96 | 2.680e-02 |
| KEGG | KEGG:04115 | p53 signaling pathway | 16 | 65 | 2.687e-02 |
#GO:BP
table_c3 <- table_c3 %>%
dplyr::filter(source=="GO:BP") %>%
dplyr::select(p_value, term_name, intersection_size) %>%
dplyr::slice_min(., n=20, order_by=p_value) %>%
mutate(log_val = -log10(p_value))
table_c3 %>% ggplot(., aes(x = log_val, y = reorder(term_name, p_value))) +
geom_point() +
ggtitle("GO:BP Clust3")+
xlab(expression("-log"[10]~"p-value"))+
ylab("GO:BP term")+
scale_y_discrete(labels = scales::label_wrap(30))+
theme_custom()

| Version | Author | Date |
|---|---|---|
| 8a4bbba | Emma M. Pfortmiller | 2026-01-13 |
table_c3 <- c3_gk$result %>%
dplyr::select(c(source, term_id, term_name, intersection_size, term_size, p_value))
#KEGG
table_c3 <- table_c3 %>%
dplyr::filter(source=="KEGG") %>%
dplyr::select(p_value, term_name, intersection_size) %>%
dplyr::slice_min(., n=20, order_by=p_value) %>%
mutate(log_val = -log10(p_value))
table_c3 %>%
ggplot(aes(x = log_val, y = reorder(term_name, p_value))) +
geom_point() +
ggtitle("KEGG Clust3") +
xlab(expression("-log"[10]~"adj. p-value")) +
ylab("KEGG Term") +
scale_y_discrete(labels = scales::label_wrap(30)) +
theme_custom() +
theme(legend.position = "none")

| Version | Author | Date |
|---|---|---|
| 8a4bbba | Emma M. Pfortmiller | 2026-01-13 |
#C2
clust4_mat <- as.matrix(clust4_24)
colnames(clust4_mat) <- c("Entrez_ID")
c4_gk <- gost(query = clust4_mat,
organism = "hsapiens",
ordered_query = FALSE,
measure_underrepresentation = FALSE,
evcodes = TRUE,
user_threshold = 0.05,
significant = TRUE,
custom_bg = all_genes,
correction_method = c("fdr"),
sources = c("GO:BP", "KEGG"))
c4_gk_gost <- gostplot(c4_gk, capped = FALSE, interactive = TRUE)
c4_gk_gost
table_c4 <- c4_gk$result %>%
dplyr::select(c(source, term_id, term_name, intersection_size, term_size, p_value))
table_c4 %>%
mutate_at(.vars = 6, .funs = scales::label_scientific(digits=4)) %>%
kableExtra::kable(.,) %>%
kableExtra::kable_paper("striped", full_width = FALSE) %>%
kableExtra::kable_styling(full_width = FALSE, position = "left", bootstrap_options = c("striped", "hover")) %>%
kableExtra::scroll_box(width = "100%", height = "400px")
| source | term_id | term_name | intersection_size | term_size | p_value |
|---|---|---|---|---|---|
| GO:BP | GO:0000278 | mitotic cell cycle | 19 | 763 | 6.773e-03 |
| GO:BP | GO:0022402 | cell cycle process | 23 | 1052 | 6.773e-03 |
| GO:BP | GO:1903047 | mitotic cell cycle process | 18 | 657 | 6.773e-03 |
| GO:BP | GO:0007049 | cell cycle | 25 | 1325 | 2.063e-02 |
#GO:BP
table_c4 <- table_c4 %>%
dplyr::filter(source=="GO:BP") %>%
dplyr::select(p_value, term_name, intersection_size) %>%
dplyr::slice_min(., n=20, order_by=p_value) %>%
mutate(log_val = -log10(p_value))
table_c4 %>% ggplot(., aes(x = log_val, y = reorder(term_name, p_value))) +
geom_point() +
ggtitle("GO:BP Clust4")+
xlab(expression("-log"[10]~"p-value"))+
ylab("GO:BP term")+
scale_y_discrete(labels = scales::label_wrap(30))+
theme_custom()

| Version | Author | Date |
|---|---|---|
| 8a4bbba | Emma M. Pfortmiller | 2026-01-13 |
#no KEGG terms found
# table_c4 <- c4_gk$result %>%
# dplyr::select(c(source, term_id, term_name, intersection_size, term_size, p_value))
#
# #KEGG
# table_c4 <- table_c4 %>%
# dplyr::filter(source=="KEGG") %>%
# dplyr::select(p_value, term_name, intersection_size) %>%
# dplyr::slice_min(., n=20, order_by=p_value) %>%
# mutate(log_val = -log10(p_value))
#
# table_c4 %>%
# ggplot(aes(x = log_val, y = reorder(term_name, p_value))) +
# geom_point() +
# ggtitle("KEGG Clust4") +
# xlab(expression("-log"[10]~"adj. p-value")) +
# ylab("KEGG Term") +
# scale_y_discrete(labels = scales::label_wrap(30)) +
# theme_custom() +
# theme(legend.position = "none")
#C5
clust5_mat <- as.matrix(clust5_24)
colnames(clust5_mat) <- c("Entrez_ID")
c5_gk <- gost(query = clust5_mat,
organism = "hsapiens",
ordered_query = FALSE,
measure_underrepresentation = FALSE,
evcodes = TRUE,
user_threshold = 0.05,
significant = TRUE,
custom_bg = all_genes,
correction_method = c("fdr"),
sources = c("GO:BP", "KEGG"))
c5_gk_gost <- gostplot(c5_gk, capped = FALSE, interactive = TRUE)
c5_gk_gost
table_c5 <- c5_gk$result %>%
dplyr::select(c(source, term_id, term_name, intersection_size, term_size, p_value))
table_c5 %>%
mutate_at(.vars = 6, .funs = scales::label_scientific(digits=4)) %>%
kableExtra::kable(.,) %>%
kableExtra::kable_paper("striped", full_width = FALSE) %>%
kableExtra::kable_styling(full_width = FALSE, position = "left", bootstrap_options = c("striped", "hover")) %>%
kableExtra::scroll_box(width = "100%", height = "400px")
| source | term_id | term_name | intersection_size | term_size | p_value |
|---|---|---|---|---|---|
| GO:BP | GO:0002376 | immune system process | 24 | 1584 | 2.719e-11 |
| GO:BP | GO:0006955 | immune response | 20 | 993 | 4.504e-11 |
| GO:BP | GO:0006952 | defense response | 20 | 1054 | 9.282e-11 |
| GO:BP | GO:0006954 | inflammatory response | 15 | 504 | 4.234e-10 |
| GO:BP | GO:0140546 | defense response to symbiont | 15 | 580 | 2.549e-09 |
| GO:BP | GO:0034097 | response to cytokine | 15 | 620 | 5.496e-09 |
| GO:BP | GO:1901652 | response to peptide | 15 | 632 | 6.186e-09 |
| GO:BP | GO:0032496 | response to lipopolysaccharide | 10 | 203 | 1.809e-08 |
| GO:BP | GO:0098542 | defense response to other organism | 15 | 692 | 1.809e-08 |
| GO:BP | GO:0002237 | response to molecule of bacterial origin | 10 | 213 | 2.614e-08 |
| GO:BP | GO:0044419 | biological process involved in interspecies interaction between organisms | 17 | 1035 | 3.811e-08 |
| GO:BP | GO:0051707 | response to other organism | 16 | 901 | 4.367e-08 |
| GO:BP | GO:0043207 | response to external biotic stimulus | 16 | 901 | 4.367e-08 |
| GO:BP | GO:0050727 | regulation of inflammatory response | 10 | 234 | 4.695e-08 |
| GO:BP | GO:0009607 | response to biotic stimulus | 16 | 932 | 6.234e-08 |
| GO:BP | GO:0009605 | response to external stimulus | 19 | 1460 | 7.291e-08 |
| GO:BP | GO:0009617 | response to bacterium | 11 | 344 | 9.625e-08 |
| GO:BP | GO:0038061 | non-canonical NF-kappaB signal transduction | 7 | 91 | 3.627e-07 |
| GO:BP | GO:0007249 | canonical NF-kappaB signal transduction | 9 | 242 | 1.004e-06 |
| GO:BP | GO:0019730 | antimicrobial humoral response | 5 | 31 | 1.459e-06 |
| GO:BP | GO:0001775 | cell activation | 13 | 712 | 1.527e-06 |
| GO:BP | GO:0006950 | response to stress | 23 | 2758 | 1.754e-06 |
| GO:BP | GO:0045321 | leukocyte activation | 12 | 604 | 2.264e-06 |
| GO:BP | GO:0071222 | cellular response to lipopolysaccharide | 7 | 131 | 3.474e-06 |
| GO:BP | GO:0071219 | cellular response to molecule of bacterial origin | 7 | 136 | 4.320e-06 |
| GO:BP | GO:0002682 | regulation of immune system process | 14 | 993 | 7.485e-06 |
| GO:BP | GO:1901700 | response to oxygen-containing compound | 15 | 1168 | 7.485e-06 |
| GO:BP | GO:0071345 | cellular response to cytokine stimulus | 11 | 551 | 7.673e-06 |
| GO:BP | GO:0045087 | innate immune response | 11 | 563 | 9.212e-06 |
| GO:BP | GO:0071216 | cellular response to biotic stimulus | 7 | 158 | 1.008e-05 |
| GO:BP | GO:0032101 | regulation of response to external stimulus | 12 | 724 | 1.223e-05 |
| GO:BP | GO:0002250 | adaptive immune response | 8 | 249 | 1.340e-05 |
| GO:BP | GO:0061844 | antimicrobial humoral immune response mediated by antimicrobial peptide | 4 | 22 | 1.610e-05 |
| GO:BP | GO:0141124 | intracellular signaling cassette | 16 | 1473 | 1.907e-05 |
| GO:BP | GO:0002460 | adaptive immune response based on somatic recombination of immune receptors built from immunoglobulin superfamily domains | 7 | 194 | 3.479e-05 |
| GO:BP | GO:0031347 | regulation of defense response | 10 | 535 | 4.611e-05 |
| GO:BP | GO:0002684 | positive regulation of immune system process | 11 | 684 | 5.040e-05 |
| GO:BP | GO:1901701 | cellular response to oxygen-containing compound | 12 | 850 | 5.424e-05 |
| GO:BP | GO:0002286 | T cell activation involved in immune response | 5 | 71 | 5.424e-05 |
| GO:BP | GO:0006959 | humoral immune response | 5 | 79 | 8.817e-05 |
| GO:BP | GO:0042221 | response to chemical | 19 | 2386 | 9.030e-05 |
| GO:BP | GO:0070098 | chemokine-mediated signaling pathway | 4 | 35 | 9.030e-05 |
| GO:BP | GO:0031663 | lipopolysaccharide-mediated signaling pathway | 4 | 37 | 1.084e-04 |
| GO:BP | GO:0002467 | germinal center formation | 3 | 11 | 1.122e-04 |
| GO:BP | GO:0042110 | T cell activation | 8 | 352 | 1.293e-04 |
| GO:BP | GO:0050729 | positive regulation of inflammatory response | 5 | 88 | 1.310e-04 |
| GO:BP | GO:0033993 | response to lipid | 10 | 622 | 1.375e-04 |
| GO:BP | GO:0007252 | I-kappaB phosphorylation | 3 | 13 | 1.776e-04 |
| GO:BP | GO:1990869 | cellular response to chemokine | 4 | 44 | 1.854e-04 |
| GO:BP | GO:1990868 | response to chemokine | 4 | 44 | 1.854e-04 |
| GO:BP | GO:0042127 | regulation of cell population proliferation | 13 | 1164 | 1.854e-04 |
| GO:BP | GO:0046649 | lymphocyte activation | 9 | 507 | 1.885e-04 |
| GO:BP | GO:0045123 | cellular extravasation | 4 | 45 | 1.954e-04 |
| GO:BP | GO:0034612 | response to tumor necrosis factor | 6 | 174 | 1.987e-04 |
| GO:BP | GO:0002268 | follicular dendritic cell differentiation | 2 | 2 | 2.125e-04 |
| GO:BP | GO:0002266 | follicular dendritic cell activation | 2 | 2 | 2.125e-04 |
| GO:BP | GO:0035556 | intracellular signal transduction | 18 | 2335 | 2.429e-04 |
| GO:BP | GO:0019221 | cytokine-mediated signaling pathway | 7 | 288 | 2.887e-04 |
| GO:BP | GO:0002293 | alpha-beta T cell differentiation involved in immune response | 4 | 53 | 3.233e-04 |
| GO:BP | GO:0042093 | T-helper cell differentiation | 4 | 53 | 3.233e-04 |
| GO:BP | GO:0002294 | CD4-positive, alpha-beta T cell differentiation involved in immune response | 4 | 53 | 3.233e-04 |
| GO:BP | GO:0002287 | alpha-beta T cell activation involved in immune response | 4 | 53 | 3.233e-04 |
| GO:BP | GO:0071396 | cellular response to lipid | 8 | 424 | 3.618e-04 |
| GO:BP | GO:0002292 | T cell differentiation involved in immune response | 4 | 55 | 3.634e-04 |
| GO:BP | GO:0032103 | positive regulation of response to external stimulus | 8 | 429 | 3.818e-04 |
| GO:BP | GO:0070887 | cellular response to chemical stimulus | 14 | 1502 | 4.382e-04 |
| GO:BP | GO:0007165 | signal transduction | 23 | 3921 | 4.683e-04 |
| GO:BP | GO:0035872 | nucleotide-binding domain, leucine rich repeat containing receptor signaling pathway | 3 | 20 | 4.932e-04 |
| GO:BP | GO:0043367 | CD4-positive, alpha-beta T cell differentiation | 4 | 62 | 5.439e-04 |
| GO:BP | GO:0002285 | lymphocyte activation involved in immune response | 5 | 129 | 5.583e-04 |
| GO:BP | GO:0071621 | granulocyte chemotaxis | 4 | 64 | 5.998e-04 |
| GO:BP | GO:0031349 | positive regulation of defense response | 7 | 334 | 6.066e-04 |
| GO:BP | GO:0050900 | leukocyte migration | 6 | 227 | 6.673e-04 |
| GO:BP | GO:0019882 | antigen processing and presentation | 4 | 70 | 8.209e-04 |
| GO:BP | GO:0002685 | regulation of leukocyte migration | 5 | 145 | 9.144e-04 |
| GO:BP | GO:0008283 | cell population proliferation | 13 | 1413 | 9.797e-04 |
| GO:BP | GO:0043066 | negative regulation of apoptotic process | 9 | 654 | 9.797e-04 |
| GO:BP | GO:0071356 | cellular response to tumor necrosis factor | 5 | 155 | 1.209e-03 |
| GO:BP | GO:0035710 | CD4-positive, alpha-beta T cell activation | 4 | 79 | 1.223e-03 |
| GO:BP | GO:0046632 | alpha-beta T cell differentiation | 4 | 79 | 1.223e-03 |
| GO:BP | GO:0008285 | negative regulation of cell population proliferation | 8 | 521 | 1.231e-03 |
| GO:BP | GO:0097530 | granulocyte migration | 4 | 80 | 1.238e-03 |
| GO:BP | GO:0043069 | negative regulation of programmed cell death | 9 | 681 | 1.238e-03 |
| GO:BP | GO:0034341 | response to type II interferon | 4 | 81 | 1.285e-03 |
| GO:BP | GO:0048245 | eosinophil chemotaxis | 2 | 5 | 1.393e-03 |
| GO:BP | GO:0070555 | response to interleukin-1 | 4 | 84 | 1.447e-03 |
| GO:BP | GO:0002366 | leukocyte activation involved in immune response | 5 | 173 | 1.805e-03 |
| GO:BP | GO:0023052 | signaling | 23 | 4296 | 1.805e-03 |
| GO:BP | GO:0007154 | cell communication | 23 | 4308 | 1.861e-03 |
| GO:BP | GO:0070427 | nucleotide-binding oligomerization domain containing 1 signaling pathway | 2 | 6 | 1.927e-03 |
| GO:BP | GO:0002263 | cell activation involved in immune response | 5 | 177 | 1.927e-03 |
| GO:BP | GO:0002158 | osteoclast proliferation | 2 | 6 | 1.927e-03 |
| GO:BP | GO:0002687 | positive regulation of leukocyte migration | 4 | 96 | 2.251e-03 |
| GO:BP | GO:0032635 | interleukin-6 production | 4 | 97 | 2.294e-03 |
| GO:BP | GO:0032675 | regulation of interleukin-6 production | 4 | 97 | 2.294e-03 |
| GO:BP | GO:0032720 | negative regulation of tumor necrosis factor production | 3 | 37 | 2.307e-03 |
| GO:BP | GO:0032640 | tumor necrosis factor production | 4 | 98 | 2.314e-03 |
| GO:BP | GO:0032680 | regulation of tumor necrosis factor production | 4 | 98 | 2.314e-03 |
| GO:BP | GO:1903556 | negative regulation of tumor necrosis factor superfamily cytokine production | 3 | 38 | 2.400e-03 |
| GO:BP | GO:2000351 | regulation of endothelial cell apoptotic process | 3 | 38 | 2.400e-03 |
| GO:BP | GO:0050728 | negative regulation of inflammatory response | 4 | 100 | 2.428e-03 |
| GO:BP | GO:0071706 | tumor necrosis factor superfamily cytokine production | 4 | 101 | 2.474e-03 |
| GO:BP | GO:1903555 | regulation of tumor necrosis factor superfamily cytokine production | 4 | 101 | 2.474e-03 |
| GO:BP | GO:0002221 | pattern recognition receptor signaling pathway | 5 | 195 | 2.680e-03 |
| GO:BP | GO:0070424 | regulation of nucleotide-binding domain, leucine rich repeat containing receptor signaling pathway | 2 | 8 | 3.082e-03 |
| GO:BP | GO:0072677 | eosinophil migration | 2 | 8 | 3.082e-03 |
| GO:BP | GO:0002758 | innate immune response-activating signaling pathway | 5 | 202 | 3.082e-03 |
| GO:BP | GO:0030217 | T cell differentiation | 5 | 203 | 3.113e-03 |
| GO:BP | GO:0072577 | endothelial cell apoptotic process | 3 | 43 | 3.192e-03 |
| GO:BP | GO:0046631 | alpha-beta T cell activation | 4 | 111 | 3.334e-03 |
| GO:BP | GO:1903131 | mononuclear cell differentiation | 6 | 331 | 3.519e-03 |
| GO:BP | GO:0032677 | regulation of interleukin-8 production | 3 | 45 | 3.527e-03 |
| GO:BP | GO:0032637 | interleukin-8 production | 3 | 45 | 3.527e-03 |
| GO:BP | GO:0002523 | leukocyte migration involved in inflammatory response | 2 | 9 | 3.649e-03 |
| GO:BP | GO:0048856 | anatomical structure development | 22 | 4216 | 3.649e-03 |
| GO:BP | GO:0072683 | T cell extravasation | 2 | 9 | 3.649e-03 |
| GO:BP | GO:0032502 | developmental process | 23 | 4560 | 3.738e-03 |
| GO:BP | GO:0030593 | neutrophil chemotaxis | 3 | 47 | 3.845e-03 |
| GO:BP | GO:0002218 | activation of innate immune response | 5 | 217 | 3.850e-03 |
| GO:BP | GO:0080134 | regulation of response to stress | 10 | 1030 | 4.001e-03 |
| GO:BP | GO:0140895 | cell surface toll-like receptor signaling pathway | 3 | 48 | 4.001e-03 |
| GO:BP | GO:0043122 | regulation of canonical NF-kappaB signal transduction | 5 | 222 | 4.142e-03 |
| GO:BP | GO:0032648 | regulation of interferon-beta production | 3 | 49 | 4.142e-03 |
| GO:BP | GO:0032608 | interferon-beta production | 3 | 49 | 4.142e-03 |
| GO:BP | GO:0002752 | cell surface pattern recognition receptor signaling pathway | 3 | 50 | 4.363e-03 |
| GO:BP | GO:0002694 | regulation of leukocyte activation | 6 | 355 | 4.517e-03 |
| GO:BP | GO:0002252 | immune effector process | 6 | 358 | 4.688e-03 |
| GO:BP | GO:0030595 | leukocyte chemotaxis | 4 | 127 | 4.795e-03 |
| GO:BP | GO:0016322 | neuron remodeling | 2 | 11 | 4.958e-03 |
| GO:BP | GO:0070431 | nucleotide-binding oligomerization domain containing 2 signaling pathway | 2 | 11 | 4.958e-03 |
| GO:BP | GO:0032088 | negative regulation of NF-kappaB transcription factor activity | 3 | 54 | 5.230e-03 |
| GO:BP | GO:0002831 | regulation of response to biotic stimulus | 6 | 371 | 5.455e-03 |
| GO:BP | GO:0097529 | myeloid leukocyte migration | 4 | 133 | 5.457e-03 |
| GO:BP | GO:0002753 | cytoplasmic pattern recognition receptor signaling pathway | 4 | 133 | 5.457e-03 |
| GO:BP | GO:0034134 | toll-like receptor 2 signaling pathway | 2 | 12 | 5.636e-03 |
| GO:BP | GO:0032501 | multicellular organismal process | 23 | 4718 | 5.636e-03 |
| GO:BP | GO:0032691 | negative regulation of interleukin-1 beta production | 2 | 12 | 5.636e-03 |
| GO:BP | GO:0002224 | toll-like receptor signaling pathway | 3 | 57 | 5.824e-03 |
| GO:BP | GO:0002274 | myeloid leukocyte activation | 4 | 138 | 6.050e-03 |
| GO:BP | GO:0002220 | innate immune response activating cell surface receptor signaling pathway | 3 | 60 | 6.677e-03 |
| GO:BP | GO:0032102 | negative regulation of response to external stimulus | 5 | 254 | 6.689e-03 |
| GO:BP | GO:0048646 | anatomical structure formation involved in morphogenesis | 9 | 915 | 6.701e-03 |
| GO:BP | GO:1990266 | neutrophil migration | 3 | 61 | 6.862e-03 |
| GO:BP | GO:0045089 | positive regulation of innate immune response | 5 | 257 | 6.909e-03 |
| GO:BP | GO:0050865 | regulation of cell activation | 6 | 395 | 6.920e-03 |
| GO:BP | GO:0072676 | lymphocyte migration | 3 | 62 | 7.050e-03 |
| GO:BP | GO:0002521 | leukocyte differentiation | 6 | 402 | 7.437e-03 |
| GO:BP | GO:0051239 | regulation of multicellular organismal process | 14 | 2092 | 7.437e-03 |
| GO:BP | GO:0071347 | cellular response to interleukin-1 | 3 | 64 | 7.582e-03 |
| GO:BP | GO:0001568 | blood vessel development | 7 | 566 | 7.656e-03 |
| GO:BP | GO:1901222 | regulation of non-canonical NF-kappaB signal transduction | 3 | 65 | 7.796e-03 |
| GO:BP | GO:0050776 | regulation of immune response | 7 | 569 | 7.796e-03 |
| GO:BP | GO:0032692 | negative regulation of interleukin-1 production | 2 | 15 | 7.943e-03 |
| GO:BP | GO:0030098 | lymphocyte differentiation | 5 | 269 | 7.943e-03 |
| GO:BP | GO:0002833 | positive regulation of response to biotic stimulus | 5 | 271 | 8.160e-03 |
| GO:BP | GO:0071346 | cellular response to type II interferon | 3 | 67 | 8.281e-03 |
| GO:BP | GO:0048583 | regulation of response to stimulus | 17 | 2958 | 8.320e-03 |
| GO:BP | GO:0001944 | vasculature development | 7 | 591 | 9.385e-03 |
| GO:BP | GO:0051716 | cellular response to stimulus | 23 | 4922 | 9.672e-03 |
| GO:BP | GO:0019885 | antigen processing and presentation of endogenous peptide antigen via MHC class I | 2 | 17 | 9.738e-03 |
| GO:BP | GO:0002483 | antigen processing and presentation of endogenous peptide antigen | 2 | 17 | 9.738e-03 |
| GO:BP | GO:0031664 | regulation of lipopolysaccharide-mediated signaling pathway | 2 | 17 | 9.738e-03 |
| GO:BP | GO:0009615 | response to virus | 5 | 286 | 9.885e-03 |
| GO:BP | GO:0030522 | intracellular receptor signaling pathway | 5 | 289 | 1.023e-02 |
| GO:BP | GO:0031348 | negative regulation of defense response | 4 | 166 | 1.023e-02 |
| GO:BP | GO:0046426 | negative regulation of receptor signaling pathway via JAK-STAT | 2 | 18 | 1.055e-02 |
| GO:BP | GO:0050794 | regulation of cellular process | 30 | 7706 | 1.055e-02 |
| GO:BP | GO:0032495 | response to muramyl dipeptide | 2 | 18 | 1.055e-02 |
| GO:BP | GO:0030154 | cell differentiation | 17 | 3044 | 1.089e-02 |
| GO:BP | GO:0048869 | cellular developmental process | 17 | 3045 | 1.089e-02 |
| GO:BP | GO:2001237 | negative regulation of extrinsic apoptotic signaling pathway | 3 | 76 | 1.090e-02 |
| GO:BP | GO:0006915 | apoptotic process | 11 | 1451 | 1.090e-02 |
| GO:BP | GO:0007166 | cell surface receptor signaling pathway | 13 | 1950 | 1.120e-02 |
| GO:BP | GO:1904893 | negative regulation of receptor signaling pathway via STAT | 2 | 19 | 1.136e-02 |
| GO:BP | GO:0033209 | tumor necrosis factor-mediated signaling pathway | 3 | 79 | 1.185e-02 |
| GO:BP | GO:0007259 | cell surface receptor signaling pathway via JAK-STAT | 3 | 79 | 1.185e-02 |
| GO:BP | GO:0048522 | positive regulation of cellular process | 21 | 4335 | 1.187e-02 |
| GO:BP | GO:0032733 | positive regulation of interleukin-10 production | 2 | 20 | 1.211e-02 |
| GO:BP | GO:0050896 | response to stimulus | 25 | 5754 | 1.211e-02 |
| GO:BP | GO:0046697 | decidualization | 2 | 20 | 1.211e-02 |
| GO:BP | GO:0019883 | antigen processing and presentation of endogenous antigen | 2 | 20 | 1.211e-02 |
| GO:BP | GO:0045088 | regulation of innate immune response | 5 | 309 | 1.250e-02 |
| GO:BP | GO:0060326 | cell chemotaxis | 4 | 181 | 1.266e-02 |
| GO:BP | GO:2000352 | negative regulation of endothelial cell apoptotic process | 2 | 21 | 1.301e-02 |
| GO:BP | GO:0001818 | negative regulation of cytokine production | 4 | 183 | 1.301e-02 |
| GO:BP | GO:0012501 | programmed cell death | 11 | 1496 | 1.301e-02 |
| GO:BP | GO:0008219 | cell death | 11 | 1500 | 1.317e-02 |
| GO:BP | GO:0051249 | regulation of lymphocyte activation | 5 | 315 | 1.317e-02 |
| GO:BP | GO:0097696 | cell surface receptor signaling pathway via STAT | 3 | 84 | 1.317e-02 |
| GO:BP | GO:0002757 | immune response-activating signaling pathway | 5 | 318 | 1.359e-02 |
| GO:BP | GO:2001234 | negative regulation of apoptotic signaling pathway | 4 | 189 | 1.422e-02 |
| GO:BP | GO:0007275 | multicellular organism development | 18 | 3461 | 1.473e-02 |
| GO:BP | GO:0030097 | hemopoiesis | 7 | 661 | 1.473e-02 |
| GO:BP | GO:0051353 | positive regulation of oxidoreductase activity | 2 | 23 | 1.490e-02 |
| GO:BP | GO:1902042 | negative regulation of extrinsic apoptotic signaling pathway via death domain receptors | 2 | 23 | 1.490e-02 |
| GO:BP | GO:0048585 | negative regulation of response to stimulus | 10 | 1298 | 1.519e-02 |
| GO:BP | GO:0048514 | blood vessel morphogenesis | 6 | 489 | 1.535e-02 |
| GO:BP | GO:0002764 | immune response-regulating signaling pathway | 5 | 330 | 1.535e-02 |
| GO:BP | GO:0072539 | T-helper 17 cell differentiation | 2 | 24 | 1.590e-02 |
| GO:BP | GO:0001817 | regulation of cytokine production | 6 | 497 | 1.636e-02 |
| GO:BP | GO:0070661 | leukocyte proliferation | 4 | 199 | 1.636e-02 |
| GO:BP | GO:0048523 | negative regulation of cellular process | 19 | 3821 | 1.646e-02 |
| GO:BP | GO:0042981 | regulation of apoptotic process | 9 | 1092 | 1.651e-02 |
| GO:BP | GO:0060055 | angiogenesis involved in wound healing | 2 | 25 | 1.651e-02 |
| GO:BP | GO:0060674 | placenta blood vessel development | 2 | 25 | 1.651e-02 |
| GO:BP | GO:0022409 | positive regulation of cell-cell adhesion | 4 | 201 | 1.651e-02 |
| GO:BP | GO:0001774 | microglial cell activation | 2 | 25 | 1.651e-02 |
| GO:BP | GO:0048247 | lymphocyte chemotaxis | 2 | 25 | 1.651e-02 |
| GO:BP | GO:0001816 | cytokine production | 6 | 502 | 1.655e-02 |
| GO:BP | GO:0050793 | regulation of developmental process | 12 | 1817 | 1.675e-02 |
| GO:BP | GO:0032479 | regulation of type I interferon production | 3 | 96 | 1.709e-02 |
| GO:BP | GO:0009966 | regulation of signal transduction | 14 | 2358 | 1.709e-02 |
| GO:BP | GO:0050789 | regulation of biological process | 30 | 7959 | 1.709e-02 |
| GO:BP | GO:0032606 | type I interferon production | 3 | 96 | 1.709e-02 |
| GO:BP | GO:0043433 | negative regulation of DNA-binding transcription factor activity | 3 | 97 | 1.749e-02 |
| GO:BP | GO:0018283 | iron incorporation into metallo-sulfur cluster | 1 | 1 | 1.827e-02 |
| GO:BP | GO:0034147 | regulation of toll-like receptor 5 signaling pathway | 1 | 1 | 1.827e-02 |
| GO:BP | GO:0002253 | activation of immune response | 5 | 354 | 1.827e-02 |
| GO:BP | GO:0051041 | positive regulation of calcium-independent cell-cell adhesion | 1 | 1 | 1.827e-02 |
| GO:BP | GO:0042369 | vitamin D catabolic process | 1 | 1 | 1.827e-02 |
| GO:BP | GO:1904229 | regulation of succinate dehydrogenase activity | 1 | 1 | 1.827e-02 |
| GO:BP | GO:0034148 | negative regulation of toll-like receptor 5 signaling pathway | 1 | 1 | 1.827e-02 |
| GO:BP | GO:0018282 | metal incorporation into metallo-sulfur cluster | 1 | 1 | 1.827e-02 |
| GO:BP | GO:0016477 | cell migration | 9 | 1121 | 1.827e-02 |
| GO:BP | GO:1904231 | positive regulation of succinate dehydrogenase activity | 1 | 1 | 1.827e-02 |
| GO:BP | GO:0090291 | negative regulation of osteoclast proliferation | 1 | 1 | 1.827e-02 |
| GO:BP | GO:0001893 | maternal placenta development | 2 | 28 | 1.827e-02 |
| GO:BP | GO:0070429 | negative regulation of nucleotide-binding oligomerization domain containing 1 signaling pathway | 1 | 1 | 1.827e-02 |
| GO:BP | GO:1900450 | negative regulation of glutamate receptor signaling pathway | 1 | 1 | 1.827e-02 |
| GO:BP | GO:0010722 | regulation of ferrochelatase activity | 1 | 1 | 1.827e-02 |
| GO:BP | GO:0051607 | defense response to virus | 4 | 215 | 1.827e-02 |
| GO:BP | GO:0050902 | leukocyte adhesive activation | 1 | 1 | 1.827e-02 |
| GO:BP | GO:0002269 | leukocyte activation involved in inflammatory response | 2 | 27 | 1.827e-02 |
| GO:BP | GO:0042495 | detection of triacyl bacterial lipopeptide | 1 | 1 | 1.827e-02 |
| GO:BP | GO:0002398 | MHC class Ib protein complex assembly | 1 | 1 | 1.827e-02 |
| GO:BP | GO:0043067 | regulation of programmed cell death | 9 | 1125 | 1.827e-02 |
| GO:BP | GO:0050823 | peptide antigen stabilization | 1 | 1 | 1.827e-02 |
| GO:BP | GO:0045944 | positive regulation of transcription by RNA polymerase II | 8 | 916 | 1.827e-02 |
| GO:BP | GO:0002474 | antigen processing and presentation of peptide antigen via MHC class I | 2 | 28 | 1.827e-02 |
| GO:BP | GO:0032715 | negative regulation of interleukin-6 production | 2 | 27 | 1.827e-02 |
| GO:BP | GO:0048518 | positive regulation of biological process | 21 | 4545 | 1.827e-02 |
| GO:BP | GO:0050822 | peptide stabilization | 1 | 1 | 1.827e-02 |
| GO:BP | GO:0032690 | negative regulation of interleukin-1 alpha production | 1 | 1 | 1.827e-02 |
| GO:BP | GO:0002677 | negative regulation of chronic inflammatory response | 1 | 1 | 1.827e-02 |
| GO:BP | GO:2000349 | negative regulation of CD40 signaling pathway | 1 | 1 | 1.827e-02 |
| GO:BP | GO:0072573 | tolerance induction to lipopolysaccharide | 1 | 1 | 1.827e-02 |
| GO:BP | GO:2000502 | negative regulation of natural killer cell chemotaxis | 1 | 1 | 1.827e-02 |
| GO:BP | GO:0042942 | D-serine transmembrane transport | 1 | 1 | 1.827e-02 |
| GO:BP | GO:0032613 | interleukin-10 production | 2 | 29 | 1.839e-02 |
| GO:BP | GO:0002691 | regulation of cellular extravasation | 2 | 29 | 1.839e-02 |
| GO:BP | GO:0032653 | regulation of interleukin-10 production | 2 | 29 | 1.839e-02 |
| GO:BP | GO:0048519 | negative regulation of biological process | 19 | 3940 | 1.943e-02 |
| GO:BP | GO:0048536 | spleen development | 2 | 30 | 1.943e-02 |
| GO:BP | GO:0042088 | T-helper 1 type immune response | 2 | 30 | 1.943e-02 |
| GO:BP | GO:0051179 | localization | 19 | 3958 | 2.040e-02 |
| GO:BP | GO:0061900 | glial cell activation | 2 | 32 | 2.191e-02 |
| GO:BP | GO:0030155 | regulation of cell adhesion | 6 | 558 | 2.283e-02 |
| GO:BP | GO:0007157 | heterophilic cell-cell adhesion via plasma membrane cell adhesion molecules | 2 | 33 | 2.291e-02 |
| GO:BP | GO:0050863 | regulation of T cell activation | 4 | 235 | 2.291e-02 |
| GO:BP | GO:0032757 | positive regulation of interleukin-8 production | 2 | 33 | 2.291e-02 |
| GO:BP | GO:0014003 | oligodendrocyte development | 2 | 33 | 2.291e-02 |
| GO:BP | GO:0001890 | placenta development | 3 | 115 | 2.325e-02 |
| GO:BP | GO:0032728 | positive regulation of interferon-beta production | 2 | 34 | 2.404e-02 |
| GO:BP | GO:0051090 | regulation of DNA-binding transcription factor activity | 4 | 240 | 2.442e-02 |
| GO:BP | GO:0072538 | T-helper 17 type immune response | 2 | 35 | 2.517e-02 |
| GO:BP | GO:0060711 | labyrinthine layer development | 2 | 35 | 2.517e-02 |
| GO:BP | GO:0065007 | biological regulation | 30 | 8198 | 2.585e-02 |
| GO:BP | GO:2001236 | regulation of extrinsic apoptotic signaling pathway | 3 | 121 | 2.622e-02 |
| GO:BP | GO:0042551 | neuron maturation | 2 | 36 | 2.631e-02 |
| GO:BP | GO:0034614 | cellular response to reactive oxygen species | 3 | 123 | 2.725e-02 |
| GO:BP | GO:0051341 | regulation of oxidoreductase activity | 2 | 37 | 2.746e-02 |
| GO:BP | GO:0140894 | endolysosomal toll-like receptor signaling pathway | 2 | 37 | 2.746e-02 |
| GO:BP | GO:0007159 | leukocyte cell-cell adhesion | 4 | 251 | 2.770e-02 |
| GO:BP | GO:0051234 | establishment of localization | 17 | 3448 | 2.829e-02 |
| GO:BP | GO:1902041 | regulation of extrinsic apoptotic signaling pathway via death domain receptors | 2 | 38 | 2.851e-02 |
| GO:BP | GO:0032729 | positive regulation of type II interferon production | 2 | 38 | 2.851e-02 |
| GO:BP | GO:0001525 | angiogenesis | 5 | 423 | 2.940e-02 |
| GO:BP | GO:0090289 | regulation of osteoclast proliferation | 1 | 2 | 2.940e-02 |
| GO:BP | GO:1905517 | macrophage migration | 2 | 40 | 2.940e-02 |
| GO:BP | GO:1901624 | negative regulation of lymphocyte chemotaxis | 1 | 2 | 2.940e-02 |
| GO:BP | GO:0009653 | anatomical structure morphogenesis | 12 | 2023 | 2.940e-02 |
| GO:BP | GO:1903971 | positive regulation of response to macrophage colony-stimulating factor | 1 | 2 | 2.940e-02 |
| GO:BP | GO:1903974 | positive regulation of cellular response to macrophage colony-stimulating factor stimulus | 1 | 2 | 2.940e-02 |
| GO:BP | GO:0001922 | B-1 B cell homeostasis | 1 | 2 | 2.940e-02 |
| GO:BP | GO:1904234 | positive regulation of aconitate hydratase activity | 1 | 2 | 2.940e-02 |
| GO:BP | GO:1904783 | positive regulation of NMDA glutamate receptor activity | 1 | 2 | 2.940e-02 |
| GO:BP | GO:0007155 | cell adhesion | 8 | 1032 | 2.940e-02 |
| GO:BP | GO:0002676 | regulation of chronic inflammatory response | 1 | 2 | 2.940e-02 |
| GO:BP | GO:0010980 | positive regulation of vitamin D 24-hydroxylase activity | 1 | 2 | 2.940e-02 |
| GO:BP | GO:2000501 | regulation of natural killer cell chemotaxis | 1 | 2 | 2.940e-02 |
| GO:BP | GO:0035684 | helper T cell extravasation | 1 | 2 | 2.940e-02 |
| GO:BP | GO:0030335 | positive regulation of cell migration | 5 | 425 | 2.940e-02 |
| GO:BP | GO:0032741 | positive regulation of interleukin-18 production | 1 | 2 | 2.940e-02 |
| GO:BP | GO:0042063 | gliogenesis | 4 | 261 | 2.940e-02 |
| GO:BP | GO:0070340 | detection of bacterial lipopeptide | 1 | 2 | 2.940e-02 |
| GO:BP | GO:0042363 | fat-soluble vitamin catabolic process | 1 | 2 | 2.940e-02 |
| GO:BP | GO:0042496 | detection of diacyl bacterial lipopeptide | 1 | 2 | 2.940e-02 |
| GO:BP | GO:0070425 | negative regulation of nucleotide-binding domain, leucine rich repeat containing receptor signaling pathway | 1 | 2 | 2.940e-02 |
| GO:BP | GO:0070433 | negative regulation of nucleotide-binding oligomerization domain containing 2 signaling pathway | 1 | 2 | 2.940e-02 |
| GO:BP | GO:0051040 | regulation of calcium-independent cell-cell adhesion | 1 | 2 | 2.940e-02 |
| GO:BP | GO:0032621 | interleukin-18 production | 1 | 2 | 2.940e-02 |
| GO:BP | GO:0048870 | cell motility | 9 | 1249 | 2.940e-02 |
| GO:BP | GO:0034146 | toll-like receptor 5 signaling pathway | 1 | 2 | 2.940e-02 |
| GO:BP | GO:0071674 | mononuclear cell migration | 3 | 132 | 2.940e-02 |
| GO:BP | GO:0035425 | autocrine signaling | 1 | 2 | 2.940e-02 |
| GO:BP | GO:0071725 | response to triacyl bacterial lipopeptide | 1 | 2 | 2.940e-02 |
| GO:BP | GO:0032661 | regulation of interleukin-18 production | 1 | 2 | 2.940e-02 |
| GO:BP | GO:0071727 | cellular response to triacyl bacterial lipopeptide | 1 | 2 | 2.940e-02 |
| GO:BP | GO:0048002 | antigen processing and presentation of peptide antigen | 2 | 41 | 2.946e-02 |
| GO:BP | GO:0072678 | T cell migration | 2 | 41 | 2.946e-02 |
| GO:BP | GO:0006810 | transport | 16 | 3192 | 2.957e-02 |
| GO:BP | GO:0062197 | cellular response to chemical stress | 4 | 269 | 3.094e-02 |
| GO:BP | GO:0032722 | positive regulation of chemokine production | 2 | 43 | 3.185e-02 |
| GO:BP | GO:2000147 | positive regulation of cell motility | 5 | 436 | 3.185e-02 |
| GO:BP | GO:0034142 | toll-like receptor 4 signaling pathway | 2 | 43 | 3.185e-02 |
| GO:BP | GO:0060135 | maternal process involved in female pregnancy | 2 | 44 | 3.307e-02 |
| GO:BP | GO:0150076 | neuroinflammatory response | 2 | 44 | 3.307e-02 |
| GO:BP | GO:0007186 | G protein-coupled receptor signaling pathway | 5 | 442 | 3.340e-02 |
| GO:BP | GO:0009968 | negative regulation of signal transduction | 8 | 1061 | 3.352e-02 |
| GO:BP | GO:0040017 | positive regulation of locomotion | 5 | 445 | 3.401e-02 |
| GO:BP | GO:0050918 | positive chemotaxis | 2 | 45 | 3.401e-02 |
| GO:BP | GO:1901224 | positive regulation of non-canonical NF-kappaB signal transduction | 2 | 45 | 3.401e-02 |
| GO:BP | GO:0008347 | glial cell migration | 2 | 46 | 3.539e-02 |
| GO:BP | GO:0043124 | negative regulation of canonical NF-kappaB signal transduction | 2 | 47 | 3.674e-02 |
| GO:BP | GO:0045597 | positive regulation of cell differentiation | 6 | 646 | 3.674e-02 |
| GO:BP | GO:0006935 | chemotaxis | 4 | 287 | 3.701e-02 |
| GO:BP | GO:0042330 | taxis | 4 | 287 | 3.701e-02 |
| GO:BP | GO:0023051 | regulation of signaling | 14 | 2677 | 3.711e-02 |
| GO:BP | GO:0002520 | immune system development | 3 | 148 | 3.736e-02 |
| GO:BP | GO:0010646 | regulation of cell communication | 14 | 2681 | 3.739e-02 |
| GO:BP | GO:0046425 | regulation of receptor signaling pathway via JAK-STAT | 2 | 48 | 3.751e-02 |
| GO:BP | GO:0050778 | positive regulation of immune response | 5 | 460 | 3.776e-02 |
| GO:BP | GO:0048731 | system development | 15 | 2993 | 3.880e-02 |
| GO:BP | GO:1904139 | regulation of microglial cell migration | 1 | 3 | 3.906e-02 |
| GO:BP | GO:0035747 | natural killer cell chemotaxis | 1 | 3 | 3.906e-02 |
| GO:BP | GO:0014005 | microglia development | 1 | 3 | 3.906e-02 |
| GO:BP | GO:0110089 | regulation of hippocampal neuron apoptotic process | 1 | 3 | 3.906e-02 |
| GO:BP | GO:0110091 | negative regulation of hippocampal neuron apoptotic process | 1 | 3 | 3.906e-02 |
| GO:BP | GO:0034140 | negative regulation of toll-like receptor 3 signaling pathway | 1 | 3 | 3.906e-02 |
| GO:BP | GO:1904124 | microglial cell migration | 1 | 3 | 3.906e-02 |
| GO:BP | GO:2000427 | positive regulation of apoptotic cell clearance | 1 | 3 | 3.906e-02 |
| GO:BP | GO:0010956 | negative regulation of calcidiol 1-monooxygenase activity | 1 | 3 | 3.906e-02 |
| GO:BP | GO:0042494 | detection of bacterial lipoprotein | 1 | 3 | 3.906e-02 |
| GO:BP | GO:1904141 | positive regulation of microglial cell migration | 1 | 3 | 3.906e-02 |
| GO:BP | GO:0070428 | regulation of nucleotide-binding oligomerization domain containing 1 signaling pathway | 1 | 3 | 3.906e-02 |
| GO:BP | GO:0036378 | calcitriol biosynthetic process from calciol | 1 | 3 | 3.906e-02 |
| GO:BP | GO:1904466 | positive regulation of matrix metallopeptidase secretion | 1 | 3 | 3.906e-02 |
| GO:BP | GO:0032611 | interleukin-1 beta production | 2 | 51 | 3.989e-02 |
| GO:BP | GO:0001819 | positive regulation of cytokine production | 4 | 299 | 3.989e-02 |
| GO:BP | GO:0032651 | regulation of interleukin-1 beta production | 2 | 51 | 3.989e-02 |
| GO:BP | GO:0040011 | locomotion | 7 | 890 | 4.192e-02 |
| GO:BP | GO:0050764 | regulation of phagocytosis | 2 | 53 | 4.260e-02 |
| GO:BP | GO:1904892 | regulation of receptor signaling pathway via STAT | 2 | 53 | 4.260e-02 |
| GO:BP | GO:2001233 | regulation of apoptotic signaling pathway | 4 | 306 | 4.266e-02 |
| GO:BP | GO:0097190 | apoptotic signaling pathway | 5 | 485 | 4.387e-02 |
| GO:BP | GO:0000302 | response to reactive oxygen species | 3 | 163 | 4.483e-02 |
| GO:BP | GO:0010648 | negative regulation of cell communication | 8 | 1136 | 4.483e-02 |
| GO:BP | GO:0023057 | negative regulation of signaling | 8 | 1139 | 4.533e-02 |
| GO:BP | GO:0035239 | tube morphogenesis | 6 | 690 | 4.539e-02 |
| GO:BP | GO:0022407 | regulation of cell-cell adhesion | 4 | 314 | 4.583e-02 |
| GO:BP | GO:0043123 | positive regulation of canonical NF-kappaB signal transduction | 3 | 165 | 4.583e-02 |
| GO:BP | GO:0002573 | myeloid leukocyte differentiation | 3 | 166 | 4.646e-02 |
| GO:BP | GO:0034136 | negative regulation of toll-like receptor 2 signaling pathway | 1 | 4 | 4.652e-02 |
| GO:BP | GO:0034158 | toll-like receptor 8 signaling pathway | 1 | 4 | 4.652e-02 |
| GO:BP | GO:0002457 | T cell antigen processing and presentation | 1 | 4 | 4.652e-02 |
| GO:BP | GO:0038124 | toll-like receptor TLR6:TLR2 signaling pathway | 1 | 4 | 4.652e-02 |
| GO:BP | GO:0042940 | D-amino acid transport | 1 | 4 | 4.652e-02 |
| GO:BP | GO:0072359 | circulatory system development | 7 | 915 | 4.652e-02 |
| GO:BP | GO:0044572 | [4Fe-4S] cluster assembly | 1 | 4 | 4.652e-02 |
| GO:BP | GO:0071726 | cellular response to diacyl bacterial lipopeptide | 1 | 4 | 4.652e-02 |
| GO:BP | GO:0071724 | response to diacyl bacterial lipopeptide | 1 | 4 | 4.652e-02 |
| GO:BP | GO:0035523 | protein K29-linked deubiquitination | 1 | 4 | 4.652e-02 |
| GO:BP | GO:0030099 | myeloid cell differentiation | 4 | 317 | 4.652e-02 |
| GO:BP | GO:0070640 | vitamin D3 metabolic process | 1 | 4 | 4.652e-02 |
| GO:BP | GO:0032481 | positive regulation of type I interferon production | 2 | 58 | 4.652e-02 |
| GO:BP | GO:0009111 | vitamin catabolic process | 1 | 4 | 4.652e-02 |
| GO:BP | GO:1903721 | positive regulation of I-kappaB phosphorylation | 1 | 4 | 4.652e-02 |
| GO:BP | GO:1903969 | regulation of response to macrophage colony-stimulating factor | 1 | 4 | 4.652e-02 |
| GO:BP | GO:0070301 | cellular response to hydrogen peroxide | 2 | 57 | 4.652e-02 |
| GO:BP | GO:1903972 | regulation of cellular response to macrophage colony-stimulating factor stimulus | 1 | 4 | 4.652e-02 |
| GO:BP | GO:0032914 | positive regulation of transforming growth factor beta1 production | 1 | 4 | 4.652e-02 |
| GO:BP | GO:1903977 | positive regulation of glial cell migration | 1 | 4 | 4.652e-02 |
| GO:BP | GO:0060354 | negative regulation of cell adhesion molecule production | 1 | 4 | 4.652e-02 |
| GO:BP | GO:0051601 | exocyst localization | 1 | 4 | 4.652e-02 |
| GO:BP | GO:1990168 | protein K33-linked deubiquitination | 1 | 4 | 4.652e-02 |
| GO:BP | GO:2000348 | regulation of CD40 signaling pathway | 1 | 4 | 4.652e-02 |
| GO:BP | GO:0019230 | proprioception | 1 | 4 | 4.652e-02 |
| GO:BP | GO:0046813 | receptor-mediated virion attachment to host cell | 1 | 4 | 4.652e-02 |
| GO:BP | GO:1903039 | positive regulation of leukocyte cell-cell adhesion | 3 | 171 | 4.685e-02 |
| GO:BP | GO:0048584 | positive regulation of response to stimulus | 10 | 1678 | 4.847e-02 |
| GO:BP | GO:0051240 | positive regulation of multicellular organismal process | 8 | 1172 | 4.894e-02 |
| GO:BP | GO:0032609 | type II interferon production | 2 | 61 | 4.963e-02 |
| GO:BP | GO:0032642 | regulation of chemokine production | 2 | 61 | 4.963e-02 |
| GO:BP | GO:0032649 | regulation of type II interferon production | 2 | 61 | 4.963e-02 |
| GO:BP | GO:0032652 | regulation of interleukin-1 production | 2 | 61 | 4.963e-02 |
| GO:BP | GO:0032602 | chemokine production | 2 | 61 | 4.963e-02 |
| GO:BP | GO:0032612 | interleukin-1 production | 2 | 61 | 4.963e-02 |
| KEGG | KEGG:04668 | TNF signaling pathway | 12 | 92 | 5.916e-16 |
| KEGG | KEGG:05169 | Epstein-Barr virus infection | 9 | 144 | 5.565e-09 |
| KEGG | KEGG:04064 | NF-kappa B signaling pathway | 7 | 75 | 3.183e-08 |
| KEGG | KEGG:05144 | Malaria | 5 | 26 | 1.650e-07 |
| KEGG | KEGG:05323 | Rheumatoid arthritis | 5 | 49 | 3.659e-06 |
| KEGG | KEGG:05164 | Influenza A | 6 | 102 | 4.533e-06 |
| KEGG | KEGG:04657 | IL-17 signaling pathway | 5 | 62 | 7.793e-06 |
| KEGG | KEGG:04061 | Viral protein interaction with cytokine and cytokine receptor | 4 | 26 | 7.793e-06 |
| KEGG | KEGG:04620 | Toll-like receptor signaling pathway | 5 | 64 | 7.895e-06 |
| KEGG | KEGG:05134 | Legionellosis | 4 | 37 | 2.486e-05 |
| KEGG | KEGG:05417 | Lipid and atherosclerosis | 6 | 151 | 2.486e-05 |
| KEGG | KEGG:04380 | Osteoclast differentiation | 5 | 89 | 3.071e-05 |
| KEGG | KEGG:05163 | Human cytomegalovirus infection | 6 | 169 | 4.036e-05 |
| KEGG | KEGG:04060 | Cytokine-cytokine receptor interaction | 5 | 110 | 7.450e-05 |
| KEGG | KEGG:04062 | Chemokine signaling pathway | 5 | 116 | 9.007e-05 |
| KEGG | KEGG:04621 | NOD-like receptor signaling pathway | 5 | 118 | 9.176e-05 |
| KEGG | KEGG:05142 | Chagas disease | 4 | 73 | 2.431e-04 |
| KEGG | KEGG:04625 | C-type lectin receptor signaling pathway | 4 | 74 | 2.431e-04 |
| KEGG | KEGG:05171 | Coronavirus disease - COVID-19 | 5 | 154 | 2.784e-04 |
| KEGG | KEGG:05168 | Herpes simplex virus 1 infection | 7 | 381 | 2.922e-04 |
| KEGG | KEGG:05162 | Measles | 4 | 89 | 4.296e-04 |
| KEGG | KEGG:04933 | AGE-RAGE signaling pathway in diabetic complications | 4 | 92 | 4.666e-04 |
| KEGG | KEGG:04920 | Adipocytokine signaling pathway | 3 | 54 | 1.723e-03 |
| KEGG | KEGG:05170 | Human immunodeficiency virus 1 infection | 4 | 156 | 3.214e-03 |
| KEGG | KEGG:05143 | African trypanosomiasis | 2 | 16 | 3.226e-03 |
| KEGG | KEGG:05235 | PD-L1 expression and PD-1 checkpoint pathway in cancer | 3 | 70 | 3.266e-03 |
| KEGG | KEGG:05145 | Toxoplasmosis | 3 | 72 | 3.413e-03 |
| KEGG | KEGG:05166 | Human T-cell leukemia virus 1 infection | 4 | 173 | 4.048e-03 |
| KEGG | KEGG:04660 | T cell receptor signaling pathway | 3 | 88 | 5.677e-03 |
| KEGG | KEGG:05132 | Salmonella infection | 4 | 207 | 7.298e-03 |
| KEGG | KEGG:00000 | KEGG root term | 24 | 5615 | 7.995e-03 |
| KEGG | KEGG:05135 | Yersinia infection | 3 | 105 | 8.517e-03 |
| KEGG | KEGG:05418 | Fluid shear stress and atherosclerosis | 3 | 108 | 8.945e-03 |
| KEGG | KEGG:04612 | Antigen processing and presentation | 2 | 37 | 1.270e-02 |
| KEGG | KEGG:05161 | Hepatitis B | 3 | 130 | 1.419e-02 |
| KEGG | KEGG:05140 | Leishmaniasis | 2 | 42 | 1.538e-02 |
| KEGG | KEGG:05167 | Kaposi sarcoma-associated herpesvirus infection | 3 | 140 | 1.649e-02 |
| KEGG | KEGG:05133 | Pertussis | 2 | 45 | 1.667e-02 |
| KEGG | KEGG:04622 | RIG-I-like receptor signaling pathway | 2 | 46 | 1.695e-02 |
| KEGG | KEGG:04658 | Th1 and Th2 cell differentiation | 2 | 52 | 2.096e-02 |
| KEGG | KEGG:04662 | B cell receptor signaling pathway | 2 | 56 | 2.359e-02 |
| KEGG | KEGG:05120 | Epithelial cell signaling in Helicobacter pylori infection | 2 | 57 | 2.383e-02 |
| KEGG | KEGG:04659 | Th17 cell differentiation | 2 | 65 | 2.992e-02 |
| KEGG | KEGG:05146 | Amoebiasis | 2 | 70 | 3.367e-02 |
| KEGG | KEGG:05200 | Pathways in cancer | 4 | 392 | 4.444e-02 |
| KEGG | KEGG:05222 | Small cell lung cancer | 2 | 84 | 4.444e-02 |
| KEGG | KEGG:04514 | Cell adhesion molecules | 2 | 84 | 4.444e-02 |
#GO:BP
table_c5 <- table_c5 %>%
dplyr::filter(source=="GO:BP") %>%
dplyr::select(p_value, term_name, intersection_size) %>%
dplyr::slice_min(., n=20, order_by=p_value) %>%
mutate(log_val = -log10(p_value))
table_c5 %>% ggplot(., aes(x = log_val, y = reorder(term_name, p_value))) +
geom_point() +
ggtitle("GO:BP Clust5")+
xlab(expression("-log"[10]~"p-value"))+
ylab("GO:BP term")+
scale_y_discrete(labels = scales::label_wrap(30))+
theme_custom()

| Version | Author | Date |
|---|---|---|
| 8a4bbba | Emma M. Pfortmiller | 2026-01-13 |
table_c5 <- c5_gk$result %>%
dplyr::select(c(source, term_id, term_name, intersection_size, term_size, p_value))
#KEGG
table_c5 <- table_c5 %>%
dplyr::filter(source=="KEGG") %>%
dplyr::select(p_value, term_name, intersection_size) %>%
dplyr::slice_min(., n=20, order_by=p_value) %>%
mutate(log_val = -log10(p_value))
table_c5 %>%
ggplot(aes(x = log_val, y = reorder(term_name, p_value))) +
geom_point() +
ggtitle("KEGG Clust5") +
xlab(expression("-log"[10]~"adj. p-value")) +
ylab("KEGG Term") +
scale_y_discrete(labels = scales::label_wrap(30)) +
theme_custom() +
theme(legend.position = "none")

| Version | Author | Date |
|---|---|---|
| 8a4bbba | Emma M. Pfortmiller | 2026-01-13 |
#C6
clust6_mat <- as.matrix(clust6_24)
colnames(clust6_mat) <- c("Entrez_ID")
c6_gk <- gost(query = clust6_mat,
organism = "hsapiens",
ordered_query = FALSE,
measure_underrepresentation = FALSE,
evcodes = TRUE,
user_threshold = 0.05,
significant = TRUE,
custom_bg = all_genes,
correction_method = c("fdr"),
sources = c("GO:BP", "KEGG"))
c6_gk_gost <- gostplot(c6_gk, capped = FALSE, interactive = TRUE)
c6_gk_gost
table_c6 <- c6_gk$result %>%
dplyr::select(c(source, term_id, term_name, intersection_size, term_size, p_value))
table_c6 %>%
mutate_at(.vars = 6, .funs = scales::label_scientific(digits=4)) %>%
kableExtra::kable(.,) %>%
kableExtra::kable_paper("striped", full_width = FALSE) %>%
kableExtra::kable_styling(full_width = FALSE, position = "left", bootstrap_options = c("striped", "hover")) %>%
kableExtra::scroll_box(width = "100%", height = "400px")
| source | term_id | term_name | intersection_size | term_size | p_value |
|---|---|---|---|---|---|
| GO:BP | GO:0050896 | response to stimulus | 455 | 5754 | 1.481e-02 |
| GO:BP | GO:0071495 | cellular response to endogenous stimulus | 100 | 943 | 1.481e-02 |
| GO:BP | GO:0055082 | intracellular chemical homeostasis | 61 | 510 | 1.603e-02 |
| GO:BP | GO:0051716 | cellular response to stimulus | 395 | 4922 | 1.603e-02 |
| GO:BP | GO:0009100 | glycoprotein metabolic process | 40 | 290 | 1.706e-02 |
| GO:BP | GO:0071375 | cellular response to peptide hormone stimulus | 36 | 251 | 1.706e-02 |
| GO:BP | GO:0070887 | cellular response to chemical stimulus | 142 | 1502 | 1.721e-02 |
| GO:BP | GO:0009719 | response to endogenous stimulus | 111 | 1121 | 2.044e-02 |
| GO:BP | GO:0048878 | chemical homeostasis | 77 | 714 | 2.187e-02 |
| GO:BP | GO:0042221 | response to chemical | 207 | 2386 | 2.297e-02 |
| GO:BP | GO:0030154 | cell differentiation | 256 | 3044 | 2.297e-02 |
| GO:BP | GO:0019725 | cellular homeostasis | 66 | 594 | 2.297e-02 |
| GO:BP | GO:0006487 | protein N-linked glycosylation | 14 | 61 | 2.297e-02 |
| GO:BP | GO:0048869 | cellular developmental process | 256 | 3045 | 2.297e-02 |
| GO:BP | GO:0071456 | cellular response to hypoxia | 20 | 113 | 2.930e-02 |
| GO:BP | GO:0001678 | intracellular glucose homeostasis | 21 | 125 | 3.966e-02 |
| GO:BP | GO:0071453 | cellular response to oxygen levels | 22 | 135 | 3.966e-02 |
| GO:BP | GO:0043434 | response to peptide hormone | 42 | 339 | 3.966e-02 |
| GO:BP | GO:0009101 | glycoprotein biosynthetic process | 32 | 234 | 3.992e-02 |
| GO:BP | GO:0032502 | developmental process | 360 | 4560 | 4.522e-02 |
| GO:BP | GO:0007595 | lactation | 9 | 31 | 4.522e-02 |
| GO:BP | GO:0036294 | cellular response to decreased oxygen levels | 20 | 120 | 4.522e-02 |
| GO:BP | GO:1901700 | response to oxygen-containing compound | 111 | 1168 | 4.522e-02 |
| GO:BP | GO:1901135 | carbohydrate derivative metabolic process | 77 | 752 | 4.558e-02 |
| GO:BP | GO:0042592 | homeostatic process | 115 | 1227 | 4.776e-02 |
| GO:BP | GO:0043413 | macromolecule glycosylation | 26 | 180 | 4.987e-02 |
| GO:BP | GO:0006486 | protein glycosylation | 26 | 180 | 4.987e-02 |
| KEGG | KEGG:04141 | Protein processing in endoplasmic reticulum | 33 | 150 | 3.741e-07 |
| KEGG | KEGG:04725 | Cholinergic synapse | 18 | 88 | 3.191e-03 |
| KEGG | KEGG:00000 | KEGG root term | 439 | 5615 | 3.305e-03 |
| KEGG | KEGG:04925 | Aldosterone synthesis and secretion | 15 | 73 | 7.276e-03 |
| KEGG | KEGG:04022 | cGMP-PKG signaling pathway | 21 | 131 | 1.180e-02 |
| KEGG | KEGG:04024 | cAMP signaling pathway | 23 | 154 | 1.461e-02 |
| KEGG | KEGG:05031 | Amphetamine addiction | 11 | 49 | 1.573e-02 |
| KEGG | KEGG:04928 | Parathyroid hormone synthesis, secretion and action | 15 | 83 | 1.612e-02 |
| KEGG | KEGG:04918 | Thyroid hormone synthesis | 11 | 51 | 1.620e-02 |
| KEGG | KEGG:04978 | Mineral absorption | 9 | 36 | 1.620e-02 |
| KEGG | KEGG:00970 | Aminoacyl-tRNA biosynthesis | 10 | 44 | 1.661e-02 |
| KEGG | KEGG:04934 | Cushing syndrome | 18 | 115 | 1.848e-02 |
| KEGG | KEGG:00513 | Various types of N-glycan biosynthesis | 9 | 39 | 2.243e-02 |
| KEGG | KEGG:05207 | Chemical carcinogenesis - receptor activation | 20 | 138 | 2.243e-02 |
| KEGG | KEGG:00510 | N-Glycan biosynthesis | 10 | 48 | 2.509e-02 |
| KEGG | KEGG:04261 | Adrenergic signaling in cardiomyocytes | 18 | 124 | 3.157e-02 |
| KEGG | KEGG:04727 | GABAergic synapse | 11 | 59 | 3.157e-02 |
| KEGG | KEGG:00100 | Steroid biosynthesis | 5 | 14 | 3.157e-02 |
| KEGG | KEGG:04927 | Cortisol synthesis and secretion | 9 | 43 | 3.332e-02 |
| KEGG | KEGG:04930 | Type II diabetes mellitus | 8 | 36 | 3.730e-02 |
| KEGG | KEGG:04911 | Insulin secretion | 11 | 62 | 4.083e-02 |
#GO:BP
table_c6 <- table_c6 %>%
dplyr::filter(source=="GO:BP") %>%
dplyr::select(p_value, term_name, intersection_size) %>%
dplyr::slice_min(., n=20, order_by=p_value) %>%
mutate(log_val = -log10(p_value))
table_c6 %>% ggplot(., aes(x = log_val, y = reorder(term_name, p_value))) +
geom_point() +
ggtitle("GO:BP Clust6")+
xlab(expression("-log"[10]~"p-value"))+
ylab("GO:BP term")+
scale_y_discrete(labels = scales::label_wrap(30))+
theme_custom()

| Version | Author | Date |
|---|---|---|
| 8a4bbba | Emma M. Pfortmiller | 2026-01-13 |
table_c6 <- c6_gk$result %>%
dplyr::select(c(source, term_id, term_name, intersection_size, term_size, p_value))
#KEGG
table_c6 <- table_c6 %>%
dplyr::filter(source=="KEGG") %>%
dplyr::select(p_value, term_name, intersection_size) %>%
dplyr::slice_min(., n=20, order_by=p_value) %>%
mutate(log_val = -log10(p_value))
table_c6 %>%
ggplot(aes(x = log_val, y = reorder(term_name, p_value))) +
geom_point() +
ggtitle("KEGG Clust6") +
xlab(expression("-log"[10]~"adj. p-value")) +
ylab("KEGG Term") +
scale_y_discrete(labels = scales::label_wrap(30)) +
theme_custom() +
theme(legend.position = "none")

| Version | Author | Date |
|---|---|---|
| 8a4bbba | Emma M. Pfortmiller | 2026-01-13 |
I want to perform this Cormotif analysis on each response category as well, so that I can make more specific comparisons between the stimuli and between species.
#subset my expr matrix from above by each subset
#upr 24hr
expr_upr <- expr[, grepl("^(TUN|THA|DMSO)_24_", colnames(expr))]
#upr all
expr_upr_all <- expr[, grepl("^(TUN|THA|DMSO)", colnames(expr))]
#ddr
expr_ddr <- expr[, grepl("^(DOX|NUTL|DMSO)_24_", colnames(expr))]
#imr
expr_imr <- expr[, grepl("^(LPS|TNFa|H2O)_24_", colnames(expr))]
#mmr
expr_mmr <- expr[, grepl("^(BPA|PFOA|EtOH)_24_", colnames(expr))]
#removed the outlier that we had - PFOA 24hr H3
#now generate groupids for each of these based on their column names
upr_all_order <- c("TUN_2", "THA_2", "DMSO_2", "TUN_24", "THA_24", "DMSO_24")
upr_order <- c("TUN_24", "THA_24", "DMSO_24")
ddr_order <- c("DOX_24", "NUTL_24", "DMSO_24")
imr_order <- c("LPS_24", "TNFa_24", "H2O_24")
mmr_order <- c("BPA_24", "PFOA_24", "EtOH_24")
make_groupid <- function(colnames_vec, stimulus_order) {
meta <- data.frame(sample = colnames_vec) |>
transform(
stimulus = sub("_(H|C)[0-9]+$", "", sample),
species = sub("^.*_(H|C)[0-9]+$", "\\1", sample)
)
meta$stimulus <- factor(meta$stimulus, levels = stimulus_order)
if (any(is.na(meta$stimulus))) {
stop("Some samples do not match the provided stimulus_order")
}
stim_id <- as.numeric(meta$stimulus)
spec_id <- ifelse(meta$species == "H", 1, 2)
groupid <- (stim_id - 1) * 2 + spec_id
names(groupid) <- meta$sample
groupid
}
groupid_upr_all <- make_groupid(
colnames(expr_upr_all),
upr_all_order
)
groupid_upr <- make_groupid(
colnames(expr_upr),
upr_order
)
groupid_ddr <- make_groupid(
colnames(expr_ddr),
ddr_order
)
groupid_imr <- make_groupid(
colnames(expr_imr),
imr_order
)
groupid_mmr <- make_groupid(
colnames(expr_mmr),
mmr_order
)
#no outlier present
#ensure all of these are named vectors
groupid_upr_all <- setNames(as.numeric(groupid_upr_all), names(groupid_upr_all))
groupid_upr <- setNames(as.numeric(groupid_upr), names(groupid_upr))
groupid_ddr <- setNames(as.numeric(groupid_ddr), names(groupid_ddr))
groupid_imr <- setNames(as.numeric(groupid_imr), names(groupid_imr))
groupid_mmr <- setNames(as.numeric(groupid_mmr), names(groupid_mmr))
#now make the compid (which can be shared by all of the 24hr only ones)
compid_upr <- data.frame(Cond1 = c(1, 2, 3, 4),
Cond2 = c(5, 6, 5, 6))
compid_ddr <- data.frame(Cond1 = c(1, 2, 3, 4),
Cond2 = c(5, 6, 5, 6))
compid_imr <- data.frame(Cond1 = c(1, 2, 3, 4),
Cond2 = c(5, 6, 5, 6))
compid_mmr <- data.frame(Cond1 = c(1, 2, 3, 4),
Cond2 = c(5, 6, 5, 6))
compid_upr_all <- data.frame(Cond1 = c(1, 2, 3, 4, 7, 8, 9, 10),
Cond2 = c(5, 6, 5, 6, 11, 12, 11, 12))
#now go ahead and set up the cormotif function for each of these, make it a loop so it runs through all of these
#make sure that your computer has enough memory!
#I want to create a loop so that I can run each of these and plot them
#this one has the outlier PFOA_24_H3 removed
#make my expr_list
# expr_list <- list(
# upr_all = expr_upr_all,
# upr = expr_upr,
# ddr = expr_ddr,
# imr = expr_imr,
# mmr = expr_mmr)
#make my list of groupids
# groupid_list <- list(
# upr_all = groupid_upr_all,
# upr = groupid_upr,
# ddr = groupid_ddr,
# imr = groupid_imr,
# mmr = groupid_mmr)
#make my list of compids
# compid_list <- list(
# upr_all = compid_upr_all,
# upr = compid_upr,
# ddr = compid_ddr,
# imr = compid_imr,
# mmr = compid_mmr)
#store the fits in a list
# cmf_fit_list <- list()
#store the plots into a list to print later
# cmf_plot_list <- list()
#set seed once for reproducibility
# set.seed(19191)
# for (name in names(expr_list)) {
#
# cat("Fitting Cormotif for subset:", name, "\n")
#
# #fit model
#
# fit <- cormotiffit(
# exprs = expr_list[[name]],
# groupid = groupid_list[[name]],
# compid = compid_list[[name]],
# K = 1:20,
# max.iter = 10000,
# BIC = TRUE,
# runtype = "logCPM"
# )
#
# #store into a list
# cmf_fit_list[[name]] <- fit
#
# #saveRDS
# saveRDS(fit, file = paste0("data/cmf/subset/cormotif_fit_matrix_", name, "k30.RDS"))
#
# #plot IC and save plot
# plotIC(fit)
# save_plot(
# plot = last_plot(),
# filename = paste0("cmf_aic_bic_subset_", name, "_EMP"),
# folder = output_folder
# )
# #now save this plot to my list to print later
# cmf_plot_list[[paste0("cmf_ic_", name)]] <- last_plot()
#
# #plot motif and save
# plotMotif(fit)
# save_plot(
# plot = last_plot(),
# filename = paste0("cmf_motif_subset_", name, "_EMP"),
# folder = output_folder
# )
# #save the plot to the list as well
# cmf_plot_list[[paste0("cmf_plot_", name)]] <- last_plot()
#
#
# cat("Finished subset:", name, "\n\n")
#
# }
#now read in each of these results so I can save each plot to my plots folder
#make sure that you only run these once since they take up so much memory!
cmf_upr_all <- readRDS("data/cmf/subset/cormotif_fit_matrix_upr_allk30.RDS")
cmf_upr <- readRDS("data/cmf/subset/cormotif_fit_matrix_uprk30.RDS")
cmf_ddr <- readRDS("data/cmf/subset/cormotif_fit_matrix_ddrk30.RDS")
cmf_imr <- readRDS("data/cmf/subset/cormotif_fit_matrix_imrk30.RDS")
cmf_mmr_old <- readRDS("data/cmf/subset/cormotif_fit_matrix_mmrk30.RDS")
cmf_data_list <- list(
upr_all = cmf_upr_all,
upr = cmf_upr,
ddr = cmf_ddr,
imr = cmf_imr,
mmr = cmf_mmr_old
)
#make two lists so I can store the IC/motif plots
cmf_ic_plots <- list()
cmf_motif_plots <- list()
for(name in names(cmf_data_list)) {
cat("processing subset:", name, "\n")
fit <- cmf_data_list[[name]]
plotIC(fit)
ic_plot <- recordPlot()
ic_name <- paste0("cmf_ic_", name)
cmf_ic_plots[[ic_name]] <- ic_plot
# save_plot(
# plot = ic_plot,
# filename = paste0(ic_name, "_EMP"),
# folder = output_folder
# )
#now do the same for the motifs plot
plotMotif(fit)
mtf_plot <- recordPlot()
mtf_name <- paste0("cmf_motif_", name)
cmf_motif_plots[[mtf_name]] <- mtf_plot
# save_plot(
# plot = mtf_plot,
# filename = paste0(mtf_name, "_EMP"),
# folder = output_folder
# )
cat("finished subset:", name, "\n\n")
}
processing subset: upr_all


finished subset: upr_all
processing subset: upr


finished subset: upr
processing subset: ddr


finished subset: ddr
processing subset: imr


finished subset: imr
processing subset: mmr


finished subset: mmr
#now that I've saved each of these images, let's dive into characterizing each of these motifs
#I have all of the factors already made for this, so I am going to go ahead with running CMF
#I haven't changed this one to have no outlier
#fit cormotif model
# set.seed(19191)
#only set seed once for reproducibility
# cmf_mmr_rm <- cormotiffit(
# exprs = expr_mmr,
# groupid = groupid_mmr,
# compid = compid_mmr,
# K = 1:20,
# max.iter = 10000,
# BIC = TRUE,
# runtype = "logCPM"
# )
#save this so you have it for later
# saveRDS(cmf_mmr_rm, "data/cmf/cormotif_fitmatrix_mmr_nooutlier_k20.RDS")
cmf_mmr <- readRDS("data/cmf/cormotif_fitmatrix_mmr_nooutlier_k20.RDS")
#plot the motifs and save them
plotIC(cmf_mmr)

plotMotif(cmf_mmr)

I have two subsets within this, upr and upr_all. upr_all contains both 2 hour and 24 hour timepoints, whereas upr only contains the 24 hour data. I am going to start by investigating upr 24hr only.
#start by looking at the cluster likelihood for each of these motifs
# cmf_upr <- readRDS("data/cmf/subset/cormotif_fit_matrix_uprk30.RDS")
#initialize list for my genes for each cluster
upr_clustlike <- list(
upr_c1 = character(0),
upr_c2 = character(0),
upr_c3 = character(0),
upr_c4 = character(0)
)
#extract the posterior probability that these genes belong to motifs
upr_gene_prob <- cmf_upr$bestmotif$p.post
rownames(upr_gene_prob) <- rownames(expr_upr)
#assign each gene to a motif with max post prob
upr_assign_mtf <- apply(upr_gene_prob, 1, which.max)
max_probs_upr <- apply(upr_gene_prob, 1, max)
#extract the cluster likelihood - which DEGs are most likely to be in this cluster
upr_clust_prob <- cmf_upr$bestmotif$clustlike
rownames(upr_clust_prob) <- rownames(upr_gene_prob)
# write.csv(upr_clust_prob,"data/cmf/subset/cormotif_upr_clusterlikelihood.csv")
#now go through each of these motifs' clustlike to assign a set of genes for each
#combine these into a dataframe - motif assigned genes (p.post)
upr_clust_df <- upr_gene_prob %>%
as.data.frame() %>%
rownames_to_column("Gene") %>%
mutate(
Assigned_Motif = upr_assign_mtf[Gene],
Max_Probability = max_probs_upr[Gene]
)
#copy the clustlike matrix
upr_prob_df <-as.data.frame(upr_clust_prob)
#keep track of genes already assigned
assigned_genes_upr <- character(0)
#motif 1
clust1_upr <- rownames(upr_prob_df)[
upr_prob_df$V1 > 0.6 &
upr_prob_df$V2 < 0.5 &
upr_prob_df$V3 < 0.5 &
upr_prob_df$V4 < 0.5
]
clust1_upr <- setdiff(clust1_upr, assigned_genes_upr)
upr_clustlike$upr_c1 <- clust1_upr
assigned_genes_upr <- c(assigned_genes_upr, clust1_upr)
# motif 2
clust2_upr <- rownames(upr_prob_df)[
upr_prob_df$V1 < 0.5 &
upr_prob_df$V2 > 0.01 &
upr_prob_df$V3 < 0.5 &
upr_prob_df$V4 < 0.5
]
clust2_upr <- setdiff(clust2_upr, assigned_genes_upr)
upr_clustlike$upr_c2 <- clust2_upr
assigned_genes_upr <- c(assigned_genes_upr, clust2_upr)
# motif 3
clust3_upr <- rownames(upr_prob_df)[
upr_prob_df$V1 < 0.5 &
upr_prob_df$V2 < 0.5 &
upr_prob_df$V3 > 0.01 &
upr_prob_df$V4 < 0.5
]
clust3_upr <- setdiff(clust3_upr, assigned_genes_upr)
upr_clustlike$upr_c3 <- clust3_upr
assigned_genes_upr <- c(assigned_genes_upr, clust3_upr)
# motif 4
clust4_upr <- rownames(upr_prob_df)[
upr_prob_df$V1 < 0.5 &
upr_prob_df$V2 < 0.5 &
upr_prob_df$V3 < 0.5 &
upr_prob_df$V4 > 0.3
]
clust4_upr <- setdiff(clust4_upr, assigned_genes_upr)
upr_clustlike$upr_c4 <- clust4_upr
assign_upr <- c(assigned_genes_upr, clust4_upr)
length(assign_upr)
[1] 13583
unassign_upr <- setdiff(all_genes, assign_upr)
length(unassign_upr)
[1] 156
#156 genes unassigned
#start by looking at the cluster likelihood for each of these motifs
#extract the posterior probability that a gene is DE in a given comparison (by pairwise comparisons)
upr_gene_prob_all <- cmf_upr_all$bestmotif$p.post
rownames(upr_gene_prob_all) <- rownames(expr_upr_all)
#assign each gene to a motif with max post prob
upr_assign_mtf_all <- apply(upr_gene_prob_all, 1, which.max)
max_probs_upr_all <- apply(upr_gene_prob_all, 1, max)
#combine these into a dataframe - motif assigned genes (p.post)
upr_clust_df_all <- upr_gene_prob_all %>%
as.data.frame() %>%
rownames_to_column("Gene") %>%
mutate(
Assigned_Motif = upr_assign_mtf_all[Gene],
Max_Probability = max_probs_upr_all[Gene]
)
#extract the cluster likelihood - what is the probability that a gene belongs to a given motif
upr_clust_prob_all <- cmf_upr_all$bestmotif$clustlike
rownames(upr_clust_prob_all) <- rownames(upr_gene_prob_all)
# write.csv(upr_clust_prob_all,"data/cmf/subset/cormotif_upr_all_clusterlikelihood.csv")
#now go through each of these motifs' clustlike to assign a set of genes for each
#motif1
#clustlike
clust1_upr_all <-
upr_clust_prob_all %>%
as.data.frame() %>%
filter(V1 > 0.7 & V2 < 0.5 & V3 < 0.5 & V4 < 0.5) %>%
rownames
length(clust1_upr_all)
[1] 10781
#10,781 genes w/ cutoff of 0.7 (too many at 0.5)
#motif2
clust2_upr_all <-
upr_clust_prob_all %>%
as.data.frame() %>%
filter(V1 < 0.5 & V2 > 0.4 & V3 < 0.5 & V4 < 0.5) %>%
rownames
length(clust2_upr_all)
[1] 2056
#2,056 genes with 0.5 cutoff
#motif3
clust3_upr_all <-
upr_clust_prob_all %>%
as.data.frame() %>%
filter(V1 < 0.5 & V2 < 0.5 & V3 > 0.01 & V4 < 0.5) %>%
rownames
length(clust3_upr_all)
[1] 290
#308 genes w/ cutoff of 0.01
#motif4
clust4_upr_all <-
upr_clust_prob_all %>%
as.data.frame() %>%
filter(V1 < 0.5 & V2 < 0.5 & V3 < 0.5 & V4 > 0.001) %>%
rownames
length(clust4_upr_all)
[1] 313
#307 genes with 0.001 cutoff
#first check that each list of genes is unique
upr_clustlike_all <- list(
upr_all_c1 = clust1_upr_all,
upr_all_c2 = clust2_upr_all,
upr_all_c3 = clust3_upr_all,
upr_all_c4 = clust4_upr_all
)
length(upr_clustlike_all) == length(unique(upr_clustlike_all))
[1] TRUE
#each of these gene lists is unique
assign_upr_all <- unique(unlist(upr_clustlike_all))
length(assign_upr_all)
[1] 13331
all_genes <- rownames(hc_cpm_matrix_24)
unassign_upr_all <- setdiff(all_genes, assign_upr_all)
length(unassign_upr_all)
[1] 408
#13,250 genes are assigned to a motif with these cutoffs presently
#489 unassigned genes
#with new clustlike cutoffs:
#13,331 genes assigned to a motif
#408 genes unassigned
#initialize list for DDR motifs
ddr_clustlike <- list(
ddr_c1 = character(0),
ddr_c2 = character(0),
ddr_c3 = character(0),
ddr_c4 = character(0)
)
#extract posterior probabilities (not used for assignment here, just for reference)
ddr_gene_prob <- cmf_ddr$bestmotif$p.post
rownames(ddr_gene_prob) <- rownames(expr_ddr)
#assign each gene to a motif with max post prob (for reference)
ddr_assign_mtf <- apply(ddr_gene_prob, 1, which.max)
max_probs_ddr <- apply(ddr_gene_prob, 1, max)
#extract cluster likelihood - clustlike
ddr_clust_prob <- cmf_ddr$bestmotif$clustlike
rownames(ddr_clust_prob) <- rownames(ddr_gene_prob)
#combine posterior info into a dataframe (optional)
ddr_clust_df <- ddr_gene_prob %>%
as.data.frame() %>%
rownames_to_column("Gene") %>%
mutate(
Assigned_Motif = ddr_assign_mtf[Gene],
Max_Probability = max_probs_ddr[Gene]
)
#copy clustlike matrix to a dataframe
ddr_prob_df <- as.data.frame(ddr_clust_prob)
#keep track of genes already assigned
assigned_genes_ddr <- character(0)
#assign genes to motifs/clusters
#motif 1
clust1_ddr <- rownames(ddr_prob_df)[
ddr_prob_df$V1 > 0.6 &
ddr_prob_df$V2 < 0.5 &
ddr_prob_df$V3 < 0.5 &
ddr_prob_df$V4 < 0.5
]
clust1_ddr <- setdiff(clust1_ddr, assigned_genes_ddr)
ddr_clustlike$ddr_c1 <- clust1_ddr
assigned_genes_ddr <- c(assigned_genes_ddr, clust1_ddr)
#motif 2
clust2_ddr <- rownames(ddr_prob_df)[
ddr_prob_df$V1 < 0.5 &
ddr_prob_df$V2 > 0.05 &
ddr_prob_df$V3 < 0.5 &
ddr_prob_df$V4 < 0.5
]
clust2_ddr <- setdiff(clust2_ddr, assigned_genes_ddr)
ddr_clustlike$ddr_c2 <- clust2_ddr
assigned_genes_ddr <- c(assigned_genes_ddr, clust2_ddr)
#motif 3
clust3_ddr <- rownames(ddr_prob_df)[
ddr_prob_df$V1 < 0.5 &
ddr_prob_df$V2 < 0.5 &
ddr_prob_df$V3 > 0.05 &
ddr_prob_df$V4 < 0.5
]
clust3_ddr <- setdiff(clust3_ddr, assigned_genes_ddr)
ddr_clustlike$ddr_c3 <- clust3_ddr
assigned_genes_ddr <- c(assigned_genes_ddr, clust3_ddr)
#motif 4
clust4_ddr <- rownames(ddr_prob_df)[
ddr_prob_df$V1 < 0.5 &
ddr_prob_df$V2 < 0.5 &
ddr_prob_df$V3 < 0.5 &
ddr_prob_df$V4 > 0.05
]
clust4_ddr <- setdiff(clust4_ddr, assigned_genes_ddr)
ddr_clustlike$ddr_c4 <- clust4_ddr
assign_ddr <- c(assigned_genes_ddr, clust4_ddr)
unassign_ddr <- setdiff(all_genes, assign_ddr)
length(unassign_ddr)
[1] 455
#check totals
length(unique(unlist(ddr_clustlike))) #number of genes assigned to motifs
[1] 13284
length(all_genes) - length(unique(unlist(ddr_clustlike))) #nunassigned genes
[1] 455
#initialize list for IMR motifs
imr_clustlike <- list(
imr_c1 = character(0),
imr_c2 = character(0)
)
#copy clustlike probabilities to dataframe
imr_prob_df <- as.data.frame(cmf_imr$bestmotif$clustlike)
rownames(imr_prob_df) <- rownames(expr_imr)
#track assigned genes for mutual exclusivity
assigned_genes_imr <- character(0)
#motif 1
clust1_imr <- rownames(imr_prob_df)[
imr_prob_df$V1 > 0.8 &
imr_prob_df$V2 < 0.5
]
clust1_imr <- setdiff(clust1_imr, assigned_genes_imr)
imr_clustlike$imr_c1 <- clust1_imr
assigned_genes_imr <- c(assigned_genes_imr, clust1_imr)
#motif 2
clust2_imr <- rownames(imr_prob_df)[
imr_prob_df$V1 < 0.5 &
imr_prob_df$V2 > 0.5
]
clust2_imr <- setdiff(clust2_imr, assigned_genes_imr)
imr_clustlike$imr_c2 <- clust2_imr
assign_imr <- c(assigned_genes_imr, clust2_imr)
unassign_imr <- setdiff(all_genes, assign_imr)
length(unassign_imr)
[1] 52
#check totals
length(unique(unlist(imr_clustlike))) #number of assigned genes
[1] 13687
length(all_genes) - length(unique(unlist(imr_clustlike))) #unassigned genes
[1] 52
#initialize list for MMR motif
mmr_clustlike <- list(
mmr_c1 = character(0)
)
#copy clustlike probabilities to dataframe
mmr_prob_df <- as.data.frame(cmf_mmr$bestmotif$clustlike)
rownames(mmr_prob_df) <- rownames(expr_mmr)
#track assigned genes (mutual exclusivity)
assigned_genes_mmr <- character(0)
#motif 1
clust1_mmr <- rownames(mmr_prob_df)[
mmr_prob_df$V1 > 0.6
]
clust1_mmr <- setdiff(clust1_mmr, assigned_genes_mmr)
mmr_clustlike$mmr_c1 <- clust1_mmr
assign_mmr <- c(assigned_genes_mmr, clust1_mmr)
unassign_mmr <- setdiff(all_genes, assign_mmr)
length(unassign_mmr)
[1] 0
#check totals
length(unique(unlist(mmr_clustlike))) #should equal number of assigned genes
[1] 13739
length(all_genes) - length(unique(unlist(mmr_clustlike))) #unassigned genes
[1] 0
#assign the posterior probability for each subset
#extract the posterior probability that these genes belong to motifs
gene_prob_all24 <- cmf_fit_24$bestmotif$p.post
rownames(gene_prob_all24) <- rownames(expr_24)
gene_probs24 <- gene_prob_all24
#assign each gene to a motif with max post prob
assigned_motifs24 <- apply(gene_probs24, 1, which.max)
max_probs24 <- apply(gene_probs24, 1, max)
#now take my motif gene lists that I used cluster likelihood on and layer over the p.post to get my final gene list with more specificity
#gene-level posterior pattern (p.post) filter step on the previous clustlike lists
prob_filt_24_1 <- rownames(gene_probs24[(gene_probs24[,1] < 0.5
& gene_probs24[,2] < 0.5
& gene_probs24[,3] < 0.5
& gene_probs24[,4] < 0.5
& gene_probs24[,5] < 0.5
& gene_probs24[,6] < 0.5
& gene_probs24[,7] < 0.5
& gene_probs24[,8] < 0.5
& gene_probs24[,9] < 0.5
& gene_probs24[,10] < 0.5
& gene_probs24[,11] < 0.5
& gene_probs24[,12] < 0.5
& gene_probs24[,13] < 0.5
& gene_probs24[,14] < 0.5
& gene_probs24[,15] < 0.5
& gene_probs24[,16] < 0.5),]) #all white
length(prob_filt_24_1)
[1] 7094
#7,094 genes
#intersect the clustlike and p.post together
fin_24_1 <- intersect(clust1_24, prob_filt_24_1)
cat("Number of genes passing both filters:", length(fin_24_1), "\n")
Number of genes passing both filters: 6818
#6,818 genes pass both filters here
prob_filt_24_2 <- rownames(gene_probs24[(gene_probs24[,1] < 0.5
& gene_probs24[,2] < 0.5
& gene_probs24[,3] < 0.5
& gene_probs24[,4] < 0.5
& gene_probs24[,5] < 0.5
& gene_probs24[,6] < 0.5
& gene_probs24[,7] > 0.5
& gene_probs24[,8] > 0.5
& gene_probs24[,9] > 0.1
& gene_probs24[,10] < 0.5
& gene_probs24[,11] < 0.5
& gene_probs24[,12] < 0.5
& gene_probs24[,13] > 0.1
& gene_probs24[,14] > 0.1
& gene_probs24[,15] > 0.1
& gene_probs24[,16] > 0.5),])
length(prob_filt_24_2)
[1] 1048
#1048 genes
#intersect the clustlike and p.post together
fin_24_2 <- intersect(clust2_24, prob_filt_24_2)
cat("Number of genes passing both filters:", length(fin_24_2), "\n")
Number of genes passing both filters: 1048
prob_filt_24_3 <- rownames(gene_probs24[(gene_probs24[,1] > 0.5
& gene_probs24[,2] > 0.5
& gene_probs24[,3] > 0.5
& gene_probs24[,4] > 0.5
& gene_probs24[,5] > 0.2
& gene_probs24[,6] > 0.2
& gene_probs24[,7] < 0.5
& gene_probs24[,8] < 0.5
& gene_probs24[,9] > 0.2
& gene_probs24[,10] < 0.5
& gene_probs24[,11] < 0.5
& gene_probs24[,12] < 0.5
& gene_probs24[,13] > 0.2
& gene_probs24[,14] < 0.5
& gene_probs24[,15] > 0.2
& gene_probs24[,16] < 0.5),])
length(prob_filt_24_3)
[1] 381
#381 genes
#intersect the clustlike and p.post together
fin_24_3 <- intersect(clust3_24, prob_filt_24_3)
cat("Number of genes passing both filters:", length(fin_24_3), "\n")
Number of genes passing both filters: 381
prob_filt_24_4 <- rownames(gene_probs24[(gene_probs24[,1] < 0.5
& gene_probs24[,2] < 0.5
& gene_probs24[,3] < 0.5
& gene_probs24[,4] < 0.5
& gene_probs24[,5] > 0.3
& gene_probs24[,6] > 0.3
& gene_probs24[,7] > 0.5
& gene_probs24[,8] > 0.5
& gene_probs24[,9] > 0.3
& gene_probs24[,10] < 0.5
& gene_probs24[,11] > 0.1
& gene_probs24[,12] < 0.5
& gene_probs24[,13] > 0.1
& gene_probs24[,14] > 0.1
& gene_probs24[,15] > 0.1
& gene_probs24[,16] > 0.1),])
length(prob_filt_24_4)
[1] 14
#14 genes
#intersect the clustlike and p.post together
fin_24_4 <- intersect(clust4_24, prob_filt_24_4)
cat("Number of genes passing both filters:", length(fin_24_4), "\n")
Number of genes passing both filters: 14
prob_filt_24_5 <- rownames(gene_probs24[(gene_probs24[,1] > 0.3
& gene_probs24[,2] > 0.5
& gene_probs24[,3] > 0.1
& gene_probs24[,4] > 0.3
& gene_probs24[,5] > 0.3
& gene_probs24[,6] > 0.5
& gene_probs24[,7] > 0.5
& gene_probs24[,8] > 0.5
& gene_probs24[,9] < 0.5
& gene_probs24[,10] > 0.5
& gene_probs24[,11] > 0.5
& gene_probs24[,12] > 0.2
& gene_probs24[,13] > 0.1
& gene_probs24[,14] > 0.3
& gene_probs24[,15] > 0.5
& gene_probs24[,16] > 0.2),])
length(prob_filt_24_5)
[1] 3
#3 genes
#intersect the clustlike and p.post together
fin_24_5 <- intersect(clust5_24, prob_filt_24_5)
cat("Number of genes passing both filters:", length(fin_24_5), "\n")
Number of genes passing both filters: 3
prob_filt_24_6 <- rownames(gene_probs24[(gene_probs24[,1] > 0.5
& gene_probs24[,2] > 0.5
& gene_probs24[,3] > 0.5
& gene_probs24[,4] > 0.5
& gene_probs24[,5] > 0.2
& gene_probs24[,6] > 0.2
& gene_probs24[,7] > 0.5
& gene_probs24[,8] > 0.5
& gene_probs24[,9] < 0.5
& gene_probs24[,10] < 0.5
& gene_probs24[,11] < 0.5
& gene_probs24[,12] < 0.5
& gene_probs24[,13] > 0.2
& gene_probs24[,14] > 0.2
& gene_probs24[,15] > 0.2
& gene_probs24[,16] < 0.5),])
length(prob_filt_24_6)
[1] 200
#200 genes
#intersect the clustlike and p.post together
fin_24_6 <- intersect(clust6_24, prob_filt_24_6)
cat("Number of genes passing both filters:", length(fin_24_6), "\n")
Number of genes passing both filters: 196
#196 genes pass both
#now make a list of these gene sets for later analysis
all24_clustpost <- list(
all24_c1 = fin_24_1,
all24_c2 = fin_24_2,
all24_c3 = fin_24_3,
all24_c4 = fin_24_4,
all24_c5 = fin_24_5,
all24_c6 = fin_24_6
)
length(all24_clustpost) == length(unique(all24_clustpost))
[1] TRUE
#each of these gene lists is unique
assign_24_cp <- unique(unlist(all24_clustpost))
length(assign_24_cp)
[1] 8460
#8,431 genes assigned
all_genes <- rownames(hc_cpm_matrix_24)
unassign_24_cp <- setdiff(all_genes, assign_24_cp)
length(unassign_24_cp)
[1] 5279
#5,308 genes unassigned
#Above, I filtered my motif gene lists only on the cluster likelihood
#Now, I will add in the posterior probability based on the studies (pairwise comparisons)
#assign the posterior probability for each subset
upr_gene_prob <- cmf_upr$bestmotif$p.post
rownames(upr_gene_prob) <- rownames(expr_upr)
#now take my motif gene lists that I used cluster likelihood on and layer over the p.post to get my final gene list with more specificity
#gene-level posterior pattern (p.post) filter step on the previous clustlike lists
prob_filt_upr_1 <- rownames(upr_gene_prob[(upr_gene_prob[,1] < 0.5
& upr_gene_prob[,2] < 0.5
& upr_gene_prob[,3] < 0.5
& upr_gene_prob[,4] < 0.5),]) #all white boxes
length(prob_filt_upr_1)
[1] 11328
#11,328 genes
#intersect the clustlike and p.post together
fin_upr_1 <- intersect(clust1_upr, prob_filt_upr_1)
cat("Number of genes passing both filters:", length(fin_upr_1), "\n")
Number of genes passing both filters: 11171
#11,171 genes pass both filters here
prob_filt_upr_2 <- rownames(upr_gene_prob[(upr_gene_prob[,1] < 0.5
& upr_gene_prob[,2] > 0.5
& upr_gene_prob[,3] < 0.5
& upr_gene_prob[,4] > 0.5),])
length(prob_filt_upr_2)
[1] 125
#125 genes
#intersect the clustlike and p.post together
fin_upr_2 <- intersect(clust2_upr, prob_filt_upr_2)
cat("Number of genes passing both filters:", length(fin_upr_2), "\n")
Number of genes passing both filters: 125
prob_filt_upr_3 <- rownames(upr_gene_prob[(upr_gene_prob[,1] > 0.5
& upr_gene_prob[,2] < 0.5
& upr_gene_prob[,3] > 0.5
& upr_gene_prob[,4] < 0.5),])
length(prob_filt_upr_3)
[1] 137
#137 genes
#intersect the clustlike and p.post together
fin_upr_3 <- intersect(clust3_upr, prob_filt_upr_3)
cat("Number of genes passing both filters:", length(fin_upr_3), "\n")
Number of genes passing both filters: 77
prob_filt_upr_4 <- rownames(upr_gene_prob[(upr_gene_prob[,1] > 0.5
& upr_gene_prob[,2] > 0.5
& upr_gene_prob[,3] > 0.5
& upr_gene_prob[,4] > 0.5),])
length(prob_filt_upr_4)
[1] 2136
#2,136 genes
#intersect the clustlike and p.post together
fin_upr_4 <- intersect(clust4_upr, prob_filt_upr_4)
cat("Number of genes passing both filters:", length(fin_upr_4), "\n")
Number of genes passing both filters: 0
#now make a list of these gene sets for later analysis
upr_clustpost <- list(
upr_c1 = fin_upr_1,
upr_c2 = fin_upr_2,
upr_c3 = fin_upr_3,
upr_c4 = fin_upr_4
)
length(upr_clustpost) == length(unique(upr_clustpost))
[1] TRUE
#each of these gene lists is unique
assign_upr_cp <- unique(unlist(upr_clustpost))
length(assign_upr_cp)
[1] 11373
#13,569 genes assigned
all_genes <- rownames(hc_cpm_matrix_24)
unassign_upr_cp <- setdiff(all_genes, assign_upr_cp)
length(unassign_upr_cp)
[1] 2366
#170 genes unassigned
#Above, I filtered my motif gene lists only on the cluster likelihood
#Now, I will add in the posterior probability based on the studies (pairwise comparisons)
#assign the posterior probability for each subset
upr_gene_prob_all <- cmf_upr_all$bestmotif$p.post
rownames(upr_gene_prob_all) <- rownames(expr_upr_all)
#now take my motif gene lists that I used cluster likelihood on and layer over the p.post to get my final gene list with more specificity
#gene-level posterior pattern (p.post) filter step on the previous clustlike lists
prob_filt_upr_1_all <- rownames(upr_gene_prob_all[(upr_gene_prob_all[,1] < 0.5
& upr_gene_prob_all[,2] < 0.5
& upr_gene_prob_all[,3] < 0.5
& upr_gene_prob_all[,4] < 0.5
& upr_gene_prob_all[,5] < 0.5
& upr_gene_prob_all[,6] < 0.5
& upr_gene_prob_all[,7] < 0.5
& upr_gene_prob_all[,8] < 0.5),]) #all white boxes
length(prob_filt_upr_1_all)
[1] 11196
#11,196 genes
#intersect the clustlike and p.post together
fin_upr_1_all <- intersect(clust1_upr_all, prob_filt_upr_1_all)
cat("Number of genes passing both filters:", length(fin_upr_1_all), "\n")
Number of genes passing both filters: 10781
#10,781 genes pass both filters here
prob_filt_upr_2_all <- rownames(upr_gene_prob_all[(upr_gene_prob_all[,1] < 0.5
& upr_gene_prob_all[,2] < 0.5
& upr_gene_prob_all[,3] < 0.5
& upr_gene_prob_all[,4] < 0.5
& upr_gene_prob_all[,5] > 0.5
& upr_gene_prob_all[,6] > 0.5
& upr_gene_prob_all[,7] > 0.5
& upr_gene_prob_all[,8] > 0.5),])
length(prob_filt_upr_2_all)
[1] 2053
#2,053 genes
#intersect the clustlike and p.post together
fin_upr_2_all <- intersect(clust2_upr_all, prob_filt_upr_2_all)
cat("Number of genes passing both filters:", length(fin_upr_2_all), "\n")
Number of genes passing both filters: 2044
#2044 genes passing
prob_filt_upr_3_all <- rownames(upr_gene_prob_all[(upr_gene_prob_all[,1] < 0.5
& upr_gene_prob_all[,2] < 0.5
& upr_gene_prob_all[,3] > 0.5
& upr_gene_prob_all[,4] > 0.5
& upr_gene_prob_all[,5] > 0.5
& upr_gene_prob_all[,6] > 0.5
& upr_gene_prob_all[,7] > 0.5
& upr_gene_prob_all[,8] > 0.5),])
length(prob_filt_upr_3_all)
[1] 236
#236 genes
#intersect the clustlike and p.post together
fin_upr_3_all <- intersect(clust3_upr_all, prob_filt_upr_3_all)
cat("Number of genes passing both filters:", length(fin_upr_3_all), "\n")
Number of genes passing both filters: 4
#236 genes pass both
prob_filt_upr_4_all <- rownames(upr_gene_prob_all[(upr_gene_prob_all[,1] < 0.5
& upr_gene_prob_all[,2] < 0.5
& upr_gene_prob_all[,3] > 0.5
& upr_gene_prob_all[,4] > 0.5
& upr_gene_prob_all[,5] < 0.5
& upr_gene_prob_all[,6] < 0.5
& upr_gene_prob_all[,7] < 0.5
& upr_gene_prob_all[,8] < 0.5),])
length(prob_filt_upr_4_all)
[1] 235
#235 genes
#intersect the clustlike and p.post together
fin_upr_4_all <- intersect(clust4_upr_all, prob_filt_upr_4_all)
cat("Number of genes passing both filters:", length(fin_upr_4_all), "\n")
Number of genes passing both filters: 11
#235 genes passing both
#now make a list of these gene sets for later analysis
upr_clust_ppost_all <- list(
clust1_pp_upr_all = fin_upr_1_all,
clust2_pp_upr_all = fin_upr_2_all,
clust3_pp_upr_all = fin_upr_3_all,
clust4_pp_upr_all = fin_upr_4_all
)
ddr_gene_prob <- cmf_ddr$bestmotif$p.post
rownames(ddr_gene_prob) <- rownames(expr_ddr)
prob_filt_ddr_1 <- rownames(ddr_gene_prob[(ddr_gene_prob[,1] < 0.5
& ddr_gene_prob[,2] < 0.5
& ddr_gene_prob[,3] < 0.5
& ddr_gene_prob[,4] < 0.5),])
length(prob_filt_ddr_1)
[1] 8146
#8146 genes
#intersect the clustlike and p.post together
fin_ddr_1 <- intersect(clust1_ddr, prob_filt_ddr_1)
cat("Number of genes passing both filters:", length(fin_ddr_1), "\n")
Number of genes passing both filters: 7633
#7633 genes passing both
prob_filt_ddr_2 <- rownames(ddr_gene_prob[(ddr_gene_prob[,1] > 0.5
& ddr_gene_prob[,2] > 0.5
& ddr_gene_prob[,3] > 0.5
& ddr_gene_prob[,4] > 0.5),])
length(prob_filt_ddr_2)
[1] 361
#361 genes
#intersect the clustlike and p.post together
fin_ddr_2 <- intersect(clust2_ddr, prob_filt_ddr_2)
cat("Number of genes passing both filters:", length(fin_ddr_2), "\n")
Number of genes passing both filters: 20
#361 genes passing both??
prob_filt_ddr_3 <- rownames(ddr_gene_prob[(ddr_gene_prob[,1] < 0.5
& ddr_gene_prob[,2] < 0.5
& ddr_gene_prob[,3] > 0.5
& ddr_gene_prob[,4] > 0.5),])
length(prob_filt_ddr_3)
[1] 281
#281 genes
#intersect the clustlike and p.post together
fin_ddr_3 <- intersect(clust3_ddr, prob_filt_ddr_3)
cat("Number of genes passing both filters:", length(fin_ddr_3), "\n")
Number of genes passing both filters: 259
#281 genes passing both
prob_filt_ddr_4 <- rownames(ddr_gene_prob[(ddr_gene_prob[,1] > 0.5
& ddr_gene_prob[,2] > 0.5
& ddr_gene_prob[,3] < 0.5
& ddr_gene_prob[,4] < 0.5),])
length(prob_filt_ddr_4)
[1] 4916
#4,916 genes
#intersect the clustlike and p.post together
fin_ddr_4 <- intersect(clust4_ddr, prob_filt_ddr_4)
cat("Number of genes passing both filters:", length(fin_ddr_4), "\n")
Number of genes passing both filters: 0
#4,916 genes passing both
#now make a list of these gene sets for later analysis
ddr_clustpost <- list(
ddr_c1 = fin_ddr_1,
ddr_c2 = fin_ddr_2,
ddr_c3 = fin_ddr_3,
ddr_c4 = fin_ddr_4
)
length(ddr_clustpost) == length(unique(ddr_clustpost))
[1] TRUE
#each of these gene lists is unique
assign_ddr_cp <- unique(unlist(ddr_clustpost))
length(assign_ddr_cp)
[1] 7912
#13,191 genes assigned
all_genes <- rownames(hc_cpm_matrix_24)
unassign_ddr_cp <- setdiff(all_genes, assign_ddr_cp)
length(unassign_ddr_cp)
[1] 5827
#548 genes unassigned
imr_gene_prob <- cmf_imr$bestmotif$p.post
rownames(imr_gene_prob) <- rownames(expr_imr)
prob_filt_imr_1 <- rownames(imr_gene_prob[(imr_gene_prob[,1] < 0.5
& imr_gene_prob[,2] < 0.5
& imr_gene_prob[,3] < 0.5
& imr_gene_prob[,4] < 0.5),]) #all white boxes
length(prob_filt_imr_1)
[1] 13655
#13,655 genes
#intersect the clustlike and p.post together
fin_imr_1 <- intersect(clust1_imr, prob_filt_imr_1)
cat("Number of genes passing both filters:", length(fin_imr_1), "\n")
Number of genes passing both filters: 13603
#13,603 genes passing both
prob_filt_imr_2 <- rownames(imr_gene_prob[(imr_gene_prob[,1] > 0.3 #lighter grey box
& imr_gene_prob[,2] > 0.5
& imr_gene_prob[,3] > 0.5
& imr_gene_prob[,4] > 0.5),])
length(prob_filt_imr_2)
[1] 69
#73 genes
#intersect the clustlike and p.post together
fin_imr_2 <- intersect(clust2_imr, prob_filt_imr_2)
cat("Number of genes passing both filters:", length(fin_imr_2), "\n")
Number of genes passing both filters: 69
#73 genes passing both
#now make a list of these gene sets for later analysis
imr_clustpost <- list(
imr_c1 = fin_imr_1,
imr_c2 = fin_imr_2
)
length(imr_clustpost) == length(unique(imr_clustpost))
[1] TRUE
#each of these gene lists is unique
assign_imr_cp <- unique(unlist(imr_clustpost))
length(assign_imr_cp)
[1] 13672
#13,676 genes assigned
all_genes <- rownames(hc_cpm_matrix_24)
unassign_imr_cp <- setdiff(all_genes, assign_imr_cp)
length(unassign_imr_cp)
[1] 67
#63 genes unassigned
mmr_gene_prob <- cmf_mmr$bestmotif$p.post
rownames(mmr_gene_prob) <- rownames(expr_mmr)
prob_filt_mmr_1 <- rownames(mmr_gene_prob[(mmr_gene_prob[,1] > 0.5
& mmr_gene_prob[,2] > 0.2
& mmr_gene_prob[,3] > 0.5
& mmr_gene_prob[,4] < 0.5),])
#the p.post for this set is suuuper low so nothing will pop up for this, it's basically non-response
length(prob_filt_mmr_1)
[1] 0
#0 genes
#intersect the clustlike and p.post together
fin_mmr_1 <- intersect(clust1_mmr, prob_filt_mmr_1)
cat("Number of genes passing both filters:", length(fin_mmr_1), "\n")
Number of genes passing both filters: 0
#0 genes passing both
mmr_clustpost <- list(
mmr_c1 = fin_mmr_1
)
assign_mmr_cp <- unique(unlist(mmr_clustpost))
length(assign_mmr_cp)
[1] 0
#0 genes assigned
all_genes <- rownames(hc_cpm_matrix_24)
unassign_mmr_cp <- setdiff(all_genes, assign_mmr_cp)
length(unassign_mmr_cp)
[1] 13739
#13,739 genes unassigned
#now that I've assigned genes to each motif for both clustlike alone and for clustlike and p.post togehter, let's take a look at their distribution
#make a loop for a stacked barplot that goes through each of my gene lists to plot them
subset_names <- c("upr", "upr_cp", "ddr", "ddr_cp", "imr", "imr_cp", "mmr", "mmr_cp")
subset_registry <- list(
upr = list(
assign = upr_clustlike,
unassign = unassign_upr
),
upr_cp = list(
assign = upr_clustpost,
unassign = unassign_upr_cp
),
ddr = list(
assign = ddr_clustlike,
unassign = unassign_ddr
),
ddr_cp = list(
assign = ddr_clustpost,
unassign = unassign_ddr_cp
),
imr = list(
assign = imr_clustlike,
unassign = unassign_imr
),
imr_cp = list(
assign = imr_clustpost,
unassign = unassign_imr_cp
),
mmr = list(
assign = mmr_clustlike,
unassign = unassign_mmr
),
mmr_cp = list(
assign = mmr_clustpost,
unassign = unassign_mmr_cp
)
)
#now make a function that loops through each of these to make plots to show the gene distribution proportions/percentages
cmf_plots_funct <- function(assign, unassign, subset_name) {
n_motifs <- length(assign)
motif_sizes <- lengths(assign)
unassign_size <- length(unassign)
clust_data <- data.frame(
Category = c(as.character(seq_len(n_motifs)), "unassign"),
Value = c(motif_sizes, unassign_size),
stringsAsFactors = FALSE
)
clust_data <- clust_data %>%
dplyr::mutate(
Percentage = Value / sum(Value) * 100,
Category = factor(
Category,
levels = c(as.character(seq_len(n_motifs)), "unassign")
)
)
motif_cols <- RColorBrewer::brewer.pal(
max(3, n_motifs),
"Set1"
)[seq_len(n_motifs)]
fill_colors <- c(
setNames(motif_cols, as.character(seq_len(n_motifs))),
unassign = "gray70"
)
total_genes <- length(all_genes)
#stacked barplot
barplot <- ggplot(clust_data, aes(x = "", y = Percentage, fill = Category)) +
geom_bar(stat = "identity", width = 0.6) +
scale_y_continuous(
limits = c(0, 105)
) +
geom_text_repel(
aes(label = paste0(Value, " (", round(Percentage, 1), "%)")),
position = position_stack(vjust = 0.6),
direction = "x",
size = 10
) +
scale_fill_manual(values = fill_colors) +
labs(
title = paste0("cluster genes distribution ", subset_name)
) +
theme_custom() +
theme(
plot.title = element_text(hjust = 0.5)
)
#pie charts
piechart <- ggplot(clust_data, aes(x = "", y = Percentage, fill = Category)) +
geom_bar(stat = "identity", width = 1) +
coord_polar("y") +
geom_text_repel(
aes(label = paste0(Value, " (", round(Percentage, 1), "%)")),
position = position_stack(vjust = 0.6),
direction = "y",
size = 10
) +
scale_fill_manual(values = fill_colors) +
labs(
title = paste0("cluster genes distribution ", subset_name),
x = NULL,
y = NULL
) +
theme_void()
return(list(
summary_table = clust_data,
barplot = barplot,
piechart = piechart
))
}
#now loop over my subsets
summary_tables <- list()
barplots <- list()
piecharts <- list()
for (subset in names(subset_registry)) {
message("processing ", subset)
res <- cmf_plots_funct(
assign = subset_registry[[subset]]$assign,
unassign = subset_registry[[subset]]$unassign,
subset_name = subset
)
summary_tables[[subset]] <- res$summary_table
barplots[[subset]] <- res$barplot
piecharts[[subset]] <- res$piechart
}
#now print these and save them (print them huge so you can see the labels non overlapping)
print(barplots)
$upr

| Version | Author | Date |
|---|---|---|
| 8a4bbba | Emma M. Pfortmiller | 2026-01-13 |
$upr_cp

| Version | Author | Date |
|---|---|---|
| 8a4bbba | Emma M. Pfortmiller | 2026-01-13 |
$ddr

| Version | Author | Date |
|---|---|---|
| 8a4bbba | Emma M. Pfortmiller | 2026-01-13 |
$ddr_cp

| Version | Author | Date |
|---|---|---|
| 8a4bbba | Emma M. Pfortmiller | 2026-01-13 |
$imr

| Version | Author | Date |
|---|---|---|
| 8a4bbba | Emma M. Pfortmiller | 2026-01-13 |
$imr_cp

| Version | Author | Date |
|---|---|---|
| 8a4bbba | Emma M. Pfortmiller | 2026-01-13 |
$mmr

| Version | Author | Date |
|---|---|---|
| 8a4bbba | Emma M. Pfortmiller | 2026-01-13 |
$mmr_cp

| Version | Author | Date |
|---|---|---|
| 8a4bbba | Emma M. Pfortmiller | 2026-01-13 |
print(piecharts)
$upr

| Version | Author | Date |
|---|---|---|
| 8a4bbba | Emma M. Pfortmiller | 2026-01-13 |
$upr_cp

| Version | Author | Date |
|---|---|---|
| 8a4bbba | Emma M. Pfortmiller | 2026-01-13 |
$ddr

| Version | Author | Date |
|---|---|---|
| 8a4bbba | Emma M. Pfortmiller | 2026-01-13 |
$ddr_cp

| Version | Author | Date |
|---|---|---|
| 8a4bbba | Emma M. Pfortmiller | 2026-01-13 |
$imr

$imr_cp

$mmr

$mmr_cp

for (nm in names(barplots)) {
p <- barplots[[nm]]
print(p)
#save these plots to my folder
save_plot(
plot = p,
filename = paste0("cmf_barplot_", nm, "_EMP"),
folder = output_folder,
height = 16,
width = 16
)
#now define the pie charts as well to print and save them
q <- piecharts[[nm]]
print(q)
#save pie charts
save_plot(
plot = q,
filename = paste0("cmf_piechart_", nm, "_EMP"),
folder = output_folder,
height = 16,
width = 16
)
}
















#I want to make venn diagrams between each of my motif sets to ensure that there is no overlap between them
#define subset_clustlike
subset_clustlike <- list(
upr = upr_clustlike,
upr_cp = upr_clustpost,
ddr = ddr_clustlike,
ddr_cp = ddr_clustpost,
imr = imr_clustlike,
imr_cp = imr_clustpost,
mmr = mmr_clustlike
)
#store all plots in a list
venn_plots <- list()
for (subset_name in names(subset_clustlike)) {
message("Processing subset: ", subset_name)
motif_list <- subset_clustlike[[subset_name]]
# drop empty motifs
motif_list <- motif_list[sapply(motif_list, length) > 0]
# need at least 2 motifs for a Venn
if (length(motif_list) < 2) {
message(" Skipping ", subset_name, ": <2 motifs")
next
}
#make venn
p <- ggVennDiagram(
motif_list,
category.names = names(motif_list)
) +
ggtitle(paste0("Cormotif motifs: ", toupper(subset_name))) +
theme(
plot.title = element_text(size = 12, face = "bold", hjust = 0.5),
text = element_text(size = 10)
)
#store plot
venn_plots[[subset_name]] <- p
#print plots
print(p)
#save
save_plot(
plot = p,
filename = paste0("Venn_", subset_name),
folder = output_folder,
width = 8,
height = 6
)
}






#create a loop to pull out some random example genes (log2cpm) from my matrix hc_cpm_mat
#list the needed data for this
# hc_cpm_mat
# meta_cmf
#convert hc_cpm_mat into a df for this
hc_cpm_mat <- hc_cpm_mat %>% as.data.frame()
#factor my different conditions
species_order <- c("H", "C")
stimulus_order <- c("TUN", "THA",
"DOX", "NUTL", "DMSO",
"LPS", "TNFa", "H2O",
"BPA", "PFOA", "EtOH")
time_order <- c("2", "24")
cond_order <- c("TUN_2_H", "TUN_2_C",
"THA_2_H", "THA_2_C",
"DMSO_2_H", "DMSO_2_C",
"TUN_24_H", "TUN_24_C",
"THA_24_H", "THA_24_C",
"DOX_24_H", "DOX_24_C",
"NUTL_24_H", "NUTL_24_C",
"DMSO_24_H", "DMSO_24_C",
"LPS_24_H", "LPS_24_C",
"TNFa_24_H", "TNFa_24_C",
"H2O_24_H", "H2O_24_C",
"BPA_24_H", "BPA_24_C",
"PFOA_24_H", "PFOA_24_C",
"EtOH_24_H", "EtOH_24_C")
#make a lookup function to make sure everything is subsetted correctly for plotting
subset_stimulus_map <- list(
upr = list(
stimuli = c("TUN", "THA", "DMSO"),
times = c("24")
),
upr_cp = list(
stimuli = c("TUN", "THA", "DMSO"),
times = c("24")
),
ddr = list(
stimuli = c("DOX", "NUTL", "DMSO"),
times = c("24")
),
ddr_cp = list(
stimuli = c("DOX", "NUTL", "DMSO"),
times = c("24")
),
imr = list(
stimuli = c("LPS", "TNFa", "H2O"),
times = c("24")
),
imr_cp = list(
stimuli = c("LPS", "TNFa", "H2O"),
times = c("24")
),
mmr = list(
stimuli = c("BPA", "PFOA", "EtOH"),
times = c("24")
)
)
#make a function to pull 5 random genes from each motif gene list
process_motif_genes <- function(gene_vec, expr_mat, meta_df, n_genes = 5) {
gene_vec <- gene_vec[gene_vec %in% expr_mat$Entrez_ID]
if(length(gene_vec) == 0) return(NULL)
#subset my expression matrix (log2cpm)
gene_mat <- expr_mat[expr_mat$Entrez_ID %in% gene_vec, , drop = FALSE]
#randomly sample 5 genes per motif set
n_pull <- min(n_genes, nrow(gene_mat))
example_genes <- gene_mat[sample(nrow(gene_mat), n_pull), , drop = FALSE]
#long format
long_data <- example_genes %>%
pivot_longer(
cols = where(is.numeric),
names_to = "Sample",
values_to = "log2cpm"
) %>%
left_join(meta_df, by = c("Sample" = "Final_sample_name"))
return(long_data)
}
#now make another function to plot these genes in my boxplot format
plot_example_gene <- function(gene_data, gene_name, motif_name) {
p <- ggplot(gene_data, aes(x = Cond, y = log2cpm, fill = Stimulus)) +
geom_boxplot(outlier.shape = NA) +
geom_point(aes(color = Ind), size = 2, alpha = 0.9,
position = position_identity()) +
scale_fill_manual(values = stim_col) +
scale_color_manual(values = ind_col) +
ggtitle(paste("log2cpm expression", gene_name, "cluster", motif_name)) +
labs(x = "Condition", y = "log2cpm") +
theme_custom()
return(p)
}
#now loop through all of my subsets and their corresponding gene clusters
subset_clustlike <- list(
upr = upr_clustlike,
upr_cp = upr_clustpost,
ddr = ddr_clustlike,
ddr_cp = ddr_clustpost,
imr = imr_clustlike,
imr_cp = imr_clustpost,
mmr = mmr_clustlike
)
ex_gene_plots <- list()
for(subset_name in names(subset_clustlike)) {
cat("generating plots for", subset_name, "\n")
motif_list <- subset_clustlike[[subset_name]]
subset_rules <- subset_stimulus_map[[subset_name]]
for(motif_name in names(motif_list)) {
motif_genes <- motif_list[[motif_name]]
if(length(motif_genes) == 0) next
long_gene_data <- process_motif_genes(
motif_genes, hc_cpm_mat, meta_cmf, n_genes = 5
)
if(is.null(long_gene_data)) next
long_gene_data <- long_gene_data[
long_gene_data$Stimulus %in% subset_rules$stimuli &
long_gene_data$Time %in% subset_rules$times,
]
if(nrow(long_gene_data) == 0) next
#ensure all factors are ordered properly in the plots
long_gene_data$Stimulus <- factor(
long_gene_data$Stimulus,
levels = stimulus_order
)
long_gene_data$Species <- factor(
long_gene_data$Species,
levels = species_order
)
long_gene_data$Time <- factor(
long_gene_data$Time,
levels = time_order
)
long_gene_data$Cond <- factor(
long_gene_data$Cond,
levels = cond_order
)
#plot my genes
for(gene in unique(long_gene_data$SYMBOL)) {
gene_data <- long_gene_data %>%
filter(SYMBOL == gene)
p <- plot_example_gene(
gene_data,
gene_name = gene,
motif_name = motif_name
)
plot_name <- paste0(
"cmf_", subset_name, "_", motif_name, "_exgene_", gene
)
ex_gene_plots[[plot_name]] <- p
# save the plot using my custom function
save_plot(
plot = p,
filename = plot_name,
folder = output_folder,
height = 12,
width = 20
)
print(p)
}
}
}
generating plots for upr

| Version | Author | Date |
|---|---|---|
| 8a4bbba | Emma M. Pfortmiller | 2026-01-13 |

| Version | Author | Date |
|---|---|---|
| 8a4bbba | Emma M. Pfortmiller | 2026-01-13 |

| Version | Author | Date |
|---|---|---|
| 8a4bbba | Emma M. Pfortmiller | 2026-01-13 |

| Version | Author | Date |
|---|---|---|
| 8a4bbba | Emma M. Pfortmiller | 2026-01-13 |

| Version | Author | Date |
|---|---|---|
| 8a4bbba | Emma M. Pfortmiller | 2026-01-13 |

| Version | Author | Date |
|---|---|---|
| 8a4bbba | Emma M. Pfortmiller | 2026-01-13 |

| Version | Author | Date |
|---|---|---|
| 8a4bbba | Emma M. Pfortmiller | 2026-01-13 |

| Version | Author | Date |
|---|---|---|
| 8a4bbba | Emma M. Pfortmiller | 2026-01-13 |

| Version | Author | Date |
|---|---|---|
| 8a4bbba | Emma M. Pfortmiller | 2026-01-13 |

| Version | Author | Date |
|---|---|---|
| 8a4bbba | Emma M. Pfortmiller | 2026-01-13 |

| Version | Author | Date |
|---|---|---|
| 8a4bbba | Emma M. Pfortmiller | 2026-01-13 |

| Version | Author | Date |
|---|---|---|
| 8a4bbba | Emma M. Pfortmiller | 2026-01-13 |

| Version | Author | Date |
|---|---|---|
| 8a4bbba | Emma M. Pfortmiller | 2026-01-13 |

| Version | Author | Date |
|---|---|---|
| 8a4bbba | Emma M. Pfortmiller | 2026-01-13 |

| Version | Author | Date |
|---|---|---|
| 8a4bbba | Emma M. Pfortmiller | 2026-01-13 |

| Version | Author | Date |
|---|---|---|
| 8a4bbba | Emma M. Pfortmiller | 2026-01-13 |

| Version | Author | Date |
|---|---|---|
| 8a4bbba | Emma M. Pfortmiller | 2026-01-13 |

| Version | Author | Date |
|---|---|---|
| 8a4bbba | Emma M. Pfortmiller | 2026-01-13 |

| Version | Author | Date |
|---|---|---|
| 8a4bbba | Emma M. Pfortmiller | 2026-01-13 |
generating plots for upr_cp

| Version | Author | Date |
|---|---|---|
| 8a4bbba | Emma M. Pfortmiller | 2026-01-13 |

| Version | Author | Date |
|---|---|---|
| 8a4bbba | Emma M. Pfortmiller | 2026-01-13 |

| Version | Author | Date |
|---|---|---|
| 8a4bbba | Emma M. Pfortmiller | 2026-01-13 |

| Version | Author | Date |
|---|---|---|
| 8a4bbba | Emma M. Pfortmiller | 2026-01-13 |

| Version | Author | Date |
|---|---|---|
| 8a4bbba | Emma M. Pfortmiller | 2026-01-13 |

| Version | Author | Date |
|---|---|---|
| 8a4bbba | Emma M. Pfortmiller | 2026-01-13 |

| Version | Author | Date |
|---|---|---|
| 8a4bbba | Emma M. Pfortmiller | 2026-01-13 |

| Version | Author | Date |
|---|---|---|
| 8a4bbba | Emma M. Pfortmiller | 2026-01-13 |

| Version | Author | Date |
|---|---|---|
| 8a4bbba | Emma M. Pfortmiller | 2026-01-13 |

| Version | Author | Date |
|---|---|---|
| 8a4bbba | Emma M. Pfortmiller | 2026-01-13 |

| Version | Author | Date |
|---|---|---|
| 8a4bbba | Emma M. Pfortmiller | 2026-01-13 |

| Version | Author | Date |
|---|---|---|
| 8a4bbba | Emma M. Pfortmiller | 2026-01-13 |

| Version | Author | Date |
|---|---|---|
| 8a4bbba | Emma M. Pfortmiller | 2026-01-13 |

| Version | Author | Date |
|---|---|---|
| 8a4bbba | Emma M. Pfortmiller | 2026-01-13 |

| Version | Author | Date |
|---|---|---|
| 8a4bbba | Emma M. Pfortmiller | 2026-01-13 |
generating plots for ddr

| Version | Author | Date |
|---|---|---|
| 8a4bbba | Emma M. Pfortmiller | 2026-01-13 |

| Version | Author | Date |
|---|---|---|
| 8a4bbba | Emma M. Pfortmiller | 2026-01-13 |

| Version | Author | Date |
|---|---|---|
| 8a4bbba | Emma M. Pfortmiller | 2026-01-13 |

| Version | Author | Date |
|---|---|---|
| 8a4bbba | Emma M. Pfortmiller | 2026-01-13 |

| Version | Author | Date |
|---|---|---|
| 8a4bbba | Emma M. Pfortmiller | 2026-01-13 |

| Version | Author | Date |
|---|---|---|
| 8a4bbba | Emma M. Pfortmiller | 2026-01-13 |

| Version | Author | Date |
|---|---|---|
| 8a4bbba | Emma M. Pfortmiller | 2026-01-13 |

| Version | Author | Date |
|---|---|---|
| 8a4bbba | Emma M. Pfortmiller | 2026-01-13 |

| Version | Author | Date |
|---|---|---|
| 8a4bbba | Emma M. Pfortmiller | 2026-01-13 |

| Version | Author | Date |
|---|---|---|
| 8a4bbba | Emma M. Pfortmiller | 2026-01-13 |

| Version | Author | Date |
|---|---|---|
| 8a4bbba | Emma M. Pfortmiller | 2026-01-13 |

| Version | Author | Date |
|---|---|---|
| 8a4bbba | Emma M. Pfortmiller | 2026-01-13 |

| Version | Author | Date |
|---|---|---|
| 8a4bbba | Emma M. Pfortmiller | 2026-01-13 |

| Version | Author | Date |
|---|---|---|
| 8a4bbba | Emma M. Pfortmiller | 2026-01-13 |

| Version | Author | Date |
|---|---|---|
| 8a4bbba | Emma M. Pfortmiller | 2026-01-13 |

| Version | Author | Date |
|---|---|---|
| 8a4bbba | Emma M. Pfortmiller | 2026-01-13 |

| Version | Author | Date |
|---|---|---|
| 8a4bbba | Emma M. Pfortmiller | 2026-01-13 |

| Version | Author | Date |
|---|---|---|
| 8a4bbba | Emma M. Pfortmiller | 2026-01-13 |

| Version | Author | Date |
|---|---|---|
| 8a4bbba | Emma M. Pfortmiller | 2026-01-13 |

| Version | Author | Date |
|---|---|---|
| 8a4bbba | Emma M. Pfortmiller | 2026-01-13 |
generating plots for ddr_cp

| Version | Author | Date |
|---|---|---|
| 8a4bbba | Emma M. Pfortmiller | 2026-01-13 |

| Version | Author | Date |
|---|---|---|
| 8a4bbba | Emma M. Pfortmiller | 2026-01-13 |

| Version | Author | Date |
|---|---|---|
| 8a4bbba | Emma M. Pfortmiller | 2026-01-13 |

| Version | Author | Date |
|---|---|---|
| 8a4bbba | Emma M. Pfortmiller | 2026-01-13 |

| Version | Author | Date |
|---|---|---|
| 8a4bbba | Emma M. Pfortmiller | 2026-01-13 |

| Version | Author | Date |
|---|---|---|
| 8a4bbba | Emma M. Pfortmiller | 2026-01-13 |

| Version | Author | Date |
|---|---|---|
| 8a4bbba | Emma M. Pfortmiller | 2026-01-13 |

| Version | Author | Date |
|---|---|---|
| 8a4bbba | Emma M. Pfortmiller | 2026-01-13 |

| Version | Author | Date |
|---|---|---|
| 8a4bbba | Emma M. Pfortmiller | 2026-01-13 |

| Version | Author | Date |
|---|---|---|
| 8a4bbba | Emma M. Pfortmiller | 2026-01-13 |

| Version | Author | Date |
|---|---|---|
| 8a4bbba | Emma M. Pfortmiller | 2026-01-13 |

| Version | Author | Date |
|---|---|---|
| 8a4bbba | Emma M. Pfortmiller | 2026-01-13 |

| Version | Author | Date |
|---|---|---|
| 8a4bbba | Emma M. Pfortmiller | 2026-01-13 |

| Version | Author | Date |
|---|---|---|
| 8a4bbba | Emma M. Pfortmiller | 2026-01-13 |

| Version | Author | Date |
|---|---|---|
| 8a4bbba | Emma M. Pfortmiller | 2026-01-13 |
generating plots for imr

| Version | Author | Date |
|---|---|---|
| 8a4bbba | Emma M. Pfortmiller | 2026-01-13 |

| Version | Author | Date |
|---|---|---|
| 8a4bbba | Emma M. Pfortmiller | 2026-01-13 |

| Version | Author | Date |
|---|---|---|
| 8a4bbba | Emma M. Pfortmiller | 2026-01-13 |

| Version | Author | Date |
|---|---|---|
| 8a4bbba | Emma M. Pfortmiller | 2026-01-13 |

| Version | Author | Date |
|---|---|---|
| 8a4bbba | Emma M. Pfortmiller | 2026-01-13 |

| Version | Author | Date |
|---|---|---|
| 8a4bbba | Emma M. Pfortmiller | 2026-01-13 |

| Version | Author | Date |
|---|---|---|
| 8a4bbba | Emma M. Pfortmiller | 2026-01-13 |

| Version | Author | Date |
|---|---|---|
| 8a4bbba | Emma M. Pfortmiller | 2026-01-13 |

| Version | Author | Date |
|---|---|---|
| 8a4bbba | Emma M. Pfortmiller | 2026-01-13 |

| Version | Author | Date |
|---|---|---|
| 8a4bbba | Emma M. Pfortmiller | 2026-01-13 |
generating plots for imr_cp

| Version | Author | Date |
|---|---|---|
| 8a4bbba | Emma M. Pfortmiller | 2026-01-13 |

| Version | Author | Date |
|---|---|---|
| 8a4bbba | Emma M. Pfortmiller | 2026-01-13 |

| Version | Author | Date |
|---|---|---|
| 8a4bbba | Emma M. Pfortmiller | 2026-01-13 |

| Version | Author | Date |
|---|---|---|
| 8a4bbba | Emma M. Pfortmiller | 2026-01-13 |

| Version | Author | Date |
|---|---|---|
| 8a4bbba | Emma M. Pfortmiller | 2026-01-13 |

| Version | Author | Date |
|---|---|---|
| 8a4bbba | Emma M. Pfortmiller | 2026-01-13 |

| Version | Author | Date |
|---|---|---|
| 8a4bbba | Emma M. Pfortmiller | 2026-01-13 |

| Version | Author | Date |
|---|---|---|
| 8a4bbba | Emma M. Pfortmiller | 2026-01-13 |

| Version | Author | Date |
|---|---|---|
| 8a4bbba | Emma M. Pfortmiller | 2026-01-13 |

| Version | Author | Date |
|---|---|---|
| 8a4bbba | Emma M. Pfortmiller | 2026-01-13 |
generating plots for mmr

| Version | Author | Date |
|---|---|---|
| 8a4bbba | Emma M. Pfortmiller | 2026-01-13 |

| Version | Author | Date |
|---|---|---|
| 8a4bbba | Emma M. Pfortmiller | 2026-01-13 |

| Version | Author | Date |
|---|---|---|
| 8a4bbba | Emma M. Pfortmiller | 2026-01-13 |

| Version | Author | Date |
|---|---|---|
| 8a4bbba | Emma M. Pfortmiller | 2026-01-13 |

| Version | Author | Date |
|---|---|---|
| 8a4bbba | Emma M. Pfortmiller | 2026-01-13 |

| Version | Author | Date |
|---|---|---|
| 8a4bbba | Emma M. Pfortmiller | 2026-01-13 |
#ensure expression matrix is a data.frame
hc_cpm_mat <- hc_cpm_mat %>% as.data.frame()
#factor my different conditions
species_order <- c("H", "C")
stimulus_order <- c("TUN", "THA",
"DOX", "NUTL", "DMSO",
"LPS", "TNFa", "H2O",
"BPA", "PFOA", "EtOH")
time_order <- c("2", "24")
cond_order <- c("TUN_2_H", "TUN_2_C",
"THA_2_H", "THA_2_C",
"DMSO_2_H", "DMSO_2_C",
"TUN_24_H", "TUN_24_C",
"THA_24_H", "THA_24_C",
"DOX_24_H", "DOX_24_C",
"NUTL_24_H", "NUTL_24_C",
"DMSO_24_H", "DMSO_24_C",
"LPS_24_H", "LPS_24_C",
"TNFa_24_H", "TNFa_24_C",
"H2O_24_H", "H2O_24_C",
"BPA_24_H", "BPA_24_C",
"PFOA_24_H", "PFOA_24_C",
"EtOH_24_H", "EtOH_24_C")
ind_order <- c("H1", "H2", "H3", "H4", "H5", "H6", "H7",
"C1", "C2", "C3", "C4", "C5", "C6", "C7")
#make a lookup function to make sure everything is subsetted correctly for plotting
subset_stimulus_map <- list(
upr = list(
stimuli = c("TUN", "THA", "DMSO"),
times = c("24")
),
upr_cp = list(
stimuli = c("TUN", "THA", "DMSO"),
times = c("24")
)
# ddr = list(
# stimuli = c("DOX", "NUTL", "DMSO"),
# times = c("24")
# ),
# ddr_cp = list(
# stimuli = c("DOX", "NUTL", "DMSO"),
# times = c("24")
# ),
# imr = list(
# stimuli = c("LPS", "TNFa", "H2O"),
# times = c("24")
# ),
# imr_cp = list(
# stimuli = c("LPS", "TNFa", "H2O"),
# times = c("24")
# ),
# mmr = list(
# stimuli = c("BPA", "PFOA", "EtOH"),
# times = c("24")
# )
)
#pull expression for a FIXED gene set
process_motif_genes <- function(example_gene_ids, expr_mat, meta_df, cluster_label) {
# Keep only genes present in the expression matrix
example_gene_ids <- example_gene_ids[example_gene_ids %in% expr_mat$Entrez_ID]
if(length(example_gene_ids) == 0) return(NULL)
gene_mat <- expr_mat[expr_mat$Entrez_ID %in% example_gene_ids, , drop = FALSE]
long_data <- gene_mat %>%
pivot_longer(
cols = where(is.numeric),
names_to = "Sample",
values_to = "log2cpm"
) %>%
left_join(meta_df, by = c("Sample" = "Final_sample_name")) %>%
mutate(ClusterType = cluster_label)
return(long_data)
}
#plotting function
plot_example_gene <- function(gene_data, gene_name, motif_name) {
ggplot(gene_data, aes(x = Cond, y = log2cpm, fill = Stimulus)) +
geom_boxplot(outlier.shape = NA) +
geom_point(aes(color = Ind),
size = 2, alpha = 0.9,
position = position_identity()) +
scale_fill_manual(values = stim_col) +
scale_color_discrete() +
facet_wrap(~ClusterType, nrow = 1) +
ggtitle(paste("log2cpm expression", gene_name, motif_name)) +
labs(x = "Condition", y = "log2cpm") +
theme_custom()
}
#motif lists
subset_clustlike <- list(
upr = upr_clustlike
# ddr = ddr_clustlike,
# imr = imr_clustlike,
# mmr = mmr_clustlike
)
subset_clustpost <- list(
upr = upr_clustpost
# ddr = ddr_clustpost,
# imr = imr_clustpost
)
#find genes from each motif to plot for both sets
example_gene_lookup <- list()
for(subset_name in names(subset_clustpost)) {
motif_list <- subset_clustpost[[subset_name]]
for(motif_name in names(motif_list)) {
genes <- motif_list[[motif_name]]
genes <- intersect(genes, hc_cpm_mat$Entrez_ID)
if(length(genes) == 0) next
example_gene_lookup[[paste0(subset_name, "_", motif_name)]] <-
sample(genes, size = min(5, length(genes)))
}
}
#sample example genes ONCE per motif
ex_gene_plots <- list()
for(subset_name in names(subset_clustlike)) {
cat("Generating plots for", subset_name, "\n")
motif_list_clustlike <- subset_clustlike[[subset_name]]
motif_list_clustpost <- subset_clustpost[[subset_name]]
subset_rules <- subset_stimulus_map[[subset_name]]
for(motif_name in names(motif_list_clustlike)) {
#skip if no example genes
key <- paste0(subset_name, "_", motif_name)
if(!key %in% names(example_gene_lookup)) next
example_gene_ids <- example_gene_lookup[[key]]
#pull clustlike genes
long_clustlike <- process_motif_genes(
example_gene_ids,
hc_cpm_mat,
meta_cmf,
cluster_label = "clustlike"
)
# Pull clustpost genes (only if motif exists in clustpost)
long_clustpost <- NULL
if(!is.null(motif_list_clustpost)) {
genes_clustpost <- motif_list_clustpost[[motif_name]]
genes_clustpost <- intersect(genes_clustpost, example_gene_ids)
if(length(genes_clustpost) > 0) {
long_clustpost <- process_motif_genes(
genes_clustpost,
hc_cpm_mat,
meta_cmf,
cluster_label = "clustlike + p.post"
)
}
}
# Combine for faceting
long_gene_data <- bind_rows(long_clustlike, long_clustpost)
if(is.null(long_gene_data) || nrow(long_gene_data) == 0) next
# Subset for stimulus and time
long_gene_data <- long_gene_data[
long_gene_data$Stimulus %in% subset_rules$stimuli &
long_gene_data$Time %in% subset_rules$times,
]
# Factor ordering
long_gene_data$Stimulus <- factor(long_gene_data$Stimulus,
levels = stimulus_order)
long_gene_data$Species <- factor(long_gene_data$Species,
levels = species_order)
long_gene_data$Time <- factor(long_gene_data$Time,
levels = time_order)
long_gene_data$Cond <- factor(long_gene_data$Cond,
levels = cond_order)
long_gene_data$Ind <- factor(long_gene_data$Ind,
levels = ind_order)
# Plot each gene
for(gene in unique(long_gene_data$SYMBOL)) {
gene_data <- long_gene_data %>% filter(SYMBOL == gene)
p <- plot_example_gene(
gene_data,
gene_name = gene,
motif_name = motif_name
)
plot_name <- paste0(
"cmf_", subset_name, "_", motif_name, "_exgene_", gene
)
ex_gene_plots[[plot_name]] <- p
# Save and print
save_plot(
plot = p,
filename = plot_name,
folder = output_folder,
height = 12,
width = 20
)
print(p)
}
}
}
Generating plots for upr















#I want to make a function to loop through my different subsets to get an idea of their logFC distribution
#this will be using my toptables that I made with DE analysis previously
#read in my toptable list and my long toptable dataframe for 24hr samples
ttbl_list_24 <- readRDS("data/de/toptable_list_24hr_updated_symbolentrez.RDS")
combined_ttbl_24 <- readRDS("data/de/combined_toptable_long_24hr_symbolentrez.RDS")
#pull in my gene vectors
motif_gene_sets <- list(
upr = upr_clustlike,
ddr = ddr_clustlike,
imr = imr_clustlike,
mmr = mmr_clustlike
)
motif_stimuli <- list(
upr = c("TUN", "THA"),
ddr = c("DOX", "NUTL"),
imr = c("LPS", "TNFa"),
mmr = c("BPA", "PFOA")
)
plot_logFC_distribution <- function(df, y_var = c("logFC", "absFC"), title, stim_col, resp_group) {
y_var <- match.arg(y_var)
y_lab <- ifelse(y_var == "logFC", "logFC", "|logFC|")
#define the fixed Condition order per response group
cond_levels <- list(
upr = c("TUN_24_H", "THA_24_H", "TUN_24_C", "THA_24_C"),
ddr = c("DOX_24_H", "NUTL_24_H", "DOX_24_C", "NUTL_24_C"),
imr = c("LPS_24_H", "TNFa_24_H", "LPS_24_C", "TNFa_24_C"),
mmr = c("BPA_24_H", "PFOA_24_H", "BPA_24_C", "PFOA_24_C")
)
#ensure Condition is a factor in the correct order for each response group
df <- df %>%
mutate(
Condition = factor(Condition, levels = cond_levels[[resp_group]])
)
ggplot(df, aes(x = Condition, y = .data[[y_var]], fill = Stimulus)) +
geom_boxplot() +
scale_fill_manual(values = stim_col) +
xlab("Condition") +
ylab(y_lab) +
ggtitle(title) +
theme_custom()
}
#define the condition order for each response group
cond_levels <- list(
upr = c("TUN_24_H", "THA_24_H", "TUN_24_C", "THA_24_C"),
ddr = c("DOX_24_H", "NUTL_24_H", "DOX_24_C", "NUTL_24_C"),
imr = c("LPS_24_H", "TNFa_24_H", "LPS_24_C", "TNFa_24_C"),
mmr = c("BPA_24_H", "PFOA_24_H", "BPA_24_C", "PFOA_24_C")
)
#loop through all response groups
for (resp in names(motif_gene_sets)) {
message("Processing response group: ", resp)
motif_list <- motif_gene_sets[[resp]]
stim_prefix <- motif_stimuli[[resp]]
#subset to relevant stimuli and create Condition column
ttbl_resp <- combined_ttbl_24 %>%
filter(Stimulus %in% stim_prefix) %>%
mutate(
Stimulus = factor(Stimulus, levels = stim_prefix), #maintain order of stimuli
Condition = paste0(Stimulus, "_24_", Species)
)
#ensure Condition has the fixed order for this response group
ttbl_resp$Condition <- factor(ttbl_resp$Condition, levels = cond_levels[[resp]])
for (motif_name in names(motif_list)) {
genes <- motif_list[[motif_name]]
n_genes <- length(genes)
df_motif <- ttbl_resp %>%
filter(Entrez_ID %in% genes) %>%
mutate(absFC = abs(logFC))
#logFC plot
p_logFC <- plot_logFC_distribution(
df = df_motif,
y_var = "logFC",
title = paste0(motif_name, " logFC (n = ", n_genes, ")"),
stim_col = stim_col[stim_prefix],
resp_group = resp
)
print(p_logFC)
save_plot(
filename = paste0("Motif_", motif_name, "_logFC"),
plot = p_logFC,
folder = output_folder,
width = 6,
height = 6
)
#abs(logFC) plot
p_absFC <- plot_logFC_distribution(
df = df_motif,
y_var = "absFC",
title = paste0(motif_name, " |logFC| (n = ", n_genes, ")"),
stim_col = stim_col[stim_prefix],
resp_group = resp
)
print(p_absFC)
save_plot(
filename = paste0("Motif_", motif_name, "_abslogFC"),
plot = p_absFC,
folder = output_folder,
width = 6,
height = 6
)
}
}
Processing response group: upr
Warning in grid.Call(C_textBounds, as.graphicsAnnot(x$label), x$x, x$y, : font
family not found in Windows font database
Warning in grid.Call(C_textBounds, as.graphicsAnnot(x$label), x$x, x$y, : font
family not found in Windows font database
Warning in grid.Call(C_textBounds, as.graphicsAnnot(x$label), x$x, x$y, : font
family not found in Windows font database
Warning in grid.Call(C_textBounds, as.graphicsAnnot(x$label), x$x, x$y, : font
family not found in Windows font database
Warning in grid.Call.graphics(C_text, as.graphicsAnnot(x$label), x$x, x$y, :
font family not found in Windows font database
Warning in grid.Call.graphics(C_text, as.graphicsAnnot(x$label), x$x, x$y, :
font family not found in Windows font database
Warning in grid.Call.graphics(C_text, as.graphicsAnnot(x$label), x$x, x$y, :
font family not found in Windows font database
Warning in grid.Call.graphics(C_text, as.graphicsAnnot(x$label), x$x, x$y, :
font family not found in Windows font database
Warning in grid.Call.graphics(C_text, as.graphicsAnnot(x$label), x$x, x$y, :
font family not found in Windows font database
Warning in grid.Call.graphics(C_text, as.graphicsAnnot(x$label), x$x, x$y, :
font family not found in Windows font database

Saved plot as PDF: C:/Users/emmap/OneDrive/Desktop/Ward Lab/Experiments/Stressor Project/Full Set RNAseq/plots/Motif_upr_c1_logFC_260127.pdf
Saved plot as PNG: C:/Users/emmap/OneDrive/Desktop/Ward Lab/Experiments/Stressor Project/Full Set RNAseq/plots/Motif_upr_c1_logFC_260127.png
Warning in grid.Call(C_textBounds, as.graphicsAnnot(x$label), x$x, x$y, : font
family not found in Windows font database
Warning in grid.Call(C_textBounds, as.graphicsAnnot(x$label), x$x, x$y, : font
family not found in Windows font database
Warning in grid.Call(C_textBounds, as.graphicsAnnot(x$label), x$x, x$y, : font
family not found in Windows font database
Warning in grid.Call(C_textBounds, as.graphicsAnnot(x$label), x$x, x$y, : font
family not found in Windows font database
Warning in grid.Call.graphics(C_text, as.graphicsAnnot(x$label), x$x, x$y, :
font family not found in Windows font database
Warning in grid.Call.graphics(C_text, as.graphicsAnnot(x$label), x$x, x$y, :
font family not found in Windows font database
Warning in grid.Call.graphics(C_text, as.graphicsAnnot(x$label), x$x, x$y, :
font family not found in Windows font database
Warning in grid.Call.graphics(C_text, as.graphicsAnnot(x$label), x$x, x$y, :
font family not found in Windows font database
Warning in grid.Call.graphics(C_text, as.graphicsAnnot(x$label), x$x, x$y, :
font family not found in Windows font database
Warning in grid.Call.graphics(C_text, as.graphicsAnnot(x$label), x$x, x$y, :
font family not found in Windows font database

Saved plot as PDF: C:/Users/emmap/OneDrive/Desktop/Ward Lab/Experiments/Stressor Project/Full Set RNAseq/plots/Motif_upr_c1_abslogFC_260127.pdf
Saved plot as PNG: C:/Users/emmap/OneDrive/Desktop/Ward Lab/Experiments/Stressor Project/Full Set RNAseq/plots/Motif_upr_c1_abslogFC_260127.png
Warning in grid.Call(C_textBounds, as.graphicsAnnot(x$label), x$x, x$y, : font
family not found in Windows font database
Warning in grid.Call(C_textBounds, as.graphicsAnnot(x$label), x$x, x$y, : font
family not found in Windows font database
Warning in grid.Call(C_textBounds, as.graphicsAnnot(x$label), x$x, x$y, : font
family not found in Windows font database
Warning in grid.Call(C_textBounds, as.graphicsAnnot(x$label), x$x, x$y, : font
family not found in Windows font database
Warning in grid.Call.graphics(C_text, as.graphicsAnnot(x$label), x$x, x$y, :
font family not found in Windows font database
Warning in grid.Call.graphics(C_text, as.graphicsAnnot(x$label), x$x, x$y, :
font family not found in Windows font database
Warning in grid.Call.graphics(C_text, as.graphicsAnnot(x$label), x$x, x$y, :
font family not found in Windows font database
Warning in grid.Call.graphics(C_text, as.graphicsAnnot(x$label), x$x, x$y, :
font family not found in Windows font database
Warning in grid.Call.graphics(C_text, as.graphicsAnnot(x$label), x$x, x$y, :
font family not found in Windows font database
Warning in grid.Call.graphics(C_text, as.graphicsAnnot(x$label), x$x, x$y, :
font family not found in Windows font database

Saved plot as PDF: C:/Users/emmap/OneDrive/Desktop/Ward Lab/Experiments/Stressor Project/Full Set RNAseq/plots/Motif_upr_c2_logFC_260127.pdf
Saved plot as PNG: C:/Users/emmap/OneDrive/Desktop/Ward Lab/Experiments/Stressor Project/Full Set RNAseq/plots/Motif_upr_c2_logFC_260127.png
Warning in grid.Call(C_textBounds, as.graphicsAnnot(x$label), x$x, x$y, : font
family not found in Windows font database
Warning in grid.Call(C_textBounds, as.graphicsAnnot(x$label), x$x, x$y, : font
family not found in Windows font database
Warning in grid.Call(C_textBounds, as.graphicsAnnot(x$label), x$x, x$y, : font
family not found in Windows font database
Warning in grid.Call(C_textBounds, as.graphicsAnnot(x$label), x$x, x$y, : font
family not found in Windows font database
Warning in grid.Call.graphics(C_text, as.graphicsAnnot(x$label), x$x, x$y, :
font family not found in Windows font database
Warning in grid.Call.graphics(C_text, as.graphicsAnnot(x$label), x$x, x$y, :
font family not found in Windows font database
Warning in grid.Call.graphics(C_text, as.graphicsAnnot(x$label), x$x, x$y, :
font family not found in Windows font database
Warning in grid.Call.graphics(C_text, as.graphicsAnnot(x$label), x$x, x$y, :
font family not found in Windows font database
Warning in grid.Call.graphics(C_text, as.graphicsAnnot(x$label), x$x, x$y, :
font family not found in Windows font database
Warning in grid.Call.graphics(C_text, as.graphicsAnnot(x$label), x$x, x$y, :
font family not found in Windows font database

Saved plot as PDF: C:/Users/emmap/OneDrive/Desktop/Ward Lab/Experiments/Stressor Project/Full Set RNAseq/plots/Motif_upr_c2_abslogFC_260127.pdf
Saved plot as PNG: C:/Users/emmap/OneDrive/Desktop/Ward Lab/Experiments/Stressor Project/Full Set RNAseq/plots/Motif_upr_c2_abslogFC_260127.png
Warning in grid.Call(C_textBounds, as.graphicsAnnot(x$label), x$x, x$y, : font
family not found in Windows font database
Warning in grid.Call(C_textBounds, as.graphicsAnnot(x$label), x$x, x$y, : font
family not found in Windows font database
Warning in grid.Call(C_textBounds, as.graphicsAnnot(x$label), x$x, x$y, : font
family not found in Windows font database
Warning in grid.Call(C_textBounds, as.graphicsAnnot(x$label), x$x, x$y, : font
family not found in Windows font database
Warning in grid.Call.graphics(C_text, as.graphicsAnnot(x$label), x$x, x$y, :
font family not found in Windows font database
Warning in grid.Call.graphics(C_text, as.graphicsAnnot(x$label), x$x, x$y, :
font family not found in Windows font database
Warning in grid.Call.graphics(C_text, as.graphicsAnnot(x$label), x$x, x$y, :
font family not found in Windows font database
Warning in grid.Call.graphics(C_text, as.graphicsAnnot(x$label), x$x, x$y, :
font family not found in Windows font database
Warning in grid.Call.graphics(C_text, as.graphicsAnnot(x$label), x$x, x$y, :
font family not found in Windows font database
Warning in grid.Call.graphics(C_text, as.graphicsAnnot(x$label), x$x, x$y, :
font family not found in Windows font database

Saved plot as PDF: C:/Users/emmap/OneDrive/Desktop/Ward Lab/Experiments/Stressor Project/Full Set RNAseq/plots/Motif_upr_c3_logFC_260127.pdf
Saved plot as PNG: C:/Users/emmap/OneDrive/Desktop/Ward Lab/Experiments/Stressor Project/Full Set RNAseq/plots/Motif_upr_c3_logFC_260127.png
Warning in grid.Call(C_textBounds, as.graphicsAnnot(x$label), x$x, x$y, : font
family not found in Windows font database
Warning in grid.Call(C_textBounds, as.graphicsAnnot(x$label), x$x, x$y, : font
family not found in Windows font database
Warning in grid.Call(C_textBounds, as.graphicsAnnot(x$label), x$x, x$y, : font
family not found in Windows font database
Warning in grid.Call(C_textBounds, as.graphicsAnnot(x$label), x$x, x$y, : font
family not found in Windows font database
Warning in grid.Call.graphics(C_text, as.graphicsAnnot(x$label), x$x, x$y, :
font family not found in Windows font database
Warning in grid.Call.graphics(C_text, as.graphicsAnnot(x$label), x$x, x$y, :
font family not found in Windows font database
Warning in grid.Call.graphics(C_text, as.graphicsAnnot(x$label), x$x, x$y, :
font family not found in Windows font database
Warning in grid.Call.graphics(C_text, as.graphicsAnnot(x$label), x$x, x$y, :
font family not found in Windows font database
Warning in grid.Call.graphics(C_text, as.graphicsAnnot(x$label), x$x, x$y, :
font family not found in Windows font database
Warning in grid.Call.graphics(C_text, as.graphicsAnnot(x$label), x$x, x$y, :
font family not found in Windows font database

Saved plot as PDF: C:/Users/emmap/OneDrive/Desktop/Ward Lab/Experiments/Stressor Project/Full Set RNAseq/plots/Motif_upr_c3_abslogFC_260127.pdf
Saved plot as PNG: C:/Users/emmap/OneDrive/Desktop/Ward Lab/Experiments/Stressor Project/Full Set RNAseq/plots/Motif_upr_c3_abslogFC_260127.png
Warning in grid.Call(C_textBounds, as.graphicsAnnot(x$label), x$x, x$y, : font
family not found in Windows font database
Warning in grid.Call(C_textBounds, as.graphicsAnnot(x$label), x$x, x$y, : font
family not found in Windows font database
Warning in grid.Call(C_textBounds, as.graphicsAnnot(x$label), x$x, x$y, : font
family not found in Windows font database
Warning in grid.Call(C_textBounds, as.graphicsAnnot(x$label), x$x, x$y, : font
family not found in Windows font database
Warning in grid.Call.graphics(C_text, as.graphicsAnnot(x$label), x$x, x$y, :
font family not found in Windows font database
Warning in grid.Call.graphics(C_text, as.graphicsAnnot(x$label), x$x, x$y, :
font family not found in Windows font database
Warning in grid.Call.graphics(C_text, as.graphicsAnnot(x$label), x$x, x$y, :
font family not found in Windows font database
Warning in grid.Call.graphics(C_text, as.graphicsAnnot(x$label), x$x, x$y, :
font family not found in Windows font database
Warning in grid.Call.graphics(C_text, as.graphicsAnnot(x$label), x$x, x$y, :
font family not found in Windows font database
Warning in grid.Call.graphics(C_text, as.graphicsAnnot(x$label), x$x, x$y, :
font family not found in Windows font database

Saved plot as PDF: C:/Users/emmap/OneDrive/Desktop/Ward Lab/Experiments/Stressor Project/Full Set RNAseq/plots/Motif_upr_c4_logFC_260127.pdf
Saved plot as PNG: C:/Users/emmap/OneDrive/Desktop/Ward Lab/Experiments/Stressor Project/Full Set RNAseq/plots/Motif_upr_c4_logFC_260127.png
Warning in grid.Call(C_textBounds, as.graphicsAnnot(x$label), x$x, x$y, : font
family not found in Windows font database
Warning in grid.Call(C_textBounds, as.graphicsAnnot(x$label), x$x, x$y, : font
family not found in Windows font database
Warning in grid.Call(C_textBounds, as.graphicsAnnot(x$label), x$x, x$y, : font
family not found in Windows font database
Warning in grid.Call(C_textBounds, as.graphicsAnnot(x$label), x$x, x$y, : font
family not found in Windows font database
Warning in grid.Call.graphics(C_text, as.graphicsAnnot(x$label), x$x, x$y, :
font family not found in Windows font database
Warning in grid.Call.graphics(C_text, as.graphicsAnnot(x$label), x$x, x$y, :
font family not found in Windows font database
Warning in grid.Call.graphics(C_text, as.graphicsAnnot(x$label), x$x, x$y, :
font family not found in Windows font database
Warning in grid.Call.graphics(C_text, as.graphicsAnnot(x$label), x$x, x$y, :
font family not found in Windows font database
Warning in grid.Call.graphics(C_text, as.graphicsAnnot(x$label), x$x, x$y, :
font family not found in Windows font database
Warning in grid.Call.graphics(C_text, as.graphicsAnnot(x$label), x$x, x$y, :
font family not found in Windows font database

Saved plot as PDF: C:/Users/emmap/OneDrive/Desktop/Ward Lab/Experiments/Stressor Project/Full Set RNAseq/plots/Motif_upr_c4_abslogFC_260127.pdf
Saved plot as PNG: C:/Users/emmap/OneDrive/Desktop/Ward Lab/Experiments/Stressor Project/Full Set RNAseq/plots/Motif_upr_c4_abslogFC_260127.png
Processing response group: ddr
Warning in grid.Call(C_textBounds, as.graphicsAnnot(x$label), x$x, x$y, : font
family not found in Windows font database
Warning in grid.Call(C_textBounds, as.graphicsAnnot(x$label), x$x, x$y, : font
family not found in Windows font database
Warning in grid.Call(C_textBounds, as.graphicsAnnot(x$label), x$x, x$y, : font
family not found in Windows font database
Warning in grid.Call(C_textBounds, as.graphicsAnnot(x$label), x$x, x$y, : font
family not found in Windows font database
Warning in grid.Call.graphics(C_text, as.graphicsAnnot(x$label), x$x, x$y, :
font family not found in Windows font database
Warning in grid.Call.graphics(C_text, as.graphicsAnnot(x$label), x$x, x$y, :
font family not found in Windows font database
Warning in grid.Call.graphics(C_text, as.graphicsAnnot(x$label), x$x, x$y, :
font family not found in Windows font database
Warning in grid.Call.graphics(C_text, as.graphicsAnnot(x$label), x$x, x$y, :
font family not found in Windows font database
Warning in grid.Call.graphics(C_text, as.graphicsAnnot(x$label), x$x, x$y, :
font family not found in Windows font database
Warning in grid.Call.graphics(C_text, as.graphicsAnnot(x$label), x$x, x$y, :
font family not found in Windows font database

Saved plot as PDF: C:/Users/emmap/OneDrive/Desktop/Ward Lab/Experiments/Stressor Project/Full Set RNAseq/plots/Motif_ddr_c1_logFC_260127.pdf
Saved plot as PNG: C:/Users/emmap/OneDrive/Desktop/Ward Lab/Experiments/Stressor Project/Full Set RNAseq/plots/Motif_ddr_c1_logFC_260127.png
Warning in grid.Call(C_textBounds, as.graphicsAnnot(x$label), x$x, x$y, : font
family not found in Windows font database
Warning in grid.Call(C_textBounds, as.graphicsAnnot(x$label), x$x, x$y, : font
family not found in Windows font database
Warning in grid.Call(C_textBounds, as.graphicsAnnot(x$label), x$x, x$y, : font
family not found in Windows font database
Warning in grid.Call(C_textBounds, as.graphicsAnnot(x$label), x$x, x$y, : font
family not found in Windows font database
Warning in grid.Call.graphics(C_text, as.graphicsAnnot(x$label), x$x, x$y, :
font family not found in Windows font database
Warning in grid.Call.graphics(C_text, as.graphicsAnnot(x$label), x$x, x$y, :
font family not found in Windows font database
Warning in grid.Call.graphics(C_text, as.graphicsAnnot(x$label), x$x, x$y, :
font family not found in Windows font database
Warning in grid.Call.graphics(C_text, as.graphicsAnnot(x$label), x$x, x$y, :
font family not found in Windows font database
Warning in grid.Call.graphics(C_text, as.graphicsAnnot(x$label), x$x, x$y, :
font family not found in Windows font database
Warning in grid.Call.graphics(C_text, as.graphicsAnnot(x$label), x$x, x$y, :
font family not found in Windows font database

Saved plot as PDF: C:/Users/emmap/OneDrive/Desktop/Ward Lab/Experiments/Stressor Project/Full Set RNAseq/plots/Motif_ddr_c1_abslogFC_260127.pdf
Saved plot as PNG: C:/Users/emmap/OneDrive/Desktop/Ward Lab/Experiments/Stressor Project/Full Set RNAseq/plots/Motif_ddr_c1_abslogFC_260127.png
Warning in grid.Call(C_textBounds, as.graphicsAnnot(x$label), x$x, x$y, : font
family not found in Windows font database
Warning in grid.Call(C_textBounds, as.graphicsAnnot(x$label), x$x, x$y, : font
family not found in Windows font database
Warning in grid.Call(C_textBounds, as.graphicsAnnot(x$label), x$x, x$y, : font
family not found in Windows font database
Warning in grid.Call(C_textBounds, as.graphicsAnnot(x$label), x$x, x$y, : font
family not found in Windows font database
Warning in grid.Call.graphics(C_text, as.graphicsAnnot(x$label), x$x, x$y, :
font family not found in Windows font database
Warning in grid.Call.graphics(C_text, as.graphicsAnnot(x$label), x$x, x$y, :
font family not found in Windows font database
Warning in grid.Call.graphics(C_text, as.graphicsAnnot(x$label), x$x, x$y, :
font family not found in Windows font database
Warning in grid.Call.graphics(C_text, as.graphicsAnnot(x$label), x$x, x$y, :
font family not found in Windows font database
Warning in grid.Call.graphics(C_text, as.graphicsAnnot(x$label), x$x, x$y, :
font family not found in Windows font database
Warning in grid.Call.graphics(C_text, as.graphicsAnnot(x$label), x$x, x$y, :
font family not found in Windows font database

Saved plot as PDF: C:/Users/emmap/OneDrive/Desktop/Ward Lab/Experiments/Stressor Project/Full Set RNAseq/plots/Motif_ddr_c2_logFC_260127.pdf
Saved plot as PNG: C:/Users/emmap/OneDrive/Desktop/Ward Lab/Experiments/Stressor Project/Full Set RNAseq/plots/Motif_ddr_c2_logFC_260127.png
Warning in grid.Call(C_textBounds, as.graphicsAnnot(x$label), x$x, x$y, : font
family not found in Windows font database
Warning in grid.Call(C_textBounds, as.graphicsAnnot(x$label), x$x, x$y, : font
family not found in Windows font database
Warning in grid.Call(C_textBounds, as.graphicsAnnot(x$label), x$x, x$y, : font
family not found in Windows font database
Warning in grid.Call(C_textBounds, as.graphicsAnnot(x$label), x$x, x$y, : font
family not found in Windows font database
Warning in grid.Call.graphics(C_text, as.graphicsAnnot(x$label), x$x, x$y, :
font family not found in Windows font database
Warning in grid.Call.graphics(C_text, as.graphicsAnnot(x$label), x$x, x$y, :
font family not found in Windows font database
Warning in grid.Call.graphics(C_text, as.graphicsAnnot(x$label), x$x, x$y, :
font family not found in Windows font database
Warning in grid.Call.graphics(C_text, as.graphicsAnnot(x$label), x$x, x$y, :
font family not found in Windows font database
Warning in grid.Call.graphics(C_text, as.graphicsAnnot(x$label), x$x, x$y, :
font family not found in Windows font database
Warning in grid.Call.graphics(C_text, as.graphicsAnnot(x$label), x$x, x$y, :
font family not found in Windows font database

Saved plot as PDF: C:/Users/emmap/OneDrive/Desktop/Ward Lab/Experiments/Stressor Project/Full Set RNAseq/plots/Motif_ddr_c2_abslogFC_260127.pdf
Saved plot as PNG: C:/Users/emmap/OneDrive/Desktop/Ward Lab/Experiments/Stressor Project/Full Set RNAseq/plots/Motif_ddr_c2_abslogFC_260127.png
Warning in grid.Call(C_textBounds, as.graphicsAnnot(x$label), x$x, x$y, : font
family not found in Windows font database
Warning in grid.Call(C_textBounds, as.graphicsAnnot(x$label), x$x, x$y, : font
family not found in Windows font database
Warning in grid.Call(C_textBounds, as.graphicsAnnot(x$label), x$x, x$y, : font
family not found in Windows font database
Warning in grid.Call(C_textBounds, as.graphicsAnnot(x$label), x$x, x$y, : font
family not found in Windows font database
Warning in grid.Call.graphics(C_text, as.graphicsAnnot(x$label), x$x, x$y, :
font family not found in Windows font database
Warning in grid.Call.graphics(C_text, as.graphicsAnnot(x$label), x$x, x$y, :
font family not found in Windows font database
Warning in grid.Call.graphics(C_text, as.graphicsAnnot(x$label), x$x, x$y, :
font family not found in Windows font database
Warning in grid.Call.graphics(C_text, as.graphicsAnnot(x$label), x$x, x$y, :
font family not found in Windows font database
Warning in grid.Call.graphics(C_text, as.graphicsAnnot(x$label), x$x, x$y, :
font family not found in Windows font database
Warning in grid.Call.graphics(C_text, as.graphicsAnnot(x$label), x$x, x$y, :
font family not found in Windows font database

Saved plot as PDF: C:/Users/emmap/OneDrive/Desktop/Ward Lab/Experiments/Stressor Project/Full Set RNAseq/plots/Motif_ddr_c3_logFC_260127.pdf
Saved plot as PNG: C:/Users/emmap/OneDrive/Desktop/Ward Lab/Experiments/Stressor Project/Full Set RNAseq/plots/Motif_ddr_c3_logFC_260127.png
Warning in grid.Call(C_textBounds, as.graphicsAnnot(x$label), x$x, x$y, : font
family not found in Windows font database
Warning in grid.Call(C_textBounds, as.graphicsAnnot(x$label), x$x, x$y, : font
family not found in Windows font database
Warning in grid.Call(C_textBounds, as.graphicsAnnot(x$label), x$x, x$y, : font
family not found in Windows font database
Warning in grid.Call(C_textBounds, as.graphicsAnnot(x$label), x$x, x$y, : font
family not found in Windows font database
Warning in grid.Call.graphics(C_text, as.graphicsAnnot(x$label), x$x, x$y, :
font family not found in Windows font database
Warning in grid.Call.graphics(C_text, as.graphicsAnnot(x$label), x$x, x$y, :
font family not found in Windows font database
Warning in grid.Call.graphics(C_text, as.graphicsAnnot(x$label), x$x, x$y, :
font family not found in Windows font database
Warning in grid.Call.graphics(C_text, as.graphicsAnnot(x$label), x$x, x$y, :
font family not found in Windows font database
Warning in grid.Call.graphics(C_text, as.graphicsAnnot(x$label), x$x, x$y, :
font family not found in Windows font database
Warning in grid.Call.graphics(C_text, as.graphicsAnnot(x$label), x$x, x$y, :
font family not found in Windows font database

Saved plot as PDF: C:/Users/emmap/OneDrive/Desktop/Ward Lab/Experiments/Stressor Project/Full Set RNAseq/plots/Motif_ddr_c3_abslogFC_260127.pdf
Saved plot as PNG: C:/Users/emmap/OneDrive/Desktop/Ward Lab/Experiments/Stressor Project/Full Set RNAseq/plots/Motif_ddr_c3_abslogFC_260127.png
Warning in grid.Call(C_textBounds, as.graphicsAnnot(x$label), x$x, x$y, : font
family not found in Windows font database
Warning in grid.Call(C_textBounds, as.graphicsAnnot(x$label), x$x, x$y, : font
family not found in Windows font database
Warning in grid.Call(C_textBounds, as.graphicsAnnot(x$label), x$x, x$y, : font
family not found in Windows font database
Warning in grid.Call(C_textBounds, as.graphicsAnnot(x$label), x$x, x$y, : font
family not found in Windows font database
Warning in grid.Call.graphics(C_text, as.graphicsAnnot(x$label), x$x, x$y, :
font family not found in Windows font database
Warning in grid.Call.graphics(C_text, as.graphicsAnnot(x$label), x$x, x$y, :
font family not found in Windows font database
Warning in grid.Call.graphics(C_text, as.graphicsAnnot(x$label), x$x, x$y, :
font family not found in Windows font database
Warning in grid.Call.graphics(C_text, as.graphicsAnnot(x$label), x$x, x$y, :
font family not found in Windows font database
Warning in grid.Call.graphics(C_text, as.graphicsAnnot(x$label), x$x, x$y, :
font family not found in Windows font database
Warning in grid.Call.graphics(C_text, as.graphicsAnnot(x$label), x$x, x$y, :
font family not found in Windows font database

Saved plot as PDF: C:/Users/emmap/OneDrive/Desktop/Ward Lab/Experiments/Stressor Project/Full Set RNAseq/plots/Motif_ddr_c4_logFC_260127.pdf
Saved plot as PNG: C:/Users/emmap/OneDrive/Desktop/Ward Lab/Experiments/Stressor Project/Full Set RNAseq/plots/Motif_ddr_c4_logFC_260127.png
Warning in grid.Call(C_textBounds, as.graphicsAnnot(x$label), x$x, x$y, : font
family not found in Windows font database
Warning in grid.Call(C_textBounds, as.graphicsAnnot(x$label), x$x, x$y, : font
family not found in Windows font database
Warning in grid.Call(C_textBounds, as.graphicsAnnot(x$label), x$x, x$y, : font
family not found in Windows font database
Warning in grid.Call(C_textBounds, as.graphicsAnnot(x$label), x$x, x$y, : font
family not found in Windows font database
Warning in grid.Call.graphics(C_text, as.graphicsAnnot(x$label), x$x, x$y, :
font family not found in Windows font database
Warning in grid.Call.graphics(C_text, as.graphicsAnnot(x$label), x$x, x$y, :
font family not found in Windows font database
Warning in grid.Call.graphics(C_text, as.graphicsAnnot(x$label), x$x, x$y, :
font family not found in Windows font database
Warning in grid.Call.graphics(C_text, as.graphicsAnnot(x$label), x$x, x$y, :
font family not found in Windows font database
Warning in grid.Call.graphics(C_text, as.graphicsAnnot(x$label), x$x, x$y, :
font family not found in Windows font database
Warning in grid.Call.graphics(C_text, as.graphicsAnnot(x$label), x$x, x$y, :
font family not found in Windows font database

Saved plot as PDF: C:/Users/emmap/OneDrive/Desktop/Ward Lab/Experiments/Stressor Project/Full Set RNAseq/plots/Motif_ddr_c4_abslogFC_260127.pdf
Saved plot as PNG: C:/Users/emmap/OneDrive/Desktop/Ward Lab/Experiments/Stressor Project/Full Set RNAseq/plots/Motif_ddr_c4_abslogFC_260127.png
Processing response group: imr
Warning in grid.Call(C_textBounds, as.graphicsAnnot(x$label), x$x, x$y, : font
family not found in Windows font database
Warning in grid.Call(C_textBounds, as.graphicsAnnot(x$label), x$x, x$y, : font
family not found in Windows font database
Warning in grid.Call(C_textBounds, as.graphicsAnnot(x$label), x$x, x$y, : font
family not found in Windows font database
Warning in grid.Call(C_textBounds, as.graphicsAnnot(x$label), x$x, x$y, : font
family not found in Windows font database
Warning in grid.Call.graphics(C_text, as.graphicsAnnot(x$label), x$x, x$y, :
font family not found in Windows font database
Warning in grid.Call.graphics(C_text, as.graphicsAnnot(x$label), x$x, x$y, :
font family not found in Windows font database
Warning in grid.Call.graphics(C_text, as.graphicsAnnot(x$label), x$x, x$y, :
font family not found in Windows font database
Warning in grid.Call.graphics(C_text, as.graphicsAnnot(x$label), x$x, x$y, :
font family not found in Windows font database
Warning in grid.Call.graphics(C_text, as.graphicsAnnot(x$label), x$x, x$y, :
font family not found in Windows font database
Warning in grid.Call.graphics(C_text, as.graphicsAnnot(x$label), x$x, x$y, :
font family not found in Windows font database

Saved plot as PDF: C:/Users/emmap/OneDrive/Desktop/Ward Lab/Experiments/Stressor Project/Full Set RNAseq/plots/Motif_imr_c1_logFC_260127.pdf
Saved plot as PNG: C:/Users/emmap/OneDrive/Desktop/Ward Lab/Experiments/Stressor Project/Full Set RNAseq/plots/Motif_imr_c1_logFC_260127.png
Warning in grid.Call(C_textBounds, as.graphicsAnnot(x$label), x$x, x$y, : font
family not found in Windows font database
Warning in grid.Call(C_textBounds, as.graphicsAnnot(x$label), x$x, x$y, : font
family not found in Windows font database
Warning in grid.Call(C_textBounds, as.graphicsAnnot(x$label), x$x, x$y, : font
family not found in Windows font database
Warning in grid.Call(C_textBounds, as.graphicsAnnot(x$label), x$x, x$y, : font
family not found in Windows font database
Warning in grid.Call.graphics(C_text, as.graphicsAnnot(x$label), x$x, x$y, :
font family not found in Windows font database
Warning in grid.Call.graphics(C_text, as.graphicsAnnot(x$label), x$x, x$y, :
font family not found in Windows font database
Warning in grid.Call.graphics(C_text, as.graphicsAnnot(x$label), x$x, x$y, :
font family not found in Windows font database
Warning in grid.Call.graphics(C_text, as.graphicsAnnot(x$label), x$x, x$y, :
font family not found in Windows font database
Warning in grid.Call.graphics(C_text, as.graphicsAnnot(x$label), x$x, x$y, :
font family not found in Windows font database
Warning in grid.Call.graphics(C_text, as.graphicsAnnot(x$label), x$x, x$y, :
font family not found in Windows font database

Saved plot as PDF: C:/Users/emmap/OneDrive/Desktop/Ward Lab/Experiments/Stressor Project/Full Set RNAseq/plots/Motif_imr_c1_abslogFC_260127.pdf
Saved plot as PNG: C:/Users/emmap/OneDrive/Desktop/Ward Lab/Experiments/Stressor Project/Full Set RNAseq/plots/Motif_imr_c1_abslogFC_260127.png
Warning in grid.Call(C_textBounds, as.graphicsAnnot(x$label), x$x, x$y, : font
family not found in Windows font database
Warning in grid.Call(C_textBounds, as.graphicsAnnot(x$label), x$x, x$y, : font
family not found in Windows font database
Warning in grid.Call(C_textBounds, as.graphicsAnnot(x$label), x$x, x$y, : font
family not found in Windows font database
Warning in grid.Call(C_textBounds, as.graphicsAnnot(x$label), x$x, x$y, : font
family not found in Windows font database
Warning in grid.Call.graphics(C_text, as.graphicsAnnot(x$label), x$x, x$y, :
font family not found in Windows font database
Warning in grid.Call.graphics(C_text, as.graphicsAnnot(x$label), x$x, x$y, :
font family not found in Windows font database
Warning in grid.Call.graphics(C_text, as.graphicsAnnot(x$label), x$x, x$y, :
font family not found in Windows font database
Warning in grid.Call.graphics(C_text, as.graphicsAnnot(x$label), x$x, x$y, :
font family not found in Windows font database
Warning in grid.Call.graphics(C_text, as.graphicsAnnot(x$label), x$x, x$y, :
font family not found in Windows font database
Warning in grid.Call.graphics(C_text, as.graphicsAnnot(x$label), x$x, x$y, :
font family not found in Windows font database

Saved plot as PDF: C:/Users/emmap/OneDrive/Desktop/Ward Lab/Experiments/Stressor Project/Full Set RNAseq/plots/Motif_imr_c2_logFC_260127.pdf
Saved plot as PNG: C:/Users/emmap/OneDrive/Desktop/Ward Lab/Experiments/Stressor Project/Full Set RNAseq/plots/Motif_imr_c2_logFC_260127.png
Warning in grid.Call(C_textBounds, as.graphicsAnnot(x$label), x$x, x$y, : font
family not found in Windows font database
Warning in grid.Call(C_textBounds, as.graphicsAnnot(x$label), x$x, x$y, : font
family not found in Windows font database
Warning in grid.Call(C_textBounds, as.graphicsAnnot(x$label), x$x, x$y, : font
family not found in Windows font database
Warning in grid.Call(C_textBounds, as.graphicsAnnot(x$label), x$x, x$y, : font
family not found in Windows font database
Warning in grid.Call.graphics(C_text, as.graphicsAnnot(x$label), x$x, x$y, :
font family not found in Windows font database
Warning in grid.Call.graphics(C_text, as.graphicsAnnot(x$label), x$x, x$y, :
font family not found in Windows font database
Warning in grid.Call.graphics(C_text, as.graphicsAnnot(x$label), x$x, x$y, :
font family not found in Windows font database
Warning in grid.Call.graphics(C_text, as.graphicsAnnot(x$label), x$x, x$y, :
font family not found in Windows font database
Warning in grid.Call.graphics(C_text, as.graphicsAnnot(x$label), x$x, x$y, :
font family not found in Windows font database
Warning in grid.Call.graphics(C_text, as.graphicsAnnot(x$label), x$x, x$y, :
font family not found in Windows font database

Saved plot as PDF: C:/Users/emmap/OneDrive/Desktop/Ward Lab/Experiments/Stressor Project/Full Set RNAseq/plots/Motif_imr_c2_abslogFC_260127.pdf
Saved plot as PNG: C:/Users/emmap/OneDrive/Desktop/Ward Lab/Experiments/Stressor Project/Full Set RNAseq/plots/Motif_imr_c2_abslogFC_260127.png
Processing response group: mmr
Warning in grid.Call(C_textBounds, as.graphicsAnnot(x$label), x$x, x$y, : font
family not found in Windows font database
Warning in grid.Call(C_textBounds, as.graphicsAnnot(x$label), x$x, x$y, : font
family not found in Windows font database
Warning in grid.Call(C_textBounds, as.graphicsAnnot(x$label), x$x, x$y, : font
family not found in Windows font database
Warning in grid.Call(C_textBounds, as.graphicsAnnot(x$label), x$x, x$y, : font
family not found in Windows font database
Warning in grid.Call.graphics(C_text, as.graphicsAnnot(x$label), x$x, x$y, :
font family not found in Windows font database
Warning in grid.Call.graphics(C_text, as.graphicsAnnot(x$label), x$x, x$y, :
font family not found in Windows font database
Warning in grid.Call.graphics(C_text, as.graphicsAnnot(x$label), x$x, x$y, :
font family not found in Windows font database
Warning in grid.Call.graphics(C_text, as.graphicsAnnot(x$label), x$x, x$y, :
font family not found in Windows font database
Warning in grid.Call.graphics(C_text, as.graphicsAnnot(x$label), x$x, x$y, :
font family not found in Windows font database
Warning in grid.Call.graphics(C_text, as.graphicsAnnot(x$label), x$x, x$y, :
font family not found in Windows font database

Saved plot as PDF: C:/Users/emmap/OneDrive/Desktop/Ward Lab/Experiments/Stressor Project/Full Set RNAseq/plots/Motif_mmr_c1_logFC_260127.pdf
Saved plot as PNG: C:/Users/emmap/OneDrive/Desktop/Ward Lab/Experiments/Stressor Project/Full Set RNAseq/plots/Motif_mmr_c1_logFC_260127.png
Warning in grid.Call(C_textBounds, as.graphicsAnnot(x$label), x$x, x$y, : font
family not found in Windows font database
Warning in grid.Call(C_textBounds, as.graphicsAnnot(x$label), x$x, x$y, : font
family not found in Windows font database
Warning in grid.Call(C_textBounds, as.graphicsAnnot(x$label), x$x, x$y, : font
family not found in Windows font database
Warning in grid.Call(C_textBounds, as.graphicsAnnot(x$label), x$x, x$y, : font
family not found in Windows font database
Warning in grid.Call.graphics(C_text, as.graphicsAnnot(x$label), x$x, x$y, :
font family not found in Windows font database
Warning in grid.Call.graphics(C_text, as.graphicsAnnot(x$label), x$x, x$y, :
font family not found in Windows font database
Warning in grid.Call.graphics(C_text, as.graphicsAnnot(x$label), x$x, x$y, :
font family not found in Windows font database
Warning in grid.Call.graphics(C_text, as.graphicsAnnot(x$label), x$x, x$y, :
font family not found in Windows font database
Warning in grid.Call.graphics(C_text, as.graphicsAnnot(x$label), x$x, x$y, :
font family not found in Windows font database
Warning in grid.Call.graphics(C_text, as.graphicsAnnot(x$label), x$x, x$y, :
font family not found in Windows font database

Saved plot as PDF: C:/Users/emmap/OneDrive/Desktop/Ward Lab/Experiments/Stressor Project/Full Set RNAseq/plots/Motif_mmr_c1_abslogFC_260127.pdf
Saved plot as PNG: C:/Users/emmap/OneDrive/Desktop/Ward Lab/Experiments/Stressor Project/Full Set RNAseq/plots/Motif_mmr_c1_abslogFC_260127.png
#logFC distributions clustlike vs clustlike + p.post sets
#I want to make a function to loop through my different subsets to get an idea of their logFC distribution
#this will be using my toptables that I made with DE analysis previously
#read in my toptable list and my long toptable dataframe for 24hr samples
ttbl_list_24 <- readRDS("data/de/toptable_list_24hr_updated_symbolentrez.RDS")
combined_ttbl_24 <- readRDS("data/de/combined_toptable_long_24hr_symbolentrez.RDS")
#define your motif gene sets for each response group
motif_gene_sets <- list(
upr = upr_clustlike,
upr_cp = upr_clustpost,
ddr = ddr_clustlike,
ddr_cp = ddr_clustpost,
imr = imr_clustlike,
imr_cp = imr_clustpost,
mmr = mmr_clustlike,
mmr_cp = mmr_clustpost
)
#also define which stimuli correspond to each response group
motif_stimuli <- list(
upr = c("TUN", "THA"),
upr_cp = c("TUN", "THA"),
ddr = c("DOX", "NUTL"),
ddr_cp = c("DOX", "NUTL"),
imr = c("LPS", "TNFa"),
imr_cp = c("LPS", "TNFa"),
mmr = c("BPA", "PFOA"),
mmr_cp = c("BPA", "PFOA")
)
#define the fixed condition order for each response group
cond_levels <- list(
upr = c("TUN_24_H", "TUN_24_C", "THA_24_H", "THA_24_C"),
upr_cp = c("TUN_24_H", "TUN_24_C", "THA_24_H", "THA_24_C"),
ddr = c("DOX_24_H", "DOX_24_C", "NUTL_24_H", "NUTL_24_C"),
ddr_cp = c("DOX_24_H", "DOX_24_C", "NUTL_24_H", "NUTL_24_C"),
imr = c("LPS_24_H", "LPS_24_C", "TNFa_24_H","TNFa_24_C"),
imr_cp = c("LPS_24_H", "LPS_24_C", "TNFa_24_H","TNFa_24_C"),
mmr = c("BPA_24_H", "BPA_24_C", "PFOA_24_H", "PFOA_24_C"),
mmr_cp = c("BPA_24_H", "BPA_24_C", "PFOA_24_H", "PFOA_24_C")
)
#function to calculate medians per Condition + ClusterType
compute_medians <- function(df, y_var) {
df %>%
group_by(Condition, ClusterType) %>%
summarise(Median = median(.data[[y_var]], na.rm = TRUE), .groups = "drop")
}
#faceted plotting function
plot_logFC_distribution_facet <- function(df, y_var = c("logFC", "absFC"), title, stim_col) {
y_var <- match.arg(y_var)
y_lab <- ifelse(y_var == "logFC", "logFC", "|logFC|")
medians <- compute_medians(df, y_var)
ggplot(df, aes(x = Condition, y = .data[[y_var]], fill = Stimulus)) +
geom_boxplot(outlier.shape = NA) +
scale_fill_manual(values = stim_col) +
facet_wrap(~ClusterType, nrow = 1, scales = "free_x") +
geom_text(data = medians, aes(x = Condition, y = Median, label = round(Median, 2)),
vjust = -0.5, inherit.aes = FALSE, size = 3) +
labs(x = "Condition", y = y_lab, title = title) +
theme_custom()
}
#loop through response groups
for (resp in names(motif_gene_sets)) {
message("Processing response group: ", resp)
motif_list <- motif_gene_sets[[resp]]
stim_prefix <- motif_stimuli[[resp]]
#subset to relevant stimuli and create Condition column
ttbl_resp <- combined_ttbl_24 %>%
filter(Stimulus %in% stim_prefix) %>%
mutate(
Stimulus = factor(Stimulus, levels = stim_prefix),
Condition = paste0(Stimulus, "_24_", Species)
)
#ensure Condition has the fixed order for this response group
ttbl_resp$Condition <- factor(ttbl_resp$Condition, levels = cond_levels[[resp]])
for (motif_name in names(motif_list)) {
#pull genes from clustlike and clustpost
genes_like <- if(!is.null(subset_clustlike[[resp]])) subset_clustlike[[resp]][[motif_name]] else NULL
genes_post <- if(!is.null(subset_clustpost[[resp]])) subset_clustpost[[resp]][[motif_name]] else NULL
#keep only genes present in DE table
genes_like <- intersect(genes_like, ttbl_resp$Entrez_ID)
genes_post <- intersect(genes_post, ttbl_resp$Entrez_ID)
if (length(genes_like) == 0 & length(genes_post) == 0) next
#combine into a single data frame with ClusterType label
df_like <- ttbl_resp %>% filter(Entrez_ID %in% genes_like) %>% mutate(ClusterType = "clustlike", absFC = abs(logFC))
df_post <- ttbl_resp %>% filter(Entrez_ID %in% genes_post) %>% mutate(ClusterType = "clustlike + p.post", absFC = abs(logFC))
df_motif <- bind_rows(df_like, df_post)
n_genes <- n_distinct(df_motif$Entrez_ID)
#plot logFC
p_logFC <- plot_logFC_distribution_facet(df_motif, y_var = "logFC",
title = paste0(motif_name, " logFC (n = ", n_genes, ")"),
stim_col = stim_col[stim_prefix])
print(p_logFC)
save_plot(
filename = paste0("Motif_", motif_name, "_logFC_facet"),
plot = p_logFC,
folder = output_folder,
width = 12,
height = 8
)
#plot abs(logFC)
p_absFC <- plot_logFC_distribution_facet(df_motif, y_var = "absFC",
title = paste0(motif_name, " |logFC| (n = ", n_genes, ")"),
stim_col = stim_col[stim_prefix])
print(p_absFC)
save_plot(
filename = paste0("Motif_", motif_name, "_abslogFC_facet"),
plot = p_absFC,
folder = output_folder,
width = 12,
height = 8
)
}
}








#do pathway analysis for both of my motif groups to visualize the biological pathways associated with each set
motif_sets_clustlike <- list(
upr = upr_clustlike,
ddr = ddr_clustlike,
imr = imr_clustlike,
mmr = mmr_clustlike
)
motif_sets_clustpost <- list(
upr = upr_clustpost,
ddr = ddr_clustpost,
imr = imr_clustpost,
mmr = mmr_clustpost
)
#make list containers for the plots
gost_results_clustlike <- list()
gost_results_clustpost <- list()
gost_plots_clustlike <- list()
gost_plots_clustpost <- list()
#make a gost plot function for gobp and kegg
run_gost_safe <- function(genes, bg_genes) {
if (length(genes) < 10) return(NULL)
res <- tryCatch(
gost(
query = as.matrix(genes),
organism = "hsapiens",
ordered_query = FALSE,
measure_underrepresentation = FALSE,
evcodes = FALSE,
user_threshold = 0.05,
custom_bg = bg_genes,
correction_method = "fdr",
sources = c("GO:BP", "KEGG")
),
error = function(e) NULL
)
if (is.null(res) || is.null(res$result) || nrow(res$result) == 0) {
return(NULL)
}
res
}
#plotting function
plot_enrichment_dotplot <- function(df, title, ylab_txt) {
if (nrow(df) == 0) return(NULL)
df %>%
slice_min(order_by = p_value, n = 10) %>%
mutate(log_val = -log10(p_value)) %>%
ggplot(
aes(
x = log_val,
y = reorder(term_name, p_value)
)
) +
geom_point() +
ggtitle(title) +
xlab(expression("-log"[10]~"p-value")) +
ylab(ylab_txt) +
scale_y_discrete(labels = scales::label_wrap(30)) +
theme_custom()
}
#run one motif set
run_gost_for_set <- function(motif_sets, set_label) {
gost_results <- list()
gost_plots <- list()
for (resp in names(motif_sets)) {
message("Processing ", set_label, " response group: ", resp)
for (motif_name in names(motif_sets[[resp]])) {
genes <- motif_sets[[resp]][[motif_name]]
message(" Motif ", motif_name, " (n = ", length(genes), ")")
gost_res <- run_gost_safe(genes, all_genes)
if (is.null(gost_res)) {
message(" → No enriched pathways, skipping")
next
}
res_tbl <- gost_res$result %>%
dplyr::select(
source,
term_id,
term_name,
intersection_size,
term_size,
p_value
)
gost_results[[resp]][[motif_name]] <- res_tbl
## ---- GO:BP ----
go_tbl <- res_tbl %>% filter(source == "GO:BP")
if (nrow(go_tbl) > 0) {
p_go <- plot_enrichment_dotplot(
go_tbl,
title = paste0(
toupper(resp), " ", motif_name,
" (", set_label, ") GO:BP"
),
ylab_txt = "GO:BP term"
)
plot_name <- paste0(resp, "_", motif_name, "_", set_label, "_GO_BP")
gost_plots[[plot_name]] <- p_go
print(p_go)
save_plot(
plot = p_go,
filename = plot_name,
folder = output_folder,
width = 7,
height = 5
)
}
## ---- KEGG ----
kegg_tbl <- res_tbl %>% filter(source == "KEGG")
if (nrow(kegg_tbl) > 0) {
p_kegg <- plot_enrichment_dotplot(
kegg_tbl,
title = paste0(
toupper(resp), " ", motif_name,
" (", set_label, ") KEGG"
),
ylab_txt = "KEGG pathway"
)
plot_name <- paste0(resp, "_", motif_name, "_", set_label, "_KEGG")
gost_plots[[plot_name]] <- p_kegg
print(p_kegg)
save_plot(
plot = p_kegg,
filename = plot_name,
folder = output_folder,
width = 7,
height = 5
)
}
}
}
list(
results = gost_results,
plots = gost_plots
)
}
#run clustlike
clustlike_out <- run_gost_for_set(motif_sets_clustlike, "clustlike")















# gost_results_clustlike <- clustlike_out$results
# gost_plots_clustlike <- clustlike_out$plots
#run clustpost
clustpost_out <- run_gost_for_set(motif_sets_clustpost, "clustpost")










# gost_results_clustpost <- clustpost_out$results
# gost_plots_clustpost <- clustpost_out$plots
#print the plots so I can visualize them
for (grp in names(gost_plots_clustlike)) {
for (nm in names(gost_plots_clustlike[[grp]])) {
print(gost_plots_clustlike[[grp]][[nm]])
}
}
#print the clustpost plots as well
for (grp in names(gost_plots_clustpost)) {
for (nm in names(gost_plots_clustpost[[grp]])) {
print(gost_plots_clustpost[[grp]][[nm]])
}
}
#save plots for clustlike and clustpost
for (grp in names(gost_plots_clustlike)) {
for (nm in names(gost_plots_clustlike[[grp]])) {
save_plot(
filename = paste0("clustlike_", grp, "_", nm),
plot = gost_plots_clustlike[[grp]][[nm]],
folder = output_folder,
width = 6,
height = 8
)
}
}
for (grp in names(gost_plots_clustpost)) {
for (nm in names(gost_plots_clustpost[[grp]])) {
save_plot(
filename = paste0("clustpost_", grp, "_", nm),
plot = gost_plots_clustpost[[grp]][[nm]],
folder = output_folder,
width = 6,
height = 8
)
}
}
I want to use GWAS associations for cardiovascular disease (CVD) and heart failure (HF) obtained from the GWAS catalog and compare overlap with my motif gene sets. Are these genes typically present in certain gene clusters?
Cerezo M et al., doi.org/10.1093/nar/gkae1070 Nucleic Acids Research, Volume 53, Issue D1, 6 January 2025, Pages D998–D1005
#I pulled data from the GWAS catalog for HF associations
# https://www.ebi.ac.uk/gwas/efotraits/EFO_0003144
#I also pulled data from the GWAS catalog for CVD associations
# https://www.ebi.ac.uk/gwas/efotraits/EFO_0000319
#HF GWAS data
# hf_gwas_all <- read_delim("D:/DXR Project/GWAS/gwas-association-downloaded_2025-11-13-EFO_0003144-withChildTraits.tsv",
# delim = "\t", escape_double = FALSE,
# trim_ws = TRUE)
# View(hf_gwas_all)
# saveRDS(hf_gwas_all, "data/genesets/GWAS/hf_gwas_associations_EFO_0003144.RDS")
#extract mapped genes and ensure each are unique
# hf_gwas_mapped <- subset(hf_gwas_all, !is.na(MAPPED_GENE) & MAPPED_GENE != "")
#830 mapped genes, now make sure that they're unique
# hf_gwas_genes <- unique(hf_gwas_mapped$MAPPED_GENE)
#494 genes left after filtering for unique gene symbols
# now translate this into Entrez_ID for ease of analysis
# convert to Entrez_ID
# gene_conversion <- AnnotationDbi::select(
# org.Hs.eg.db,
# keys = hf_gwas_genes,
# keytype = "SYMBOL",
# columns = c("ENTREZID")
# )
# Remove duplicates or missing IDs
# hf_gwas_genes <- gene_conversion %>%
# filter(!is.na(ENTREZID)) %>%
# distinct(SYMBOL, .keep_all = TRUE)
#change the colname to Entrez_ID
# colnames(hf_gwas_genes)[colnames(hf_gwas_genes) == "ENTREZID"] <- "Entrez_ID"
# saveRDS(hf_gwas_genes, "data/genesets/GWAS/hf_gwas_genes_symbolentrez_mapped.RDS")
#read in the final list of genes (both SYMBOL and Entrez_ID)
hf_gwas_genes <- readRDS("data/genesets/GWAS/hf_gwas_genes_symbolentrez_mapped.RDS")
#make a version with just the entrez id to combine with other gene sets
#change the colname to Entrez_ID
hf_gwas_genes_list <- hf_gwas_genes$Entrez_ID
#CVD GWAS data
# cvd_gwas_all <- read_delim("data/genesets/GWAS/gwas-association-downloaded_2026-01-26-EFO_0000319-withChildTraits.tsv",
# delim = "\t", escape_double = FALSE,
# trim_ws = TRUE)
# View(cvd_gwas_all)
#save the raw data
# saveRDS(cvd_gwas_all, "data/genesets/GWAS/cvd_gwas_associations_EFO_0000319.RDS")
#extract mapped genes and ensure each are unique
# cvd_gwas_mapped <- subset(cvd_gwas_all, !is.na(MAPPED_GENE) & MAPPED_GENE != "")
#19,204 mapped genes, now make sure that they're unique
# cvd_gwas_genes <- unique(cvd_gwas_mapped$MAPPED_GENE)
#6,631 genes left after filtering for unique gene symbols
# now translate this into Entrez_ID for ease of analysis
# convert to Entrez_ID
# gene_conversion <- AnnotationDbi::select(
# org.Hs.eg.db,
# keys = cvd_gwas_genes,
# keytype = "SYMBOL",
# columns = c("ENTREZID")
# )
# Remove duplicates or missing IDs
# cvd_gwas_genes <- gene_conversion %>%
# filter(!is.na(ENTREZID)) %>%
# distinct(SYMBOL, .keep_all = TRUE)
#change the colname to Entrez_ID
# colnames(cvd_gwas_genes)[colnames(cvd_gwas_genes) == "ENTREZID"] <- "Entrez_ID"
# saveRDS(cvd_gwas_genes, "data/genesets/GWAS/cvd_gwas_genes_symbolentrez_mapped.RDS")
#read in the final list of genes (both SYMBOL and Entrez_ID)
cvd_gwas_genes <- readRDS("data/genesets/GWAS/cvd_gwas_genes_symbolentrez_mapped.RDS")
#make a version with just the entrez id to combine with other gene sets
#change the colname to Entrez_ID
cvd_gwas_genes_list <- cvd_gwas_genes$Entrez_ID
sessionInfo()
R version 4.4.2 (2024-10-31 ucrt)
Platform: x86_64-w64-mingw32/x64
Running under: Windows 11 x64 (build 22000)
Matrix products: default
locale:
[1] LC_COLLATE=English_United States.utf8
[2] LC_CTYPE=English_United States.utf8
[3] LC_MONETARY=English_United States.utf8
[4] LC_NUMERIC=C
[5] LC_TIME=English_United States.utf8
time zone: America/Chicago
tzcode source: internal
attached base packages:
[1] grid stats4 stats graphics grDevices utils datasets
[8] methods base
other attached packages:
[1] magick_2.9.0 broom_1.0.8
[3] gprofiler2_0.2.3 car_3.1-3
[5] carData_3.0-5 patchwork_1.3.0
[7] eulerr_7.0.2 ggrastr_1.0.2
[9] rstatix_0.7.2 ggsignif_0.6.4
[11] RUVSeq_1.40.0 EDASeq_2.40.0
[13] ShortRead_1.64.0 GenomicAlignments_1.42.0
[15] SummarizedExperiment_1.36.0 MatrixGenerics_1.18.1
[17] matrixStats_1.5.0 Rsamtools_2.22.0
[19] GenomicRanges_1.58.0 Biostrings_2.74.0
[21] GenomeInfoDb_1.42.3 XVector_0.46.0
[23] BiocParallel_1.40.0 VennDetail_1.22.0
[25] VennDiagram_1.7.3 futile.logger_1.4.3
[27] ggpubr_0.6.0 UpSetR_1.4.0
[29] ggVennDiagram_1.5.2 reshape2_1.4.4
[31] circlize_0.4.16 ComplexHeatmap_2.22.0
[33] org.Hs.eg.db_3.20.0 AnnotationDbi_1.68.0
[35] IRanges_2.40.0 S4Vectors_0.44.0
[37] corrplot_0.95 ggfortify_0.4.17
[39] ggrepel_0.9.6 biomaRt_2.62.1
[41] readxl_1.4.5 scales_1.4.0
[43] edgebundleR_0.1.4 edgeR_4.4.0
[45] limma_3.62.1 Biobase_2.66.0
[47] BiocGenerics_0.52.0 lubridate_1.9.4
[49] forcats_1.0.0 stringr_1.5.1
[51] dplyr_1.1.4 purrr_1.0.4
[53] readr_2.1.5 tidyr_1.3.1
[55] tibble_3.2.1 ggplot2_3.5.2
[57] tidyverse_2.0.0 workflowr_1.7.1
loaded via a namespace (and not attached):
[1] later_1.4.2 BiocIO_1.16.0 bitops_1.0-9
[4] filelock_1.0.3 R.oo_1.27.1 cellranger_1.1.0
[7] XML_3.99-0.18 lifecycle_1.0.4 httr2_1.1.2
[10] pwalign_1.2.0 doParallel_1.0.17 rprojroot_2.0.4
[13] vroom_1.6.5 MASS_7.3-61 processx_3.8.6
[16] lattice_0.22-6 crosstalk_1.2.1 backports_1.5.0
[19] magrittr_2.0.3 plotly_4.10.4 sass_0.4.10
[22] rmarkdown_2.29 jquerylib_0.1.4 yaml_2.3.10
[25] httpuv_1.6.16 DBI_1.2.3 RColorBrewer_1.1-3
[28] abind_1.4-8 zlibbioc_1.52.0 R.utils_2.13.0
[31] RCurl_1.98-1.17 rappdirs_0.3.3 git2r_0.36.2
[34] GenomeInfoDbData_1.2.13 svglite_2.1.3 codetools_0.2-20
[37] DelayedArray_0.32.0 xml2_1.3.8 tidyselect_1.2.1
[40] shape_1.4.6.1 UCSC.utils_1.2.0 farver_2.1.2
[43] BiocFileCache_2.14.0 jsonlite_2.0.0 GetoptLong_1.0.5
[46] Formula_1.2-5 iterators_1.0.14 systemfonts_1.2.2
[49] foreach_1.5.2 tools_4.4.2 progress_1.2.3
[52] ragg_1.4.0 Rcpp_1.0.14 glue_1.8.0
[55] gridExtra_2.3 SparseArray_1.6.0 xfun_0.52
[58] withr_3.0.2 formatR_1.14 fastmap_1.2.0
[61] latticeExtra_0.6-30 callr_3.7.6 digest_0.6.37
[64] timechange_0.3.0 R6_2.6.1 mime_0.13
[67] textshaping_1.0.1 colorspace_2.1-1 jpeg_0.1-11
[70] RSQLite_2.3.9 R.methodsS3_1.8.2 generics_0.1.4
[73] data.table_1.17.0 rtracklayer_1.66.0 prettyunits_1.2.0
[76] httr_1.4.7 htmlwidgets_1.6.4 S4Arrays_1.6.0
[79] whisker_0.4.1 pkgconfig_2.0.3 gtable_0.3.6
[82] blob_1.2.4 hwriter_1.3.2.1 htmltools_0.5.8.1
[85] clue_0.3-66 kableExtra_1.4.0 png_0.1-8
[88] knitr_1.50 lambda.r_1.2.4 rstudioapi_0.17.1
[91] tzdb_0.5.0 rjson_0.2.23 curl_6.0.1
[94] cachem_1.1.0 GlobalOptions_0.1.2 vipor_0.4.7
[97] parallel_4.4.2 restfulr_0.0.15 pillar_1.10.2
[100] vctrs_0.6.5 promises_1.3.2 dbplyr_2.5.0
[103] xtable_1.8-4 cluster_2.1.6 beeswarm_0.4.0
[106] evaluate_1.0.3 GenomicFeatures_1.58.0 cli_3.6.3
[109] locfit_1.5-9.12 compiler_4.4.2 futile.options_1.0.1
[112] rlang_1.1.6 crayon_1.5.3 labeling_0.4.3
[115] aroma.light_3.36.0 interp_1.1-6 ps_1.9.1
[118] ggbeeswarm_0.7.2 getPass_0.2-4 plyr_1.8.9
[121] fs_1.6.6 stringi_1.8.7 viridisLite_0.4.2
[124] deldir_2.0-4 lazyeval_0.2.2 Matrix_1.7-1
[127] hms_1.1.3 bit64_4.5.2 KEGGREST_1.46.0
[130] statmod_1.5.0 shiny_1.10.0 igraph_2.1.4
[133] memoise_2.0.1 bslib_0.9.0 bit_4.5.0